北师版 八年级数学-上册常见计算题练习
- 格式:docx
- 大小:146.23 KB
- 文档页数:11
北师大版八年级数学上册第二章实数计算题一、算术平方根:例1 求下列各数的算术平方根:(1)900; (2)1; (3)6449; (4)14. 答案:解:(1)因为302=900,所以900的算术平方根是30,即30900=;(2)因为12=1,所以1的算术平方根是1,即11=;(3)因为6449872=⎪⎭⎫ ⎝⎛,所以 6449的算术平方根是87, 即876449=; (4)14的算术平方根是14. 反馈练习:一、填空题:1.若一个数的算术平方根是7,那么这个数是 ; 2.9的算术平方根是 ; 3.2)32(的算术平方根是 ; 4.若22=+m ,则2)2(+m = . 二、求下列各数的算术平方根:36,144121,15,,410-,225,0)65(.三、如图,从帐篷支撑竿AB 的顶部A 向地面拉一根绳子AC 固定帐篷.若绳子的长度为米,地面固定点C 到帐篷支撑竿底部B 的距离是米,则帐篷支撑竿的高是多少米?答案:一、;2.3 ;3.32;4.16;二、6;1211;15;;210-;15;1;三、解:由题意得 AC =米,BC =米,∠ABC =90°,在Rt △ABC 中,由勾股定理得105.45.52222=-=-=BC AC AB (米).所以帐篷支撑竿的高是 10米. 识.对学生的回答,教师要给予评价和点评。
二、平方根例2 求下列各数的平方根:(1)64;(2)49121;(3) ;(4)()225-;(5) 11CB A(1)解:()2648=±,648∴±的平方根是648±=±即(2)解:()24949771211211111,=∴±±的平方根为49712111±=±即(3)解:()20.0004,0.00040.020.02=∴±±的平方根是0.00040.02±=±即(4) 解:()()()22,25252525=∴±±--2的平方根是()22525=±-即(5) 解:1111的平方根是思考提升()25-的平方根是 ,264=()25=- ,64==2a 。
北师大版初二数学练习题1. 问题描述:小明从家里骑自行车到学校的距离是6公里,他以每小时15公里的速度骑行。
那么他骑到学校需要多长时间?解答:根据题目给出的信息,小明以每小时15公里的速度骑行,而他到学校的距离是6公里。
那么他骑到学校所需的时间可以通过距离除以速度来计算。
即:6公里 ÷ 15公里/小时 = 0.4小时 = 24分钟。
答案:小明骑到学校需要24分钟的时间。
2. 问题描述:一块正方形的纸板每边长为7厘米,小华用剪刀沿着纸板的一条边剪了一刀,将纸板分成两个部分。
求剪口的长度是多少?解答:根据题目描述,纸板的每边长为7厘米,小华用剪刀沿着纸板的一条边剪了一刀,将纸板分成两个部分。
因为正方形的两条边长相等,所以剪口的长度等于纸板一条边的长度。
即剪口的长度为7厘米。
答案:剪口的长度为7厘米。
3. 问题描述:小明和小红同时从A地出发,沿着同一条方向以每小时10公里的速度前进。
已知小明比小红晚出发了30分钟。
那么小明赶上小红需要多长时间?解答:根据题目描述,小明和小红以相同的速度前进,小明比小红晚出发了30分钟,也就是0.5小时。
如果小明要赶上小红,他们必须在相同的时间点到达终点。
因此,小明需要用时比小红少0.5小时。
小明和小红的速度是每小时10公里,那么他们之间的距离是小明比小红出发时所走的距离,即:10公里/小时 × 0.5小时 = 5公里。
答案:小明需要用时0.5小时,也就是30分钟,才能赶上小红。
4. 问题描述:某超市举行了一次特价促销活动,商品原价为200元,打折后的价格为160元。
求打折幅度是多少?解答:根据题目给出的信息,商品原价为200元,打折后的价格为160元。
那么打折幅度可以通过计算折扣所占原价的比例来得到。
即:(200元 - 160元) ÷ 200元 = 40元 ÷ 200元 = 0.2 = 20%。
答案:打折幅度为20%。
5. 问题描述:有一个正整数,它用3除余2,用5除余3,用7除余2。
新版北师大版八年级数学上册第5章《二元一次方程组》同步练习及答案—5.1认识二元一次方程组(1)一、选择题(1)以下方程中,是二元一次方程的是( )A.8x -y =yB.xy =3C.3x +2yD.y =x1 (2)以下的各组数值是方程组⎩⎨⎧-=+=+2222y x y x 的解的是( )A.⎩⎨⎧-==22y xB.⎩⎨⎧=-=22y xC.⎩⎨⎧==20y xD.⎩⎨⎧==02y x(3)若⎩⎨⎧==12y x 是方程组⎩⎨⎧=+=-+12)1(2y nx y m x 的解,则m +n 的值是( )A.1B.-1C.2D.-2(4)二元一次方程3a +b =9在正整数范围内的解的个数是( ) A.0 B.1 C.2 D.3二、填空题(1)若方程(2m -6)x |n |-1+(n +2)y82-m =1是二元一次方程,则m =_________,n =__________.(2)若⎩⎨⎧-==12y x 是二元一次方程ax +by =2的一个解,则2a -b -6的值是__________.(3)图1表示由若干盆花组成的形如三角形的图案,每条边(包括两个顶点)有n (n>1)盆花,每个图案花盆的总数是S .图1按此规律推断,以S 、n 为未知数的二元一次方程是________.(4)请写出解为⎩⎨⎧==11y x 的一个二元一次方程组________.三、根据题意列二元一次方程组:(1)两批货物,第一批360吨,用5节火车皮和12辆汽车正好装完;第二批500吨,用7节火车皮和16辆汽车正好装完.每节火车皮和每辆汽车平均各装货物多少吨?(2)某校课外小组的学生准备外出活动;若每组7人,则余下3人;若每组8人,则有一组只有3人;求这个课外小组分成几组?共有多少人?四、现有布料25米,需裁成大人和小孩的两种服装.已知大人每套用布2.4米,小孩每套用布1米,问各裁多少套恰好把布用完?参考答案一、(1)A (2)B (3)B (4)C 二、(1)3 2 (2)-4(3)S -3n +3=0 (4)⎩⎨⎧=+=-2y x y x 等三、(1)设每节火车皮、每辆汽车分别装x 吨、y 吨,则⎩⎨⎧=+=+500167360125y x y x(2)设分成x 组,共有y 人,则⎩⎨⎧=+-=+y x yx 3)1(837四、设裁大人衣服x 套,小孩衣服y 套恰好把布用完.根据题意得:2.4x +y =25,则y =25-2.4x∵x、y必须都是正整数∴x只能取5和10.当x=5时,y=13;当x=10时,y=1所以裁大人的5套、小孩的13套或者裁大人的10套,小孩的1套.我爸爸告诉我,你现在翻的一页书都是将来要数的一张张钞票,所以不让你学习的人,就是在抢你的财富,不想要的都是傻子。
冀教版初中数学八年级上册第十五章二次根式15.2《二次根式的乘除》教学设计说明在设计本课时教案时,引导学生通过计算发现规律,从而由特殊到一般地给出二次根式的乘法法则、除法法则.注意引导学生类比积的算术平方根的性质,让学生把握两者的关系.通过例题的讲解,及时对解题方法和规律进行概括,有利于发展学生的思维能力.重视课本例题,适当地对立体进行引申,引发学生自主探寻与思考,突出例题在巩固强化中的作用,有利于学生对知识的串联、积累、加工,从而起到举一反三的效果.在学习过程中,采用小组学习方式,组间竞争,按各组表现评出最优小组,激发学生学习积极性和兴趣.(1)教材分析《二次根式的乘除》是是初中数学的重要内容之一,是《课程标准》“数与代数”的重要内容,是对“实数”、“代数式”等内容的延伸和补充.(2)学情分析本节课的内容是在理解二次根式的定义及相关概念的基础上,进一步研究二次根式的运算,是对二次根式的简便运算.二次根式的乘除这一节的知识构造较为简单,并且是在学生学习了平方根,立方根等内容的基础上进行的.由于学生对算术平方根等概念已经有了初步认识,这为学生学习打下了基础,在和学生一起学习的过程中,我们要创造条件和机会,让学生发表自己的见解,发挥学生学习的主动性和积极性.一、教学目标(1a≥0,b≥0)(a≥0,b≥0),并利用它们进行计算和化简.(2)理解ab=ab(a≥0,b>0),ab=ab(a≥0,b>0)及利用它们进行计算和化简.(3a b ab a≥0,b≥0)ababa≥0,b>0)并运用它们进行计算;•利用逆向思维,ab a b a≥0,b≥0),a baba≥0,b>0)并运用它们进行解题和化简.(4)培养学生对于事物规律的观察,发现能力,激发学生的学习激情.二、教学重点、难点a b ab a≥0,b≥0)ab a b a≥0,b≥0)abab(a≥0,b>0)ababa≥0,b>0)及运用,最简二次根式的概念.难点:二次根式的乘除法法则的逆用ab=a·b(a≥0,b≥0),a bab(0,0)a b≥>.课时设计两课时教学策略由于性质、法则和关系式较集中,在二次根式的计算、化简和应用中又相互交错,综合运用,因此,要使学生在认识过程中脉络清楚,条理分明,在教学时就一定要注意逐步有序的展开,在讲解二次根式的乘除时可以结合积的算术平方根的性质,让学生把握两者的关系.积的算术平方根的性质及比较大小等内容都可以通过从特殊到一般的归纳方法,让学生通过计算具体的例子,引导他们做出一般的结论.由于归纳法是通过一些个别的,特殊的例子的研究,从表象到本质,进而猜想出一般的结论.因此,本文采用从特殊到一般总结归纳的方法,类比的方法,讲授与练习相结合的方法.这种思维过程,对于初中生认识,研究和发现事物的规律有着重要作用,对于培养思维品质也有重要意义.三、教学过程情境导入,这个长方形的面积是多少?2.【问题探究】这个结果能否化简?如何化简?【设计意图】由实际问题入手,设置情境问题,激发学生的兴趣,体会数学来源于生活,又应用于生活,让学生初步感受二次根式的乘除.探索新知探究一1.填空=______;(1(2(3.(4,2.利用计算器计算填空,(2(1(32.(1)=,(2)=,(3)=,(4)=.师:提出问题:观察上面的结果,你发现他们有什么特点吗?小组讨论、抢答.生:(1)被开方数都是正数;(2)两个二次根式相乘等于一个二次根式,•并且把这两个二次根式中的数相乘,作为等号另一边二次根式中的被开方数.【归纳总结】反过来【设计意图】由特殊例子出发,由特殊到一般给出二次根式的乘法法则.例1.计算;(2(3(4.(1解析:(1(2=(3(4a≥0,b≥0)计算即可.点评:例2.化简(2(3;(1(4(5×4=12;解析:(1(2(3(4=3xy;(5.(a ≥0,b ≥0)直接化简即可.例3.计算解析:⨯⨯==点评:在(1)中要注意,在被开方数相乘的时候可以考虑因数分解或因式分解,在(2)中0,0)a b =≥≥,即根号外的系数与系数相乘,积为结果的系数;在(3)中要注意x ,y 的符号.【设计意图】通过例题的讲解,让学生体会二次根式的乘法法则.探究二(学生活动)请同学们完成下列各题:1.写出二次根式的乘法规定及逆向等式.2.填空;(2=________.(13.利用计算器计算填空:(1答案:1.反过来2.3344(1),;(2),;==.规律:,44663.(1)=(2)=.;【归纳总结】【设计意图】由特殊例子出发,由特殊到一般给出二次根式的乘法法则.例4.计算:(1(2(3(4).解析:(1=2 ;(2==(3==2;(4.点评:上面4a≥0,b>0)便可直接得出答案.例5.化简:(1(2(3(4解析:(1=;(283ba =;(38y =;(413y .a ≥0,b >0)就可以达到化简之目的. 【设计意图】通过例题的讲解,让学生体会二次根式的除法法则.例6.计算:(1;(2;(3. 解析:(15;(2=3;(3=a . 观察上面例6的最后结果,可以发现这些式子中的二次根式有如下两个特点:(1)被开方数不含分母;(2)被开方数中不含能开得尽方的因数或因式.我们把满足上述两个条件的二次根式,叫做最简二次根式.现在我们来看本章引言中的问题:如果两个电视塔的高分别是12km,km h h ,那么它们的传播半径的比是_________..那么上题中的比是否是最简二次根式呢?如果不是,把它们化成最简二次根式.(学生分组讨论,到黑板上板书).2==.【设计意图】巩固二次根式的除法法则,通过观察总结归纳出最简二次根式的特点.例7.如图,在Rt△ABC中,∠C=90°,AC=2.5cm,BC=6cm,求AB的长.AC解:因为222AB AC BC=+所以AB=132====6.5(cm),因此AB的长为6.5cm.点评:学生掌握最简二次根式概念之后,通过两个例题让学生先尝试的去应用所学的知识,初步体验成功,树立学习的自信心.【设计意图】学生掌握最简二次根式概念之后,通过实际问题的例题讲解,激发学生的兴趣,引导学生体会数学来源于生活,又应用于生活.巩固练习教材对应习题.【设计意图】为学生提供演练机会,加强对二次根式加减运算的理解及掌握.应用拓展1.判断下列各式是否正确,不正确的请予以改正:(1=(2=4解:(1)不正确.×3=6;(2)不正确.4.a、b的取值范围分别是a≥0,b>0.带分数作为被开放数化简时必须先把带分数化成假分数再化简.2=,且x为偶数,求(1+)x解析:由题意得9060xx-≥⎧⎨->⎩,即96xx≤⎧⎨>⎩.∴6<x≤9.∵x为偶数,∴x=8.∴原式=(1+)x(1+)x=(1+)x 4(1)x x -+=(1)(4)x x +-. ∴当x =8时,原式的值=49⨯=6.点评:式子a b =a b,只有a ≥0,b >0时才能成立. 因此得到9-x ≥0且x -6>0,即6<x ≤9,又因为x 为偶数,所以x =8.3.观察下列各式,通过分母有理数,把不是最简二次根式的化成最简二次根式: 121+=1(21)2121(21)(21)⨯--=-+-=2-1,132+=1(32)3232(32)(32)⨯--=-+-=3-2, 同理可得:143+=4-3,……从计算结果中找出规律,并利用这一规律计算(121++132++143++……120122013+)()的值.解析:原式=(2-1+3-2+4-3+…+2013-2012)×(20131+) =(20131+)()=2013-1=2012.点评:由题意可知,本题所给的是一组分母有理化的式子,因此,分母有理化后就可以达到化简的目的.四、课堂小结(学生小组总结展示,师补充)1a≥0,b≥0)a≥0,b≥0)及其运用.2.二次根式的除法法则a≥0,b>0(a≥0,b>0)及其运用.3.最简二次根式的概念及其运用.【设计意图】梳理本节课的主要知识点,让学生明确重难点.课后作业一、选择题1(y>0)是二次根式,那么它化为最简二次根式是()A(y>0) By>0) C(y>0) D.以上都不对2.把(a-1a-1)移入根号内得()A..3.在下列各式中,化简正确的是()A=±12C 2D .4的结果是( )A .-3 B ..-3 D .5.阅读下列运算过程:3==5==数学上将这种把分母的根号去掉的过程称作“分母有理化”) A .2 B .6 C .13 D二、填空题6.(x ≥0)7._________. 三、综合提高题8,•现用直径为的一种圆木做原料加工这种房梁,那么加工后的房梁的最大截面积是多少?9.已知a为实数,-阅读下面的解答过程,请判断是否正确?若不正确,•请写出正确的解答过程:-a·1a=(a-110.若x、y为实数,且y答案:一、1.C 2.D 3.C 4.C 5.C二、6.7.三、8.设:矩形房梁的宽为x(cm)cm,依题意,得:2222);)x x cm x cm+==⋅=.9.不正确,正确解答:因为301aa⎧->⎪⎨->⎪⎩,所以a<0,aa=(1-a10.∵224040xx⎧-≥⎪⎨-≥⎪⎩∴x-4=0,∴x=±2,但∵x+2≠0,∴x=2,y=14∴4====.教学反思本节内容是在前一节二次根式的学习基础上,要求学生能熟练运用乘法法则和除法法则进行化简和计算.在教学过程中,通过一些特殊的例子让学生归纳出乘法法则和除法法则,学生比较容易接受.但是在具体进行化简和计算的过程中,学生对二次根式乘法法则和除法法则理解上问题不大,但常常忘记计算结果需要化简,此外被开方数是多项式的乘除法运算上容易出现错误,对分母有理化还不够熟练.因此还要加强训练,否则,在下一节二次根式的加减和混合运算时出现的错误会更多.总之,二次根式的乘除运算法则的学习和应用的过程中,渗透分析、概括、类比等数学思想方法,提高学生的思维品质和学习兴趣,鼓励学生大胆猜想,积极探索,运用类比、归纳和从特殊到一般的思考方法激发学生创造性的思维.。
第五章《二元一次方程组实际应用》专项练习1.疫情期间,为满足市场需求,某厂家每天定量生产医用口罩和N95口罩共80万个.当该厂家生产的两种口罩当日全部售出时,则可获得利润35万元.两种口罩的成本和售价如下表所示:成本(元/个)售价(元/个)医用口罩0.8 1.2N95口罩 2.5 3 (1)求每天定量生产这两种口罩各多少万个.(2)该厂家将每天生产的口罩打包(每包1万个)并进行整包批发销售.为了支持防疫工作,现从生产的两种口罩中分别抽取若干包口罩免费捐赠给疫情严重的地区,且捐赠的N95口罩不超过医用口罩的三分之一.若该企业把捐赠后剩余的口罩全部售出后,每日仍可盈利2万元,则从医用口罩和N95口罩中各抽取多少包?2.列方程组解应用题:2020年5月1日,新修订的《北京市生活垃圾管理条例》正式实施,生活垃圾分为厨余垃圾、可回收物、有害垃圾和其他垃圾四类.北京市现有生活垃圾处理设施中的焚烧设施和生化设施共34座,总处理能力达到约24550吨/日,其中每一座焚烧设施处理能力约为1500吨/日,每一座生化设施处理能力约为350吨/日.则北京市现有生活垃圾处理设施中的焚烧设施和生化设施各有多少座?3.某单位在疫情期间购买甲、乙两种防疫品共三次,只有一次甲、乙同时打折,其余两次均按标价购买.三次购买甲、乙的数量和费用如下表:购买甲的数量(个)购买乙的数量(个)购买总费用(元)第一次购物60 50 1140第二次购物30 70 1110第三次购物90 80 1062 (1)该单位在第次购物时享受了打折优惠;(2)求出防疫品甲、乙的标价.4.某电器超市销售每台进价为80元、200元的A,B两种型号的电风扇,如表所示是六月份前2周的销售情况:(进价、售价均保持不变,利润=销售收入﹣进货成本)销售时段销售数量销售收入A种型号B种型号第一周 6 5 2100元第二周 4 10 3400元(1)求A、B两种型号的电风扇的销售单价.(2)若超市一共采购这两种型号的电风扇共120台,售完后该超市能否实现利润为8000元的目标?若能,请给出相应的采购方案;若不能,请说明理由.5.现由A、B两种货车运输救助物资,已知3辆A车和1辆B车每次可运救助物资15吨,4辆A车和3辆B车每次可运救助物资25吨.(1)1辆A车和1辆B车一次分别可运多少吨?(2)若用A,B两种货车一次运完35吨救助物资(货车均装满),该如何安排A、B 两种货车的数量?请写出所有的安排方案.。
北师大版八年级上册数学二次根式专题训练(附答案)一、单选题1.下列运算正确的是()A. B. C. D.2.下列运算正确的是( )A. B. C. D.3.下列根式中,是最简二次根式的是()A. B. C. D.4.是某三角形三边的长,则等于()A. B. C. 10 D. 45.下列计算正确的是()A. B. C. D.6.从,,这三个实数中任选两数相乘,所有积中小于2的有()个.A. 0B. 1C. 2D. 37.计算的结果是()A. B. 3 C. D. 98.下列计算正确的是()A. B. C. D.二、填空题9.若二次根式在实数范围内有意义,则的取值范围是________.10.计算________;11.若有意义,则x的值可以是________.(写出一个即可)12.计算的结果是________.13.人们把这个数叫做黄金分割数,著名数学家华罗庚优选法中的法就应用了黄金分割数.设,,则,记,,…,.则________.14.计算:=________.15.埃及胡夫金字塔是古代世界建筑奇迹之一,其底面是正方形,侧面是全等的等腰三角形,底面正方形的边长与侧面等腰三角形底边上的高的比值是,它介于整数n和n+1之间,则n的值是________.16.计算:________.三、计算题17.计算:.18.计算:.19.先化简,再求值:.其中,.20.计算:.21.计算:.22.先化简,再求值:,其中.四、解答题23.阅读理解:∵,即2< <3,∴1< -1<2,∴-1的整数部分为1,∴-1的小数部分为-2解决问题:已知a是-3的整数部分,b是-3的小数部分,求(-a)3+(b+4)2的平方根24.阅读理解:求的值.解:设两边平方得:∴,即.∴∵∴请利用上述方法,求的值.25.已知的算术平方根是,的平方根是,是的整数部分,求的平方根26.已如实数、在数轴上的位置如图所示,请化简答案一、单选题1. D2. C3. D4. D5. C6. C7. B8. A二、填空题9. 10. 3 11. 3 12. 13. 10 14. 4 15. 1 16. 5三、计算题17. 解:.18. 解:.19. 解:原式= ,把,代入得:原式= .20. 解:= = =021. 解:原式22. 解:原式,,.当时,原式四、解答题23. 解:∵<<∴4<<5 ∴1--3<2 ∴a=1,b=-4∴(-a)3+(b+4)2=(-1)3+(-4+4)2=-1+17=16∴(-a)3+(b+4)2的平方根是±424. 解:设x=,两边平方得x2===14,∴x=±.∵>0,∴=.25. 解:∵2a-1的算术平方根是3,3a+b-1的平方根是±4,,解得:,∵9<13<16,∴3<<4,∴的整数部分是3,即c=3,∴原式=5+2×2-9=0.26. 解:由题意得:<<,<<<<>。
北师大版八年级数学上册《5.5应用二元一次方程组:里程碑上的数(1)》同步练习及答案 专题 行程问题1. 一辆汽车在公路上匀速行驶,司机在路边看到一个里程碑上是一个两位数,行驶一小时后,他看到的里程碑上的数,恰好是第一个里程碑上的数颠倒顺序后的两位数,再过一小时,他看到的里程碑上的数,又恰好是第一次看到的两位数中间添上一个零的三位数,那么他第一次看到的两位数是( )A .14B .15C .16D .172. 某人在电车路轨旁与路轨平行的路上行走,他留意到每隔6分钟有一部电车从他后面驶向前面,每隔2分钟有一部电车从对面驶向后面.假设电车和此人行走的速度都不变(分别为12u u ,表示),请你根据下面的示意图,求电车每隔几分钟(用t 表示)从车站开出一部?3. 甲、乙两人分别从相距30千米的A 、B 两地同时相向而行,经过3小时后相距3千米,再经过2小时,甲到B 地所剩路程是乙到A 地所剩路程的2倍,求甲、乙两人的速度.参考答案:1.C 【解析】 设第一次他看到的两位数的个位数为x ,十位数为y ,汽车行驶速度为v ,根据题意得⎩⎨⎧⨯=+-+⨯=+-+,,1)10(1001)10(10v y x x y v x y y x解得x=6y.∵xy 为1-9内的自然数,∴x=6,y=1;即两位数为16.答:他第一次看到的两位数是16.2.解:根据题意得1211216()2()u u u t u u u t-=⎧⎨+=⎩,解得122u u =. 3t =∴(分钟). 答:电车每隔3分钟从车站开出一部.3.解:设甲的速度为xkm/h ,乙的速度为ykm/h ,则有两种情况:(1)当甲和乙相遇前相距3千米时,依题意得⎩⎨⎧-=-=++,,)530(2530303)(3y x y x 解得⎩⎨⎧==.54y x , (2)当甲和乙相遇后相距3千米时,依题意得⎩⎨⎧-=-=-+),530(2530,303)(3y x y x 解得⎪⎪⎩⎪⎪⎨⎧==.317,316y x答:甲乙两人的速度分别为4km/h 、5km/h 或316km/h ,317km/h .。
专题2.7 实数的混合运算专项训练(40题)【北师大版】考卷信息:本套训练卷共40题,题型针对性较高,覆盖面广,选题有深度,可加强学生对实数混合运算的理解!1.(2023春·黑龙江齐齐哈尔·八年级统考期中)计算√116−√614+|√3−1|−√3 2.(2023春·广西玉林·八年级统考期末)计算:(−1)2023−√9+|1−√2|−√−83. 3.(2023春·河南洛阳·八年级统考期末)计算:−32×2+√(−4)2+√−643.4.(2023春·四川广元·八年级校联考期末)计算:√−83+|√3−2|−(−1)2021+|−√3|.5.(2023春·四川德阳·八年级四川省德阳中学校校考期中)计算:−22+√36−√−273−|2−√5|. 6.(2023春·四川泸州·八年级统考期末)计算:−32×29+√2516÷58+√−273. 7.(2023春·四川绵阳·八年级校联考期中)计算:√196×√−643÷√12425−√(−3)2−|√3+√−83|. 8.(2023春·四川绵阳·八年级统考期中)计算:√−83+√9−√1916+(−1)2022+|1−√2| 9.(2023春·山东临沂·八年级统考期中)计算: (1)√9+√52+√−273(2)(−3)2−|−12|−√910.(2023春·山西临汾·八年级统考期中)计算: (1)√0.04+√−83−√125; (2)−√214+√0.1253+√1−6364.11.(2023春·河南驻马店·八年级统考期中)(1)计算∶ √16+√−643−2√3+|√3−2|; (2)求下列式子中的x : 9x 2−16=0.12.(2023春·重庆彭水·八年级统考期中)(1)计算√83−√16+|√3−2|; (2)(12)0+(−2)3×18−√273×√19.13.(2023春·湖北十堰·八年级统考期末)计算下列各式的值: (1)√16−√−13+|2−√3|(2)√7(√7√7)−√8314.(2023春·湖北省直辖县级单位·八年级统考期末)计算: (1)√16+√−643−√(−3)2+|√3−1|; (2)已知(x +1)2=16,求x 的值.15.(2023春·天津静海·八年级校考期中)计算: (1)(−1)3+|1−√2|+√83; (2)√0.01+√−83−√1416.(2023春·黑龙江哈尔滨·八年级统考期中)计算 (1)8x 3+125=0;(2)√−83+√(−3)2−|√3−2|.17.(2023春·广东广州·八年级广州大学附属中学校考期中)计算: (1)√3+|√3−2|−√−83+√(−2)2. (2)√81+√(−3)2×√169−√1214+√−273.18.(2023春·广东汕头·八年级校考期中)计算 (1)√9−√(−5)33÷√(34)2(2)(−1)2021−√9+√−83+|√3−2|19.(2023春·山西吕梁·八年级统考期中)(1)计算:(−1)2022−(√16+√214)+√273+12 (2)解方程:2x 2=1820.(2023春·山东临沂·八年级统考期中)(1)计算:(−1)2017−√(−2)2−√−83+|√3−2|; (2)求x 的值:2(x −3)2=32.21.(2023春·辽宁鞍山·八年级校联考期中)计算: (1)√273−√25+|√3−2|−(1−√3) (2)√13×(√13√13)−√27322.(2023春·重庆江津·八年级校联考期中)计算: (1)−42×(−1)2023+√83−√25; (2)2√14−|2−√3|+√(−9)2+√−273.23.(2023春·山东聊城·八年级统考期中)计算:(1)2−2+√−13+(√83+4)÷√(−6)2 (2)(π−2023)0+√1.21−√−33263−√0.008324.(2023春·四川德阳·八年级四川省德阳市第二中学校校考期中)计算: (1)√(−3)2×(−13)−√273÷√14(2)√−83−√2+(√3)2+|1−√2|−(−1)2023 25.(2023春·河北唐山·八年级统考期中)计算: (1)(√2)2−√273+|√3−3|; (2)√9×√4+√102−(−4)2;26.(2023春·浙江宁波·八年级校考期中)计算下列各式: (1)√4+|−2|+√−273+(−1)2017; (2)(−3)2÷(−23)+(−2)3×(−32).27.(2023春·广东广州·八年级校考期中)计算: (1)(√5)2+√(−3)2+√−83; (2)(−2)3×18−√273×(−√19).28.(2023春·河南鹤壁·八年级校考期中)计算: (1)√14+√−83−11−√21; (2)0.1252022×(−8)2023.29.(2023春·山东枣庄·八年级统考期末)(1)计算:√16−√19+√273−|3−√5|;(2)求x 的值:(x +1)3=−827.30.(2023春·天津河北·八年级统考期中)(1)计算:√0.04+√−83−√14+2; (2)求下式中x 的值: 4(x +5)2=16.31.(2023春·黑龙江牡丹江·八年级校考期中)计算: (1)√−83−√3+(√5)2+|1−√3| (2)√36+√214+√−27332.(2023春·湖北十堰·八年级统考期中)计算:(1)√−8273×√14−√(−2)2;(2)√3−√25+|√3−3|+√1−63643.33.(2023春·云南红河·八年级校考期中)计算 (1)√25−√273+|−√9|(2)|2−√5|+|3−√7|+|√7−√5|34.(2023春·江苏泰州·八年级校考期中)计算或解方程: (1)8(x −1)3=−1258;(2)3(x −1)2−15=0.(3)−14×√4+|√9−5|+√214+√−0.1253.35.(2023春·北京西城·八年级北京市回民学校校考期中)按要求计算下列各题 (1)计算:|1−√2|−√(−2)2+√273;(2)已知√a −1+√b −5=0,则(a −b )2的算术平方根; (3)已知4x 2=25,求x 的值; (4)已知(x +1)2=1,求x 的值.36.(2023春·浙江宁波·八年级校联考期中)计算: (1)−2+(−7)−3+8;(2)−12021+(12−13)×|−6|÷22; (3)(14−23−56)×(−12); (4)−23+√−273−(−2)2÷√1681.37.(2023春·山东德州·八年级统考期中)计算: (1) −22−(√−38+8)÷√(−6)2−|√7−3|(2)√−1253−√279+√−(−14)3+√8273(3)(3x+2)2=16 (4)12(2x −1)3=−438.(2023春·浙江绍兴·八年级校考期中)计算: (1)|−8|+32+(−12)−32专题2.7 实数的混合运算专项训练(40题)【北师大版】考卷信息:本套训练卷共40题,题型针对性较高,覆盖面广,选题有深度,可加强学生对实数混合运算的理解!1.(2023春·黑龙江齐齐哈尔·八年级统考期中)计算√116−√614+|√3−1|−√3【答案】−134【分析】先根据算术平方根的定义,去绝对值的方法化简,再合并即可.【详解】解:原式=14−√254+√3−1−√3=14−52+√3−1−√3=14−52−1+√3−√3=−134【点睛】本题考查求一个数的算术平方根,去绝对值,实数的运算等知识,掌握相关法则和公式是解题的关键.2.(2023春·广西玉林·八年级统考期末)计算:(−1)2023−√9+|1−√2|−√−83.【答案】√2−3【分析】先计算乘方运算,化简绝对值,求解算术平方根与立方根,再合并即可.【详解】解:原式=−1−3+√2−1+2=√2−3.【点睛】本题考查的是实数的混合运算,掌握化简绝对值,求解算术平方根与立方根是解本题的关键.3.(2023春·河南洛阳·八年级统考期末)计算:−32×2+√(−4)2+√−643.【答案】−18【分析】原式利用立方根,平方根,以及平方的定义化简即可得到结果.【详解】解:−32×2+√(−4)2+√−643=−9×2+4−4=−18【点睛】此题考查了实数的运算,熟练掌握运算法则是解本题的关键.4.(2023春·四川广元·八年级校联考期末)计算:√−83+|√3−2|−(−1)2021+|−√3|. 【答案】1【分析】先计算立方根、去绝对值、计算乘方,再计算加减即可. 【详解】解:原式=−2+2−√3+1+√3 =1.【点睛】本题主要考查实数的运算,掌握实数的运算顺序及有关运算法则是解答本题的关键. 5.(2023春·四川德阳·八年级四川省德阳中学校校考期中)计算:−22+√36−√−273−|2−√5|. 【答案】7−√5【分析】首先计算乘方、开方,去绝对值,然后从左向右依次计算,求出算式的值是多少即可. 【详解】解:−22+√36−√−273−|2−√5|=−4+6−(−3)−(√5−2) =−4+6+3−√5+2=7−√5.【点睛】此题主要考查了实数的运算,要熟练掌握,解答此题的关键是要明确:在进行实数运算时,和有理数运算一样,要从高级到低级,即先算乘方、开方,再算乘除,最后算加减,有括号的要先算括号里面的,同级运算要按照从左到右的顺序进行.另外,有理数的运算律在实数范围内仍然适用. 6.(2023春·四川泸州·八年级统考期末)计算:−32×29+√2516÷58+√−273. 【答案】−3【分析】先计算平方、开平方和开立方,再计算加减. 【详解】解:原式=−9×29+54×85+(−3) =−2+2+(−3) =−3.【点睛】本题考查平方、算术平方根、立方根,解题关键是熟练掌握定义.7.(2023春·四川绵阳·八年级校联考期中)计算:√196×√−643÷√12425−√(−3)2−|√3+√−83|. 【答案】−45+√3【分析】根据实数的混合计算法则求解即可. 【详解】解:原式=14×(−4)÷√4925−3−|√3−2|=−56÷75−3−(2−√3)=−40−3−2+√3=−45+√3.【点睛】本题主要考查了实数的混合计算,正确计算是解题的关键. 8.(2023春·四川绵阳·八年级统考期中)计算:√−83+√9−√1916+(−1)2022+|1−√2|【答案】−14+√2【分析】先化简各式,再进行加减运算. 【详解】解:原式=−2+3−54+1+√2−1=−14+√2.【点睛】本题考查开方运算,乘方运算,去绝对值.熟练掌握相关运算法则,是解题的关键. 9.(2023春·山东临沂·八年级统考期中)计算: (1)√9+√52+√−273(2)(−3)2−|−12|−√9【答案】(1)5 (2)512【分析】(1)根据算术平方根、立方根的性质化简,再计算加减即可; (2)根据乘方、绝对值、算术平方根的性质化简,再计算加减即可. 【详解】(1)解:√9+√52+√−273=3+5−3=5;(2)解:(−3)2−|−12|−√9=9−12−3=512.【点睛】本题考查了实数的运算,解答此题的关键是要明确:在进行实数运算时,和有理数运算一样,要从高级到低级,即先算乘方、开方,再算乘除,最后算加减.10.(2023春·山西临汾·八年级统考期中)计算: (1)√0.04+√−83−√125;(2)−√214+√0.1253+√1−6364. 【答案】(1)−2 (2)−78【分析】(1)首先计算开平方和开立方,然后从左向右依次计算,求出算式的值即可; (2)首先计算开平方和开立方,然后从左向右依次计算,求出算式的值即可. 【详解】(1)解:原式=0.2−2−15=−2(2)解:原式=−32+12+18=−78【点睛】此题主要考查了实数的运算,解答此题的关键是要明确:在进行实数运算时,和有理数运算一样,要从高级到低级,即先算乘方、开方,再算乘除,最后算加减,有括号的要先算括号里面的,同级运算要按照从左到右的顺序进行.11.(2023春·河南驻马店·八年级统考期中)(1)计算∶ √16+√−643−2√3+|√3−2|; (2)求下列式子中的x : 9x 2−16=0. 【答案】(1)2−3√3;(2)x =±43【分析】(1)先计算算术平方根,立方根,化简绝对值,再合并即可; (2)把方程化为x 2=169,再利用直接平方根的含义解方程即可.【详解】(1)解:原式=4−4−2√3+2−√3=2−3√3 (2)解:∶9x 2−16=0, ∶9x 2=16, ∶x 2=169,解得:x =±43;【点睛】本题考查的是实数的混合运算,利用平方根的含义解方程,熟记平方根的含义是解本题的关键.12.(2023春·重庆彭水·八年级统考期中)(1)计算√83−√16+|√3−2|; (2)(12)0+(−2)3×18−√273×√19.【答案】(1)−√3;(2)−1【分析】(1)先根据立方根定义、算术平方根计算,再利用绝对值的代数意义化简,计算即可得到结果; (2)先将零指数幂、立方根、算术平方根、乘方计算,再进行计算即可 【详解】解:(1)√83−√16+|√3−2|=2−4+2−√3=−√3;(2)(12)0+(−2)3×18−√273×√19=1−8×18−3×13=1−1−1=−1.【点睛】此题考查了实数的运算,熟练掌握运算法则是解本题的关键. 13.(2023春·湖北十堰·八年级统考期末)计算下列各式的值: (1)√16−√−13+|2−√3| (2)√7(√7√7)−√83【答案】(1)7−√3 (2)6【分析】(1)先化简各式,再进行加减运算; (2)先算乘法,求立方根,再进行加减运算. 【详解】(1)解:原式=4−(−1)+2−√3=5+2−√3=7−√3;(2)原式=√7×√7+√7√72=7+1−2=6.【点睛】本题考查实数的混合运算.熟练掌握相关运算法则,正确的计算是解题的关键. 14.(2023春·湖北省直辖县级单位·八年级统考期末)计算: (1)√16+√−643−√(−3)2+|√3−1|; (2)已知(x +1)2=16,求x 的值. 【答案】(1)−4+√3 (2)x =3或x =−5【分析】(1)原式先化简算术平方根、立方根和绝对值,然后再进行加减运算即可即可; (2)直接运用开平方法求解方程即可.【详解】(1)解:√16+√−643−√(−3)2+|√3−1| =4−4−3+√3−1 =−4+√3; (2)(x +1)2=16, x +1=±4, ∶x =3或x =−5.【点睛】本题主要考查了实数的混合运算和运用开平方法解方程,熟练掌握算术平方根的定义是解答本题的关键.15.(2023春·天津静海·八年级校考期中)计算: (1)(−1)3+|1−√2|+√83; (2)√0.01+√−83−√14 【答案】(1)√2 (2)−2.4【分析】(1)根据立方、立方根、实数绝对值化简后再去计算即可; (2)根据算术平方根、立方根化简后计算即可. 【详解】(1)原式=−1+√2−1+2=√2; (2)原式=0.1−2−12=−2.4.【点睛】本题考查实数的混合运算,解题的关键是先化简再去计算.16.(2023春·黑龙江哈尔滨·八年级统考期中)计算(1)8x3+125=0;(2)√−83+√(−3)2−|√3−2|.【答案】(1)−52(2)−1+√3【分析】(1)先整体求得x3,然后再根据立方根的知识求得x即可;(2)先根据立方根、算术平方根、绝对值的知识化简,然后再计算即可.【详解】(1)解:8x3+125=0,8x3=125,x3=−1258,x=−52.(2)解:√−83+√(−3)2−|√3−2|,=−2+3−2+√3,=−1+√3.【点睛】本题主要考查了立方根、算术平方根、绝对值、实数的运算等知识点,灵活运用相关运算法则是解答本题的关键.17.(2023春·广东广州·八年级广州大学附属中学校考期中)计算:(1)√3+|√3−2|−√−83+√(−2)2.(2)√81+√(−3)2×√169−√1214+√−273.【答案】(1)6(2)132【分析】(1)分别计算化简绝对值,开立方根和开算术平方根,再按照实数加减混合运算即可.(2)分别计算开立方根、开算术平方根和实数乘除,再按照有理数加减乘除混合运算即可.【详解】(1)解:√3+|√3−2|−√−83+√(−2)2=√3+2−√3+2+2=6故答案为:6.(2)解:√81+√(−3)2×√169−√1214+√−273=9+3×43−72−3=9+4−72−3=132故答案为:132.【点睛】本题考查了实数的加减乘除混合运算,解题的关键在于熟练掌握实数的运算法则. 18.(2023春·广东汕头·八年级校考期中)计算 (1)√9−√(−5)33÷√(34)2(2)(−1)2021−√9+√−83+|√3−2| 【答案】(1)293;(2)−4−√3;【分析】(1)先分别计算算术平方根、立方根,再进行实数的加减运算即可;(2)先分别计算乘方、算术平方根、立方根和化简绝对值,再进行实数的加减运算即可;【详解】(1)解:√9−√(−5)33÷√(34)2=3−(−5)÷34=3+5×43=293;(2)(−1)2021−√9+√−83+|√3−2|=−1−3+(−2)+(2−√3)=−4−2+2−√3=−4−√3;【点睛】本题考查实数的加减运算,解题的关键是掌握立方根和绝对值相关知识.19.(2023春·山西吕梁·八年级统考期中)(1)计算:(−1)2022−(√16+√214)+√273+12 (2)解方程:2x 2=18 【答案】(1)−1;(2)x =±3【分析】(1)原式分别根据乘方的意义、算术平方根以及立方根的意义化简各项后,再进行加减运算即可得到结果;(2)方程两边同除以2后,再进行开平方运算即可. 【详解】解:(1)(−1)2022−(√16+√214)+√273+12 =1−(4+32)+3+12=1−4−32+3+12 =−1; (2)2x 2=18 x 2=9 x =±3.【点睛】本题主要考查了实数的混合运算以及运用平方根解方程,熟练掌握相关知识是解答本题的关键. 20.(2023春·山东临沂·八年级统考期中)(1)计算:(−1)2017−√(−2)2−√−83+|√3−2|; (2)求x 的值:2(x −3)2=32.【答案】(1)1−√3;(2)x 的值为7或−1【分析】(1)先计算乘方、算术平方根、立方根、化简绝对值,再计算实数的加减法即可得; (2)利用平方根解方程即可得.【详解】解:(1)原式=−1−√4−(−2)+2−√3=−1−2+2+2−√3=1−√3;(2)2(x −3)2=32, (x −3)2=16,x −3=4或x −3=−4, 解得x =7或x =−1, 所以x 的值为7或−1.【点睛】本题考查了算术平方根、立方根、实数的运算、利用平方根解方程,熟练掌握各运算法则是解题关键.21.(2023春·辽宁鞍山·八年级校联考期中)计算:(1)√273−√25+|√3−2|−(1−√3)(2)√13×(√13√13)−√273【答案】(1)−1(2)0【分析】(1)根据实数的混合计算法则求解即可;(2)根据实数的混合计算法则求解即可.【详解】(1)解:原式=3−5+2−√3−1+√3=−1;(2)解:原式=√13×√13−√13×√13−3=13−10−3=0.【点睛】本题主要考查了实数的混合计算,熟知相关计算法则是解题的关键.22.(2023春·重庆江津·八年级校联考期中)计算:(1)−42×(−1)2023+√83−√25;(2)2√14−|2−√3|+√(−9)2+√−273.【答案】(1)13;(2)5+√3【分析】(1)根据幂的运算法则,根式性质,立方根的定义直接计算即可得到答案;(2)根据根式的性质,立方根的定义直接计算即可得到答案;【详解】(1)解:原式=−16×(−1)+2−5=16+2−5=13;(2)解:原式=2×12−2+√3+9+(−3)=1−2+√3+9−3=5+√3;【点睛】本题考查根式的性质,立方根的定义,幂的运算,解题的关键是熟练掌握√a 2=|a | ,√a 33=a . 23.(2023春·山东聊城·八年级统考期中)计算: (1)2−2+√−13+(√83+4)÷√(−6)2 (2)(π−2023)0+√1.21−√−33263−√0.0083【答案】(1)14 (2)2.65【分析】(1)先计算负整数指数幂、立方根、算术平方根,再根据实数的混合计算法则求解即可; (2)先计算零指数幂、算术平方根及立方根,再根据实数的混合计算法则求解即可. 【详解】(1)解:原式=14−1+(2+4)÷6=14−1+6÷6 =14−1+1 =14;(2)解:原式=1+1.1−(−322)−0.2=1+1.1−(−34)−0.2=1+1.1+34−0.2=2.65.【点睛】本题主要考查了实数的混合计算,零指数幂和负整数指数幂,熟知相关计算法则是解题的关键. 24.(2023春·四川德阳·八年级四川省德阳市第二中学校校考期中)计算: (1)√(−3)2×(−13)−√273÷√14(2)√−83−√2+(√3)2+|1−√2|−(−1)2023 【答案】(1)−7 (2)1【分析】(1)先分别求解算术平方根、立方根,然后进行乘除运算,最后进行减法运算即可;(2)先分别求解立方根,乘方,绝对值,然后进行加减运算即可. 【详解】(1)解:√(−3)2×(−13)−√273÷√14=3×(−13)−3÷12=−1−6=−7;(2)解:√−83−√2+(√3)2+|1−√2|−(−1)2023=−2−√2+3+√2−1−(−1) =−2+3−1+1−√2+√2=1.【点睛】本题考查了算术平方根、立方根,乘方,绝对值,实数的混合运算.解题的关键在于正确的运算. 25.(2023春·河北唐山·八年级统考期中)计算: (1)(√2)2−√273+|√3−3|; (2)√9×√4+√102−(−4)2; 【答案】(1)2−√3 (2)0【分析】(1)先计算平方、立方根,去绝对值符号,再进行加减运算; (2)先计算开平方,有理数的乘方,再进行乘法运算,最后进行加减运算. 【详解】(1)解:原式=2−3+(−√3+3)=2−3−√3+3=2−√3;(2)解:原式=3×2+10−16=6+10−16=0.【点睛】本题考查了实数的混合运算,平方、平方根、立方根,绝对值的性质,有理数的乘方,熟练掌握运算法则及运算顺序是解题的关键.26.(2023春·浙江宁波·八年级校考期中)计算下列各式: (1)√4+|−2|+√−273+(−1)2017;(2)(−3)2÷(−23)+(−2)3×(−32).【答案】(1)0 (2)−32【分析】(1)分别根据算术平方根的定义,绝对值的性质,立方根的定义计算出各数,再根据实数的加减法则进行计算;(2)先算乘方,再算乘除,最后算加减即可. 【详解】(1)解:原式=2+2−3−1 =0;(2)解:原式=9÷(−23)+(−8)×(−32)=9×(−32)+12=−272+12 =−32.【点睛】本题考查的是实数的运算,熟知实数混合运算的法则是解题的关键. 27.(2023春·广东广州·八年级校考期中)计算: (1)(√5)2+√(−3)2+√−83; (2)(−2)3×18−√273×(−√19). 【答案】(1)6 (2)0【分析】(1)原式利用乘方的意义,平方根、立方根定义计算即可得到结果; (2)原式利用乘方的意义,立方根定义,以及乘法法则计算即可得到结果. 【详解】(1)解:原式=5+3+(−2)=8−2=6; (2)解:原式=(−8)×18−3×(−13)=−1+1=0.【点睛】本题考查实数的运算,涉及立方根、平方根、乘方运算,掌握实数的运算顺序是关键. 28.(2023春·河南鹤壁·八年级校考期中)计算:(1)√14+√−83−11−√21;(2)0.1252022×(−8)2023. 【答案】(1)−1212−√21 (2)−8【分析】(1)根据算术平方根、立方根定义先化简,再利用实数加减运算法则计算即可得到答案; (2)先将小数化为分数,再利用积的乘方运算的逆运算求解即可得到答案. 【详解】(1)解:√14+√−83−11−√21=12−2−11−√21 =−112−11−√21=−1212−√21;(2)解:0.1252022×(−8)2023=(18)2022×(−8)2023=[18×(−8)]2022×(−8) =(−1)2022×(−8)=−8.【点睛】本题考查实数混合运算,涉及算术平方根、立方根、实数加减运算、分数与小数互化、积的乘方运算的逆运算等知识,熟练掌握相关运算法则是解决问题的关键.29.(2023春·山东枣庄·八年级统考期末)(1)计算:√16−√19+√273−|3−√5|;(2)求x 的值:(x +1)3=−827.【答案】(1)113+√5;(2)x =−53【分析】(1)首先计算开平方、开立方和绝对值,然后从左向右依次计算,求出算式的值即可. (2)根据立方根的含义和求法,求出x +1的值,进而求出x 的值即可. 【详解】解:(1)√16−√19+√273−|3−√5| =4−13+3−(3−√5)=4−13+3−3+√5=113+√5.(2)∵(x +1)3=−827, ∴x +1=−23, 解得:x =−53.【点睛】此题主要考查了立方根的含义和求法,以及实数的运算,解答此题的关键是要明确:在进行实数运算时,和有理数运算一样,要从高级到低级,即先算乘方、开方,再算乘除,最后算加减,有括号的要先算括号里面的,同级运算要按照从左到右的顺序进行.30.(2023春·天津河北·八年级统考期中)(1)计算:√0.04+√−83−√14+2;(2)求下式中x 的值: 4(x +5)2=16. 【答案】(1)−0.3;(2)x =−7或x =−3【分析】(1)首先进行开平方和开立方运算,再进行有理数的加减即可求解;(2)首先求出(x +5)2的值,然后根据平方根的定义求出x +5的值,进而求出x 的值即可. 【详解】解:(1)√0.04+√−83−√14+2 =0.2+(−2)−12+2 =−0.3;(2)4(x +5)2=16, 即(x +5)2=4,∴x +5=−2或x +5=2, 解得x =−7或x =−3.【点睛】此题主要考查了平方根、立方根的定义,以及实数的运算,解答此题的关键是要明确:在进行实数运算时,和有理数运算一样,要从高级到低级,即先算乘方、开方,再算乘除,最后算加减,有括号的要先算括号里面的,同级运算要按照从左到右的顺序进行. 31.(2023春·黑龙江牡丹江·八年级校考期中)计算: (1)√−83−√3+(√5)2+|1−√3| (2)√36+√214+√−273【答案】(1)2 (2)92【分析】(1)根据立方根定义、平方根的性质、绝对值的意义等计算即可; (2)根据立方根、算术平方根的定义计算即可. 【详解】(1)解:√−83−√3+(√5)2+|1−√3| =−2−√3+5+√3−1 =2;(2)解:√36+√214+√−273=6+32−3=92.【点睛】本题考查了实数的混合运算,掌握立方根、算术平方根的定义等是解题的关键. 32.(2023春·湖北十堰·八年级统考期中)计算: (1)√−8273×√14−√(−2)2; (2)√3−√25+|√3−3|+√1−63643.【答案】(1)−213 (2)−74【分析】(1)先利用立方根,算术平方根的性质化简,再进行计算; (2)先利用立方根,算术平方根、绝对值的性质化简,再进行计算. 【详解】(1)解:原式=−23×12−√4=−13−2=−213;(2)解:原式=√3−5+3−√3+√1643=−2+14=−74.【点睛】本题考查了实数的混合运算,熟练掌握运算法则是解题的关键.33.(2023春·云南红河·八年级校考期中)计算(1)√25−√273+|−√9|(2)|2−√5|+|3−√7|+|√7−√5|【答案】(1)5(2)1【分析】(1)先化简根式再计算(2)先化简再进行实数的混合运算(1)解:原式=5−3+3=5(2)解:原式=√5−2+3−√7+√7−√5=1【点睛】本题考查了根式的化简,去绝对值运算,熟练掌握运算法则是解题关键.34.(2023春·江苏泰州·八年级校考期中)计算或解方程:(1)8(x−1)3=−1258;(2)3(x−1)2−15=0.(3)−14×√4+|√9−5|+√214+√−0.1253.【答案】(1)x=−14(2)x=1±√5(3)1【分析】(1)利用立方根解方程即可;(2)移项,利用平方根解方程即可;(3)先化简各式,再加减运算即可.【详解】(1)解:8(x−1)3=−1258,∶(x −1)3=−12564 ∶x −1=√−125643=−54,∶x =−14; (2)解:3(x −1)2−15=0,∶3(x −1)2=15,∶(x −1)2=5,∶x −1=±√5,∶x =1±√5;(3)原式=−1×2+|3−5|+32−0.5=−2+|−2|+32−12=−2+2+32−12=1.【点睛】本题考查利用平方根和立方根解方程,实数的混合运算.熟练掌握相关运算法则,正确计算,是解题的关键.35.(2023春·北京西城·八年级北京市回民学校校考期中)按要求计算下列各题(1)计算:|1−√2|−√(−2)2+√273;(2)已知√a −1+√b −5=0,则(a −b )2的算术平方根;(3)已知4x 2=25,求x 的值;(4)已知(x +1)2=1,求x 的值.【答案】(1)√2(2)4(3)x 1=52,x 2=−52 (4)x 1=0,x 2=−2【分析】(1)先根据绝对值、算术平方根、立方根的知识化简,然后再结束即可;(2)先根据算术平方根的非负性求得a 、b 的值,然后再代入(a −b )2求出其算术平方根即可;(3)先求出x 2,然后再运用平方根解方程即可解答;(4)运用平方根解方程即可解答.【详解】(1)解:|1−√2|−√(−2)2+√273,=√2−1−2+3,=√2.(2)解:∶√a −1+√b −5=0,∶a −1=0,b −5=0,∶a =1,b =5,∶(a −b )2=(1−5)2=16,∶(a −b )2的算术平方根是4.(3)解:4x 2=25,x 2=254,∶x 1=52,x 2=−52.(4)解:(x +1)2=1,x +1=±1,∶x 1=0,x 2=−2.【点睛】本题主要考查了实数的混合运算、算术平方根的非负性、立方根、运用平方根解方程等知识点,灵活运用相关知识成为解答本题的关键.36.(2023春·浙江宁波·八年级校联考期中)计算:(1)−2+(−7)−3+8;(2)−12021+(12−13)×|−6|÷22;(3)(14−23−56)×(−12);(4)−23+√−273−(−2)2÷√1681. 【答案】(1)−4(2)−34(3)15(4)−20【分析】(1)先将减法运算变成加法,再计算求解;(2)先计算乘方、绝对值和括号里面的,再计算加法;(3)先运用乘法分配律,再计算加减运算;(4)先计算乘方、立方根和平方根,再计算除法,最后计算加减.【详解】(1)−2+(−7)−3+8=−2−7−3+8=−4;(2)−12021+(12−13)×|−6|÷22 =−1+16×6×14=−1+14=−34; (3)(14−23−56)×(−12) =−14×12+23×12+56×12 =−3+8+10=15;(4)−23+√−273−(−2)2÷√1681=−8−3−4×94=−11−9=−20.【点睛】此题考查了有理数的混合运算,以及实数混合运算的能力,关键是能准确确定运算顺序和方法.37.(2023春·山东德州·八年级统考期中)计算:(1) −22−(√−38+8)÷√(−6)2−|√7−3|(2)√−1253−√279+√−(−14)3+√8273 (3)(3x+2)2=16(4)12(2x −1)3=−4【答案】(1)−8+√7(2)−478(3)x=−2或x=23(4)x=−12【分析】(1)根据乘方计算、求算术平方根、立方根、绝对值化简即可;(2)根据求算术平方根、立方根进行计算即可;(3)根据求平方根进行解方程即可;(4)根据求立方根进行解方程即可.【详解】(1)解:原式=−4−(−2+8)÷6−(3−√7)=−4−1−3+√7=−8+√7;(2)解:原式=−5−53+√164+23=−5−1+18=−478;(3)解:由(3x+2)2=16,得:3x+2=−4或3x+2=4解得:x=−2或x=23;∴方程的解为x=−2或x=23;(4)解:由12(2x−1)3=−4,得:(2x−1)3=−82x−1=−2x=−12.【点睛】本题考查实数的混合运算及根据平方根和立方根解方程,解题的关键是熟练掌握乘方计算、求算术平方根、立方根、绝对值化简、根据平方根和立方根解方程,本题的易错点是根据平方根解方程时需考虑求一个正数的平方根应有两个互为相反数的解.38.(2023春·浙江绍兴·八年级校考期中)计算:(1)|−8|+32+(−12)−32 (2)2×(−5)−(−3)÷34 (3)√81+√−273+√(−23)2−14 (4)22+(−2)2+√19+(−1)2019 【答案】(1)−4(2)−6(3)523(4)713【分析】(1)先算绝对值和去括号,再算加减;(2)先算乘除,再算加法;(3)先算立方根,算术平方根和乘方,再算加减;(4)先算乘方和算术平方根,再算加减.【详解】(1)|−8|+32+(−12)−32=8+32−12−32=−4(2)2×(−5)−(−3)÷34=−10+4=−6(3)√81+√−273+√(−23)2−14 =9+(−3)+23−1 =523(4)22+(−2)2+√19+(−1)2019=4+4+13−1=71 3【点睛】本题主要考查了实数的混合运算,要熟练掌握,解答此题的关键是要明确:在进行实数运算时,和有理数运算一样,要从高级到低级,即先算乘方、开方,再算乘除,最后算加减,有括号的要先算括号里面的,同级运算要按照从左到右的顺序进行.另外,有理数的运算律在实数范围内仍然适用.39.(2023春·山东东营·八年级统考期末)(1)计算∶√144−(2022−π)0+√(−3)2∶√259+√−125273+|√2−2|(2)解方程∶(x+2)2=25∶(x−1)3=27【答案】(1)∶14;∶2−√2;(2)∶x=3或−7;∶x=4【分析】(1)∶利用算术平方根的意义,零指数幂的意义即可求解;∶利用算术平方根,立方根的意义和绝对值的意义化简运算即可;(2)∶利用平方根的意义解答即可;∶利用立方根的意义解答即可.【详解】解:(1)∶√144−(2022−π)0+√(−3)2=12−1+3=14;∶√259+√−125273+|√2−2|=53+(−53)+2−√2=2−√2;(2)∶(x+2)2=25∴x+2=±5,∴x=3或−7;∶(x−1)3=27∴x−1=3∴x=4【点睛】本题主要考查了实数的运算,算术平方根的意义,立方根的意义,熟练掌握实数运算法则与性质是解题的关键40.(2023春·江苏·八年级期中)计算(1)√16−√−83+√−1273 (2)√3(√3√3) (3)|3−√2|−|√2−π|−√(−3)2(4)9(x +1)2−16=0(解方程) 【答案】(1)523(2)2(3)6−π (4)x =13或x =−73【分析】(1)根据实数的混合计算法则求解即可;(2)根据实数的混合计算法则求解即可;(3)根据实数的混合计算法则求解即可;(4)根据求平方根的方法解方程即可.【详解】(1)解:原式=4−(−2)+(−13)=4+2−13 =523; (2)解:原式=√3×√3−√3√3=3−1=2;(3)解:原式=3−√2−(π−√2)−(−3)=3−√2−π+√2+3=6−π;(4)解:∶9(x +1)2−16=0,∶9(x +1)2=16,∶(x +1)2=169,。
冀教版初中数学八年级上册第十五章二次根式15.3《二次根式的加减》第一课时一、教学目标知识与技能1.理解二次根式的加减法法则.2.能够正确进行简单的二次根式加减法的运算.过程与方法1.通过整式加减法运算与二次根式加减法运算的比较体会类比思想.2.通过二次根式加减法运算培养学生运算能力.3.通过运算总结运算的一般步骤:用“一化简、二判断、三合并”来总结二次根式的化简过程.情感态度与价值观通过对二次根式加减法的探究,激发学生的探索热情,让学生充分参与到数学学习的过程中来,使他们体验到成功的乐趣.二、教学重点二次根式加减法的运算.★教学难点探讨二次根式加减法运算的方法,必须将二次根式彻底化简,快速准确进行二次根式加减法的运算.★教学方法教师适当引导,学生自主学习,通过阅读教材、与同学讨论获取知识.三、教学过程提出问题,引入新课1.阅读问题.一个运动场要修两块长方形草坪,第一块草坪的长是10米,宽是5米,第二块草坪的长是20米,宽也是5米。
你能告诉运动场的负责人要准备多少面积的草皮吗?教师活动:出示课题并说明今天我们就共同来研究该如何进行二次根式的加减法运算.学生思考:解决这个问题的关键是什么?2.下列3个小题怎样计算? ①5+5; ②5-125; ③5-50+20.教师活动:提出问题(1)53-25还能继续往下合并吗?(2)看来二次根式有的能合并,有的不能合并,通过对以上几个题的观察,你能说说什么样的二次根式能合并,什么样的不能合并吗?解题过程:①设5=a ,类比合并同类项或面积法; ②学生思考,得出先化简,再合并的解题思路:5-125=5-55=-45; ③先化简,再合并:5-50+20=5-25+52=53-25.学生活动:根据解题过程归纳出二次根式加减时,先将二次根式化简成最简二次根式后,再将被开方数相同的进行合并.引出公式,运用公式1.请同学位思考下面一个问题:【思考】我们分析上面的解题过程,发现通过化简把两个二次根式合并成了一个二次根式,有点像我们以前所学的合并同类项.请同学们讨论,如果化简后两个二次根式中的被开方数不相同,能否运用分配律将两个二次根式合并呢?【分析】我们知道:在有理数范围内成立的运算律,在实数范围内仍然成立.如果化简后两个二次根的被开数不相同,我们就不能运用分配律进行合并,它不符合分配律的要求,正因为化简后的被开数是相同的,我们就可以运用分配律将其合并为一个式子.2.根据上面的分析,我们可得到二次根式的加减法运算法则.二次根式加减时,可以先将二次根式化简成最简二次根式,再将被开方数相同的二次根式进行合并.例1:计算:(1+; (2-学生活动:学生自己先进行运算,再总结解题的经验.解答过程:(1)a a 259+a a a 853=+=;(2)4580-55354=-=.教师活动:教师启发学生总结自己解题的经验,并告诉同学们进行二次根式加减运算的要点.结论:可用“一化简、二判断、三合并”来总结二次根式的化简过程.例2:计算:(1)323814182+-; (2))7581()31232(--- 学生活动:学生自己先进行运算,再与小组同学交流,选出代表解答此题. 教师活动:教师启发学生总结自己解题的经验,并与其他同学交流.看谁总结的更规范,引导学生思考归纳.解题过程:(1)原式=212226+-=217;(2)原式=+--2413322435=33132415+. 课堂练习1.指出下列每组的二次根式中,哪些是可以合并的二次根式?(字母均为正数)(1)8,12,27;(2)72,7521,501;(3)38ab ,ba 2,5332b a . 2.计算:(1)()279818-+; (2)()⎪⎪⎭⎫ ⎝⎛--+6815.024 四、课堂总结.1.二次根式加减法的运算方法和步骤是什么?2.二次根式加减法应注意先化简成最简二次根式,以及运算的准确性.3.在学习过程中运用了类比的学习方法.第二课时一、教学目标知识与技能1.利用二次根式加减法解决一些实际问题.2.能熟练对开方式中含有字母、被开方式中含有分母的二次根式进行化简.3.能进行二次根式的混合运算.过程与方法1.通过学习二次根式的加减运算,体会二次根式的加减与整式中的合并同类项之间的联系.2.培养学生将实际问题抽象为数学问题的能力.把获得把实际问题转化为数学问题的体验.3.对二次根式的混合运算与整式的混合运算及数的混合运算作比较,要注意运算的顺序及运算律在计算过程中的作用.情感态度与价值观1.通过独立思考与小组讨论,培养良好的学习态度,以及自我意识.2.通过本节课的学习培养学生的类比思想.3.在较复杂的解题过程中,培养耐心,养成细心的习惯.二、教学重点1.将实际问题抽象为数学问题.2.混合运算的法则,明确三级运算的顺序,运算律的合理使用.★教学难点1.被开方式中含有字母、被开方式中含有分母的二次根式的化简.2.灵活运用因式分解、约分等技巧,使计算简便.★教学方法教师适当引导,学生自主学习,通过阅读教材、与同学讨论获取知识.通过对比找到适当的解题方法,注意总结解题的经验.三、教学过程提出问题,引入新课复习引入计算:(1)52080+-;(2)101252403--. 数学来源于生活,应用于生活.下面我们研究一下二次根式在实际生活中的应用. 亲自动手,细心体验 1.教师出示例题,同学们解题:例1:要焊接一个如图所示的钢架,大约需要多少米钢材(精确到0.01m )?教师活动:引导学生由图得数据,再根据数据解题.学生活动:根据图象找出数据,根据数据解答问题,然后小组讨论,看自己还存在哪些不足的地方.解答过程:根据图中尺寸可得:AB =222224+=+BD AD 5220==,BC =5122222=+=+CD BD ,AB+BC+AC+BD =25552+++=≈+7533×2.24+7≈13.7(m ). 答:要焊接一个如图所示的钢架约需要13.7m 的钢材.2.教师出示例题,体验解过程.例2:计算:(1); (2)()226324÷-. 教师活动:让学生按照运算规律解答问题.学生活动:参考运算法则和运算律独立解答问题,然后与小组人员内部讨论,选出一人回答老师提问.解答过程:(1)43===-; (2)()226324÷-(2==-= 3.教师总结:通过解题我们可体会到这样一个解题的经验:在有理数范围内成立的运算律,在实数范围内仍然成立.也就是我们在以前所学的整式中的乘法法则和运算律,即是二次根式中的法则和运算律.课堂练习1.计算:(1)()532+;(2)()54080÷+; (3)()375212⨯-;(4)()2363+-.2.计算:(1)()()2535++;(2)()()b a b a 23-+;(3)()()2626-+;(4)()()7474-+;(5)()2252-. 3.如图21.3-2所示,两个圆的圆心相同,它们的面积分别为12.56cm 2和25.12cm 2,请你求圆环的宽度d (π取3.14).四、课堂总结1.以前学过的运算法则在二次根式的混合运算中依然成立;2.计算结果最后一定要化成最简形式.。
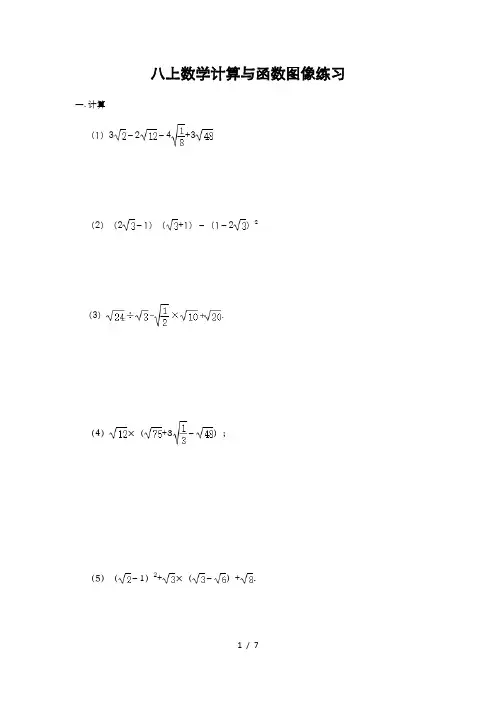
八上数学计算与函数图像练习一.计算(1)3﹣2﹣4+3(2)(2﹣1)(+1)﹣(1﹣2)2(3).(4)×(+3﹣);(5)(﹣1)2+×(﹣)+.(6)﹣(2+)+(7)×(﹣)÷()二.函数图像综合1.甲乙两人沿相同的路线同时登山,甲、乙两人距地面的高度y(米)与登山时间x(分钟)之间的函数图象如图所示,根据图象所提供的信息解答下列问题:(1)甲距地面的高度y(米)与登山时间x(分)之间的函数关系式为:y甲=.(2)若乙提速后,乙的速度是甲登山速度的3倍,登山多长时间时,乙追上了甲?此时乙距A地的高度为多少米?2.甲、乙两名同学从学校去图书馆.甲骑自行车,乙步行,甲比乙早出发5分钟,甲到达图书馆查阅资料,一段时间后离开图书馆返回学校,乙到达图书馆还书后立即返回学校(还书时间忽略不计).甲往返的速度均为250米/分,乙往返的速度均为80米/分.如图是两人距学校的距离y(米)与甲出发时间x(分)之间的函数图象,请结合图象回答下列问题:(1)从学校到图书馆的距离是米,甲到达图书馆后分钟乙也到达图书馆.(2)求甲离开图书馆后y(米)与出发时间x(分)之间的函数关系式.(3)请直接写出甲从图书馆返回后经过多少分钟,甲、乙两人相距300米.3.A,B两地相距12千米,甲骑自行车从A地出发前往B地,同时乙步行从B地出发前往A地,如图的折线OPQ和线段EF,分别表示甲、乙两人与A地的距离y甲、y乙与他们所行时间x(h)之间的函数关系,且OP与EF相交于点M.(1)求y乙与x的函数关系式以及两人相遇地点与A地的距离;(2)求线段OP对应的y甲与x的函数关系式;(3)求经过多少小时,甲、乙两人相距3km.4.某市端午节期间,甲、乙两队举行了赛龙舟比赛,两队在比赛时的路程s(米)与时间t(分钟)之间的图象如图所示,请你根据图象,回答下列问题:(1)这次龙舟赛的全程是多少米?哪队先到达终点?(2)求甲与乙相遇时甲、乙的速度.5.甲、乙两地相距300千米,一辆货车和一辆轿车先后从甲地出发向乙地,轿车比货车晚出发1.5小时,如图,线段OA表示货车离甲地的距离y(千米)与时间x(小时)之间的函数关系;折线BCD表示轿车离甲地的距离y(千米)与时间x(时)之间的函数关系,请根据图象解答下列问题:(1)轿车到达乙地时,求货车与甲地的距离;(2)求线段CD对应的函数表达式;(3)在轿车行进过程,轿车行驶多少时间,两车相距15千米.6.暑假期间,甲、乙两队举行了一场跑步比赛,两队在比赛时的路程S(米)与时间t(分钟)之间的函数关系如图所示(如图中横轴上的数字对应为0、2.2、3.8、4).请你根据图象,回答下列问题:(1)这次比赛的全程是米,队先到达终点;(2)求乙与甲相遇时乙的速度;(3)求出在乙队与甲相遇之前,他们何时相距100米?7.一辆货车将一批扶贫物资从甲地运往乙地,到达乙地卸货后返回.已知货车从乙地返回甲的速度比运货从甲到乙的速度快20km/h.设货车从甲地出发x(h)时,货车离甲地的路程为y(km),y与x的函数关系如图所示.(1)货车从甲地到乙地时行驶速度为km/h,a=;(2)求货车从乙到甲返程中y与x的函数关系式;(3)求货车从甲地出发3h时离甲地的路程.8.已知A、B两地之间有一条270千米的公路,甲、乙两车同时出发,甲车以60千米/时的速度沿此公路从A地匀速开往B地,乙车从B地沿此公路匀速开往A地,两车分别到达目的地后停止.甲、乙两车之间的距离y(千米)与甲车的行驶时间x(时)之间的函数关系如图所示.(1)乙车的速度为千米/时;(2)求甲、乙两车相遇后y与x之间的函数关系式;(3)当甲车到达距B地90千米处时,求甲、乙两车之间的路程.。
2.2 平方根知识点回顾1、算术平方根⎩⎨⎧概念:非负数a 的算术平方根记作a 性质:双重非负性⎩⎨⎧a ≥0,a ≥02、平方根的概念:若x 2=a ,则x 叫a 的平方根,x =± a.3、平方根的性质:正数有两个平方根,且它们互为相反数;0的平方根是0;负数没有平方根.4、开平方及相关运算:求一个数a 的平方根的运算叫做开平方,其中a 叫做被开方数.开平方与平方互为逆运算.【对应练习】算术平方根1.数5的算术平方根为( ) A. 5 B .25 C .±25 D .± 52.如果a -3是一个数的算术平方根,那么a 的值可能为( )A .0B .1C .2D .43.下列有关说法正确的是( )A .0.16的算术平方根是±0.4B .(-6)2的算术平方根是-6 C.81的算术平方根是±9 D.4916的算术平方根是744.要切一块面积为0.81m 2的正方形钢板,则它的边长是________. 5.若|a -2|+b +3+(c -5)2=0,则a -b +c =________.6.求下列各数的算术平方根:(1)0.25; (2)13; (3)⎝ ⎛⎭⎪⎫-382; (4)179.7.如图,某玩具厂要制作一批体积为100000cm 3的长方体包装盒,其高为40cm.按设计需要,底面应做成正方形,则底面边长应是多少?平方根1.81的平方根是( )A .9B .-9C .±9D .272.关于平方根,下列说法正确的是( )A .任何一个数都有两个平方根,并且它们互为相反数B .负数没有平方根C .任何一个数都只有一个算术平方根D .以上都不对3.如果一个数的一个平方根是-16,那么这个数是________.4.计算: (1)( 3.1)2=________; (2)(-8)2=________.5.求下列各数的平方根:(1)25; (2)1681; (3)0.16; (4)(-2)2.6.若一个正数的平方根为2x +1和x -7,求x 和这个正数.参考答案算术平方根1.A 2.D 3.D 4.0.9m 5.10 6.解:(1)0.25=0.5. (2)13. (3)⎝ ⎛⎭⎪⎫-382=38. (4)179=43. 7.解:100000÷40=2500(cm 2),2500=50(cm),故底面边长应是50cm.平方根1.C 2.B 3.256 4.(1)3.1 (2)8 5.解:(1)25的平方根是±5. (2)1681的平方根是±49. (3)0.16的平方根是±0.4. (4)(-2)2的平方根是±2.7.解:由题意得2x +1+x -7=0,解得x =2,∴2x +1=5,x -7=-5,∴这个正数为25.【课后作业】算术平方根一、选择题 1.下列各式中,正确的是( ) A.-49- =-(-7)=7 B.412 =121C.1694+ =2+43=243D.25.0 =±0.52.下列说法正确的是( )A.5是25的算术平方根B.±4是16的算术平方根C.-6是(-6)2的算术平方根D.0.01是0.1的算术平方根 3.36的算术平方根是( )A.±6B.6C.±6D. 64.一个正偶数的算术平方根是m ,则和这个正偶数相邻的下一个正偶数的算术平方根是( )A.m +2B.m +2C.22+mD.2+m5.当1<x <4时,化简221x x +--1682+-x x 结果是( )A.-3B.3C.2x -5D.5二、填空题 6.x 2=(-7)2,则x =______. 7.若2+x =2,则2x +5的平方根是______.8.若14+a 有意义,则a 能取的最小整数为____.9.已知0≤x ≤3,化简2x +2)3(-x =______.10.若|x -2|+3-y =0,则x ·y =______.三、解答题 11.已知某数有两个平方根分别是a +3与2a -15,求这个数.12. 已知:2m +2的平方根是±4,3m +n +1的平方根是±5,求m +2n 的值.13. 已知a <0,b <0,求4a 2+12ab +9b 2的算术平方根.14. 要切一块面积为36 m 2的正方形铁板,它的边长应是多少?15.甲乙二人计算a +221a a +-的值,当a =3的时候,得到下面不同的答案:甲的解答:a +221a a +-=a +2)1(a -=a +1-a =1.乙的解答:a +221a a +-=a +2)1(-a =a +a -1=2a -1=5.哪一个解答是正确的?错误的解答错在哪里?为什么?平方根1.已知()0232212=++++-z y x ,求x+y+z 的值.2.若x ,y 满足52112=+-+-y x x ,求xy 的值.3.求55=-+x x 中的x .4.若115+的小数部分为a ,115-的小数部分为b ,求a +b 的值.5.△ABC 的三边长分别为a ,b ,c ,且a ,b 满足04412=+-+-b b a ,求c 的取值范围.参考答案算术平方根一、1.B 2.A 3.D 4.C 5.C二、6.±7 7.±3 8.0 9.3 10.6三、11.49 12.13 13.-2a -3b 14.6 m 15.乙的解答是正确的 略平方根1.因为21-x ≥0,()22+y ≥0,23+z ≥0,且()0232212=++++-z y x ,所以21-x =0,()22+y =0,23+z =0,解得21=x ,2-=y ,23-=z ,所以x +y +z = 3-.2.因为2x -1≥0,1-2x ≥0,所以 2x -1=0,解得 x =21 ,当 x =21时,y =5,所以 x y =21×5=25. 3.解:因为x -5≥0,x x -=-55≥0 ,所以 x =5 .4.解:因为4113<< ,所以115+的整数部分为8,115-的整数部分为1,所以115+的小数部分3118115-=-+=a ,115-的小数部分1141115-=--=b ,所以1114311=-+-=+b a .5.解:由04412=+-+-b b a ,可得0)2(12=-+-b a ,因为 1-a ≥0,2)2(-b ≥0, 所以1-a =0,2)2(-b =0,所以a = 1,b = 2,由三角形三边关系定理有:b- a < c < b +a ,即1 < c < 3.。
八年级上册数学北师版计算题一、实数运算类。
1. 计算:√(16) - sqrt[3]{-8} + √(0)- 解析:- 先分别计算各项。
√(16)=4,因为4^2 = 16。
- sqrt[3]{-8}=- 2,因为(-2)^3=-8。
- √(0) = 0。
- 所以原式=4-(-2)+0=4 + 2=6。
2. 计算:(√(3))^2+ - 2√(9)- 解析:- (√(3))^2 = 3。
- 2=2。
- √(9)=3。
- 则原式=3 + 2-3=2。
3. 计算:√(25)+sqrt[3]{64}-√(169)- 解析:- √(25) = 5。
- sqrt[3]{64}=4,因为4^3 = 64。
- √(169)=13。
- 所以原式=5 + 4-13=-4。
二、整式运算类。
4. 计算:(2x^2y)^3·(- 3xy^2)÷6xy- 解析:- 先计算幂的乘方,(2x^2y)^3=2^3×(x^2)^3× y^3 = 8x^6y^3。
- 然后进行乘法运算:8x^6y^3·(-3xy^2)=-24x^7y^5。
- 最后进行除法运算:-24x^7y^5÷6xy=-4x^6y^4。
5. 计算:(3a + 2b)(2a - 3b)- 解析:- 利用多项式乘法法则展开:- 原式=3a×2a-3a×3b+2b×2a - 2b×3b- =6a^2-9ab + 4ab-6b^2- =6a^2-5ab - 6b^2。
6. 计算:(x + 2y)^2-(x - 2y)^2- 解析:- 根据完全平方公式(a + b)^2=a^2+2ab + b^2和(a - b)^2=a^2-2ab + b^2。
- 则(x + 2y)^2=x^2+4xy+4y^2,(x - 2y)^2=x^2-4xy + 4y^2。
- 原式=(x^2 + 4xy+4y^2)-(x^2-4xy + 4y^2)- 去括号得:x^2+4xy + 4y^2-x^2 + 4xy-4y^2 = 8xy。
北师版八年级数学-上册常见计算题练习1.纯计算题此种题型为八年级数学期中考试必考题,一般分值会在10分到18分,题量为2-4,基本上会以三种方式考察学生对平方根和立方根的理解情况:1.纯计算题2.以解方程的形式考察学生的计算能力;3以简单题题型出现。
专题训练一1) 4 + (3)2 + 38;2) (−3)2 − (−4)2 − 3 − 8 − 1 − 2;3) −22 − (−2.5) × 364 + [3 − 33 − (−3)2];4) 25 − (π − 3) + 3125;5) (−6)2 + 327 − (5)2;6) 2 − 1 + 4 − 38 + (2);7) (−6)2 + 327 − (5)2;8) −1/2 × 2 − 3/4 + 1/3;9) 9 + 1 − 2 − 3 − 8 − 2;10) (−2) × (−3)2 − 1;11) 18 − 8 + 2;12) (−6)2 + 327 − (5)2;13) 16 × 3 − 8 − 31 − 3/27 + 239 − 3 − 3;14) (−2)2 − 16 − 327 + 2/4 + 121/3 + 64 × (−2) − 327/42 − (−2) − (−2)2.专题训练二15) 2 − 7 + (−2);16) 3 − 6411 + 1 − 16;17) (1/3) × (−1) + (−2)2 × (−10) − |−5|;18) 1/92 − 3/8 − (3 − 2);19) 2 − 1 + 4 − 38 + (2) × 2;20) 2 − 3 − (1 + 2) + 4;21) 0.25 + 0.49 − 0.64;22) 3/125 + 25/25.专题训练三23) 16 × 3 − (−33)1;24) (−6)2 + 327 − (5)2 − 1 + (−3)2;25) |−2| − (1 + 2) + 4;27) 9 + 1 − 2 − 3 − 8 − 2;29) (a/−b) × (−b/a) ÷ (−ab4);30) (−3)7/8 − 1 − (−2)2 + (2 − 1)2;31) 0.25−3 + 7/8 − 1 − (−2)2 + (2 − 1)2;32) Solve for x: (1 − 1/x)÷ (x − 1) = 1/x(x2 − 1).二、以解方程结的形式考察学生的计算能力此种题型会以解方程的形式考察学生的计算能力,要求学生先列出方程,再解出方程的根。
《确定位置》典型例题例1 阅读下面的问题:(1)一位居民打电话给供电部门反映“前进路第8个电杆的路灯坏了”,维修人员很快修好了路灯.(2)某人买了一张5排9号的电影票,很快找到了自己的座位.(3)地质部门在某地埋下一个标志牌,上面写着“北纬44.2°,东经125.7°”.请分析上面几个问题有什么共同的特点?例2 上午8时,一艘船从海港A出发,以每小时15海里的速度驶向在北偏东60°的小岛B,10时整到达B岛.这时船在海港A的什么位置?从B看A 在什么位置?例3 一艘船向正东方向航行,上午9时到一座灯塔C南偏西45°方向68海里的A处,上午11时到达这座灯塔的正南方向的B处,求这艘船的航行速度.例4如图所示,从位于O处的某海防哨所发现在它的北偏东60°方向,相距600m的A处有一艘快艇正向正南方向航行,经过若干时间到达哨所东南方向的B处,求AB的距离.参考答案例1 分析 上面这几个问题中都是用两个量来确定平面上一个点的位置.如(1)中“××路×个电线杆”,(2)中“×排×号”,(3)中“北纬×度,东经×度”,都是用两个量确定一个点的位置.例2 解 这时船在海港A 的北偏东60°,相距30海里的位置.A 在B 的南偏西60°,相距30海里的位置.例3 分析 把题目中的文字语言转化为图形语言,见图.∴68=AC 海里,.,45AB CB ACB ⊥︒=∠设x AB =,则22268,=+==x x x AB BC ,解得 .217)911(234,234=-÷=x所以这艘船的行驶速度为217海里/时.说明:方向角是指目标方向线与指南或指北的方向所成的锐角,见图,OA 方向表示北偏东30°,OB 方向表示南偏西75°,在大海、草原、沙漠等地方大都用此种方法确定点的位置.例4 分析 依题意,可知600=OA (m )︒=∠601Θ,∴.,453,302OC AB ⊥︒=∠︒=∠600=OA Θ,∴3300,3300300600,30022===-==OC BC OC AC , ∴)3300300(+=AB m .。
八年级上册北师大版计算题数学计算题在八年级上册北师大版的数学教材中是非常重要的一部分。
通过计算题的练习,学生可以培养自己的计算能力和逻辑思维能力,提高数学水平。
计算题分为加减乘除四则运算、分数计算、比例计算等多个方面,下面将对几个常见的计算题进行详细介绍。
首先,对于加减乘除四则运算的计算题,需要注意运算的顺序和规律。
例如,计算15 + 8 - 4 × 2 ÷ 4,我们需要先计算乘除法,再计算加减法。
按照这个规律,首先计算4 × 2 ÷ 4,得到8 ÷ 4= 2,然后计算15 + 8 - 2,得出最终结果为21。
其次,分数计算也是八年级上册的重点内容之一。
比如计算分数的加减法和乘除法。
对于分数的加减法,需要先找到相同的分母,然后对分子进行加减运算。
例如计算1/2 + 1/3,先找到相同的分母6,然后1/2变成3/6,1/3变成2/6,最后相加得到3/6 + 2/6 = 5/6。
对于分数的乘除法,需要将分数转换成分数乘法或分数除法的形式进行计算。
例如计算2/3 × 3/4,可以将其转换成(2 × 3) / (3 × 4) = 6/12 = 1/2,最后得出计算结果为1/2。
最后,比例计算也是八年级上册数学教材中的一个重要内容。
比例是一种特殊的比较关系,它可以用来描述两个或多个相似物体之间的数量关系。
比例计算通常涉及到两种类型,即已知一个比例中的一项和比例的值,求另一项;已知两个比例中的一项和另一个比例的另一项,求比例的值。
例如已知两个比例相等,一个比例为2:3,另一个比例为4:x,我们需要求x的值。
根据比例相等的性质,可以得到2/3 = 4/x,即2x = 12,解方程得到x = 6。
所以,计算结果为4:6。
综上所述,八年级上册北师大版数学教材中的计算题包括加减乘除四则运算、分数计算和比例计算等多个方面。
通过对这些计算题的练习和掌握,学生可以提高自己的计算能力和数学水平,为学习更高级的数学知识打下基础。
北师大版数学八年级上册期末复习代数、方程、函数计算训练1.(1)(2)2.计算:(1)|﹣|×()﹣1﹣(π+)0﹣(﹣1)2020﹣|﹣| (2)(+2)(﹣3)+(﹣)(+)3.计算:(1)+3﹣5;(2);(3).4.计算:(1)(2)5.计算:+|﹣1|﹣.6.解方程组:(1)(2)7.解方程组:(1)(2)8.解方程组:(1)(2)9.解方程组:(1);(2).10.解下列方程组:(1)(2)11.如图,已知自行车与摩托车从甲地开往乙地,OA与BC分别表示自行车、摩托车与甲地距离s(千米)和自行车出发时间t(小时)的关系.根据图象回答:(1)摩托车每小时行驶千米,自行车每小时行驶千米;(2)自行车出发后小时,两车相遇;(3)求摩托车出发多少小时时,两车相距15千米?12.甲乙两位老师同住一小区,该小区与学校相距2000米.甲从小区步行去学校,出发10分钟后乙再出发,乙从小区先骑公共自行车,骑行若干米到达还车点后,立即步行走到学校.已知乙骑车的速度为170米/分,甲步行的速度比乙步行的速度每分钟快5米.设甲步行的时间为x(分),图1中线段OA 与折线B﹣C﹣D分别表示甲、乙离小区的路程y(米)与甲步行时间x(分)的函数关系的图象;图2表示甲、乙两人之间的距离s(米)与甲步行时间x (分)的函数关系的图象(不完整).根据图1和图2中所给的信息,解答下列问题:(1)求甲步行的速度和乙出发时甲离开小区的路程;(2)求直线BC的解析式;(3)在图2中,画出当20≤x≤25时,s关于x的函数的大致图象.13.甲、乙两人在净月大街上同起点、同终点、同方向匀速步行2400米,先到终点的人原地休息.已知甲先出发4分钟,在整个步行过程中,甲、乙两人间的距离y(米)与甲出发的时间x(分)之间的关系如图中折线OA﹣AB﹣BC ﹣CD所示.(1)甲的速度为米/分,乙的速度为米/分;乙用分钟追上甲;乙走完全程用了分钟.(2)请结合图象再写出一条信息.14.轿车和货车同时从甲地出发驶往乙地,轿车到达乙地后立即返回甲地,货车到达乙地后停止.如图所示,y1、y2分别表示货车、轿车离甲地的距离(千米)与轿车所用时间(小时)的关系.(1)求y1与x之间的函数关系式;(2)当轿车从乙地返回甲地的途中与货车相遇时,求相遇处到甲地的距离.15.如图(1)所示,在A、B两地间有一车站C,一辆汽车从A地出发经C站匀速驶往B地,如图(2)是汽车行驶时离C站的路程y(千米)与行驶时间x (小时)之间的函数关系的图象.(1)求图中a的值以及AB两地的距离;(2)求线段PM、MN所对应的函数表达式;(3)求行驶时间x在什么范围时,小汽车离车站C的路程不超过60千米?参考答案1.解:(1)原式=2﹣5+3﹣=;(2)原式=3﹣2+2﹣3﹣3。
北师版 八年级数学 上册常见计算题练习
计算题:
此种题型为八年级数学期中考试必考题,一般分值会在10分到18分,题量为2-4,基本上会以三种方式考察学生对平方根立方根的理解情况:1.纯计算题2.以解方程结的形式考察学生的计算能力;3以简单题题型出现。
一、纯计算题
专题训练一
(1)4+(3)2 + 38 ; 2) 218)4()3(322-------
(3)])3(3[64)5.2(223332---+⨯---
(4)30125)3(25+--π ; (52
(6)102- ; (62
(7)102- ; (8)
(91; (10)()2
21
2()2
---
(11 (12)2
(1331-; (14(2
3
(15; (16)
(17)1201
()(2)(10)3
-+-⨯--︱ (18
(19)()0
1
3
2482-+-+; (20)
(21) ; (22) (0
31-++
(23)1+;
(242
(25) 0
|2|(1--+; (26) ()2
3
122⎛⎫
-- ⎪⎝⎭
(27)1; (280
11()22
-+-
(29)()2
3
4a b ab b a ⎛⎫⎛⎫-⨯-÷- ⎪ ⎪⎝⎭⎝⎭ (30)2
1111x x x ⎛
⎫-÷ ⎪--⎝⎭
)
1 ;(32)31-
二、以解方程结的形式考察学生的计算能力
专题训练一
(1) 25092=-x ; (2)027)12(3=--x
(3)求x 的值 2592=x ; (4)求x 的值 2592=x
(5)05022=-x ; (6)64)2(3=-x
(7)求右式中x 的值:(x+1)2=16
(8)1623
-=x ; (9)9)1(2
=+x
(10)(x +2)(x -1)=7+x ; (11)求x 的值:()2
7119x -=
(12)3827x = ; (13)()2
23x -=
(14)24(1)250x --=; (15)3(5)27x +=-.
(16)()2
1490x --= ; (17)()32225x +-=
(18)2x 2=6; ; (19)(x -1)3=-8.
(20)01)13(42=-+x ; (21)解方程:9x 2=121
(22) ()2
116x -= (23) ()3
280x --=
(24)3x 2-75=0; (25)(1-2x) 3=8.
(26)解方程:4(x - 1)2=9; (27)2250x -=
(28) 364(x + l) =27 ; (29)38
125
x =-
(30) x 2-25=0 (31) (x +3) 3=8
(32) -(x-1)2+4=0 (33) ()3
2364x +=-
(34)0492=-x
(35)064)3(3=+-x
(36)求x 的值:2(31)640x --=. (37)()2
9116x +=
(38)解方程:1—(x +1)2= —99
(39) 16)2(2=+x (40)56)1(83-=+x
(41)8142=x ; (42) (x +10)3
=-27.
(43)24(1)250x --=; (44)3(5)27x +=-.
(45)24(1)250x --=; (46)3(5)27x +=-.
(47)x 2-25=0 ; (48)8x 3+1=0。
(49(0
31--+
(51)5x 2-10=0 (52)3(x +2)3-81=0
(53)8142=x ; (54) (2x +10)3
=-27. (55) :(x+2)2﹣36=0 (56) 2(1)9x -=
(57) 56)1(83-=+x (58)049162=-x
(59)27)3(3=--x
11 三、以简单题题型出现
1.已知32147+-+-=b b a ,求b a 32+的值。
2、已知12-a 的平方根是3±,13-+b a 的平方根是4±,
C 是57的整数部分, 求c b a ++2的平方根.
3.如果3x+12的立方根是3,求2x+6的平方根;
4.已知335321--x x 与的值互为相反数,求x -1
5.化简分式22
222936931
a a a a a a a a a ---÷-+++-,然后在0,1,2,3中选一个你认为合适的a 值,代入求值.
6.已知实数x 、y
()2
2350x y --=,求x -8y 的平方根.。