等差数列单元测试题
- 格式:doc
- 大小:92.50 KB
- 文档页数:2
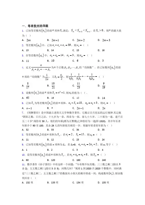
一、等差数列选择题1.已知等差数列{}n a 中,161,11a a ==,则数列{}n a 的公差为( ) A .53B .2C .8D .132.等差数列{}n a 中,12318192024,78a a a a a a ++=-++=,则此数列的前20项和等于( ) A .160B .180C .200D .2203.已知数列{}n a 为等差数列,2628a a +=,5943a a +=,则10a =( ) A .29B .38C .40D .584.等差数列{}n a 的前n 项和为n S ,若12a =,315S =,则8a =( ) A .11B .12C .23D .245.已知数列{}n a ,{}n b 都是等差数列,记n S ,n T 分别为{}n a ,{}n b 的前n 项和,且713n n S n T n -=,则55a b =( ) A .3415B .2310C .317D .62276.已知数列{}n a 的前n 项和为n S ,112a =,2n ≥且*n ∈N ,满足120n n n a S S -+=,数列1n S ⎧⎫⎨⎬⎩⎭的前n 项和为n T ,则下列说法中错误的是( )A .214a =-B .648211S S S =+ C .数列{}12n n n S S S +++-的最大项为712D .1121n n n n nT T T n n +-=++ 7.设等差数列{}n a 的前n 项和为n S ,若2938a a a +=+,则15S =( ) A .60B .120C .160D .2408.记n S 为等差数列{}n a 的前n 项和.若5620a a +=,11132S =,则{}n a 的公差为( ) A .2B .43C .4D .4-9.在等差数列{a n }中,a 3+a 7=4,则必有( ) A .a 5=4B .a 6=4C .a 5=2D .a 6=210.设等差数列{}n a 、{}n b 的前n 项和分别是n S 、n T .若237n n S n T n =+,则63a b 的值为( )A .511B .38C .1D .211.已知数列{}n a 的前n 项和为n S ,且()11213n n n n S S a n +++=+-+,现有如下说法:①541a a =;②222121n n a a n ++=-;③401220S =. 则正确的个数为( ) A .0B .1C .2D .312.等差数列{}n a 的前n 项和为n S ,且132a a +=,422a a -=,则5S =( ) A .21B .15C .10D .613.设等差数列{}n a 的前n 和为n S ,若()*111,m m a a a m m N +-<<->∈,则必有( )A .0m S <且10m S +>B .0m S >且10m S +>C .0m S <且10m S +<D .0m S >且10m S +<14.在等差数列{}n a 中,25812a a a ++=,则{}n a 的前9项和9S =( ) A .36B .48C .56D .7215.已知数列{}n a 中,12(2)n n a a n --=≥,且11a =,则这个数列的第10项为( ) A .18B .19C .20D .2116.已知数列{}n a 是公差不为零且各项均为正数的无穷等差数列,其前n 项和为n S .若p m n q <<<且()*,,,p q m n p q m n N +=+∈,则下列判断正确的是( )A .22p p S p a =⋅B .p q m n a a a a >C .1111p q m n a a a a +<+ D .1111p q m nS S S S +>+ 17.已知等差数列{}n a 的前n 项和为n S ,且310179a a a ++=,则19S =( ) A .51B .57C .54D .7218.已知数列{}n a 的前n 项和()2*n S n n N =∈,则{}na 的通项公式为( )A .2n a n =B .21n a n =-C .32n a n =-D .1,12,2n n a n n =⎧=⎨≥⎩19.已知数列{x n }满足x 1=1,x 2=23,且11112n n n x x x -++=(n ≥2),则x n 等于( ) A .(23)n -1B .(23)n C .21n + D .12n + 20.《张丘建算经》是我国北魏时期大数学家张丘建所著,约成书于公元466-485年间.其中记载着这么一道“女子织布”问题:某女子善于织布,一天比一天织得快,且每日增加的数量相同.已知第一日织布4尺,20日共织布232尺,则该女子织布每日增加( )尺 A .47B .1629C .815D .45二、多选题21.意大利著名数学家斐波那契在研究兔子繁殖问题时,发现有这样一列数:1,1,2,3,5,….,其中从第三项起,每个数等于它前面两个数的和,后来人们把这样的一列数组成的数列{}n a 称为“斐波那契数列”,记n S 为数列{}n a 的前n 项和,则下列结论正确的是( ) A .68a =B .733S =C .135********a a a a a +++⋅⋅⋅+=D .22212201920202019a a a a a ++⋅⋅⋅⋅⋅⋅+=22.题目文件丢失!23.已知数列{}n a 满足112a =-,111n n a a +=-,则下列各数是{}n a 的项的有( )A .2-B .23C .32D .324.已知递减的等差数列{}n a 的前n 项和为n S ,57S S =,则( ) A .60a > B .6S 最大 C .130S > D .110S >25.已知数列{}2nn a n +是首项为1,公差为d 的等差数列,则下列判断正确的是( ) A .a 1=3 B .若d =1,则a n =n 2+2n C .a 2可能为6D .a 1,a 2,a 3可能成等差数列26.已知数列{}n a :1,1,2,3,5,…其中从第三项起,每个数等于它前面两个数的和,记n S 为数列{}n a 的前n 项和,则下列结论正确的是( ) A .68S a = B .733S =C .135********a a a a a ++++= D .2222123202020202021a a a a a a ++++=27.设{}n a 是等差数列,n S 是其前n 项的和,且56S S <,678S S S =>,则下列结论正确的是( ) A .0d > B .70a =C .95S S >D .6S 与7S 均为n S 的最大值28.在数列{}n a 中,若22*1(2,.n n a a p n n N p --=≥∈为常数),则称{}n a 为“等方差数列”.下列对“等方差数列”的判断正确的是( ) A .若{}n a 是等差数列,则{}n a 是等方差数列 B .{(1)}n -是等方差数列C .若{}n a 是等方差数列,则{}()*,kn a k Nk ∈为常数)也是等方差数列D .若{}n a 既是等方差数列,又是等差数列,则该数列为常数列29.已知数列{}n a 满足:13a =,当2n ≥时,)211n a =-,则关于数列{}n a 说法正确的是( )A .28a =B .数列{}n a 为递增数列C .数列{}n a 为周期数列D .22n a n n =+30.等差数列{}n a 的前n 项和为n S ,1385a a S +=,则下列结论一定正确的是( ) A .100a = B .当9n =或10时,n S 取最大值 C .911a a <D .613S S =【参考答案】***试卷处理标记,请不要删除一、等差数列选择题 1.B 【分析】设公差为d ,则615a a d =+,即可求出公差d 的值. 【详解】设公差为d ,则615a a d =+,即1115d =+,解得:2d =, 所以数列{}n a 的公差为2, 故选:B 2.B 【分析】把已知的两式相加得到12018a a +=,再求20S 得解. 【详解】由题得120219318()()()247854a a a a a a +++++=-+=, 所以1201203()54,18a a a a +=∴+=. 所以2012020()10181802S a a =+=⨯=. 故选:B 3.A 【分析】根据等差中项的性质,求出414a =,再求10a ; 【详解】因为{}n a 为等差数列,所以264228a a a +==, ∴414a =.由59410a a a a +=+43=,得1029a =, 故选:A. 4.C 【分析】由题设求得等差数列{}n a 的公差d ,即可求得结果. 【详解】32153S a ==,25a ∴=, 12a =,∴公差213d a a =-=, 81727323a a d ∴=+=+⨯=,故选:C. 5.D 【分析】利用等差数列的性质以及前n 项和公式即可求解. 【详解】由713n n S n T n-=, ()()19551991955199927916229239272a a a a a a Sb b b b b b T ++⨯-======++⨯.故选:D 6.D 【分析】当2n ≥且*n ∈N 时,由1n n n a S S -=-代入120n n n a S S -+=可推导出数列1n S ⎧⎫⎨⎬⎩⎭为等差数列,确定该数列的首项和公差,可求得数列1n S ⎧⎫⎨⎬⎩⎭的通项公式,由221a S S =-可判断A选项的正误;利用n S 的表达式可判断BC 选项的正误;求出n T ,可判断D 选项的正误. 【详解】当2n ≥且*n ∈N 时,由1n n n a S S -=-, 由120n n n a S S -+=可得111112020n n n n n nS S S S S S ----+=⇒-+=, 整理得1112n n S S --=(2n ≥且n +∈N ).则1n S ⎧⎫⎨⎬⎩⎭为以2为首项,以2为公差的等差数列()12122n n n S ⇒=+-⋅=,12n S n ∴=. A 中,当2n =时,221111424a S S =-=-=-,A 选项正确; B 中,1n S ⎧⎫⎨⎬⎩⎭为等差数列,显然有648211S S S =+,B 选项正确; C 中,记()()1212211221n n n n b S S n n n S ++=+-=+-++, ()()()1123111212223n n n n b S S S n n n ++++=+-=+-+++,()()()1111602223223n n n b b n n n n n n ++∴-=--=-<++++,故{}n b 为递减数列, ()1123max 111724612n b b S S S ∴==+-=+-=,C 选项正确; D 中,12n n S =,()()2212n n n T n n +∴==+,()()112n T n n +∴=++. ()()()()()()11112112111n n n n T T n n n n n n n n n n n n n n +-=⋅++⋅++=+--+++++222122212n n n n n n T =-++=+-≠,D 选项错误.故选:D . 【点睛】关键点点睛:利用n S 与n a 的关系求通项,一般利用11,1,2n nn S n a S S n -=⎧=⎨-≥⎩来求解,在变形过程中要注意1a 是否适用,当利用作差法求解不方便时,应利用1n n n a S S -=-将递推关系转化为有关n S 的递推数列来求解. 7.B 【分析】根据等差数列的性质可知2938a a a a +=+,结合题意,可得出88a =,最后根据等差数列的前n 项和公式和等差数列的性质,得出()11515815152a a S a +==,从而可得出结果.【详解】解:由题可知,2938a a a +=+,由等差数列的性质可知2938a a a a +=+,则88a =, 故()1158158151521515812022a a a S a +⨯====⨯=. 故选:B.【分析】由等差数列前n 项和公式以及等差数列的性质可求得6a ,再由等差数列的公式即可求得公差. 【详解】 解:()11111611111322a a S a+⨯===,612a ∴=,又5620a a +=,58a ∴=,654d a a ∴=-=.故选:C . 9.C 【分析】利用等差数列的性质直接计算求解 【详解】因为a 3+a 7=2a 5=4,所以a 5=2. 故选:C 10.C 【分析】令22n S n λ=,()37n T n n λ=+,求出n a ,n b ,进而求出6a ,3b ,则63a b 可得.【详解】令22n S n λ=,()37n T n n λ=+,可得当2n ≥时,()()221221221n n n a S S n n n λλλ-=-=--=-,()()()()137134232n n n b T T n n n n n λλλ-=-=+--+=+,当1n =,()11112,3710a S b T λλλ====+=,符合()221n a n λ=-,()232n b n λ=+故622a λ=,322b λ=,故631a b =. 【点睛】由n S 求n a 时,11,1,2n nn S n a S S n -=⎧=⎨-≥⎩,注意验证a 1是否包含在后面a n 的公式中,若不符合要单独列出,一般已知条件含a n 与S n 的关系的数列题均可考虑上述公式求解.【分析】由()11213n n n n S S a n +++=+-+得到()11132n n n a a n ++=-+-,再分n 为奇数和偶数得到21262k k a a k +=-+-,22165k k a a k -=+-,然后再联立递推逐项判断. 【详解】因为()11213n n n n S S a n +++=+-+,所以()11132n n n a a n ++=-+-,所以()212621k k a a k +=-+-,()221652k k a a k -=+-, 联立得:()212133k k a a +-+=, 所以()232134k k a a +++=, 故2321k k a a +-=,从而15941a a a a ===⋅⋅⋅=,22162k k a a k ++=-,222161k k a a k ++=++,则222121k k a a k ++=-,故()()()4012345383940...S a a a a a a a a =++++++++,()()()()234538394041...a a a a a a a a =++++++++,()()201411820622k k =+⨯=-==∑1220,故①②③正确. 故选:D 12.C 【分析】根据已知条件得到关于首项1a 和公差d 的方程组,求解出1,a d 的值,再根据等差数列前n 项和的计算公式求解出5S 的值. 【详解】因为134222a a a a +=⎧⎨-=⎩,所以122222a d d +=⎧⎨=⎩,所以101a d =⎧⎨=⎩,所以5154550101102S a d ⨯=+=⨯+⨯=, 故选:C. 13.D 【分析】由等差数列前n 项和公式即可得解. 【详解】由题意,1110,0m m a a a a ++>+<,所以1()02m m m a a S +=>,111(1)()02m m m a a S ++++=<. 故选:D. 14.A 【分析】根据等差数列的性质,由题中条件,得出54a =,再由等差数列前n 项和公式,即可得出结果. 【详解】因为{}n a 为等差数列,25812a a a ++=, 所以5312a =,即54a =, 所以()1999983622a a S +⨯===. 故选:A . 【点睛】熟练运用等差数列性质的应用及等差数列前n 项和的基本量运算是解题关键. 15.B 【分析】由已知判断出数列{}n a 是以1为首项,以2为公差的等差数列,求出通项公式后即可求得10a .【详解】()122n n a a n --=≥,且11a =,∴数列{}n a 是以1为首项,以2为公差的等差数列,通项公式为()12121n a n n =+-=-,10210119a ∴=⨯-=,故选:B. 16.D 【分析】利用等差数列的求和公式可判断A 选项的正误;利用作差法结合等差数列的通项公式可判断B 选项的正误;利用p q m n a a a a <结合不等式的基本性质可判断C 选项的正误;利用等差数列的求和公式结合不等式的基本性质可判断D 选项的正误. 【详解】对于A 选项,由于()()1221222p pp p p p a a Sp a a pa ++==+≠,故选项A 错误;对于B 选项,由于m p q n -=-,则()()p q m n m n m n a a a a a p m d a q n d a a ⋅-⋅=+-⋅+--⋅⎡⎤⎡⎤⎣⎦⎣⎦()()()()()22m n m n m n a q n d a q n d a a q n a a d q n d =--⋅+--=----⎡⎤⎡⎤⎣⎦⎣⎦()()()2220q n n m d q n d =-----<,故选项B 错误;对于C 选项,由于1111p q m n m n p q p q p q m n m na a a a a a a a a a a a a a a a ++++==>=+⋅⋅⋅,故选项C 错误; 对于D 选项,设0x q n m p =-=->,则()()()20pq mn m x n x mn x n m x -=-+-=---<,从而pq mn <,由于222222p q m n p q pq m n mn +=+⇔++=++,故2222p q m n +>+.()()()()()()111111p q pq p q mn m n m n --=-++<-++=--,故()()22221122p q m n p q p q m n m nS S p q a d m n a d S S +--+--+=++>++=+.()()()()()221111112112224p q p p q q pq p q pq p q S S pa d qa d pqa a d d--+---⎡⎤⎡⎤⋅=+⋅+=++⎢⎥⎢⎥⎣⎦⎣⎦()()()221121124mn m n mn p q mna a d d+---<++()()()221121124m n mn m n mn m n mna a d d S S +---<++=,由此1111p q m n p q p q m n m nS S S S S S S S S S S S +++=>=+,故选项D 正确. 故选:D. 【点睛】关键点点睛:本题考查等差数列中不等式关系的判断,在解题过程中充分利用基本量来表示n a 、n S ,并结合作差法、不等式的基本性质来进行判断. 17.B 【分析】根据等差数列的性质求出103a =,再由求和公式得出答案. 【详解】317102a a a += 1039a ∴=,即103a =()1191019191921935722a a a S +⨯∴===⨯= 故选:B 18.B 【分析】利用1n n n a S S -=-求出2n ≥时n a 的表达式,然后验证1a 的值是否适合,最后写出n a 的式子即可. 【详解】2n S n =,∴当2n ≥时,221(1)21n n n a S S n n n -=-=--=-,当1n =时,111a S ==,上式也成立,()*21n a n n N ∴=-∈,故选:B. 【点睛】易错点睛:本题考查数列通项公式的求解,涉及到的知识点有数列的项与和的关系,即11,1,2n nn S n a S S n -=⎧=⎨-≥⎩,算出之后一定要判断1n =时对应的式子是否成立,最后求得结果,考查学生的分类思想与运算求解能力,属于基础题. 19.C 【分析】 由已知可得数列1n x ⎧⎫⎨⎬⎩⎭是等差数列,求出数列1n x ⎧⎫⎨⎬⎩⎭的通项公式,进而得出答案. 【详解】由已知可得数列1n x ⎧⎫⎨⎬⎩⎭是等差数列,且121131,2x x ==,故公差12d = 则()1111122n n n x +=+-⨯=,故21n x n =+故选:C 20.D 【分析】设该妇子织布每天增加d 尺,由等差数列的前n 项和公式即可求出结果 【详解】设该妇子织布每天增加d 尺, 由题意知2020192042322S d ⨯=⨯+=, 解得45d =. 故该女子织布每天增加45尺. 故选:D二、多选题21.ABCD 【分析】由题意可得数列{}n a 满足递推关系12211,1,(3)n n n a a a a a n --===+≥,对照四个选项可得正确答案. 【详解】对A ,写出数列的前6项为1,1,2,3,5,8,故A 正确; 对B ,71123581333S =++++++=,故B 正确;对C ,由12a a =,342a a a =-,564a a a =-,……,201920202018a a a =-, 可得:135********a a a a a +++⋅⋅⋅+=.故1352019a a a a +++⋅⋅⋅+是斐波那契数列中的第2020项.对D ,斐波那契数列总有21n n n a a a ++=+,则2121a a a =,()222312321a a a a a a a a =-=-,()233423423a a a a a a a a =-=-,……,()220182018201920172018201920172018a a a a a a a a =-=-,220192019202020192018a a a a a =-2222123201920192020a a a a a a +++⋅⋅⋅⋅⋅⋅+=,故D 正确;故选:ABCD. 【点睛】本题以“斐波那契数列”为背景,考查数列的递推关系及性质,考查方程思想、转化与化归思想,考查逻辑推理能力和运算求解能力,求解时注意递推关系的灵活转换.22.无23.BD 【分析】根据递推关系式找出规律,可得数列是周期为3的周期数列,从而可求解结论. 【详解】因为数列{}n a 满足112a =-,111n n a a +=-,212131()2a ∴==--;32131a a ==-; 4131112a a a ==-=-; ∴数列{}n a 是周期为3的数列,且前3项为12-,23,3; 故选:BD . 【点睛】本题主要考查数列递推关系式的应用,考查数列的周期性,解题的关键在于求出数列的规律,属于基础题.24.ABD 【分析】转化条件为670a a +=,进而可得60a >,70a <,再结合等差数列的性质及前n 项和公式逐项判断即可得解. 【详解】因为57S S =,所以750S S -=,即670a a +=,因为数列{}n a 递减,所以67a a >,则60a >,70a <,故A 正确; 所以6S 最大,故B 正确; 所以()113137131302a a S a+⨯==<,故C 错误; 所以()111116111102a a S a+⨯==>,故D 正确.故选:ABD. 25.ACD 【分析】利用等差数列的性质和通项公式,逐个选项进行判断即可求解 【详解】 因为1112a =+,1(1)2n n a n d n =+-+,所以a 1=3,a n =[1+(n -1)d ](n +2n ).若d =1,则a n =n (n +2n );若d =0,则a 2=6.因为a 2=6+6d ,a 3=11+22d ,所以若a 1,a 2,a 3成等差数列,则a 1+a 3=a 2,即14+22d =12+12d ,解得15d =-. 故选ACD 26.BCD 【分析】根据题意写出8a ,6S ,7S ,从而判断A ,B 的正误;写出递推关系,对递推关系进行适当的变形,利用累加法即可判断C ,D 的正误. 【详解】对A ,821a =,620S =,故A 不正确; 对B ,761333S S =+=,故B 正确;对C ,由12a a =,342a a a =-,564a a a =-,…,202120222020a a a =-,可得135********a a a a a +++⋅⋅⋅+=,故C 正确;对D ,该数列总有21n n n a a a ++=+,2121a a a =,则()222312321a a a a a a a a =-=-, ()233423423a a a a a a a a =-=-,…,()220182018201920172018201920172018a a a a a a a a =-=-, 22019a =2019202020192018a a a a -,220202020202120202019a a a a a =-,故2222123202*********a a a a a a +++⋅⋅⋅+=,故D 正确.故选:BCD 【点睛】关键点睛:解答本题的关键是对CD 的判断,即要善于利用21n n n a a a ++=+对所给式子进行变形. 27.BD 【分析】设等差数列{}n a 的公差为d ,依次分析选项即可求解. 【详解】根据题意,设等差数列{}n a 的公差为d ,依次分析选项:{}n a 是等差数列,若67S S =,则7670S S a -==,故B 正确;又由56S S <得6560S S a -=>,则有760d a a =-<,故A 错误; 而C 选项,95S S >,即67890a a a a +++>,可得()7820a a +>, 又由70a =且0d <,则80a <,必有780a a +<,显然C 选项是错误的. ∵56S S <,678S S S =>,∴6S 与7S 均为n S 的最大值,故D 正确; 故选:BD. 【点睛】本题考查了等差数列以及前n 项和的性质,需熟记公式,属于基础题. 28.BCD 【分析】根据等差数列和等方差数列定义,结合特殊反例对选项逐一判断即可. 【详解】对于A ,若{}n a 是等差数列,如n a n =,则12222(1)21n n a a n n n --=--=-不是常数,故{}n a 不是等方差数列,故A 错误;对于B ,数列(){}1n-中,222121[(1)][(1)]0n n n n a a ---=---=是常数,{(1)}n ∴-是等方差数列,故B 正确;对于C ,数列{}n a 中的项列举出来是,1a ,2a ,,k a ,,2k a ,数列{}kn a 中的项列举出来是,k a ,2k a ,3k a ,,()()()()2222222212132221k k k k k k k k aa a a a a a a p +++++--=-=-==-=,将这k 个式子累加得()()()()2222222212132221k kk k k k k k aa a a a a a a kp +++++--+-+-++-=,222k k a a kp ∴-=,()221kn k n a a kp +∴-=,{}*(,kn a k N ∴∈k 为常数)是等方差数列,故C 正确; 对于D ,{}n a 是等差数列,1n n a a d -∴-=,则设n a dn m =+{}n a 是等方差数列,()()222112(2)n n n n dn m a a a a d a d d n m d d dn d m --∴-=++++=+=++是常数,故220d =,故0d =,所以(2)0m d d +=,2210n n a a --=是常数,故D 正确.故选:BCD. 【点睛】本题考查了数列的新定义问题和等差数列的定义,属于中档题. 29.ABD 【分析】由已知递推式可得数列2=,公差为1的等差数列,结合选项可得结果. 【详解】)211n a =-得)211n a +=,1=,即数列2=,公差为1的等差数列,2(1)11n n =+-⨯=+,∴22n a n n =+,得28a =,由二次函数的性质得数列{}n a 为递增数列,所以易知ABD 正确, 故选:ABD. 【点睛】本题主要考查了通过递推式得出数列的通项公式,通过通项公式研究数列的函数性质,属于中档题. 30.AD 【分析】由1385a a S +=求出100a =,即19a d =-,由此表示出9a 、11a 、6S 、13S ,可判断C 、D 两选项;当0d >时,10a <,n S 有最小值,故B 错误. 【详解】解:1385a a S +=,111110875108,90,02da a d a a d a ⨯++=++==,故正确A. 由190a d +=,当0d >时,10a <,n S 有最小值,故B 错误.9101110,a a d d a a d d =-==+=,所以911a a =,故C 错误.61656+5415392dS a d d d ⨯==-+=-, 131131213+11778392dS a d d d ⨯==-+=-,故D 正确.故选:AD【点睛】考查等差数列的有关量的计算以及性质,基础题.。
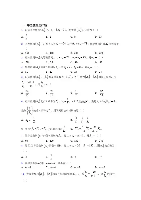
一、等差数列选择题1.已知等差数列{}n a 的公差d 为正数,()()111,211,n n n a a a tn a t +=+=+为常数,则n a =( )A .21n -B .43n -C .54n -D .n 2.等差数列{a n }的前n 项和为S n ,若a 1=2,S 3=12,则a 6等于( )A .8B .10C .12D .143.已知数列{}n a 的前n 项和为n S ,15a =,且满足122527n na a n n +-=--,若p ,*q ∈N ,p q >,则p q S S -的最小值为( )A .6-B .2-C .1-D .04.设数列{}n a 的前n 项和21n S n =+. 则8a 的值为( ).A .65B .16C .15D .145.已知n S 为等差数列{}n a 的前n 项和,3518a S +=,633a a =+,则n a =( ) A .1n -B .nC .21n -D .2n6.等差数列{}n a 中,12318192024,78a a a a a a ++=-++=,则此数列的前20项和等于( ) A .160B .180C .200D .2207.已知数列{}n a 的前n 项和221n S n n =+-,则13525a a a a ++++=( )A .350B .351C .674D .6758.已知等差数列{}n a 满足48a =,6711a a +=,则2a =( ) A .10B .9C .8D .79.数列{}n a 是项数为偶数的等差数列,它的奇数项的和是24,偶数项的和为30,若它的末项比首项大212,则该数列的项数是( ) A .8B .4C .12D .1610.设等差数列{}n a 、{}n b 的前n 项和分别是n S 、n T .若237n n S n T n =+,则63a b 的值为( ) A .511B .38C .1D .211.在函数()y f x =的图像上有点列{},n n x y ,若数列{}n x 是等比数列,数列{}n y 是等差数列,则函数()y f x =的解析式可能是( ) A .3(4)f x x =+B .2()4f x x =C .3()4xf x ⎛⎫= ⎪⎝⎭D .4()log f x x =12.在等差数列{a n }中,已知a 5=3,a 9=6,则a 13=( ) A .9B .12C .15D .1813.已知等差数列{}n a 中,161,11a a ==,则数列{}n a 的公差为( ) A .53B .2C .8D .13 14.设等差数列{}n a 的公差d ≠0,前n 项和为n S ,若425S a =,则99S a =( ) A .9B .5C .1D .5915.设等差数列{}n a 的前n 和为n S ,若()*111,m m a a a m m N +-<<->∈,则必有( )A .0m S <且10m S +>B .0m S >且10m S +>C .0m S <且10m S +<D .0m S >且10m S +<16.记n S 为等差数列{}n a 的前n 项和,若542S S =,248a a +=,则5a 等于( ) A .6B .7C .8D .1017.已知数列{}n a 的前n 项和为n S ,且()11213n n n n S S a n +++=+-+,现有如下说法:①541a a =;②222121n n a a n ++=-;③401220S =. 则正确的个数为( ) A .0B .1C .2D .318.在等差数列{}n a 中,520164a a +=,S ,是数列{}n a 的前n 项和,则S 2020=( ) A .2019B .4040C .2020D .403819.数学著作《孙子算经》中有这样一个问题:“今有物不知其数,三三数之剩二(除以3余2),五五数之剩三(除以5余3),问物几何?”现将1到2020共2020个整数中,同时满足“三三数之剩二,五五数之剩三”的数按从小到大的顺序排成一列,构成数列{},n a 则该数列共有( ) A .132项B .133项C .134项D .135项20.《张丘建算经》卷上第22题为:“今有女善织,日益功疾(注:从第2天开始,每天比前一天多织相同量的布),第一天织5尺布,现一月(按30天计)共织390尺”,则从第2天起每天比前一天多织( ) A .12尺布 B .518尺布 C .1631尺布 D .1629尺布 二、多选题21.已知数列{}n a 是等差数列,前n 项和为,n S 且13522,a a S +=下列结论中正确的是( ) A .7S 最小B .130S =C .49S S =D .70a =22.题目文件丢失!23.著名数学家斐波那契在研究兔子繁殖问题时,发现有这样一列数:1,1,2,3,5,…,其中从第三项起,每个数等于它前面两个数的和,后来人们把这样的一列数组成的数列{}n a 称为“斐波那契数列”,记S n 为数列{}n a 的前n 项和,则下列结论正确的是( ) A .68a = B .733S =C .135********a a a a a ++++=D .22212201920202019a a a a a +++= 24.已知数列{}n a 的前4项为2,0,2,0,则该数列的通项公式可能为( ) A .0,2,n n a n ⎧=⎨⎩为奇数为偶数B .1(1)1n n a -=-+C .2sin2n n a π= D .cos(1)1n a n π=-+25.已知数列{}2nna n +是首项为1,公差为d 的等差数列,则下列判断正确的是( ) A .a 1=3 B .若d =1,则a n =n 2+2n C .a 2可能为6D .a 1,a 2,a 3可能成等差数列26.已知等差数列{}n a 的公差不为0,其前n 项和为n S ,且12a 、8S 、9S 成等差数列,则下列四个选项中正确的有( ) A .59823a a S +=B .27S S =C .5S 最小D .50a =27.记n S 为等差数列{}n a 的前n 项和.已知535S =,411a =,则( ) A .45n a n =-B .23n a n =+C .223n S n n =-D .24n S n n =+28.设等差数列{}n a 的前n 项和为n S ,若39S =,47a =,则( )A .2n S n =B .223n S n n =-C .21n a n =-D .35n a n =-29.已知{}n a 为等差数列,其前n 项和为n S ,且13623a a S +=,则以下结论正确的是( ). A .10a =0B .10S 最小C .712S S =D .190S =30.等差数列{}n a 的前n 项和为n S ,若90a <,100a >,则下列结论正确的是( ) A .109S S >B .170S <C .1819S S >D .190S >【参考答案】***试卷处理标记,请不要删除一、等差数列选择题 1.A 【分析】由已知等式分别求出数列的前三项,由2132a a a =+列出方程,求出公差,利用等差数列的通项公式求解可得答案. 【详解】11a =,()()1211n n n a a tn a ++=+,令1n =,则()()121211a a t a +=+,解得21a t =-令2n =,则()()2322121a a t a +=+,即()2311t a t -=-,若1t =,则20,1a d ==,与已知矛盾,故解得31a t =+{}n a 等差数列,2132a a a ∴=+,即()2111t t -=++,解得4t =则公差212d a a =-=,所以()1121n a a n d n =+-=-. 故选:A 2.C 【分析】利用等差数列的通项公式即可求解. 【详解】 {a n }为等差数列,S 3=12,即1232312a a a a ++==,解得24a =. 由12a =,所以数列的公差21422d a a =-=-=, 所以()()112212n a a n d n n =+-=+-=, 所以62612a =⨯=. 故选:C 3.A 【分析】 转化条件为122527n n a an n +-=--,由等差数列的定义及通项公式可得()()2327n a n n =--,求得满足0n a ≤的项后即可得解.【详解】 因为122527n n a a n n +-=--,所以122527n na a n n +-=--, 又1127a =--,所以数列27n a n ⎧⎫⎨⎬-⎩⎭是以1-为首项,公差为2的等差数列,所以()1212327na n n n =-+-=--,所以()()2327n a n n =--, 令()()23270n a n n =--≤,解得3722n ≤≤, 所以230,0a a <<,其余各项均大于0, 所以()()()3123min13316p q S S a a S S =-=+=⨯-+--⨯=-.故选:A. 【点睛】解决本题的关键是构造新数列求数列通项,再将问题转化为求数列中满足0n a ≤的项,即可得解. 4.C 【分析】利用()12n n n a S S n -=-≥得出数列{}n a 的通项公差,然后求解8a . 【详解】由21n S n =+得,12a =,()2111n S n -=-+,所以()221121n n n a S S n n n -=-=--=-, 所以2,121,2n n a n n =⎧=⎨-≥⎩,故828115a =⨯-=.故选:C. 【点睛】本题考查数列的通项公式求解,较简单,利用()12n n n a S S n -=-≥求解即可. 5.B 【分析】根据条件列出关于首项和公差的方程组,求解出首项和公差,则等差数列{}n a 的通项公式可求. 【详解】因为3518a S +=,633a a =+,所以11161218523a d a d a d +=⎧⎨+=++⎩, 所以111a d =⎧⎨=⎩,所以()111n a n n =+-⨯=, 故选:B. 6.B 【分析】把已知的两式相加得到12018a a +=,再求20S 得解. 【详解】由题得120219318()()()247854a a a a a a +++++=-+=, 所以1201203()54,18a a a a +=∴+=. 所以2012020()10181802S a a =+=⨯=. 故选:B 7.A 【分析】先利用公式11,1,2n n n S n a S S n -=⎧=⎨-≥⎩求出数列{}n a 的通项公式,再利用通项公式求出13525a a a a ++++的值.【详解】当1n =时,21112112a S ==+⨯-=;当2n ≥时,()()()22121121121n n n a S S n n n n n -⎡⎤=-=+---+--=+⎣⎦.12a =不适合上式,2,121,2n n a n n =⎧∴=⎨+≥⎩.因此,()()3251352512127512235022a a a a a a ⨯+⨯+++++=+=+=;故选:A. 【点睛】易错点睛:利用前n 项和n S 求通项n a ,一般利用公式11,1,2n nn S n a S S n -=⎧=⎨-≥⎩,但需要验证1a 是否满足()2n a n ≥.8.A 【分析】利用等差数列的性质结合已知解得d ,进一步求得2a . 【详解】在等差数列{}n a 中,设公差为d ,由467811a a a =⎧⇒⎨+=⎩444812311a d a d a d =⎧⇒=-⎨+++=⎩,24210a a d ∴=-=. 故选:A 9.A 【分析】设项数为2n ,由题意可得()21212n d -⋅=,及6S S nd -==奇偶可求解.【详解】设等差数列{}n a 的项数为2n , 末项比首项大212, ()212121;2n a a n d ∴-=-⋅=① 24S =奇,30S =偶,30246S S nd ∴-=-==奇偶②.由①②,可得32d =,4n =, 即项数是8, 故选:A. 10.C 【分析】令22n S n λ=,()37n T n n λ=+,求出n a ,n b ,进而求出6a ,3b ,则63a b 可得.【详解】令22n S n λ=,()37n T n n λ=+,可得当2n ≥时,()()221221221n n n a S S n n n λλλ-=-=--=-,()()()()137134232n n n b T T n n n n n λλλ-=-=+--+=+,当1n =,()11112,3710a S b T λλλ====+=,符合()221n a n λ=-,()232n b n λ=+故622a λ=,322b λ=,故631a b =. 【点睛】由n S 求n a 时,11,1,2n nn S n a S S n -=⎧=⎨-≥⎩,注意验证a 1是否包含在后面a n 的公式中,若不符合要单独列出,一般已知条件含a n 与S n 的关系的数列题均可考虑上述公式求解. 11.D 【分析】把点列代入函数解析式,根据{x n }是等比数列,可知1n nx x +为常数进而可求得1n n y y +-的结果为一个与n 无关的常数,可判断出{y n }是等差数列. 【详解】对于A ,函数3(4)f x x =+上的点列{x n ,y n },有y n =43n x +,由于{x n }是等比数列,所以1n nx x +为常数, 因此1n n y y +-=()()()()114343441n n n n n x x x x x q +++-+=-=-这是一个与n 有关的数,故{y n }不是等差数列;对于B ,函数2()4f x x =上的点列{x n ,y n },有y n =24n x ,由于{x n }是等比数列,所以1n nx x +为常数,因此1n n y y +-=()222214441n n n x x x q +-=-这是一个与n 有关的数,故{y n }不是等差数列;对于C ,函数3()4xf x ⎛⎫= ⎪⎝⎭上的点列{x n ,y n },有y n =3()4n x ,由于{x n }是等比数列,所以1n nx x +为常数, 因此1n n y y +-=133()()44n n x x+-=33()()144n qx⎡⎤-⎢⎥⎣⎦,这是一个与n 有关的数,故{y n }不是等差数列;对于D ,函数4()log f x x =上的点列{x n ,y n },有y n =4log n x,由于{x n }是等比数列,所以1n nx x +为常数, 因此1n n y y +-=114444log log log log n n nnx x x x q ++-==为常数,故{y n }是等差数列;故选:D . 【点睛】 方法点睛:判断数列是不是等差数列的方法:定义法,等差中项法. 12.A 【分析】在等差数列{a n }中,利用等差中项由95132a a a =+求解. 【详解】在等差数列{a n }中,a 5=3,a 9=6, 所以95132a a a =+,所以139522639a a a =-=⨯-=, 故选:A 13.B 【分析】设公差为d ,则615a a d =+,即可求出公差d 的值.设公差为d ,则615a a d =+,即1115d =+,解得:2d =, 所以数列{}n a 的公差为2, 故选:B 14.B 【分析】由已知条件,结合等差数列通项公式得1a d =,即可求99S a . 【详解】4123425S a a a a a =+++=,即有13424a a a a ++=,得1a d =,∴1999()452a a S d ⨯+==,99a d =,且0d ≠, ∴995S a =. 故选:B 15.D 【分析】由等差数列前n 项和公式即可得解. 【详解】由题意,1110,0m m a a a a ++>+<, 所以1()02m m m a a S +=>,111(1)()02m m m a a S ++++=<. 故选:D. 16.D 【分析】由等差数列的通项公式及前n 项和公式求出1a 和d ,即可求得5a . 【详解】解:设数列{}n a 的首项为1a ,公差为d , 则由542S S =,248a a +=,得:111154435242238a d a d a d a d ⨯⨯⎛⎫+=+ ⎪⎝⎭+++=⎧⎪⎨⎪⎩,即{1132024a d a d +-+=, 解得:{123a d =-=,51424310a a d ∴=+=-+⨯=.故选:D.【分析】由()11213n n n n S S a n +++=+-+得到()11132n n n a a n ++=-+-,再分n 为奇数和偶数得到21262k k a a k +=-+-,22165k k a a k -=+-,然后再联立递推逐项判断. 【详解】因为()11213n n n n S S a n +++=+-+,所以()11132n n n a a n ++=-+-,所以()212621k k a a k +=-+-,()221652k k a a k -=+-, 联立得:()212133k k a a +-+=, 所以()232134k k a a +++=, 故2321k k a a +-=,从而15941a a a a ===⋅⋅⋅=,22162k k a a k ++=-,222161k k a a k ++=++,则222121k k a a k ++=-,故()()()4012345383940...S a a a a a a a a =++++++++,()()()()234538394041...a a a a a a a a =++++++++,()()201411820622k k =+⨯=-==∑1220,故①②③正确. 故选:D 18.B 【分析】由等差数列的性质可得52012016024a a a a +==+,则()15202020202016202010102a a a a S +=⨯=⨯+可得答案. 【详解】 等差数列{}n a 中, 52012016024a a a a +==+()12020202052016202010104101040402a a a a S +===⨯=+⨯⨯ 故选:B 19.D 【分析】由题意抽象出数列是等差数列,再根据通项公式计算项数. 【详解】被3除余2且被5除余3的数构成首项为8,公差为15的等差数列,记为{}n a ,则()8151157n a n n =+-=-,令1572020n a n =-≤,解得:213515n ≤, 所以该数列的项数共有135项. 故选:D 【点睛】关键点点睛:本题以数学文化为背景,考查等差数列,本题的关键是读懂题意,并能抽象出等差数列. 20.D 【分析】设该女子第()N n n *∈尺布,前()N n n *∈天工织布n S 尺,则数列{}n a 为等差数列,设其公差为d ,根据15a =,30390S =可求得d 的值. 【详解】设该女子第()N n n *∈尺布,前()N n n *∈天工织布n S 尺,则数列{}n a 为等差数列,设其公差为d ,由题意可得30130293015015293902S a d d ⨯=+=+⨯=,解得1629d =.故选:D.二、多选题21.BCD 【分析】由{}n a 是等差数列及13522,a a S +=,求出1a 与d 的关系,结合等差数列的通项公式及求和公式即可进行判断. 【详解】设等差数列数列{}n a 的公差为d .由13522,a a S +=有()1112542252a a a d d ⨯+=++,即160a d += 所以70a =,则选项D 正确. 选项A. ()71176773212S a d a d d ⨯=+=+=-,无法判断其是否有最小值,故A 错误. 选项B. 113137131302a S a a +=⨯==,故B 正确. 选项C. 9876579450a a a a S a a S -=++++==,所以49S S =,故C 正确. 故选:BCD 【点睛】关键点睛:本题考查等差数列的通项公式及求和公式的应用,解答本题的关键是由条件13522,a a S +=得到160a d +=,即70a =,然后由等差数列的性质和前n 项和公式判断,属于中档题.22.无23.ABD 【分析】根据11a =,21a =,21n n n a a a ++=+,计算可知,A B 正确;根据12a a =,342a a a =-,564a a a =-,786a a a =-,,201920202018a a a =-,累加可知C 不正确;根据2121a a a =,222312312()a a a a a a a a =-=-,233423423()a a a a a a a a =-=-,244534534()a a a a a a a a =-=-,,220192019202020182019202020182019()a a a a a a a a =-=-,累加可知D 正确. 【详解】依题意可知,11a =,21a =,21n n n a a a ++=+,312112a a a =+=+=,423123a a a =+=+=,534235a a a =+=+=,645358a a a =+=+=,故A 正确; 7565813a a a =+=+=,所以712345671123581333S a a a a a a a =++++++=++++++=,故B 正确;由12a a =,342a a a =-,564a a a =-,786a a a =-,,201920202018a a a =-,可得13572019a a a a a +++++=242648620202018a a a a a a a a a +-+-+-++-2020a =,故C 不正确;2121a a a =,222312312()a a a a a a a a =-=-,233423423()a a a a a a a a =-=-,244534534()a a a a a a a a =-=-,,220192019202020182019202020182019()a a a a a a a a =-=-,所以2222212342019a a a a a +++++122312342345342019202020182019a a a a a a a a a a a a a a a a a a =+-+-+-+- 20192020a a =,所以22212201920202019a a a a a +++=,故D 正确. 故选:ABD. 【点睛】本题考查了数列的递推公式,考查了累加法,属于中档题. 24.BD 【分析】根据选项求出数列的前4项,逐一判断即可. 【详解】解:因为数列{}n a 的前4项为2,0,2,0, 选项A :不符合题设;选项B :01(1)12,a =-+=12(1)10,a =-+=23(1)12,a =-+=34(1)10a =-+=,符合题设;选项C :,12sin2,2a π==22sin 0,a π==332sin22a π==-不符合题设; 选项D :1cos 012,a =+=2cos 10,a π=+=3cos 212,a π=+=4cos310a π=+=,符合题设.故选:BD. 【点睛】本题考查数列的通项公式的问题,考查了基本运算求解能力,属于基础题. 25.ACD 【分析】利用等差数列的性质和通项公式,逐个选项进行判断即可求解 【详解】 因为1112a =+,1(1)2n n a n d n =+-+,所以a 1=3,a n =[1+(n -1)d ](n +2n ).若d =1,则a n =n (n +2n );若d =0,则a 2=6.因为a 2=6+6d ,a 3=11+22d ,所以若a 1,a 2,a 3成等差数列,则a 1+a 3=a 2,即14+22d =12+12d ,解得15d =-. 故选ACD 26.BD 【分析】设等差数列{}n a 的公差为d ,根据条件12a 、8S 、9S 成等差数列可求得1a 与d 的等量关系,可得出n a 、n S 的表达式,进而可判断各选项的正误. 【详解】设等差数列{}n a 的公差为d ,则8118788282S a d a d ⨯=+=+,9119899362S a d a d ⨯=+=+, 因为12a 、8S 、9S 成等差数列,则81922S a S =+,即11116562936a d a a d +=++,解得14a d =-,()()115n a a n d n d ∴=+-=-,()()219122n n n d n n d S na --=+=.对于A 选项,59233412a a d d +=⨯=,()2888942d S d -⨯==-,A 选项错误; 对于B 选项,()2229272d Sd -⨯==-,()2779772d Sd -⨯==-,B 选项正确;对于C 选项,()2298192224n d d S n n n ⎡⎤⎛⎫=-=--⎢⎥ ⎪⎝⎭⎢⎥⎣⎦.若0d >,则4S 或5S 最小;若0d <,则4S 或5S 最大.C 选项错误; 对于D 选项,50a =,D 选项正确. 故选:BD. 【点睛】在解有关等差数列的问题时可以考虑化归为a 1和d 等基本量,通过建立方程(组)获得解,另外在求解等差数列前n 项和n S 的最值时,一般利用二次函数的基本性质或者数列的单调性来求解. 27.AC 【分析】由535S =求出37a =,再由411a =可得公差为434d a a =-=,从而可求得其通项公式和前n 项和公式 【详解】由题可知,53535S a ==,即37a =,所以等差数列{}n a 的公差434d a a =-=, 所以()4445n a a n d n =+-=-,()2451232n n n S n n --==-.故选:AC. 【点睛】本题考查等差数列,考查运算求解能力. 28.AC 【分析】利用等差数列{}n a 的前n 项和公式、通项公式列出方程组,求出11a =,2d =,由此能求出n a 与n S . 【详解】等差数列{}n a 的前n 项和为n S .39S =,47a =,∴31413239237S a d a a d ⨯⎧=+=⎪⎨⎪=+=⎩, 解得11a =,2d =,1(1)221n a n n ∴+-⨯=-=.()21212n n n S n +-==故选:AC . 【点睛】本题考查等差数列的通项公式求和公式的应用,考查等差数列的性质等基础知识,考查运算求解能力,是基础题. 29.ACD 【分析】由13623a a S +=得100a =,故A 正确;当0d <时,根据二次函数知识可知n S 无最小值,故B 错误;根据等差数列的性质计算可知127S S =,故C 正确;根据等差数列前n 项和公式以及等差数列的性质可得190S =,故D 正确. 【详解】因为13623a a S +=,所以111236615a a d a d ++=+,所以190a d +=,即100a =,故A 正确;当0d <时,1(1)(1)922n n n n n S na d dn d --=+=-+2(19)2dn n =-无最小值,故B 错误;因为127891*********S S a a a a a a -=++++==,所以127S S =,故C 正确; 因为()1191910191902a a S a+⨯===,故D 正确.故选:ACD. 【点睛】本题考查了等差数列的通项公式、前n 项和公式,考查了等差数列的性质,属于中档题. 30.ABD 【分析】先根据题意可知前9项的和最小,判断出A 正确;根据题意可知数列为递减数列,则190a >,又181919S S a =-,进而可知1516S S >,判断出C 不正确;利用等差中项的性质和求和公式可知()01179179172171722a a a S a <+⨯⨯===,()1191019101921919022a a a S a +⨯⨯===>,故BD 正确. 【详解】根据题意可知数列为递增数列,90a <,100a >,∴前9项的和最小,故A 正确;()11791791721717022a a a S a +⨯⨯===<,故B 正确;()1191019101921919022a a a S a +⨯⨯===>,故D 正确; 190a >, 181919S S a ∴=-, 1819S S ∴<,故C 不正确.故选:ABD . 【点睛】本题考查等差数列的综合应用,考查逻辑思维能力和运算能力,属于常考题.。
一、等差数列选择题1.已知等差数列{}n a 的前n 项和n S 满足:21<<m m m S S S ++,若0n S >,则n 的最大值为( ) A .2mB .21m +C .22m +D .23m +2.等差数列{}n a 中,已知14739a a a ++=,则4a =( ) A .13B .14C .15D .163.在等差数列{}n a 中,3914a a +=,23a =,则10a =( ) A .11 B .10C .6D .34.定义12nn p p p +++为n 个正数12,,,n p p p 的“均倒数”,若已知数列{}n a 的前n 项的“均倒数”为12n ,又2n n a b =,则1223910111b b b b b b +++=( ) A .817 B .1021C .1123 D .9195.设数列{}n a 的前n 项和21n S n =+. 则8a 的值为( ).A .65B .16C .15D .146.已知n S 为等差数列{}n a 的前n 项和,3518a S +=,633a a =+,则n a =( ) A .1n -B .nC .21n -D .2n7.《周髀算经》是中国最古老的天文学和数学著作,它揭示日月星辰的运行规律.其记载“阴阳之数,日月之法,十九岁为一章,四章为一部,部七十六岁,二十部为一遂,遂千百五二十岁”.现恰有30人,他们的年龄(都为正整数)之和恰好为一遂(即1520),其中年长者年龄介于90至100,其余29人的年龄依次相差一岁,则最年轻者的年龄为( ) A .32B .33C .34D .358.等差数列{}n a 的前n 项和为n S ,若12a =,315S =,则8a =( ) A .11B .12C .23D .249.已知等差数列{}n a 的前n 项和为S n ,若S 2=8,38522a a a +=+,则a 1等于( ) A .1B .2C .3D .410.设等差数列{}n a 的前n 项和为n S ,若2938a a a +=+,则15S =( ) A .60B .120C .160D .24011.数学著作《孙子算经》中有这样一个问题:“今有物不知其数,三三数之剩二(除以3余2),五五数之剩三(除以5余3),问物几何?”现将1到2020共2020个整数中,同时满足“三三数之剩二,五五数之剩三”的数按从小到大的顺序排成一列,构成数列{},n a 则该数列共有( ) A .132项B .133项C .134项D .135项12.《周碑算经》有一题这样叙述:从冬至日起,依次小寒、大寒、立春、雨水、惊蛰、春分、清明、谷雨、立夏、小满、芒种十二个节气日影长减等寸,冬至、立春、春分日影之和为三丈一尺五寸,前九个节气日影长之和为八丈五尺五寸,则后五个节气日影长之和为( )(注:一丈=十尺,一尺=十寸) A .一丈七尺五寸 B .一丈八尺五寸 C .二丈一尺五寸D .二丈二尺五寸13.已知等差数列{}n a 的公差d 为正数,()()111,211,n n n a a a tn a t +=+=+为常数,则n a =( )A .21n -B .43n -C .54n -D .n14.等差数列{}n a 的前n 项和为n S ,已知58a =,36S =,则107S S -的值是( ) A .48B .60C .72D .2415.已知{}n a 是公差为2的等差数列,前5项和525S =,若215m a =,则m =( ) A .4B .6C .7D .816.冬春季节是流感多发期,某地医院近30天每天入院治疗流感的人数依次构成数列{}n a ,已知11a =,22a=,且满足()211+-=+-nn n a a (n *∈N ),则该医院30天入院治疗流感的共有( )人A .225B .255C .365D .46517.“中国剩余定理”又称“孙子定理”,1852年英国来华传教伟烈亚力将《孙子算经》中“物不知数”问题的解法传至欧洲.1874年,英国数学家马西森指出此法符合1801年由高斯得出的关于同余式解法的一般性定理,因而西方称之为“中国剩余定理”.“中国剩余定理”讲的是一个关于整除的问题,现有这样一个整除问题:将正整数中能被3除余2且被7除余2的数按由小到大的顺序排成一列,构成数列{} n a ,则5a =( ) A .103B .107C .109D .10518.设等差数列{}n a 的前n 项和为n S ,若718a a a -<<-,则必定有( ) A .70S >,且80S < B .70S <,且80S > C .70S >,且80S >D .70S <,且80S <19.记n S 为等差数列{}n a 的前n 项和,若542S S =,248a a +=,则5a 等于( ) A .6B .7C .8D .1020.已知数列{}n a ,{}n b 都是等差数列,记n S ,n T 分别为{}n a ,{}n b 的前n 项和,且713n n S n T n -=,则55a b =( ) A .3415B .2310C .317D .6227二、多选题21.斐波那契数列,又称黄金分割数列、兔子数列,是数学家列昂多·斐波那契于1202年提出的数列.斐波那契数列为1,1,2,3,5,8,13,21,……,此数列从第3项开始,每一项都等于前两项之和,记该数列为(){}F n ,则(){}F n 的通项公式为( )A .(1)1()2n nF n -+=B .()()()11,2F n F n F n n +=+-≥且()()11,21F F ==C .()n nF n ⎡⎤⎥=-⎥⎝⎭⎝⎭⎦ D .()n n F n ⎡⎤⎥=+⎥⎝⎭⎝⎭⎦22.已知数列{}n a 的前n 项和为()0n n S S ≠,且满足140(2)n n n a S S n -+=≥,114a =,则下列说法错误的是( ) A .数列{}n a 的前n 项和为4n S n = B .数列{}n a 的通项公式为14(1)n a n n =+C .数列{}n a 为递增数列D .数列1n S ⎧⎫⎨⎬⎩⎭为递增数列 23.已知等差数列{}n a 的公差0d ≠,前n 项和为n S ,若612S S =,则下列结论中正确的有( ) A .1:17:2a d =-B .180S =C .当0d >时,6140a a +>D .当0d <时,614a a >24.若不等式1(1)(1)2n na n+--<+对于任意正整数n 恒成立,则实数a 的可能取值为( ) A .2- B .1- C .1 D .225.首项为正数,公差不为0的等差数列{}n a ,其前n 项和为n S ,则下列4个命题中正确的有( )A .若100S =,则50a >,60a <;B .若412S S =,则使0n S >的最大的n 为15;C .若150S >,160S <,则{}n S 中7S 最大;D .若89S S <,则78S S <. 26.已知数列{}2nna n +是首项为1,公差为d 的等差数列,则下列判断正确的是( ) A .a 1=3 B .若d =1,则a n =n 2+2n C .a 2可能为6D .a 1,a 2,a 3可能成等差数列27.已知数列{}n a :1,1,2,3,5,…其中从第三项起,每个数等于它前面两个数的和,记n S 为数列{}n a 的前n 项和,则下列结论正确的是( ) A .68S a = B .733S =C .135********a a a a a ++++= D .2222123202020202021a a a a a a ++++=28.已知无穷等差数列{}n a 的前n 项和为n S ,67S S <,且78S S >,则( ) A .在数列{}n a 中,1a 最大 B .在数列{}n a 中,3a 或4a 最大 C .310S S =D .当8n ≥时,0n a <29.已知数列{}n a 为等差数列,则下列说法正确的是( ) A .1n n a a d +=+(d 为常数)B .数列{}n a -是等差数列C .数列1n a ⎧⎫⎨⎬⎩⎭是等差数列D .1n a +是n a 与2n a +的等差中项30.已知无穷等差数列{}n a 的前n 项和为n S ,67S S <,且78S S >,则( )A .在数列{}n a 中,1a 最大B .在数列{}n a 中,3a 或4a 最大C .310S S =D .当8n ≥时,0n a <【参考答案】***试卷处理标记,请不要删除一、等差数列选择题 1.C 【分析】首先根据数列的通项n a 与n S 的关系,得到10m a +>,2<0m a +,12+>0m m a a ++,再根据选项,代入前n 项和公式,计算结果. 【详解】由21<<m m m S S S ++得,10m a +>,2<0m a +,12+>0m m a a ++. 又()()()1212112121>02m m m m a a S m a +++++==+,()()()1232322323<02m m m m a a S m a +++++==+,()()()()1222212211>02m m m m m a a S m a a ++++++==++.故选:C.【点睛】关键点睛:本题的第一个关键是根据公式11,2,1n n n S S n a S n --≥⎧=⎨=⎩,判断数列的项的正负,第二个关键能利用等差数列的性质和公式,将判断和的正负转化为项的正负. 2.A 【分析】利用等差数列的性质可得1742a a a +=,代入已知式子即可求解. 【详解】由等差数列的性质可得1742a a a +=, 所以1474339a a a a ++==,解得:413a =, 故选:A 3.A 【分析】利用等差数列的通项公式求解1,a d ,代入即可得出结论. 【详解】由3914a a +=,23a =, 又{}n a 为等差数列, 得39121014a a a d +=+=,213a a d =+=,解得12,1a d ==, 则101+92911a a d ==+=; 故选:A. 4.D 【分析】由题意结合新定义的概念求得数列的前n 项和,然后利用前n 项和求解通项公式,最后裂项求和即可求得最终结果. 【详解】设数列{}n a 的前n 项和为n S ,由题意可得:12n n S n=,则:22n S n =, 当1n =时,112a S ==,当2n ≥时,142n n n a S S n -=-=-, 且14122a =⨯-=,据此可得 42n a n =-,故212nn a b n ==-,()()111111212122121n n b b n n n n +⎛⎫==- ⎪-+-+⎝⎭, 据此有:12239101111111111233517191.21891919b b b b b b +++⎡⎤⎛⎫⎛⎫⎛⎫=-+-++- ⎪ ⎪ ⎪⎢⎥⎝⎭⎝⎭⎝⎭⎣⎦=⨯= 故选:D 5.C 【分析】利用()12n n n a S S n -=-≥得出数列{}n a 的通项公差,然后求解8a . 【详解】由21n S n =+得,12a =,()2111n S n -=-+,所以()221121n n n a S S n n n -=-=--=-,所以2,121,2n n a n n =⎧=⎨-≥⎩,故828115a =⨯-=.故选:C. 【点睛】本题考查数列的通项公式求解,较简单,利用()12n n n a S S n -=-≥求解即可. 6.B 【分析】根据条件列出关于首项和公差的方程组,求解出首项和公差,则等差数列{}n a 的通项公式可求. 【详解】因为3518a S +=,633a a =+,所以11161218523a d a d a d +=⎧⎨+=++⎩,所以111a d =⎧⎨=⎩,所以()111n a n n =+-⨯=,故选:B. 7.D 【分析】设年纪最小者年龄为n ,年纪最大者为m ,由他们年龄依次相差一岁得出(1)(2)(28)1520n n n n m ++++++++=,结合等差数列的求和公式得出111429m n =-,再由[]90,100m ∈求出n 的值.【详解】根据题意可知,这30个老人年龄之和为1520,设年纪最小者年龄为n ,年纪最大者为m ,[]90,100m ∈,则有(1)(2)(28)294061520n n n n m n m ++++++++=++=则有291114n m +=,则111429m n =-,所以90111429100m ≤-≤ 解得34.96635.31n ≤≤,因为年龄为整数,所以35n =. 故选:D 8.C 【分析】由题设求得等差数列{}n a 的公差d ,即可求得结果. 【详解】32153S a ==,25a ∴=, 12a =,∴公差213d a a =-=, 81727323a a d ∴=+=+⨯=,故选:C. 9.C 【分析】利用等差数列的下标和性质以及基本量运算,可求出1a . 【详解】设等差数列{}n a 的公差为d ,则3856522a a a a a +=+=+,解得652d a a =-=,212112228S a a a d a =+=+=+=,解得13a =故选:C 10.B 【分析】根据等差数列的性质可知2938a a a a +=+,结合题意,可得出88a =,最后根据等差数列的前n 项和公式和等差数列的性质,得出()11515815152a a S a +==,从而可得出结果.【详解】解:由题可知,2938a a a +=+,由等差数列的性质可知2938a a a a +=+,则88a =,故()1158158151521515812022a a a S a +⨯====⨯=. 故选:B. 11.D【分析】由题意抽象出数列是等差数列,再根据通项公式计算项数. 【详解】被3除余2且被5除余3的数构成首项为8,公差为15的等差数列,记为{}n a ,则()8151157n a n n =+-=-,令1572020n a n =-≤,解得:213515n ≤, 所以该数列的项数共有135项. 故选:D 【点睛】关键点点睛:本题以数学文化为背景,考查等差数列,本题的关键是读懂题意,并能抽象出等差数列. 12.D 【分析】由题知各节气日影长依次成等差数列,设为{}n a ,n S 是其前n 项和,已知条件为985.5S =,14731.5a a a ++=,由等差数列性质即得5a ,4a ,由此可解得d ,再由等差数列性质求得后5项和. 【详解】由题知各节气日影长依次成等差数列,设为{}n a ,n S 是其前n 项和, 则()19959985.52a a S a +===(尺),所以59.5a =(尺),由题知1474331.5a a a a ++==(尺),所以410.5a =(尺),所以公差541d a a =-=-, 则()8910111210555522.5a a a a a a a d ++++==+=(尺). 故选:D . 13.A 【分析】由已知等式分别求出数列的前三项,由2132a a a =+列出方程,求出公差,利用等差数列的通项公式求解可得答案. 【详解】11a =,()()1211n n n a a tn a ++=+,令1n =,则()()121211a a t a +=+,解得21a t =-令2n =,则()()2322121a a t a +=+,即()2311t a t -=-,若1t =,则20,1a d ==,与已知矛盾,故解得31a t =+{}n a 等差数列,2132a a a ∴=+,即()2111t t -=++,解得4t =则公差212d a a =-=,所以()1121n a a n d n =+-=-. 故选:A 14.A 【分析】根据条件列方程组,求首项和公差,再根据107891093S S a a a a -=++=,代入求值. 【详解】由条件可知114832362a d a d +=⎧⎪⎨⨯+=⎪⎩,解得:102a d =⎧⎨=⎩, ()10789109133848S S a a a a a d -=++==+=.故选:A 15.A 【分析】由525S =求出1a ,从而可求出数列的通项公式,进而可求出m 的值 【详解】 解:由题意得15452252a ⨯+⨯=,解得11a =, 所以1(1)12(1)21n a a n d n n =+-=+-=-, 因为215m a =,所以22115m ⋅-=,解得4m =, 故选:A 16.B 【分析】直接利用分类讨论思想的应用求出数列的通项公式,进一步利用分组法求出数列的和 【详解】解:当n 为奇数时,2n n a a +=, 当n 为偶数时,22n n a a +-=, 所以13291a a a ==⋅⋅⋅==,2430,,,a a a ⋅⋅⋅是以2为首项,2为公差的等差数列,所以30132924301514()()1515222552S a a a a a a ⨯=++⋅⋅⋅++++⋅⋅⋅+=+⨯+⨯=, 故选:B 17.B 【分析】根据题意可知正整数能被21整除余2,即可写出通项,求出答案. 【详解】根据题意可知正整数能被21整除余2,21+2n a n ∴=, 5215+2107a ∴=⨯=.故选:B. 18.A 【分析】根据已知条件,结合等差数列前n 项和公式,即可容易判断. 【详解】依题意,有170a a +>,180a a +< 则()177702a a S +⋅=>()()188188402a a S a a +⋅==+<故选:A . 19.D 【分析】由等差数列的通项公式及前n 项和公式求出1a 和d ,即可求得5a . 【详解】解:设数列{}n a 的首项为1a ,公差为d , 则由542S S =,248a a +=,得:111154435242238a d a d a d a d ⨯⨯⎛⎫+=+ ⎪⎝⎭+++=⎧⎪⎨⎪⎩,即{1132024a d a d +-+=, 解得:{123a d =-=,51424310a a d ∴=+=-+⨯=.故选:D. 20.D 【分析】利用等差数列的性质以及前n 项和公式即可求解. 【详解】由713n n S n T n-=, ()()19551991955199927916229239272a a a a a a Sb b b b b b T ++⨯-======++⨯.故选:D二、多选题21.BC 【分析】根据数列的前几项归纳出数列的通项公式,再验证即可; 【详解】解:斐波那契数列为1,1,2,3,5,8,13,21,……,显然()()11,21F F ==,()()()3122F F F =+=,()()()4233F F F =+=,,()()()11,2F n F n F n n +=+-≥,所以()()()11,2F n F n F n n +=+-≥且()()11,21F F ==,即B 满足条件;由()()()11,2F n F n F n n +=+-≥, 所以()()()()11F n n F n n ⎤+-=--⎥⎣⎦所以数列()()1F n n ⎧⎫⎪⎪+⎨⎬⎪⎪⎩⎭为公比的等比数列, 所以()()1nF n n +-=⎝⎭1115()n F F n n -+=++, 令1nn n Fb -=⎝⎭,则11n n b +=+,所以1n n b b +=-, 所以n b⎧⎪⎨⎪⎪⎩⎭的等比数列,所以1n n b -+, 所以()1115n n n nF n --⎤⎤⎛⎫+⎥⎥=+=- ⎪ ⎪⎥⎥⎝⎭⎝⎭⎝⎭⎝⎭⎝⎭⎣⎦⎣⎦; 即C 满足条件; 故选:BC 【点睛】考查等比数列的性质和通项公式,数列递推公式的应用,本题运算量较大,难度较大,要求由较高的逻辑思维能力,属于中档题. 22.ABC 【分析】数列{}n a 的前n 项和为0n n S S ≠(),且满足1402n n n a S S n -+=≥(),114a =,可得:1140n n n n S S S S ---+=,化为:1114n n S S --=,利用等差数列的通项公式可得1nS ,n S ,2n ≥时,()()111144141n n n a S S n n n n -=-=-=---,进而求出n a . 【详解】数列{}n a 的前n 项和为0n n S S ≠(),且满足1402n n n a S S n -+=≥(),114a =, ∴1140n n n n S S S S ---+=,化为:1114n n S S --=, ∴数列1n S ⎧⎫⎨⎬⎩⎭是等差数列,公差为4, ∴()14414n n n S =+-=,可得14n S n=, ∴2n ≥时,()()111144141n n n a S S n n n n -=-=-=---, ∴()1(1)41(2)41n n a n n n ⎧=⎪⎪=⎨⎪-≥-⎪⎩,对选项逐一进行分析可得,A ,B ,C 三个选项错误,D 选项正确. 故选:ABC. 【点睛】本题考查数列递推式,解题关键是将已知递推式变形为1114n n S S --=,进而求得其它性质,考查逻辑思维能力和运算能力,属于常考题 23.ABC 【分析】因为{}n a 是等差数列,由612S S =可得9100a a +=,利用通项转化为1a 和d 即可判断选项A ;利用前n 项和公式以及等差数列的性质即可判断选项B ;利用等差数列的性质961014a d a a d a =++=+即可判断选项C ;由0d <可得6140a a d +=<且60a >,140a <即可判断选项D ,进而得出正确选项.【详解】因为{}n a 是等差数列,前n 项和为n S ,由612S S =得:1267891011120S S a a a a a a -=+++++=,即()91030a a +=,即9100a a +=,对于选项A :由9100a a +=得12170a d +=,可得1:17:2a d =-,故选项A 正确; 对于选项B :()()118910181818022a a a a S ++===,故选项B 正确;对于选项C :911691014a a a a a a d d =+=++=+,若0d >,则6140a a d +=>,故选项C 正确;对于选项D :当0d <时,6140a a d +=<,则614a a <-,因为0d <,所以60a >,140a <,所以614a a <,故选项D 不正确, 故选:ABC 【点睛】关键点点睛:本题的关键点是由612S S =得出9100a a +=,熟记等差数列的前n 项和公式和通项公式,灵活运用等差数列的性质即可. 24.ABC 【分析】根据不等式1(1)(1)2n na n +--<+对于任意正整数n 恒成立,即当n 为奇数时有12+a n-<恒成立,当n 为偶数时有12a n<-恒成立,分别计算,即可得解. 【详解】根据不等式1(1)(1)2n na n +--<+对于任意正整数n 恒成立, 当n 为奇数时有:12+a n-<恒成立,由12+n 递减,且1223n <+≤,所以2a -≤,即2a ≥-,当n 为偶数时有:12a n<-恒成立, 由12n -第增,且31222n≤-<, 所以32a <, 综上可得:322a -≤<,故选:ABC . 【点睛】本题考查了不等式的恒成立问题,考查了分类讨论思想,有一定的计算量,属于中当题. 25.ABD 【分析】利用等差数列的求和公式及等差数列的性质,逐一检验选项,即可得答案. 【详解】对于A :因为正数,公差不为0,且100S =,所以公差0d <, 所以1101010()02a a S +==,即1100a a +=, 根据等差数列的性质可得561100a a a a +=+=,又0d <, 所以50a >,60a <,故A 正确; 对于B :因为412S S =,则1240S S -=,所以561112894()0a a a a a a ++⋅⋅⋅++=+=,又10a >, 所以890,0a a ><, 所以115815815()15215022a a a S a +⨯===>,116891616()16()022a a a a S ++===, 所以使0n S >的最大的n 为15,故B 正确; 对于C :因为115815815()15215022a a a S a +⨯===>,则80a >, 116891616()16()022a a a a S ++===,则890a a +=,即90a <, 所以则{}n S 中8S 最大,故C 错误;对于D :因为89S S <,则9980S a S =->,又10a >, 所以8870a S S =->,即87S S >,故D 正确, 故选:ABD 【点睛】解题的关键是先判断d 的正负,再根据等差数列的性质,对求和公式进行变形,求得项的正负,再分析和判断,考查等差数列性质的灵活应用,属中档题. 26.ACD 【分析】利用等差数列的性质和通项公式,逐个选项进行判断即可求解 【详解】 因为1112a =+,1(1)2n n a n d n =+-+,所以a 1=3,a n =[1+(n -1)d ](n +2n ).若d =1,则a n =n (n +2n );若d =0,则a 2=6.因为a 2=6+6d ,a 3=11+22d ,所以若a 1,a 2,a 3成等差数列,则a 1+a 3=a 2,即14+22d =12+12d ,解得15d =-. 故选ACD 27.BCD 【分析】根据题意写出8a ,6S ,7S ,从而判断A ,B 的正误;写出递推关系,对递推关系进行适当的变形,利用累加法即可判断C ,D 的正误. 【详解】对A ,821a =,620S =,故A 不正确; 对B ,761333S S =+=,故B 正确;对C ,由12a a =,342a a a =-,564a a a =-,…,202120222020a a a =-,可得135********a a a a a +++⋅⋅⋅+=,故C 正确;对D ,该数列总有21n n n a a a ++=+,2121a a a =,则()222312321a a a a a a a a =-=-, ()233423423a a a a a a a a =-=-,…,()220182018201920172018201920172018a a a a a a a a =-=-, 22019a =2019202020192018a a a a -,220202020202120202019a a a a a =-, 故2222123202*********a a a a a a +++⋅⋅⋅+=,故D 正确.故选:BCD 【点睛】关键点睛:解答本题的关键是对CD 的判断,即要善于利用21n n n a a a ++=+对所给式子进行变形. 28.AD 【分析】利用等差数列的通项公式可以求70a >,80a <,即可求公差0d <,然后根据等差数列的性质判断四个选项是否正确. 【详解】因为67S S <,所以7670S S a -=> , 因为78S S >,所以8780S S a -=<, 所以等差数列{}n a 公差870d a a =-<, 所以{}n a 是递减数列,故1a 最大,选项A 正确;选项B 不正确;10345678910770S S a a a a a a a a -=++++++=>,所以310S S ≠,故选项C 不正确;当8n ≥时,80n a a ≤<,即0n a <,故选项D 正确; 故选:AD【点睛】本题主要考查了等差数列的性质和前n 项和n S ,属于基础题. 29.ABD 【分析】由等差数列的性质直接判断AD 选项,根据等差数列的定义的判断方法判断BC 选项. 【详解】A.因为数列{}n a 是等差数列,所以1n n a a d +-=,即1n n a a d +=+,所以A 正确;B. 因为数列{}n a 是等差数列,所以1n n a a d +-=,那么()()()11n n n n a a a a d ++---=--=-,所以数列{}n a -是等差数列,故B 正确;C.111111n n n n n n n n a a d a a a a a a ++++---==,不是常数,所以数列1n a ⎧⎫⎨⎬⎩⎭不是等差数列,故C 不正确;D.根据等差数列的性质可知122n n n a a a ++=+,所以1n a +是n a 与2n a +的等差中项,故D 正确. 故选:ABD 【点睛】本题考查等差数列的性质与判断数列是否是等差数列,属于基础题型. 30.AD 【分析】由已知得到780,0a a ><,进而得到0d <,从而对ABD 作出判定.对于C,利用等差数列的和与项的关系可等价转化为160a d +=,可知不一定成立,从而判定C 错误. 【详解】由已知得:780,0a a ><,结合等差数列的性质可知,0d <,该等差数列是单调递减的数列, ∴A 正确,B 错误,D 正确,310S S =,等价于1030S S -=,即45100a a a ++⋯+=,等价于4100a a +=,即160a d +=,这在已知条件中是没有的,故C 错误. 故选:AD. 【点睛】本题考查等差数列的性质和前n 项和,属基础题,关键在于掌握和与项的关系.。
一、等差数列选择题1.已知等差数列{}n a 中,161,11a a ==,则数列{}n a 的公差为( ) A .53B .2C .8D .132.等差数列{}n a 中,已知14739a a a ++=,则4a =( ) A .13B .14C .15D .163.设等差数列{}n a 的前n 项和为n S ,且3944a a a +=+,则15S =( ) A .45B .50C .60D .804.已知等差数列{a n }的前n 项和为S n ,则下列判断错误的是( ) A .S 5,S 10-S 5,S 15-S 10必成等差数列 B .S 2,S 4-S 2,S 6-S 4必成等差数列 C .S 5,S 10,S 15+S 10有可能是等差数列D .S 2,S 4+S 2,S 6+S 4必成等差数列5.《周髀算经》是中国最古老的天文学和数学著作,它揭示日月星辰的运行规律.其记载“阴阳之数,日月之法,十九岁为一章,四章为一部,部七十六岁,二十部为一遂,遂千百五二十岁”.现恰有30人,他们的年龄(都为正整数)之和恰好为一遂(即1520),其中年长者年龄介于90至100,其余29人的年龄依次相差一岁,则最年轻者的年龄为( ) A .32B .33C .34D .356.已知等差数列{}n a 中,5470,0a a a >+<,则{}n a 的前n 项和n S 的最大值为( ) A .4SB .5SC . 6SD . 7S7.已知等差数列{}n a 的前n 项和为n S ,若936S S =,则612SS =( ) A .177B .83C .143D .1038.若两个等差数列{}n a ,{}n b 的前n 项和分别为n S 和n T ,且3221n n S n T n +=+,则1215a b =( ) A .32B .7059C .7159D .859.数列{}n a 是项数为偶数的等差数列,它的奇数项的和是24,偶数项的和为30,若它的末项比首项大212,则该数列的项数是( ) A .8B .4C .12D .1610.已知数列{}n a 的前n 项和为n S ,112a =,2n ≥且*n ∈N ,满足120n n n a S S -+=,数列1n S ⎧⎫⎨⎬⎩⎭的前n 项和为n T ,则下列说法中错误的是( )A .214a =-B .648211S S S =+ C .数列{}12n n n S S S +++-的最大项为712D .1121n n n n nT T T n n +-=++ 11.已知正项数列{}n a 满足11a =,1111114n n n n a a a a ++⎛⎫⎛⎫+-=⎪⎪⎝⎭⎝⎭,数列{}n b 满足1111n n nb a a +=+,记{}n b 的前n 项和为n T ,则20T 的值为( ) A .1B .2C .3D .412.已知等差数列{}n a 的前n 项和为n S ,且2n S n =.定义数列{}n b 如下:()*1m m b m m+∈N 是使不等式()*n a m m ≥∈N 成立的所有n 中的最小值,则13519 b b b b ++++=( )A .25B .50C .75D .10013.已知数列{}n a 中,12(2)n n a a n --=≥,且11a =,则这个数列的第10项为( ) A .18B .19C .20D .2114.已知数列{}n a 是公差不为零且各项均为正数的无穷等差数列,其前n 项和为n S .若p m n q <<<且()*,,,p q m n p q m n N +=+∈,则下列判断正确的是( )A .22p p S p a =⋅B .p q m n a a a a >C .1111p q m n a a a a +<+ D .1111p q m nS S S S +>+ 15.已知等差数列{}n a 中,7916+=a a ,41a =,则12a 的值是( ) A .15B .30C .3D .6416.在1与25之间插入五个数,使其组成等差数列,则这五个数为( )A .3、8、13、18、23B .4、8、12、16、20C .5、9、13、17、21D .6、10、14、18、2217.已知数列{x n }满足x 1=1,x 2=23,且11112n n n x x x -++=(n ≥2),则x n 等于( ) A .(23)n -1B .(23)n C .21n + D .12n + 18.等差数列{}n a 中,若26a =,43a =,则5a =( ) A .32B .92C .2D .919.已知数列{}n a 的前n 项和为n S ,且()11213n n n n S S a n +++=+-+,现有如下说法:①541a a =;②222121n n a a n ++=-;③401220S =.则正确的个数为( ) A .0B .1C .2D .320.已知数列{}n a 中,132a =,且满足()*1112,22n n n a a n n N -=+≥∈,若对于任意*n N ∈,都有n a nλ≥成立,则实数λ的最小值是( ) A .2B .4C .8D .16二、多选题21.题目文件丢失!22.已知数列{}n a 的前4项为2,0,2,0,则该数列的通项公式可能为( ) A .0,2,n n a n ⎧=⎨⎩为奇数为偶数B .1(1)1n n a -=-+C .2sin2n n a π= D .cos(1)1n a n π=-+23.已知等差数列{}n a 的前n 项和为,n S 且15110,20,a a a 则( )A .80a <B .当且仅当n = 7时,n S 取得最大值C .49S S =D .满足0n S >的n 的最大值为1224.无穷等差数列{}n a 的前n 项和为S n ,若a 1>0,d <0,则下列结论正确的是( ) A .数列{}n a 单调递减 B .数列{}n a 有最大值 C .数列{}n S 单调递减D .数列{}n S 有最大值25.记n S 为等差数列{}n a 的前n 项和.已知450,5S a ==,则( ) A .25n a n =-B .310na nC .228n S n n =- D .24n S n n =-26.公差不为零的等差数列{}n a 满足38a a =,n S 为{}n a 前n 项和,则下列结论正确的是( ) A .110S =B .10n n S S -=(110n ≤≤)C .当110S >时,5n S S ≥D .当110S <时,5n S S ≥27.已知数列{}n a 的前n 项和为n S ,前n 项积为n T ,且3201911111a a e e +≤++,则( ) A .当数列{}n a 为等差数列时,20210S ≥ B .当数列{}n a 为等差数列时,20210S ≤ C .当数列{}n a 为等比数列时,20210T > D .当数列{}n a 为等比数列时,20210T <28.设等差数列{}n a 的前n 项和为n S ,公差为d .已知312a =,120S >,70a <则A .60a >B .数列1n a ⎧⎫⎨⎬⎩⎭是递增数列C .0nS <时,n 的最小值为13D .数列n n S a ⎧⎫⎨⎬⎩⎭中最小项为第7项 29.下面是关于公差0d >的等差数列{}n a 的四个命题,其中的真命题为( ). A .数列{}n a 是递增数列 B .数列{}n na 是递增数列 C .数列{}na n是递增数列 D .数列{}3n a nd +是递增数列30.公差为d 的等差数列{}n a ,其前n 项和为n S ,110S >,120S <,下列说法正确的有( ) A .0d <B .70a >C .{}n S 中5S 最大D .49a a <【参考答案】***试卷处理标记,请不要删除一、等差数列选择题 1.B 【分析】设公差为d ,则615a a d =+,即可求出公差d 的值. 【详解】设公差为d ,则615a a d =+,即1115d =+,解得:2d =, 所以数列{}n a 的公差为2, 故选:B 2.A 【分析】利用等差数列的性质可得1742a a a +=,代入已知式子即可求解. 【详解】由等差数列的性质可得1742a a a +=, 所以1474339a a a a ++==,解得:413a =, 故选:A 3.C利用等差数列性质当m n p q +=+ 时m n p q a a a a +=+及前n 项和公式得解 【详解】{}n a 是等差数列,3944a a a +=+,4844a a a ∴+=+,84a =1158158()15215156022a a a S a +⨯⨯====故选:C 【点睛】本题考查等差数列性质及前n 项和公式,属于基础题 4.D 【分析】根据等差数列的性质,可判定A 、B 正确;当首项与公差均为0时,可判定C 正确;当首项为1与公差1时,可判定D 错误. 【详解】由题意,数列{}n a 为等差数列,n S 为前n 项和,根据等差数列的性质,可得而51051510,,S S S S S --,和24264,,S S S S S --构成等差数列,所以,所以A ,B 正确;当首项与公差均为0时,5101510,,S S S S +是等差数列,所以C 正确;当首项为1与公差1时,此时2426102,31,86S S S S S =+=+=,此时24264,,S S S S S ++不构成等差数列,所以D 错误. 故选:D. 5.D 【分析】设年纪最小者年龄为n ,年纪最大者为m ,由他们年龄依次相差一岁得出(1)(2)(28)1520n n n n m ++++++++=,结合等差数列的求和公式得出111429m n =-,再由[]90,100m ∈求出n 的值.【详解】根据题意可知,这30个老人年龄之和为1520,设年纪最小者年龄为n ,年纪最大者为m ,[]90,100m ∈,则有(1)(2)(28)294061520n n n n m n m ++++++++=++=则有291114n m +=,则111429m n =-,所以90111429100m ≤-≤ 解得34.96635.31n ≤≤,因为年龄为整数,所以35n =. 故选:D 6.B 【分析】根据已知条件判断0n a >时对应的n 的范围,由此求得n S 的最大值. 【详解】依题意556475600000a a a a a a a d >⎧>⎧⎪⇒<⎨⎨+=+<⎩⎪<⎩,所以015n a n >⇒≤≤, 所以{}n a 的前n 项和n S 的最大值为5S . 7.D 【分析】由等差数列前n 项和性质得3S ,63S S -,96S S -,129S S -构成等差数列,结合已知条件得633S S =和31210S S =计算得结果. 【详解】已知等差数列{}n a 的前项和为n S ,∴3S ,63S S -,96S S -,129S S -构成等差数列,所以()()633962S S S S S ⋅-=+-,且936S S =,化简解得633S S =.又()()()96631292S S S S S S ⋅-=-+-,∴31210S S =,从而126103S S =. 故选:D 【点睛】 思路点睛:(1)利用等差数列前n 项和性质得3S ,63S S -,96S S -,129S S -构成等差数列,(2)()()633962S S S S S ⋅-=+-,且936S S =,化简解得633S S =, (3)()()()96631292S S S S S S ⋅-=-+-,化简解得31210S S =. 8.C 【分析】可设(32)n S kn n =+,(21)n T kn n =+,进而求得n a 与n b 的关系式,即可求得结果. 【详解】因为{}n a ,{}n b 是等差数列,且3221n n S n T n +=+, 所以可设(32)n S kn n =+,(21)n T kn n =+,又当2n 时,有1(61)n n n a S S k n -=-=-,1(41)n n n b T T k n -=-=-, ∴1215(6121)71(4151)59a kb k ⨯-==⨯-, 故选:C . 9.A 【分析】设项数为2n ,由题意可得()21212n d -⋅=,及6S S nd -==奇偶可求解.【详解】设等差数列{}n a 的项数为2n , 末项比首项大212, ()212121;2n a a n d ∴-=-⋅=① 24S =奇,30S =偶,30246S S nd ∴-=-==奇偶②.由①②,可得32d =,4n =, 即项数是8, 故选:A. 10.D 【分析】当2n ≥且*n ∈N 时,由1n n n a S S -=-代入120n n n a S S -+=可推导出数列1n S ⎧⎫⎨⎬⎩⎭为等差数列,确定该数列的首项和公差,可求得数列1n S ⎧⎫⎨⎬⎩⎭的通项公式,由221a S S =-可判断A选项的正误;利用n S 的表达式可判断BC 选项的正误;求出n T ,可判断D 选项的正误. 【详解】当2n ≥且*n ∈N 时,由1n n n a S S -=-, 由120n n n a S S -+=可得111112020n n n n n nS S S S S S ----+=⇒-+=, 整理得1112n n S S --=(2n ≥且n +∈N ). 则1n S ⎧⎫⎨⎬⎩⎭为以2为首项,以2为公差的等差数列()12122n n n S ⇒=+-⋅=,12n S n ∴=. A 中,当2n =时,221111424a S S =-=-=-,A 选项正确; B 中,1n S ⎧⎫⎨⎬⎩⎭为等差数列,显然有648211S S S =+,B 选项正确; C 中,记()()1212211221n n n n b S S n n n S ++=+-=+-++, ()()()1123111212223n n n n b S S S n n n ++++=+-=+-+++,()()()1111602223223n n n b b n n n n n n ++∴-=--=-<++++,故{}n b 为递减数列, ()1123max 111724612n b b S S S ∴==+-=+-=,C 选项正确; D 中,12n n S =,()()2212n n n T n n +∴==+,()()112n T n n +∴=++. ()()()()()()11112112111n n n n T T n n n n n n n n n n n n n n +-=⋅++⋅++=+--+++++222122212n n n n n n T =-++=+-≠,D 选项错误.故选:D . 【点睛】关键点点睛:利用n S 与n a 的关系求通项,一般利用11,1,2n nn S n a S S n -=⎧=⎨-≥⎩来求解,在变形过程中要注意1a 是否适用,当利用作差法求解不方便时,应利用1n n n a S S -=-将递推关系转化为有关n S 的递推数列来求解. 11.B 【分析】 由题意可得221114n n a a +-=,运用等差数列的通项公式可得2143n n a =-,求得14n b =,然后利用裂项相消求和法可求得结果【详解】解:由11a =,1111114n n n n a a a a ++⎛⎫⎛⎫+-= ⎪⎪⎝⎭⎝⎭,得221114n n a a +-=, 所以数列21n a ⎧⎫⎨⎬⎩⎭是以4为公差,以1为首项的等差数列, 所以2114(1)43nn n a =+-=-,因为0n a >,所以n a =,所以1111n n nb a a +=+=所以14n b ==,所以201220T b b b =++⋅⋅⋅+111339(91)244=++⋅⋅⋅+=⨯-=, 故选:B 【点睛】关键点点睛:此题考查由数列的递推式求数列的前n 项和,解题的关键是由已知条件得221114n n a a +-=,从而数列21n a ⎧⎫⎨⎬⎩⎭是以4为公差,以1为首项的等差数列,进而可求n a =,14n b ==,然后利用裂项相消法可求得结果,考查计算能力和转化思想,属于中档题 12.B 【分析】先求得21n a n =-,根据n a m ≥,求得12m n +≥,进而得到21212k k b --=,结合等差数列的求和公式,即可求解. 【详解】由题意,等差数列{}n a 的前n 项和为n S ,且2n S n =,可得21n a n =-,因为n a m ≥,即21n m -≥,解得12m n +≥, 当21m k =-,(*k N ∈)时,1m m b k m+=,即()()11212m m m mk m b m m +===++, 即21212k k b --=, 从而()13519113519502b b b b ++++=++++=.故选:B. 13.B 【分析】由已知判断出数列{}n a 是以1为首项,以2为公差的等差数列,求出通项公式后即可求得10a .【详解】()122n n a a n --=≥,且11a =,∴数列{}n a 是以1为首项,以2为公差的等差数列,通项公式为()12121n a n n =+-=-,10210119a ∴=⨯-=,故选:B.14.D 【分析】利用等差数列的求和公式可判断A 选项的正误;利用作差法结合等差数列的通项公式可判断B 选项的正误;利用p q m n a a a a <结合不等式的基本性质可判断C 选项的正误;利用等差数列的求和公式结合不等式的基本性质可判断D 选项的正误. 【详解】对于A 选项,由于()()1221222p pp p p p a a Sp a a pa ++==+≠,故选项A 错误;对于B 选项,由于m p q n -=-,则()()p q m n m n m n a a a a a p m d a q n d a a ⋅-⋅=+-⋅+--⋅⎡⎤⎡⎤⎣⎦⎣⎦()()()()()22m n m n m n a q n d a q n d a a q n a a d q n d =--⋅+--=----⎡⎤⎡⎤⎣⎦⎣⎦()()()2220q n n m d q n d =-----<,故选项B 错误;对于C 选项,由于1111p q m n m n p q p q p q m n m na a a a a a a a a a a a a a a a ++++==>=+⋅⋅⋅,故选项C 错误; 对于D 选项,设0x q n m p =-=->,则()()()20pq mn m x n x mn x n m x -=-+-=---<,从而pq mn <,由于222222p q m n p q pq m n mn +=+⇔++=++,故2222p q m n +>+.()()()()()()111111p q pq p q mn m n m n --=-++<-++=--,故()()22221122p q m n p q p q m n m nS S p q a d m n a d S S +--+--+=++>++=+.()()()()()221111112112224p q p p q q pq p q pq p q S S pa d qa d pqa a d d--+---⎡⎤⎡⎤⋅=+⋅+=++⎢⎥⎢⎥⎣⎦⎣⎦()()()221121124mn m n mn p q mna a d d+---<++()()()221121124m n mn m n mn m n mna a d d S S +---<++=,由此1111p q m n p q p q m n m nS S S S S S S S S S S S +++=>=+,故选项D 正确. 故选:D. 【点睛】关键点点睛:本题考查等差数列中不等式关系的判断,在解题过程中充分利用基本量来表示n a 、n S ,并结合作差法、不等式的基本性质来进行判断. 15.A 【分析】设等差数列{}n a 的公差为d ,根据等差数列的通项公式列方程组,求出1a 和d 的值,12111a a d =+,即可求解.【详解】设等差数列{}n a 的公差为d ,则111681631a d a d a d +++=⎧⎨+=⎩,即117831a d a d +=⎧⎨+=⎩ 解得:174174d a ⎧=⎪⎪⎨⎪=-⎪⎩,所以12117760111115444a a d =+=-+⨯==, 所以12a 的值是15, 故选:A 16.C 【分析】根据首末两项求等差数列的公差,再求这5个数字. 【详解】在1与25之间插入五个数,使其组成等差数列,则171,25a a ==,则712514716a a d --===-, 则这5个数依次是5,9,13,17,21. 故选:C 17.C 【分析】由已知可得数列1n x ⎧⎫⎨⎬⎩⎭是等差数列,求出数列1n x ⎧⎫⎨⎬⎩⎭的通项公式,进而得出答案. 【详解】由已知可得数列1n x ⎧⎫⎨⎬⎩⎭是等差数列,且121131,2x x ==,故公差12d = 则()1111122n n n x +=+-⨯=,故21n x n =+故选:C 18.A 【分析】由2a 和4a 求出公差d ,再根据54a a d =+可求得结果. 【详解】设公差为d ,则423634222a a d --===--,所以5433322a a d =+=-=. 故选:A 19.D 【分析】由()11213n n n n S S a n +++=+-+得到()11132n n n a a n ++=-+-,再分n 为奇数和偶数得到21262k k a a k +=-+-,22165k k a a k -=+-,然后再联立递推逐项判断. 【详解】因为()11213n n n n S S a n +++=+-+,所以()11132n n n a a n ++=-+-,所以()212621k k a a k +=-+-,()221652k k a a k -=+-, 联立得:()212133k k a a +-+=, 所以()232134k k a a +++=, 故2321k k a a +-=,从而15941a a a a ===⋅⋅⋅=,22162k k a a k ++=-,222161k k a a k ++=++,则222121k k a a k ++=-,故()()()4012345383940...S a a a a a a a a =++++++++,()()()()234538394041...a a a a a a a a =++++++++,()()201411820622k k =+⨯=-==∑1220,故①②③正确. 故选:D 20.A 【分析】 将11122n n n a a -=+变形为11221n n n n a a --=+,由等差数列的定义得出22n n n a +=,从而得出()22nn n λ+≥,求出()max22n n n +⎡⎤⎢⎥⎣⎦的最值,即可得出答案. 【详解】 因为2n ≥时,11122n n n a a -=+,所以11221n n n n a a --=+,而1123a = 所以数列{}2nn a 是首项为3公差为1的等差数列,故22nn a n =+,从而22n n n a +=.又因为n a n λ≥恒成立,即()22nn n λ+≥恒成立,所以()max22n n n λ+⎡⎤≥⎢⎥⎣⎦. 由()()()()()()()1*121322,221122n n nn n n n n n n n n n n +-⎧+++≥⎪⎪∈≥⎨+-+⎪≥⎪⎩N 得2n = 所以()()2max2222222n n n +⨯+⎡⎤==⎢⎥⎣⎦,所以2λ≥,即实数λ的最小值是2 故选:A二、多选题 21.无22.BD 【分析】根据选项求出数列的前4项,逐一判断即可. 【详解】解:因为数列{}n a 的前4项为2,0,2,0, 选项A :不符合题设;选项B :01(1)12,a =-+=12(1)10,a =-+=23(1)12,a =-+=34(1)10a =-+=,符合题设;选项C :,12sin2,2a π==22sin 0,a π==332sin22a π==-不符合题设; 选项D :1cos 012,a =+=2cos 10,a π=+=3cos 212,a π=+=4cos310a π=+=,符合题设.故选:BD. 【点睛】本题考查数列的通项公式的问题,考查了基本运算求解能力,属于基础题. 23.ACD 【分析】由题可得16a d =-,0d <,21322n d d S n n =-,求出80a d =<可判断A ;利用二次函数的性质可判断B ;求出49,S S 可判断C ;令213022n d dS n n =->,解出即可判断D.【详解】设等差数列{}n a 的公差为d ,则()5111122+4++100a a a d a d +==,解得16a d =-,10a >,0d ∴<,且()21113+222n n n d dS na d n n -==-, 对于A ,81+7670a a d d d d ==-+=<,故A 正确;对于B ,21322n d d S n n =-的对称轴为132n =,开口向下,故6n =或7时,n S 取得最大值,故B 错误; 对于C ,4131648261822d d S d d d =⨯-⨯=-=-,9138191822d d S d =⨯-⨯=-,故49S S =,故C 正确;对于D ,令213022n d dS n n =->,解得013n <<,故n 的最大值为12,故D 正确. 故选:ACD. 【点睛】方法点睛:由于等差数列()2111+222n n n d d S na d n a n -⎛⎫==+- ⎪⎝⎭是关于n 的二次函数,当1a 与d 异号时,n S 在对称轴或离对称轴最近的正整数时取最值;当1a 与d 同号时,n S 在1n =取最值. 24.ABD 【分析】由10n n a a d +-=<可判断AB ,再由a 1>0,d <0,可知等差数列数列{}n a 先正后负,可判断CD. 【详解】根据等差数列定义可得10n n a a d +-=<,所以数列{}n a 单调递减,A 正确; 由数列{}n a 单调递减,可知数列{}n a 有最大值a 1,故B 正确;由a 1>0,d <0,可知等差数列数列{}n a 先正后负,所以数列{}n S 先增再减,有最大值,C 不正确,D 正确. 故选:ABD. 25.AD 【分析】设等差数列{}n a 的公差为d ,根据已知得1145460a d a d +=⎧⎨+=⎩,进而得13,2a d =-=,故25n a n =-,24n S n n =-.【详解】解:设等差数列{}n a 的公差为d ,因为450,5S a == 所以根据等差数列前n 项和公式和通项公式得:1145460a d a d +=⎧⎨+=⎩,解方程组得:13,2a d =-=,所以()31225n a n n =-+-⨯=-,24n S n n =-.故选:AD. 26.BC 【分析】 设公差d 不为零,由38a a =,解得192a d =-,然后逐项判断.【详解】 设公差d 不为零, 因为38a a =,所以1127a d a d +=+, 即1127a d a d +=--, 解得192a d =-,11191111551155022S a d d d d ⎛⎫=+=⨯-+=≠ ⎪⎝⎭,故A 错误;()()()()()()221101110910,10102222n n n n n n dd na d n n n a n n S S d ----=+=-=-+=-,故B 正确; 若11191111551155022S a d d d d ⎛⎫=+=⨯-+=> ⎪⎝⎭,解得0d >,()()22510525222n d d d n n S n S =-=--≥,故C 正确;D 错误; 故选:BC 27.AC 【分析】 将3201911111a a e e +≤++变形为32019111101212a a e e -+-≤++,构造函数()1112xf x e =-+,利用函数单调性可得320190a a +≥,再结合等差数列与等比数列性质即可判断正确选项 【详解】 由3201911111a a e e +≤++,可得32019111101212a a e e -+-≤++,令()1112xf x e =-+,()()1111101111xx x x x e f x f x e e e e --+=+-=+-=++++,所以()1112xf x e =-+是奇函数,且在R 上单调递减,所以320190a a +≥, 所以当数列{}n a 为等差数列时,()320192*********a a S +=≥;当数列{}n a 为等比数列时,且3a ,1011a ,2019a 同号,所以3a ,1011a ,2019a 均大于零, 故()2021202110110T a =>.故选:AC 【点睛】本题考查等差数列与等比数列,考查逻辑推理能力,转化与化归的数学思想,属于中档题 28.ACD 【分析】 由已知得()()612112712+12+220a a a a S ==>,又70a <,所以6>0a ,可判断A ;由已知得出2437d -<<-,且()12+3n a n d =-,得出[]1,6n ∈时,>0n a ,7n ≥时,0n a <,又()1112+3n a n d =-,可得出1na 在1,6n n N上单调递增,1na 在7n nN ,上单调递增,可判断B ;由()313117713+12203213a a a S a ⨯==<=,可判断C ;判断 n a ,n S 的符号, n a 的单调性可判断D ; 【详解】由已知得311+212,122d a a a d ===-,()()612112712+12+220a a a a S ==>,又70a <,所以6>0a ,故A 正确;由7161671+612+40+512+3>0+2+1124+7>0a a d d a a d d a a a d d ==<⎧⎪==⎨⎪==⎩,解得2437d -<<-,又()()3+312+3n a n d n d a =-=-,当[]1,6n ∈时,>0n a ,7n ≥时,0n a <,又()1112+3n a n d =-,所以[]1,6n ∈时,1>0na ,7n ≥时,10n a <,所以1na 在1,6n n N上单调递增,1na 在7n n N ,上单调递增,所以数列1n a ⎧⎫⎨⎬⎩⎭不是递增数列,故B 不正确; 由于()313117713+12203213a a a S a ⨯==<=,而120S >,所以0n S <时,n 的最小值为13,故C 选项正确 ;当[]1,6n ∈时,>0n a ,7n ≥时,0n a <,当[]1,12n ∈时,>0n S ,13n ≥时,0nS <,所以当[]7,12n ∈时,0n a <,>0n S ,0nnS a <,[]712n ∈,时,n a 为递增数列,n S 为正数且为递减数列,所以数列n n S a ⎧⎫⎨⎬⎩⎭中最小项为第7项,故D 正确;【点睛】本题考查等差数列的公差,项的符号,数列的单调性,数列的最值项,属于较难题. 29.AD 【分析】根据等差数列的性质,对四个选项逐一判断,即可得正确选项. 【详解】0d >,10n n a a d +-=> ,所以{}n a 是递增数列,故①正确,()()2111n na n a n d dn a d n =+-=+-⎡⎤⎣⎦,当12d a n d-<时,数列{}n na 不是递增数列,故②不正确,1n a a d d n n -=+,当10a d -<时,{}n a n不是递增数列,故③不正确, 134n a nd nd a d +=+-,因为0d >,所以{}3n a nd +是递增数列,故④正确,故选:AD 【点睛】本题主要考查了等差数列的性质,属于基础题. 30.AD 【分析】先根据题意得1110a a +>,1120a a +<,再结合等差数列的性质得60a >,70a <,0d <,{}n S 中6S 最大,49a a <-,即:49a a <.进而得答案.【详解】解:根据等差数列前n 项和公式得:()111111102a a S +=>,()112121202a a S +=< 所以1110a a +>,1120a a +<,由于11162a a a +=,11267a a a a +=+, 所以60a >,760a a <-<, 所以0d <,{}n S 中6S 最大, 由于11267490a a a a a a +=+=+<, 所以49a a <-,即:49a a <. 故AD 正确,BC 错误. 故选:AD. 【点睛】本题考查等差数列的前n 项和公式与等差数列的性质,是中档题.。
一、等差数列选择题1.等差数列{}n a 的前n 项和为n S ,已知58a =,36S =,则107S S -的值是( )A .48B .60C .72D .242.设等差数列{}n a 的前n 项和为n S ,公差1d =,且6210S S ,则34a a +=( )A .2B .3C .4D .53.已知数列{}n a 是等差数列,其前n 项和为n S ,若454a a +=,则8S =( ) A .16 B .-16 C .4D .-44.已知数列{}n a ,{}n b 都是等差数列,记n S ,n T 分别为{}n a ,{}n b 的前n 项和,且713n n S n T n -=,则55a b =( ) A .3415B .2310C .317D .62275.已知等差数列{}n a 满足48a =,6711a a +=,则2a =( ) A .10B .9C .8D .76.《周碑算经》有一题这样叙述:从冬至日起,依次小寒、大寒、立春、雨水、惊蛰、春分、清明、谷雨、立夏、小满、芒种十二个节气日影长减等寸,冬至、立春、春分日影之和为三丈一尺五寸,前九个节气日影长之和为八丈五尺五寸,则后五个节气日影长之和为( )(注:一丈=十尺,一尺=十寸) A .一丈七尺五寸 B .一丈八尺五寸 C .二丈一尺五寸D .二丈二尺五寸7.《张丘建算经》卷上第22题为:“今有女善织,日益功疾(注:从第2天开始,每天比前一天多织相同量的布),第一天织5尺布,现一月(按30天计)共织390尺”,则从第2天起每天比前一天多织( )A .12尺布 B .518尺布 C .1631尺布 D .1629尺布8.设等差数列{}n a 、{}n b 的前n 项和分别是n S 、n T .若237n n S n T n =+,则63a b 的值为( ) A .511B .38C .1D .29.题目文件丢失!10.已知数列{}n a 的前项和221n S n =+,n *∈N ,则5a =( )A .20B .17C .18D .1911.已知数列{x n }满足x 1=1,x 2=23,且11112n n n x x x -++=(n ≥2),则x n 等于( ) A .(23)n -1B .(23)n C .21n + D .12n + 12.已知{}n a 是公差为2的等差数列,前5项和525S =,若215m a =,则m =( ) A .4 B .6 C .7 D .8 13.若等差数列{a n }满足a 2=20,a 5=8,则a 1=( )A .24B .23C .17D .1614.已知递减的等差数列{}n a 满足2219a a =,则数列{}n a 的前n 项和取最大值时n =( )A .4或5B .5或6C .4D .515.设等差数列{}n a 的前n 项和为n S ,若718a a a -<<-,则必定有( ) A .70S >,且80S < B .70S <,且80S > C .70S >,且80S >D .70S <,且80S <16.记n S 为等差数列{}n a 的前n 项和,若542S S =,248a a +=,则5a 等于( ) A .6B .7C .8D .1017.已知等差数列{}n a 的前n 项和为n S ,且310179a a a ++=,则19S =( ) A .51B .57C .54D .7218.已知等差数列{}n a 中,7916+=a a ,41a =,则12a 的值是( ) A .15B .30C .3D .6419.在1与25之间插入五个数,使其组成等差数列,则这五个数为( )A .3、8、13、18、23B .4、8、12、16、20C .5、9、13、17、21D .6、10、14、18、2220.已知等差数列{}n a 的公差d 为正数,()()111,211,n n n a a a tn a t +=+=+为常数,则n a =( )A .21n -B .43n -C .54n -D .n二、多选题21.(多选)在数列{}n a 中,若221(2,,n n a a p n n N p *--=≥∈为常数),则称{}n a 为“等方差数列”.下列对“等方差数列”的判断正确的是( ) A .若{}n a 是等差数列,则{}n a 是等方差数列 B .(){}1n- 是等方差数列C .{}2n是等方差数列.D .若{}n a 既是等方差数列,又是等差数列,则该数列为常数列22.题目文件丢失!23.题目文件丢失!24.若不等式1(1)(1)2n na n+--<+对于任意正整数n 恒成立,则实数a 的可能取值为( ) A .2- B .1- C .1 D .225.设等差数列{}n a 的前n 项和为n S .若30S =,46a =,则( ) A .23n S n n =- B .2392-=n n nSC .36n a n =-D .2n a n =26.记n S 为等差数列{}n a 前n 项和,若81535a a = 且10a >,则下列关于数列的描述正确的是( ) A .2490a a += B .数列{}n S 中最大值的项是25S C .公差0d >D .数列{}na 也是等差数列27.意大利著名数学家斐波那契在研究兔子繁殖问题时,发现有这样一列数:1,1,2,3,5,…,其中从第三项起,每个数等于它前面两个数的和,后来人们把这样的一列数组成的数列{a n }称为“斐波那契数列”,记S n 为数列{a n }的前n 项和,则下列结论正确的是( ) A .a 8=34 B .S 8=54 C .S 2020=a 2022-1 D .a 1+a 3+a 5+…+a 2021=a 202228.(多选题)在数列{}n a 中,若221n n a a p --=,(2n ≥,*n N ∈,p 为常数),则称{}n a 为“等方差数列”.下列对“等方差数列”的判断正确的是( )A .若{}n a 是等差数列,则{}2n a 是等方差数列B .(){}1n-是等方差数列C .若{}n a 是等方差数列,则{}kn a (*k N ∈,k 为常数)也是等方差数列D .若{}n a 既是等方差数列,又是等差数列,则该数列为常数列29.设等差数列{}n a 的前n 项和为n S ,公差为d .已知312a =,120S >,70a <则( ) A .60a >B .数列1n a ⎧⎫⎨⎬⎩⎭是递增数列C .0n S <时,n 的最小值为13D .数列n n S a ⎧⎫⎨⎬⎩⎭中最小项为第7项30.等差数列{}n a 的前n 项和为n S ,1385a a S +=,则下列结论一定正确的是( ) A .100a =B .当9n =或10时,n S 取最大值C .911a a <D .613S S =【参考答案】***试卷处理标记,请不要删除一、等差数列选择题 1.A 【分析】根据条件列方程组,求首项和公差,再根据107891093S S a a a a -=++=,代入求值. 【详解】由条件可知114832362a d a d +=⎧⎪⎨⨯+=⎪⎩,解得:102a d =⎧⎨=⎩, ()10789109133848S S a a a a a d -=++==+=.故选:A 2.B 【分析】根据等差数列的性质,由题中条件,可直接得出结果. 【详解】因为n S 为等差数列{}n a 的前n 项和,公差1d =,6210S S ,所以()()6543434343222410a a a a a d a d a a a a +++=+++++=++=, 解得343a a +=. 故选:B. 3.A 【详解】 由()()18458884816222a a a a S +⨯+⨯⨯====.故选A.4.D 【分析】利用等差数列的性质以及前n 项和公式即可求解. 【详解】由713n n S n T n-=,()()19551991955199927916229239272a a a a a a Sb b b b b b T ++⨯-======++⨯. 故选:D 5.A 【分析】利用等差数列的性质结合已知解得d ,进一步求得2a . 【详解】在等差数列{}n a 中,设公差为d ,由467811a a a =⎧⇒⎨+=⎩444812311a d a d a d =⎧⇒=-⎨+++=⎩,24210a a d ∴=-=. 故选:A 6.D 【分析】由题知各节气日影长依次成等差数列,设为{}n a ,n S 是其前n 项和,已知条件为985.5S =,14731.5a a a ++=,由等差数列性质即得5a ,4a ,由此可解得d ,再由等差数列性质求得后5项和. 【详解】由题知各节气日影长依次成等差数列,设为{}n a ,n S 是其前n 项和, 则()19959985.52a a S a +===(尺),所以59.5a =(尺),由题知1474331.5a a a a ++==(尺),所以410.5a =(尺),所以公差541d a a =-=-, 则()8910111210555522.5a a a a a a a d ++++==+=(尺). 故选:D . 7.D 【分析】设该女子第()N n n *∈尺布,前()N n n *∈天工织布n S 尺,则数列{}n a 为等差数列,设其公差为d ,根据15a =,30390S =可求得d 的值. 【详解】设该女子第()N n n *∈尺布,前()N n n *∈天工织布n S 尺,则数列{}n a 为等差数列,设其公差为d ,由题意可得30130293015015293902S a d d ⨯=+=+⨯=,解得1629d =.故选:D. 8.C 【分析】令22n S n λ=,()37n T n n λ=+,求出n a ,n b ,进而求出6a ,3b ,则63a b 可得. 【详解】令22n S n λ=,()37n T n n λ=+,可得当2n ≥时,()()221221221n n n a S S n n n λλλ-=-=--=-,()()()()137134232n n n b T T n n n n n λλλ-=-=+--+=+,当1n =,()11112,3710a S b T λλλ====+=,符合()221n a n λ=-,()232n b n λ=+故622a λ=,322b λ=, 故631a b =. 【点睛】由n S 求n a 时,11,1,2n nn S n a S S n -=⎧=⎨-≥⎩,注意验证a 1是否包含在后面a n 的公式中,若不符合要单独列出,一般已知条件含a n 与S n 的关系的数列题均可考虑上述公式求解.9.无10.C 【分析】根据题中条件,由554a S S =-,即可得出结果. 【详解】因为数列{}n a 的前项和2*21,n S n n N =+∈, 所以22554(251)(241)18a S S =-=⨯+-⨯+=. 故选:C . 11.C 【分析】由已知可得数列1n x ⎧⎫⎨⎬⎩⎭是等差数列,求出数列1n x ⎧⎫⎨⎬⎩⎭的通项公式,进而得出答案.【详解】由已知可得数列1n x ⎧⎫⎨⎬⎩⎭是等差数列,且121131,2x x ==,故公差12d =则()1111122n n n x +=+-⨯=,故21n x n =+ 故选:C 12.A 【分析】由525S =求出1a ,从而可求出数列的通项公式,进而可求出m 的值 【详解】 解:由题意得15452252a ⨯+⨯=,解得11a =, 所以1(1)12(1)21n a a n d n n =+-=+-=-, 因为215m a =,所以22115m ⋅-=,解得4m =, 故选:A 13.A 【分析】 由题意可得5282045252a a d --===---,再由220a =可求出1a 的值 【详解】 解:根据题意,5282045252a a d --===---,则1220(4)24a a d =-=--=, 故选:A. 14.A 【分析】由2219a a =,可得14a d =-,从而得2922n d dS n n =-,然后利用二次函数的性质求其最值即可 【详解】解:设递减的等差数列{}n a 的公差为d (0d <),因为2219a a =,所以2211(8)a a d =+,化简得14a d =-,所以221(1)9422222n n n d d d dS na d dn n n n n -=+=-+-=-, 对称轴为92n =, 因为n ∈+N ,02d<, 所以当4n =或5n =时,n S 取最大值, 故选:A 15.A 【分析】根据已知条件,结合等差数列前n 项和公式,即可容易判断. 【详解】依题意,有170a a +>,180a a +< 则()177702a a S +⋅=>()()188188402a a S a a +⋅==+<故选:A . 16.D 【分析】由等差数列的通项公式及前n 项和公式求出1a 和d ,即可求得5a . 【详解】解:设数列{}n a 的首项为1a ,公差为d , 则由542S S =,248a a +=,得:111154435242238a d a d a d a d ⨯⨯⎛⎫+=+ ⎪⎝⎭+++=⎧⎪⎨⎪⎩,即{1132024a d a d +-+=, 解得:{123a d =-=,51424310a a d ∴=+=-+⨯=.故选:D. 17.B 【分析】根据等差数列的性质求出103a =,再由求和公式得出答案. 【详解】317102a a a += 1039a ∴=,即103a =()1191019191921935722a a a S +⨯∴===⨯=故选:B 18.A 【分析】设等差数列{}n a 的公差为d ,根据等差数列的通项公式列方程组,求出1a 和d 的值,12111a a d =+,即可求解.【详解】设等差数列{}n a 的公差为d ,则111681631a d a d a d +++=⎧⎨+=⎩,即117831a d a d +=⎧⎨+=⎩ 解得:174174d a ⎧=⎪⎪⎨⎪=-⎪⎩,所以12117760111115444a a d =+=-+⨯==, 所以12a 的值是15, 故选:A 19.C 【分析】根据首末两项求等差数列的公差,再求这5个数字. 【详解】在1与25之间插入五个数,使其组成等差数列, 则171,25a a ==,则712514716a a d --===-, 则这5个数依次是5,9,13,17,21. 故选:C 20.A 【分析】由已知等式分别求出数列的前三项,由2132a a a =+列出方程,求出公差,利用等差数列的通项公式求解可得答案. 【详解】11a =,()()1211n n n a a tn a ++=+,令1n =,则()()121211a a t a +=+,解得21a t =-令2n =,则()()2322121a a t a +=+,即()2311t a t -=-,若1t =,则20,1a d ==,与已知矛盾,故解得31a t =+{}n a 等差数列,2132a a a ∴=+,即()2111t t -=++,解得4t =则公差212d a a =-=,所以()1121n a a n d n =+-=-. 故选:A二、多选题21.BD 【分析】根据等差数列和等方差数列定义,结合特殊反例对选项逐一判断即可. 【详解】对于A ,若{}n a 是等差数列,如n a n =,则12222(1)21n n a a n n n --=--=-不是常数,故{}na 不是等方差数列,故A 错误;对于B ,数列(){}1n-中,222121[(1)][(1)]0n n n n aa ---=---=是常数,{(1)}n ∴-是等方差数列,故B 正确; 对于C ,数列{}2n中,()()22221112234nn n nn aa----=-=⨯不是常数,{}2n∴不是等方差数列,故C 错误; 对于D ,{}n a 是等差数列,1n n a a d -∴-=,则设n a dn m =+,{}n a 是等方差数列,()()222112(2)n n n n dn m a a a a d a d d n m d d dn d m --∴-=++++=+=++是常数,故220d =,故0d =,所以(2)0m d d +=,2210n n a a --=是常数,故D 正确.故选:BD. 【点睛】关键点睛:本题考查了数列的新定义问题和等差数列的定义,解题的关键是正确理解等差数列和等方差数列定义,利用定义进行判断.22.无 23.无24.ABC 【分析】根据不等式1(1)(1)2n na n +--<+对于任意正整数n 恒成立,即当n 为奇数时有12+a n-<恒成立,当n 为偶数时有12a n<-恒成立,分别计算,即可得解. 【详解】根据不等式1(1)(1)2n na n +--<+对于任意正整数n 恒成立, 当n 为奇数时有:12+a n-<恒成立,由12+n 递减,且1223n <+≤,所以2a -≤,即2a ≥-,当n 为偶数时有:12a n<-恒成立, 由12n -第增,且31222n≤-<,所以32a <, 综上可得:322a -≤<, 故选:ABC . 【点睛】本题考查了不等式的恒成立问题,考查了分类讨论思想,有一定的计算量,属于中当题. 25.BC 【分析】由已知条件列方程组,求出公差和首项,从而可求出通项公式和前n 项和公式 【详解】解:设等差数列{}n a 的公差为d , 因为30S =,46a =,所以113230236a d a d ⨯⎧+=⎪⎨⎪+=⎩,解得133a d =-⎧⎨=⎩, 所以1(1)33(1)36n a a n d n n =+-=-+-=-,21(1)3(1)393222n n n n n n nS na d n ---=+=-+=, 故选:BC 26.AB 【分析】根据已知条件求得1,a d 的关系式,然后结合等差数列的有关知识对选项逐一分析,从而确定正确选项. 【详解】依题意,等差数列{}n a 中81535a a =,即()()1137514a d a d +=+,1149249,2a d a d =-=-. 对于A 选项,24912490a a a d +=+=,所以A 选项正确. 对于C 选项,1492a d =-,10a >,所以0d <,所以C 选项错误. 对于B 选项,()()149511122n a a n d d n d n d ⎛⎫=+-=-+-=- ⎪⎝⎭,令0n a ≥得51510,22n n -≤≤,由于n 是正整数,所以25n ≤,所以数列{}n S 中最大值的项是25S ,所以B 选项正确. 对于D 选项,由上述分析可知,125n ≤≤时,0n a ≥,当26n ≥时,0n a <,且0d <.所以数列{}na 的前25项递减,第26项后面递增,不是等差数列,所以D 选项错误.故选:AB 【点睛】等差数列有关知识的题目,主要把握住基本元的思想.要求等差数列前n 项和的最值,可以令0n a ≥或0n a ≤来求解. 27.BCD 【分析】由题意可得数列{}n a 满足递推关系()12211,1,+3n n n a a a a a n --===≥,依次判断四个选项,即可得正确答案. 【详解】对于A ,可知数列的前8项为1,1,2,3,5,8,13,21,故A 错误; 对于B ,81+1+2+3+5+8+13+2154S ==,故B 正确; 对于C ,可得()112n n n a a a n +-=-≥, 则()()()()1234131425311++++++++++n n n a a a a a a a a a a a a a a +-=----即212++1n n n n S a a a a ++=-=-,∴202020221S a =-,故C 正确; 对于D ,由()112n n n a a a n +-=-≥可得,()()()135202124264202220202022++++++++a a a a a a a a a a a a =---=,故D 正确.故选:BCD. 【点睛】本题以“斐波那契数列”为背景,考查数列的递推关系及性质,解题的关键是得出数列的递推关系,()12211,1,+3n n n a a a a a n --===≥,能根据数列性质利用累加法求解. 28.BCD 【分析】根据定义以及举特殊数列来判断各选项中结论的正误. 【详解】对于A 选项,取n a n =,则()()()422444221111n n a a n n n n n n +⎡⎤⎡⎤-=+-=+-⋅++⎣⎦⎣⎦()()221221n n n =+++不是常数,则{}2n a 不是等方差数列,A 选项中的结论错误; 对于B 选项,()()22111110n n +⎡⎤⎡⎤---=-=⎣⎦⎣⎦为常数,则(){}1n-是等方差数列,B 选项中的结论正确;对于C 选项,若{}n a 是等方差数列,则存在常数p R ∈,使得221n n a a p +-=,则数列{}2na 为等差数列,所以()221kn k n a a kp +-=,则数列{}kn a (*k N ∈,k 为常数)也是等方差数列,C 选项中的结论正确;对于D 选项,若数列{}n a 为等差数列,设其公差为d ,则存在m R ∈,使得n a dn m =+,则()()()()2221112222n n n n n n a a a a a a d dn m d d n m d d +++-=-+=++=++,由于数列{}n a 也为等方差数列,所以,存在实数p ,使得221n n a a p +-=,则()222d n m d d p ++=对任意的n *∈N 恒成立,则()2202d m d d p ⎧=⎪⎨+=⎪⎩,得0p d ==,此时,数列{}n a 为常数列,D 选项正确.故选BCD. 【点睛】本题考查数列中的新定义,解题时要充分利用题中的定义进行判断,也可以结合特殊数列来判断命题不成立,考查逻辑推理能力,属于中等题. 29.ACD 【分析】 由已知得()()612112712+12+220a a a a S ==>,又70a <,所以6>0a ,可判断A ;由已知得出2437d -<<-,且()12+3n a n d =-,得出[]1,6n ∈时,>0n a ,7n ≥时,0n a <,又()1112+3n a n d =-,可得出1n a 在1,6n n N上单调递增,1na 在7nn N ,上单调递增,可判断B ;由()313117713+12203213a a a S a ⨯==<=,可判断C ;判断 n a ,n S 的符号, n a 的单调性可判断D ; 【详解】由已知得311+212,122d a a a d ===-,()()612112712+12+220a a a a S ==>,又70a <,所以6>0a ,故A 正确;由7161671+612+40+512+3>0+2+1124+7>0a a d d a a d d a a a d d ==<⎧⎪==⎨⎪==⎩,解得2437d -<<-,又()()3+312+3n a n d n d a =-=-,当[]1,6n ∈时,>0n a ,7n ≥时,0n a <,又()1112+3n a n d=-,所以[]1,6n ∈时,1>0na ,7n ≥时,10n a <,所以1na 在1,6n n N上单调递增,1na 在7n n N ,上单调递增,所以数列1n a ⎧⎫⎨⎬⎩⎭不是递增数列,故B 不正确; 由于()313117713+12203213a a a S a ⨯==<=,而120S >,所以0n S <时,n 的最小值为13,故C 选项正确 ;当[]1,6n ∈时,>0n a ,7n ≥时,0n a <,当[]1,12n ∈时,>0n S ,13n ≥时,0nS <,所以当[]7,12n ∈时,0n a <,>0n S ,0nnS a <,[]712n ∈,时,n a 为递增数列,n S 为正数且为递减数列,所以数列n n S a ⎧⎫⎨⎬⎩⎭中最小项为第7项,故D 正确;【点睛】本题考查等差数列的公差,项的符号,数列的单调性,数列的最值项,属于较难题. 30.AD 【分析】由1385a a S +=求出100a =,即19a d =-,由此表示出9a 、11a 、6S 、13S ,可判断C 、D 两选项;当0d >时,10a <,n S 有最小值,故B 错误. 【详解】解:1385a a S +=,111110875108,90,02da a d a a d a ⨯++=++==,故正确A. 由190a d +=,当0d >时,10a <,n S 有最小值,故B 错误.9101110,a a d d a a d d =-==+=,所以911a a =,故C 错误.61656+5415392dS a d d d ⨯==-+=-, 131131213+11778392dS a d d d ⨯==-+=-,故D 正确. 故选:AD 【点睛】考查等差数列的有关量的计算以及性质,基础题.。
一、等差数列选择题1.设等差数列{}n a 的前n 项和为n S ,且71124a a -=,则5S =( ) A .15B .20C .25D .302.南宋数学家杨辉《详解九张算法》和《算法通变本末》中,提出垛积公式,所讨论的高阶等差数列与一般等差数列不同,前后两项之差不相等,但是逐项差数之差或者高次成等差数列.在杨辉之后一般称为“块积术”.现有高阶等差数列,其前7项分别1,7,15,27,45,71,107,则该数列的第8项为( ) A .161B .155C .141D .1393.中国古代数学著作《九章算术》中有如下问题:“今有金箠,长五尺,斩本一尺,重四斤,斩末一尺,重二斤.问次一尺各重几何?” 意思是:“现有一根金锤,长五尺,一头粗一头细.在粗的一端截下一尺,重四斤;在细的一端截下一尺,重二斤.问依次每一尺各重几斤?”根据已知条件,若金箠由粗到细是均匀变化的,中间三尺的重量为( ) A .3斤B .6斤C .9斤D .12斤4.设等差数列{}n a 的前n 项和为n S ,公差1d =,且6210S S ,则34a a +=( )A .2B .3C .4D .55.已知数列{}n a 的前n 项和221n S n n =+-,则13525a a a a ++++=( )A .350B .351C .674D .6756.已知数列{}n a 的前n 项和n S 满足()12n n n S +=,则数列11n n a a +⎧⎫⎨⎬⎩⎭的前10项的和为( ) A .89B .910C .1011D .11127.已知数列{}n a 为等差数列,2628a a +=,5943a a +=,则10a =( ) A .29B .38C .40D .588.已知等差数列{}n a 中,前n 项和215n S n n =-,则使n S 有最小值的n 是( )A .7B .8C .7或8D .99.题目文件丢失!10.已知等差数列{}n a 满足48a =,6711a a +=,则2a =( ) A .10B .9C .8D .711.已知数列{}n a 中,11a =,22a =,对*n N ∀∈都有333122n n n a a a ++=+,则10a 等于( ) A .10BC .64D .412.已知等差数列{}n a 的公差d 为正数,()()111,211,n n n a a a tn a t +=+=+为常数,则n a =( )A .21n -B .43n -C .54n -D .n 13.在等差数列{a n }中,已知a 5=3,a 9=6,则a 13=( )A .9B .12C .15D .1814.已知等差数列{}n a 中,161,11a a ==,则数列{}n a 的公差为( ) A .53B .2C .8D .1315.在等差数列{}n a 的中,若131,5a a ==,则5a 等于( ) A .25B .11C .10D .916.在等差数列{}n a 中,已知前21项和2163S =,则25820a a a a ++++的值为( )A .7B .9C .21D .4217.在数列{}n a 中,11a =,且11nn na a na +=+,则其通项公式为n a =( ) A .211n n -+ B .212n n -+C .221n n -+D .222n n -+18.已知等差数列{}n a 中,7916+=a a ,41a =,则12a 的值是( ) A .15B .30C .3D .6419.在等差数列{}n a 中,520164a a +=,S ,是数列{}n a 的前n 项和,则S 2020=( ) A .2019B .4040C .2020D .403820.若两个等差数列{}n a ,{}n b 的前n 项和分别为n S 和n T ,且3221n n S n T n +=+,则1215a b =( ) A .32B .7059C .7159D .85二、多选题21.已知S n 是等差数列{}n a (n ∈N *)的前n 项和,且S 5>S 6>S 4,以下有四个命题,其中正确的有( )A .数列{}n a 的公差d <0B .数列{}n a 中S n 的最大项为S 10C .S 10>0D .S 11>022.题目文件丢失!23.已知数列{}2nna n +是首项为1,公差为d 的等差数列,则下列判断正确的是( ) A .a 1=3 B .若d =1,则a n =n 2+2n C .a 2可能为6D .a 1,a 2,a 3可能成等差数列24.朱世杰是元代著名数学家,他所著的《算学启蒙》是一部在中国乃至世界最早的科学普及著作.《算学启蒙》中涉及一些“堆垛”问题,主要利用“堆垛”研究数列以及数列的求和问题.现有100根相同的圆形铅笔,小明模仿“堆垛”问题,将它们全部堆放成纵断面为等腰梯形的“垛”,要求层数不小于2,且从最下面一层开始,每一层比上一层多1根,则该“等腰梯形垛”应堆放的层数可以是( ) A .4B .5C .7D .825.记n S 为等差数列{}n a 的前n 项和.已知450,5S a ==,则( ) A .25n a n =-B .310na nC .228n S n n =- D .24n S n n =-26.已知数列{}n a 为等差数列,则下列说法正确的是( ) A .1n n a a d +=+(d 为常数) B .数列{}n a -是等差数列 C .数列1n a ⎧⎫⎨⎬⎩⎭是等差数列 D .1n a +是n a 与2n a +的等差中项27.设等差数列{}n a 的前n 项和为n S ,公差为d .已知312a =,120S >,70a <则( ) A .60a > B .数列1n a ⎧⎫⎨⎬⎩⎭是递增数列C .0nS <时,n 的最小值为13D .数列n n S a ⎧⎫⎨⎬⎩⎭中最小项为第7项 28.首项为正数,公差不为0的等差数列{}n a ,其前n 项和为n S ,现有下列4个命题中正确的有( )A .若100S =,则280S S +=;B .若412S S =,则使0n S >的最大的n 为15C .若150S >,160S <,则{}n S 中8S 最大D .若78S S <,则89S S <29.下面是关于公差0d >的等差数列{}n a 的四个命题,其中的真命题为( ). A .数列{}n a 是递增数列 B .数列{}n na 是递增数列 C .数列{}na n是递增数列 D .数列{}3n a nd +是递增数列30.等差数列{}n a 的前n 项和为n S ,1385a a S +=,则下列结论一定正确的是( ) A .100a = B .当9n =或10时,n S 取最大值 C .911a a <D .613S S =【参考答案】***试卷处理标记,请不要删除一、等差数列选择题 1.B 【分析】设出数列{}n a 的公差,利用等差数列的通项公式及已知条件,得到124a d +=,然后代入求和公式即可求解 【详解】设等差数列{}n a 的公差为d ,则由已知可得()()111261024a d a d a d +-+=+=, 所以()5115455254202S a d a d ⨯=+=+=⨯= 故选:B 2.B 【分析】画出图形分析即可列出式子求解. 【详解】所给数列为高阶等差数列,设该数列的第8项为x ,根据所给定义:用数列的后一项减去前一项得到一个新数列,得到的新数列也用后一项减去前一项得到一个新数列,即得到了一个等差数列,如图:由图可得:3612107y x y -=⎧⎨-=⎩ ,解得15548x y =⎧⎨=⎩.故选:B. 3.C 【分析】根据题意转化成等差数列问题,再根据等差数列下标的性质求234a a a ++. 【详解】由题意可知金锤每尺的重量成等差数列,设细的一端的重量为1a ,粗的一端的重量为5a ,可知12a =,54a =,根据等差数列的性质可知1533263a a a a +==⇒=, 中间三尺为234339a a a a ++==.故选:C 【点睛】本题考查数列新文化,等差数列的性质,重点考查理解题意,属于基础题型. 4.B 【分析】根据等差数列的性质,由题中条件,可直接得出结果. 【详解】因为n S 为等差数列{}n a 的前n 项和,公差1d =,6210S S ,所以()()6543434343222410a a a a a d a d a a a a +++=+++++=++=, 解得343a a +=. 故选:B. 5.A 【分析】 先利用公式11,1,2n nn S n a S S n -=⎧=⎨-≥⎩求出数列{}n a 的通项公式,再利用通项公式求出13525a a a a ++++的值.【详解】当1n =时,21112112a S ==+⨯-=;当2n ≥时,()()()22121121121n n n a S S n n n n n -⎡⎤=-=+---+--=+⎣⎦.12a =不适合上式,2,121,2n n a n n =⎧∴=⎨+≥⎩.因此,()()3251352512127512235022a a a a a a ⨯+⨯+++++=+=+=;故选:A. 【点睛】易错点睛:利用前n 项和n S 求通项n a ,一般利用公式11,1,2n nn S n a S S n -=⎧=⎨-≥⎩,但需要验证1a 是否满足()2n a n ≥.6.C 【分析】首先根据()12n n n S +=得到n a n =,设11111n n n b a a n n +==-+,再利用裂项求和即可得到答案. 【详解】当1n =时,111a S ==, 当2n ≥时,()()11122n n n n n n n a S S n -+-=-=-=. 检验111a S ==,所以n a n =. 设()1111111n n n b a a n n n n +===-++,前n 项和为n T , 则10111111101122310111111T ⎛⎫⎛⎫⎛⎫=-+-++-=-= ⎪ ⎪ ⎪⎝⎭⎝⎭⎝⎭…. 故选:C 7.A 【分析】根据等差中项的性质,求出414a =,再求10a ; 【详解】因为{}n a 为等差数列,所以264228a a a +==, ∴414a =.由59410a a a a +=+43=,得1029a =, 故选:A. 8.C 【分析】215n S n n =-看作关于n 的二次函数,结合二次函数的图象与性质可以求解.【详解】22152251524n S n n n ⎛⎫=-=--⎪⎝⎭,∴数列{}n S 的图象是分布在抛物线21522524y x ⎛⎫=--⎪⎝⎭上的横坐标为正整数的离散的点.又抛物线开口向上,以152x =为对称轴,且1515|7822-=-|, 所以当7,8n =时,n S 有最小值. 故选:C9.无10.A 【分析】利用等差数列的性质结合已知解得d ,进一步求得2a . 【详解】在等差数列{}n a 中,设公差为d ,由467811a a a =⎧⇒⎨+=⎩444812311a d a d a d =⎧⇒=-⎨+++=⎩,24210a a d ∴=-=. 故选:A 11.D 【分析】利用等差中项法可知,数列{}3n a 为等差数列,根据11a =,22a =可求得数列{}3n a 的公差,可求得310a 的值,进而可求得10a 的值. 【详解】对*n N ∀∈都有333122n n n a a a ++=+,由等差中项法可知,数列{}3n a 为等差数列,由于11a =,22a =,则数列{}3n a 的公差为33217d a a =-=,所以,33101919764a a d =+=+⨯=,因此,104a .故选:D. 12.A 【分析】由已知等式分别求出数列的前三项,由2132a a a =+列出方程,求出公差,利用等差数列的通项公式求解可得答案. 【详解】11a =,()()1211n n n a a tn a ++=+,令1n =,则()()121211a a t a +=+,解得21a t =-令2n =,则()()2322121a a t a +=+,即()2311t a t -=-,若1t =,则20,1a d ==,与已知矛盾,故解得31a t =+{}n a 等差数列,2132a a a ∴=+,即()2111t t -=++,解得4t =则公差212d a a =-=,所以()1121n a a n d n =+-=-. 故选:A 13.A 【分析】在等差数列{a n }中,利用等差中项由95132a a a =+求解. 【详解】在等差数列{a n }中,a 5=3,a 9=6, 所以95132a a a =+,所以139522639a a a =-=⨯-=, 故选:A 14.B【分析】设公差为d ,则615a a d =+,即可求出公差d 的值. 【详解】设公差为d ,则615a a d =+,即1115d =+,解得:2d =, 所以数列{}n a 的公差为2, 故选:B 15.D 【分析】利用等差数列的性质直接求解. 【详解】 因为131,5a a ==,315529a a a a =+∴=,故选:D . 16.C 【分析】利用等差数列的前n 项和公式可得1216a a +=,即可得113a =,再利用等差数列的性质即可求解. 【详解】设等差数列{}n a 的公差为d ,则()1212121632a a S +==, 所以1216a a +=,即1126a =,所以113a =, 所以()()()2582022051781411a a a a a a a a a a a ++++=++++++111111111122277321a a a a a =+++==⨯=,故选:C 【点睛】关键点点睛:本题的关键点是求出1216a a +=,进而得出113a =,()()()2582022051781411117a a a a a a a a a a a a ++++=++++++=即可求解.17.D 【分析】先由11n n n a a na +=+得出111n n n a a +-=,再由累加法计算出2122n n n a -+=,进而求出n a .【详解】 解:11nn na a na +=+, ()11n n n a na a ++=∴,化简得:11n n n n a a a a n ++=+,两边同时除以1n n a a +并整理得:111n nn a a +-=, 即21111a a -=,32112a a -=,43113a a -=,…,1111(2,)n n n n n z a a --=-≥∈, 将上述1n -个式子相加得:213243111111+a a a a a a --+-+ (111)123n n a a -+-=+++…1n +-, 即111(1)2n n n a a --=, 2111(1)(1)2=1(2,)222n n n n n n n n n z a a ---+∴=++=≥∈, 又111a =也满足上式, 212()2n n n n z a -+∴=∈, 22()2n a n z n n ∴=∈-+.故选:D. 【点睛】 易错点点睛:利用累加法求数列通项时,如果出现1n -,要注意检验首项是否符合. 18.A 【分析】设等差数列{}n a 的公差为d ,根据等差数列的通项公式列方程组,求出1a 和d 的值,12111a a d =+,即可求解.【详解】设等差数列{}n a 的公差为d ,则111681631a d a d a d +++=⎧⎨+=⎩,即117831a d a d +=⎧⎨+=⎩ 解得:174174d a ⎧=⎪⎪⎨⎪=-⎪⎩,所以12117760111115444a a d =+=-+⨯==, 所以12a 的值是15, 故选:A 19.B 【分析】由等差数列的性质可得52012016024a a a a +==+,则()15202020202016202010102a a a a S +=⨯=⨯+可得答案. 【详解】 等差数列{}n a 中, 52012016024a a a a +==+()12020202052016202010104101040402a a a a S +===⨯=+⨯⨯ 故选:B 20.C 【分析】可设(32)n S kn n =+,(21)n T kn n =+,进而求得n a 与n b 的关系式,即可求得结果. 【详解】因为{}n a ,{}n b 是等差数列,且3221n n S n T n +=+, 所以可设(32)n S kn n =+,(21)n T kn n =+,又当2n 时,有1(61)n n n a S S k n -=-=-,1(41)n n n b T T k n -=-=-, ∴1215(6121)71(4151)59a kb k ⨯-==⨯-, 故选:C .二、多选题21.AC 【分析】由564S S S >>,可得650,0a a ,且650a a +>,然后逐个分析判断即可得答案 【详解】解:因为564S S S >>,所以650,0a a ,且650a a +>,所以数列的公差0d <,且数列{}n a 中S n 的最大项为S 5,所以A 正确,B 错误, 所以110105610()5()02a a S a a +==+>,11111611()1102a a S a +==<, 所以C 正确,D 错误, 故选:AC22.无23.ACD 【分析】利用等差数列的性质和通项公式,逐个选项进行判断即可求解因为1112a =+,1(1)2n n a n d n =+-+,所以a 1=3,a n =[1+(n -1)d ](n +2n ).若d =1,则a n =n (n +2n );若d =0,则a 2=6.因为a 2=6+6d ,a 3=11+22d ,所以若a 1,a 2,a 3成等差数列,则a 1+a 3=a 2,即14+22d =12+12d ,解得15d =-. 故选ACD 24.BD 【分析】依据题意,根数从上至下构成等差数列,设首项即第一层的根数为1a ,公差即每一层比上一层多的根数为1d =,设一共放()2n n ≥层,利用等差数列求和公式,分析即可得解. 【详解】依据题意,根数从上至下构成等差数列,设首项即第一层的根数为1a ,公差为1d =,设一共放()2n n ≥层,则总得根数为:()()111110022n n n d n n S na na --=+=+= 整理得120021a n n=+-, 因为1a *∈N ,所以n 为200的因数,()20012n n+-≥且为偶数, 验证可知5,8n =满足题意. 故选:BD. 【点睛】关键点睛:本题考查等差数列的求和公式,解题的关键是分析题意,把题目信息转化为等差数列,考查学生的逻辑推理能力与运算求解能力,属于基础题. 25.AD 【分析】设等差数列{}n a 的公差为d ,根据已知得1145460a d a d +=⎧⎨+=⎩,进而得13,2a d =-=,故25n a n =-,24n S n n =-.【详解】解:设等差数列{}n a 的公差为d ,因为450,5S a == 所以根据等差数列前n 项和公式和通项公式得:1145460a d a d +=⎧⎨+=⎩,解方程组得:13,2a d =-=,所以()31225n a n n =-+-⨯=-,24n S n n =-.26.ABD 【分析】由等差数列的性质直接判断AD 选项,根据等差数列的定义的判断方法判断BC 选项. 【详解】A.因为数列{}n a 是等差数列,所以1n n a a d +-=,即1n n a a d +=+,所以A 正确;B. 因为数列{}n a 是等差数列,所以1n n a a d +-=,那么()()()11n n n n a a a a d ++---=--=-,所以数列{}n a -是等差数列,故B 正确;C.111111n n n n n n n n a a d a a a a a a ++++---==,不是常数,所以数列1n a ⎧⎫⎨⎬⎩⎭不是等差数列,故C 不正确;D.根据等差数列的性质可知122n n n a a a ++=+,所以1n a +是n a 与2n a +的等差中项,故D 正确. 故选:ABD 【点睛】本题考查等差数列的性质与判断数列是否是等差数列,属于基础题型. 27.ACD 【分析】 由已知得()()612112712+12+220a a a a S ==>,又70a <,所以6>0a ,可判断A ;由已知得出2437d -<<-,且()12+3n a n d =-,得出[]1,6n ∈时,>0n a ,7n ≥时,0n a <,又()1112+3n a n d =-,可得出1na 在1,6n n N上单调递增,1na 在7n nN ,上单调递增,可判断B ;由()313117713+12203213a a a S a ⨯==<=,可判断C ;判断 n a ,n S 的符号, n a 的单调性可判断D ; 【详解】由已知得311+212,122d a a a d ===-,()()612112712+12+220a a a a S ==>,又70a <,所以6>0a ,故A 正确;由7161671+612+40+512+3>0+2+1124+7>0a a d d a a d d a a a d d ==<⎧⎪==⎨⎪==⎩,解得2437d -<<-,又()()3+312+3n a n d n d a =-=-,当[]1,6n ∈时,>0n a ,7n ≥时,0n a <,又()1112+3n a n d=-,所以[]1,6n ∈时,1>0na ,7n ≥时,10n a <,所以1na 在1,6n n N上单调递增,1na 在7n n N ,上单调递增,所以数列1n a ⎧⎫⎨⎬⎩⎭不是递增数列,故B 不正确; 由于()313117713+12203213a a a S a ⨯==<=,而120S >,所以0n S <时,n 的最小值为13,故C 选项正确 ;当[]1,6n ∈时,>0n a ,7n ≥时,0n a <,当[]1,12n ∈时,>0n S ,13n ≥时,0nS <,所以当[]7,12n ∈时,0n a <,>0n S ,0nnS a <,[]712n ∈,时,n a 为递增数列,n S 为正数且为递减数列,所以数列n n S a ⎧⎫⎨⎬⎩⎭中最小项为第7项,故D 正确; 【点睛】本题考查等差数列的公差,项的符号,数列的单调性,数列的最值项,属于较难题. 28.BC 【分析】根据等差数列的性质,以及等差数列的求和公式,逐项判断,即可得答案. 【详解】A 选项,若1011091002S a d ⨯=+=,则1290a d +=, 那么()()2811128281029160S S a d a d a d d +=+++=+=-≠.故A 不正确; B 选项,若412S S =,则()5611128940a a a a a a ++++=+=,又因为10a >,所以前8项为正,从第9项开始为负, 因为()()116168916802a a S a a +==+=, 所以使0n S >的最大的n 为15.故B 正确; C 选项,若()115158151502a a S a +==>,()()116168916802a a S a a +==+<, 则80a >,90a <,则{}n S 中8S 最大.故C 正确;D 选项,若78S S <,则80a >,而989S S a -=,不能判断9a 正负情况.故D 不正确.故选:BC . 【点睛】本题考查等差数列性质的应用,涉及等差数列的求和公式,属于常考题型. 29.AD 【分析】根据等差数列的性质,对四个选项逐一判断,即可得正确选项. 【详解】0d >,10n n a a d +-=> ,所以{}n a 是递增数列,故①正确,()()2111n na n a n d dn a d n =+-=+-⎡⎤⎣⎦,当12d a n d -<时,数列{}n na 不是递增数列,故②不正确, 1n a a d d n n -=+,当10a d -<时,{}n a n 不是递增数列,故③不正确, 134n a nd nd a d +=+-,因为0d >,所以{}3n a nd +是递增数列,故④正确,故选:AD 【点睛】本题主要考查了等差数列的性质,属于基础题. 30.AD 【分析】由1385a a S +=求出100a =,即19a d =-,由此表示出9a 、11a 、6S 、13S ,可判断C 、D 两选项;当0d >时,10a <,n S 有最小值,故B 错误. 【详解】解:1385a a S +=,111110875108,90,02da a d a a d a ⨯++=++==,故正确A. 由190a d +=,当0d >时,10a <,n S 有最小值,故B 错误.9101110,a a d d a a d d =-==+=,所以911a a =,故C 错误.61656+5415392dS a d d d ⨯==-+=-, 131131213+11778392dS a d d d ⨯==-+=-,故D 正确. 故选:AD 【点睛】考查等差数列的有关量的计算以及性质,基础题.。
一、等差数列选择题1.记n S 为等差数列{}n a 的前n 项和.若5620a a +=,11132S =,则{}n a 的公差为( ) A .2B .43C .4D .4-2.设等差数列{}n a 的前n 项和为n S ,且3944a a a +=+,则15S =( ) A .45B .50C .60D .803.已知n S 为等差数列{}n a 的前n 项和,3518a S +=,633a a =+,则n a =( ) A .1n -B .nC .21n -D .2n4.已知等差数列{a n }的前n 项和为S n ,则下列判断错误的是( ) A .S 5,S 10-S 5,S 15-S 10必成等差数列 B .S 2,S 4-S 2,S 6-S 4必成等差数列 C .S 5,S 10,S 15+S 10有可能是等差数列D .S 2,S 4+S 2,S 6+S 4必成等差数列5.设等差数列{}n a 的前n 项和为n S ,10a <且11101921a a =,则当n S 取最小值时,n 的值为( ) A .21B .20C .19D .19或206.设a ,0b ≠,数列{}n a 的前n 项和(21)[(2)22]n nn S a b n =---⨯+,*n N ∈,则存在数列{}n b 和{}n c 使得( )A .n n n a b c =+,其中{}n b 和{}n c 都为等比数列B .n n n a b c =+,其中{}n b 为等差数列,{}n c 为等比数列C .·n n n a b c =,其中{}n b 和{}n c 都为等比数列 D .·n n n a b c =,其中{}n b 为等差数列,{}n c 为等比数列 7.已知等差数列{}n a 中,前n 项和215n S n n =-,则使n S 有最小值的n 是( )A .7B .8C .7或8D .98.若两个等差数列{}n a ,{}n b 的前n 项和分别为n S 和n T ,且3221n n S n T n +=+,则1215a b =( ) A .32B .7059C .7159D .859.设n S 是等差数列{}n a 的前n 项和.若1476a a a ++=,则7S =( ) A .10-B .8C .12D .1410.已知数列{}n a 中,132a =,且满足()*1112,22n n na a n n N -=+≥∈,若对于任意*n N ∈,都有n a nλ≥成立,则实数λ的最小值是( ) A .2B .4C .8D .1611.已知{}n a 为等差数列,n S 是其前n 项和,且100S =,下列式子正确的是( ) A .450a a +=B .560a a +=C .670a a +=D .890a a +=12.《周碑算经》有一题这样叙述:从冬至日起,依次小寒、大寒、立春、雨水、惊蛰、春分、清明、谷雨、立夏、小满、芒种十二个节气日影长减等寸,冬至、立春、春分日影之和为三丈一尺五寸,前九个节气日影长之和为八丈五尺五寸,则后五个节气日影长之和为( )(注:一丈=十尺,一尺=十寸) A .一丈七尺五寸 B .一丈八尺五寸 C .二丈一尺五寸D .二丈二尺五寸13.设等差数列{}n a 、{}n b 的前n 项和分别是n S 、n T .若237n n S n T n =+,则63a b 的值为( ) A .511B .38C .1D .214.等差数列{}n a 的前n 项和为n S ,已知58a =,36S =,则107S S -的值是( ) A .48B .60C .72D .2415.在等差数列{}n a 中,已知前21项和2163S =,则25820a a a a ++++的值为( )A .7B .9C .21D .4216.若等差数列{a n }满足a 2=20,a 5=8,则a 1=( )A .24B .23C .17D .1617.在等差数列{}n a 中,25812a a a ++=,则{}n a 的前9项和9S =( ) A .36B .48C .56D .7218.记n S 为等差数列{}n a 的前n 项和,若542S S =,248a a +=,则5a 等于( ) A .6B .7C .8D .1019.在等差数列{}n a 中,520164a a +=,S ,是数列{}n a 的前n 项和,则S 2020=( ) A .2019B .4040C .2020D .403820.已知等差数列{}n a 满足48a =,6711a a +=,则2a =( ) A .10B .9C .8D .7二、多选题21.已知数列{}n a 的前n 项和为()0n n S S ≠,且满足11140(2),4n n n a S S n a -+=≥=,则下列说法正确的是( ) A .数列{}n a 的前n 项和为1S 4n n=B .数列{}n a 的通项公式为14(1)n a n n =+C .数列{}n a 为递增数列D .数列1{}nS 为递增数列22.题目文件丢失!23.题目文件丢失!24.黄金螺旋线又名等角螺线,是自然界最美的鬼斧神工.在一个黄金矩形(宽长比约等于0.618)里先以宽为边长做正方形,然后在剩下小的矩形里以其宽为边长做正方形,如此循环下去,再在每个正方形里画出一段四分之一圆弧,最后顺次连接,就可得到一条“黄金螺旋线”.达·芬奇的《蒙娜丽莎》,希腊雅典卫城的帕特农神庙等都符合这个曲线.现将每一段黄金螺旋线与其所在的正方形所围成的扇形半径设为a n (n ∈N *),数列{a n }满足a 1=a 2=1,a n =a n -1+a n -2 (n ≥3).再将扇形面积设为b n (n ∈N *),则( )A .4(b 2020-b 2019)=πa 2018·a 2021B .a 1+a 2+a 3+…+a 2019=a 2021-1C .a 12+a 22+a 32…+(a 2020)2=2a 2019·a 2021D .a 2019·a 2021-(a 2020)2+a 2018·a 2020-(a 2019)2=025.已知数列{}n a 的前4项为2,0,2,0,则该数列的通项公式可能为( )A .0,2,n n a n ⎧=⎨⎩为奇数为偶数B .1(1)1n n a -=-+C .2sin2n n a π= D .cos(1)1n a n π=-+26.等差数列{}n a 是递增数列,公差为d ,前n 项和为n S ,满足753a a =,下列选项正确的是( ) A .0d <B .10a <C .当5n =时n S 最小D .0n S >时n 的最小值为827.设{}n a 是等差数列,n S 是其前n 项的和,且56S S <,678S S S =>,则下列结论正确的是( ) A .0d > B .70a =C .95S S >D .6S 与7S 均为n S 的最大值28.设d 为正项等差数列{}n a 的公差,若0d >,32a =,则( )A .244a a ⋅<B .224154a a +≥C .15111a a +> D .1524a a a a ⋅>⋅29.(多选题)等差数列{}n a 的前n 项和为n S ,若10a >,公差0d ≠,则下列命题正确的是( )A .若59S S =,则必有14S =0B .若59S S =,则必有7S 是n S 中最大的项C .若67S S >,则必有78S S >D .若67S S >,则必有56S S >30.无穷数列{}n a 的前n 项和2n S an bn c =++,其中a ,b ,c 为实数,则( )A .{}n a 可能为等差数列B .{}n a 可能为等比数列C .{}n a 中一定存在连续三项构成等差数列D .{}n a 中一定存在连续三项构成等比数列【参考答案】***试卷处理标记,请不要删除一、等差数列选择题 1.C 【分析】由等差数列前n 项和公式以及等差数列的性质可求得6a ,再由等差数列的公式即可求得公差. 【详解】 解:()11111611111322a a S a+⨯===,612a ∴=,又5620a a +=,58a ∴=,654d a a ∴=-=.故选:C . 2.C 【分析】利用等差数列性质当m n p q +=+ 时m n p q a a a a +=+及前n 项和公式得解【详解】{}n a 是等差数列,3944a a a +=+,4844a a a ∴+=+,84a =1158158()15215156022a a a S a +⨯⨯====故选:C 【点睛】本题考查等差数列性质及前n 项和公式,属于基础题 3.B 【分析】根据条件列出关于首项和公差的方程组,求解出首项和公差,则等差数列{}n a 的通项公式可求. 【详解】因为3518a S +=,633a a =+,所以11161218523a d a d a d +=⎧⎨+=++⎩,所以111a d =⎧⎨=⎩,所以()111n a n n =+-⨯=,故选:B. 4.D 【分析】根据等差数列的性质,可判定A 、B 正确;当首项与公差均为0时,可判定C 正确;当首项为1与公差1时,可判定D 错误. 【详解】由题意,数列{}n a 为等差数列,n S 为前n 项和,根据等差数列的性质,可得而51051510,,S S S S S --,和24264,,S S S S S --构成等差数列,所以,所以A ,B 正确;当首项与公差均为0时,5101510,,S S S S +是等差数列,所以C 正确;当首项为1与公差1时,此时2426102,31,86S S S S S =+=+=,此时24264,,S S S S S ++不构成等差数列,所以D 错误. 故选:D. 5.B 【分析】 由题得出1392a d =-,则2202n dS n dn =-,利用二次函数的性质即可求解.【详解】设等差数列{}n a 的公差为d ,由11101921a a =得11102119a a =,则()()112110199a d a d +=+, 解得1392a d =-,10a <,0d ∴>,()211+2022n n n dS na d n dn -∴==-,对称轴为20n =,开口向上, ∴当20n =时,n S 最小.故选:B. 【点睛】方法点睛:求等差数列前n 项和最值,由于等差数列()2111+222n n n d d S na d n a n -⎛⎫==+- ⎪⎝⎭是关于n 的二次函数,当1a 与d 异号时,n S 在对称轴或离对称轴最近的正整数时取最值;当1a 与d 同号时,n S 在1n =取最值. 6.D 【分析】由题设求出数列{}n a 的通项公式,再根据等差数列与等比数列的通项公式的特征,逐项判断,即可得出正确选项. 【详解】 解:(21)[(2)22](2)2(2)n n n n S a b n a b bn a b =---⨯+=+-⋅-+,∴当1n =时,有110S a a ==≠;当2n ≥时,有11()2n n n n a S S a bn b --=-=-+⋅, 又当1n =时,01()2a a b b a =-+⋅=也适合上式,1()2n n a a bn b -∴=-+⋅,令n b a b bn =+-,12n n c -=,则数列{}n b 为等差数列,{}n c 为等比数列,故n n n a b c =,其中数列{}n b 为等差数列,{}n c 为等比数列;故C 错,D 正确;因为11()22n n n a a b bn --+=-⋅⋅,0b ≠,所以{}12n bn -⋅即不是等差数列,也不是等比数列,故AB 错. 故选:D. 【点睛】 方法点睛:由数列前n 项和求通项公式时,一般根据11,2,1n n n S S n a a n --≥⎧=⎨=⎩求解,考查学生的计算能力. 7.C 【分析】215n S n n =-看作关于n 的二次函数,结合二次函数的图象与性质可以求解.【详解】22152251524n S n n n ⎛⎫=-=--⎪⎝⎭,∴数列{}n S 的图象是分布在抛物线21522524y x ⎛⎫=--⎪⎝⎭上的横坐标为正整数的离散的点.又抛物线开口向上,以152x =为对称轴,且1515|7822-=-|, 所以当7,8n =时,n S 有最小值. 故选:C 8.C 【分析】可设(32)n S kn n =+,(21)n T kn n =+,进而求得n a 与n b 的关系式,即可求得结果. 【详解】因为{}n a ,{}n b 是等差数列,且3221n n S n T n +=+, 所以可设(32)n S kn n =+,(21)n T kn n =+,又当2n 时,有1(61)n n n a S S k n -=-=-,1(41)n n n b T T k n -=-=-, ∴1215(6121)71(4151)59a kb k ⨯-==⨯-, 故选:C . 9.D 【分析】利用等差数列下标性质求得4a ,再利用求和公式求解即可 【详解】147446=32a a a a a ++=∴=,则()177477142a a S a +=== 故选:D 10.A 【分析】 将11122n n n a a -=+变形为11221n n n n a a --=+,由等差数列的定义得出22n n n a +=,从而得出()22nn n λ+≥,求出()max22n n n +⎡⎤⎢⎥⎣⎦的最值,即可得出答案. 【详解】因为2n ≥时,11122n n n a a -=+,所以11221n n n n a a --=+,而1123a = 所以数列{}2nn a 是首项为3公差为1的等差数列,故22nn a n =+,从而22n nn a +=. 又因为n a n λ≥恒成立,即()22n n n λ+≥恒成立,所以()max 22nn n λ+⎡⎤≥⎢⎥⎣⎦. 由()()()()()()()1*121322,221122n n nn n n n n n n n n n n +-⎧+++≥⎪⎪∈≥⎨+-+⎪≥⎪⎩N 得2n = 所以()()2max2222222n n n +⨯+⎡⎤==⎢⎥⎣⎦,所以2λ≥,即实数λ的最小值是2 故选:A 11.B 【分析】由100S =可计算出1100a a +=,再利用等差数列下标和的性质可得出合适的选项. 【详解】由等差数列的求和公式可得()110101002a a S +==,1100a a ∴+=, 由等差数列的基本性质可得561100a a a a +=+=. 故选:B. 12.D 【分析】由题知各节气日影长依次成等差数列,设为{}n a ,n S 是其前n 项和,已知条件为985.5S =,14731.5a a a ++=,由等差数列性质即得5a ,4a ,由此可解得d ,再由等差数列性质求得后5项和. 【详解】由题知各节气日影长依次成等差数列,设为{}n a ,n S 是其前n 项和, 则()19959985.52a a S a +===(尺),所以59.5a =(尺),由题知1474331.5a a a a ++==(尺),所以410.5a =(尺),所以公差541d a a =-=-, 则()8910111210555522.5a a a a a a a d ++++==+=(尺). 故选:D . 13.C 【分析】令22n S n λ=,()37n T n n λ=+,求出n a ,n b ,进而求出6a ,3b ,则63a b 可得. 【详解】令22n S n λ=,()37n T n n λ=+,可得当2n ≥时,()()221221221n n n a S S n n n λλλ-=-=--=-,()()()()137134232n n n b T T n n n n n λλλ-=-=+--+=+,当1n =,()11112,3710a S b T λλλ====+=,符合()221n a n λ=-,()232n b n λ=+故622a λ=,322b λ=, 故631a b =. 【点睛】由n S 求n a 时,11,1,2n nn S n a S S n -=⎧=⎨-≥⎩,注意验证a 1是否包含在后面a n 的公式中,若不符合要单独列出,一般已知条件含a n 与S n 的关系的数列题均可考虑上述公式求解. 14.A 【分析】根据条件列方程组,求首项和公差,再根据107891093S S a a a a -=++=,代入求值. 【详解】由条件可知114832362a d a d +=⎧⎪⎨⨯+=⎪⎩,解得:102a d =⎧⎨=⎩, ()10789109133848S S a a a a a d -=++==+=.故选:A 15.C 【分析】利用等差数列的前n 项和公式可得1216a a +=,即可得113a =,再利用等差数列的性质即可求解. 【详解】设等差数列{}n a 的公差为d ,则()1212121632a a S +==, 所以1216a a +=,即1126a =,所以113a =, 所以()()()2582022051781411a a a a a a a a a a a ++++=++++++111111111122277321a a a a a =+++==⨯=,故选:C 【点睛】关键点点睛:本题的关键点是求出1216a a +=,进而得出113a =,()()()2582022051781411117a a a a a a a a a a a a ++++=++++++=即可求解.16.A 【分析】 由题意可得5282045252a a d --===---,再由220a =可求出1a 的值 【详解】解:根据题意,5282045252a a d --===---,则1220(4)24a a d =-=--=, 故选:A. 17.A 【分析】根据等差数列的性质,由题中条件,得出54a =,再由等差数列前n 项和公式,即可得出结果. 【详解】因为{}n a 为等差数列,25812a a a ++=, 所以5312a =,即54a =, 所以()1999983622a a S +⨯===. 故选:A . 【点睛】熟练运用等差数列性质的应用及等差数列前n 项和的基本量运算是解题关键. 18.D 【分析】由等差数列的通项公式及前n 项和公式求出1a 和d ,即可求得5a . 【详解】解:设数列{}n a 的首项为1a ,公差为d , 则由542S S =,248a a +=,得:111154435242238a d a d a d a d ⨯⨯⎛⎫+=+ ⎪⎝⎭+++=⎧⎪⎨⎪⎩,即{1132024a d a d +-+=, 解得:{123a d =-=,51424310a a d ∴=+=-+⨯=.故选:D.19.B【分析】由等差数列的性质可得52012016024a a a a +==+,则()15202020202016202010102a a a a S +=⨯=⨯+可得答案. 【详解】 等差数列{}n a 中, 52012016024a a a a +==+()12020202052016202010104101040402a a a a S +===⨯=+⨯⨯ 故选:B20.A【分析】利用等差数列的性质结合已知解得d ,进一步求得2a .【详解】在等差数列{}n a 中,设公差为d ,由467811a a a =⎧⇒⎨+=⎩444812311a d a d a d =⎧⇒=-⎨+++=⎩,24210a a d ∴=-=. 故选:A二、多选题21.AD【分析】先根据和项与通项关系化简条件,再构造等差数列,利用等差数列定义与通项公式求S n ,最后根据和项与通项关系得n a .【详解】11140(2),40n n n n n n n a S S n S S S S ---+=≥∴-+=11104n n n S S S -≠∴-= 因此数列1{}n S 为以114S =为首项,4为公差的等差数列,也是递增数列,即D 正确; 所以1144(1)44n n n n S S n=+-=∴=,即A 正确; 当2n ≥时111144(1)4(1)n n n a S S n n n n -=-=-=---所以1,141,24(1)n n a n n n ⎧=⎪⎪=⎨⎪-≥-⎪⎩,即B ,C 不正确; 故选:AD【点睛】本题考查由和项求通项、等差数列定义与通项公式以及数列单调性,考查基本分析论证与求解能力,属中档题.22.无23.无24.ABD【分析】对于A ,由题意得b n =4πa n 2,然后化简4(b 2020-b 2019)可得结果;对于B ,利用累加法求解即可;对于C ,数列{a n }满足a 1=a 2=1,a n =a n -1+a n -2 (n ≥3),即a n -1=a n -2-a n ,两边同乘a n -1 ,可得a n -12=a n -1 a n -2-a n -1 a n ,然后累加求解;对于D ,由题意a n -1=a n -a n -2,则a 2019·a 2021-(a 2020)2+a 2018·a 2020-(a 2019)2,化简可得结果 【详解】由题意得b n =4πa n 2,则4(b 2020-b 2019)=4(4πa 20202-4πa 20192)=π(a 2020+a 2019)(a 2020-a 2019)=πa 2018·a 2021,则选项A 正确; 又数列{a n }满足a 1=a 2=1,a n =a n -1+a n -2 (n ≥3),所以a n -2=a n -a n -1(n ≥3),a 1+a 2+a 3+…+a 2019=(a 3-a 2)+(a 4-a 3)+(a 5-a 4)+…+(a 2021-a 2020)=a 2021-a 2=a 2021-1,则选项B 正确;数列{a n }满足a 1=a 2=1,a n =a n -1+a n -2 (n ≥3),即a n -1=a n -2-a n ,两边同乘a n -1 ,可得a n -12=a n -1 a n -2-a n -1 a n ,则a 12+a 22+a 32…+(a 2020)2=a 12+(a 2a 1-a 2a 3)+(a 3a 2-a 3a 4)+…+(a 2020a 2019-a 2020a 2021)=a 12-a 2020a 2021=1-a 2020a 2021,则选项C 错误;由题意a n -1=a n -a n -2,则a 2019·a 2021-(a 2020)2+a 2018·a 2020-(a 2019)2=a 2019·(a 2021-a 2019)+a 2020·(a 2018-a 2020)=a 2019·a 2020+a 2020·(-a 2019)=0,则选项D 正确;故选:ABD.【点睛】此题考查数列的递推式的应用,考查累加法的应用,考查计算能力,属于中档题 25.BD【分析】根据选项求出数列的前4项,逐一判断即可.【详解】解:因为数列{}n a 的前4项为2,0,2,0,选项A :不符合题设;选项B :01(1)12,a =-+=12(1)10,a =-+= 23(1)12,a =-+=34(1)10a =-+=,符合题设;选项C :,12sin 2,2a π==22sin 0,a π==332sin 22a π==-不符合题设; 选项D :1cos 012,a =+=2cos 10,a π=+=3cos 212,a π=+=4cos310a π=+=,符合题设.故选:BD.【点睛】本题考查数列的通项公式的问题,考查了基本运算求解能力,属于基础题.26.BD【分析】由题意可知0d >,由已知条件753a a =可得出13a d =-,可判断出AB 选项的正误,求出n S 关于d 的表达式,利用二次函数的基本性质以及二次不等式可判断出CD 选项的正误.【详解】由于等差数列{}n a 是递增数列,则0d >,A 选项错误;753a a =,则()11634a d a d +=+,可得130a d =-<,B 选项正确;()()()22171117493222224n n n d n n d n n d S na nd n d -⎡⎤--⎛⎫=+=-+==--⎢⎥ ⎪⎝⎭⎢⎥⎣⎦, 当3n =或4时,n S 最小,C 选项错误;令0n S >,可得270n n ->,解得0n <或7n >.n N *∈,所以,满足0n S >时n 的最小值为8,D 选项正确.故选:BD.27.BD【分析】设等差数列{}n a 的公差为d ,依次分析选项即可求解.【详解】根据题意,设等差数列{}n a 的公差为d ,依次分析选项:{}n a 是等差数列,若67S S =,则7670S S a -==,故B 正确;又由56S S <得6560S S a -=>,则有760d a a =-<,故A 错误;而C 选项,95S S >,即67890a a a a +++>,可得()7820a a +>,又由70a =且0d <,则80a <,必有780a a +<,显然C 选项是错误的.∵56S S <,678S S S =>,∴6S 与7S 均为n S 的最大值,故D 正确;故选:BD.【点睛】本题考查了等差数列以及前n 项和的性质,需熟记公式,属于基础题.28.ABC【分析】由已知求得公差d 的范围:01d <<,把各选项中的项全部用d 表示,并根据01d <<判断各选项.【详解】由题知,只需1220010a d d d =->⎧⇒<<⎨>⎩, ()()2242244a a d d d ⋅=-⋅+=-<,A 正确;()()2222415223644a a d d d d +=-++=-+>≥,B 正确; 21511111122221a a d d d +=+=>-+-,C 正确; ()()()()2152422222230a a a a d d d d d ⋅-⋅=-⋅+--⋅+=-<,所以1524a a a a ⋅<⋅,D 错误.【点睛】本题考查等差数列的性质,解题方法是由已知确定d 的范围,由通项公式写出各项(用d 表示)后,可判断.29.ABC【分析】根据等差数列性质依次分析即可得答案.【详解】解:对于A.,若59S S =,则67890a a a a +++=,所以781140a a a a +=+=,所以()114141402a a S +==,故A 选项正确; 对于B 选项,若59S S =,则780+=a a ,由于10a >,公差0d ≠,故0d <,故780,0a a ><,所以7S 是n S 中最大的项;故B 选项正确;C. 若67S S >,则70a <,由于10a >,公差0d ≠,故0d <,故80a <,6a 的符号不定,故必有78S S >,56S S >无法确定;故C 正确,D 错误.故选:ABC .【点睛】本题考查数列的前n 项和的最值问题与等差数列的性质,是中档题. 30.ABC【分析】由2n S an bn c =++可求得n a 的表达式,利用定义判定得出答案.【详解】当1n =时,11a S a b c ==++.当2n ≥时,()()221112n n n a S S an bn c a n b n c an a b -=-=++-----=-+. 当1n =时,上式=+a b .所以若{}n a 是等差数列,则0.a b a b c c +=++∴=所以当0c 时,{}n a 是等差数列, 00a cb ==⎧⎨≠⎩时是等比数列;当0c ≠时,{}n a 从第二项开始是等差数列.故选:A B C【点睛】本题只要考查等差数列前n 项和n S 与通项公式n a 的关系,利用n S 求通项公式,属于基础题.。
一、等差数列选择题1.在等差数列{}n a 中,若n S 为其前n 项和,65a =,则11S 的值是( ) A .60B .11C .50D .552.设等差数列{}n a 的前n 项和为n S ,且3944a a a +=+,则15S =( ) A .45B .50C .60D .803.数列{}n a 为等差数列,11a =,34a =,则通项公式是( ) A .32n -B .322n - C .3122n - D .3122n + 4.等差数列{}n a 的前n 项和为n S ,若12a =,315S =,则8a =( ) A .11B .12C .23D .245.已知等差数列{}n a ,其前n 项的和为n S ,3456720a a a a a ++++=,则9S =( ) A .24B .36C .48D .646.已知等差数列{}n a 的前n 项和为n S ,31567a a a +=+,则23S =( ) A .121B .161C .141D .1517.已知数列{}n a 的前n 项和为n S ,112a =,2n ≥且*n ∈N ,满足120n n n a S S -+=,数列1n S ⎧⎫⎨⎬⎩⎭的前n 项和为n T ,则下列说法中错误的是( )A .214a =-B .648211S S S =+ C .数列{}12n n n S S S +++-的最大项为712D .1121n n n n nT T T n n +-=++ 8.记n S 为等差数列{}n a 的前n 项和.若5620a a +=,11132S =,则{}n a 的公差为( ) A .2B .43C .4D .4-9.设n S 是等差数列{}n a 的前n 项和.若1476a a a ++=,则7S =( ) A .10-B .8C .12D .1410.已知等差数列{}n a 的公差d 为正数,()()111,211,n n n a a a tn a t +=+=+为常数,则n a =( )A .21n -B .43n -C .54n -D .n11.在函数()y f x =的图像上有点列{},n n x y ,若数列{}n x 是等比数列,数列{}n y 是等差数列,则函数()y f x =的解析式可能是( )A .3(4)f x x =+B .2()4f x x =C .3()4xf x ⎛⎫= ⎪⎝⎭D .4()log f x x =12.冬春季节是流感多发期,某地医院近30天每天入院治疗流感的人数依次构成数列{}n a ,已知11a =,22a=,且满足()211+-=+-nn n a a (n *∈N ),则该医院30天入院治疗流感的共有( )人A .225B .255C .365D .46513.已知等差数列{}n a 的前n 项和为n S ,且2n S n =.定义数列{}n b 如下:()*1m m b m m+∈N 是使不等式()*n a m m ≥∈N 成立的所有n 中的最小值,则13519 b b b b ++++=( )A .25B .50C .75D .100 14.若等差数列{a n }满足a 2=20,a 5=8,则a 1=( )A .24B .23C .17D .1615.已知递减的等差数列{}n a 满足2219a a =,则数列{}n a 的前n 项和取最大值时n =( )A .4或5B .5或6C .4D .516.若数列{}n a 满足121()2n n a a n N *++=∈,且11a =,则2021a =( ) A .1010 B .1011 C .2020D .202117.记n S 为等差数列{}n a 的前n 项和,若542S S =,248a a +=,则5a 等于( ) A .6B .7C .8D .1018.在1与25之间插入五个数,使其组成等差数列,则这五个数为( )A .3、8、13、18、23B .4、8、12、16、20C .5、9、13、17、21D .6、10、14、18、2219.已知数列{}n a 的前n 项和为n S ,且()11213n n n n S S a n +++=+-+,现有如下说法:①541a a =;②222121n n a a n ++=-;③401220S =. 则正确的个数为( ) A .0B .1C .2D .320.在等差数列{}n a 中,10a >,81335a a =,则n S 中最大的是( ) A .21SB .20SC .19SD .18S二、多选题21.著名数学家斐波那契在研究兔子繁殖问题时,发现有这样一列数:1,1,2,3,5,…,其中从第三项起,每个数等于它前面两个数的和,后来人们把这样的一列数组成的数列{}n a 称为“斐波那契数列”,记S n 为数列{}n a 的前n 项和,则下列结论正确的是( )A .68a =B .733S =C .135********a a a a a ++++=D .22212201920202019a a a a a +++= 22.已知数列{}n a 的前4项为2,0,2,0,则该数列的通项公式可能为( )A .0,2,n n a n ⎧=⎨⎩为奇数为偶数B .1(1)1n n a -=-+C .2sin2n n a π= D .cos(1)1n a n π=-+23.若数列{}n a 满足112,02121,12n n n n n a a a a a +⎧≤≤⎪⎪=⎨⎪-<<⎪⎩,135a =,则数列{}n a 中的项的值可能为( ) A .15B .25C .45D .6524.设等比数列{}n a 的公比为q ,其前n 项和为n S ,前n 项积为n T ,并且满足条件11a >,667711,01a a a a -><-,则下列结论正确的是( ) A .01q <<B .681a a >C .n S 的最大值为7SD .n T 的最大值为6T25.已知等差数列{}n a 的公差不为0,其前n 项和为n S ,且12a 、8S 、9S 成等差数列,则下列四个选项中正确的有( ) A .59823a a S +=B .27S S =C .5S 最小D .50a =26.已知数列{}n a 为等差数列,则下列说法正确的是( ) A .1n n a a d +=+(d 为常数)B .数列{}n a -是等差数列C .数列1n a ⎧⎫⎨⎬⎩⎭是等差数列D .1n a +是n a 与2n a +的等差中项27.记n S 为等差数列{}n a 的前n 项和.已知535S =,411a =,则( )A .45n a n =-B .23n a n =+C .223n S n n =-D .24n S n n =+28.下列命题正确的是( )A .给出数列的有限项就可以唯一确定这个数列的通项公式B .若等差数列{}n a 的公差0d >,则{}n a 是递增数列C .若a ,b ,c 成等差数列,则111,,a b c可能成等差数列 D .若数列{}n a 是等差数列,则数列{}12++n n a a 也是等差数列29.无穷数列{}n a 的前n 项和2n S an bn c =++,其中a ,b ,c 为实数,则( )A .{}n a 可能为等差数列B .{}n a 可能为等比数列C .{}n a 中一定存在连续三项构成等差数列D .{}n a 中一定存在连续三项构成等比数列30.等差数列{}n a 的前n 项和为n S ,若90a <,100a >,则下列结论正确的是( ) A .109S S >B .170S <C .1819S S >D .190S >【参考答案】***试卷处理标记,请不要删除一、等差数列选择题 1.D 【分析】根据题中条件,由等差数列的性质,以及等差数列的求和公式,即可求出结果. 【详解】因为在等差数列{}n a 中,若n S 为其前n 项和,65a =, 所以()1111161111552a a S a +===.故选:D. 2.C 【分析】利用等差数列性质当m n p q +=+ 时m n p q a a a a +=+及前n 项和公式得解 【详解】{}n a 是等差数列,3944a a a +=+,4844a a a ∴+=+,84a =1158158()15215156022a a a S a +⨯⨯====故选:C 【点睛】本题考查等差数列性质及前n 项和公式,属于基础题 3.C【分析】根据题中条件,求出等差数列的公差,进而可得其通项公式. 【详解】因为数列{}n a 为等差数列,11a =,34a =, 则公差为31322a a d -==, 因此通项公式为()33111222n a n n =+-=-. 故选:C. 4.C 【分析】由题设求得等差数列{}n a 的公差d ,即可求得结果. 【详解】32153S a ==,25a ∴=, 12a =,∴公差213d a a =-=, 81727323a a d ∴=+=+⨯=,故选:C. 5.B 【分析】利用等差数列的性质进行化简,由此求得9S 的值. 【详解】由等差数列的性质,可得345675520a a a a a a ++++==,则54a =19592993622a a aS +=⨯=⨯= 故选:B 6.B 【分析】由条件可得127a =,然后231223S a =,算出即可. 【详解】因为31567a a a +=+,所以15637a a a =-+,所以1537a d =+,所以1537a d -=,即127a =所以231223161S a == 故选:B 7.D 【分析】当2n ≥且*n ∈N 时,由1n n n a S S -=-代入120n n n a S S -+=可推导出数列1n S ⎧⎫⎨⎬⎩⎭为等差数列,确定该数列的首项和公差,可求得数列1n S ⎧⎫⎨⎬⎩⎭的通项公式,由221a S S =-可判断A 选项的正误;利用n S 的表达式可判断BC 选项的正误;求出n T ,可判断D 选项的正误. 【详解】当2n ≥且*n ∈N 时,由1n n n a S S -=-, 由120n n n a S S -+=可得111112020n n n n n nS S S S S S ----+=⇒-+=, 整理得1112n n S S --=(2n ≥且n +∈N ). 则1n S ⎧⎫⎨⎬⎩⎭为以2为首项,以2为公差的等差数列()12122n n n S ⇒=+-⋅=,12n S n ∴=. A 中,当2n =时,221111424a S S =-=-=-,A 选项正确; B 中,1n S ⎧⎫⎨⎬⎩⎭为等差数列,显然有648211S S S =+,B 选项正确; C 中,记()()1212211221n n n n b S S n n n S ++=+-=+-++, ()()()1123111212223n n n n b S S S n n n ++++=+-=+-+++,()()()1111602223223n n n b b n n n n n n ++∴-=--=-<++++,故{}n b 为递减数列, ()1123max 111724612n b b S S S ∴==+-=+-=,C 选项正确; D 中,12n n S =,()()2212n n n T n n +∴==+,()()112n T n n +∴=++. ()()()()()()11112112111n n n n T T n n n n n n n n n n n n n n +-=⋅++⋅++=+--+++++222122212n n n n n n T =-++=+-≠,D 选项错误.故选:D . 【点睛】关键点点睛:利用n S 与n a 的关系求通项,一般利用11,1,2n nn S n a S S n -=⎧=⎨-≥⎩来求解,在变形过程中要注意1a 是否适用,当利用作差法求解不方便时,应利用1n n n a S S -=-将递推关系转化为有关n S 的递推数列来求解. 8.C 【分析】由等差数列前n 项和公式以及等差数列的性质可求得6a ,再由等差数列的公式即可求得公差. 【详解】 解:()11111611111322a a S a+⨯===,612a ∴=,又5620a a +=,58a ∴=,654d a a ∴=-=.故选:C . 9.D 【分析】利用等差数列下标性质求得4a ,再利用求和公式求解即可 【详解】147446=32a a a a a ++=∴=,则()177477142a a S a +=== 故选:D 10.A 【分析】由已知等式分别求出数列的前三项,由2132a a a =+列出方程,求出公差,利用等差数列的通项公式求解可得答案. 【详解】11a =,()()1211n n n a a tn a ++=+,令1n =,则()()121211a a t a +=+,解得21a t =-令2n =,则()()2322121a a t a +=+,即()2311t a t -=-,若1t =,则20,1a d ==,与已知矛盾,故解得31a t =+{}n a 等差数列,2132a a a ∴=+,即()2111t t -=++,解得4t =则公差212d a a =-=,所以()1121n a a n d n =+-=-. 故选:A 11.D 【分析】把点列代入函数解析式,根据{x n }是等比数列,可知1n nx x +为常数进而可求得1n n y y +-的结果为一个与n 无关的常数,可判断出{y n }是等差数列. 【详解】对于A ,函数3(4)f x x =+上的点列{x n ,y n },有y n =43n x +,由于{x n }是等比数列,所以1n nx x +为常数, 因此1n n y y +-=()()()()114343441n n n n n x x x x x q +++-+=-=-这是一个与n 有关的数,故{y n }不是等差数列;对于B ,函数2()4f x x =上的点列{x n ,y n },有y n =24n x ,由于{x n }是等比数列,所以1n nx x +为常数,因此1n n y y +-=()222214441n n n x x x q +-=-这是一个与n 有关的数,故{y n }不是等差数列;对于C ,函数3()4xf x ⎛⎫= ⎪⎝⎭上的点列{x n ,y n },有y n =3()4n x ,由于{x n }是等比数列,所以1n nx x +为常数, 因此1n n y y +-=133()()44n n x x+-=33()()144n qx⎡⎤-⎢⎥⎣⎦,这是一个与n 有关的数,故{y n }不是等差数列;对于D ,函数4()log f x x =上的点列{x n ,y n },有y n =4log n x,由于{x n }是等比数列,所以1n nx x +为常数, 因此1n n y y +-=114444log log log log n n n nx x x x q ++-==为常数,故{y n }是等差数列;故选:D . 【点睛】 方法点睛:判断数列是不是等差数列的方法:定义法,等差中项法. 12.B 【分析】直接利用分类讨论思想的应用求出数列的通项公式,进一步利用分组法求出数列的和 【详解】解:当n 为奇数时,2n n a a +=, 当n 为偶数时,22n n a a +-=, 所以13291a a a ==⋅⋅⋅==,2430,,,a a a ⋅⋅⋅是以2为首项,2为公差的等差数列,所以30132924301514()()1515222552S a a a a a a ⨯=++⋅⋅⋅++++⋅⋅⋅+=+⨯+⨯=, 故选:B 13.B 【分析】先求得21n a n =-,根据n a m ≥,求得12m n +≥,进而得到21212k k b --=,结合等差数列的求和公式,即可求解. 【详解】由题意,等差数列{}n a 的前n 项和为n S ,且2n S n =,可得21n a n =-,因为n a m ≥,即21n m -≥,解得12m n +≥, 当21m k =-,(*k N ∈)时,1mm b k m+=,即()()11212m m m mk m b m m +===++, 即21212k k b --=, 从而()13519113519502b b b b ++++=++++=.故选:B. 14.A 【分析】 由题意可得5282045252a a d --===---,再由220a =可求出1a 的值 【详解】 解:根据题意,5282045252a a d --===---,则1220(4)24a a d =-=--=, 故选:A. 15.A 【分析】由2219a a =,可得14a d =-,从而得2922n d d S n n =-,然后利用二次函数的性质求其最值即可 【详解】解:设递减的等差数列{}n a 的公差为d (0d <),因为2219a a =,所以2211(8)a a d =+,化简得14a d =-,所以221(1)9422222n n n d d d dS na d dn n n n n -=+=-+-=-,对称轴为92n =, 因为n ∈+N ,02d<, 所以当4n =或5n =时,n S 取最大值, 故选:A 16.B 【分析】根据递推关系式求出数列的通项公式即可求解. 【详解】 由121()2n n a a n N *++=∈,则11()2n n a a n N *+=+∈, 即112n n a a +-=, 所以数列{}n a 是以1为首项,12为公差的等差数列, 所以()()11111122n n a a n d n +=+-=+-⨯=, 所以2021a =2021110112+=. 故选:B 17.D 【分析】由等差数列的通项公式及前n 项和公式求出1a 和d ,即可求得5a . 【详解】解:设数列{}n a 的首项为1a ,公差为d , 则由542S S =,248a a +=,得:111154435242238a d a d a d a d ⨯⨯⎛⎫+=+ ⎪⎝⎭+++=⎧⎪⎨⎪⎩,即{1132024a d a d +-+=, 解得:{123a d =-=,51424310a a d ∴=+=-+⨯=.故选:D. 18.C 【分析】根据首末两项求等差数列的公差,再求这5个数字. 【详解】在1与25之间插入五个数,使其组成等差数列,则171,25a a ==,则712514716a a d --===-, 则这5个数依次是5,9,13,17,21. 故选:C 19.D 【分析】由()11213n n n n S S a n +++=+-+得到()11132n n n a a n ++=-+-,再分n 为奇数和偶数得到21262k k a a k +=-+-,22165k k a a k -=+-,然后再联立递推逐项判断. 【详解】因为()11213n n n n S S a n +++=+-+,所以()11132n n n a a n ++=-+-,所以()212621k k a a k +=-+-,()221652k k a a k -=+-, 联立得:()212133k k a a +-+=, 所以()232134k k a a +++=, 故2321k k a a +-=,从而15941a a a a ===⋅⋅⋅=,22162k k a a k ++=-,222161k k a a k ++=++,则222121k k a a k ++=-,故()()()4012345383940...S a a a a a a a a =++++++++,()()()()234538394041...a a a a a a a a =++++++++,()()201411820622k k =+⨯=-==∑1220,故①②③正确. 故选:D 20.B 【分析】设等差数列的公差为d .由已知得()()1137512a d a d +=+,可得关系1392a d =-.再运用求和公式和二次函数的性质可得选项. 【详解】设等差数列的公差为d .由81335a a =得,()()1137512a d a d +=+,整理得,1392a d =-. 又10a >,所以0d <,因此222120(20)2002222n d d d dS n a n n dn n d ⎛⎫=+-=-=-- ⎪⎝⎭, 所以20S 最大. 故选:B.二、多选题21.ABD 【分析】根据11a =,21a =,21n n n a a a ++=+,计算可知,A B 正确;根据12a a =,342a a a =-,564a a a =-,786a a a =-,,201920202018a a a =-,累加可知C 不正确;根据2121a a a =,222312312()a a a a a a a a =-=-,233423423()a a a a a a a a =-=-,244534534()a a a a a a a a =-=-,,220192019202020182019202020182019()a a a a a a a a =-=-,累加可知D 正确. 【详解】依题意可知,11a =,21a =,21n n n a a a ++=+,312112a a a =+=+=,423123a a a =+=+=,534235a a a =+=+=,645358a a a =+=+=,故A 正确; 7565813a a a =+=+=,所以712345671123581333S a a a a a a a =++++++=++++++=,故B 正确;由12a a =,342a a a =-,564a a a =-,786a a a =-,,201920202018a a a =-,可得13572019a a a a a +++++=242648620202018a a a a a a a a a +-+-+-++-2020a =,故C 不正确;2121a a a =,222312312()a a a a a a a a =-=-,233423423()a a a a a a a a =-=-,244534534()a a a a a a a a =-=-,,220192019202020182019202020182019()a a a a a a a a =-=-,所以2222212342019a a a a a +++++122312342345342019202020182019a a a a a a a a a a a a a a a a a a =+-+-+-+- 20192020a a =,所以22212201920202019a a a a a +++=,故D 正确. 故选:ABD. 【点睛】本题考查了数列的递推公式,考查了累加法,属于中档题.【分析】根据选项求出数列的前4项,逐一判断即可. 【详解】解:因为数列{}n a 的前4项为2,0,2,0, 选项A :不符合题设;选项B :01(1)12,a =-+=12(1)10,a =-+=23(1)12,a =-+=34(1)10a =-+=,符合题设;选项C :,12sin2,2a π==22sin 0,a π==332sin22a π==-不符合题设; 选项D :1cos 012,a =+=2cos 10,a π=+=3cos 212,a π=+=4cos310a π=+=,符合题设.故选:BD. 【点睛】本题考查数列的通项公式的问题,考查了基本运算求解能力,属于基础题. 23.ABC 【分析】利用数列{}n a 满足的递推关系及135a =,依次取1,2,3,4n =代入计算2345,,,a a a a ,能得到数列{}n a 是周期为4的周期数列,得项的所有可能值,判断选项即得结果. 【详解】数列{}n a 满足112,02121,12n n n n n a a a a a +⎧≤≤⎪⎪=⎨⎪-<<⎪⎩,135a =,依次取1,2,3,4,...n =代入计算得,211215a a =-=,32225a a ==,43425a a ==,5413215a a a =-==,因此继续下去会循环,数列{}n a 是周期为4的周期数列,所有可能取值为:1234,,,5555. 故选:ABC. 【点睛】本题考查了数列的递推公式的应用和周期数列,属于基础题. 24.AD 【分析】分类讨论67,a a 大于1的情况,得出符合题意的一项.①671,1a a >>, 与题设67101a a -<-矛盾. ②671,1,a a ><符合题意. ③671,1,a a <<与题设67101a a -<-矛盾. ④ 671,1,a a <>与题设11a >矛盾.得671,1,01a a q ><<<,则n T 的最大值为6T .∴B ,C ,错误.故选:AD. 【点睛】考查等比数列的性质及概念. 补充:等比数列的通项公式:()1*1n n a a q n N -=∈.25.BD 【分析】设等差数列{}n a 的公差为d ,根据条件12a 、8S 、9S 成等差数列可求得1a 与d 的等量关系,可得出n a 、n S 的表达式,进而可判断各选项的正误. 【详解】设等差数列{}n a 的公差为d ,则8118788282S a d a d ⨯=+=+,9119899362S a d a d ⨯=+=+, 因为12a 、8S 、9S 成等差数列,则81922S a S =+,即11116562936a d a a d +=++,解得14a d =-,()()115n a a n d n d ∴=+-=-,()()219122n n n d n n d S na --=+=. 对于A 选项,59233412a a d d +=⨯=,()2888942d S d -⨯==-,A 选项错误; 对于B 选项,()2229272d Sd -⨯==-,()2779772d S d -⨯==-,B 选项正确;对于C 选项,()2298192224n d d S n n n ⎡⎤⎛⎫=-=--⎢⎥ ⎪⎝⎭⎢⎥⎣⎦.若0d >,则4S 或5S 最小;若0d <,则4S 或5S 最大.C 选项错误; 对于D 选项,50a =,D 选项正确. 故选:BD. 【点睛】在解有关等差数列的问题时可以考虑化归为a 1和d 等基本量,通过建立方程(组)获得解,另外在求解等差数列前n 项和n S 的最值时,一般利用二次函数的基本性质或者数列的单调性来求解. 26.ABD 【分析】由等差数列的性质直接判断AD 选项,根据等差数列的定义的判断方法判断BC 选项. 【详解】A.因为数列{}n a 是等差数列,所以1n n a a d +-=,即1n n a a d +=+,所以A 正确;B. 因为数列{}n a 是等差数列,所以1n n a a d +-=,那么()()()11n n n n a a a a d ++---=--=-,所以数列{}n a -是等差数列,故B 正确;C.111111n n n n n n n n a a d a a a a a a ++++---==,不是常数,所以数列1n a ⎧⎫⎨⎬⎩⎭不是等差数列,故C 不正确;D.根据等差数列的性质可知122n n n a a a ++=+,所以1n a +是n a 与2n a +的等差中项,故D 正确. 故选:ABD 【点睛】本题考查等差数列的性质与判断数列是否是等差数列,属于基础题型. 27.AC 【分析】由535S =求出37a =,再由411a =可得公差为434d a a =-=,从而可求得其通项公式和前n 项和公式 【详解】由题可知,53535S a ==,即37a =,所以等差数列{}n a 的公差434d a a =-=, 所以()4445n a a n d n =+-=-,()2451232n n n S n n --==-.故选:AC. 【点睛】本题考查等差数列,考查运算求解能力. 28.BCD 【分析】根据等差数列的性质即可判断选项的正误. 【详解】A 选项:给出数列的有限项不一定可以确定通项公式;B 选项:由等差数列性质知0d >,{}n a 必是递增数列;C 选项:1a b c ===时,1111a b c===是等差数列,而a = 1,b = 2,c = 3时不成立;D 选项:数列{}n a 是等差数列公差为d ,所以11112(1)223(31)n n a a a n d a nd a n d ++=+-++=+-也是等差数列;故选:BCD 【点睛】本题考查了等差数列,利用等差数列的性质判断选项的正误,属于基础题. 29.ABC 【分析】由2n S an bn c =++可求得n a 的表达式,利用定义判定得出答案.【详解】当1n =时,11a S a b c ==++.当2n ≥时,()()221112n n n a S S an bn c a n b n c an a b -=-=++-----=-+. 当1n =时,上式=+a b .所以若{}n a 是等差数列,则0.a b a b c c +=++∴=所以当0c 时,{}n a 是等差数列, 00a c b ==⎧⎨≠⎩时是等比数列;当0c ≠时,{}n a 从第二项开始是等差数列. 故选:A B C 【点睛】本题只要考查等差数列前n 项和n S 与通项公式n a 的关系,利用n S 求通项公式,属于基础题. 30.ABD 【分析】先根据题意可知前9项的和最小,判断出A 正确;根据题意可知数列为递减数列,则190a >,又181919S S a =-,进而可知1516S S >,判断出C 不正确;利用等差中项的性质和求和公式可知()01179179172171722a a a S a <+⨯⨯===,()1191019101921919022a a a S a +⨯⨯===>,故BD 正确. 【详解】根据题意可知数列为递增数列,90a <,100a >,∴前9项的和最小,故A 正确;()11791791721717022a a a S a +⨯⨯===<,故B 正确; ()1191019101921919022a a a S a +⨯⨯===>,故D 正确;190a >, 181919S S a ∴=-, 1819S S ∴<,故C 不正确.故选:ABD . 【点睛】本题考查等差数列的综合应用,考查逻辑思维能力和运算能力,属于常考题.。
一、等差数列选择题1.在数列{}n a 中,129a =-,()*13n n a a n +=+∈N ,则1220a a a +++=( )A .10B .145C .300D .320 2.等差数列{a n }的前n 项和为S n ,若a 1=2,S 3=12,则a 6等于( )A .8B .10C .12D .143.已知数列{}n a 的前n 项和为n S ,15a =,且满足122527n na a n n +-=--,若p ,*q ∈N ,p q >,则p q S S -的最小值为( )A .6-B .2-C .1-D .04.定义12nnp p p +++为n 个正数12,,,n p p p 的“均倒数”,若已知数列{}n a 的前n 项的“均倒数”为12n ,又2n n a b =,则1223910111b b b b b b +++=( ) A .817 B .1021C .1123 D .9195.设等差数列{}n a 的前n 项和为n S ,且3944a a a +=+,则15S =( ) A .45 B .50 C .60 D .80 6.在等差数列{a n }中,a 3+a 7=4,则必有( )A .a 5=4B .a 6=4C .a 5=2D .a 6=27.已知数列{}n a 为等差数列,2628a a +=,5943a a +=,则10a =( ) A .29B .38C .40D .588.已知等差数列{}n a 的前n 项和为n S ,若936S S =,则612SS =( ) A .177B .83C .143D .1039.题目文件丢失!10.已知等差数列{}n a 的前n 项和为n S ,31567a a a +=+,则23S =( ) A .121B .161C .141D .15111.已知{}n a 为等差数列,n S 是其前n 项和,且100S =,下列式子正确的是( ) A .450a a +=B .560a a +=C .670a a +=D .890a a +=12.已知等差数列{}n a 的公差d 为正数,()()111,211,n n n a a a tn a t +=+=+为常数,则n a =( )A .21n -B .43n -C .54n -D .n 13.在等差数列{a n }中,已知a 5=3,a 9=6,则a 13=( )A .9B .12C .15D .1814.已知{}n a 是公差为2的等差数列,前5项和525S =,若215m a =,则m =( ) A .4B .6C .7D .815.设等差数列{}n a 的前n 项之和为n S ,已知10100S =,则47a a +=( ) A .12B .20C .40D .10016.已知等差数列{}n a 的前n 项和为n S ,且2n S n =.定义数列{}n b 如下:()*1m m b m m+∈N 是使不等式()*n a m m ≥∈N 成立的所有n 中的最小值,则13519 b b b b ++++=( )A .25B .50C .75D .10017.已知数列{}n a 满足25111,,25a a a ==且*121210,n n n n a a a ++-+=∈N ,则*n N ∈时,使得不等式100n n a a +≥恒成立的实数a 的最大值是( ) A .19B .20C .21D .2218.在等差数列{}n a 的中,若131,5a a ==,则5a 等于( ) A .25B .11C .10D .919.已知数列{x n }满足x 1=1,x 2=23,且11112n n nx x x -++=(n ≥2),则x n 等于( ) A .(23)n -1B .(23)n C .21n + D .12n + 20.若两个等差数列{}n a ,{}n b 的前n 项和分别为n S 和n T ,且3221n n S n T n +=+,则1215a b =( ) A .32B .7059C .7159D .85二、多选题21.斐波那契数列,又称黄金分割数列、兔子数列,是数学家列昂多·斐波那契于1202年提出的数列.斐波那契数列为1,1,2,3,5,8,13,21,……,此数列从第3项开始,每一项都等于前两项之和,记该数列为(){}F n ,则(){}F n 的通项公式为( )A .(1)1()2n n F n -+=B .()()()11,2F n F n F n n +=+-≥且()()11,21F F ==C .()1122n nF n ⎡⎤⎛⎛+-⎥=- ⎥⎝⎭⎝⎭⎦ D .()1122n n F n ⎡⎤⎛⎛⎥=+ ⎥⎝⎭⎝⎭⎦22.已知数列{}n a 满足:12a =,当2n ≥时,)212n a =-,则关于数列{}n a 的说法正确的是 ( )A .27a =B .数列{}n a 为递增数列C .221n a n n =+-D .数列{}n a 为周期数列23.题目文件丢失!24.题目文件丢失!25.已知数列{}n a 的前4项为2,0,2,0,则该数列的通项公式可能为( )A .0,2,n n a n ⎧=⎨⎩为奇数为偶数B .1(1)1n n a -=-+C .2sin2n n a π= D .cos(1)1n a n π=-+26.若数列{}n a 满足112,02121,12n n n n n a a a a a +⎧≤≤⎪⎪=⎨⎪-<<⎪⎩,135a =,则数列{}n a 中的项的值可能为( ) A .15B .25C .45D .6527.已知正项数列{}n a 的前n 项和为n S ,若对于任意的m ,*n N ∈,都有m n m n a a a +=+,则下列结论正确的是( )A .11285a a a a +=+B .56110a a a a <C .若该数列的前三项依次为x ,1x -,3x ,则10103a = D .数列n S n ⎧⎫⎨⎬⎩⎭为递减的等差数列 28.等差数列{}n a 的首项10a >,设其前n 项和为{}n S ,且611S S =,则( ) A .0d >B .0d <C .80a =D .n S 的最大值是8S或者9S29.记n S 为等差数列{}n a 的前n 项和.已知535S =,411a =,则( ) A .45n a n =-B .23n a n =+C .223n S n n =-D .24n S n n =+30.下面是关于公差0d >的等差数列{}n a 的四个命题,其中的真命题为( ). A .数列{}n a 是递增数列 B .数列{}n na 是递增数列 C .数列{}na n是递增数列 D .数列{}3n a nd +是递增数列【参考答案】***试卷处理标记,请不要删除一、等差数列选择题 1.C 【分析】由等差数列的性质可得332n a n =-,结合分组求和法即可得解。
一、等差数列选择题1.已知数列{}n a ,{}n b 都是等差数列,记n S ,n T 分别为{}n a ,{}n b 的前n 项和,且713n n S n T n -=,则55a b =( ) A .3415B .2310C .317D .62272.已知等差数列{}n a 的前n 项和为S n ,若S 2=8,38522a a a +=+,则a 1等于( ) A .1B .2C .3D .43.中国古代数学著作《九章算术》中有如下问题:“今有金箠,长五尺,斩本一尺,重四斤,斩末一尺,重二斤.问次一尺各重几何?” 意思是:“现有一根金锤,长五尺,一头粗一头细.在粗的一端截下一尺,重四斤;在细的一端截下一尺,重二斤.问依次每一尺各重几斤?”根据已知条件,若金箠由粗到细是均匀变化的,中间三尺的重量为( ) A .3斤B .6斤C .9斤D .12斤4.已知数列{}n a 的前n 项和为n S ,15a =,且满足122527n na a n n +-=--,若p ,*q ∈N ,p q >,则p q S S -的最小值为( )A .6-B .2-C .1-D .05.在等差数列{}n a 中,3914a a +=,23a =,则10a =( ) A .11 B .10C .6D .36.定义12nnp p p +++为n 个正数12,,,n p p p 的“均倒数”,若已知数列{}n a 的前n 项的“均倒数”为12n ,又2n n a b =,则1223910111b b b b b b +++=( ) A .817 B .1021C .1123 D .9197.在巴比伦晚期的《泥板文书》中,有按级递减分物的等差数列问题,其中有一个问题大意是:10个兄弟分100两银子,长兄最多,依次减少相同数目,现知第8兄弟分得6两,则长兄可分得银子的数目为( ) A .825两 B .845两 C .865两 D .885两 8.已知数列{}n a 是等差数列,其前n 项和为n S ,若454a a +=,则8S =( ) A .16 B .-16C .4D .-49.题目文件丢失!10.设a ,0b ≠,数列{}n a 的前n 项和(21)[(2)22]n nn S a b n =---⨯+,*n N ∈,则存在数列{}n b 和{}n c 使得( )A .n n n a b c =+,其中{}n b 和{}n c 都为等比数列B .n n n a b c =+,其中{}n b 为等差数列,{}n c 为等比数列C .·n n n a b c =,其中{}n b 和{}n c 都为等比数列 D .·n n n a b c =,其中{}n b 为等差数列,{}n c 为等比数列 11.在1与25之间插入五个数,使其组成等差数列,则这五个数为( ) A .3、8、13、18、23 B .4、8、12、16、20 C .5、9、13、17、21D .6、10、14、18、2212.设等差数列{}n a 的前n 项和为n S ,若2938a a a +=+,则15S =( ) A .60B .120C .160D .24013.已知等差数列{}n a 的前n 项和n S 满足:21<<m m m S S S ++,若0n S >,则n 的最大值为( ) A .2mB .21m +C .22m +D .23m +14.记n S 为等差数列{}n a 的前n 项和.若5620a a +=,11132S =,则{}n a 的公差为( ) A .2B .43C .4D .4-15.已知等差数列{}n a 的公差d 为正数,()()111,211,n n n a a a tn a t +=+=+为常数,则n a =( )A .21n -B .43n -C .54n -D .n16.“中国剩余定理”又称“孙子定理”,1852年英国来华传教伟烈亚力将《孙子算经》中“物不知数”问题的解法传至欧洲.1874年,英国数学家马西森指出此法符合1801年由高斯得出的关于同余式解法的一般性定理,因而西方称之为“中国剩余定理”.“中国剩余定理”讲的是一个关于整除的问题,现有这样一个整除问题:将正整数中能被3除余2且被7除余2的数按由小到大的顺序排成一列,构成数列{} n a ,则5a =( ) A .103B .107C .109D .10517.在等差数列{}n a 的中,若131,5a a ==,则5a 等于( ) A .25 B .11 C .10 D .9 18.若等差数列{a n }满足a 2=20,a 5=8,则a 1=( )A .24B .23C .17D .1619.已知数列{}n a 中,12(2)n n a a n --=≥,且11a =,则这个数列的第10项为( ) A .18B .19C .20D .2120.为了参加学校的长跑比赛,省锡中高二年级小李同学制定了一个为期15天的训练计划.已知后一天的跑步距离都是在前一天的基础上增加相同距离.若小李同学前三天共跑了3600米,最后三天共跑了10800米,则这15天小李同学总共跑的路程为( )A .34000米B .36000米C .38000米D .40000米二、多选题21.(多选)在数列{}n a 中,若221(2,,n n a a p n n N p *--=≥∈为常数),则称{}n a 为“等方差数列”.下列对“等方差数列”的判断正确的是( ) A .若{}n a 是等差数列,则{}n a 是等方差数列 B .(){}1n- 是等方差数列C .{}2n是等方差数列.D .若{}n a 既是等方差数列,又是等差数列,则该数列为常数列 22.在等差数列{}n a 中,公差0d ≠,前n 项和为n S ,则( ) A .4619a a a a >B .130S >,140S <,则78a a >C .若915S S =,则n S 中的最大值是12SD .若2n S n n a =-+,则0a =23.题目文件丢失!24.已知等差数列{}n a 的前n 项和为n S ,218a =,512a =,则下列选项正确的是( ) A .2d =- B .122a =C .3430a a +=D .当且仅当11n =时,n S 取得最大值25.已知正项数列{}n a 的前n 项和为n S ,若对于任意的m ,*n N ∈,都有m n m n a a a +=+,则下列结论正确的是( )A .11285a a a a +=+B .56110a a a a <C .若该数列的前三项依次为x ,1x -,3x ,则10103a = D .数列n S n ⎧⎫⎨⎬⎩⎭为递减的等差数列 26.已知数列{}n a :1,1,2,3,5,…其中从第三项起,每个数等于它前面两个数的和,记n S 为数列{}n a 的前n 项和,则下列结论正确的是( ) A .68S a = B .733S =C .135********a a a a a ++++= D .2222123202020202021a a a a a a ++++=27.无穷等差数列{}n a 的前n 项和为S n ,若a 1>0,d <0,则下列结论正确的是( ) A .数列{}n a 单调递减 B .数列{}n a 有最大值 C .数列{}n S 单调递减D .数列{}n S 有最大值28.已知等差数列{}n a 的公差不为0,其前n 项和为n S ,且12a 、8S 、9S 成等差数列,则下列四个选项中正确的有( ) A .59823a a S +=B .27S S =C .5S 最小D .50a =29.(多选题)在数列{}n a 中,若221n n a a p --=,(2n ≥,*n N ∈,p 为常数),则称{}n a 为“等方差数列”.下列对“等方差数列”的判断正确的是( )A .若{}n a 是等差数列,则{}2n a 是等方差数列B .(){}1n-是等方差数列C .若{}n a 是等方差数列,则{}kn a (*k N ∈,k 为常数)也是等方差数列D .若{}n a 既是等方差数列,又是等差数列,则该数列为常数列30.已知无穷等差数列{}n a 的前n 项和为n S ,67S S <,且78S S >,则( ) A .在数列{}n a 中,1a 最大 B .在数列{}n a 中,3a 或4a 最大 C .310S S =D .当8n ≥时,0n a <【参考答案】***试卷处理标记,请不要删除一、等差数列选择题 1.D 【分析】利用等差数列的性质以及前n 项和公式即可求解. 【详解】由713n n S n T n-=, ()()19551991955199927916229239272a a a a a a Sb b b b b b T ++⨯-======++⨯.故选:D 2.C 【分析】利用等差数列的下标和性质以及基本量运算,可求出1a .【详解】设等差数列{}n a 的公差为d ,则3856522a a a a a +=+=+,解得652d a a =-=,212112228S a a a d a =+=+=+=,解得13a =故选:C 3.C 【分析】根据题意转化成等差数列问题,再根据等差数列下标的性质求234a a a ++. 【详解】由题意可知金锤每尺的重量成等差数列,设细的一端的重量为1a ,粗的一端的重量为5a ,可知12a =,54a =,根据等差数列的性质可知1533263a a a a +==⇒=, 中间三尺为234339a a a a ++==. 故选:C 【点睛】本题考查数列新文化,等差数列的性质,重点考查理解题意,属于基础题型. 4.A 【分析】 转化条件为122527n n a an n +-=--,由等差数列的定义及通项公式可得()()2327n a n n =--,求得满足0n a ≤的项后即可得解.【详解】 因为122527n n a a n n +-=--,所以122527n na a n n +-=--, 又1127a =--,所以数列27n a n ⎧⎫⎨⎬-⎩⎭是以1-为首项,公差为2的等差数列, 所以()1212327na n n n =-+-=--,所以()()2327n a n n =--, 令()()23270n a n n =--≤,解得3722n ≤≤, 所以230,0a a <<,其余各项均大于0, 所以()()()3123min13316p q S S a a S S =-=+=⨯-+--⨯=-.故选:A. 【点睛】解决本题的关键是构造新数列求数列通项,再将问题转化为求数列中满足0n a ≤的项,即可得解.5.A 【分析】利用等差数列的通项公式求解1,a d ,代入即可得出结论. 【详解】由3914a a +=,23a =, 又{}n a 为等差数列, 得39121014a a a d +=+=,213a a d =+=,解得12,1a d ==, 则101+92911a a d ==+=; 故选:A. 6.D 【分析】由题意结合新定义的概念求得数列的前n 项和,然后利用前n 项和求解通项公式,最后裂项求和即可求得最终结果. 【详解】设数列{}n a 的前n 项和为n S ,由题意可得:12n n S n=,则:22n S n =, 当1n =时,112a S ==,当2n ≥时,142n n n a S S n -=-=-, 且14122a =⨯-=,据此可得 42n a n =-, 故212nn a b n ==-,()()111111212122121n n b b n n n n +⎛⎫==- ⎪-+-+⎝⎭, 据此有:12239101111111111233517191.21891919b b b b b b +++⎡⎤⎛⎫⎛⎫⎛⎫=-+-++- ⎪ ⎪ ⎪⎢⎥⎝⎭⎝⎭⎝⎭⎣⎦=⨯= 故选:D 7.C 【分析】设10个兄弟由大到小依次分得()1,2,,10n a n =⋅⋅⋅两银子,数列{}n a 是等差数列,8106100a S =⎧⎨=⎩利用等差数列的通项公式和前n 项和公式转化为关于1a 和d 的方程,即可求得长兄可分得银子的数目1a . 【详解】设10个兄弟由大到小依次分得()1,2,,10n a n =⋅⋅⋅两银子,由题意可得 设数列{}n a 的公差为d ,其前n 项和为n S ,则由题意得8106100a S =⎧⎨=⎩,即1176109101002a d a d +=⎧⎪⎨⨯+=⎪⎩,解得186585a d ⎧=⎪⎪⎨⎪=-⎪⎩. 所以长兄分得865两银子. 故选:C. 【点睛】关键点点睛:本题的关键点是能够读懂题意10个兄弟由大到小依次分得()1,2,,10n a n =⋅⋅⋅两银子构成公差0d <的等差数列,要熟练掌握等差数列的通项公式和前n 项和公式. 8.A 【详解】 由()()18458884816222a a a a S +⨯+⨯⨯====.故选A.9.无10.D 【分析】由题设求出数列{}n a 的通项公式,再根据等差数列与等比数列的通项公式的特征,逐项判断,即可得出正确选项. 【详解】 解:(21)[(2)22](2)2(2)n n n n S a b n a b bn a b =---⨯+=+-⋅-+,∴当1n =时,有110S a a ==≠;当2n ≥时,有11()2n n n n a S S a bn b --=-=-+⋅, 又当1n =时,01()2a a b b a =-+⋅=也适合上式,1()2n n a a bn b -∴=-+⋅,令n b a b bn =+-,12n n c -=,则数列{}n b 为等差数列,{}n c 为等比数列,故n n n a b c =,其中数列{}n b 为等差数列,{}n c 为等比数列;故C 错,D 正确;因为11()22n n n a a b bn --+=-⋅⋅,0b ≠,所以{}12n bn -⋅即不是等差数列,也不是等比数列,故AB 错. 故选:D. 【点睛】 方法点睛:由数列前n 项和求通项公式时,一般根据11,2,1n n n S S n a a n --≥⎧=⎨=⎩求解,考查学生的计算能力. 11.C 【分析】根据首末两项求等差数列的公差,再求这5个数字. 【详解】在1与25之间插入五个数,使其组成等差数列, 则171,25a a ==,则712514716a a d --===-, 则这5个数依次是5,9,13,17,21. 故选:C 12.B 【分析】根据等差数列的性质可知2938a a a a +=+,结合题意,可得出88a =,最后根据等差数列的前n 项和公式和等差数列的性质,得出()11515815152a a S a +==,从而可得出结果.【详解】解:由题可知,2938a a a +=+,由等差数列的性质可知2938a a a a +=+,则88a =,故()1158158151521515812022a a a S a +⨯====⨯=. 故选:B. 13.C 【分析】首先根据数列的通项n a 与n S 的关系,得到10m a +>,2<0m a +,12+>0m m a a ++,再根据选项,代入前n 项和公式,计算结果. 【详解】由21<<m m m S S S ++得,10m a +>,2<0m a +,12+>0m m a a ++. 又()()()1212112121>02m m m m a a S m a +++++==+,()()()1232322323<02m m m m a a S m a +++++==+, ()()()()1222212211>02m m m m m a a S m a a ++++++==++.故选:C.【点睛】关键点睛:本题的第一个关键是根据公式11,2,1n n n S S n a S n --≥⎧=⎨=⎩,判断数列的项的正负,第二个关键能利用等差数列的性质和公式,将判断和的正负转化为项的正负. 14.C 【分析】由等差数列前n 项和公式以及等差数列的性质可求得6a ,再由等差数列的公式即可求得公差. 【详解】 解:()11111611111322a a S a+⨯===,612a ∴=,又5620a a +=,58a ∴=,654d a a ∴=-=.故选:C . 15.A 【分析】由已知等式分别求出数列的前三项,由2132a a a =+列出方程,求出公差,利用等差数列的通项公式求解可得答案. 【详解】11a =,()()1211n n n a a tn a ++=+,令1n =,则()()121211a a t a +=+,解得21a t =-令2n =,则()()2322121a a t a +=+,即()2311t a t -=-,若1t =,则20,1a d ==,与已知矛盾,故解得31a t =+{}n a 等差数列,2132a a a ∴=+,即()2111t t -=++,解得4t =则公差212d a a =-=,所以()1121n a a n d n =+-=-. 故选:A 16.B 【分析】根据题意可知正整数能被21整除余2,即可写出通项,求出答案. 【详解】根据题意可知正整数能被21整除余2,21+2n a n ∴=, 5215+2107a ∴=⨯=.故选:B. 17.D 【分析】利用等差数列的性质直接求解. 【详解】 因为131,5a a ==,315529a a a a =+∴=,故选:D . 18.A 【分析】 由题意可得5282045252a a d --===---,再由220a =可求出1a 的值 【详解】 解:根据题意,5282045252a a d --===---,则1220(4)24a a d =-=--=, 故选:A. 19.B 【分析】由已知判断出数列{}n a 是以1为首项,以2为公差的等差数列,求出通项公式后即可求得10a .【详解】()122n n a a n --=≥,且11a =,∴数列{}n a 是以1为首项,以2为公差的等差数列,通项公式为()12121n a n n =+-=-,10210119a ∴=⨯-=,故选:B. 20.B 【分析】利用等差数列性质得到21200a =,143600a =,再利用等差数列求和公式得到答案. 【详解】根据题意:小李同学每天跑步距离为等差数列,设为n a ,则123233600a a a a ++==,故21200a =,13141514310800a a a a ++==,故143600a =,则()()11521411151********n S a a a a =+⨯=+⨯=. 故选:B.二、多选题21.BD 【分析】根据等差数列和等方差数列定义,结合特殊反例对选项逐一判断即可. 【详解】对于A ,若{}n a 是等差数列,如n a n =,则12222(1)21n n a a n n n --=--=-不是常数,故{}na 不是等方差数列,故A 错误;对于B ,数列(){}1n-中,222121[(1)][(1)]0n n n n a a ---=---=是常数,{(1)}n ∴-是等方差数列,故B 正确; 对于C ,数列{}2n中,()()22221112234nn n n n a a ----=-=⨯不是常数,{}2n∴不是等方差数列,故C 错误; 对于D ,{}n a 是等差数列,1n n a a d -∴-=,则设n a dn m =+,{}n a 是等方差数列,()()222112(2)n n n n dn m a a a a d a d d n m d d dn d m --∴-=++++=+=++是常数,故220d =,故0d =,所以(2)0m d d +=,2210n n a a --=是常数,故D 正确.故选:BD. 【点睛】关键点睛:本题考查了数列的新定义问题和等差数列的定义,解题的关键是正确理解等差数列和等方差数列定义,利用定义进行判断. 22.AD 【分析】对于A ,作差后利用等差数列的通项公式运算可得答案;对于B ,根据等差数列的前n 项和公式得到70a >和780a a +<, 进而可得80a <,由此可知78||||a a <,故B 不正确;对于C ,由915S S =得到,12130a a +=,然后分类讨论d 的符号可得答案; 对于D ,由n S 求出n a 及1a ,根据数列{}n a 为等差数列可求得0a =. 【详解】对于A ,因为46191111(3)(5)(8)a a a a a d a d a a d -=++-+215d =,且0d ≠,所以24619150a a a a d -=>,所以4619a a a a >,故A 正确;对于B ,因为130S >,140S <,所以77713()1302a a a +=>,即70a >,787814()7()02a a a a +=+<,即780a a +<,因为70a >,所以80a <,所以7878||||0a a a a -=+<,即78||||a a <,故B 不正确;对于C ,因为915S S =,所以101114150a a a a ++++=,所以12133()0a a +=,即12130a a +=,当0d >时,等差数列{}n a 递增,则12130,0a a <>,所以n S 中的最小值是12S ,无最大值;当0d <时,等差数列{}n a 递减,则12130,0a a ><,所以n S 中的最大值是12S ,无最小值,故C 不正确;对于D ,若2n S n n a =-+,则11a S a ==,2n ≥时,221(1)(1)n n n a S S n n a n n a -=-=-+--+--22n =-,因为数列{}n a 为等差数列,所以12120a a =⨯-==,故D 正确. 故选:AD 【点睛】关键点点睛:熟练掌握等差数列的通项公式、前n 项和公式是解题关键.23.无24.AC 【分析】先根据题意得等差数列{}n a 的公差2d =-,进而计算即可得答案. 【详解】解:设等差数列{}n a 的公差为d , 则52318312a a d d =+=+=,解得2d =-.所以120a =,342530a a a a +=+=,11110201020a a d =+=-⨯=, 所以当且仅当10n =或11时,n S 取得最大值. 故选:AC 【点睛】本题考查等差数列的基本计算,前n 项和n S 的最值问题,是中档题. 等差数列前n 项和n S 的最值得求解常见一下两种情况:(1)当10,0a d ><时,n S 有最大值,可以通过n S 的二次函数性质求解,也可以通过求满足10n a +<且0n a >的n 的取值范围确定;(2)当10,0a d <>时,n S 有最小值,可以通过n S 的二次函数性质求解,也可以通过求满足10n a +>且0n a <的n 的取值范围确定; 25.AC【分析】令1m =,则11n n a a a +-=,根据10a >,可判定A 正确;由256110200a a a a d -=>,可判定B 错误;根据等差数列的性质,可判定C 正确;122n d d n a n S ⎛⎫=+- ⎪⎝⎭,根据02>d ,可判定D 错误. 【详解】令1m =,则11n n a a a +-=,因为10a >,所以{}n a 为等差数列且公差0d >,故A 正确;由()()22225611011119209200a a a a a a d daa d d -=++-+=>,所以56110a a a a >,故B错误;根据等差数列的性质,可得()213x x x -=+,所以13x =,213x -=, 故1011109333a =+⨯=,故C 正确; 由()111222n n n na dS d d n a n n -+⎛⎫==+- ⎪⎝⎭,因为02>d ,所以n S n ⎧⎫⎨⎬⎩⎭是递增的等差数列,故D 错误. 故选:AC . 【点睛】解决数列的单调性问题的三种方法;1、作差比较法:根据1n n a a +-的符号,判断数列{}n a 是递增数列、递减数列或是常数列;2、作商比较法:根据1(0n n na a a +>或0)n a <与1的大小关系,进行判定; 3、数形结合法:结合相应的函数的图象直观判断. 26.BCD 【分析】根据题意写出8a ,6S ,7S ,从而判断A ,B 的正误;写出递推关系,对递推关系进行适当的变形,利用累加法即可判断C ,D 的正误. 【详解】对A ,821a =,620S =,故A 不正确; 对B ,761333S S =+=,故B 正确;对C ,由12a a =,342a a a =-,564a a a =-,…,202120222020a a a =-,可得135********a a a a a +++⋅⋅⋅+=,故C 正确;对D ,该数列总有21n n n a a a ++=+,2121a a a =,则()222312321a a a a a a a a =-=-,()233423423a a a a a a a a =-=-,…,()220182018201920172018201920172018a a a a a a a a =-=-, 22019a =2019202020192018a a a a -,220202020202120202019a a a a a =-, 故2222123202*********a a a a a a +++⋅⋅⋅+=,故D 正确.故选:BCD 【点睛】关键点睛:解答本题的关键是对CD 的判断,即要善于利用21n n n a a a ++=+对所给式子进行变形. 27.ABD 【分析】由10n n a a d +-=<可判断AB ,再由a 1>0,d <0,可知等差数列数列{}n a 先正后负,可判断CD. 【详解】根据等差数列定义可得10n n a a d +-=<,所以数列{}n a 单调递减,A 正确; 由数列{}n a 单调递减,可知数列{}n a 有最大值a 1,故B 正确;由a 1>0,d <0,可知等差数列数列{}n a 先正后负,所以数列{}n S 先增再减,有最大值,C 不正确,D 正确. 故选:ABD. 28.BD 【分析】设等差数列{}n a 的公差为d ,根据条件12a 、8S 、9S 成等差数列可求得1a 与d 的等量关系,可得出n a 、n S 的表达式,进而可判断各选项的正误. 【详解】设等差数列{}n a 的公差为d ,则8118788282S a d a d ⨯=+=+,9119899362S a d a d ⨯=+=+, 因为12a 、8S 、9S 成等差数列,则81922S a S =+,即11116562936a d a a d +=++,解得14a d =-,()()115n a a n d n d ∴=+-=-,()()219122n n n d n n d S na --=+=. 对于A 选项,59233412a a d d +=⨯=,()2888942d S d -⨯==-,A 选项错误; 对于B 选项,()2229272d Sd -⨯==-,()2779772d Sd -⨯==-,B 选项正确;对于C 选项,()2298192224n d d S n n n ⎡⎤⎛⎫=-=--⎢⎥ ⎪⎝⎭⎢⎥⎣⎦.若0d >,则4S 或5S 最小;若0d <,则4S 或5S 最大.C 选项错误; 对于D 选项,50a =,D 选项正确. 故选:BD. 【点睛】在解有关等差数列的问题时可以考虑化归为a 1和d 等基本量,通过建立方程(组)获得解,另外在求解等差数列前n 项和n S 的最值时,一般利用二次函数的基本性质或者数列的单调性来求解. 29.BCD 【分析】根据定义以及举特殊数列来判断各选项中结论的正误. 【详解】对于A 选项,取n a n =,则()()()422444221111n n a a n n n n n n +⎡⎤⎡⎤-=+-=+-⋅++⎣⎦⎣⎦()()221221n n n =+++不是常数,则{}2n a 不是等方差数列,A 选项中的结论错误;对于B 选项,()()22111110n n+⎡⎤⎡⎤---=-=⎣⎦⎣⎦为常数,则(){}1n-是等方差数列,B 选项中的结论正确;对于C 选项,若{}n a 是等方差数列,则存在常数p R ∈,使得221n n a a p +-=,则数列{}2na 为等差数列,所以()221kn k n a a kp +-=,则数列{}kn a (*k N ∈,k 为常数)也是等方差数列,C 选项中的结论正确;对于D 选项,若数列{}n a 为等差数列,设其公差为d ,则存在m R ∈,使得n a dn m =+,则()()()()2221112222n n n n n n a a a a a a d dn m d d n m d d +++-=-+=++=++,由于数列{}n a 也为等方差数列,所以,存在实数p ,使得221n n a a p +-=,则()222d n m d d p ++=对任意的n *∈N 恒成立,则()2202d m d d p ⎧=⎪⎨+=⎪⎩,得0p d ==,此时,数列{}n a 为常数列,D 选项正确.故选BCD. 【点睛】本题考查数列中的新定义,解题时要充分利用题中的定义进行判断,也可以结合特殊数列来判断命题不成立,考查逻辑推理能力,属于中等题. 30.AD 【分析】利用等差数列的通项公式可以求70a >,80a <,即可求公差0d <,然后根据等差数列的性质判断四个选项是否正确. 【详解】因为67S S <,所以7670S S a -=> , 因为78S S >,所以8780S S a -=<, 所以等差数列{}n a 公差870d a a =-<, 所以{}n a 是递减数列,故1a 最大,选项A 正确;选项B 不正确;10345678910770S S a a a a a a a a -=++++++=>,所以310S S ≠,故选项C 不正确;当8n ≥时,80n a a ≤<,即0n a <,故选项D 正确; 故选:AD 【点睛】本题主要考查了等差数列的性质和前n 项和n S ,属于基础题.。
一、等差数列选择题1.设等差数列{}n a 的前n 项之和为n S ,已知10100S =,则47a a +=( ) A .12B .20C .40D .1002.等差数列{}n a 中,已知14739a a a ++=,则4a =( ) A .13B .14C .15D .163.设n S 是等差数列{}n a 的前n 项和.若1476a a a ++=,则7S =( ) A .10-B .8C .12D .144.等差数列{}n a 的公差为2,若248,,a a a 成等比数列,则9S =( ) A .72B .90C .36D .455.设等差数列{}n a 的前n 项和为n S ,公差1d =,且6210S S ,则34a a +=( )A .2B .3C .4D .56.在等差数列{}n a 中,3914a a +=,23a =,则10a =( ) A .11B .10C .6D .37.已知等差数列{}n a 的前n 项和为n S ,且110a =,56S S ≥,下列四个命题:①公差d 的最大值为2-;②70S <;③记n S 的最大值为M ,则M 的最大值为30;④20192020a a >.其真命题的个数是( ) A .4个B .3个C .2个D .1个 8.已知等差数列{}n a 的前n 项和为n S ,31567a a a +=+,则23S =( ) A .121B .161C .141D .1519.等差数列{}n a 中,22a =,公差2d =,则10S =( ) A .200B .100C .90D .8010.设等差数列{}n a 的前n 项和为n S ,且71124a a -=,则5S =( ) A .15B .20C .25D .3011.数学著作《孙子算经》中有这样一个问题:“今有物不知其数,三三数之剩二(除以3余2),五五数之剩三(除以5余3),问物几何?”现将1到2020共2020个整数中,同时满足“三三数之剩二,五五数之剩三”的数按从小到大的顺序排成一列,构成数列{},n a 则该数列共有( ) A .132项B .133项C .134项D .135项12.已知等差数列{}n a 的前n 项和为n S ,且2n S n =.定义数列{}n b 如下:()*1m m b m m+∈N 是使不等式()*n a m m ≥∈N 成立的所有n 中的最小值,则13519 b b b b ++++=( )A .25B .50C .75D .10013.在等差数列{}n a 中,已知前21项和2163S =,则25820a a a a ++++的值为( )A .7B .9C .21D .42 14.若等差数列{a n }满足a 2=20,a 5=8,则a 1=( )A .24B .23C .17D .1615.在数列{}n a 中,11a =,且11nn na a na +=+,则其通项公式为n a =( ) A .211n n -+B .212n n -+C .221n n -+D .222n n -+16.已知等差数列{}n a 的前n 项和为n S ,且310179a a a ++=,则19S =( ) A .51B .57C .54D .7217.已知等差数列{}n a 中,7916+=a a ,41a =,则12a 的值是( ) A .15B .30C .3D .6418.已知数列{}n a 的前n 项和()2*n S n n N =∈,则{}na 的通项公式为( )A .2n a n =B .21n a n =-C .32n a n =-D .1,12,2n n a n n =⎧=⎨≥⎩19.等差数列{}n a 中,若26a =,43a =,则5a =( ) A .32B .92C .2D .920.记n S 为等差数列{}n a 的前n 项和.若5620a a +=,11132S =,则{}n a 的公差为( ) A .2B .43C .4D .4-二、多选题21.斐波那契数列,又称黄金分割数列、兔子数列,是数学家列昂多·斐波那契于1202年提出的数列.斐波那契数列为1,1,2,3,5,8,13,21,……,此数列从第3项开始,每一项都等于前两项之和,记该数列为(){}F n ,则(){}F n 的通项公式为( )A .(1)1()2n n F n -+=B .()()()11,2F n F n F n n +=+-≥且()()11,21F F ==C .()1122n nF n ⎡⎤⎛⎛+-⎥=- ⎥⎝⎭⎝⎭⎦D .()1122n nF n ⎡⎤⎛⎛⎥=+ ⎥⎝⎭⎝⎭⎦22.已知等差数列{}n a 的前n 项和为n S ,218a =,512a =,则下列选项正确的是( ) A .2d =- B .122a =C .3430a a +=D .当且仅当11n =时,n S 取得最大值23.已知正项数列{}n a 的前n 项和为n S ,若对于任意的m ,*n N ∈,都有m n m n a a a +=+,则下列结论正确的是( )A .11285a a a a +=+B .56110a a a a <C .若该数列的前三项依次为x ,1x -,3x ,则10103a = D .数列n S n ⎧⎫⎨⎬⎩⎭为递减的等差数列 24.朱世杰是元代著名数学家,他所著的《算学启蒙》是一部在中国乃至世界最早的科学普及著作.《算学启蒙》中涉及一些“堆垛”问题,主要利用“堆垛”研究数列以及数列的求和问题.现有100根相同的圆形铅笔,小明模仿“堆垛”问题,将它们全部堆放成纵断面为等腰梯形的“垛”,要求层数不小于2,且从最下面一层开始,每一层比上一层多1根,则该“等腰梯形垛”应堆放的层数可以是( ) A .4B .5C .7D .825.已知等差数列{}n a 的前n 项和为,n S 且15110,20,a a a 则( )A .80a <B .当且仅当n = 7时,n S 取得最大值C .49S S =D .满足0n S >的n 的最大值为1226.意大利著名数学家斐波那契在研究兔子繁殖问题时,发现有这样一列数:1,1,2,3,5,…,其中从第三项起,每个数等于它前面两个数的和,后来人们把这样的一列数组成的数列{a n }称为“斐波那契数列”,记S n 为数列{a n }的前n 项和,则下列结论正确的是( ) A .a 8=34 B .S 8=54C .S 2020=a 2022-1D .a 1+a 3+a 5+…+a 2021=a 202227.设{}n a 是等差数列,n S 是其前n 项和,且56678,S S S S S <=>,则下列结论正确的是( ) A .0d < B .70a =C .95S S >D .67n S S S 与均为的最大值28.定义11222n nn a a a H n-+++=为数列{}n a 的“优值”.已知某数列{}n a 的“优值”2nn H =,前n 项和为n S ,则( )A .数列{}n a 为等差数列B .数列{}n a 为等比数列C .2020202320202S = D .2S ,4S ,6S 成等差数列29.记n S 为等差数列{}n a 的前n 项和.已知535S =,411a =,则( ) A .45n a n =-B .23n a n =+C .223n S n n =-D .24n S n n =+30.已知数列{}n a 满足:13a =,当2n ≥时,)211n a =-,则关于数列{}n a 说法正确的是( )A .28a =B .数列{}n a 为递增数列C .数列{}n a 为周期数列D .22n a n n =+【参考答案】***试卷处理标记,请不要删除一、等差数列选择题 1.B 【分析】由等差数列的通项公式可得47129a a a d +=+,再由1011045100S a d =+=,从而可得结果. 【详解】 解:1011045100S a d =+=,12920a d ∴+=, 4712920a a a d ∴+=+=.故选:B. 2.A 【分析】利用等差数列的性质可得1742a a a +=,代入已知式子即可求解. 【详解】由等差数列的性质可得1742a a a +=, 所以1474339a a a a ++==,解得:413a =, 故选:A 3.D【分析】利用等差数列下标性质求得4a ,再利用求和公式求解即可 【详解】147446=32a a a a a ++=∴=,则()177477142a a S a +=== 故选:D 4.B 【分析】由题意结合248,,a a a 成等比数列,有2444(4)(8)a a a =-+即可得4a ,进而得到1a 、n a ,即可求9S . 【详解】由题意知:244a a =-,848a a =+,又248,,a a a 成等比数列,∴2444(4)(8)a a a =-+,解之得48a =,∴143862a a d =-=-=,则1(1)2n a a n d n =+-=,∴99(229)902S ⨯+⨯==,故选:B 【点睛】思路点睛:由其中三项成等比数列,利用等比中项性质求项,进而得到等差数列的基本量 1、由,,m k n a a a 成等比,即2k m n a a a =; 2、等差数列前n 项和公式1()2n n n a a S +=的应用. 5.B 【分析】根据等差数列的性质,由题中条件,可直接得出结果. 【详解】因为n S 为等差数列{}n a 的前n 项和,公差1d =,6210S S ,所以()()6543434343222410a a a a a d a d a a a a +++=+++++=++=, 解得343a a +=. 故选:B. 6.A 【分析】利用等差数列的通项公式求解1,a d ,代入即可得出结论. 【详解】由3914a a +=,23a =,又{}n a 为等差数列, 得39121014a a a d +=+=,213a a d =+=,解得12,1a d ==, 则101+92911a a d ==+=; 故选:A. 7.B 【分析】设公差为d ,利用等差数列的前n 项和公式,56S S ≥,得2d ≤-,由前n 项和公式,得728S ≤,同时可得n S 的最大值,2d =-,5n =或6n =时取得,结合递减数列判断D . 【详解】设公差为d ,由已知110a =,56S S ≥,得5101061015d d ⨯+≥⨯+,所以2d ≤-,A 正确;所以7710217022128S d =⨯+≤-⨯=,B 错误;1(1)10(1)0n a a n d n d =+-=+-≥,解得101n d≤-+,11100n a a nd nd +=+=+≤,解得10n d≥-, 所以10101n d d-≤≤-+,当2d =-时,56n ≤≤, 当5n =时,有最大值,此时51010(2)30M =⨯+⨯-=,当6n =时,有最大值,此时61015(2)30M =⨯+⨯-=,C 正确. 又该数列为递减数列,所以20192020a a >,D 正确. 故选:B . 【点睛】关键点点睛:本题考查等差数列的前n 项和,掌握等差数列的前n 和公式与性质是解题关键.等差数列前n 项和n S 的最大值除可利用二次函数性质求解外还可由10n n a a +≥⎧⎨≤⎩求得.8.B 【分析】由条件可得127a =,然后231223S a =,算出即可. 【详解】因为31567a a a +=+,所以15637a a a =-+,所以1537a d =+,所以1537a d -=,即127a =所以231223161S a == 故选:B 9.C 【分析】先求得1a ,然后求得10S . 【详解】依题意120a a d =-=,所以101104545290S a d =+=⨯=. 故选:C 10.B 【分析】设出数列{}n a 的公差,利用等差数列的通项公式及已知条件,得到124a d +=,然后代入求和公式即可求解 【详解】设等差数列{}n a 的公差为d ,则由已知可得()()111261024a d a d a d +-+=+=, 所以()5115455254202S a d a d ⨯=+=+=⨯= 故选:B 11.D 【分析】由题意抽象出数列是等差数列,再根据通项公式计算项数. 【详解】被3除余2且被5除余3的数构成首项为8,公差为15的等差数列,记为{}n a ,则()8151157n a n n =+-=-,令1572020n a n =-≤,解得:213515n ≤, 所以该数列的项数共有135项. 故选:D 【点睛】关键点点睛:本题以数学文化为背景,考查等差数列,本题的关键是读懂题意,并能抽象出等差数列. 12.B 【分析】先求得21n a n =-,根据n a m ≥,求得12m n +≥,进而得到21212k k b --=,结合等差数列的求和公式,即可求解. 【详解】由题意,等差数列{}n a 的前n 项和为n S ,且2n S n =,可得21n a n =-,因为n a m ≥,即21n m -≥,解得12m n +≥, 当21m k =-,(*k N ∈)时,1m m b k m+=,即()()11212m m m mk m b m m +===++, 即21212k k b --=, 从而()13519113519502b b b b ++++=++++=.故选:B. 13.C 【分析】利用等差数列的前n 项和公式可得1216a a +=,即可得113a =,再利用等差数列的性质即可求解. 【详解】设等差数列{}n a 的公差为d ,则()1212121632a a S +==, 所以1216a a +=,即1126a =,所以113a =, 所以()()()2582022051781411a a a a a a a a a a a ++++=++++++111111111122277321a a a a a =+++==⨯=,故选:C 【点睛】关键点点睛:本题的关键点是求出1216a a +=,进而得出113a =,()()()2582022051781411117a a a a a a a a a a a a ++++=++++++=即可求解.14.A 【分析】 由题意可得5282045252a a d --===---,再由220a =可求出1a 的值 【详解】解:根据题意,5282045252a a d --===---,则1220(4)24a a d =-=--=, 故选:A. 15.D 【分析】先由11n n n a a na +=+得出111n n n a a +-=,再由累加法计算出2122n n n a -+=,进而求出n a .【详解】解:11nn na a na +=+, ()11n n n a na a ++=∴,化简得:11n n n n a a a a n ++=+, 两边同时除以1n n a a +并整理得:111n nn a a +-=, 即21111a a -=,32112a a -=,43113a a -=,…,1111(2,)n n n n n z a a --=-≥∈, 将上述1n -个式子相加得:213243111111+a a a a a a --+-+ (1)11123n n a a -+-=+++…1n +-, 即111(1)2n n n a a --=, 2111(1)(1)2=1(2,)222n n n n n n n n n z a a ---+∴=++=≥∈, 又111a =也满足上式, 212()2n n n n z a -+∴=∈, 22()2n a n z n n ∴=∈-+. 故选:D. 【点睛】 易错点点睛:利用累加法求数列通项时,如果出现1n -,要注意检验首项是否符合. 16.B 【分析】根据等差数列的性质求出103a =,再由求和公式得出答案. 【详解】317102a a a += 1039a ∴=,即103a =()1191019191921935722a a a S +⨯∴===⨯=故选:B 17.A 【分析】设等差数列{}n a 的公差为d ,根据等差数列的通项公式列方程组,求出1a 和d 的值,12111a a d =+,即可求解.【详解】设等差数列{}n a 的公差为d ,则111681631a d a d a d +++=⎧⎨+=⎩,即117831a d a d +=⎧⎨+=⎩ 解得:174174d a ⎧=⎪⎪⎨⎪=-⎪⎩,所以12117760111115444a a d =+=-+⨯==, 所以12a 的值是15, 故选:A 18.B 【分析】利用1n n n a S S -=-求出2n ≥时n a 的表达式,然后验证1a 的值是否适合,最后写出n a 的式子即可. 【详解】2n S n =,∴当2n ≥时,221(1)21n n n a S S n n n -=-=--=-,当1n =时,111a S ==,上式也成立,()*21n a n n N ∴=-∈,故选:B. 【点睛】易错点睛:本题考查数列通项公式的求解,涉及到的知识点有数列的项与和的关系,即11,1,2n nn S n a S S n -=⎧=⎨-≥⎩,算出之后一定要判断1n =时对应的式子是否成立,最后求得结果,考查学生的分类思想与运算求解能力,属于基础题. 19.A 【分析】由2a 和4a 求出公差d ,再根据54a a d =+可求得结果. 【详解】设公差为d ,则423634222a a d --===--, 所以5433322a a d =+=-=. 故选:A 20.C 【分析】由等差数列前n 项和公式以及等差数列的性质可求得6a ,再由等差数列的公式即可求得公差. 【详解】 解:()11111611111322a a S a+⨯===,612a ∴=,又5620a a +=,58a ∴=,654d a a ∴=-=.故选:C .二、多选题21.BC 【分析】根据数列的前几项归纳出数列的通项公式,再验证即可; 【详解】解:斐波那契数列为1,1,2,3,5,8,13,21,……,显然()()11,21F F ==,()()()3122F F F =+=,()()()4233F F F =+=,,()()()11,2F n F n F n n +=+-≥,所以()()()11,2F n F n F n n +=+-≥且()()11,21F F ==,即B 满足条件;由()()()11,2Fn F n F n n +=+-≥, 所以()()()()11F n n F n n ⎤+-=--⎥⎣⎦所以数列()()1F nn ⎧⎫⎪⎪+⎨⎬⎪⎪⎩⎭是以12+为首项,12+为公比的等比数列, 所以()()1nF n n+-=⎝⎭1515()n -=++, 令1nn n F b-=⎝⎭,则11n n b +=+, 所以1n n b b +=-,所以n b ⎧⎪⎨⎪⎪⎩⎭以510-32-为公比的等比数列,所以1n n b -+,所以()1115n n n nF n --⎤⎤⎛⎫+⎥⎥=+=- ⎪ ⎪⎢⎥⎢⎥⎝⎭⎝⎭⎝⎭⎝⎭⎝⎭⎣⎦⎣⎦; 即C 满足条件; 故选:BC 【点睛】考查等比数列的性质和通项公式,数列递推公式的应用,本题运算量较大,难度较大,要求由较高的逻辑思维能力,属于中档题. 22.AC 【分析】先根据题意得等差数列{}n a 的公差2d =-,进而计算即可得答案. 【详解】解:设等差数列{}n a 的公差为d , 则52318312a a d d =+=+=,解得2d =-.所以120a =,342530a a a a +=+=,11110201020a a d =+=-⨯=, 所以当且仅当10n =或11时,n S 取得最大值. 故选:AC 【点睛】本题考查等差数列的基本计算,前n 项和n S 的最值问题,是中档题. 等差数列前n 项和n S 的最值得求解常见一下两种情况:(1)当10,0a d ><时,n S 有最大值,可以通过n S 的二次函数性质求解,也可以通过求满足10n a +<且0n a >的n 的取值范围确定;(2)当10,0a d <>时,n S 有最小值,可以通过n S 的二次函数性质求解,也可以通过求满足10n a +>且0n a <的n 的取值范围确定; 23.AC 【分析】令1m =,则11n n a a a +-=,根据10a >,可判定A 正确;由256110200a a a a d -=>,可判定B 错误;根据等差数列的性质,可判定C 正确;122n d d n a n S ⎛⎫=+- ⎪⎝⎭,根据02>d ,可判定D 错误. 【详解】令1m =,则11n n a a a +-=,因为10a >,所以{}n a 为等差数列且公差0d >,故A 正确;由()()22225611011119209200a a a a a a d daa d d -=++-+=>,所以56110a a a a >,故B错误;根据等差数列的性质,可得()213x x x -=+,所以13x =,213x -=, 故1011109333a =+⨯=,故C 正确; 由()111222nn n na dS d d n a nn -+⎛⎫==+- ⎪⎝⎭,因为02>d ,所以n S n ⎧⎫⎨⎬⎩⎭是递增的等差数列,故D 错误. 故选:AC . 【点睛】解决数列的单调性问题的三种方法;1、作差比较法:根据1n n a a +-的符号,判断数列{}n a 是递增数列、递减数列或是常数列;2、作商比较法:根据1(0n n na a a +>或0)n a <与1的大小关系,进行判定; 3、数形结合法:结合相应的函数的图象直观判断. 24.BD 【分析】依据题意,根数从上至下构成等差数列,设首项即第一层的根数为1a ,公差即每一层比上一层多的根数为1d =,设一共放()2n n ≥层,利用等差数列求和公式,分析即可得解. 【详解】依据题意,根数从上至下构成等差数列,设首项即第一层的根数为1a ,公差为1d =,设一共放()2n n ≥层,则总得根数为:()()111110022n n n d n n S na na --=+=+= 整理得120021a n n=+-, 因为1a *∈N ,所以n 为200的因数,()20012n n+-≥且为偶数, 验证可知5,8n =满足题意. 故选:BD. 【点睛】关键点睛:本题考查等差数列的求和公式,解题的关键是分析题意,把题目信息转化为等差数列,考查学生的逻辑推理能力与运算求解能力,属于基础题. 25.ACD由题可得16a d =-,0d <,21322n d d S n n =-,求出80a d =<可判断A ;利用二次函数的性质可判断B ;求出49,S S 可判断C ;令213022n d dS n n =->,解出即可判断D. 【详解】设等差数列{}n a 的公差为d ,则()5111122+4++100a a a d a d +==,解得16a d =-,10a >,0d ∴<,且()21113+222n n n d d S na d n n -==-, 对于A ,81+7670a a d d d d ==-+=<,故A 正确;对于B ,21322n d d S n n =-的对称轴为132n =,开口向下,故6n =或7时,n S 取得最大值,故B 错误;对于C ,4131648261822d d S d d d =⨯-⨯=-=-,9138191822d dS d =⨯-⨯=-,故49S S =,故C 正确;对于D ,令213022n d dS n n =->,解得013n <<,故n 的最大值为12,故D 正确. 故选:ACD. 【点睛】方法点睛:由于等差数列()2111+222n n n d d S na d n a n -⎛⎫==+- ⎪⎝⎭是关于n 的二次函数,当1a 与d 异号时,n S 在对称轴或离对称轴最近的正整数时取最值;当1a 与d 同号时,n S 在1n =取最值. 26.BCD 【分析】由题意可得数列{}n a 满足递推关系()12211,1,+3n n n a a a a a n --===≥,依次判断四个选项,即可得正确答案. 【详解】对于A ,可知数列的前8项为1,1,2,3,5,8,13,21,故A 错误; 对于B ,81+1+2+3+5+8+13+2154S ==,故B 正确; 对于C ,可得()112n n n a a a n +-=-≥, 则()()()()1234131425311++++++++++n n n a a a a a a a a a a a a a a +-=----即212++1n n n n S a a a a ++=-=-,∴202020221S a =-,故C 正确; 对于D ,由()112n n n a a a n +-=-≥可得,()()()135202124264202220202022++++++++a a a a a a a a a a a a =---=,故D 正确.【点睛】本题以“斐波那契数列”为背景,考查数列的递推关系及性质,解题的关键是得出数列的递推关系,()12211,1,+3n n n a a a a a n --===≥,能根据数列性质利用累加法求解. 27.ABD 【分析】由1n n n S S a --=()2n ≥,判断6780,0,0a a a >=<,再依次判断选项. 【详解】因为5665600S S S S a <⇒->⇒>,677670S S S S a =⇒-==,788780S S S S a >⇒-=<,所以数列{}n a 是递减数列,故0d <,AB 正确;()9567897820S S a a a a a a -=+++=+<,所以95S S <,故C 不正确;由以上可知数列{}n a 是单调递减数列,因为6780,0,0a a a >=<可知,67n S S S 与均为的最大值,故D 正确. 故选:ABD 【点睛】本题考查等差数列的前n 项和的最值,重点考查等差数列的性质,属于基础题型. 28.AC 【分析】 由题意可知112222n n nn a a a H n-+++==,即112222n n n a a a n -+++=⋅,则2n ≥时,()()111221212n n n n n a n n n ---=⋅--⋅=+⋅,可求解出1n a n =+,易知{}n a 是等差数列,则A 正确,然后利用等差数列的前n 项和公式求出n S ,判断C ,D 的正误. 【详解】 解:由112222n n nn a a a H n-+++==,得112222n n n a a a n -+++=⋅,①所以2n ≥时,()211212212n n n a a a n ---+++=-⋅,②得2n ≥时,()()111221212n n n n n a n n n ---=⋅--⋅=+⋅,即2n ≥时,1n a n =+,当1n =时,由①知12a =,满足1n a n =+.所以数列{}n a 是首项为2,公差为1的等差数列,故A 正确,B 错, 所以()32n n n S +=,所以2020202320202S =,故C 正确.25S =,414S =,627S =,故D 错,【点睛】本题考查数列的新定义问题,考查数列通项公式的求解及前n 项和的求解,难度一般. 29.AC 【分析】由535S =求出37a =,再由411a =可得公差为434d a a =-=,从而可求得其通项公式和前n 项和公式 【详解】由题可知,53535S a ==,即37a =,所以等差数列{}n a 的公差434d a a =-=, 所以()4445n a a n d n =+-=-,()2451232n n n S n n --==-.故选:AC. 【点睛】本题考查等差数列,考查运算求解能力. 30.ABD 【分析】由已知递推式可得数列2=,公差为1的等差数列,结合选项可得结果. 【详解】)211n a =-得)211n a +=,1=,即数列2=,公差为1的等差数列,2(1)11n n =+-⨯=+,∴22n a n n =+,得28a =,由二次函数的性质得数列{}n a 为递增数列,所以易知ABD 正确, 故选:ABD. 【点睛】本题主要考查了通过递推式得出数列的通项公式,通过通项公式研究数列的函数性质,属于中档题.。
一、等差数列选择题1.已知等差数列{}n a 的前n 项和n S 满足:21<<m m m S S S ++,若0n S >,则n 的最大值为( ) A .2mB .21m +C .22m +D .23m +2.等差数列{}n a 中,22a =,公差2d =,则10S =( ) A .200B .100C .90D .803.设n S 是等差数列{}n a 的前n 项和.若1476a a a ++=,则7S =( ) A .10-B .8C .12D .144.等差数列{}n a 的公差为2,若248,,a a a 成等比数列,则9S =( ) A .72B .90C .36D .455.在巴比伦晚期的《泥板文书》中,有按级递减分物的等差数列问题,其中有一个问题大意是:10个兄弟分100两银子,长兄最多,依次减少相同数目,现知第8兄弟分得6两,则长兄可分得银子的数目为( ) A .825两 B .845两 C .865两 D .885两 6.已知数列{}n a 是等差数列,其前n 项和为n S ,若454a a +=,则8S =( ) A .16 B .-16 C .4D .-47.等差数列{},{}n n a b 的前n 项和分别为,n n S T ,若231n n a n b n =+,则2121S T 的值为( )A .1315B .2335C .1117 D .498.已知等差数列{}n a 的前n 项和为n S ,且110a =,56S S ≥,下列四个命题:①公差d 的最大值为2-;②70S <;③记n S 的最大值为M ,则M 的最大值为30;④20192020a a >.其真命题的个数是( ) A .4个B .3个C .2个D .1个9.已知各项不为0的等差数列{}n a 满足26780a a a -+=,数列{}n b 是等比数列,且77b a =,则3810b b b =( )A .1B .8C .4D .210.已知等差数列{}n a 的前n 项和为n S ,若936S S =,则612SS =( ) A .177B .83 C .143D .10311.数学著作《孙子算经》中有这样一个问题:“今有物不知其数,三三数之剩二(除以3余2),五五数之剩三(除以5余3),问物几何?”现将1到2020共2020个整数中,同时满足“三三数之剩二,五五数之剩三”的数按从小到大的顺序排成一列,构成数列{},n a 则该数列共有( ) A .132项B .133项C .134项D .135项12.《张丘建算经》卷上第22题为:“今有女善织,日益功疾(注:从第2天开始,每天比前一天多织相同量的布),第一天织5尺布,现一月(按30天计)共织390尺”,则从第2天起每天比前一天多织( ) A .12尺布 B .518尺布 C .1631尺布 D .1629尺布 13.在等差数列{}n a 中,若n S 为其前n 项和,65a =,则11S 的值是( ) A .60B .11C .50D .5514.已知{}n a 是公差为2的等差数列,前5项和525S =,若215m a =,则m =( ) A .4B .6C .7D .815.已知等差数列{}n a 的前n 项和为n S ,且2n S n =.定义数列{}n b 如下:()*1m m b m m+∈N 是使不等式()*n a m m ≥∈N 成立的所有n 中的最小值,则13519 b b b b ++++=( )A .25B .50C .75D .10016.已知数列{}n a 的前n 项和()2*n S n n N =∈,则{}na 的通项公式为( )A .2n a n =B .21n a n =-C .32n a n =-D .1,12,2n n a n n =⎧=⎨≥⎩17.在1与25之间插入五个数,使其组成等差数列,则这五个数为( ) A .3、8、13、18、23 B .4、8、12、16、20 C .5、9、13、17、21 D .6、10、14、18、2218.已知数列{}n a 的前n 项和为n S ,且()11213n n n n S S a n +++=+-+,现有如下说法:①541a a =;②222121n n a a n ++=-;③401220S =. 则正确的个数为( ) A .0B .1C .2D .319.在等差数列{}n a 中,520164a a +=,S ,是数列{}n a 的前n 项和,则S 2020=( ) A .2019B .4040C .2020D .403820.设等差数列{}n a 的前n 项和为n S ,10a <且11101921a a =,则当n S 取最小值时,n 的值为( ) A .21B .20C .19D .19或20二、多选题21.已知数列{}n a 满足:12a =,当2n ≥时,)212n a =-,则关于数列{}n a 的说法正确的是 ( )A .27a =B .数列{}n a 为递增数列C .221n a n n =+-D .数列{}n a 为周期数列22.著名数学家斐波那契在研究兔子繁殖问题时,发现有这样一列数:1,1,2,3,5,…,其中从第三项起,每个数等于它前面两个数的和,后来人们把这样的一列数组成的数列{}n a 称为“斐波那契数列”,记S n 为数列{}n a 的前n 项和,则下列结论正确的是( ) A .68a = B .733S =C .135********a a a a a ++++=D .22212201920202019a a a a a +++= 23.等差数列{}n a 是递增数列,公差为d ,前n 项和为n S ,满足753a a =,下列选项正确的是( ) A .0d <B .10a <C .当5n =时n S 最小D .0n S >时n 的最小值为824.已知等差数列{}n a 的公差不为0,其前n 项和为n S ,且12a 、8S 、9S 成等差数列,则下列四个选项中正确的有( ) A .59823a a S +=B .27S S =C .5S 最小D .50a =25.设d 为正项等差数列{}n a 的公差,若0d >,32a =,则( ) A .244a a ⋅< B .224154a a +≥C .15111a a +> D .1524a a a a ⋅>⋅26.定义11222n nn a a a H n-+++=为数列{}n a 的“优值”.已知某数列{}n a 的“优值”2nn H =,前n 项和为n S ,则( )A .数列{}n a 为等差数列B .数列{}n a 为等比数列C .2020202320202S = D .2S ,4S ,6S 成等差数列27.等差数列{}n a 的首项10a >,设其前n 项和为{}n S ,且611S S =,则( ) A .0d > B .0d <C .80a =D .n S 的最大值是8S 或者9S28.首项为正数,公差不为0的等差数列{}n a ,其前n 项和为n S ,现有下列4个命题中正确的有( )A .若100S =,则280S S +=;B .若412S S =,则使0n S >的最大的n 为15C .若150S >,160S <,则{}n S 中8S 最大D .若78S S <,则89S S <29.无穷数列{}n a 的前n 项和2n S an bn c =++,其中a ,b ,c 为实数,则( )A .{}n a 可能为等差数列B .{}n a 可能为等比数列C .{}n a 中一定存在连续三项构成等差数列D .{}n a 中一定存在连续三项构成等比数列30.公差为d 的等差数列{}n a ,其前n 项和为n S ,110S >,120S <,下列说法正确的有( ) A .0d <B .70a >C .{}n S 中5S 最大D .49a a <【参考答案】***试卷处理标记,请不要删除一、等差数列选择题 1.C 【分析】首先根据数列的通项n a 与n S 的关系,得到10m a +>,2<0m a +,12+>0m m a a ++,再根据选项,代入前n 项和公式,计算结果. 【详解】由21<<m m m S S S ++得,10m a +>,2<0m a +,12+>0m m a a ++. 又()()()1212112121>02m m m m a a S m a +++++==+,()()()1232322323<02m m m m a a S m a +++++==+, ()()()()1222212211>02m m m m m a a S m a a ++++++==++.故选:C.【点睛】关键点睛:本题的第一个关键是根据公式11,2,1n n n S S n a S n --≥⎧=⎨=⎩,判断数列的项的正负,第二个关键能利用等差数列的性质和公式,将判断和的正负转化为项的正负. 2.C 【分析】先求得1a ,然后求得10S . 【详解】依题意120a a d =-=,所以101104545290S a d =+=⨯=. 故选:C 3.D 【分析】利用等差数列下标性质求得4a ,再利用求和公式求解即可 【详解】147446=32a a a a a ++=∴=,则()177477142a a S a +=== 故选:D 4.B 【分析】由题意结合248,,a a a 成等比数列,有2444(4)(8)a a a =-+即可得4a ,进而得到1a 、n a ,即可求9S . 【详解】由题意知:244a a =-,848a a =+,又248,,a a a 成等比数列,∴2444(4)(8)a a a =-+,解之得48a =,∴143862a a d =-=-=,则1(1)2n a a n d n =+-=,∴99(229)902S ⨯+⨯==,故选:B 【点睛】思路点睛:由其中三项成等比数列,利用等比中项性质求项,进而得到等差数列的基本量 1、由,,m k n a a a 成等比,即2k m n a a a =; 2、等差数列前n 项和公式1()2n n n a a S +=的应用. 5.C 【分析】设10个兄弟由大到小依次分得()1,2,,10n a n =⋅⋅⋅两银子,数列{}n a 是等差数列,8106100a S =⎧⎨=⎩利用等差数列的通项公式和前n 项和公式转化为关于1a 和d 的方程,即可求得长兄可分得银子的数目1a . 【详解】设10个兄弟由大到小依次分得()1,2,,10n a n =⋅⋅⋅两银子,由题意可得 设数列{}n a 的公差为d ,其前n 项和为n S ,则由题意得8106100a S =⎧⎨=⎩,即1176109101002a d a d +=⎧⎪⎨⨯+=⎪⎩,解得186585a d ⎧=⎪⎪⎨⎪=-⎪⎩. 所以长兄分得865两银子. 故选:C. 【点睛】关键点点睛:本题的关键点是能够读懂题意10个兄弟由大到小依次分得()1,2,,10n a n =⋅⋅⋅两银子构成公差0d <的等差数列,要熟练掌握等差数列的通项公式和前n 项和公式. 6.A 【详解】 由()()18458884816222a a a a S +⨯+⨯⨯====.故选A.7.C 【分析】利用等差数列的求和公式,化简求解即可 【详解】2121S T =12112121()21()22a ab b ++÷=121121a a b b ++=1111a b =2113111⨯⨯+=1117.故选C 8.B 【分析】设公差为d ,利用等差数列的前n 项和公式,56S S ≥,得2d ≤-,由前n 项和公式,得728S ≤,同时可得n S 的最大值,2d =-,5n =或6n =时取得,结合递减数列判断D . 【详解】设公差为d ,由已知110a =,56S S ≥,得5101061015d d ⨯+≥⨯+,所以2d ≤-,A 正确;所以7710217022128S d =⨯+≤-⨯=,B 错误;1(1)10(1)0n a a n d n d =+-=+-≥,解得101n d≤-+,11100n a a nd nd +=+=+≤,解得10n d≥-, 所以10101n d d-≤≤-+,当2d =-时,56n ≤≤, 当5n =时,有最大值,此时51010(2)30M =⨯+⨯-=,当6n =时,有最大值,此时61015(2)30M =⨯+⨯-=,C 正确. 又该数列为递减数列,所以20192020a a >,D 正确. 故选:B . 【点睛】关键点点睛:本题考查等差数列的前n 项和,掌握等差数列的前n 和公式与性质是解题关键.等差数列前n 项和n S 的最大值除可利用二次函数性质求解外还可由10n n a a +≥⎧⎨≤⎩求得.9.B 【分析】根据等差数列的性质,由题中条件,求出72a =,再由等比数列的性质,即可求出结果. 【详解】因为各项不为0的等差数列{}n a 满足26780a a a -+=,所以27720a a -=,解得72a =或70a =(舍);又数列{}n b 是等比数列,且772b a ==,所以33810371178b b b b b b b ===.故选:B. 10.D 【分析】由等差数列前n 项和性质得3S ,63S S -,96S S -,129S S -构成等差数列,结合已知条件得633S S =和31210S S =计算得结果. 【详解】已知等差数列{}n a 的前项和为n S ,∴3S ,63S S -,96S S -,129S S -构成等差数列, 所以()()633962S S S S S ⋅-=+-,且936S S =,化简解得633S S =. 又()()()96631292S S S S S S ⋅-=-+-,∴31210S S =,从而126103S S =. 故选:D 【点睛】 思路点睛:(1)利用等差数列前n 项和性质得3S ,63S S -,96S S -,129S S -构成等差数列,(2)()()633962S S S S S ⋅-=+-,且936S S =,化简解得633S S =, (3)()()()96631292S S S S S S ⋅-=-+-,化简解得31210S S =. 11.D 【分析】由题意抽象出数列是等差数列,再根据通项公式计算项数. 【详解】被3除余2且被5除余3的数构成首项为8,公差为15的等差数列,记为{}n a ,则()8151157n a n n =+-=-,令1572020n a n =-≤,解得:213515n ≤, 所以该数列的项数共有135项. 故选:D 【点睛】关键点点睛:本题以数学文化为背景,考查等差数列,本题的关键是读懂题意,并能抽象出等差数列. 12.D 【分析】设该女子第()N n n *∈尺布,前()N n n *∈天工织布n S 尺,则数列{}n a 为等差数列,设其公差为d ,根据15a =,30390S =可求得d 的值. 【详解】设该女子第()N n n *∈尺布,前()N n n *∈天工织布n S 尺,则数列{}n a 为等差数列,设其公差为d ,由题意可得30130293015015293902S a d d ⨯=+=+⨯=,解得1629d =.故选:D. 13.D 【分析】根据题中条件,由等差数列的性质,以及等差数列的求和公式,即可求出结果. 【详解】因为在等差数列{}n a 中,若n S 为其前n 项和,65a =, 所以()1111161111552a a S a +===.故选:D. 14.A 【分析】由525S =求出1a ,从而可求出数列的通项公式,进而可求出m 的值 【详解】解:由题意得15452252a ⨯+⨯=,解得11a =, 所以1(1)12(1)21n a a n d n n =+-=+-=-, 因为215m a =,所以22115m ⋅-=,解得4m =, 故选:A 15.B 【分析】先求得21n a n =-,根据n a m ≥,求得12m n +≥,进而得到21212k k b --=,结合等差数列的求和公式,即可求解. 【详解】由题意,等差数列{}n a 的前n 项和为n S ,且2n S n =,可得21n a n =-,因为n a m ≥,即21n m -≥,解得12m n +≥, 当21m k =-,(*k N ∈)时,1m m b k m+=,即()()11212m m m mk m b m m +===++, 即21212k k b --=, 从而()13519113519502b b b b ++++=++++=.故选:B. 16.B 【分析】利用1n n n a S S -=-求出2n ≥时n a 的表达式,然后验证1a 的值是否适合,最后写出n a 的式子即可. 【详解】2n S n =,∴当2n ≥时,221(1)21n n n a S S n n n -=-=--=-,当1n =时,111a S ==,上式也成立,()*21n a n n N ∴=-∈,故选:B. 【点睛】易错点睛:本题考查数列通项公式的求解,涉及到的知识点有数列的项与和的关系,即11,1,2n nn S n a S S n -=⎧=⎨-≥⎩,算出之后一定要判断1n =时对应的式子是否成立,最后求得结果,考查学生的分类思想与运算求解能力,属于基础题. 17.C 【分析】根据首末两项求等差数列的公差,再求这5个数字. 【详解】在1与25之间插入五个数,使其组成等差数列,则171,25a a ==,则712514716a a d --===-, 则这5个数依次是5,9,13,17,21. 故选:C 18.D 【分析】由()11213n n n n S S a n +++=+-+得到()11132n n n a a n ++=-+-,再分n 为奇数和偶数得到21262k k a a k +=-+-,22165k k a a k -=+-,然后再联立递推逐项判断. 【详解】因为()11213n n n n S S a n +++=+-+,所以()11132n n n a a n ++=-+-,所以()212621k k a a k +=-+-,()221652k k a a k -=+-, 联立得:()212133k k a a +-+=, 所以()232134k k a a +++=, 故2321k k a a +-=,从而15941a a a a ===⋅⋅⋅=,22162k k a a k ++=-,222161k k a a k ++=++,则222121k k a a k ++=-,故()()()4012345383940...S a a a a a a a a =++++++++,()()()()234538394041...a a a a a a a a =++++++++,()()201411820622k k =+⨯=-==∑1220,故①②③正确. 故选:D 19.B 【分析】由等差数列的性质可得52012016024a a a a +==+,则()15202020202016202010102a a a a S +=⨯=⨯+可得答案. 【详解】 等差数列{}n a 中, 52012016024a a a a +==+()12020202052016202010104101040402a a a a S +===⨯=+⨯⨯ 故选:B 20.B 【分析】 由题得出1392a d =-,则2202n dS n dn =-,利用二次函数的性质即可求解.【详解】设等差数列{}n a 的公差为d ,由11101921a a =得11102119a a =,则()()112110199a d a d +=+, 解得1392a d =-,10a <,0d ∴>,()211+2022n n n dS na d n dn -∴==-,对称轴为20n =,开口向上, ∴当20n =时,n S 最小.故选:B. 【点睛】方法点睛:求等差数列前n 项和最值,由于等差数列()2111+222n n n d d S na d n a n -⎛⎫==+- ⎪⎝⎭是关于n 的二次函数,当1a 与d 异号时,n S 在对称轴或离对称轴最近的正整数时取最值;当1a 与d 同号时,n S 在1n =取最值.二、多选题21.ABC 【分析】由)212n a =-1=,再利用等差数列的定义求得n a ,然后逐项判断. 【详解】 当2n ≥时,由)212n a =-,得)221n a +=,1=,又12a =,所以是以2为首项,以1为公差的等差数列,2(1)11n n =+-⨯=+,即221n a n n =+-,故C 正确;所以27a =,故A 正确;()212n a n =+-,所以{}n a 为递增数列,故正确;数列{}n a 不具有周期性,故D 错误; 故选:ABC 22.ABD 【分析】根据11a =,21a =,21n n n a a a ++=+,计算可知,A B 正确;根据12a a =,342a a a =-,564a a a =-,786a a a =-,,201920202018a a a =-,累加可知C 不正确;根据2121a a a =,222312312()a a a a a a a a =-=-,233423423()a a a a a a a a =-=-,244534534()a a a a a a a a =-=-,,220192019202020182019202020182019()a a a a a a a a =-=-,累加可知D 正确. 【详解】依题意可知,11a =,21a =,21n n n a a a ++=+,312112a a a =+=+=,423123a a a =+=+=,534235a a a =+=+=,645358a a a =+=+=,故A 正确; 7565813a a a =+=+=,所以712345671123581333S a a a a a a a =++++++=++++++=,故B 正确;由12a a =,342a a a =-,564a a a =-,786a a a =-,,201920202018a a a =-,可得13572019a a a a a +++++=242648620202018a a a a a a a a a +-+-+-++-2020a =,故C 不正确;2121a a a =,222312312()a a a a a a a a =-=-,233423423()a a a a a a a a =-=-,244534534()a a a a a a a a =-=-,,220192019202020182019202020182019()a a a a a a a a =-=-,所以2222212342019a a a a a +++++122312342345342019202020182019a a a a a a a a a a a a a a a a a a =+-+-+-+- 20192020a a =,所以22212201920202019a a a a a +++=,故D 正确. 故选:ABD. 【点睛】本题考查了数列的递推公式,考查了累加法,属于中档题. 23.BD【分析】由题意可知0d >,由已知条件753a a =可得出13a d =-,可判断出AB 选项的正误,求出n S 关于d 的表达式,利用二次函数的基本性质以及二次不等式可判断出CD 选项的正误. 【详解】由于等差数列{}n a 是递增数列,则0d >,A 选项错误;753a a =,则()11634a d a d +=+,可得130a d =-<,B 选项正确;()()()22171117493222224n n n d n n d n n d S na nd n d -⎡⎤--⎛⎫=+=-+==--⎢⎥ ⎪⎝⎭⎢⎥⎣⎦,当3n =或4时,n S 最小,C 选项错误; 令0n S >,可得270n n ->,解得0n <或7n >.n N *∈,所以,满足0n S >时n 的最小值为8,D 选项正确.故选:BD. 24.BD 【分析】设等差数列{}n a 的公差为d ,根据条件12a 、8S 、9S 成等差数列可求得1a 与d 的等量关系,可得出n a 、n S 的表达式,进而可判断各选项的正误. 【详解】设等差数列{}n a 的公差为d ,则8118788282S a d a d ⨯=+=+,9119899362S a d a d ⨯=+=+, 因为12a 、8S 、9S 成等差数列,则81922S a S =+,即11116562936a d a a d +=++,解得14a d =-,()()115n a a n d n d ∴=+-=-,()()219122n n n d n n d S na --=+=. 对于A 选项,59233412a a d d +=⨯=,()2888942d S d -⨯==-,A 选项错误; 对于B 选项,()2229272d Sd -⨯==-,()2779772d Sd -⨯==-,B 选项正确;对于C 选项,()2298192224n d d S n n n ⎡⎤⎛⎫=-=--⎢⎥ ⎪⎝⎭⎢⎥⎣⎦.若0d >,则4S 或5S 最小;若0d <,则4S 或5S 最大.C 选项错误; 对于D 选项,50a =,D 选项正确. 故选:BD. 【点睛】在解有关等差数列的问题时可以考虑化归为a 1和d 等基本量,通过建立方程(组)获得解,另外在求解等差数列前n 项和n S 的最值时,一般利用二次函数的基本性质或者数列的单调性来求解. 25.ABC 【分析】由已知求得公差d 的范围:01d <<,把各选项中的项全部用d 表示,并根据01d <<判断各选项. 【详解】 由题知,只需1220010a d d d =->⎧⇒<<⎨>⎩,()()2242244a a d d d ⋅=-⋅+=-<,A 正确;()()2222415223644a a d d d d +=-++=-+>≥,B 正确; 21511111122221a a d d d +=+=>-+-,C 正确; ()()()()2152422222230a a a a d d d d d ⋅-⋅=-⋅+--⋅+=-<,所以1524a a a a ⋅<⋅,D 错误. 【点睛】本题考查等差数列的性质,解题方法是由已知确定d 的范围,由通项公式写出各项(用d 表示)后,可判断. 26.AC 【分析】 由题意可知112222n n nn a a a H n-+++==,即112222n n n a a a n -+++=⋅,则2n ≥时,()()111221212n n n n n a n n n ---=⋅--⋅=+⋅,可求解出1n a n =+,易知{}n a 是等差数列,则A 正确,然后利用等差数列的前n 项和公式求出n S ,判断C ,D 的正误. 【详解】 解:由112222n n nn a a a H n-+++==,得112222n n n a a a n -+++=⋅,①所以2n ≥时,()211212212n n n a a a n ---+++=-⋅,②得2n ≥时,()()111221212n n n n n a n n n ---=⋅--⋅=+⋅,即2n ≥时,1n a n =+,当1n =时,由①知12a =,满足1n a n =+.所以数列{}n a 是首项为2,公差为1的等差数列,故A 正确,B 错,所以()32n n n S +=,所以2020202320202S =,故C 正确.25S =,414S =,627S =,故D 错,故选:AC . 【点睛】本题考查数列的新定义问题,考查数列通项公式的求解及前n 项和的求解,难度一般. 27.BD 【分析】由6111160S S S S =⇒-=,即950a =,进而可得答案. 【详解】解:1167891011950S S a a a a a a -=++++==, 因为10a >所以90a =,0d <,89S S =最大, 故选:BD . 【点睛】本题考查等差数列的性质,解题关键是等差数列性质的应用,属于中档题. 28.BC 【分析】根据等差数列的性质,以及等差数列的求和公式,逐项判断,即可得答案. 【详解】A 选项,若1011091002S a d ⨯=+=,则1290a d +=, 那么()()2811128281029160S S a d a d a d d +=+++=+=-≠.故A 不正确; B 选项,若412S S =,则()5611128940a a a a a a ++++=+=,又因为10a >,所以前8项为正,从第9项开始为负, 因为()()116168916802a a S a a +==+=, 所以使0n S >的最大的n 为15.故B 正确; C 选项,若()115158151502a a S a +==>,()()116168916802a a S a a +==+<, 则80a >,90a <,则{}n S 中8S 最大.故C 正确;D 选项,若78S S <,则80a >,而989S S a -=,不能判断9a 正负情况.故D 不正确. 故选:BC . 【点睛】本题考查等差数列性质的应用,涉及等差数列的求和公式,属于常考题型. 29.ABC【分析】由2n S an bn c =++可求得n a 的表达式,利用定义判定得出答案.【详解】当1n =时,11a S a b c ==++.当2n ≥时,()()221112n n n a S S an bn c a n b n c an a b -=-=++-----=-+. 当1n =时,上式=+a b .所以若{}n a 是等差数列,则0.a b a b c c +=++∴= 所以当0c时,{}n a 是等差数列, 00a c b ==⎧⎨≠⎩时是等比数列;当0c ≠时,{}n a 从第二项开始是等差数列. 故选:A B C 【点睛】本题只要考查等差数列前n 项和n S 与通项公式n a 的关系,利用n S 求通项公式,属于基础题. 30.AD 【分析】先根据题意得1110a a +>,1120a a +<,再结合等差数列的性质得60a >,70a <,0d <,{}n S 中6S 最大,49a a <-,即:49a a <.进而得答案.【详解】解:根据等差数列前n 项和公式得:()111111102a a S +=>,()112121202a a S +=< 所以1110a a +>,1120a a +<, 由于11162a a a +=,11267a a a a +=+, 所以60a >,760a a <-<, 所以0d <,{}n S 中6S 最大, 由于11267490a a a a a a +=+=+<, 所以49a a <-,即:49a a <. 故AD 正确,BC 错误. 故选:AD. 【点睛】本题考查等差数列的前n 项和公式与等差数列的性质,是中档题.。
一、等差数列选择题1.已知等差数列{}n a 中,161,11a a ==,则数列{}n a 的公差为( ) A .53B .2C .8D .132.设数列{}n a 的前n 项和21n S n =+. 则8a 的值为( ).A .65B .16C .15D .143.《周髀算经》是中国最古老的天文学和数学著作,它揭示日月星辰的运行规律.其记载“阴阳之数,日月之法,十九岁为一章,四章为一部,部七十六岁,二十部为一遂,遂千百五二十岁”.现恰有30人,他们的年龄(都为正整数)之和恰好为一遂(即1520),其中年长者年龄介于90至100,其余29人的年龄依次相差一岁,则最年轻者的年龄为( ) A .32B .33C .34D .354.设等差数列{}n a 的前n 项和为n S ,10a <且11101921a a =,则当n S 取最小值时,n 的值为( ) A .21B .20C .19D .19或205.等差数列{}n a 的前n 项和为n S ,若12a =,315S =,则8a =( ) A .11B .12C .23D .246.已知数列{}n a ,{}n b 都是等差数列,记n S ,n T 分别为{}n a ,{}n b 的前n 项和,且713n n S n T n -=,则55a b =( ) A .3415B .2310C .317D .62277.已知数列{}n a 是公差不为零的等差数列,且1109a a a +=,则12910a a a a ++⋅⋅⋅+=( ) A .278B .52C .3D .48.已知等差数列{}n a 的前n 项和为n S ,31567a a a +=+,则23S =( ) A .121B .161C .141D .1519.设等差数列{}n a 的前n 项和为n S ,公差1d =,且6210S S ,则34a a +=( )A .2B .3C .4D .510.在数列{}n a 中,129a =-,()*13n n a a n +=+∈N ,则1220a a a +++=( )A .10B .145C .300D .32011.数学著作《孙子算经》中有这样一个问题:“今有物不知其数,三三数之剩二(除以3余2),五五数之剩三(除以5余3),问物几何?”现将1到2020共2020个整数中,同时满足“三三数之剩二,五五数之剩三”的数按从小到大的顺序排成一列,构成数列{},n a 则该数列共有( ) A .132项B .133项C .134项D .135项12.已知等差数列{}n a 的前n 项和为n S ,且2n S n =.定义数列{}n b 如下:()*1m m b m m+∈N 是使不等式()*n a m m ≥∈N 成立的所有n 中的最小值,则13519 b b b b ++++=( )A .25B .50C .75D .10013.等差数列{}n a 的前n 项和为n S ,且132a a +=,422a a -=,则5S =( ) A .21B .15C .10D .6 14.设等差数列{}n a 的公差d ≠0,前n 项和为n S ,若425S a =,则99S a =( ) A .9B .5C .1D .5915.在等差数列{}n a 中,已知前21项和2163S =,则25820a a a a ++++的值为( )A .7B .9C .21D .4216.已知递减的等差数列{}n a 满足2219a a =,则数列{}n a 的前n 项和取最大值时n =( )A .4或5B .5或6C .4D .517.在等差数列{}n a 中,25812a a a ++=,则{}n a 的前9项和9S =( ) A .36B .48C .56D .7218.记n S 为等差数列{}n a 的前n 项和,若542S S =,248a a +=,则5a 等于( ) A .6B .7C .8D .1019.设等差数列{}n a 的前n 项和为n S ,若7916+=a a ,则15S =( ) A .60B .120C .160D .24020.已知数列{}n a 中,132a =,且满足()*1112,22n n n a a n n N -=+≥∈,若对于任意*n N ∈,都有n a nλ≥成立,则实数λ的最小值是( ) A .2B .4C .8D .16二、多选题21.意大利著名数学家斐波那契在研究兔子繁殖问题时,发现有这样一列数:1,1,2,3,5,….,其中从第三项起,每个数等于它前面两个数的和,后来人们把这样的一列数组成的数列{}n a 称为“斐波那契数列”,记n S 为数列{}n a 的前n 项和,则下列结论正确的是( ) A .68a =B .733S =C .135********a a a a a +++⋅⋅⋅+=D .22212201920202019a a a a a ++⋅⋅⋅⋅⋅⋅+=22.题目文件丢失!23.设数列{}n a 满足1102a <<,()1ln 2n n n a a a +=+-对任意的*n N ∈恒成立,则下列说法正确的是( ) A .2112a << B .{}n a 是递增数列 C .2020312a <<D .2020314a << 24.已知数列{}n a 的前4项为2,0,2,0,则该数列的通项公式可能为( ) A .0,2,n n a n ⎧=⎨⎩为奇数为偶数B .1(1)1n n a -=-+C .2sin2n n a π= D .cos(1)1n a n π=-+25.(多选题)已知数列{}n a 中,前n 项和为n S ,且23n n n S a +=,则1n n a a -的值不可能为( ) A .2B .5C .3D .426.设等比数列{}n a 的公比为q ,其前n 项和为n S ,前n 项积为n T ,并且满足条件11a >,667711,01a a a a -><-,则下列结论正确的是( ) A .01q <<B .681a a >C .n S 的最大值为7SD .n T 的最大值为6T27.设等差数列{}n a 的前n 项和为n S .若30S =,46a =,则( ) A .23n S n n =- B .2392-=n n nSC .36n a n =-D .2n a n =28.已知等差数列{}n a 的前n 项和为n S ,218a =,512a =,则下列选项正确的是( ) A .2d =- B .122a =C .3430a a +=D .当且仅当11n =时,n S 取得最大值29.已知数列{}n a :1,1,2,3,5,…其中从第三项起,每个数等于它前面两个数的和,记n S 为数列{}n a 的前n 项和,则下列结论正确的是( ) A .68S a =B .733S =C .135********a a a a a ++++=D .2222123202020202021a a a a a a ++++=30.记n S 为等差数列{}n a 的前n 项和.已知450,5S a ==,则( ) A .25n a n =-B .310na nC .228n S n n =- D .24n S n n =-【参考答案】***试卷处理标记,请不要删除一、等差数列选择题 1.B 【分析】设公差为d ,则615a a d =+,即可求出公差d 的值. 【详解】设公差为d ,则615a a d =+,即1115d =+,解得:2d =, 所以数列{}n a 的公差为2, 故选:B 2.C 【分析】利用()12n n n a S S n -=-≥得出数列{}n a 的通项公差,然后求解8a . 【详解】由21n S n =+得,12a =,()2111n S n -=-+,所以()221121n n n a S S n n n -=-=--=-, 所以2,121,2n n a n n =⎧=⎨-≥⎩,故828115a =⨯-=.故选:C. 【点睛】本题考查数列的通项公式求解,较简单,利用()12n n n a S S n -=-≥求解即可. 3.D 【分析】设年纪最小者年龄为n ,年纪最大者为m ,由他们年龄依次相差一岁得出(1)(2)(28)1520n n n n m ++++++++=,结合等差数列的求和公式得出111429m n =-,再由[]90,100m ∈求出n 的值.【详解】根据题意可知,这30个老人年龄之和为1520,设年纪最小者年龄为n ,年纪最大者为m ,[]90,100m ∈,则有(1)(2)(28)294061520n n n n m n m ++++++++=++=则有291114n m +=,则111429m n =-,所以90111429100m ≤-≤ 解得34.96635.31n ≤≤,因为年龄为整数,所以35n =. 故选:D 4.B 【分析】 由题得出1392a d =-,则2202n dS n dn =-,利用二次函数的性质即可求解.【详解】设等差数列{}n a 的公差为d , 由11101921a a =得11102119a a =,则()()112110199a d a d +=+, 解得1392a d =-,10a <,0d ∴>,()211+2022n n n dS na d n dn -∴==-,对称轴为20n =,开口向上, ∴当20n =时,n S 最小.故选:B. 【点睛】方法点睛:求等差数列前n 项和最值,由于等差数列()2111+222n n n d d S na d n a n -⎛⎫==+- ⎪⎝⎭是关于n 的二次函数,当1a 与d 异号时,n S 在对称轴或离对称轴最近的正整数时取最值;当1a 与d 同号时,n S 在1n =取最值. 5.C 【分析】由题设求得等差数列{}n a 的公差d ,即可求得结果. 【详解】32153S a ==,25a ∴=, 12a =,∴公差213d a a =-=, 81727323a a d ∴=+=+⨯=,故选:C. 6.D 【分析】利用等差数列的性质以及前n 项和公式即可求解. 【详解】 由713n n S n T n-=,()()19551991955199927916229239272a a a a a a Sb b b b b b T ++⨯-======++⨯. 故选:D 7.A 【分析】根据数列{}n a 是等差数列,且1109a a a +=,求出首项和公差的关系,代入式子求解. 【详解】因为1109a a a +=, 所以11298a d a d +=+, 即1a d =-,所以()11295101019927278849a a a a a d a a d d a d ++⋅⋅⋅+====++. 故选:A 8.B 【分析】由条件可得127a =,然后231223S a =,算出即可. 【详解】因为31567a a a +=+,所以15637a a a =-+,所以1537a d =+,所以1537a d -=,即127a =所以231223161S a == 故选:B 9.B 【分析】根据等差数列的性质,由题中条件,可直接得出结果. 【详解】因为n S 为等差数列{}n a 的前n 项和,公差1d =,6210S S ,所以()()6543434343222410a a a a a d a d a a a a +++=+++++=++=, 解得343a a +=. 故选:B. 10.C 【分析】由等差数列的性质可得332n a n =-,结合分组求和法即可得解。
一、等差数列选择题1.在等差数列{}n a 中,若n S 为其前n 项和,65a =,则11S 的值是( ) A .60B .11C .50D .552.设等差数列{}n a 的前n 项和为n S ,公差1d =,且6210S S ,则34a a +=( )A .2B .3C .4D .53.设数列{}n a 的前n 项和21n S n =+. 则8a 的值为( ).A .65B .16C .15D .144.等差数列{}n a 中,12318192024,78a a a a a a ++=-++=,则此数列的前20项和等于( ) A .160B .180C .200D .2205.已知等差数列{}n a 前n 项和为n S ,且351024a a a ++=,则13S 的值为( ) A .8B .13C .26D .1626.已知数列{}n a 的前n 项和n S 满足()12n n n S +=,则数列11n n a a +⎧⎫⎨⎬⎩⎭的前10项的和为( ) A .89B .910C .1011D .11127.已知等差数列{}n a ,其前n 项的和为n S ,3456720a a a a a ++++=,则9S =( ) A .24B .36C .48D .648.已知等差数列{}n a 的前n 项和为n S ,若936S S =,则612S S =( ) A .177B .83C .143D .1039.已知各项不为0的等差数列{}n a 满足26780a a a -+=,数列{}n b 是等比数列,且77b a =,则3810b b b =( )A .1B .8C .4D .210.在等差数列{}n a 中,10a >,81335a a =,则n S 中最大的是( ) A .21SB .20SC .19SD .18S11.数学著作《孙子算经》中有这样一个问题:“今有物不知其数,三三数之剩二(除以3余2),五五数之剩三(除以5余3),问物几何?”现将1到2020共2020个整数中,同时满足“三三数之剩二,五五数之剩三”的数按从小到大的顺序排成一列,构成数列{},n a 则该数列共有( ) A .132项B .133项C .134项D .135项12.已知{}n a 是公差为2的等差数列,前5项和525S =,若215m a =,则m =( ) A .4B .6C .7D .813.冬春季节是流感多发期,某地医院近30天每天入院治疗流感的人数依次构成数列{}n a ,已知11a =,22a=,且满足()211+-=+-nn n a a (n *∈N ),则该医院30天入院治疗流感的共有( )人A .225B .255C .365D .46514.已知递减的等差数列{}n a 满足2219a a =,则数列{}n a 的前n 项和取最大值时n =( )A .4或5B .5或6C .4D .515.在等差数列{}n a 中,25812a a a ++=,则{}n a 的前9项和9S =( ) A .36B .48C .56D .7216.设等差数列{}n a 的前n 项和为n S ,若718a a a -<<-,则必定有( ) A .70S >,且80S < B .70S <,且80S > C .70S >,且80S >D .70S <,且80S <17.已知数列{}n a 是公差不为零且各项均为正数的无穷等差数列,其前n 项和为n S .若p m n q <<<且()*,,,p q m n p q m n N +=+∈,则下列判断正确的是( )A .22p p S p a =⋅B .p q m n a a a a >C .1111p q m n a a a a +<+D .1111p q m nS S S S +>+ 18.已知等差数列{}n a 的前n 项和为n S ,且310179a a a ++=,则19S =( ) A .51B .57C .54D .7219.已知数列{}n a 的前n 项和为n S ,且()11213n n n n S S a n +++=+-+,现有如下说法:①541a a =;②222121n n a a n ++=-;③401220S =. 则正确的个数为( ) A .0B .1C .2D .320.已知数列{}n a 中,132a =,且满足()*1112,22n n n a a n n N -=+≥∈,若对于任意*n N ∈,都有n a nλ≥成立,则实数λ的最小值是( ) A .2B .4C .8D .16二、多选题21.已知数列{}n a 的前n 项和为()0n n S S ≠,且满足11140(2),4n n n a S S n a -+=≥=,则下列说法正确的是( )A .数列{}n a 的前n 项和为1S 4n n= B .数列{}n a 的通项公式为14(1)n a n n =+C .数列{}n a 为递增数列D .数列1{}nS 为递增数列22.题目文件丢失!23.题目文件丢失!24.等差数列{}n a 是递增数列,公差为d ,前n 项和为n S ,满足753a a =,下列选项正确的是( ) A .0d <B .10a <C .当5n =时n S 最小D .0n S >时n 的最小值为825.已知等差数列{}n a 的前n 项和为,n S 且15110,20,a a a 则( )A .80a <B .当且仅当n = 7时,n S 取得最大值C .49S S =D .满足0n S >的n 的最大值为1226.设{}n a 是等差数列,n S 是其前n 项的和,且56S S <,678S S S =>,则下列结论正确的是( ) A .0d > B .70a =C .95S S >D .6S 与7S 均为n S 的最大值27.(多选题)在数列{}n a 中,若221n n a a p --=,(2n ≥,*n N ∈,p 为常数),则称{}n a 为“等方差数列”.下列对“等方差数列”的判断正确的是( )A .若{}n a 是等差数列,则{}2n a 是等方差数列B .(){}1n-是等方差数列C .若{}n a 是等方差数列,则{}kn a (*k N ∈,k 为常数)也是等方差数列D .若{}n a 既是等方差数列,又是等差数列,则该数列为常数列28.{} n a 是等差数列,公差为d ,前项和为n S ,若56S S <,678S S S =>,则下列结论正确的是( ) A .0d <B .70a =C .95S S >D .170S <29.数列{}n a 满足11,121nn n a a a a +==+,则下列说法正确的是( ) A .数列1n a ⎧⎫⎨⎬⎩⎭是等差数列 B .数列1n a ⎧⎫⎨⎬⎩⎭的前n 项和2n S n = C .数列{}n a 的通项公式为21n a n =- D .数列{}n a 为递减数列30.设等差数列{}n a 的前n 项和为n S ,若39S =,47a =,则( )A .2n S n =B .223n S n n =-C .21n a n =-D .35n a n =-【参考答案】***试卷处理标记,请不要删除一、等差数列选择题 1.D 【分析】根据题中条件,由等差数列的性质,以及等差数列的求和公式,即可求出结果. 【详解】因为在等差数列{}n a 中,若n S 为其前n 项和,65a =, 所以()1111161111552a a S a +===.故选:D. 2.B 【分析】根据等差数列的性质,由题中条件,可直接得出结果. 【详解】因为n S 为等差数列{}n a 的前n 项和,公差1d =,6210S S ,所以()()6543434343222410a a a a a d a d a a a a +++=+++++=++=, 解得343a a +=. 故选:B. 3.C 【分析】利用()12n n n a S S n -=-≥得出数列{}n a 的通项公差,然后求解8a . 【详解】由21n S n =+得,12a =,()2111n S n -=-+,所以()221121n n n a S S n n n -=-=--=-, 所以2,121,2n n a n n =⎧=⎨-≥⎩,故828115a =⨯-=.故选:C. 【点睛】本题考查数列的通项公式求解,较简单,利用()12n n n a S S n -=-≥求解即可.4.B 【分析】把已知的两式相加得到12018a a +=,再求20S 得解. 【详解】由题得120219318()()()247854a a a a a a +++++=-+=, 所以1201203()54,18a a a a +=∴+=. 所以2012020()10181802S a a =+=⨯=. 故选:B 5.B 【分析】先利用等差数列的下标和性质将35102a a a ++转化为()410724a a a +=,再根据()11313713132a a S a +==求解出结果.【详解】因为()351041072244a a a a a a ++=+==,所以71a =,又()1131371313131132a a S a +===⨯=, 故选:B. 【点睛】结论点睛:等差、等比数列的下标和性质:若()*2,,,,m n p q t m n p q t N +=+=∈,(1)当{}n a 为等差数列,则有2m n p q t a a a a a +=+=; (2)当{}n a 为等比数列,则有2m n p q t a a a a a ⋅=⋅=.6.C 【分析】首先根据()12n n n S +=得到n a n =,设11111n n n b a a n n +==-+,再利用裂项求和即可得到答案. 【详解】当1n =时,111a S ==, 当2n ≥时,()()11122n n n n n n n a S S n -+-=-=-=. 检验111a S ==,所以n a n =. 设()1111111n n n b a a n n n n +===-++,前n 项和为n T ,则10111111101122310111111T ⎛⎫⎛⎫⎛⎫=-+-++-=-= ⎪ ⎪ ⎪⎝⎭⎝⎭⎝⎭…. 故选:C 7.B 【分析】利用等差数列的性质进行化简,由此求得9S 的值. 【详解】由等差数列的性质,可得345675520a a a a a a ++++==,则54a =19592993622a a aS +=⨯=⨯= 故选:B 8.D 【分析】由等差数列前n 项和性质得3S ,63S S -,96S S -,129S S -构成等差数列,结合已知条件得633S S =和31210S S =计算得结果. 【详解】已知等差数列{}n a 的前项和为n S ,∴3S ,63S S -,96S S -,129S S -构成等差数列,所以()()633962S S S S S ⋅-=+-,且936S S =,化简解得633S S =. 又()()()96631292S S S S S S ⋅-=-+-,∴31210S S =,从而126103S S =. 故选:D 【点睛】 思路点睛:(1)利用等差数列前n 项和性质得3S ,63S S -,96S S -,129S S -构成等差数列,(2)()()633962S S S S S ⋅-=+-,且936S S =,化简解得633S S =, (3)()()()96631292S S S S S S ⋅-=-+-,化简解得31210S S =. 9.B 【分析】根据等差数列的性质,由题中条件,求出72a =,再由等比数列的性质,即可求出结果. 【详解】因为各项不为0的等差数列{}n a 满足26780a a a -+=,所以27720a a -=,解得72a =或70a =(舍);又数列{}n b 是等比数列,且772b a ==,所以33810371178b b b b b b b ===.故选:B. 10.B 【分析】设等差数列的公差为d .由已知得()()1137512a d a d +=+,可得关系1392a d =-.再运用求和公式和二次函数的性质可得选项. 【详解】设等差数列的公差为d .由81335a a =得,()()1137512a d a d +=+,整理得,1392a d =-. 又10a >,所以0d <,因此222120(20)2002222n d d d dS n a n n dn n d ⎛⎫=+-=-=-- ⎪⎝⎭, 所以20S 最大. 故选:B. 11.D 【分析】由题意抽象出数列是等差数列,再根据通项公式计算项数. 【详解】被3除余2且被5除余3的数构成首项为8,公差为15的等差数列,记为{}n a ,则()8151157n a n n =+-=-,令1572020n a n =-≤,解得:213515n ≤, 所以该数列的项数共有135项. 故选:D 【点睛】关键点点睛:本题以数学文化为背景,考查等差数列,本题的关键是读懂题意,并能抽象出等差数列. 12.A 【分析】由525S =求出1a ,从而可求出数列的通项公式,进而可求出m 的值 【详解】 解:由题意得15452252a ⨯+⨯=,解得11a =, 所以1(1)12(1)21n a a n d n n =+-=+-=-, 因为215m a =,所以22115m ⋅-=,解得4m =, 故选:A 13.B直接利用分类讨论思想的应用求出数列的通项公式,进一步利用分组法求出数列的和 【详解】解:当n 为奇数时,2n n a a +=, 当n 为偶数时,22n n a a +-=, 所以13291a a a ==⋅⋅⋅==,2430,,,a a a ⋅⋅⋅是以2为首项,2为公差的等差数列,所以30132924301514()()1515222552S a a a a a a ⨯=++⋅⋅⋅++++⋅⋅⋅+=+⨯+⨯=, 故选:B 14.A 【分析】由2219a a =,可得14a d =-,从而得2922n d d S n n =-,然后利用二次函数的性质求其最值即可 【详解】解:设递减的等差数列{}n a 的公差为d (0d <),因为2219a a =,所以2211(8)a a d =+,化简得14a d =-,所以221(1)9422222n n n d d d dS na d dn n n n n -=+=-+-=-, 对称轴为92n =, 因为n ∈+N ,02d<, 所以当4n =或5n =时,n S 取最大值, 故选:A 15.A 【分析】根据等差数列的性质,由题中条件,得出54a =,再由等差数列前n 项和公式,即可得出结果. 【详解】因为{}n a 为等差数列,25812a a a ++=, 所以5312a =,即54a =, 所以()1999983622a a S +⨯===. 故选:A .熟练运用等差数列性质的应用及等差数列前n 项和的基本量运算是解题关键. 16.A 【分析】根据已知条件,结合等差数列前n 项和公式,即可容易判断. 【详解】依题意,有170a a +>,180a a +< 则()177702a a S +⋅=>()()188188402a a S a a +⋅==+<故选:A . 17.D 【分析】利用等差数列的求和公式可判断A 选项的正误;利用作差法结合等差数列的通项公式可判断B 选项的正误;利用p q m n a a a a <结合不等式的基本性质可判断C 选项的正误;利用等差数列的求和公式结合不等式的基本性质可判断D 选项的正误. 【详解】对于A 选项,由于()()1221222p pp p p p a a Sp a a pa ++==+≠,故选项A 错误;对于B 选项,由于m p q n -=-,则()()p q m n m n m n a a a a a p m d a q n d a a ⋅-⋅=+-⋅+--⋅⎡⎤⎡⎤⎣⎦⎣⎦()()()()()22m n m n m n a q n d a q n d a a q n a a d q n d =--⋅+--=----⎡⎤⎡⎤⎣⎦⎣⎦()()()2220q n n m d q n d =-----<,故选项B 错误;对于C 选项,由于1111p q m n m n p q p q p q m n m na a a a a a a a a a a a a a a a ++++==>=+⋅⋅⋅,故选项C 错误; 对于D 选项,设0x q n m p =-=->,则()()()20pq mn m x n x mn x n m x -=-+-=---<,从而pq mn <,由于222222p q m n p q pq m n mn +=+⇔++=++,故2222p q m n +>+.()()()()()()111111p q pq p q mn m n m n --=-++<-++=--,故()()22221122p q m n p q p q m n m nS S p q a d m n a d S S +--+--+=++>++=+.()()()()()221111112112224p q p p q q pq p q pq p q S S pa d qa d pqa a d d--+---⎡⎤⎡⎤⋅=+⋅+=++⎢⎥⎢⎥⎣⎦⎣⎦()()()221121124mn m n mn p q mna a d d+---<++()()()221121124m n mn m n mn m n mna a d d S S +---<++=,由此1111p q m n p q p q m n m nS S S S S S S S S S S S +++=>=+,故选项D 正确. 故选:D. 【点睛】关键点点睛:本题考查等差数列中不等式关系的判断,在解题过程中充分利用基本量来表示n a 、n S ,并结合作差法、不等式的基本性质来进行判断. 18.B 【分析】根据等差数列的性质求出103a =,再由求和公式得出答案. 【详解】317102a a a += 1039a ∴=,即103a =()1191019191921935722a a a S +⨯∴===⨯= 故选:B 19.D 【分析】由()11213n n n n S S a n +++=+-+得到()11132n n n a a n ++=-+-,再分n 为奇数和偶数得到21262k k a a k +=-+-,22165k k a a k -=+-,然后再联立递推逐项判断. 【详解】因为()11213n n n n S S a n +++=+-+,所以()11132n n n a a n ++=-+-,所以()212621k k a a k +=-+-,()221652k k a a k -=+-, 联立得:()212133k k a a +-+=, 所以()232134k k a a +++=, 故2321k k a a +-=,从而15941a a a a ===⋅⋅⋅=,22162k k a a k ++=-,222161k k a a k ++=++,则222121k k a a k ++=-,故()()()4012345383940...S a a a a a a a a =++++++++,()()()()234538394041...a a a a a a a a =++++++++,()()201411820622k k =+⨯=-==∑1220,故①②③正确.故选:D20.A【分析】 将11122n n n a a -=+变形为11221n n n n a a --=+,由等差数列的定义得出22n n n a +=,从而得出()22n n n λ+≥,求出()max22n n n +⎡⎤⎢⎥⎣⎦的最值,即可得出答案. 【详解】因为2n ≥时,11122n n n a a -=+,所以11221n n n n a a --=+,而1123a = 所以数列{}2n n a 是首项为3公差为1的等差数列,故22n n a n =+,从而22n n n a +=. 又因为n a n λ≥恒成立,即()22n n n λ+≥恒成立,所以()max22n n n λ+⎡⎤≥⎢⎥⎣⎦. 由()()()()()()()1*121322,221122n n n n n n n n n n n n n n +-⎧+++≥⎪⎪∈≥⎨+-+⎪≥⎪⎩N 得2n = 所以()()2max2222222n n n +⨯+⎡⎤==⎢⎥⎣⎦,所以2λ≥,即实数λ的最小值是2 故选:A二、多选题21.AD【分析】先根据和项与通项关系化简条件,再构造等差数列,利用等差数列定义与通项公式求S n ,最后根据和项与通项关系得n a .【详解】11140(2),40n n n n n n n a S S n S S S S ---+=≥∴-+=11104n n n S S S -≠∴-=因此数列1{}n S 为以114S =为首项,4为公差的等差数列,也是递增数列,即D 正确; 所以1144(1)44n n n n S S n=+-=∴=,即A 正确; 当2n ≥时111144(1)4(1)n n n a S S n n n n -=-=-=--- 所以1,141,24(1)n n a n n n ⎧=⎪⎪=⎨⎪-≥-⎪⎩,即B ,C 不正确; 故选:AD【点睛】本题考查由和项求通项、等差数列定义与通项公式以及数列单调性,考查基本分析论证与求解能力,属中档题.22.无23.无24.BD【分析】由题意可知0d >,由已知条件753a a =可得出13a d =-,可判断出AB 选项的正误,求出n S 关于d 的表达式,利用二次函数的基本性质以及二次不等式可判断出CD 选项的正误.【详解】由于等差数列{}n a 是递增数列,则0d >,A 选项错误;753a a =,则()11634a d a d +=+,可得130a d =-<,B 选项正确;()()()22171117493222224n n n d n n d n n d S na nd n d -⎡⎤--⎛⎫=+=-+==--⎢⎥ ⎪⎝⎭⎢⎥⎣⎦, 当3n =或4时,n S 最小,C 选项错误;令0n S >,可得270n n ->,解得0n <或7n >.n N *∈,所以,满足0n S >时n 的最小值为8,D 选项正确.故选:BD.25.ACD【分析】由题可得16a d =-,0d <,21322n d d S n n =-,求出80a d =<可判断A ;利用二次函数的性质可判断B ;求出49,S S 可判断C ;令213022n d d S n n =->,解出即可判断D. 【详解】 设等差数列{}n a 的公差为d ,则()5111122+4++100a a a d a d +==,解得16a d =-, 10a >,0d ∴<,且()21113+222n n n d d S na d n n -==-, 对于A ,81+7670a a d d d d ==-+=<,故A 正确;对于B ,21322n d d S n n =-的对称轴为132n =,开口向下,故6n =或7时,n S 取得最大值,故B 错误; 对于C ,4131648261822d d S d d d =⨯-⨯=-=-,9138191822d d S d =⨯-⨯=-,故49S S =,故C 正确;对于D ,令213022n d d S n n =->,解得013n <<,故n 的最大值为12,故D 正确. 故选:ACD.【点睛】方法点睛:由于等差数列()2111+222n n n d d S na d n a n -⎛⎫==+- ⎪⎝⎭是关于n 的二次函数,当1a 与d 异号时,n S 在对称轴或离对称轴最近的正整数时取最值;当1a 与d 同号时,n S 在1n =取最值.26.BD【分析】设等差数列{}n a 的公差为d ,依次分析选项即可求解.【详解】根据题意,设等差数列{}n a 的公差为d ,依次分析选项:{}n a 是等差数列,若67S S =,则7670S S a -==,故B 正确;又由56S S <得6560S S a -=>,则有760d a a =-<,故A 错误;而C 选项,95S S >,即67890a a a a +++>,可得()7820a a +>,又由70a =且0d <,则80a <,必有780a a +<,显然C 选项是错误的.∵56S S <,678S S S =>,∴6S 与7S 均为n S 的最大值,故D 正确;故选:BD.【点睛】本题考查了等差数列以及前n 项和的性质,需熟记公式,属于基础题.27.BCD【分析】根据定义以及举特殊数列来判断各选项中结论的正误.【详解】对于A 选项,取n a n =,则()()()422444221111n n a a n n n n n n +⎡⎤⎡⎤-=+-=+-⋅++⎣⎦⎣⎦()()221221n n n =+++不是常数,则{}2n a 不是等方差数列,A 选项中的结论错误;对于B 选项,()()22111110n n +⎡⎤⎡⎤---=-=⎣⎦⎣⎦为常数,则(){}1n -是等方差数列,B 选项中的结论正确;对于C 选项,若{}n a 是等方差数列,则存在常数p R ∈,使得221n n a a p +-=,则数列{}2n a 为等差数列,所以()221kn k n a a kp +-=,则数列{}kn a (*k N ∈,k 为常数)也是等方差数列,C 选项中的结论正确;对于D 选项,若数列{}n a 为等差数列,设其公差为d ,则存在m R ∈,使得n a dn m =+,则()()()()2221112222n n n n n n a a a a a a d dn m d d n m d d +++-=-+=++=++, 由于数列{}n a 也为等方差数列,所以,存在实数p ,使得221n n a a p +-=,则()222d n m d d p ++=对任意的n *∈N 恒成立,则()2202d m d d p ⎧=⎪⎨+=⎪⎩,得0p d ==, 此时,数列{}n a 为常数列,D 选项正确.故选BCD.【点睛】本题考查数列中的新定义,解题时要充分利用题中的定义进行判断,也可以结合特殊数列来判断命题不成立,考查逻辑推理能力,属于中等题.28.ABD【分析】结合等差数列的性质、前n 项和公式,及题中的条件,可选出答案.【详解】由67S S =,可得7670S S a -==,故B 正确;由56S S <,可得6560S S a -=>,由78S S >,可得8780S S a -=<,所以876a a a <<,故等差数列{}n a 是递减数列,即0d <,故A 正确;又()9567897820S S a a a a a a -=+++=+<,所以95S S <,故C 不正确; 又因为等差数列{}n a 是单调递减数列,且80a <,所以90a <,所以()117179171702a a S a +==<,故D 正确.故选:ABD.【点睛】关键点点睛:本题考查等差数列性质的应用,解题的关键是熟练掌握等差数列的增减性及前n 项和的性质,本题要从题中条件入手,结合公式()12n n n a S S n --≥=,及()12n n n a a S +=,对选项逐个分析,可判断选项是否正确.考查学生的运算求解能力与逻辑推理能力,属于中档题.29.ABD【分析】 首项根据11,121n n n a a a a +==+得到1112n n a a +-=,从而得到1n a ⎧⎫⎨⎬⎩⎭是以首项为1,公差为2的等差数列,再依次判断选项即可.【详解】对选项A ,因为121n n n a a a +=+,11a =, 所以121112n n n n a a a a ++==+,即1112n na a +-= 所以1n a ⎧⎫⎨⎬⎩⎭是以首项为1,公差为2的等差数列,故A 正确. 对选项B ,由A 知:112121n n n a 数列1n a ⎧⎫⎨⎬⎩⎭的前n 项和()21212n n n S n +-==,故B 正确. 对选项C ,因为121n n a =-,所以121n a n =-,故C 错误. 对选项D ,因为121n a n =-,所以数列{}n a 为递减数列,故D 正确. 故选:ABD【点睛】本题主要考查等差数列的通项公式和前n 项和前n 项和,同时考查了递推公式,属于中档题.30.AC【分析】利用等差数列{}n a 的前n 项和公式、通项公式列出方程组,求出11a =,2d =,由此能求出n a 与n S .【详解】等差数列{}n a 的前n 项和为n S .39S =,47a =, ∴31413239237S a d a a d ⨯⎧=+=⎪⎨⎪=+=⎩, 解得11a =,2d =,1(1)221n a n n ∴+-⨯=-=.()21212n n n S n +-== 故选:AC .【点睛】本题考查等差数列的通项公式求和公式的应用,考查等差数列的性质等基础知识,考查运算求解能力,是基础题.。
一、等差数列选择题1.记n S 为等差数列{}n a 的前n 项和.若5620a a +=,11132S =,则{}n a 的公差为( ) A .2B .43C .4D .4-2.定义12nnp p p +++为n 个正数12,,,n p p p 的“均倒数”,若已知数列{}n a 的前n 项的“均倒数”为12n ,又2n n a b =,则1223910111b b b b b b +++=( ) A .817 B .1021C .1123 D .9193.已知n S 为等差数列{}n a 的前n 项和,3518a S +=,633a a =+,则n a =( ) A .1n -B .nC .21n -D .2n4.已知等差数列{a n }的前n 项和为S n ,则下列判断错误的是( ) A .S 5,S 10-S 5,S 15-S 10必成等差数列 B .S 2,S 4-S 2,S 6-S 4必成等差数列 C .S 5,S 10,S 15+S 10有可能是等差数列D .S 2,S 4+S 2,S 6+S 4必成等差数列5.等差数列{}n a 中,12318192024,78a a a a a a ++=-++=,则此数列的前20项和等于( ) A .160B .180C .200D .2206.已知数列{}n a 的前n 项和n S 满足()12n n n S +=,则数列11n n a a +⎧⎫⎨⎬⎩⎭的前10项的和为( ) A .89B .910C .1011D .11127.已知数列{}n a 为等差数列,2628a a +=,5943a a +=,则10a =( ) A .29B .38C .40D .588.等差数列{}n a 的前n 项和为n S ,若12a =,315S =,则8a =( ) A .11B .12C .23D .249.设等差数列{}n a 的前n 项和为n S ,公差1d =,且6210S S ,则34a a +=( )A .2B .3C .4D .510.已知数列{}n a 是公差不为零的等差数列,且1109a a a +=,则12910a a a a ++⋅⋅⋅+=( ) A .278B .52C .3D .411.数学著作《孙子算经》中有这样一个问题:“今有物不知其数,三三数之剩二(除以3余2),五五数之剩三(除以5余3),问物几何?”现将1到2020共2020个整数中,同时满足“三三数之剩二,五五数之剩三”的数按从小到大的顺序排成一列,构成数列{},n a 则该数列共有( ) A .132项B .133项C .134项D .135项12.已知{}n a 是公差为2的等差数列,前5项和525S =,若215m a =,则m =( ) A .4B .6C .7D .813.“中国剩余定理”又称“孙子定理”,1852年英国来华传教伟烈亚力将《孙子算经》中“物不知数”问题的解法传至欧洲.1874年,英国数学家马西森指出此法符合1801年由高斯得出的关于同余式解法的一般性定理,因而西方称之为“中国剩余定理”.“中国剩余定理”讲的是一个关于整除的问题,现有这样一个整除问题:将正整数中能被3除余2且被7除余2的数按由小到大的顺序排成一列,构成数列{} n a ,则5a =( ) A .103B .107C .109D .105 14.设等差数列{}n a 的公差d ≠0,前n 项和为n S ,若425S a =,则99S a =( ) A .9B .5C .1D .5915.记n S 为等差数列{}n a 的前n 项和,若542S S =,248a a +=,则5a 等于( ) A .6B .7C .8D .1016.已知等差数列{}n a 的前n 项和为n S ,且310179a a a ++=,则19S =( ) A .51B .57C .54D .7217.已知等差数列{}n a 中,7916+=a a ,41a =,则12a 的值是( ) A .15B .30C .3D .6418.已知数列{}n a 的前n 项和()2*n S n n N =∈,则{}na 的通项公式为( )A .2n a n =B .21n a n =-C .32n a n =-D .1,12,2n n a n n =⎧=⎨≥⎩19.《九章算术》是我国古代的数学名著,书中有如下问题:“今有五人分五钱,令上二人所得与下三人等.问各得几何.”其意思为“已知甲、乙、丙、丁、戊五人分5钱,甲、乙两人所得与丙、丁、戊三人所得相同,且甲、乙、丙、丁、戊所得依次成等差数列.问五人各得多少钱?”(“钱”是古代的一种重量单位).这个问题中,戊所得为( ) A .54钱 B .43钱 C .23钱 D .53钱 20.已知数列{}n a ,{}n b 都是等差数列,记n S ,n T 分别为{}n a ,{}n b 的前n 项和,且713n n S n T n -=,则55a b =( )A .3415B .2310C .317D .6227二、多选题21.意大利著名数学家斐波那契在研究兔子繁殖问题时,发现有这样一列数:1,1,2,3,5,….,其中从第三项起,每个数等于它前面两个数的和,后来人们把这样的一列数组成的数列{}n a 称为“斐波那契数列”,记n S 为数列{}n a 的前n 项和,则下列结论正确的是( ) A .68a =B .733S =C .135********a a a a a +++⋅⋅⋅+=D .22212201920202019a a a a a ++⋅⋅⋅⋅⋅⋅+= 22.已知数列{}n a 的前n 项和为()0n n S S ≠,且满足11140(2),4n n n a S S n a -+=≥=,则下列说法正确的是( )A .数列{}n a 的前n 项和为1S 4n n=B .数列{}n a 的通项公式为14(1)n a n n =+C .数列{}n a 为递增数列D .数列1{}nS 为递增数列23.题目文件丢失!24.若不等式1(1)(1)2n na n+--<+对于任意正整数n 恒成立,则实数a 的可能取值为( ) A .2- B .1- C .1 D .225.首项为正数,公差不为0的等差数列{}n a ,其前n 项和为n S ,则下列4个命题中正确的有( )A .若100S =,则50a >,60a <;B .若412S S =,则使0n S >的最大的n 为15;C .若150S >,160S <,则{}n S 中7S 最大;D .若89S S <,则78S S <. 26.已知数列{}2nna n +是首项为1,公差为d 的等差数列,则下列判断正确的是( ) A .a 1=3 B .若d =1,则a n =n 2+2n C .a 2可能为6D .a 1,a 2,a 3可能成等差数列27.公差不为零的等差数列{}n a 满足38a a =,n S 为{}n a 前n 项和,则下列结论正确的是( ) A .110S =B .10n n S S -=(110n ≤≤)C .当110S >时,5n S S ≥D .当110S <时,5n S S ≥28.设{}n a 是等差数列,n S 是其前n 项和,且56678,S S S S S <=>,则下列结论正确的是( ) A .0d < B .70a =C .95S S >D .67n S S S 与均为的最大值29.下面是关于公差0d >的等差数列{}n a 的四个命题,其中的真命题为( ). A .数列{}n a 是递增数列 B .数列{}n na 是递增数列 C .数列{}na n是递增数列 D .数列{}3n a nd +是递增数列30.已知数列{}n a 满足:13a =,当2n ≥时,)211n a =-,则关于数列{}n a 说法正确的是( )A .28a =B .数列{}n a 为递增数列C .数列{}n a 为周期数列D .22n a n n =+【参考答案】***试卷处理标记,请不要删除一、等差数列选择题 1.C 【分析】由等差数列前n 项和公式以及等差数列的性质可求得6a ,再由等差数列的公式即可求得公差. 【详解】 解:()11111611111322a a S a+⨯===,612a ∴=,又5620a a +=,58a ∴=,654d a a ∴=-=.故选:C . 2.D【分析】由题意结合新定义的概念求得数列的前n 项和,然后利用前n 项和求解通项公式,最后裂项求和即可求得最终结果. 【详解】设数列{}n a 的前n 项和为n S ,由题意可得:12n n S n=,则:22n S n =, 当1n =时,112a S ==,当2n ≥时,142n n n a S S n -=-=-, 且14122a =⨯-=,据此可得 42n a n =-, 故212nn a b n ==-,()()111111212122121n n b b n n n n +⎛⎫==- ⎪-+-+⎝⎭, 据此有:12239101111111111233517191.21891919b b b b b b +++⎡⎤⎛⎫⎛⎫⎛⎫=-+-++- ⎪ ⎪ ⎪⎢⎥⎝⎭⎝⎭⎝⎭⎣⎦=⨯= 故选:D 3.B 【分析】根据条件列出关于首项和公差的方程组,求解出首项和公差,则等差数列{}n a 的通项公式可求. 【详解】因为3518a S +=,633a a =+,所以11161218523a d a d a d +=⎧⎨+=++⎩, 所以111a d =⎧⎨=⎩,所以()111n a n n =+-⨯=, 故选:B. 4.D 【分析】根据等差数列的性质,可判定A 、B 正确;当首项与公差均为0时,可判定C 正确;当首项为1与公差1时,可判定D 错误. 【详解】由题意,数列{}n a 为等差数列,n S 为前n 项和,根据等差数列的性质,可得而51051510,,S S S S S --,和24264,,S S S S S --构成等差数列,所以,所以A ,B 正确;当首项与公差均为0时,5101510,,S S S S +是等差数列,所以C 正确;当首项为1与公差1时,此时2426102,31,86S S S S S =+=+=,此时24264,,S S S S S ++不构成等差数列,所以D 错误. 故选:D. 5.B 【分析】把已知的两式相加得到12018a a +=,再求20S 得解. 【详解】由题得120219318()()()247854a a a a a a +++++=-+=, 所以1201203()54,18a a a a +=∴+=. 所以2012020()10181802S a a =+=⨯=. 故选:B 6.C 【分析】首先根据()12n n n S +=得到n a n =,设11111n n n b a a n n +==-+,再利用裂项求和即可得到答案. 【详解】当1n =时,111a S ==, 当2n ≥时,()()11122n n n n n n n a S S n -+-=-=-=. 检验111a S ==,所以n a n =. 设()1111111n n n b a a n n n n +===-++,前n 项和为n T , 则10111111101122310111111T ⎛⎫⎛⎫⎛⎫=-+-++-=-= ⎪ ⎪ ⎪⎝⎭⎝⎭⎝⎭…. 故选:C 7.A 【分析】根据等差中项的性质,求出414a =,再求10a ; 【详解】因为{}n a 为等差数列,所以264228a a a +==, ∴414a =.由59410a a a a +=+43=,得1029a =, 故选:A.8.C 【分析】由题设求得等差数列{}n a 的公差d ,即可求得结果. 【详解】32153S a ==,25a ∴=, 12a =,∴公差213d a a =-=, 81727323a a d ∴=+=+⨯=,故选:C. 9.B 【分析】根据等差数列的性质,由题中条件,可直接得出结果. 【详解】因为n S 为等差数列{}n a 的前n 项和,公差1d =,6210S S ,所以()()6543434343222410a a a a a d a d a a a a +++=+++++=++=, 解得343a a +=. 故选:B. 10.A 【分析】根据数列{}n a 是等差数列,且1109a a a +=,求出首项和公差的关系,代入式子求解. 【详解】因为1109a a a +=, 所以11298a d a d +=+, 即1a d =-, 所以()11295101019927278849a a a a a d a a d d a d ++⋅⋅⋅+====++.故选:A 11.D 【分析】由题意抽象出数列是等差数列,再根据通项公式计算项数. 【详解】被3除余2且被5除余3的数构成首项为8,公差为15的等差数列,记为{}n a ,则()8151157n a n n =+-=-,令1572020n a n =-≤,解得:213515n ≤, 所以该数列的项数共有135项. 故选:D 【点睛】关键点点睛:本题以数学文化为背景,考查等差数列,本题的关键是读懂题意,并能抽象出等差数列. 12.A 【分析】由525S =求出1a ,从而可求出数列的通项公式,进而可求出m 的值 【详解】 解:由题意得15452252a ⨯+⨯=,解得11a =, 所以1(1)12(1)21n a a n d n n =+-=+-=-, 因为215m a =,所以22115m ⋅-=,解得4m =, 故选:A 13.B 【分析】根据题意可知正整数能被21整除余2,即可写出通项,求出答案. 【详解】根据题意可知正整数能被21整除余2,21+2n a n ∴=, 5215+2107a ∴=⨯=.故选:B. 14.B 【分析】由已知条件,结合等差数列通项公式得1a d =,即可求99S a . 【详解】4123425S a a a a a =+++=,即有13424a a a a ++=,得1a d =,∴1999()452a a S d ⨯+==,99a d =,且0d ≠, ∴995S a =. 故选:B 15.D 【分析】由等差数列的通项公式及前n 项和公式求出1a 和d ,即可求得5a . 【详解】解:设数列{}n a 的首项为1a ,公差为d , 则由542S S =,248a a +=,得:111154435242238a d a d a d a d ⨯⨯⎛⎫+=+ ⎪⎝⎭+++=⎧⎪⎨⎪⎩,即{1132024a d a d +-+=, 解得:{123a d =-=,51424310a a d ∴=+=-+⨯=.故选:D. 16.B 【分析】根据等差数列的性质求出103a =,再由求和公式得出答案. 【详解】317102a a a += 1039a ∴=,即103a =()1191019191921935722a a a S +⨯∴===⨯=故选:B 17.A 【分析】设等差数列{}n a 的公差为d ,根据等差数列的通项公式列方程组,求出1a 和d 的值,12111a a d =+,即可求解.【详解】设等差数列{}n a 的公差为d ,则111681631a d a d a d +++=⎧⎨+=⎩,即117831a d a d +=⎧⎨+=⎩ 解得:174174d a ⎧=⎪⎪⎨⎪=-⎪⎩,所以12117760111115444a a d =+=-+⨯==, 所以12a 的值是15, 故选:A 18.B 【分析】利用1n n n a S S -=-求出2n ≥时n a 的表达式,然后验证1a 的值是否适合,最后写出n a 的式子即可. 【详解】2n S n =,∴当2n ≥时,221(1)21n n n a S S n n n -=-=--=-,当1n =时,111a S ==,上式也成立,()*21n a n n N ∴=-∈,故选:B. 【点睛】易错点睛:本题考查数列通项公式的求解,涉及到的知识点有数列的项与和的关系,即11,1,2n nn S n a S S n -=⎧=⎨-≥⎩,算出之后一定要判断1n =时对应的式子是否成立,最后求得结果,考查学生的分类思想与运算求解能力,属于基础题. 19.C 【分析】根据甲、乙、丙、丁、戊所得依次成等差数列,设甲、乙、丙、丁、戊所得钱分别为2a d -,a d -,a ,a d +,2a d +,然后再由五人钱之和为5,甲、乙的钱与与丙、丁、戊的钱相同求解. 【详解】设甲、乙、丙、丁、戊所得钱分别为2a d -,a d -,a ,a d +,2a d +,则根据题意有(2)()()(2)5(2)()()(2)a d a d a a d a d a d a d a a d a d -+-+++++=⎧⎨-+-=++++⎩,解得116a d =⎧⎪⎨=-⎪⎩,所以戊所得为223a d +=, 故选:C . 20.D 【分析】利用等差数列的性质以及前n 项和公式即可求解. 【详解】 由713n n S n T n-=, ()()19551991955199927916229239272a a a a a a Sb b b b b b T ++⨯-======++⨯. 故选:D二、多选题21.ABCD 【分析】由题意可得数列{}n a 满足递推关系12211,1,(3)n n n a a a a a n --===+≥,对照四个选项可得正确答案. 【详解】对A ,写出数列的前6项为1,1,2,3,5,8,故A 正确; 对B ,71123581333S =++++++=,故B 正确;对C ,由12a a =,342a a a =-,564a a a =-,……,201920202018a a a =-, 可得:135********a a a a a +++⋅⋅⋅+=.故1352019a a a a +++⋅⋅⋅+是斐波那契数列中的第2020项.对D ,斐波那契数列总有21n n n a a a ++=+,则2121a a a =,()222312321a a a a a a a a =-=-,()233423423a a a a a a a a =-=-,……,()220182018201920172018201920172018a a a a a a a a =-=-,220192019202020192018a a a a a =-2222123201920192020a a a a a a +++⋅⋅⋅⋅⋅⋅+=,故D 正确;故选:ABCD. 【点睛】本题以“斐波那契数列”为背景,考查数列的递推关系及性质,考查方程思想、转化与化归思想,考查逻辑推理能力和运算求解能力,求解时注意递推关系的灵活转换. 22.AD 【分析】先根据和项与通项关系化简条件,再构造等差数列,利用等差数列定义与通项公式求S n ,最后根据和项与通项关系得n a . 【详解】11140(2),40n n n n n n n a S S n S S S S ---+=≥∴-+= 11104n n n S S S -≠∴-= 因此数列1{}n S 为以114S =为首项,4为公差的等差数列,也是递增数列,即D 正确; 所以1144(1)44n n n n S S n=+-=∴=,即A 正确; 当2n ≥时111144(1)4(1)n n n a S S n n n n -=-=-=--- 所以1,141,24(1)n n a n n n ⎧=⎪⎪=⎨⎪-≥-⎪⎩,即B ,C 不正确;故选:AD【点睛】本题考查由和项求通项、等差数列定义与通项公式以及数列单调性,考查基本分析论证与求解能力,属中档题.23.无24.ABC 【分析】根据不等式1(1)(1)2n na n +--<+对于任意正整数n 恒成立,即当n 为奇数时有12+a n-<恒成立,当n 为偶数时有12a n<-恒成立,分别计算,即可得解. 【详解】根据不等式1(1)(1)2n na n +--<+对于任意正整数n 恒成立, 当n 为奇数时有:12+a n-<恒成立,由12+n 递减,且1223n<+≤,所以2a -≤,即2a ≥-, 当n 为偶数时有:12a n<-恒成立, 由12n -第增,且31222n ≤-<, 所以32a <, 综上可得:322a -≤<, 故选:ABC . 【点睛】本题考查了不等式的恒成立问题,考查了分类讨论思想,有一定的计算量,属于中当题. 25.ABD 【分析】利用等差数列的求和公式及等差数列的性质,逐一检验选项,即可得答案. 【详解】对于A :因为正数,公差不为0,且100S =,所以公差0d <, 所以1101010()02a a S +==,即1100a a +=, 根据等差数列的性质可得561100a a a a +=+=,又0d <, 所以50a >,60a <,故A 正确;对于B :因为412S S =,则1240S S -=,所以561112894()0a a a a a a ++⋅⋅⋅++=+=,又10a >, 所以890,0a a ><, 所以115815815()15215022a a a S a +⨯===>,116891616()16()022a a a a S ++===, 所以使0n S >的最大的n 为15,故B 正确; 对于C :因为115815815()15215022a a a S a +⨯===>,则80a >, 116891616()16()022a a a a S ++===,则890a a +=,即90a <, 所以则{}n S 中8S 最大,故C 错误;对于D :因为89S S <,则9980S a S =->,又10a >, 所以8870a S S =->,即87S S >,故D 正确, 故选:ABD 【点睛】解题的关键是先判断d 的正负,再根据等差数列的性质,对求和公式进行变形,求得项的正负,再分析和判断,考查等差数列性质的灵活应用,属中档题. 26.ACD 【分析】利用等差数列的性质和通项公式,逐个选项进行判断即可求解 【详解】 因为1112a =+,1(1)2n n a n d n =+-+,所以a 1=3,a n =[1+(n -1)d ](n +2n ).若d =1,则a n =n (n +2n );若d =0,则a 2=6.因为a 2=6+6d ,a 3=11+22d ,所以若a 1,a 2,a 3成等差数列,则a 1+a 3=a 2,即14+22d =12+12d ,解得15d =-. 故选ACD 27.BC 【分析】 设公差d 不为零,由38a a =,解得192a d =-,然后逐项判断.【详解】 设公差d 不为零, 因为38a a =,所以1127a d a d +=+, 即1127a d a d +=--,解得192a d =-,11191111551155022S a d d d d ⎛⎫=+=⨯-+=≠ ⎪⎝⎭,故A 错误;()()()()()()221101110910,10102222n n n n n n d dna d n n n a n n S S d ----=+=-=-+=-,故B 正确;若11191111551155022S a d d d d ⎛⎫=+=⨯-+=> ⎪⎝⎭,解得0d >,()()22510525222n d d d n n S n S =-=--≥,故C 正确;D 错误; 故选:BC 28.ABD 【分析】 由1n n n S S a --=()2n ≥,判断6780,0,0a a a >=<,再依次判断选项. 【详解】因为5665600S S S S a <⇒->⇒>,677670S S S S a =⇒-==,788780S S S S a >⇒-=<,所以数列{}n a 是递减数列,故0d <,AB 正确;()9567897820S S a a a a a a -=+++=+<,所以95S S <,故C 不正确;由以上可知数列{}n a 是单调递减数列,因为6780,0,0a a a >=<可知,67n S S S 与均为的最大值,故D 正确. 故选:ABD 【点睛】本题考查等差数列的前n 项和的最值,重点考查等差数列的性质,属于基础题型. 29.AD 【分析】根据等差数列的性质,对四个选项逐一判断,即可得正确选项. 【详解】0d >,10n n a a d +-=> ,所以{}n a 是递增数列,故①正确,()()2111n na n a n d dn a d n =+-=+-⎡⎤⎣⎦,当12d a n d -<时,数列{}n na 不是递增数列,故②不正确, 1n a a d d n n -=+,当10a d -<时,{}n a n 不是递增数列,故③不正确, 134n a nd nd a d +=+-,因为0d >,所以{}3n a nd +是递增数列,故④正确,故选:AD 【点睛】本题主要考查了等差数列的性质,属于基础题. 30.ABD 【分析】由已知递推式可得数列2=,公差为1的等差数列,结合选项可得结果. 【详解】)211n a =-得)211n a +=,1=,即数列2=,公差为1的等差数列,2(1)11n n =+-⨯=+,∴22n a n n =+,得28a =,由二次函数的性质得数列{}n a 为递增数列,所以易知ABD 正确, 故选:ABD. 【点睛】本题主要考查了通过递推式得出数列的通项公式,通过通项公式研究数列的函数性质,属于中档题.。
一、等差数列选择题1.已知等差数列{}n a 的公差d 为正数,()()111,211,n n n a a a tn a t +=+=+为常数,则n a =( )A .21n -B .43n -C .54n -D .n2.等差数列{}n a 的公差为2,若248,,a a a 成等比数列,则9S =( ) A .72B .90C .36D .453.中国古代数学著作《九章算术》中有如下问题:“今有金箠,长五尺,斩本一尺,重四斤,斩末一尺,重二斤.问次一尺各重几何?” 意思是:“现有一根金锤,长五尺,一头粗一头细.在粗的一端截下一尺,重四斤;在细的一端截下一尺,重二斤.问依次每一尺各重几斤?”根据已知条件,若金箠由粗到细是均匀变化的,中间三尺的重量为( ) A .3斤B .6斤C .9斤D .12斤4.已知n S 为等差数列{}n a 的前n 项和,3518a S +=,633a a =+,则n a =( ) A .1n - B .n C .21n - D .2n 5.在等差数列{a n }中,a 3+a 7=4,则必有( )A .a 5=4B .a 6=4C .a 5=2D .a 6=26.等差数列{}n a 的前n 项和为n S ,若12a =,315S =,则8a =( ) A .11B .12C .23D .247.已知等差数列{}n a 中,5470,0a a a >+<,则{}n a 的前n 项和n S 的最大值为( ) A .4SB .5SC . 6SD . 7S8.已知等差数列{}n a 中,前n 项和215n S n n =-,则使n S 有最小值的n 是( )A .7B .8C .7或8D .99.南宋数学家杨辉《详解九张算法》和《算法通变本末》中,提出垛积公式,所讨论的高阶等差数列与一般等差数列不同,前后两项之差不相等,但是逐项差数之差或者高次成等差数列.在杨辉之后一般称为“块积术”.现有高阶等差数列,其前7项分别1,7,15,27,45,71,107,则该数列的第8项为( ) A .161B .155C .141D .13910.《张丘建算经》卷上第22题为:“今有女善织,日益功疾(注:从第2天开始,每天比前一天多织相同量的布),第一天织5尺布,现一月(按30天计)共织390尺”,则从第2天起每天比前一天多织( ) A .12尺布 B .518尺布 C .1631尺布 D .1629尺布 11.已知正项数列{}n a 满足11a =,1111114n n n n a a a a ++⎛⎫⎛⎫+-=⎪⎪⎝⎭⎝⎭,数列{}n b 满足1111n n nb a a +=+,记{}n b 的前n 项和为n T ,则20T 的值为( ) A .1B .2C .3D .412.在等差数列{}n a 中,若n S 为其前n 项和,65a =,则11S 的值是( ) A .60B .11C .50D .5513.等差数列{}n a 的前n 项和为n S ,已知58a =,36S =,则107S S -的值是( ) A .48B .60C .72D .2414.已知{}n a 是公差为2的等差数列,前5项和525S =,若215m a =,则m =( ) A .4B .6C .7D .815.设等差数列{}n a 的前n 项之和为n S ,已知10100S =,则47a a +=( ) A .12B .20C .40D .10016.已知等差数列{}n a 的前n 项和为n S ,且2n S n =.定义数列{}n b 如下:()*1m m b m m+∈N 是使不等式()*n a m m ≥∈N 成立的所有n 中的最小值,则13519 b b b b ++++=( )A .25B .50C .75D .10017.在等差数列{}n a 中,已知前21项和2163S =,则25820a a a a ++++的值为( )A .7B .9C .21D .4218.在1与25之间插入五个数,使其组成等差数列,则这五个数为( )A .3、8、13、18、23B .4、8、12、16、20C .5、9、13、17、21D .6、10、14、18、2219.数学著作《孙子算经》中有这样一个问题:“今有物不知其数,三三数之剩二(除以3余2),五五数之剩三(除以5余3),问物几何?”现将1到2020共2020个整数中,同时满足“三三数之剩二,五五数之剩三”的数按从小到大的顺序排成一列,构成数列{},n a 则该数列共有( ) A .132项B .133项C .134项D .135项20.已知数列{}n a 中,132a =,且满足()*1112,22n n n a a n n N -=+≥∈,若对于任意*n N ∈,都有n a nλ≥成立,则实数λ的最小值是( ) A .2B .4C .8D .16二、多选题21.等差数列{}n a 的前n 项和为n S ,1385a a S +=,则下列结论一定正确的是( ) A .100a = B .911a a = C .当9n =或10时,n S 取得最大值D .613S S =22.在等差数列{}n a 中,公差0d ≠,前n 项和为n S ,则( ) A .4619a a a a >B .130S >,140S <,则78a a >C .若915S S =,则n S 中的最大值是12SD .若2n S n n a =-+,则0a =23.已知数列{}n a 中,11a =,1111n n a a n n +⎛⎫-=+ ⎪⎝⎭,*n N ∈.若对于任意的[]1,2t ∈,不等式()22212na t a t a a n<--++-+恒成立,则实数a 可能为( ) A .-4B .-2C .0D .224.已知数列{}n a 满足112a =-,111n n a a +=-,则下列各数是{}n a 的项的有( )A .2-B .23C .32D .325.设等差数列{}n a 的前n 项和为n S .若30S =,46a =,则( ) A .23n S n n =- B .2392-=n n nSC .36n a n =-D .2n a n =26.等差数列{}n a 的前n 项和记为n S ,若10a >,717S S =,则( ) A .0d < B .120a > C .13n S S ≤D .当且仅当0nS <时,26n ≥27.已知无穷等差数列{}n a 的前n 项和为n S ,67S S <,且78S S >,则( ) A .在数列{}n a 中,1a 最大 B .在数列{}n a 中,3a 或4a 最大 C .310S S =D .当8n ≥时,0n a <28.等差数列{}n a 的首项10a >,设其前n 项和为{}n S ,且611S S =,则( ) A .0d > B .0d < C .80a = D .n S 的最大值是8S 或者9S29.记n S 为等差数列{}n a 的前n 项和.已知535S =,411a =,则( ) A .45n a n =-B .23n a n =+C .223n S n n =-D .24n S n n =+30.下列命题正确的是( )A .给出数列的有限项就可以唯一确定这个数列的通项公式B .若等差数列{}n a 的公差0d >,则{}n a 是递增数列C .若a ,b ,c 成等差数列,则111,,a b c可能成等差数列 D .若数列{}n a 是等差数列,则数列{}12++n n a a 也是等差数列【参考答案】***试卷处理标记,请不要删除一、等差数列选择题 1.A 【分析】由已知等式分别求出数列的前三项,由2132a a a =+列出方程,求出公差,利用等差数列的通项公式求解可得答案. 【详解】11a =,()()1211n n n a a tn a ++=+,令1n =,则()()121211a a t a +=+,解得21a t =-令2n =,则()()2322121a a t a +=+,即()2311t a t -=-,若1t =,则20,1a d ==,与已知矛盾,故解得31a t =+{}n a 等差数列,2132a a a ∴=+,即()2111t t -=++,解得4t =则公差212d a a =-=,所以()1121n a a n d n =+-=-. 故选:A 2.B 【分析】由题意结合248,,a a a 成等比数列,有2444(4)(8)a a a =-+即可得4a ,进而得到1a 、n a ,即可求9S . 【详解】由题意知:244a a =-,848a a =+,又248,,a a a 成等比数列,∴2444(4)(8)a a a =-+,解之得48a =,∴143862a a d =-=-=,则1(1)2n a a n d n =+-=,∴99(229)902S ⨯+⨯==,故选:B 【点睛】思路点睛:由其中三项成等比数列,利用等比中项性质求项,进而得到等差数列的基本量 1、由,,m k n a a a 成等比,即2k m n a a a =; 2、等差数列前n 项和公式1()2n n n a a S +=的应用. 3.C 【分析】根据题意转化成等差数列问题,再根据等差数列下标的性质求234a a a ++. 【详解】由题意可知金锤每尺的重量成等差数列,设细的一端的重量为1a ,粗的一端的重量为5a ,可知12a =,54a =,根据等差数列的性质可知1533263a a a a +==⇒=, 中间三尺为234339a a a a ++==. 故选:C 【点睛】本题考查数列新文化,等差数列的性质,重点考查理解题意,属于基础题型. 4.B 【分析】根据条件列出关于首项和公差的方程组,求解出首项和公差,则等差数列{}n a 的通项公式可求. 【详解】因为3518a S +=,633a a =+,所以11161218523a d a d a d +=⎧⎨+=++⎩, 所以111a d =⎧⎨=⎩,所以()111n a n n =+-⨯=,故选:B. 5.C 【分析】利用等差数列的性质直接计算求解 【详解】因为a 3+a 7=2a 5=4,所以a 5=2. 故选:C 6.C 【分析】由题设求得等差数列{}n a 的公差d ,即可求得结果. 【详解】32153S a ==,25a ∴=,12a =,∴公差213d a a =-=, 81727323a a d ∴=+=+⨯=,故选:C. 7.B 【分析】根据已知条件判断0n a >时对应的n 的范围,由此求得n S 的最大值. 【详解】依题意556475600000a a a a a a a d >⎧>⎧⎪⇒<⎨⎨+=+<⎩⎪<⎩,所以015n a n >⇒≤≤, 所以{}n a 的前n 项和n S 的最大值为5S . 8.C 【分析】215n S n n =-看作关于n 的二次函数,结合二次函数的图象与性质可以求解.【详解】22152251524n S n nn ⎛⎫=-=--⎪⎝⎭,∴数列{}n S 的图象是分布在抛物线21522524y x ⎛⎫=--⎪⎝⎭上的横坐标为正整数的离散的点.又抛物线开口向上,以152x =为对称轴,且1515|7822-=-|, 所以当7,8n =时,n S 有最小值. 故选:C 9.B 【分析】画出图形分析即可列出式子求解. 【详解】所给数列为高阶等差数列,设该数列的第8项为x ,根据所给定义:用数列的后一项减去前一项得到一个新数列,得到的新数列也用后一项减去前一项得到一个新数列,即得到了一个等差数列,如图:由图可得:3612107y x y -=⎧⎨-=⎩ ,解得15548x y =⎧⎨=⎩.故选:B. 10.D 【分析】设该女子第()N n n *∈尺布,前()N n n *∈天工织布n S 尺,则数列{}n a 为等差数列,设其公差为d ,根据15a =,30390S =可求得d 的值. 【详解】设该女子第()N n n *∈尺布,前()N n n *∈天工织布n S 尺,则数列{}n a 为等差数列,设其公差为d ,由题意可得30130293015015293902S a d d ⨯=+=+⨯=,解得1629d =.故选:D. 11.B 【分析】 由题意可得221114n n a a +-=,运用等差数列的通项公式可得2143n n a =-,求得14n b =,然后利用裂项相消求和法可求得结果【详解】解:由11a =,1111114n n n n a a a a ++⎛⎫⎛⎫+-=⎪⎪⎝⎭⎝⎭,得221114n n a a +-=, 所以数列21n a ⎧⎫⎨⎬⎩⎭是以4为公差,以1为首项的等差数列, 所以2114(1)43n n n a =+-=-, 因为0n a >,所以n a =,所以1111n n nb a a +=+=所以14n b ==,所以201220T b b b =++⋅⋅⋅+111339(91)244=++⋅⋅⋅+=⨯-=, 故选:B【点睛】关键点点睛:此题考查由数列的递推式求数列的前n 项和,解题的关键是由已知条件得221114n n a a +-=,从而数列21n a ⎧⎫⎨⎬⎩⎭是以4为公差,以1为首项的等差数列,进而可求n a =,14n b ==,然后利用裂项相消法可求得结果,考查计算能力和转化思想,属于中档题 12.D 【分析】根据题中条件,由等差数列的性质,以及等差数列的求和公式,即可求出结果. 【详解】因为在等差数列{}n a 中,若n S 为其前n 项和,65a =, 所以()1111161111552a a S a +===.故选:D. 13.A 【分析】根据条件列方程组,求首项和公差,再根据107891093S S a a a a -=++=,代入求值. 【详解】由条件可知114832362a d a d +=⎧⎪⎨⨯+=⎪⎩,解得:102a d =⎧⎨=⎩, ()10789109133848S S a a a a a d -=++==+=.故选:A 14.A 【分析】由525S =求出1a ,从而可求出数列的通项公式,进而可求出m 的值 【详解】 解:由题意得15452252a ⨯+⨯=,解得11a =, 所以1(1)12(1)21n a a n d n n =+-=+-=-, 因为215m a =,所以22115m ⋅-=,解得4m =, 故选:A 15.B 【分析】由等差数列的通项公式可得47129a a a d +=+,再由1011045100S a d =+=,从而可得【详解】 解:1011045100S a d =+=,12920a d ∴+=, 4712920a a a d ∴+=+=.故选:B. 16.B 【分析】先求得21n a n =-,根据n a m ≥,求得12m n +≥,进而得到21212k k b --=,结合等差数列的求和公式,即可求解. 【详解】由题意,等差数列{}n a 的前n 项和为n S ,且2n S n =,可得21n a n =-,因为n a m ≥,即21n m -≥,解得12m n +≥, 当21m k =-,(*k N ∈)时,1m m b k m +=,即()()11212m m m mk m b m m +===++, 即21212k k b --=, 从而()13519113519502b b b b ++++=++++=.故选:B. 17.C 【分析】利用等差数列的前n 项和公式可得1216a a +=,即可得113a =,再利用等差数列的性质即可求解. 【详解】设等差数列{}n a 的公差为d ,则()1212121632a a S +==, 所以1216a a +=,即1126a =,所以113a =, 所以()()()2582022051781411a a a a a a a a a a a ++++=++++++111111111122277321a a a a a =+++==⨯=,故选:C 【点睛】关键点点睛:本题的关键点是求出1216a a +=,进而得出113a =,()()()2582022051781411117a a a a a a a a a a a a ++++=++++++=即可求解.【分析】根据首末两项求等差数列的公差,再求这5个数字. 【详解】在1与25之间插入五个数,使其组成等差数列,则171,25a a ==,则712514716a a d --===-, 则这5个数依次是5,9,13,17,21. 故选:C 19.D 【分析】由题意抽象出数列是等差数列,再根据通项公式计算项数. 【详解】被3除余2且被5除余3的数构成首项为8,公差为15的等差数列,记为{}n a ,则()8151157n a n n =+-=-,令1572020n a n =-≤,解得:213515n ≤, 所以该数列的项数共有135项. 故选:D 【点睛】关键点点睛:本题以数学文化为背景,考查等差数列,本题的关键是读懂题意,并能抽象出等差数列. 20.A 【分析】 将11122n n n a a -=+变形为11221n n n n a a --=+,由等差数列的定义得出22n n n a +=,从而得出()22nn n λ+≥,求出()max22n n n +⎡⎤⎢⎥⎣⎦的最值,即可得出答案. 【详解】 因为2n ≥时,11122n n n a a -=+,所以11221n n n n a a --=+,而1123a = 所以数列{}2nn a 是首项为3公差为1的等差数列,故22nn a n =+,从而22n nn a +=. 又因为n a n λ≥恒成立,即()22n n n λ+≥恒成立,所以()max 22n n n λ+⎡⎤≥⎢⎥⎣⎦. 由()()()()()()()1*121322,221122nn nn n n n n n n n n n n +-⎧+++≥⎪⎪∈≥⎨+-+⎪≥⎪⎩N 得2n =所以()()2max2222222n n n +⨯+⎡⎤==⎢⎥⎣⎦,所以2λ≥,即实数λ的最小值是2 故选:A二、多选题21.ABD 【分析】由题意利用等差数列的通项公式、求和公式可得19a d =-,结合等差数列的性质,逐一判断即可得出结论. 【详解】∵等差数列{}n a 的前n 项和为n S ,1385a a S +=, ∴()111875282a a d a d ⨯++=+,解得19a d =-, 故10190a a d =+=,故A 正确;∵918a a d d d =+=-=,11110a a d d =+=,故有911a a =,故B 正确; 该数列的前n 项和()21119222n n n n S na d d d n -=+=-⋅ ,它的最值,还跟d 的值有关,故C 错误; 由于61656392S a d d ⨯=+=-,131131213392S a d d ⨯=+=-,故613S S =,故D 正确, 故选:ABD. 【点睛】思路点睛:利用等差数列的通项公式以及前n 项和公式进行化简,直接根据性质判断结果. 22.AD 【分析】对于A ,作差后利用等差数列的通项公式运算可得答案;对于B ,根据等差数列的前n 项和公式得到70a >和780a a +<, 进而可得80a <,由此可知78||||a a <,故B 不正确;对于C ,由915S S =得到,12130a a +=,然后分类讨论d 的符号可得答案; 对于D ,由n S 求出n a 及1a ,根据数列{}n a 为等差数列可求得0a =. 【详解】对于A ,因为46191111(3)(5)(8)a a a a a d a d a a d -=++-+215d =,且0d ≠,所以24619150a a a a d -=>,所以4619a a a a >,故A 正确;对于B ,因为130S >,140S <,所以77713()1302a a a +=>,即70a >,787814()7()02a a a a +=+<,即780a a +<,因为70a >,所以80a <,所以7878||||0a a a a -=+<,即78||||a a <,故B 不正确;对于C ,因为915S S =,所以101114150a a a a ++++=,所以12133()0a a +=,即12130a a +=,当0d >时,等差数列{}n a 递增,则12130,0a a <>,所以n S 中的最小值是12S ,无最大值;当0d <时,等差数列{}n a 递减,则12130,0a a ><,所以n S 中的最大值是12S ,无最小值,故C 不正确;对于D ,若2n S n n a =-+,则11a S a ==,2n ≥时,221(1)(1)n n n a S S n n a n n a -=-=-+--+--22n =-,因为数列{}n a 为等差数列,所以12120a a =⨯-==,故D 正确. 故选:AD 【点睛】关键点点睛:熟练掌握等差数列的通项公式、前n 项和公式是解题关键. 23.AB 【分析】 由题意可得11111n n a a n n n n +-=-++,利用裂项相相消法求和求出122n a n n=-<,只需()222122t a t a a --++-+≥对于任意的[]1,2t ∈恒成立,转化为()()210t a t a --+≤⎡⎤⎣⎦对于任意的[]1,2t ∈恒成立,然后将选项逐一验证即可求解.【详解】111n n n a a n n++-=,11111(1)1n n a a n n n n n n +∴-==-+++,则11111n n a a n n n n --=---,12111221n n a a n n n n ---=-----,,2111122a a -=-, 上述式子累加可得:111n a a n n -=-,122n a n n∴=-<,()222122t a t a a ∴--++-+≥对于任意的[]1,2t ∈恒成立,整理得()()210t a t a --+≤⎡⎤⎣⎦对于任意的[]1,2t ∈恒成立,对A ,当4a =-时,不等式()()2540t t +-≤,解集5,42⎡⎤-⎢⎥⎣⎦,包含[]1,2,故A 正确;对B ,当2a =-时,不等式()()2320t t +-≤,解集3,22⎡⎤-⎢⎥⎣⎦,包含[]1,2,故B 正确;对C ,当0a =时,不等式()210t t +≤,解集1,02⎡⎤-⎢⎥⎣⎦,不包含[]1,2,故C 错误;对D ,当2a =时,不等式()()2120t t -+≤,解集12,2⎡⎤-⎢⎥⎣⎦,不包含[]1,2,故D 错误,故选:AB. 【点睛】本题考查了裂项相消法、由递推关系式求通项公式、一元二次不等式在某区间上恒成立,考查了转化与划归的思想,属于中档题. 24.BD 【分析】根据递推关系式找出规律,可得数列是周期为3的周期数列,从而可求解结论. 【详解】因为数列{}n a 满足112a =-,111n n a a +=-,212131()2a ∴==--;32131a a ==-; 4131112a a a ==-=-; ∴数列{}n a 是周期为3的数列,且前3项为12-,23,3; 故选:BD . 【点睛】本题主要考查数列递推关系式的应用,考查数列的周期性,解题的关键在于求出数列的规律,属于基础题. 25.BC 【分析】由已知条件列方程组,求出公差和首项,从而可求出通项公式和前n 项和公式 【详解】解:设等差数列{}n a 的公差为d , 因为30S =,46a =,所以113230236a d a d ⨯⎧+=⎪⎨⎪+=⎩,解得133a d =-⎧⎨=⎩, 所以1(1)33(1)36n a a n d n n =+-=-+-=-,21(1)3(1)393222n n n n n n nS na d n ---=+=-+=, 故选:BC【分析】根据等差数列的性质及717S S =可分析出结果. 【详解】因为等差数列中717S S =, 所以89161712135()0a a a a a a ++++=+=,又10a >,所以12130,0a a ><,所以0d <,12n S S ≤,故AB 正确,C 错误; 因为125251325()2502a a S a +==<,故D 错误, 故选:AB 【点睛】关键点睛:本题突破口在于由717S S =得到12130a a +=,结合10a >,进而得到12130,0a a ><,考查学生逻辑推理能力.27.AD 【分析】利用等差数列的通项公式可以求70a >,80a <,即可求公差0d <,然后根据等差数列的性质判断四个选项是否正确. 【详解】因为67S S <,所以7670S S a -=> , 因为78S S >,所以8780S S a -=<, 所以等差数列{}n a 公差870d a a =-<, 所以{}n a 是递减数列,故1a 最大,选项A 正确;选项B 不正确;10345678910770S S a a a a a a a a -=++++++=>,所以310S S ≠,故选项C 不正确;当8n ≥时,80n a a ≤<,即0n a <,故选项D 正确; 故选:AD 【点睛】本题主要考查了等差数列的性质和前n 项和n S ,属于基础题. 28.BD 【分析】由6111160S S S S =⇒-=,即950a =,进而可得答案.解:1167891011950S S a a a a a a -=++++==, 因为10a >所以90a =,0d <,89S S =最大, 故选:BD . 【点睛】本题考查等差数列的性质,解题关键是等差数列性质的应用,属于中档题. 29.AC 【分析】由535S =求出37a =,再由411a =可得公差为434d a a =-=,从而可求得其通项公式和前n 项和公式 【详解】由题可知,53535S a ==,即37a =,所以等差数列{}n a 的公差434d a a =-=, 所以()4445n a a n d n =+-=-,()2451232n n n S n n --==-.故选:AC. 【点睛】本题考查等差数列,考查运算求解能力. 30.BCD 【分析】根据等差数列的性质即可判断选项的正误. 【详解】A 选项:给出数列的有限项不一定可以确定通项公式;B 选项:由等差数列性质知0d >,{}n a 必是递增数列;C 选项:1a b c ===时,1111a b c===是等差数列,而a = 1,b = 2,c = 3时不成立; D 选项:数列{}n a 是等差数列公差为d ,所以11112(1)223(31)n n a a a n d a nd a n d ++=+-++=+-也是等差数列;故选:BCD 【点睛】本题考查了等差数列,利用等差数列的性质判断选项的正误,属于基础题.。
一、等差数列选择题1.已知等差数列{}n a 的公差d 为正数,()()111,211,n n n a a a tn a t +=+=+为常数,则n a =( )A .21n -B .43n -C .54n -D .n2.等差数列{}n a 中,已知14739a a a ++=,则4a =( ) A .13B .14C .15D .163.等差数列{}n a 的公差为2,若248,,a a a 成等比数列,则9S =( ) A .72B .90C .36D .454.设等差数列{}n a 的前n 项和为n S ,公差1d =,且6210S S ,则34a a +=( )A .2B .3C .4D .55.定义12nnp p p +++为n 个正数12,,,n p p p 的“均倒数”,若已知数列{}n a 的前n 项的“均倒数”为12n,又2n n a b =,则1223910111b b b b b b +++=( ) A .817 B .1021C .1123 D .919 6.等差数列{},{}n n a b 的前n 项和分别为,n n S T ,若231n n a n b n =+,则2121S T 的值为( )A .1315B .2335C .1117D .497.数列{}n a 为等差数列,11a =,34a =,则通项公式是( ) A .32n -B .322n - C .3122n - D .3122n + 8.设等差数列{}n a 的前n 项和为n S ,10a <且11101921a a =,则当n S 取最小值时,n 的值为( ) A .21B .20C .19D .19或209.南宋数学家杨辉《详解九张算法》和《算法通变本末》中,提出垛积公式,所讨论的高阶等差数列与一般等差数列不同,前后两项之差不相等,但是逐项差数之差或者高次成等差数列.在杨辉之后一般称为“块积术”.现有高阶等差数列,其前7项分别1,7,15,27,45,71,107,则该数列的第8项为( ) A .161B .155C .141D .13910.记n S 为等差数列{}n a 的前n 项和.若5620a a +=,11132S =,则{}n a 的公差为( )A .2B .43C .4D .4-11.已知{}n a 为等差数列,n S 是其前n 项和,且100S =,下列式子正确的是( ) A .450a a +=B .560a a +=C .670a a +=D .890a a +=12.已知等差数列{}n a 的前n 项和为n S ,且2n S n =.定义数列{}n b 如下:()*1m m b m m+∈N 是使不等式()*n a m m ≥∈N 成立的所有n 中的最小值,则13519 b b b b ++++=( )A .25B .50C .75D .10013.在等差数列{}n a 的中,若131,5a a ==,则5a 等于( ) A .25B .11C .10D .914.已知等差数列{}n a 的前n 项和为n S ,且310179a a a ++=,则19S =( ) A .51B .57C .54D .7215.已知数列{}n a 的前n 项和()2*n S n n N =∈,则{}na 的通项公式为( )A .2n a n =B .21n a n =-C .32n a n =-D .1,12,2n n a n n =⎧=⎨≥⎩16.设等差数列{}n a 的前n 项和为n S ,若7916+=a a ,则15S =( ) A .60B .120C .160D .24017.在等差数列{}n a 中,520164a a +=,S ,是数列{}n a 的前n 项和,则S 2020=( ) A .2019B .4040C .2020D .403818.数学著作《孙子算经》中有这样一个问题:“今有物不知其数,三三数之剩二(除以3余2),五五数之剩三(除以5余3),问物几何?”现将1到2020共2020个整数中,同时满足“三三数之剩二,五五数之剩三”的数按从小到大的顺序排成一列,构成数列{},n a 则该数列共有( ) A .132项B .133项C .134项D .135项19.已知正项数列{}n a 满足11a =,1111114n n n n a a a a ++⎛⎫⎛⎫+-= ⎪⎪⎝⎭⎝⎭,数列{}n b 满足1111n n nb a a +=+,记{}n b 的前n 项和为n T ,则20T 的值为( ) A .1B .2C .3D .420.已知等差数列{}n a 的前n 项和n S 满足:21<<m m m S S S ++,若0n S >,则n 的最大值为( ) A .2mB .21m +C .22m +D .23m +二、多选题21.已知S n 是等差数列{}n a (n ∈N *)的前n 项和,且S 5>S 6>S 4,以下有四个命题,其中正确的有( )A .数列{}n a 的公差d <0B .数列{}n a 中S n 的最大项为S 10C .S 10>0D .S 11>022.(多选)在数列{}n a 中,若221(2,,n n a a p n n N p *--=≥∈为常数),则称{}n a 为“等方差数列”.下列对“等方差数列”的判断正确的是( ) A .若{}n a 是等差数列,则{}n a 是等方差数列 B .(){}1n- 是等方差数列C .{}2n是等方差数列.D .若{}n a 既是等方差数列,又是等差数列,则该数列为常数列 23.已知数列{}n a 满足:12a =,当2n ≥时,)212n a =-,则关于数列{}n a 的说法正确的是 ( )A .27a =B .数列{}n a 为递增数列C .221n a n n =+-D .数列{}n a 为周期数列24.题目文件丢失!25.题目文件丢失!26.著名数学家斐波那契在研究兔子繁殖问题时,发现有这样一列数:1,1,2,3,5,…,其中从第三项起,每个数等于它前面两个数的和,后来人们把这样的一列数组成的数列{}n a 称为“斐波那契数列”,记S n 为数列{}n a 的前n 项和,则下列结论正确的是( ) A .68a = B .733S =C .135********a a a a a ++++=D .22212201920202019a a a a a +++= 27.设等比数列{}n a 的公比为q ,其前n 项和为n S ,前n 项积为n T ,并且满足条件11a >,667711,01a a a a -><-,则下列结论正确的是( ) A .01q <<B .681a a >C .n S 的最大值为7SD .n T 的最大值为6T28.已知数列{}n a :1,1,2,3,5,…其中从第三项起,每个数等于它前面两个数的和,记n S 为数列{}n a 的前n 项和,则下列结论正确的是( )A .68S a =B .733S =C .135********a a a a a ++++= D .2222123202020202021a a a a a a ++++=29.数列{}n a 满足11,121nn n a a a a +==+,则下列说法正确的是( ) A .数列1n a ⎧⎫⎨⎬⎩⎭是等差数列 B .数列1n a ⎧⎫⎨⎬⎩⎭的前n 项和2n S n = C .数列{}n a 的通项公式为21n a n =- D .数列{}n a 为递减数列30.设等差数列{}n a 的前n 项和为n S ,公差为d ,且满足10a >,1118S S =,则对n S 描述正确的有( ) A .14S 是唯一最小值 B .15S 是最小值 C .290S =D .15S 是最大值【参考答案】***试卷处理标记,请不要删除一、等差数列选择题 1.A 【分析】由已知等式分别求出数列的前三项,由2132a a a =+列出方程,求出公差,利用等差数列的通项公式求解可得答案. 【详解】11a =,()()1211n n n a a tn a ++=+,令1n =,则()()121211a a t a +=+,解得21a t =-令2n =,则()()2322121a a t a +=+,即()2311t a t -=-,若1t =,则20,1a d ==,与已知矛盾,故解得31a t =+{}n a 等差数列,2132a a a ∴=+,即()2111t t -=++,解得4t =则公差212d a a =-=,所以()1121n a a n d n =+-=-. 故选:A 2.A 【分析】利用等差数列的性质可得1742a a a +=,代入已知式子即可求解. 【详解】由等差数列的性质可得1742a a a +=,所以1474339a a a a ++==,解得:413a =, 故选:A 3.B 【分析】由题意结合248,,a a a 成等比数列,有2444(4)(8)a a a =-+即可得4a ,进而得到1a 、n a ,即可求9S . 【详解】由题意知:244a a =-,848a a =+,又248,,a a a 成等比数列,∴2444(4)(8)a a a =-+,解之得48a =,∴143862a a d =-=-=,则1(1)2n a a n d n =+-=,∴99(229)902S ⨯+⨯==,故选:B 【点睛】思路点睛:由其中三项成等比数列,利用等比中项性质求项,进而得到等差数列的基本量 1、由,,m k n a a a 成等比,即2k m n a a a =; 2、等差数列前n 项和公式1()2n n n a a S +=的应用. 4.B 【分析】根据等差数列的性质,由题中条件,可直接得出结果. 【详解】因为n S 为等差数列{}n a 的前n 项和,公差1d =,6210S S ,所以()()6543434343222410a a a a a d a d a a a a +++=+++++=++=, 解得343a a +=. 故选:B. 5.D 【分析】由题意结合新定义的概念求得数列的前n 项和,然后利用前n 项和求解通项公式,最后裂项求和即可求得最终结果. 【详解】设数列{}n a 的前n 项和为n S ,由题意可得:12n n S n=,则:22n S n =, 当1n =时,112a S ==,当2n ≥时,142n n n a S S n -=-=-,且14122a =⨯-=,据此可得 42n a n =-, 故212nn a b n ==-,()()111111212122121n n b b n n n n +⎛⎫==- ⎪-+-+⎝⎭, 据此有:12239101111111111233517191.21891919b b b b b b +++⎡⎤⎛⎫⎛⎫⎛⎫=-+-++- ⎪ ⎪ ⎪⎢⎥⎝⎭⎝⎭⎝⎭⎣⎦=⨯= 故选:D 6.C 【分析】利用等差数列的求和公式,化简求解即可 【详解】2121S T =12112121()21()22a ab b ++÷=121121a a b b ++=1111a b =2113111⨯⨯+=1117.故选C 7.C 【分析】根据题中条件,求出等差数列的公差,进而可得其通项公式. 【详解】因为数列{}n a 为等差数列,11a =,34a =, 则公差为31322a a d -==, 因此通项公式为()33111222n a n n =+-=-. 故选:C. 8.B 【分析】 由题得出1392a d =-,则2202n dS n dn =-,利用二次函数的性质即可求解.【详解】设等差数列{}n a 的公差为d ,由11101921a a =得11102119a a =,则()()112110199a d a d +=+, 解得1392a d =-,10a <,0d ∴>,()211+2022n n n dS na d n dn -∴==-,对称轴为20n =,开口向上, ∴当20n =时,n S 最小.故选:B. 【点睛】方法点睛:求等差数列前n 项和最值,由于等差数列()2111+222n n n d d S na d n a n -⎛⎫==+- ⎪⎝⎭是关于n 的二次函数,当1a 与d 异号时,n S 在对称轴或离对称轴最近的正整数时取最值;当1a 与d 同号时,n S 在1n =取最值. 9.B 【分析】画出图形分析即可列出式子求解. 【详解】所给数列为高阶等差数列,设该数列的第8项为x ,根据所给定义:用数列的后一项减去前一项得到一个新数列,得到的新数列也用后一项减去前一项得到一个新数列,即得到了一个等差数列,如图:由图可得:3612107y x y -=⎧⎨-=⎩ ,解得15548x y =⎧⎨=⎩.故选:B. 10.C 【分析】由等差数列前n 项和公式以及等差数列的性质可求得6a ,再由等差数列的公式即可求得公差. 【详解】 解:()11111611111322a a S a+⨯===,612a ∴=,又5620a a +=,58a ∴=,654d a a ∴=-=.故选:C . 11.B 【分析】由100S =可计算出1100a a +=,再利用等差数列下标和的性质可得出合适的选项. 【详解】由等差数列的求和公式可得()110101002a a S +==,1100a a ∴+=, 由等差数列的基本性质可得561100a a a a +=+=. 故选:B. 12.B 【分析】先求得21n a n =-,根据n a m ≥,求得12m n +≥,进而得到21212k k b --=,结合等差数列的求和公式,即可求解. 【详解】由题意,等差数列{}n a 的前n 项和为n S ,且2n S n =,可得21n a n =-,因为n a m ≥,即21n m -≥,解得12m n +≥, 当21m k =-,(*k N ∈)时,1m m b k m +=,即()()11212m m m mk m b m m +===++, 即21212k k b --=, 从而()13519113519502b b b b ++++=++++=.故选:B. 13.D 【分析】利用等差数列的性质直接求解. 【详解】 因为131,5a a ==,315529a a a a =+∴=,故选:D . 14.B 【分析】根据等差数列的性质求出103a =,再由求和公式得出答案. 【详解】317102a a a += 1039a ∴=,即103a =()1191019191921935722a a a S +⨯∴===⨯= 故选:B15.B 【分析】利用1n n n a S S -=-求出2n ≥时n a 的表达式,然后验证1a 的值是否适合,最后写出n a 的式子即可. 【详解】2n S n =,∴当2n ≥时,221(1)21n n n a S S n n n -=-=--=-,当1n =时,111a S ==,上式也成立,()*21n a n n N ∴=-∈,故选:B. 【点睛】易错点睛:本题考查数列通项公式的求解,涉及到的知识点有数列的项与和的关系,即11,1,2n nn S n a S S n -=⎧=⎨-≥⎩,算出之后一定要判断1n =时对应的式子是否成立,最后求得结果,考查学生的分类思想与运算求解能力,属于基础题. 16.B 【分析】利用等差数列的性质,由7916+=a a ,得到88a =,然后由15815S a =求解. 【详解】因为7916+=a a ,所以由等差数列的性质得978216a a a +==, 解得88a =, 所以()11515815151581202a a S a +===⨯=. 故选:B 17.B 【分析】由等差数列的性质可得52012016024a a a a +==+,则()15202020202016202010102a a a a S +=⨯=⨯+可得答案. 【详解】 等差数列{}n a 中, 52012016024a a a a +==+()12020202052016202010104101040402a a a a S +===⨯=+⨯⨯ 故选:B 18.D 【分析】由题意抽象出数列是等差数列,再根据通项公式计算项数. 【详解】被3除余2且被5除余3的数构成首项为8,公差为15的等差数列,记为{}n a ,则()8151157n a n n =+-=-,令1572020n a n =-≤,解得:213515n ≤, 所以该数列的项数共有135项. 故选:D 【点睛】关键点点睛:本题以数学文化为背景,考查等差数列,本题的关键是读懂题意,并能抽象出等差数列. 19.B 【分析】 由题意可得221114n n a a +-=,运用等差数列的通项公式可得2143n n a =-,求得14n b =,然后利用裂项相消求和法可求得结果【详解】解:由11a =,1111114n n n n a a a a ++⎛⎫⎛⎫+-=⎪⎪⎝⎭⎝⎭,得221114n n a a +-=, 所以数列21n a ⎧⎫⎨⎬⎩⎭是以4为公差,以1为首项的等差数列, 所以2114(1)43n n n a =+-=-, 因为0n a >,所以n a =,所以1111n n nb a a +=+=所以14n b ==,所以201220T b b b =++⋅⋅⋅+111339(91)244=++⋅⋅⋅+=⨯-=, 故选:B 【点睛】关键点点睛:此题考查由数列的递推式求数列的前n 项和,解题的关键是由已知条件得221114n n a a +-=,从而数列21n a ⎧⎫⎨⎬⎩⎭是以4为公差,以1为首项的等差数列,进而可求n a =,14n b ==,然后利用裂项相消法可求得结果,考查计算能力和转化思想,属于中档题20.C【分析】首先根据数列的通项n a 与n S 的关系,得到10m a +>,2<0m a +,12+>0m m a a ++,再根据选项,代入前n 项和公式,计算结果.【详解】由21<<m m m S S S ++得,10m a +>,2<0m a +,12+>0m m a a ++.又()()()1212112121>02m m m m a a S m a +++++==+, ()()()1232322323<02m m m m a a S m a +++++==+, ()()()()1222212211>02m m m m m a a S m a a ++++++==++.故选:C. 【点睛】关键点睛:本题的第一个关键是根据公式11,2,1n n n S S n a S n --≥⎧=⎨=⎩,判断数列的项的正负,第二个关键能利用等差数列的性质和公式,将判断和的正负转化为项的正负.二、多选题21.AC【分析】由564S S S >>,可得650,0a a ,且650a a +>,然后逐个分析判断即可得答案【详解】解:因为564S S S >>,所以650,0a a ,且650a a +>,所以数列的公差0d <,且数列{}n a 中S n 的最大项为S 5,所以A 正确,B 错误, 所以110105610()5()02a a S a a +==+>,11111611()1102a a S a +==<, 所以C 正确,D 错误,故选:AC22.BD【分析】根据等差数列和等方差数列定义,结合特殊反例对选项逐一判断即可.【详解】对于A ,若{}n a 是等差数列,如n a n =,则12222(1)21n n a a n n n --=--=-不是常数,故{}na 不是等方差数列,故A 错误; 对于B ,数列(){}1n -中,222121[(1)][(1)]0n n n n a a ---=---=是常数,{(1)}n ∴-是等方差数列,故B 正确;对于C ,数列{}2n 中,()()22221112234n n n n n a a ----=-=⨯不是常数,{}2n ∴不是等方差数列,故C 错误;对于D ,{}n a 是等差数列,1n n a a d -∴-=,则设n a dn m =+,{}n a 是等方差数列,()()222112(2)n n n n dn m a a a a d a d d n m d d dn d m --∴-=++++=+=++是常数,故220d =,故0d =,所以(2)0m d d +=,2210n n a a --=是常数,故D 正确.故选:BD.【点睛】关键点睛:本题考查了数列的新定义问题和等差数列的定义,解题的关键是正确理解等差数列和等方差数列定义,利用定义进行判断.23.ABC【分析】由)212n a =-1=,再利用等差数列的定义求得n a ,然后逐项判断.【详解】当2n ≥时,由)212n a =-,得)221n a +=,1=,又12a =,所以是以2为首项,以1为公差的等差数列,2(1)11n n =+-⨯=+,即221n a n n =+-,故C 正确;所以27a =,故A 正确;()212n a n =+-,所以{}n a 为递增数列,故正确; 数列{}n a 不具有周期性,故D 错误;故选:ABC24.无25.无26.ABD【分析】根据11a =,21a =,21n n n a a a ++=+,计算可知,A B 正确;根据12a a =,342a a a =-,564a a a =-,786a a a =-,,201920202018a a a =-,累加可知C 不正确;根据2121a a a =,222312312()a a a a a a a a =-=-,233423423()a a a a a a a a =-=-,244534534()a a a a a a a a =-=-,,220192019202020182019202020182019()a a a a a a a a =-=-,累加可知D 正确.【详解】依题意可知,11a =,21a =,21n n n a a a ++=+,312112a a a =+=+=,423123a a a =+=+=,534235a a a =+=+=,645358a a a =+=+=,故A 正确;7565813a a a =+=+=,所以712345671123581333S a a a a a a a =++++++=++++++=,故B 正确; 由12a a =,342a a a =-,564a a a =-,786a a a =-,,201920202018a a a =-,可得13572019a a a a a +++++=242648620202018a a a a a a a a a +-+-+-++-2020a =,故C 不正确; 2121a a a =,222312312()a a a a a a a a =-=-,233423423()a a a a a a a a =-=-,244534534()a a a a a a a a =-=-,,220192019202020182019202020182019()a a a a a a a a =-=-, 所以2222212342019a a a a a +++++122312342345342019202020182019a a a a a a a a a a a a a a a a a a =+-+-+-+-20192020a a =, 所以22212201920202019a a a a a +++=,故D 正确. 故选:ABD.【点睛】本题考查了数列的递推公式,考查了累加法,属于中档题.27.AD【分析】分类讨论67,a a 大于1的情况,得出符合题意的一项.【详解】①671,1a a >>, 与题设67101a a -<-矛盾. ②671,1,a a ><符合题意.③671,1,a a <<与题设67101a a -<-矛盾. ④ 671,1,a a <>与题设11a >矛盾.得671,1,01a a q ><<<,则n T 的最大值为6T .∴B ,C ,错误.故选:AD.【点睛】考查等比数列的性质及概念. 补充:等比数列的通项公式:()1*1n n a a qn N -=∈. 28.BCD【分析】根据题意写出8a ,6S ,7S ,从而判断A ,B 的正误;写出递推关系,对递推关系进行适当的变形,利用累加法即可判断C ,D 的正误.【详解】对A ,821a =,620S =,故A 不正确;对B ,761333S S =+=,故B 正确;对C ,由12a a =,342a a a =-,564a a a =-,…,202120222020a a a =-,可得135********a a a a a +++⋅⋅⋅+=,故C 正确;对D ,该数列总有21n n n a a a ++=+,2121a a a =,则()222312321a a a a a a a a =-=-,()233423423a a a a a a a a =-=-,…,()220182018201920172018201920172018a a a a a a a a =-=-, 22019a =2019202020192018a a a a -,220202020202120202019a a a a a =-,故2222123202020202021a a a a a a +++⋅⋅⋅+=,故D 正确.故选:BCD【点睛】关键点睛:解答本题的关键是对CD 的判断,即要善于利用21n n n a a a ++=+对所给式子进行变形.29.ABD【分析】 首项根据11,121n n n a a a a +==+得到1112n n a a +-=,从而得到1n a ⎧⎫⎨⎬⎩⎭是以首项为1,公差为2的等差数列,再依次判断选项即可.【详解】对选项A ,因为121n n n a a a +=+,11a =, 所以121112n n n n a a a a ++==+,即1112n na a +-= 所以1n a ⎧⎫⎨⎬⎩⎭是以首项为1,公差为2的等差数列,故A 正确. 对选项B ,由A 知:112121n n n a 数列1n a ⎧⎫⎨⎬⎩⎭的前n 项和()21212n n n S n +-==,故B 正确. 对选项C ,因为121n n a =-,所以121n a n =-,故C 错误. 对选项D ,因为121n a n =-,所以数列{}n a 为递减数列,故D 正确. 故选:ABD【点睛】本题主要考查等差数列的通项公式和前n 项和前n 项和,同时考查了递推公式,属于中档题.30.CD【分析】根据等差数列中1118S S =可得数列的公差0d <,再根据二次函数的性质可知15S 是最大值,同时可得150a =,进而得到290S =,即可得答案;【详解】1118S S =,∴0d <,设2n S An Bn =+,则点(,)n n S 在抛物线2y Ax Bx =+上,抛物线的开口向下,对称轴为14.5x =,∴1514S S =且为n S 的最大值,1118S S =12131815070a a a a ⇒+++=⇒=, ∴129291529()2902a a S a +===, 故选:CD.【点睛】本题考查利用二次函数的性质研究等差数列的前n 项和的性质,考查函数与方程思想、转化与化归思想,考查逻辑推理能力、运算求解能力.。
等差等比数列单元测试题
姓名: __ 时间:90分钟 培佳 余校长 肖老师
1.等差数列{a n }的前n 项和S n =2n 2+n ,那么它的通项公式是 .
2.{}n a 中29100n a n n =--,则值最小的项 .
3.已知)*
n a n N =∈,则1210a a a +++的值为 .
4.在-1,7之间插入三个数,使它们顺次成等差数列,则这三个数分别是_ ______.
5.数列{ a n }为等差数列,a 2与a 6的等差中项为5,a 3与a 7的等差中项为7,则数列的通项
a n 等于__ _.
6、数列{a n }为等差数列,S 100=145,d =2
1,则a 1+a 3+a 5+…+a 99的值为___ __. 7、等比数列的前n 项和S n =k ·3n +1,则k 的值为____
8、在等比数列{a n }中,已知S n =48,S 2n =60,求S 3n =
9、已知a 1,a 2,a 3,…,a 8为各项都大于零的数列,则“a 1+a 8<a 4+a 5”是“a 1,a 2,a 3,…,a 8不是等比数列”的 条件
10、已知数列满足a 1=1,a n +1=2a n +1(n ∈N *),则a n =____
11、设{a n }为公比q>1的等比数列,若a 2014和a 2015是方程4x 2-8x+3=0的两根,则a 2016+a 2017 =_________.
12、已知等差数列{a n }的前20项的和为100,那么a 7·a 14=的最大值为 .
13、数列{}n a 的首项为21=a ,且))((2
1211N n a a a a n n ∈+++=+ ,记n S 为数列{}n a 前n 项和,则n S = 。
14、同学们都知道,在一次考试后,如果按顺序去掉一些高分,那么班级的平均分将降低;反之,如果按顺序去掉一些低分,那么班级的平均分将提高. 这两个事实可以用数学语言描述为:若有限数列n a a a ,,,21 满足n a a a ≤≤≤ 21,则 (结论用数学式子表示).
15.有穷数列1, 23, 26, 29, (23)
+6的项数是( ) A .3n +7 B .3n +6 C .n +3
D .n +2 16.已知数列{}n a 的首项11a =,且()1212n n a a n -=+≥,则5a 为( )
A .7
B .15
C .30
D .31
17.首项为-24的等差数列,从第10项起开始为正数,则公差的取值范围是( )
A .d >38
B .d <3
C .38≤d <3
D . 3
8<d ≤3
18.数列{a n }的通项a n =2n +1,则由b n =
n a a a n +++ 21(n ∈N *),所确定的数列{b n }的前n 项和是( )
A .n (n +1)
B .2)1(+n n
C .2)5(+n n
D .2
)7(+n n 16.数列{a n }是首项为23,公差为整数的等差数列,且第六项为正,第七项为负。
(1)求数列的公差;
(2)求前n 项和S n 的最大值;
(3)当S n >0时,求n 的最大值.
17. .已知数列{}n a 是等差数列,且.12,23211=++=a a a a
(1)求数列{}n a 的通项公式;
(2)令).(R x x a b n n n ∈=求数列{}n b 前n 项和的公式.
18、已知数列{a n }是等比数列,首项a 1=8,公比q>0,令b n =log 2a n ,设S n 为{b n }的前n 项和,若数列{b n }的前7项的和S 7最大,且S 7≠S 8,求数列{a n }的公比q 的取值范围。
19、已知f (x +1)=x 2-4,等差数列{a n }中,a 1=f (x -1),a 2=-32
,a 3=f (x ).求: ⑴x 的值;
⑵数列{a n }的通项公式a n ;
⑶a 2+a 5+a 8+…+a 26.
20、正数数列{a n }的前n 项和为S n ,且2S n =a n +1.
(1) 试求数列{a n }的通项公式;
(2)设b n =1a n ·a n +1
,{b n }的前n 项和为T n ,求证:T n <12.。