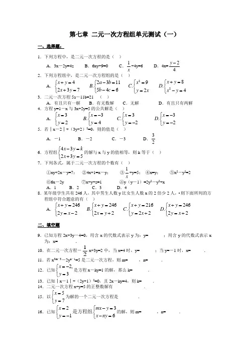
第七章《二元一次方程组》整章水平测试A卷(含答案)
- 格式:doc
- 大小:234.00 KB
- 文档页数:8
第七章《二元一次方程组》单元测试1.解下列方程组:543(1).32x y x y -=⎧⎨-=⎩ 1323(2).334a ba b ⎧+=⎪⎪⎨⎪-=⎪⎩2.方程2x-y=9 在正整数范围内的解有___个。
3.在方程 (a 2-4)x 2+(2-3a)x+(a+1)y+3a=0 中,若此方程为二元一次方程,则a 的值为_______4.方程组⎩⎨⎧⨯=+=+m y x my x 60%10%60%3060的解是___5.若方程组⎩⎨⎧=-=+13y x y x 与方程组⎩⎨⎧=-=-32y nx my x 同解,则 m=______ 6.当m=____时,方程组⎪⎩⎪⎨⎧=+=-21132my x y x 有一组解。
7.己知t 满足方程组⎩⎨⎧=--=xt y tx 23532,则x 和y 之间满足的关系是_______ 8.解方程组:⎩⎨⎧=+-=⎪⎩⎪⎨⎧=+=+=+21327:2:1::)2(303327)1(x y x z y x z x z y y x9.己知x , y , z 满足方程组⎩⎨⎧=-+=+-054702z y x z y x ,求 x : y : z 的值。
10.己知⎩⎨⎧=-+=--0720634z y x z y x ,求22222275632z y x z y x ++++的值。
11.m , n 为何值时,5223252y x y x n n m nm 的--是同类项。
12.解方程组:⎪⎩⎪⎨⎧=++=++=++18)(12)(6)(z y x z z y x y z y x x13.方程组⎩⎨⎧=+=-⎩⎨⎧=--=+23343953171y x y x by ax by ax 与 有相同的解,求a , b 的值。
14.求满足方程组:⎩⎨⎧=--=--020314042y x m y x 中的y 的值是x 值的3倍的m 的值,并求x ,y 的值。
15.a 为何值时,方程组⎩⎨⎧-=+=-1872253a y x ay x 的解x ,y 的值互为相反数,并求它的值。
北师⼤版⼋年级上册数学第七章⼆元⼀次⽅程组练习题(带解析)北师⼤版⼋年级上册数学第七章⼆元⼀次⽅程组练习题(带解析)考试范围:xxx ;考试时间:100分钟;命题⼈:xxx1. 答题前填写好⾃⼰的姓名、班级、考号等信息2. 请将答案正确填写在答题卡上分卷I分卷I 注释⼀、单选题(注释)1、甲⼄两地相距360千⽶,⼀轮船往返于甲、⼄两地之间,顺⽔⾏船⽤18⼩时,逆⽔⾏船⽤24⼩时,若设船在静⽔中的速度为x 千⽶/时,⽔流速度为y 千⽶/时,则下列⽅程组中正确的是() A .B .C .D .2、已知有含盐20%与含盐5%的盐⽔,若配制含盐14%的盐⽔200千克,设需含盐20%的盐⽔x 千克,含盐5%的盐⽔y 千克,则下列⽅程组中正确的是() A .B .C .D .3、如果⼀个两位数的⼗位数字与个位数字之和为6,那么这样的两位数的个数是() A .3 B .6 C .5 D .44、已知x b+5y 3a 和-3x 2a y 2-4b是同类项,那么a,b 的值是()5、如果5x3m-2n-2y n-m+11=0是⼆元⼀次⽅程,则()A.m=1,n=2 B.m=2,n=1 C.m=-1,n=2 D.m=3,n=46、⽤加减法解⽅程组时,要使两个⽅程中同⼀未知数的系数相等或相反,有以下四种变形的结果:①②③④其中变形正确的是()A.①②B.③④C.①③D.②④7、⽤代⼊法解⽅程组使得代⼊后化简⽐较容易的变形是()A.由①得x=B.由①得y=C.由②得x=D.由②得y=2x-58、四名学⽣解⼆元⼀次⽅程组提出四种不同的解法,其中解法不正确的是()A.由①得x=,代⼊②B.由①得y=,代⼊②C.由②得y=-,代⼊①D.由②得x=3+2y,代⼊①9、已知⽅程mx+(m+1)y=4m-1是关于x,y的⼆元⼀次⽅程,则m的取值范围是()A.m≠0B.m≠-1 C.m≠0且m≠1D.m≠0且m≠-110、⼆元⼀次⽅程3a+b=9在正整数范围内的解的个数是()A.0 B.1 C.2 D.3更多功能介绍/doc/be631667312b3169a451a4e8.html /zt/11、如图,10块相同的长⽅形墙砖拼成⼀个矩形,设长⽅形墙砖的长和宽分别为x厘⽶和y厘⽶,则依题意列⽅程组正确的是A .B .C .D .12、某车间有56名⼯⼈,每⼈每天能⽣产螺栓16个或螺母24个,设有x 名⼯⼈⽣产螺栓,y 名⼯⼈⽣产螺母,每天⽣产的螺栓和螺母按1:2配套,下⾯所列⽅程组正确的是() A .B .C .D .13、已知⽅程组中x ,y 的互为相反数,则m 的值为()A .2B .﹣2C .0D .414、下列⽅程是⼆元⼀次⽅程的是() A .B .C .3x ﹣8y=11D .7x+2=15、关于x 、y 的⼆元⼀次⽅程组的解满⾜不等式>0,则的取值范围是() A .<-1 B .<1 C .>-1 D .>116、⽅程组的解是()A .B .C .D .由于疏忽,表格中捐款40元和50元的⼈数忘记填写了,若设捐款40元的有x 名同学,捐款50元的有y 名同学,根据题意,可得⽅程组()A. B.C. D.18、将⽅程中的x的系数化为整数,则下列结果正确的是()A.B.C.D.19、雅安地震后,灾区急需帐篷.某企业急灾区之所急,准备捐助甲、⼄两种型号的帐篷共1500顶,其中甲种帐篷每顶安置6⼈,⼄种帐篷每顶安置4⼈,共安置8000⼈.设该企业捐助甲种帐篷x顶、⼄种帐篷y顶,那么下⾯列出的⽅程组中正确的是A.B.C.D.20、若|3x+y+5|+|2x-2y-2|=0,则2x2-3xy的值是()A.14 B.-4 C.-12 D.12分卷II分卷II 注释⼆、填空题(注释)21、⽅程组的解是.22、在⽅程组中,若x >0,y <0,则m 的取值范围是.23、已知⽅程组的解为,则2a ﹣3b 的值为.24、若(x+y+4)2+|3x ﹣y|=0,则x= ,y= .25、已知⼆元⼀次⽅程2x+3y+1=0,⽤含x 的代数式表⽰y ,则y= .26、请写出⼀个以x ,y 为未知数的⼆元⼀次⽅程组,要求满⾜下列条件:①由两个⼆元⼀次⽅程组成;②⽅程组的解为,这样的⽅程组是.27、⼀次数学测试,满分为100分.测试分数出来后,同桌的李华和吴珊同学把他俩的分数进⾏计算,李华说:我俩分数的和是160分,吴珊说:我俩分数的差是60分.那么对于下列两个命题:①俩⼈的说法都是正确的,②⾄少有⼀⼈说错了.真命题是(填写序号).28、请写出⼀个以x ,y 为未知数的⼆元⼀次⽅程组,且同时满⾜下列两个条件:①由两个⼆元⼀次⽅程组成;②⽅程组的解为,这样的⽅程组可以是____________.按此规律,第n 个⽅程组为___________,它的解为___________(n 为正整数).30、⽅程组的解是_____________.三、计算题(注释)31、解⽅程组:.32、解⽅程组:(1)(2)33、解⽅程组:(1)(2)34、解⽅程组:35、若是⼆元⼀次⽅程ax -by=8和ax+2by=-4的公共解,求2a -b 的值.36、解下列⽅程:(1).(2)(3)(4)37、解⽅程组38、解⽅程组(5分)(1)39、解下列⼆元⼀次⽅程组(1) (2)40、(1)计算:(2)解⽅程组:四、解答题(注释)41、端午节期间,某校“慈善⼩组”筹集到1240元善款,全部⽤于购买⽔果和粽⼦,然后到福利院送给⽼⼈,决定购买⼤枣粽⼦和普通粽⼦共20盒,剩下的钱⽤于购买⽔果,要求购买⽔果的钱数不少于180元但不超过240元.已知⼤枣粽⼦⽐普通粽⼦每盒贵15元,若⽤300元恰好可以买到2盒⼤枣粽⼦和4盒普通粽⼦.(1)请求出两种⼝味的粽⼦每盒的价格;(2)设买⼤枣粽⼦x 盒,买⽔果共⽤了w 元.①请求出w 关于x 的函数关系式;②求出购买两种粽⼦的可能⽅案,并说明哪⼀种⽅案使购买⽔果的钱数最多.42、某农户原有15头⼤⽜和5头⼩⽜,每天约⽤饲料325kg ;两周后,由于经济效益好,该农户决定扩⼤养⽜规模,⼜购进了10头⼤⽜和5头⼩⽜,这时每天约⽤饲料550kg .问每头⼤⽜和每头⼩⽜1天各需多少饲料? 43、某种仪器由1种A 部件和1个B 部件配套构成.每个⼯⼈每天可以加⼯A 部件1000个或者加⼯B 部件600个,现有⼯⼈16名,应怎样安排⼈⼒,才能使每天⽣产的A 部件和B 部件配套?44、某班到毕业时共结余经费1800元,班委会决定拿出不少于270元但不超过300元的资⾦为⽼师购买纪念品,其余资⾦⽤于在毕业晚会上给50位同学每⼈购买⼀件⽂化衫或⼀本相册作为纪念.已知每件⽂化衫⽐每本相册贵9元,⽤200元恰好可以买到2件⽂件衫和5本相册.(1)求每件⽂化衫和每本相册的价格分别为多少元?(2)有⼏种购买⽂化衫和相册的⽅案?哪种⽅案⽤于购买⽼师纪念品的资⾦更充⾜?45、解⽅程(组)(1)(2).46、某学校初⼆级甲、⼄两班共有学⽣150⼈,他们的期末考试数学平均分为64.4分,若甲班学⽣平均分为72分,⼄班学⽣平均分为57分,那么甲、⼄两班各有学⽣多少⼈?47、⼀辆汽车从A地驶往B地,前路段为普通公路,其余路段为⾼速公路.已知汽车在普通公路上⾏驶的速度为60km/h,在⾼速公路上⾏驶的速度为100km/h,汽车从A 地到B地⼀共⾏驶了2.2h.请你根据以上信息,就该汽车⾏驶的“路程”或“时间”,提出⼀个⽤⼆元⼀次⽅程组解决的问题,并写出解答过程.48、解⽅程组.49、⼩⽂在甲、⼄两家超市发现他看中的篮球的单价相同,书包单价也相同,⼀个篮球和三个书包的总费⽤是400元.两个篮球和⼀个书包的总费⽤也是400元.(1)求⼩⽂看中的篮球和书包单价各是多少元?(2)某⼀天⼩⽂上街,恰好赶上商家促销,超市甲所有商品打九折销售,超市⼄全场购物满100元返30元购物券(不⾜100元不返券,购物券全场通⽤),如果他只能在同⼀家超市购买他看中的篮球和书包各⼀个,应选择哪⼀家超市购买更省钱?50、解⽅程组:试卷答案1.【解析】试题分析:根据等量关系:顺⽔⾏船⽤18⼩时,逆⽔⾏船⽤24⼩时,即可列出⽅程组. 由题意可列⽅程组为,故选A.考点:本题考查的是根据实际问题列⽅程组点评:解题关键是要读懂题⽬的意思,根据题⽬给出的条件,找出合适的等量关系,列出⽅程组.2.【解析】试题分析:根据等量关系:盐⽔总质量为200千克,配制前后的含盐量相同,即可列出⽅程组.由题意可列⽅程组为,故选C.考点:本题考查的是根据实际问题列⽅程组点评:解题关键是要读懂题⽬的意思,根据题⽬给出的条件,找出合适的等量关系,列出⽅程组.3.【解析】试题分析:可以设两位数的个位数为x,⼗位为y,根据两数之和为6,且xy为整数,分别讨论两未知数的取值即可.注意不要漏解.设两位数的个位数为x,⼗位为y,根据题意得:x+y=6,∵xy都是整数,∴当x=0时,y=6,两位数为60;当x=1时,y=5,两位数为51;当x=2时,y=4,两位数为42;当x=3时,y=3,两位数为33;当x=4时,y=2,两位数为24;当x=5时,y=1,两位数为15;则此两位数可以为:60、51、42、33、24、15,共6个,故选B.考点:本题考查了⼆元⼀次⽅程的应⽤点评:解题的关键在于根据未知数的整数性质讨论未知数的具体值,注意不要漏掉两位数的个位数可以为0的情况.4.【解析】试题分析:根据同类项的定义即可得到关于a、b的⽅程组,解出即可.由题意得,解得,故选D.考点:本题考查的是同类项点评:解答本题的关键是熟记同类项的定义:所含有的字母相同,并且相同字母的指数也相同的项叫同类项.5.【解析】试题分析:根据⼆元⼀次⽅程的定义即可得到关于m、n的⽅程组,解出即可.由题意得,解得,故选D.考点:本题考查的是⼆元⼀次⽅程的定义点评:解答本题的关键是熟练掌握⼆元⼀次⽅程必须符合以下三个条件:(1)⽅程中只含有2个未知数;(2)含未知数项的最⾼次数为⼀次;(3)⽅程是整式⽅程.注意:π是⼀个数.6.【解析】试题分析:根据等式的基本性质把⽅程组中的每个⽅程分别变形,注意不能漏乘项.(1)第⼀个⽅程右边的1漏乘了3,第⼆个⽅程右边的8漏乘了2,故变形不正确;(2)第⼀个⽅程右边的1漏乘了2,第⼆个⽅程右边的8漏乘了3,故变形不正确;(3)是利⽤等式的性质把x的系数化为了互为相反数的数,变形正确;(4)是利⽤等式的性质把y的系数化为了互为相反数的数,变形正确.故选B.考点:本题考查的是解⼆元⼀次⽅程组点评:解答本题的关键是注意⽅程组中,两个⽅程中同⼀未知数的系数相等或互为相反数时,直接运⽤加减法求解.7.【解析】试题分析:⽤代⼊法解⽅程组的第⼀步:尽量⽤其中⼀个未知数表⽰系数较简便的另⼀个未知数.A、B、C、D四个答案都是正确的,但“化简⽐较容易的”只有D.故选D.考点:本题考查的是代⼊法解⼆元⼀次⽅程组点评:解答本题的关键是注意在⽤其中⼀个未知数表⽰另⼀个未知数时,尽量避免出现分数.8.【解析】试题分析:此题中四位同学均利⽤了代⼊法求⽅程组的解,需对四个答案进⾏逐⼀分析求解.A、B、D均符合等式的性质,不符合题意;C、应该由②得y=,故错误,符合题意.考点:本题考查的是代⼊法解⼆元⼀次⽅程组点评:解答本题的关键是熟练掌握代⼊法解⼆元⼀次⽅程组,同时注意⽅程在进⾏合理变形时要根据等式的性质.9.【解析】试题分析:根据⼆元⼀次⽅程的定义即可得到结果.由题意得m≠0且m+1≠0,解得m≠0且m≠-1,故选D.考点:本题考查的是⼆元⼀次⽅程的定义点评:解答本题的关键是熟练掌握⼆元⼀次⽅程必须符合以下三个条件:(1)⽅程中只含有2个未知数;(2)含未知数项的最⾼次数为⼀次;(3)⽅程是整式⽅程.注意:π是⼀个数.10.【解析】试题分析:根据题意,⼆元⼀次⽅程3a+b=9的解为正整数,分类讨论、解答出即可.根据题意,a ,b 为正整数,∴当a=1时,b=9-3=6,当a=2时,b=9-6=3,当a=3时,b=0,不符合题意,所以,⽅程在正整数范围内的解的个数是2个故选C.考点:本题主要考查了解⼆元⼀次⽅程点评:采⽤“给⼀个,求⼀个”的⽅法,即先给出其中⼀个未知数的值,再依次求出另⼀个的对应值. 11.【解析】试题分析:根据图⽰可得:长⽅形的长可以表⽰为x+2y ,长⼜是75厘⽶,故x+2y=75,长⽅形的宽可以表⽰为2x ,或x+3y ,故2x=3y+x ,整理得x=3y ,联⽴两个⽅程得。
《第7章二元一次方程组》2012年整章水平测试A卷《第7章二元一次方程组》2012年整章水平测试A卷一、选择题(共10小题,每小题3分,满分30分).m+2n n﹣2m+257mD3.(3分)关于x,y的二元一次方程组的解也是二元一次方程2x+3y=﹣6的解,则k的值是()C D4.(3分)若关于x的二元一次方程kx+3y=5有一组解是,则k的值是()5.(3分)如果方程组的解x、y的值相同,则m的值是()6.(3分)足球比赛的计分规则是:胜一场得3分,平一场得1分,负一场得0分.一队打14场,负5场,共得7.(3分)方程组的解为,则被遮盖的两个数分别为()8.(3分)(2005•金华)方程组的解是().C D..C D.10.(3分)(2005•潍坊)为了改善住房条件,小亮的父母考察了某小区的A、B两套楼房,A套楼房在第3层楼,B套楼房在第5层楼,B套楼房的面积比A套楼房的面积大24平方米,两套楼房的房价相同,第3层楼和第5层楼的房价分别是平均价的1.1倍和0.9倍.为了计算两套楼房的面积,小亮设A套楼房的面积为x平方米,B套楼.二、填空题(共10小题,每小题3分,满分30分)11.(3分)是二元一次方程2x+by=﹣2的一个解,则b的值等于_________.12.(3分)二元一次程3x+2y=13的所有正整数解是_________.13.(3分)已知:(2x+3y﹣4)2+|x+3y﹣7|=0,则xy=_________.14.(3分)已知方程组的解是,则m=_________,n=_________.15.(3分)若x﹣3y=2x+y﹣15=1,则x=_________,y=_________.16.(3分)若一个二元一次方程的一个解为,则这个方程可能是_________.17.(3分)(2005•泰州)如图,正方形是由k个相同的矩形组成,上下各有2个水平放置的矩形,中间竖放若干个矩形,则k=_________.18.(3分)已知和都是ax+by=7的解,则a=_________,b=_________.19.(3分)已知方程3x+y=12有很多解,请你写出一组互为相反数的一组解_________.20.(3分)(2000•天津)若直线y=﹣x+a和直线y=x+b的交点坐标为(m,8),则a+b=_________.三、解答题(共8小题,满分60分)21.(6分)解方程组:22.(6分)(2005•北京)夏季,为了节约用电,常对空调采取调高设定温度和清洗设备两种措施.某宾馆先把甲、乙两种空调的设定温度都调高1℃,结果甲种空调比乙种空调每天多节电27度;再对乙种空调清洗设备,使得乙种空调每天的总节电量是只将温度调高1℃后的节电量的1.1倍,而甲种空调节电量不变,这样两种空调每天共节电405度.求只将温度调高1℃后两种空调每天各节电多少度?23.(7分)已知关于x、y的方程组的解为,求a与b的值.24.(7分)(2005•十堰)十堰市东方食品厂2003年的利润(总产值﹣总支出)为200万元,2004年总产值比2003年增加了20%,总支出减少了10%.2004年的利润为780万元.问2003年总产值、总支出各是多少万元?25.(8分)(2005•丰台区)列方程或方程组解应用题:用8块相同的长方形地砖拼成一块矩形地面,地砖的拼放方式及相关数据如图所示,求每块地砖的长与宽.26.(8分)(2006•恩施州)某酒店客房部有三人间、双人间客房,收费数据如下表.为吸引游客,实行团体入住五折优惠措施.一个50人的旅游团优惠期间到该酒店入住,住了一些三人普通间和双人普通间客房.若每间客房正好住满,且一天共花去住宿费1510元,则旅游团住了三人普通间和双人普通间客房28.(10分)(2005•乌鲁木齐)为满足市民对优质教育的需求某中学决定改变办学条件计划拆除一部分旧校舍、建造新校舍.拆除旧校舍每平米需80元,建造新校舍每平米需700元.计划在年内拆除旧校舍与建造新校舍共7 200平方米,在实施中为扩大绿化面积,新建校舍只完成了计划的80%,而拆除校舍则超过了10%,结果恰好完成了原计划的拆、除的总面积.(1)求原计划拆建面积各多少平方米?(2)若绿化1平方米需200元,那么在实际完成的拆、建工程中节余的资金用来绿化大约是多少平方米?《第7章二元一次方程组》2012年整章水平测试A卷参考答案与试题解析一、选择题(共10小题,每小题3分,满分30分).m+2n n﹣2m+257mD.3.(3分)关于x,y的二元一次方程组的解也是二元一次方程2x+3y=﹣6的解,则k的值是()C D得:﹣4.(3分)若关于x的二元一次方程kx+3y=5有一组解是,则k的值是()根据方程的解的定义,把代入方程5.(3分)如果方程组的解x、y的值相同,则m的值是()中的两个方程相减,求出解:由已知方程组,x=4+方程组的解﹣=4+,6.(3分)足球比赛的计分规则是:胜一场得3分,平一场得1分,负一场得0分.一队打14场,负5场,共得7.(3分)方程组的解为,则被遮盖的两个数分别为()8.(3分)(2005•金华)方程组的解是().C D.成方程组得,解得.9.(3分)(2005•嘉兴)方程组的一个解是().C D.不满足不满足不满足10.(3分)(2005•潍坊)为了改善住房条件,小亮的父母考察了某小区的A、B两套楼房,A套楼房在第3层楼,B套楼房在第5层楼,B套楼房的面积比A套楼房的面积大24平方米,两套楼房的房价相同,第3层楼和第5层楼的房价分别是平均价的1.1倍和0.9倍.为了计算两套楼房的面积,小亮设A套楼房的面积为x平方米,B套楼..二、填空题(共10小题,每小题3分,满分30分)11.(3分)是二元一次方程2x+by=﹣2的一个解,则b的值等于6.12.(3分)二元一次程3x+2y=13的所有正整数解是,.,要使,13.(3分)已知:(2x+3y﹣4)2+|x+3y﹣7|=0,则xy=﹣10.,然后用加减消元法消去未知数组成方程组为,,14.(3分)已知方程组的解是,则m=2,n=3.代入方程,15.(3分)若x﹣3y=2x+y﹣15=1,则x=7,y=2.,16.(3分)若一个二元一次方程的一个解为,则这个方程可能是x+y=1.方程的解是17.(3分)(2005•泰州)如图,正方形是由k个相同的矩形组成,上下各有2个水平放置的矩形,中间竖放若干个矩形,则k=8.,18.(3分)已知和都是ax+by=7的解,则a=2,b=1.和代入方程,解这个方程组,得19.(3分)已知方程3x+y=12有很多解,请你写出一组互为相反数的一组解.只要符合上述两个条件就行,如:等,答案不唯一.20.(3分)(2000•天津)若直线y=﹣x+a和直线y=x+b的交点坐标为(m,8),则a+b=16.三、解答题(共8小题,满分60分)21.(6分)解方程组:原方程组的解为.22.(6分)(2005•北京)夏季,为了节约用电,常对空调采取调高设定温度和清洗设备两种措施.某宾馆先把甲、乙两种空调的设定温度都调高1℃,结果甲种空调比乙种空调每天多节电27度;再对乙种空调清洗设备,使得乙种空调每天的总节电量是只将温度调高1℃后的节电量的1.1倍,而甲种空调节电量不变,这样两种空调每天共节电405度.求只将温度调高1℃后两种空调每天各节电多少度?依题意得:(23.(7分)已知关于x、y的方程组的解为,求a与b的值.代入方程组,b=24.(7分)(2005•十堰)十堰市东方食品厂2003年的利润(总产值﹣总支出)为200万元,2004年总产值比2003年增加了20%,总支出减少了10%.2004年的利润为780万元.问2003年总产值、总支出各是多少万元?,.25.(8分)(2005•丰台区)列方程或方程组解应用题:用8块相同的长方形地砖拼成一块矩形地面,地砖的拼放方式及相关数据如图所示,求每块地砖的长与宽.根据题意得(26.(8分)(2006•恩施州)某酒店客房部有三人间、双人间客房,收费数据如下表.为吸引游客,实行团体入住五折优惠措施.一个50人的旅游团优惠期间到该酒店入住,住了一些三人普通间和双人普通间客房.若每间客房正好住满,且一天共花去住宿费1510元,则旅游团住了三人普通间和双人普通间客房化简得:∴张强两次共购买香蕉50kg(第二次多于第一次),共付出264元,请问张强第一次,第二次分别购买香蕉多少千克?....28.(10分)(2005•乌鲁木齐)为满足市民对优质教育的需求某中学决定改变办学条件计划拆除一部分旧校舍、建造新校舍.拆除旧校舍每平米需80元,建造新校舍每平米需700元.计划在年内拆除旧校舍与建造新校舍共7 200平方米,在实施中为扩大绿化面积,新建校舍只完成了计划的80%,而拆除校舍则超过了10%,结果恰好完成了原计划的拆、除的总面积.(1)求原计划拆建面积各多少平方米?(2)若绿化1平方米需200元,那么在实际完成的拆、建工程中节余的资金用来绿化大约是多少平方米?((参与本试卷答题和审题的老师有:zhjh;HLing;lanchong;HJJ;CJX;开心;jingjing;马兴田;bjf;蓝月梦;cook2360;lhf3-3;mmll852;算术;玲;csiya;xiawei;lf2-9;wdxwwzy;zcx;疯跑的蜗牛;117173;心若在;zzz(排名不分先后)菁优网2012年8月31日。
2023年春学期七年级数学下册第七章《一次方程组》综合测评卷一、单选题(每小题4分,共48分)1.下列方程中,是二元一次方程的是()A.xy =1B.x +1y=2C.y =3x -1D.x +y +z =12.下列方程组中,表示二元一次方程组的是()A.3{5x y z x +=+=B.5{1x y x y+==C.3{5x y xy +==D.11{122x y y x =++=3.下列各组数中,是二元一次方程52x y -=的一个解的是()A.31x y =⎧⎨=⎩B.13x y =⎧⎨=⎩C.20x y =⎧⎨=⎩D.02x y =⎧⎨=⎩4.将方程2x -3y -4=0变形为用含有y 的式子表示x ,正确的是()A.2x =3y +4B.x =32y +2C.3y =2x -4D.y =243x -5.方程01ax y x by +=⎧⎨+=⎩的解是11x y =⎧⎨=-⎩,则a ,b 为()A.01a b =⎧⎨=⎩B.10a b =⎧⎨=⎩C.11a b =⎧⎨=⎩D.00a b =⎧⎨=⎩6.已知e ,f 满足方程组32,26,e f f e -=⎧⎨-=⎩则2e +f 的值为()A.2B.4C.6D.87.已知23x y --+(2x+y+11)2=0,则()A.21x y =⎧⎨=⎩B.03x y =⎧⎨=-⎩C.15x y =-⎧⎨=-⎩D.27x y =-⎧⎨=-⎩8.已知关于x ,y 的方程组2342x y ax by -=⎧⎨+=⎩,与3564x y bx ay -=⎧⎨+=-⎩,有相同的解,则a ,b 的值为()A.21a b =-⎧⎨=⎩B.12a b =⎧⎨=-⎩C.12a b =⎧⎨=⎩D.12a b =-⎧⎨=-⎩9.若方程组()213431kx k y x y ⎧+-=⎨+=⎩,的解x 和y 互为相反数,则k 的值为()A.2B.-2C.3D.-310.为确保信息安全,信息需加密传输,发送方将明文加密后传输给接收方,接收方收到密文后解密还原为明文,已知某种加密规则为,明文a,b 对应的密文为a+2b,2a-b,例如:明文1,2对应的密文是5,0,当接收方收到的密文是1,7时,解密得到的明文是()A.3,-1B.1,-3C.-3,1D.-1,311.若方程组23133530.9a b a b -=⎧⎨+=⎩的解是8.31.2a b =⎧⎨=⎩,则方程组2(2)3(1)133(2)5(1)30.9x y x y +--=⎧⎨++-=⎩的解是()A.8.31.2x y =⎧⎨=⎩B.10.32.2x y =⎧⎨=⎩C. 6.32.2x y =⎧⎨=⎩D.10.30.2x y =⎧⎨=⎩12.端午节前夕,某超市用1680元购进A ,B 两种商品共60,其中A 型商品每件24元,B 型商品每件36元.设购买A 型商品x 件、B 型商品y 件,依题意列方程组正确的是()A.6036241680x y x y +=⎧⎨+=⎩B.6024361680x y x y +=⎧⎨+=⎩C.3624601680x y x y +=⎧⎨+=⎩D.2436601680x y x y +=⎧⎨+=⎩二、填空题(每小题4分,共16分)13.若mx 3m -2n -nym +2n =1是关于x ,y 的二元一次方程,则mn=____________14.关于x ,y 的二元一次方程组23,1ax by ax by +=⎧⎨-=⎩的解为1,1x y =⎧⎨=-⎩,则2a b -的值为______15.一桶油,连桶共8kg,用去一半以后,连桶的质量为4.5kg.问原来有油多少千克?若设油的质量为x kg,桶的质量为y kg,则根据题意可列方程组为______.16.已知方程组111222a x b y c a x b y c +=⎧⎨+=⎩的解是6{8x y ==,则方程组111222345{345a x b y c a x b y c +=+=的解是_________.三、解答题(6个小题,共56分)17.用适当的方法解下列方程组.(1)21437x y x y =-⎧⎨+=⎩;(2)3222328x y x y +=⎧⎨+=⎩.18.为预防新冠肺炎病毒,市面上95KN 等防护型口罩出现热销.已知3个A 型口罩和2个B 型口罩共需31元;6个A 型口罩和5个B 型口罩共需70元.(1)求一个A 型口罩和一个B 型口罩的售价各是多少元?(2)小红打算用160元(全部用完)购买A 型,B 型两种口罩(要求两种型号的口罩均购买),正好赶上药店对口罩价格进行调整,其中A 型口罩售价上涨40%,B 型口罩按原价出售,则小红有多少种不同的购买方案?请设计出来.19.某超市代理销售,A B 两种鲜牛奶,这两种鲜奶的成本价和销售价如表格所示,它们的保质期为一天,当天未售出的鲜奶必须全部销毁.该超市某天用1320元购进,A B 两种鲜奶共200瓶,卖出180瓶,当天共获得570元的利润.价格类别成本价(元/瓶)销售价(元/瓶)A 种鲜奶58B 种鲜奶914(1)求该超市这一天购进,A B 种鲜奶各多少瓶;(2)小明列出方程180(85)(149)570m n m n +=⎧⎨-+-=⎩来解决另一个问题,你认为小明要解决的问题可能是什么?小明所列的方程组解决这个问题能得出正确的答案吗?若可以,请求结果;若不可以,请列出正确的方程或方程组,不必求解.20.某文具店有甲,乙两种水笔,它们的单价分别为a 元/支,b 元/支,若购买甲种水笔5支,乙种水笔2支,共花费25元,购买甲种水笔3支,乙种水笔4支,共花费29元.(1)求a 和b 的值;(2)甲种水笔涨价m 元/支(02m <<),乙种水笔单价不变,小明花了40元购买了两种水笔10支,那么购买甲种水笔多少支?(用含m 的代数式表示).21.玲玲家准备装修一套新住房,若甲、乙两个装饰公司合作,需6周完成,共需装修费为5.2万元;若甲公司单独做4周后,剩下的由乙公司来做,还需9周才能完成,共需装修费4.8万元,玲玲的爸爸妈妈商量后决定只选一个公司单独完成.(1)设甲公司的每周工作效率为m,乙公司每周的工作效率为n,则可列出方程为.(2)如果从节约时间的角度考虑应选哪家公司?(3)如果从节的开支的角度考虑呢?请说明理由.22.小林在某商店购买商品A,B共三次,只有其中一次购买时,商品A,B同时打折,其余两次均按标价购买,三次购买商品A,B的数量和费用如表所示:购买商品A的数量/个购买商品B的数量/个购买总费用/元第一次购物651140第二次购物371110第三次购物981062(1)在这三次购物中,第_____________次购物打了折扣;(2)求出商品A,B的标价;(3)若商品A,B的折扣相同,问商店是打几折出售这两种商品的?参考答案:1.C【详解】根据二元一次方程的定义:只含有两个未知数,并且未知数最高次数是2的整式方程,故选C. 2.D【详解】A、有三个未知数,故不是二元一次方程组;B、有两个未知数,第二个方程不是整式方程,故不是二元一次方程组;C、有两个未知数,第二个方程的次数是2次,故不是二元一次方程组;D、有两个未知数,方程的次数是1次,所以是二元一次方程组,故选D.3.B【详解】解:A、把31xy=⎧⎨=⎩代入方程得:左边=15-1=14,右边=2,∵左边≠右边,∴不是方程的解;B、把13xy=⎧⎨=⎩代入方程得:左边=5-3=2,右边=2,∵左边=右边,∴是方程的解;C、把2xy=⎧⎨=⎩代入方程得:左边=10-0=10,右边=2,∵左边≠右边,∴不是方程的解;D、把2xy=⎧⎨=⎩代入方程得:左边=0-2=-2,右边=2,∵左边≠右边,∴不是方程的解;故选:B.4.B【详解】2x-3y-4=0,2x=4+3y,x=32y+2,故选B. 5.B【详解】解:由题意得:1011a b -=⎧⎨-=⎩,解得:10a b =⎧⎨=⎩.故选B6.D【详解】3226e f f e -=⎧⎨-=⎩①②,①+②得,2e +f =8,故选:D.7.D【详解】由题意得:2302110x y x y --=⎧⎨++=⎩,解得:27x y =-⎧⎨=-⎩,故选D.8.B【详解】关于x ,y 的方程组2342x y ax by -=⎧⎨+=⎩与3564x y bx ay -=⎧⎨+=-⎩,有相同的解,所以234356x y x y -=⎧⎨-=⎩,解得20x y =⎧⎨=⎩,将20x y =⎧⎨=⎩代入24ax by bx ay +=⎧⎨+=-⎩可得2224a b =⎧⎨=-⎩,解得12a b =⎧⎨=-⎩,故选B.9.A【详解】由题意可得4310x y x y +=⎧⎨+=⎩,解得11x y =⎧⎨=-⎩,把11x y =⎧⎨=-⎩代入方程2kx+(k-1)y=3得2k-(k-1)=3,解得k=2;故选A.10.A【详解】由题意得:2127a b a b +=⎧⎨-=⎩,解得:31a b =⎧⎨=-⎩,故选A.11.C【详解】由题意知,28.31 1.2x y +=⎧⎨-=⎩,解得, 6.32.2x y =⎧⎨=⎩,故选:C.12.B【详解】解:设购买A 型商品x 件、B 型商品y 件,依题意列方程组:6024361680x y x y +=⎧⎨+=⎩故选B.13.2【详解】因为mx 3m -2n -nym +2n =1是关于x ,y 的二元一次方程,所以可得:32121m n m n -=⎧⎨+=⎩,解得:12 14m n ⎧=⎪⎪⎨⎪=⎪⎩,所以2mn=,故答案为:2.14.2【详解】解:由题意,得231a b a b -⎧⎨+⎩=①=②,解得4313a b ⎧=⎪⎪⎨⎪=-⎪⎩,2a b -=41233⎛⎫-⨯- ⎪⎝⎭=2,故答案为:2.15.814.52x y x y +=⎧⎪⎨+=⎪⎩【详解】油的质量为x kg,桶的质量为y kg,由题意得81 4.52x y x y +=⎧⎪⎨+=⎪⎩故答案为81 4.52x y x y +=⎧⎪⎨+=⎪⎩.16.1010x y =⎧⎨=⎩【详解】试题分析:根据题意,把方程组的解6{8x y ==代入111222{a x b y c a x b y c +=+=,可得11122268{68a b c a b c +=+=①②,把①和②分别乘以5可得11122230405{30405a b c a b c +=+=,和所求方程组111222345{345a x b y c a x b y c +=+=比较,可知1112223104105{3104105a b c a b c ⨯+⨯=⨯+⨯=,因此方程组的解为10{10x y ==.17.(1)11x y =⎧⎨=⎩;(2)1016x y =-⎧⎨=⎩【详解】(1)21,437,x y x y =-⎧⎨+=⎩①②将①代入②,()42137y y -+=,解得,1y =,把1y =代入①得,1x =,∴原方程组的解为11x y =⎧⎨=⎩.(2)322,2328,x y x y +=⎧⎨+=⎩①②,32⨯-⨯②①,得,580y =,解得,16y =.将16y =代入①:3322x +=解得,10x =-,∴原方程组的解为1016x y =-⎧⎨=⎩.18.(1)一个A 型口罩的售价为5元,一个B 型口罩的售价为8元(2)小红有2种不同的购买方案,方案1:购买8个A 型口罩,13个B 型口罩;方案2:购买16个A 型口罩,6个B 型口罩【详解】(1)设一个A 型口罩的售价为x 元,一个B 型口罩的售价为y 元,依题意,得:32316570x y x y +=⎧⎨+=⎩,解得:58x y =⎧⎨=⎩,答:一个A 型口罩的售价为5元,一个B 型口罩的售价为8元;(2)解:设购买A 型口罩m 个,B 型口罩n 个,根据题意,得5(140%)8160m n ++=,即78160m n +=,∴满足条件的m ,n 有:8m =,13n =或16m =,6n =,∴小红有2种购买方案:第一种方案:A 型口罩购买8个,B 型口罩购买13个;第二种方案:A 型口罩购买16个,B 型口罩购买6个;19.(1)该超市这一天购进A 种鲜奶120瓶,购买B 种鲜奶80瓶.(2)要解决的问题是A 种鲜奶与B 种鲜奶各销售了多少瓶?小明所列的方程组不能解决这个问题,其中利润的计算是错误的,正确的方程组是:1808141320570m n m n +=⎧⎨+=+⎩.【详解】(1)解:设该超市这一天购进A 种鲜奶x 瓶,购买B 种鲜奶()200x -瓶,则()592001320x x +-=,解得:120x =,则80200=-x ,答:该超市这一天购进A 种鲜奶120瓶,购买B 种鲜奶80瓶.(2)小明列出方程180(85)(149)570m n m n +=⎧⎨-+-=⎩要解决的问题是A 种鲜奶与B 种鲜奶各销售了多少瓶?小明所列的方程组不能解决这个问题,其中利润的计算是错误的,设A 种鲜奶卖出m 瓶,卖出B 种鲜奶n 瓶,则正确的方程组是:1808141320570m n m n +=⎧⎨+=+⎩.20.(1)a 的值为3,b 的值为5;(2)购买甲102m-支【详解】(1)依题意有52253429a b a b +=⎧⎨+=⎩,解得35a b =⎧⎨=⎩.故a 的值为3,b 的值为5;(2)设购买甲种水笔x 支,则购买乙种糖果()10x -支,依题意有:()()351040m x x ++-=,解得:102x m=-;故购买甲102m -支.21.(1)16m n +=;(2)时间上考虑选择甲公司;(3)从节约开支上考虑选择乙公司【详解】(1)解:设工作总量为1,设甲公司的每周工作效率为m ,乙公司每周的工作效率为n ,则16m n +=,故答案为:16m n +=.(2)解:设工作总量为1,设甲公司的每周工作效率为m ,乙公司每周的工作效率为n ,根据题意得,16491m n m n ⎧+=⎪⎨⎪+=⎩;解得:110115m n ⎧=⎪⎪⎨⎪=⎪⎩∵111015>∴甲公司的效率高,所以从时间上考虑选择甲公司.(3)解:设甲公司每周费用为a 万元,乙公司每周费用为b 万元,根据题意得:66 5.249 4.8a b a b +=⎧⎨+=⎩;解得:35415a b ⎧=⎪⎪⎨⎪=⎪⎩∴公司共需33010655⨯==万元,乙公司共需415415⨯=万元,4万元<6万元,∴从节约开支上考虑选择乙公司.22.(1)三;(2)商品A 的标价为90元,商品B 的标价为120元;(3)商店是打6折出售这两种商品的【详解】(1)解:由表中数据可知,第三次购买商品数量比第一次、第二次都多,但总费用却比第一次、第二次低,从而确定第三次购物打了折扣,故答案为:三;(2)解:设商品A 的标价为x 元,商品B 的标价为y 元,则651140371110x y x y +=⎧⎨+=⎩①②,②2⨯-①得91080y =,解得120y =,将120y =代入①得到90x =,答:商品A 的标价为90元,商品B 的标价为120元;(3)解:设商店是打m 折出售这两种商品,则()9908120·106210m⨯+⨯=,解得6m =,答:若商品A ,B 的折扣相同,问商店是打6折出售这两种商品的.。
七年级数学下册第七章二元一次方程组专项练习考试时间:90分钟;命题人:数学教研组考生注意:1、本卷分第I卷(选择题)和第Ⅱ卷(非选择题)两部分,满分100分,考试时间90分钟2、答卷前,考生务必用0.5毫米黑色签字笔将自己的姓名、班级填写在试卷规定位置上3、答案必须写在试卷各个题目指定区域内相应的位置,如需改动,先划掉原来的答案,然后再写上新的答案;不准使用涂改液、胶带纸、修正带,不按以上要求作答的答案无效。
第I卷(选择题 30分)一、单选题(10小题,每小题3分,共计30分)1、如果关于x,y的方程组45xby ax=⎧⎨+=⎩与72x ybx ay+=⎧⎨+=⎩的解相同,则a b+的值()A.1 B.2 C.-1 D.0 2、下列各方程中,是二元一次方程的是()A.23xy-=y+5x B.3x+1=2xy C.15x=y2+1 D.x+y=13、在某场CBA比赛中,某位运动员的技术统计如下表所示:注:①表中出手投篮次数和投中次数均不包括罚球;②总得分=两分球得分+三分球得分+罚球得分.根据以上信息,本场比赛中该运动员投中两分球和三分球各()个.A .5,6B .6,5C .4,7D .7,44、《孙子算经》是中国古代最重要的数学著作,其中记载:“今有木,不知长短,引绳度之,余绳四尺五寸,屈绳量之,不足一尺.木长几何?”译文:“用一根绳子去量一根长木,绳子还剩余4.5尺,将绳子对折再量长木,长木还剩余1尺,问木长多少尺?”设绳子长x 尺,木长y 尺,可列方程组为( ).A . 4.5112x y x y -=⎧⎪⎨=+⎪⎩B . 4.5112x y x y -=⎧⎪⎨=-⎪⎩C . 4.5112y x y x -=⎧⎪⎨=+⎪⎩D . 4.5112x y y x -=⎧⎪⎨=-⎪⎩5、已知2x y m =⎧⎨=⎩是二元一次方程531x y +=的一组解,则m 的值是( )A .3-B .3C .311-D .3116、下列方程组中,属于二元一次方程组的是( )A .659x y xy +=⎧⎨=⎩B .123230x y x y ⎧+=⎪⎨⎪-=⎩C .3511643x y x y =⎧⎪⎨+=⎪⎩ D .3826x y y z -=⎧⎨-=⎩7、《九章算术》“盈不足”一卷中有这样一个问题:“今有善田一亩,价三百;恶田七亩,价五百.今并买一顷,价钱一万.问善、恶田各几何?”意思是:“今有好田1亩,价值300钱;坏田7亩,价值500钱.今共买好、坏田1顷(1顷=100亩),总价值10000钱.问好、坏田各买了多少亩?”设好田买了x 亩,坏田买了y 亩,则下面所列方程组正确的是( ) A .100730010000500x y x y +=⎧⎪⎨+=⎪⎩ B .100500300100007x y x y +=⎧⎪⎨+=⎪⎩ C .100730010000500x y x y +=⎧⎪⎨+=⎪⎩D .100500300100007x y x y +=⎧⎪⎨+=⎪⎩8、如图,已知长方形ABCD 中,8cm AD =,6cm AB =,点E 为AD 的中点,若点P 在线段AB 上以2cm/s 的速度由点A 向点B 运动.同时,点Q 在线段BC 上由点C 向点B 运动,若AEP △与BPQ 全等,则点Q 的运动速度是( )A .6或83B .2或6C .2或23D .2或839、如图,已知直线y =kx +b 和y =mx +n 交于点A (﹣2,3),与x 轴分别交于点B (﹣1,0)、C (3,0),则方程组kx y bmx y n -=-⎧⎨-=-⎩的解为( )A .23x y =-⎧⎨=⎩B .10x y =-⎧⎨=⎩C .30x y =⎧⎨=⎩D .无法确定10、已知关于x ,y 的方程组111222a x b y c a x b y c +=⎧⎨+=⎩的唯一解是41x y =⎧⎨=⎩,则关于m ,n 的方程组)()(111122222626a m b n c b a m b n c b ⎧--=+⎪⎨--=+⎪⎩的解是( ) A .52m n =⎧⎨=-⎩B .41m n =⎧⎨=⎩C .11m n =-⎧⎨=-⎩D .51m n =⎧⎨=-⎩第Ⅱ卷(非选择题 70分)二、填空题(5小题,每小题4分,共计20分)1、一篮水果分给一群小孩,若每人分8个,则差3个水果;若每人分7个,则多4个水果.设小孩有x人,水果有y个.则所列方程组应为______________.2、解二元一次方程组有___________和___________.用一元一次方程解应用题的步骤是什么?审题、___________、列方程、___________、检验并答.3、新春佳节享团圆,吉祥如意在虎年!新年将至,某超市第一周销售吉祥、如意、团圆三种年货礼包的数量之比为3:1:4,吉祥、如意、团圆三种年货礼包的单价之比为1:5:2.第二周由于人工成本的增加,超市管理人员把如意礼包的单价在第一周的基础上上调20%,吉祥、团圆礼包的单价保持不变,预计第二周三种年货礼包的销售总额比第一周有所增加,其中团圆礼包增加的销售额占第二周总销售额112,如意礼包和团圆礼包的销售额之比是3:4,三种礼包的数量之和比第一周增加1932,则团圆礼包第一周与第二周的数量之比为_____________.4、幻方,又称为九宫格,最早起源于中国,是一种中国传统游戏.如图1,它是在33⨯的9个格子中填入9个数,使得每行、每列及对角线上的3个数之和都相等.在如图2所示幻方中,只填了5个用字母表示的数,根据每行、每列及对角线上的3个数之和都相等,则右上角“x”所表示的数应等于_______.5、一般地,二元一次方程组的两个方程的____,叫做二元一次方程组的解.三、解答题(5小题,每小题10分,共计50分)1、用适当的方法解下列方程组:523611x yx y-=⎧⎨+=⎩.2、阅读材料:材料1:如果一个四位数为abcd(表示千位数字为a,百位数字为b,十位数字为c,个位数字为d的四位数,其中a 为1~9的自然数,b 、c 、d 为0~9的自然数),我们可以将其表示为:100010010abcd a b c d =+++;材料2:把一个自然数(个位不为0)各位数字从个位到最高位倒序排列,得到一个新的数,我们称该数为原数的兄弟数,如数“123”的兄弟数为“321”. (1)四位数53x y =__________;(用含x ,y 的代数式表示)(2)设有一个两位数xy ,它的兄弟数与原数的差是45,请求出所有可能的数xy ;(3)设有一个四位数abcd 存在兄弟数,且a d b c +=+,记该四位数与它的兄弟数的和为S ,问S 能否被1111整除?试说明理由.3、我国古代民间把正月正、二月二、三月三、五月五、六月六、七月七、九月九这“七重”列为吉庆日;“七”在生活中表现为时间的阶段性,比如一周有“七天” ⋯,在数的学习过程中,有一类自然数具有的特性也和“七”有关.定义:对于四位自然数n ,若其千位数字与个位数字之和等于7,百位数字与十位数字之和也等于7,则称这个四位自然数n 为“七巧数”.例如:3254是“七巧数”,因为347+=,257+=,所以3254是“七巧数”;1456不是“七巧数”,因为167+=,但457+≠,所以1456不是“七巧数”. (1)最大的“七巧数”是 ,最小的“七巧数”是 ;(2)若将一个“七巧数” n 的个位数字和千位数字交换位置,十位数字和百位数字交换位置得到一个新的“七巧数” n ',并记()F n n n =+',求证:无论n 取何值,()F n 为定值,并求出这个值; (3)若m 是一个“七巧数”,且m 的百位数字加上个位数字的和,是千位数字减去十位数字的差的2倍,请求出满足条件的所有“七巧数” m .4、春节临近,坚果和炒货都进入销售旺季,某批发商去年12月售出一批开心果和夏威夷果,其中开心果的售价为60元/千克,夏威夷果的售价为50元/千克,开心果的销量比夏威夷果的销量多500千克,总销售额为85000元.(1)该批发商去年12月开心果和夏威夷果的销量分别为多少千克?(2)由于供不应求,该批发商开始调整价格,今年1月开心果销售价格在去年12月基础上增长了2a %,销量减少了100千克;今年1月夏威夷果销售价格在去年12月基础上增加了45a 元,销量下降了10%,最终今年每月总销售额比去年12月总销售额多了5900元,求a 的值. 5、(1)解方程:4372153x x ---=; (2)解方程组:3+2y=14y=6x x ⎧⎨--⎩-参考答案-一、单选题 1、A 【解析】 【分析】将含有x 、y 的方程组成方程组求出解,代入52by ax bx ay +=⎧⎨+=⎩,得到345432b a b a +=⎧⎨+=⎩,求出777a b +=,由此得到答案. 【详解】解:解方程组47x x y =⎧⎨+=⎩,得43x y =⎧⎨=⎩,将43x y =⎧⎨=⎩代入方程组52by ax bx ay +=⎧⎨+=⎩中,得345432b a b a +=⎧⎨+=⎩,∴777a b +=, ∴a b +=1, 故选:A . 【点睛】此题考查了同解二元一次方程组,正确掌握同解方程的解法是解题的关键.2、D【解析】【分析】根据二元一次方程的定义逐一排除即可.【详解】解:A、23xy=y+5x不是二元一次方程,因为不是整式方程;B、3x+1=2xy不是二元一次方程,因为未知数的最高项的次数为2;C、15x=y2+1不是二元一次方程,因为未知数的最高项的次数为2;D、x+y=1是二元一次方程.故选:D.【点睛】此题主要考查了二元一次方程定义关键是掌握二元一次方程需满足三个条件:①首先是整式方程.②方程中共含有两个未知数.③所有未知项的次数都是一次.不符合上述任何一个条件的都不叫二元一次方程.3、B【解析】【分析】设本场比赛中该运动员投中两分球x个,三分球y个,根据投中次数结合总分,即可得出关于x、y 的二元一次方程组,解之即可得出结论.【详解】解:设本场比赛中该运动员投中两分球x个,三分球y个,根据题意得:2363311x yx y++=⎧⎨+=⎩,解得:65xy=⎧⎨=⎩.答:设本场比赛中该运动员投中两分球6个,三分球5个.故选:B.【点睛】本题考查统计表和了二元一次方程组的应用,找准等量关系,列出二元一次方程组是解题的关键.4、B【解析】【分析】设绳子长x尺,长木长y尺,根据“用一根绳子去量一根长木,绳子还剩余4.5尺,将绳子对折再量长木,长木还剩余1尺”,可得出关于x,y的二元一次方程组.【详解】解:设绳子长x尺,长木长y尺,依题意,得:4.5112x yx y-=⎧⎪⎨=-⎪⎩,故选:B.【点睛】本题考查了二元一次方程组的应用以及数学常识,找准等量关系,正确列出二元一次方程组是解题的关键.5、A【解析】把2xy m=⎧⎨=⎩代入5x+3y=1即可求出m的值.【详解】把2xy m=⎧⎨=⎩代入5x+3y=1,得10+3m=1,∴m=-3,故选A.【点睛】本题考查了求二元一次方程的解,能使二元一次方程左右两边相等的未知数的值叫做二元一次方程的解.6、C【解析】【分析】根据二元一次方程组的基本形式及特点进行判断,即①含有两个二元一次方程,②方程都为整式方程,③未知数的最高次数都为一次.【详解】解:A、该方程组中的第二个方程的最高次数为2,不是二元一次方程组,故本选项不符合题意;B、该方程组的第一个方程不是整式方程,不是二元一次方程组,故本选项不符合题意;C、该方程组符合二元一次方程组的定义,故本选项符合题意;D、该方程组中含有3个未知数,不是二元一次方程组,故本选项不符合题意;故选:C.本题主要考查二元一次方程组的判定,解题的关键是熟练掌握二元一次方程组的基本形式及特点.7、B【解析】【分析】设他买了x亩好田,y亩坏田,根据总价=单价×数量,结合购买好田坏田一共是100亩且共花费了10000元,即可得出关于x,y的二元一次方程组,此题得解.【详解】解:设他买了x亩好田,y亩坏田,∵共买好、坏田1顷(1顷=100亩).∴x+y=100;∵今有好田1亩,价值300钱;坏田7亩,价值500钱,购买100亩田共花费10000钱,∴300x+5007y=10000.联立两方程组成方程组得:100500 300100007x yx y+=⎧⎪⎨+=⎪⎩.故选:B.【点睛】本题考查了由实际问题抽象出二元一次方程组,找准等量关系,正确列出二元一次方程组是解题的关键.8、A【解析】【分析】设Q运动的速度为x cm/s,则根据△AEP与△BQP得出AP=BP、AE=BQ或AP=BQ,AE=BP,从而可列出方程组,解出即可得出答案.【详解】解:∵ABCD 是长方形,∴∠A =∠B =90°,∵点E 为AD 的中点,AD =8cm ,∴AE =4cm ,设点Q 的运动速度为x cm/s ,①经过y 秒后,△AEP ≌△BQP ,则AP =BP ,AE =BQ ,26248y y xy -⎧⎨-⎩==, 解得,3283x y ⎧=⎪⎪⎨⎪=⎪⎩, 即点Q 的运动速度83cm/s 时能使两三角形全等.②经过y 秒后,△AEP ≌△BPQ ,则AP =BQ ,AE =BP ,28462y xy y -⎧⎨-⎩==, 解得:61x y ⎧⎨⎩==, 即点Q 的运动速度6cm/s 时能使两三角形全等.综上所述,点Q 的运动速度83或6cm/s 时能使两三角形全等.故选:A .本题考查全等三角形的判定及性质,涉及了动点的问题使本题的难度加大了,解答此类题目时,要注意将动点的运用时间t 和速度的乘积当作线段的长度来看待,这样就能利用几何知识解答代数问题了.9、A【解析】【分析】根据二元一次方程组的解的定义知,该方程组的解就是组成方程组的两个二元一次方程的图象的交点.【详解】解:由图象及题意得:∵直线y =kx +b 和y =mx +n 交于点A (﹣2,3),∴方程组kx y b mx y n -=-⎧⎨-=-⎩的解为23x y =-⎧⎨=⎩. 故选:A .【点睛】本题主要考查一次函数与二元一次方程组的解,熟练掌握一次函数的图象与性质是解题的关键.10、A【解析】【分析】先将关于,m n 的方程组变形为)(())(()111222261261a m b n c a m b n c ⎧--+=⎪⎨--+=⎪⎩,再根据关于,x y 的方程组的解可得26411m n -=⎧⎨+=-⎩,由此即可得出答案.解:关于,m n 的方程组可变形为)(())(()111222261261a m b n c a m b n c ⎧--+=⎪⎨--+=⎪⎩, 由题意得:26411m n -=⎧⎨+=-⎩, 解得52m n =⎧⎨=-⎩, 故选:A .【点睛】本题考查了求二元一次方程组的解,正确发现两个方程组之间的联系是解题关键.二、填空题1、8374x y x y -=⎧⎨-=-⎩【解析】【分析】由题意可得两条等量关系:人数乘以8-水果数=3,人数乘以7-水果数=-4,根据两条等量关系列出方程组即可.【详解】解:由若每人分8个,则差3个水果可得等量关系:人数乘以8-水果数=3,则可列方程:83x y -=,由若每人分7个,则多4个水果可得等量关系:人数乘以7-水果数=-4,则可列方程:74x y -=-,故答案为:8374x y x y -=⎧⎨-=-⎩. 【点睛】本题考查列二元一次方程组解决实际问题,能够根据题意找到等量关系是解决本题的关键.2、 代入消元法 加减消元法 设未知数 解方程【解析】略3、4:5【解析】【分析】设某超市第一周销售吉祥、如意、团圆三种年货礼包的数量为3a ,a ,4a ,三种年货礼包的单价为b ,5b ,2b ,则第一周销售额可得;设第二周如意年货礼包的销售数量为y ,由于第二周礼包的单价在第一周的基础上上调20%,所以第二周礼包的单价为6y ,销售额为6by ,则团圆礼包第二周销售额为8by ,利用已知条件列出方程求解即可【详解】解:设某超市第一周销售吉祥、如意、团圆三种年货礼包的数量为3a ,a ,4a ,三种年货礼包的单价为b ,5b ,2b ,则第二周三种年货的售价为:b ,5b ×1.2=6b ,2b ;设第二周三种年货的销量分别为x ,y ,z ,∵如意礼包和团圆礼包的销售额之比是3:4,∴6:23:4by bz =∴4z y =第二周团圆包增加的销售额为:24248()b y b a b y a ⨯-⨯=- ∵团圆礼包增加的销售额占第二周总销售额112,∴1(14)8()12b x y b y a +⨯=- ∴8296x y a =- ∵三种礼包的数量之和比第一周增加1932, ∴19(34)(1)32x y z a a a ++=++⨯+∴51829644y a y y a -++=∴:5:4y a =∴团圆礼包第一周与第二周的数量之比为4:4:4:5a y a y ==故答案为:4:5【点睛】本题考查三元一次方程的应用;理解题意,能够通过所给的量之间的关系列出正确的方程是解题的关键.4、3【解析】【分析】根据题意先求出对角线上数字的和,然后再构建一元一次方程进行求解;【详解】解:设x 左边的两个数为y 和z ,根据题意得:n -a +z =n +m +x ①,a +6+m +y =n +m +x ②,x +y +z =n +m +x ③,①+②得:n +6+m +(y +z )=2m +2n +2x ;由③得:y +z =n +m解得:x =3故答案为:3【点睛】本题考查三元一次方程的应用,如果能看透题目,充分利用已知,那么解决问题的难度将大大降低.5、公共解【解析】略三、解答题1、54138x y ⎧=⎪⎪⎨⎪=⎪⎩【解析】【分析】根据题意利用加减消元法,①×3+②,消去未知数y ,求出未知数x 的值,再代入其中一个方程求出y 的值即可.【详解】解:523611x y x y -=⎧⎨+=⎩①②, ①3⨯+②,得1620x =,解得54x =, 把54x =代入①,得25234y -=,解得138y =. 故方程组的解为54138x y ⎧=⎪⎪⎨⎪=⎪⎩. 【点睛】本题考查解二元一次方程组,能把二元一次方程组转化成一元一次方程是解答此题的关键.2、 (1)1000x+10y+503(2)16或27或38或49(3)能,理由见解析【解析】【分析】(1)直接合并同类项即可得出答案;(2)利用两位数的兄弟数与原数的差为45得出y-x=5,即可写出结果;(3)先写成四位数的兄弟数,再表示出S,最后用a+d=b+c代换,整理,即可得出结论.(1)解:53x y 1000x+5×100+10y+3=1000x+10y+503,故答案为1000x+10y+503;(2)解:由题意得,xy的兄弟数为yx,∵两位数xy的兄弟数与原数的差为45,∴yx-xy=45,∴10y+x-(10x-y)=45,∴y-x=5,∵x,y均为1~9的自然数,∴xy可能的数为16或27或38或49.(3)解:S能被1111整除,理由如下:∵abcd=1000a+100b+10c+d,∴它的兄弟数为dcba=1000d+100c+10b+a,∵a+d=b+c,∴S=abcd+dcba=1000a+100b+10c+d+1000d+100c+10b+a=1001a+110b+110c+1001a=10001a+110(b+c)+1001d=10001a+110(a+d)+1001d=1111a+1111d=1111(a+d),∵a,d为1~9的自然数,∴1111(a+d)能被1111整除,即S能被1111整除.【点睛】此题主要考查了新定义,二元一次方程的应用,以及因式分解得应用,理解新定义是解本题的关键.3、 (1)7700,1076(2)证明见解析,7777(3)5612,6341,7070【解析】【分析】( 1)根据“七巧数”的定义即可求解;( 2)设n 的个位数字为x ,十位数字为y ,则百位数字为7y ,千位数字(7)x -,依此可求n 和n ',进一步可求n n ;( 3)设m 的千位数字为a ,百位数字为b ,则十位数字为7b ,个位数字为7a ,根据m 的百位数字加上个位数字的和,是千位数字减去十位数字的差的2倍,依此可得321a b +=,再根据方程正整数解进行讨论即可求解.(1)解:最大的“七巧数”是:7700,最小的“七巧数”是:1076,故答案为:7700,1076;(2)证明:设n 的个位数字为x ,十位数字为y ,则百位数字为(7)y -,千位数字(7)x -,由题意得,1000(7)100(7)10n x y y x =-+-++,100010010(7)(7)n x y y x '=++-+-,()F n n n ='+1000(7)100(7)10100010010(7)(7)x y y x x y y x =-+-+++++-+-,7777=.故无论n 取何值,()F n 为定值,为7777;(3)设m 的千位数字为a ,百位数字为b ,则十位数字为(7)b -,个位数字为(7)a -,由题意得,(7)2[(7)]b a a b +-=--,即321a b +=,7,3b a 17a ,07b ,且a ,b 为整数,∴当5a =时,则6b =,5612m =,当6a =时,则3b =,6341m =,当7a =时,则0b =,7070m =,∴满足条件的所有“七巧数” m 为:5612,6341,7070.【点睛】本题考查的是新定义情境下的整式的加减运算,二元一次方程的正整数解问题,理解新定义,准确的列出代数式并合并同类项,列出二元一次方程并求解其符合条件的正整数解都是解本题的关键.4、 (1)该批发商去年12月开心果和夏威夷果的销量分别为1000千克,500千克;(2)a =10.【解析】【分析】(1)设该批发商去年12月开心果的销量为x 千克,夏威夷果的销量分别为y 千克,根据等量关系开心果的销量比夏威夷果的销量多500千克,总销售额为85000元.列方程组500605085000x y x y -=⎧⎨+=⎩,解方程组即可;(2)根据开心果涨价后销售价格×减少后销量+夏威夷果涨价后的销售价格×降低10%后的销量=12月份销售额+5900,列方程,然后解方程即可.(1)解:设该批发商去年12月开心果的销量为x 千克,夏威夷果的销量分别为y 千克根据题意,得500605085000x y x y -=⎧⎨+=⎩, 解得1000500x y =⎧⎨=⎩, 答该批发商去年12月开心果和夏威夷果的销量分别为1000千克,500千克;(2)解:()()()46012%100010050500110%8500059005a a ⎛⎫+⨯-++⨯-=+ ⎪⎝⎭, 整理得76500+1440a =90900,解得:a =10,经检验a =10是原方程的根,并符合题意.【点睛】本题考查列二元一次方程组解应用题,一元一次方程解销售问题应用题,掌握列二元一次方程组解应用题,一元一次方程解销售问题应用题的方法与步骤是解题关键.5、(1)1423x =-;(2)12x y =-⎧⎨=⎩ 【解析】【分析】(1)先去分母,再去括号,然后移项合并同类项,即可求解;(2)由①+②×2可得1x =- ,再代入②,即可求解.【详解】 解:4372153x x ---= 去分母得:()()34315572x x --=- ,去括号得:129153510x x --=- ,移项合并同类项得:2314x -= , 解得:1423x =- ;(2)3+2=14=6x y x y ⎧⎨--⎩①②由①+②×2得:1111x =- ,解得:1x =- ,把1x =-代入②得:()416y ⨯--=- ,解得:2y = ,∴原方程组的解为12x y =-⎧⎨=⎩. 【点睛】本题主要考查了解一元一次方程和解二元一次方程组,熟练掌握一元一次方程和二元一次方程组的解法是解题的关键.。
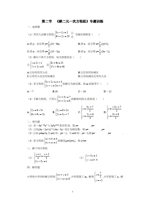
第二节 《解二元一次方程组》专题训练一、选择题(1)用代入法解方程组⎩⎨⎧=+=-2329253y x y x 的最佳策略是( )A.消y ,由②得y=21(23-9x) B.消x ,由①得x=31(5y+2) C.消x ,由②得x=91(23-2y)D.消y ,由①得y=51(3x -2)(2)解以下两个方程组,较为简便的是( )①⎩⎨⎧=+-=85712y x x y ②⎩⎨⎧=-=+486172568t s t sA.①②均用代入法B.①②均用加减法C.①用代入法②用加减法D.①用加减法②用代入法(3)若方程组⎩⎨⎧-=-+=+122323m y x m y x 的解互为相反数,则m 的值等于( )A.-7B.10C.-10D.-12(4)不解方程组,下列与⎩⎨⎧=+=+823732y x y x 的解相同的方程组是( )A.⎩⎨⎧=+-=2196382y x x yB.⎩⎨⎧+=+=732382y x xyC.⎪⎪⎩⎪⎪⎨⎧+=+=382273y y y xD.⎪⎪⎩⎪⎪⎨⎧+=+-=283273x y y x二、填空题(1)若-3x a -2b y 7与2x 8y 5a+b 是同类项,则a=__________,b=__________.(2)已知(3x -2y+1)2与|4x -3y -3|互为相反数,则x=__________,y=__________(3)已知y=kx+b,当x=1时,y=-1,当x=3时,y=-5,则k=__________,b=_________.(4)若方程组⎩⎨⎧=+=+54ay bx by ax 的解是(x=2y=1),则a+b=__________三、解下列方程组(1)⎪⎩⎪⎨⎧=-+=+1323241y x x y(2)⎩⎨⎧==-4:3:23x y y x四、解答题小明和小华同时解方程组⎩⎨⎧=-=+1325ny x y mx ,小明看错了m ,解得⎪⎩⎪⎨⎧-==227y x ,小华看错了n ,解①②得⎩⎨⎧-==73y x ,你能知道原方程组正确的解吗?灵机一动:小明的外婆送来满满一篮鸡蛋,这只篮子最多只能装55只左右的鸡蛋.小明3只一数,结果剩下1只,但忘了数多少次,只好重数,他5只一数剩2只,可又忘了数多少次.他准备再数时,妈妈笑着说:“不用数了,共有52只.”小明很惊讶,妈妈笑而未答,让他好好动脑筋想想.后来,他用方程知识解决了这个问题,你知道小明是怎样解决的吗?第二节 《解二元一次方程组》专题训练A 参考答案一、(1)B (2)C (3)C (4)A二、(1)2 -3 (2)-9 -13 (3)-2 1 (4)a+b=3三、(1)⎪⎩⎪⎨⎧-=-=373y x (2)⎪⎪⎩⎪⎪⎨⎧-=-=5658y x四、根据题意得:⎪⎩⎪⎨⎧-==227y x 是方程2x -ny=13的解⎩⎨⎧-==73y x 是方程mx+y=5的解 所以有:2×27+2n=13,3m -7=5 ∴n=3,m=4原方程组即为⎩⎨⎧=-=+133254y x y x解得⎩⎨⎧-==32y x 即为正确的解.灵机一动:设这只篮子装了m 只鸡蛋,每3只一数,数了x 次剩1,每5只一数,数了y 次剩2,则有⎩⎨⎧=+=+m y m x 2513,消去m 得,3x+1=5y+2,即y=513-x∵x 、y 都是正整数,3x+1是55左右的数 ∴3x -1必是53左右的数,且能被5整除 当3x -1=55时,x=1832,不合题意 当3x -1=50时,x=17,m=3x+1=52符合题意 ∴这一篮鸡蛋共有52只。
9cm 14cm(图2)第七章《二元一次方程组》水平测试卷(二)一、耐心填一填,一锤定音!(每下题3分,共30分)1.二元一次方程52=+x y 在正整数范围内的解是 .2.已知两个单项式17-+m n m y x 与n m y x +--175能合并为一个单项式,则=m _____,=n ______.3.方程组⎩⎨⎧=+-=+3)1(134ky x k y x 的解中x 与y 的值相等,则.____=k4.若方程组4234ax by x y -=⎧⎨+=⎩与方程组2456ax by x y +=⎧⎨-=⎩的解相同,则182a b -= 、5.若方程3x y +=,1x y -=和20x my -=有公共解,则m 的取值为 . 6.请写出一个以x y ,为未知数的二元一次方程组,且同时满足下列两个条件:①由两个二元一次方程组成 ②方程组的解为23x y =⎧⎨=⎩.这样的方程组可以是 .7、 方程组⎩⎨⎧=-=-1446723y x y x 一定有_______个解.8.如图1,已知函数y ax b =+和y kx =的图象交于点P ,则根据图象可得,关于()x y ,的二元一次方程组y ax b y kx=+⎧⎨=⎩,的解是 .9.小明在超市帮妈妈买回一袋纸杯,他把纸杯整齐地叠放在一起,如图2,请你根据图中的信息,若小明把100 _____________ . 10.某校七年级学生去参观核电站,若每车坐45人,则有15个学生没车坐,若每车坐60xb(图1)人,则可以空出一辆车,这个七年级有学生 人,共出车 辆、二、精心选一选,慧眼识金!(每小题3分,共30分)1.方程■52+=-x y x 是二元一次方程,■是被弄污的x 的系数,请你推断■的值属于下列情况中的( ). (A )不可能是-1(B ) 不可能是-2(C )不可能是1(D ) 不可能是22.下列方程组中,属于二元一次方程组的是 ( ).(A )⎩⎨⎧==+725xy y x(B )⎪⎩⎪⎨⎧=-=+043112y x yx (C )⎪⎩⎪⎨⎧=+=343453y x yx (D )28,312.x y x z -=⎧⎨+=⎩3.用加减法解方程组⎩⎨⎧=-=+823132y x y x 时,要使两个方程中同一未知数的系数相等或相反,有以下四种变形的结果: ①⎩⎨⎧=-=+846196y x y x ②⎩⎨⎧=-=+869164y x y x ③⎩⎨⎧-=+-=+1646396y x y x ④⎩⎨⎧=-=+2469264y x y x其中变形正确的是( ). (A )①②(B )③④(C )①③(D )②④4.已知m n m y x 32-和n n y x 2524+是同类项,则n m 与m n 的大小关系是( ).(A ) n m >mn(B ) n m =m n (C ) n m < mn(D )不能确定5.如果|y x 2-|+)3(-+y x 2=0成立,那么x y=( ). (A )1(B ) 2 (C )9(D )166.关于x 、y 的方程组⎩⎨⎧+=+=+25332k y x ky x 的解x 、y 的和为12,则k 的值为( ).(A )14(B )10(C )0 (D )-147.解方程组2,78ax by cx y +=⎧⎨-=⎩时,一学生把c 看错而得到⎩⎨⎧=-=22y x ,而正确的解是⎩⎨⎧-==23y x ,那么c b a 、、的值是( ).(A )不能确定 (B )254-===c b a ,,(C )b a 、不能确定,2-=c (D )274===c b a ,,8.小刘同学用10元钱购买两种不同的贺卡共8张,单价分别是1元与2元.设1元的贺卡为x 张,2元的贺卡为y 张,那么x y ,所适合的一个方程组是( ). (A )1028y x x y ⎧+=⎪⎨⎪+=⎩ (B )8210210x yx y ⎧+=⎪⎨⎪+=⎩(C )1028x y x y +=⎧⎨+=⎩ (D )8210x y x y +=⎧⎨+=⎩9.如图3,平行四边形ABCD 的周长是48,对角线AC 与BD 相交于点O ,AOD △的周长比AOB △的周长多6,若设AD x =,AB y =,则可用列方程组的方法求AD ,AB 的长,这个方程组可以是:( ). (A)2()486x y x y +=⎧⎨-=⎩(B)2()486x y y x +=⎧⎨-=⎩(C)486x y x y +=⎧⎨-=⎩(D)486x y y x +=⎧⎨-=⎩10.在2006年德国世界杯足球赛中,32支足球队将分成8个小组进行单循环比赛,小组比赛规则如下:胜一场得3分,平一场得1分,负一场得0分.若小组赛中某队的积分为5分,则该队必是( ).(A)两胜一负 (B)一胜两平 (C)一胜一平一负 (D)一胜两负 三、用心想一想,马到成功!(本大题60分)1.(10分)解方程:(1)327238.x y x y +=⎧⎨+=⎩, ①② ;(2)⎪⎩⎪⎨⎧=--+=-++2)(5)(4632y x y x y x y x .(图3)2.(8分)若方程组⎩⎨⎧+=+=+345223k y x ky x 的解x 、y 的和为5-,求k 的值,并解此方程组.3.(8分)扬子江药业集团生产的某种药品包装盒的侧面展开图如图4所示.如果长方体盒子的长比宽多4cm ,求这种药品包装盒的体积.4.(8分)如图5,在33⨯的方格内,填写了一些代数式和数.(1)在图(1)中各行、各列和对角线上三个数之和都相等,请你求出x ,y 的值; (2)把满足(1)的其它6个数填入图(2)中的方格内.5 3x - 47 x - 3y547(1)(2)(图5)(图4)5.(8分)某校的一间阶梯教室,第1排的座位数为a,从第2排开始,每一排都比前一排增加b个座位.(1)请你在下表的空格里填写一个适当的代数式:(2)已知第4排有18个座位,第15排座位数是第5排座位数的2倍,求第21排有多少个座位?6.(8分)今年五月二十七日,印尼中爪哇省发生强烈地震,给当地人民造成巨大的经济损失.某学校积极组织捐款支援灾区,初三(1)班55名同学共捐款274元,捐款情况如右表.表中捐款2元和5元的人数不小心被墨水污染已看不清楚,请你帮助确定表中数据,并说明理由.7.(10分)某商场计划拨款9万元从厂家购进50台电冰箱,已知该厂家生产三种不同型号的电冰箱,出厂价分别为:甲种每台1500元,乙种每台2100元,丙种每台2500元、(1)某商场同时购进其中两种不同型号电冰箱共50台,用去9万元,请你研究一下商场的进货方案;(2)该商场销售一台甲种电冰箱可获得150元,销售一台乙种电冰箱可获利200元,销售一台丙种冰箱可获利250元,在同时购进两种不同型号的方案中,为使销售时获利最多,你选择哪种进货方案?参考答案一、1.1,2,3;1x x y y ==⎧⎧⎨⎨==⎩⎩ 2.3,1 3.11 4.44 5.1 6.答案不唯一,如:51x y x y +=⎧⎨-=-⎩ 7.无数 8.42x y =-⎧⎨=-⎩,. 9.106 10.240,5二、1~5:CCBAB ;6~10:ACDAB 三、1.解:(1)由①+②,并整理,得3x y +=. ③ 由①-②,得 1x y -=. ④ 由③+④,并整理,得 1x =. 把1x =代③,得 2y =.所以原方程组的解为12.x y =⎧⎨=⎩, (2)设,a x y b x y =+=-,则原方程组可变为6,2345 2.a ba b ⎧+=⎪⎨⎪-=⎩即3236,45 2.a b a b +=⎧⎨-=⎩ 解这个方程组,得8,6.a b =⎧⎨=⎩即8,6.x y x y +=⎧⎨-=⎩解得7,1.x y =⎧⎨=⎩2.解:322,543,x y k x y k +=⎧⎨+=+⎩①②②×2-①,得766x y +=,③ 又由题意,得5x y +=-,④联立③④,得方程组766,5,x y x y +=⎧⎨+=-⎩③④解得36,41.x y =⎧⎨=-⎩代入①,得13k =.3.解:设这种药品包装盒的宽为cm x ,高为cm y ,则长为(4)cm x +, 根据题意得,22144213x y x y +=⎧⎨++=⎩解这个方程组得52x y =⎧⎨=⎩故长为9cm ,宽为5cm ,高为2cm . 体积395290(cm )V =⨯⨯=答:这种药品包装盒的体积为390cm . 4.解:(1)由已知条件可得:7343745x y x -=+⎧⎨-=+⎩,. 解得23x y =-⎧⎨=⎩,.(2)如图6所示(本题列方程组具有开放性,只要列、解方程组正确,即得满分.) 5.解:(1)3a b +; (2)依题意得318142(4)a b a b a b +=⎧⎨+=+⎩解得122a b =⎧⎨=⎩1220252+⨯=∴. 答:第21排有52个座位.6.解:设捐款2元和5元的学生人数分别为x 人,y 人,依题意得:556725274670x y x y +=--⎧⎨+=--⎩4225198x y x y ⎛+=⎫⎧ ⎪⎨+=⎩⎝⎭解方程组,得438x y =⎧⎨=⎩答:捐款2元的有4人,捐款5元的有38人.7.解:(1)①设购进甲种电视机x 台,购进乙种电视机y 台,根据题意,得5 47 29683 10 (图6)50,1500210090000.x y x y +=⎧⎨+=⎩ 解得 25,25.x y =⎧⎨=⎩故第一种进货方案是购甲、乙两种型号的电视机各25台. ②设购进甲种电视机x 台,购进丙种电视机z 台,根据题意,得50,1500250090000.x z x z +=⎧⎨+=⎩ 解得 35,15.x z =⎧⎨=⎩故第二种进货方案是购进甲种电视机35台,丙种电视机15台. ③设购进乙种电视机y 台,购进丙种电视机z 台,根据题意,得50,2100250090000.y z yz +=⎧⎨+=⎩解得87.5,37.5.y z =⎧⎨=-⎩不合题意,舍去.故此种方案不可行.(2)上述的第一种方案可获利:150×25+200×25=8750元, 第二种方案可获利:150×35+250×15=9000元,因为8750<9000,故应选择第二种进货方案,即购进甲种电视机35台,乙种15台.。
第七章二元一次方程组单元检测题(附参考答案)(时间90分钟,满分120分)班级____________________ 姓名___________ 学号______一、选择题(每小题3分,共30分)1.在(1)2,3,1,1,(2)(3)(4)1;1;7;7 x x x xy y y y====-=-===-⎧⎧⎧⎧⎨⎨⎨⎨⎩⎩⎩⎩各组数中,是方程2x-y=5的解是() A.(2)(3) B.(1)(3) C.(3)(4) D.(1)(2)(4)2.若x+4y=-15和3x-5y=6有相同的解,则相同的解是().A.33,33...3333 x x x xB C Dy y y y=-===-⎧⎧⎧⎧⎨⎨⎨⎨=-=-==⎩⎩⎩⎩3.若单项式2x2y a+b与﹣x a﹣b y4是同类项,则a,b的值分别为()A.a=3,b=1 B.a=﹣3,b=1 C.a=3,b=﹣1 D.a=﹣3,b=﹣14.已知a,b满足方程组,则a+b的值为()A.﹣4 B.4 C.﹣2 D.25.利用加减消元法解方程组,下列做法正确的是()A.要消去y,可以将①×5+②×2 B.要消去x,可以将①×3+②×(﹣5)C.要消去y,可以将①×5+②×3 D.要消去x,可以将①×(﹣5)+②×26.小亮的妈妈用28元钱买了甲、乙两种水果,甲种水果每千克4元,乙种水果每千克6元,且乙种水果比甲种水果少买了2千克,求小亮妈妈两种水果各买了多少千克?设小亮妈妈买了甲种水果x千克,乙种水果y千克,则可列方程组为()A.B.C.D.7.笼中有鸡和兔,它们的头共有20个,脚共有56只,笼中鸡的数目x•和兔的数目y分别是().A.8101112...121098 x x x xB C Dy y y y====⎧⎧⎧⎧⎨⎨⎨⎨====⎩⎩⎩⎩8.有一根7米长的钢条,要把它锯成两段,使得每一段的长度都是整数,有()种锯法.A.3 B.4 C.5 D.69.足球比赛的记分规则是:胜一场得3分,平一场得1分,负一场得0分,一支青年足球队参加15场比赛,负4场,共得29分,则这支球队胜了( )(A)2场 (B)5场 (C)7场 (D)9场10.为推进课改,王老师把班级里40名学生分成若干小组,每小组只能是5人或6人,则有几种分组方案()A.4 B. 3 C.2 D. 111.下列方程:①;②;③;④;⑤;⑥.其中是二元一次方程的是()。
7.1 谁的包裹多(1)如果设这个班有x 名女同学,y 名男同学.由女生人数的一半比男生人数少15人,可得什么方程?答:______.由再来4名女同学,男女生人数就相等了,你能得怎样的方程?答:______. (2)如果设小华买了x 张80分的邮票,y 张2元的邮票,你能得到怎样的方程? 答:______.测验评价等级:A B C ,我对测验结果(满意、一般、不满意)参考答案 (1)21x +15=y ,x +4=y (2)x +y =16,0.8x +2y =18.87.1 谁的包裹多班级:________ 姓名:________一、选择题(1)以下方程中,是二元一次方程的是( ) A.8x -y =y B.xy =3 C.3x +2y D.y =x1(2)以下的各组数值是方程组⎩⎨⎧-=+=+2222y x y x 的解的是( )A.⎩⎨⎧-==22y xB.⎩⎨⎧=-=22y xC.⎩⎨⎧==20y xD.⎩⎨⎧==02y x(3)若⎩⎨⎧==12y x 是方程组⎩⎨⎧=+=-+12)1(2y nx y m x 的解,则m +n 的值是( )A.1B.-1C.2D.-2(4)二元一次方程3a +b =9在正整数范围内的解的个数是( ) A.0 B.1 C.2 D.3 二、填空题(1)若方程(2m -6)x |n|-1+(n +2)y 82-m =1是二元一次方程,则m =_________,n =__________.(2)若⎩⎨⎧-==12y x 是二元一次方程ax +by =2的一个解,则2a -b -6的值是__________.(3)图1表示由若干盆花组成的形如三角形的图案,每条边(包括两个顶点)有n (n>1)盆花,每个图案花盆的总数是S .图1按此规律推断,以S 、n 为未知数的二元一次方程是________.(4)请写出解为⎩⎨⎧==11y x 的一个二元一次方程组________.三、根据题意列二元一次方程组:(1)两批货物,第一批360吨,用5节火车皮和12辆汽车正好装完;第二批500吨,用7节火车皮和16辆汽车正好装完.每节火车皮和每辆汽车平均各装货物多少吨?(2)某校课外小组的学生准备外出活动;若每组7人,则余下3人;若每组8人,则有一组只有3人;求这个课外小组分成几组?共有多少人?四、现有布料25米,需裁成大人和小孩的两种服装.已知大人每套用布2.4米,小孩每套用布1米,问各裁多少套恰好把布用完?测验评价结果:________;对自己想说的一句话是:__________________。
华东师大版2019-2020学年七年级下册数学第七章 二元一次方程组单元测试卷(含答案)一、选择题(共10题;共30分)1.下列各式是二元一次方程的是 ( )A. 3x 2+5=21B. x +2y =0C. −5x =25D. x +2y =12.如图所示的两台天平保持平衡,已知每块巧克力的重量相等,且每个果冻的重量也相等,则每块巧克力和每个果冻的重量分别为( )A. 10g , 40gB. 15g , 35gC. 20g , 30gD. 30g , 20g3.用代入法解方程组 {y =1−x ①x −2y =4②时,将方程①代入方程②正确的是( ) A. x −2+2x =4 B. x −2−2x =4 C. x −2+x =4 D. x −2−x =4 4.如果方程 x +2y =−4,kx −y −5=0,2x −y =7 有公共解,则 k 的值是( )A. -1B. 1C. -2D. 45.已知 {x =2y =1 是方程组 {ax +by =5bx +ay =1的解,则 3−a −b 的值是( ) A. –1 B. 1 C. 2 D. 36.已知关于x 、y 的二元一次方程组 {2x −y =k x −2y =−1满足x=y ,则k 的值为( ) A. -1 B. 0 C. 1 D. 27.已知两数x , y 之和是10,x 比y 的2倍小1,则所列方程组正确的是( ) A. {x +y =10x =2y −1 B. {x +y =10x =2y +1 C. {x +y =10y =2x −1 D. {x +y =10y =2x +18.已知关于x ,y 的二元一次方程组 {2ax +by =3ax −by =1的解为 {x =1y =−1 ,则a ﹣2b 的值是( ) A. ﹣2 B. 2 C. 3 D. ﹣39.中华文化十大精深,源远流长,我国古代数学著作《增删算法统宗》记载“绳索量竿”问题:“一条竿子一条索,索比竿子短一托。
第七章二元一次方程组单元测试(一)一、选择题:1.下列方程中,是二元一次方程的是()A.3x-2y=4z B.6xy+9=0 C.1x+4y=6 D.4x=24y-2.下列方程组中,是二元一次方程组的是()A.228 423119 (23754624)x yx y a b xB C Dx y b c y x x y+= +=-=⎧⎧=⎧⎧⎨⎨⎨⎨+=-==-=⎩⎩⎩⎩3.二元一次方程5a-11b=21 ()A.有且只有一解B.有无数解C.无解D.有且只有两解4.方程y=1-x与3x+2y=5的公共解是()A.3333...2422 x x x xB C Dy y y y==-==-⎧⎧⎧⎧⎨⎨⎨⎨===-=-⎩⎩⎩⎩5.若│x-2│+(3y+2)2=0,则的值是()A.-1 B.-2 C.-3 D.3 26.方程组43235x y kx y-=⎧⎨+=⎩的解与x与y的值相等,则k等于()7.下列各式,属于二元一次方程的个数有()①xy+2x-y=7;②4x+1=x-y;③1x+y=5;④x=y;⑤x2-y2=2⑥6x-2y ⑦x+y+z=1 ⑧y(y-1)=2y2-y2+xA.1 B.2 C.3 D.48.某年级学生共有246人,其中男生人数y比女生人数x的2倍少2人,•则下面所列的方程组中符合题意的有()A.246246216246... 22222222 x y x y x y x yB C Dy x x y y x y x+=+=+=+=⎧⎧⎧⎧⎨⎨⎨⎨=-=+=+=+⎩⎩⎩⎩二、填空题9.已知方程2x+3y-4=0,用含x的代数式表示y为:y=_______;用含y的代数式表示x 为:x=________.10.在二元一次方程-12x+3y=2中,当x=4时,y=_______;当y=-1时,x=______.11.若x3m-3-2y n-1=5是二元一次方程,则m=_____,n=______.12.已知2,3xy=-⎧⎨=⎩是方程x-ky=1的解,那么k=_______.13.已知│x-1│+(2y+1)2=0,且2x-ky=4,则k=_____.14.二元一次方程x+y=5的正整数解有______________.15.以57xy=⎧⎨=⎩为解的一个二元一次方程是_________.16.已知2316x mx yy x ny=-=⎧⎧⎨⎨=--=⎩⎩是方程组的解,则m=_______,n=______.三、解答题17.当y=-3时,二元一次方程3x+5y=-3和3y-2ax=a+2(关于x,y的方程)•有相同的解,求a的值.18.如果(a-2)x+(b+1)y=13是关于x,y的二元一次方程,则a,b满足什么条件?19.二元一次方程组437(1)3x ykx k y+=⎧⎨+-=⎩的解x,y的值相等,求k.20.已知x,y是有理数,且(│x│-1)2+(2y+1)2=0,则x-y的值是多少?21.已知方程12x+3y=5,请你写出一个二元一次方程,•使它与已知方程所组成的方程组的解为41 xy=⎧⎨=⎩.22.根据题意列出方程组:(1)明明到邮局买0.8元与2元的邮票共13枚,共花去20元钱,•问明明两种邮票各买了多少枚?(2)将若干只鸡放入若干笼中,若每个笼中放4只,则有一鸡无笼可放;•若每个笼里放5只,则有一笼无鸡可放,问有多少只鸡,多少个笼?23.方程组2528x yx y+=⎧⎨-=⎩的解是否满足2x-y=8?满足2x-y=8的一对x,y的值是否是方程组2528x yx y+=⎧⎨-=⎩的解?24.(开放题)是否存在整数m,使关于x的方程2x+9=2-(m-2)x在整数范围内有解,你能找到几个m的值?你能求出相应的x的解吗?二元一次方程组练习1、下列方程组中,不是二元一次方程组的是( ) A. 123x y =⎧⎨+=⎩ B.12x y x y +=⎧⎨-=⎩ C. 10x y xy -=⎧⎨=⎩ D. 21y xx y =⎧⎨-=⎩ 2、若关于x 的二元一次方程kx+3y=5有一组解是21x y =⎧⎨=⎩,则k 的值是( )A. 1B. -1C. 0D. 2 3、已知x,y 的值:①22x y =⎧⎨=⎩ ②32x y =⎧⎨=⎩ ③32x y =-⎧⎨=-⎩ ④66x y =⎧⎨=⎩其中是二元一次方程2x-y=4的解的是( )A 、①B 、②C 、③D 、④ 4、二元一次方程x+2y=12在正整数解有( )组. A. 3 B. 4 C. 5 D. 无数5、在二元一次方程3x - 2y =4中,当x =6时,y =_______6、写出二元一次方程3x-4=y 的两个解______________________。
第七章二元一次方程组单元检测题(时间90分钟,满分100分)班级____________________ 姓名___________ 学号______ 一、选择题(每小题3分,共30分)1.在(1)2,3,1,1,(2)(3)(4)1;1;7;7x x x xy y y y====-=-===-⎧⎧⎧⎧⎨⎨⎨⎨⎩⎩⎩⎩各组数中,是方程2x-y=5的解是()A.(2)(3) B.(1)(3) C.(3)(4) D.(1)(2)(4)2.若x+4y=-15和3x-5y=6有相同的解,则相同的解是().A.33,33...3333 x x x xB C Dy y y y=-===-⎧⎧⎧⎧⎨⎨⎨⎨=-=-==⎩⎩⎩⎩3.已知-4x m+n y m-n与23x7-m y n+1是同类项,则m,n的值为().A.m=-1,n=-7 B.m=3,n=1 C.m=2910,n=65D.m=54,n=-24.若4x+1=m(x-2)+n(x-5),则m,n的值为().A.4477...1133 m m m mB C Dn n n n=-===-⎧⎧⎧⎧⎨⎨⎨⎨=-==-=⎩⎩⎩⎩5.若甲数的3倍比乙数大7,设甲数为x,乙数为y,列出的二元一次方程为().A.3x+y=7 B.3x-y=7 C.3y-x=7 D.3y+x=76.甲,乙两人相距42千米,若相向而行,2小时相遇;若同向而行,乙要14小时才能追上甲.则甲,乙二人每小时各走()千米.A.12,9 B.11,10 C.10,11 D.9,127.笼中有鸡和兔,它们的头共有20个,脚共有56只,笼中鸡的数目x•和兔的数目y分别是().A.8101112...121098 x x x xB C Dy y y y====⎧⎧⎧⎧⎨⎨⎨⎨====⎩⎩⎩⎩8.有一根7米长的钢条,要把它锯成两段,使得每一段的长度都是整数,有()种锯法.A.3 B.4 C.5 D.69.父子二人,已知10年前父亲的年龄是儿子年龄的4倍,10•年后父亲的年龄是儿子年龄的2倍,那么儿子出生时,父亲的年龄是().A.30 B.27 C.26 D.2510.关于x,y的方程组||10,62||y xy x=+⎧⎨=-⎩的解的情况是().A .只有一解B .无解C .两解且y 的值相同D .两解且x ,y 的值各是一对相反数二、填空题(每小题2分,共20分)11.由3x-2y=5,可得到用x 表示y 的式子为y=______.12.方程3x+y=8的正整数解是_______.13.若方程组1,325x y x y +=⎧⎨+=⎩的解也是方程3x+ky=10的一个解,则k=______. 14.一次函数y=2x-3与y=-x+3的图象的交点坐标是_______.15.已知45,324,x y x y +=⎧⎨+=⎩,则x-y 的值是______. 16.若方程组342,312,25210x y ax by x y ax by +=-=⎧⎧⎨⎨-=+=⎩⎩与方程组有相同的解,则a=_____,b=______. 17.若3x 3m+5n+9+9y 4n-2n+3=5是二元一次方程,则m n =_______. 18.某商品提价25%后,欲恢复原价,则应降价_______.19.已知直角坐标系中有A (1,4),B (2,3),C (2,-1),D (-1,1)四点,则经过A ,C 两点的直线L 1与经过B ,D 两点的直线L 2的交点可以看做是方程组_______的解.20.如果以x ,y 为未知数的二元一次方程组23,27x y m x y m+=⎧⎨-=⎩的解满足4x-3y=8,那么m=_______. 三、解答题(共50分)21.解下列方程组:(每小题4分,共16分) 13,5()20,23(1)(2)4(2)2;3;34m n x y x y x m n ⎧+=⎪-=⎧⎪⎨⎨-=⎩⎪-=⎪⎩22,6,(3)(4)45,234()5()2;2250.x y z x y x y x y z x y x y x y z ++=⎧+-⎧+=⎪⎪-+=⎨⎨⎪⎪+--=--=⎩⎩22.(6分)若方程组322,543x y k x y k +=⎧⎨+=+⎩的解之和为x+y=-5,求k 的值,并解此方程组.23.(6分)两块试验田去年共产花生470千克,改用良种后,今年共产花生523千克.已知其中第一块田的产量比去年增产16%,第二块田的产量比去年增产10%,•这两块田改用良种前每块田产量分别为多少千克?今年每块田各增产多少千克?24.(8分)某家电集团公司生产某种型号的新家电,前期投资200万元,•每生产一台这种新家电,后期还需其他投资0.3万元,已知每台这种新家电可产生利润0.5万元.(1)分别求总投资y1(万元)和总利润y2(万元)关于新家电的总产量x(台)的函数关系式;(2)请你利用(1)小题中y2和x的函数关系式,分析该公司盈亏情况.25.(7分)一旅游团51人到一旅社住宿,旅社的客房有二人间和三人间,二人间每人每晚30元,30人间每人每晚20元.若旅客住满21间客房,问:(1)这两种客房各住了多少间?(2)旅游团住宿一宿的花费是多少元?26.(7分)青江运输公司备有两种货车,载重量分别为4吨与2.5吨,现准备承运每件120千克的健身器420件.(1)运110件健身器(不考虑体积)需4吨货车多少辆?(2)4辆2.5吨货车可以运83件健身器吗?(3)用两种货车共17辆运420件健身器,每种货车各多少辆?答案:1.D 2.A 3.B 4.C 5.B 6.D 7.A 8.A 9.A 10.B11.1,2,3512.5;22x xxy y==⎧⎧-⎨⎨==⎩⎩13.-1214.(2,1) 15.1 16.3 2 17.1 18.20%19.59,235x yx y+=⎧⎨-=-⎩20.1221.2,16,18,7,24,13(2)(3)(4),22.7,412129213xxm x xy kn y yyz=⎧⎧=⎪⎪===-⎧⎧⎧⎪⎪=-=-⎨⎨⎨⎨⎨===⎩⎩⎩⎪⎪=⎪=⎪⎩⎩23.改用良种前每块田产量分别为100千克,370千克,今年每块田各增产16千克,37千克.24.(1)y1=0.3x+200,y2=0.2x-200(2)x<1000,亏损;x=1000,保本;x>1000,盈利.25.(1)这两种客房各住了12间,9间.(2)旅游团住宿一宿的花费是1260元.26.(1)运110件健身器需4吨货车4辆.(2)4辆2.5吨货车不能运83件健身器.(3)4吨货车7辆,2.5吨货车10辆.。
《二元一次方程组》测试练习题1.二元一次方程9x +5 y= 21 ( )A .有且只有一解B .有无数解C .无解D .有且只有两解2.若02)23(422=+++-x y x ,则x+3y 的值是( )A .-1B .-2C .0D .32 3.已知方程2x+3y -4=0,用含x 的代数式表示y 为_______;用含y 的代数式表示x 为:____.4.已知│x -1│+(2y+1)2=0,且2x -ky=4,则k=_____.5.已知2316x mx y y x ny =-=⎧⎧⎨⎨=--=⎩⎩是方程组的解,则m=_______,n=______. 6.二元一次方程组437(1)3x y kx k y +=⎧⎨+-=⎩的解x ,y 的值相等,求k .7.已知x ,y 是有理数,且(│x │-1)2+(2y+1)2=0,则x -y 的值是多少?8.将若干只鸡放入若干笼中,若每个笼中放4只,则有一鸡无笼可放;•若每个笼里放5只,则有一笼无鸡可放,问有多少只鸡,多少个笼?9.(开放题)是否存在整数m ,使关于x 的方程2x+9=2-(m -2)x 在整数范围内有解,你能找到几个m的值?你能求出相应的x的解吗10.为满足市民对优质教育的需求,某中学决定改变办学条件,计划拆除一部分旧校舍,建造新校舍,拆除旧校舍每平方米需80元,建新校舍每平方米需700元. 计划在年内拆除旧校舍与建造新校舍共7200平方米,在实施中为扩大绿地面积,新建校舍只完成了计划的80%,而拆除旧校舍则超过了计划的10%,结果恰好完成了原计划的拆、建总面积.(1)求:原计划拆、建面积各是多少平方米?(2)若绿化1平方米需200元,那么在实际完成的拆、建工程中节余的资金用来绿化大约是多少平方米?11.如图,在3×3的方格内,填入一些代数式与数,若各行、各列及对角线上的三个数字之和都相等,请你求出x,y的值.2x 3 2y-34y12.一批货物要运往某地,货主准备租用汽运公司的甲、乙两种货车,已知过去租用这两种汽车运货的情况如左表所示,现租用该公司5辆甲种货车和6辆乙种货车,一次刚好运完这批货物,问这批货物有多少吨?二元一次方程组答案:1.B2.C3.424332x y--4.4 5.1 4 6.k=2 7. -1.5或0.58.x=25 ,y=6 9.四组.当m=1,x=-7;m=-1,x=7;m=•7,x=-1;m=-7x=1.10.答案(1)原计划拆、建面积各是4800平方米、2400平方米,可绿化面积1488平方米11.x=4,y=6。
第七章《二元一次方程组》整章水平测试题(A )
一、选择题(每题3分,共30分)
1.下列各方程是二元一次方程的是( )
A 、8x+3y=y
B 、2xy=3
C 、2239x y -=
D 、
1
3x y
=+ 2.如果单项式222
2m n n m a
b +-+与57a b 是同类项,那么m
n 的值是( )
A、-3 B、-1 C、
1
3
D、3 3.关于x 、y 的二元一次方程组59x y k
x y k
+=⎧⎨-=⎩的解也是二元一次方程2x+3y=6的解,
则k 的值是( ) A、34k =-
B、34k = C、43k = D、43
k =- 4.方程kx+3y=5有一组解2
1
x y =⎧⎨
=⎩,则k 的值是( )
A、1 B、-1 C、0 D、2
5.如果4
(1)6x y x m y +=⎧⎨--=⎩
中的解x 、y 相同,则m 的值是( )
A、1 B、-1 C、2 D、-2
6.足球比赛的记分为:胜一场得3分,平一场得1分,负一场得0分,一队打了14场比赛,负5场,共得19分,那么这个队胜了( )
A、3场 B、4场 C、5场 D、6场
7.方程组 的解为⎩⎨⎧
=y x 2
,则被遮盖的两个数分别为( )
A、1,2 B、1,3 C、2,3 D、2,4
8.方程组1
3x y x y -=⎧⎨+=⎩
的解是( )
⎩⎨⎧=++32y x y x
A、21x y =⎧⎨
=⎩ B、12x y =-⎧⎨=-⎩ C、32x y =⎧⎨=⎩ D、1
2x y =⎧⎨=⎩
9.方程组7
12
x y xy +=⎧⎨
=⎩的一个解是( )
A 、25x y =⎧⎨=⎩
B 、62x y =⎧⎨=⎩
C 、43x y =⎧⎨=⎩
D 、34x y =-⎧⎨=-⎩
10.为了改善住房条件,小亮的父母考察了某小区的A B 、两套楼房,A 套楼房在第3层楼,
B 套楼房在第5层楼,B 套楼房的面积比A 套楼房的面积大24平方米,两套楼房的房
价相同,第3层楼和第5层楼的房价分别是平均价的1.1倍和0.9倍.为了计算两套楼房的面积,小亮设A 套楼房的面积为x 平方米,B 套楼房的面积为y 平方米,根据以上信息列出了下列方程组.其中正确的是( ). A 、⎩
⎨⎧=-=241.19.0x y y x B 、 1.10.924x y x y =⎧⎨-=⎩ C 、0.9 1.124x y x y =⎧⎨-=⎩ D 、 1.10.924x y
y x =⎧⎨-=⎩
二、填空题(每题3分,共30分) 11.2
1
x y =⎧⎨
=-⎩是二元一次方程2x+by=-2的一个解,则b 的值等于
12.写出二元一次方程3x+y=9的所有正整数解是
13. 已知2
(234)37
0x y x y +-++-=,则x= ,y=
14.已知方程组11
2
35
mx ny mx ny ⎧
+=⎪⎨⎪+=⎩的解是32x y =⎧⎨=-⎩,则m= ,n= 15.若x+3y=3x+2y=7,则x= ,y=
16.若一个二元一次方程的一个解为⎩⎨⎧-==1
2
y x ,则这个方程可以是:
___________(中要求写出一个)。
17.如图,正方形是由k 个相同的矩形组成,
上下各有2个水平放置的矩形,中间竖放若干个矩形,则k= .
18.已知31x y =⎧⎨
=⎩和2
11
x y =-⎧⎨=⎩都是ax+by=7的解,则a= ,b= 19.已知方程3x+y=12有很多解,请你随意写出互为相反数的一组解是 20.若函数y=-x+a 和y=x+b 的图象交点坐标为(m ,8),则a+b=
三、解答题(共60分) 21.(本题6分)解方程组 ⎩⎨
⎧+=-+=-)
5(3)1(55
)1(3x y y x
22. (本题6分)列方程或方程组解应用题:
夏季,为了节约用电,常对空调采取调高设定温度和清洗设备两种措施。
某宾馆先把甲、乙两种空调的设定温度都调高1℃,结果甲种空调比乙种空调每天多节电27度;再对乙种空调清洗设备,使得乙种空调每天的总节电量是只将温度调高1℃后的节电量的1.1倍,而甲种空调节电量不变,这样两种空调每天共节电405度。
求只将温度调高1℃后两种空调每天各节电多少度?
23.(本题7分)已知方程组⎩⎨⎧=+=-2,4by ax by ax 的解为⎩
⎨⎧==1,
2y x ,求b a 32-的值。
24.(本题7分)十堰市东方食品厂2003年的利润(总产值-总支出)为200万元,2004年总产值比2003年增加了20%,总支出减少了10%。
2004年的利润为780万元。
问2003年总产值、总支出各是多少万元?
25.用8块相同的长方形地砖拼成一块矩形地面,地砖的拼放方式及相关数据如图所示,求每块地砖的长与宽。
26.某酒店客房部有三人间、双人间客房,收费数据如下表.
为吸引游客,实行团体入住五折..优惠措施.一个50人的旅游团优惠期间到该酒店入住,住了一些三人普通间和双人普通间客房.若每间客房正好住满,且一天共花去住宿费1510元,则旅游团住了三人普通间和双人普通间客房各多少间?
27.某水果批发市场香蕉的价格如下表:
张强两次共购买香蕉50千克(第二次多于第一次),共付款264元,请问张强第一次、第二次分别购买香蕉多少千克?
28.为满足市民对优质教育的需求某中学决定改变办学条件计划拆除一部分旧校舍、建造新校舍。
拆除旧校舍每平米需80元,建造新校舍每平米需700元。
计划在年内拆除旧校舍与建造新校舍共7200平方米,在实施中为扩大绿化面积,新建校舍只完成了计划的80%,而拆除校舍则超过了10%,结果恰好完成了原计划的拆、除的总面积。
(1)求原计划拆建面积各多少平方米?
(2)若绿化1平方米需200元,那么在实际完成的拆、建工程中节余的资金用来绿化大约是多少平方米?
参考答案
一、选择题
ACBAB CAACD 二、填空题
11.6;12.12,63x x y y ==⎧⎧⎨⎨
==⎩⎩;13.-3,10
3;14.1,2;15.1,2;16.13x y x y +=⎧⎨-=⎩
; 17.8;18.2,1;19.6
6
x y =⎧⎨=-⎩;20.16
三、解答题
21.原方程组的解为⎩⎨
⎧==7
5
y x
22.解:设只将温度调高1℃后,甲种空调每天节电x 度,乙种空调每天节电y 度
依题意,得:x y x y -=+=⎧⎨
⎩
2711405. 解得:x y ==⎧⎨⎩207
180
答:只将温度调高1℃后,甲种空调每天节电207度,乙种空调每天节电180度。
23.6;
24.解:设2003年的总产值为x 万元,则2004年的总产值为(1+20%)x 万元,2003年的总支出为y 万元,则2004年的总支出为(1-10%)y 万元,则有:
200(120%)(110%)780x y x y -=⎧⎨+--=⎩,∴2000
1800
x y =⎧⎨
=⎩ 答:2003年的总产值为2000万元,总支出为1800万元 25.设每块地砖的长为xcm ,宽为ycm 根据题意,得 x y x y +==⎧⎨
⎩60
3 解这个方程组,得
x y ==⎧⎨
⎩45
15
答:每块地砖的长为45cm ,宽为15cm 26.设三人普通房和双人普通房各住了x 、y 间,
根据题意,得⎩⎨
⎧=⨯+⨯=+15105.01405.0150,5023y x y x 解得⎩⎨⎧==.
13,
8y x
答:三人间普通客房、双人间普通客房各住了8、13间.
27.设张强第一次购买香蕉x 千克,第二次购买香蕉y 千克.由题意,得 0<x<25.
① 当0<x≤20,y≤40时,由题意,得
⎩
⎨⎧=⎩⎨
⎧=+=+36142645650y x y x y x =
解得 ② 当0<x≤20,y>40时,由题意,得
⎩⎨
⎧=⎩⎨⎧=+=+18
2
32644650y x y x y x = 解得(不合题意,舍去). ③ 当20<x<25时,25<y<30.此时张强用去的款项为
5x+5y=5(x+y)=5×50=250<264(不合题意,舍去)
综合①②③可知,张强第一次购买香蕉14千克,第二次购买香蕉36千克. 28.设原计划拆除旧校舍x 平方米,新建校舍y 平方米,本世纪初题意得:
(1)⎩⎨⎧=++=+7200%80%)101(7200y x y x 解得⎩
⎨⎧==24004800
y x
(2)实际比原计划拆除与新建校舍节约资金是
(4800×80—2400×700)—〔4800×(1—10%)×80+2400×80%×700〕 =297600
用此资金可绿化面积是297600÷200=1488(平方米)
答:原计划拆除旧戌舍4800平方米,新建校舍2400平方米,实际施工中节约的资金可绿化1488平方米。