多项式辗转相除法求最大公因式
- 格式:docx
- 大小:11.48 KB
- 文档页数:4
初中数学如何找到一个多项式的最大公因式
要找到一个多项式的最大公因式,可以采用以下方法:
1. 因式分解法:
首先,将多项式进行因式分解,将其写成若干个因子的乘积形式。
然后,找到这些因子中的公共因子,将其提取出来,即可得到最大公因式。
2. 辗转相除法(欧几里得算法):
辗转相除法也可以用于多项式的最大公因式的求解。
将两个多项式进行相除运算,直到余式为0。
此时,最后一次相除的除数即为最大公因式。
3. 多项式的公共因式法:
对于多个多项式,可以逐步寻找它们的公共因式。
首先,找到其中两个多项式的最大公因式,然后再将这个最大公因式与下一个多项式进行求最大公因式的运算,直到所有多项式都被考虑完毕。
这样得到的最大公因式即为所求。
4. 使用多项式的因子定理:
多项式的因子定理可以用于求解多项式的因子,进而得到最大公因式。
根据因子定理,如果某个数是多项式的根,那么这个数可以整除多项式。
因此,通过尝试多项式的可能根,找到其中能够整除多项式的数,然后将这些数与多项式进行除法运算,找到最大的公因式。
需要注意的是,对于高次数的多项式,可能需要使用更高级的方法来找到最大公因式。
此外,在实际求解中,可能需要使用计算工具、计算机软件或在线计算器等辅助工具来进行计算。
希望这个解答对您有所帮助。
如果您还有任何问题,请随时提问。
求两个数的最大公因数的方法求两个数的最大公因数是数学中的基本问题之一,关于这个问题,可以用多种方法进行求解。
以下是几种经典的求最大公因数的方法:一、因式分解法这种方法适用于数比较小的时候。
1. 将两个数分别进行因式分解;2. 找出两个数中所有的公共因数;3. 取出所有公共因数中的最大值,即为所求的最大公因数。
例如:求48和60的最大公因数。
48=2^4×3,60=2^2×3×548和60的公共因数有2和3,所以它们的最大公因数为6。
二、辗转相除法辗转相除法,又称欧几里得算法,这种方法适用于数较大时的求解。
1. 用较大的数除以较小的数,将余数记作r1;2. 用较小的数除以r1,将余数记作r2;3. 再用r1除以r2,余数为r3;4. 依此类推,直到求得的余数为0为止;5. 最后,除数即为最大公因数。
例如:求48和60的最大公因数。
60÷48=1 (12)48÷12=4 0所以,48和60的最大公因数为12。
三、质因数分解法这种方法是一种将数进行质因数分解的方法,利用质因数分解后的结果求得最大公因数。
1. 将两个数进行质因数分解;2. 把同一质因数的次数较小的那个数的该质因数次方用于最大公因数的分解式中;3. 通过上述方法可以得到最大公因数的分解式,从而得到最大公因数的值。
例如:求48和60的最大公因数。
48=2^4×3,60=2^2×3×52:2^2×3所以,它们的最大公因数为2^2×3=12。
总的来说,根据具体情况可以采用不同的方法求最大公因数。
因此我们需要全方位了解这几种方法,为不同情况下的求解提供方法选择的依据。
多项式最大公因式的求法定理1设)(x)(n ,f (x),(x),f f n 221≥ 是P[x]中n 个多项式.P[x]中多项式d(x)称为)(x)(n ,f (x),(x),f f n 221≥ 的最大公因式,如果它满足下面的两个条件:(1)d(x)是(x),f (x),(x),f f n 21的公因式. (2)(x),f (x),(x),f f n 21的公因式全是d(x)的因式.定理2 设)(),(),(x h x g x f 是][x P 中的多项式,P[x]中多项式d(x)是)(),(),(x h x g x f 的最大公因式,c 是任意的非零常数,则有))(),()()(())(),(()(x g x g x h x cf x g x f x d -==.证明:当)(x f 、)(x g 有一个为零,例如0)(=x g ,那么结论显然成立. 当0)(≠x g 时,则有)()(x f x d ,)()(x g x d .从而)()()()(x g x h x cf x d -,即)(x d 是)()()(x g x h x cf -与)(x g 的一个公因式,令)()()()(x g x h x cf x c -,)()(x g x c .根据整除的性质,我们有)()(x f x c ,所以)()(x d x c .所以))(),()()(())(),(()(x g x g x h x cf x g x f x d -==方法1:用辗转相除法求最大公因式引理 如果)3(121≥n (x),f (x),(x),f f n- 的最大公因式存在,那么)2(21≥n (x),f (x),(x),f f n 的最大公因式也存在,且(x)) (x)),f ,f (x),(x),f ((f (x))(x),f ,f (x),(x),f (f n n-n n-121121 =. (1)证明:由题意,假设(x),f (x),(x),f f n-121 的最大公因式为)(1x d ,那么(x)d 1与(x)f n 的最大公因式)(x d 也是存在的. (2)又由(1)、(2)式,可知n)i (x), (d(x)|f i ≤≤1.假设c(x)是)(x)(n ,f (x),(x),f f n 221≥ 的一个公因式,由(1)式可得(x)c(x)|d 1.这样c(x)就是(x)d 1与(x)f n 的一个公因式,再由(2)式可得c(x)|d(x).所以(x)) (x),f ,f (x),(x),f (f d(x)n n-121 =.定理3 设)2)((,),(),(21≥n x f x f x f n 是][x P 中的n 个多项式,则在P[x]中存在一个最大公因式d(x),且d(x)可以表示成(x),f (x),(x),f f n 21的一个组合,即有p[x]中多项式(x),u (x),(x),u u n 21使(x)(x)f u (x)(x)f u (x)(x)f u d(x)n n +++= 2211.由定理3对一般情况,设11110110(),()n n n n n n n n f x a x a x a x a g x b x b x b x b ----=++++=++++,不妨设mn ≥则,))(),()(())(),((x g x g x x f a b x g x f m n n m --=.记)()()(1x g x x f a bx f m n nm --=,令01111)(c x c x c x c x f k k k k ++++=-- ,则m k ≤,故))(),(())(),((1x g x f x g x f =))()(),((111x f x x g b c x f m mk--=. 记)()()(112x f x x g b c x f m mk--=,且))(())((12x f x f ∂≤∂故))(),(())(),((21x f x f x g x f = 如此下去,所得差式的次数不断降低,即 ≥∂≥∂≥∂))(())(())((21x f x f x g .因此在有限次之后,必然有一差式为零,即)0),(())(),(())(),((21x f x f x f x g x f r === ,则)(x f r 乘以首项系数的倒数之后即为)(x d .例1 例1 设x x x g x x x f +=-=23)(,)(求)(f(x),g(x). 解:由题意得:用等式表示出来,就是)66)(3161()()23)(3()(2++=++-=x x x g x x x x f 因此1))(),((+=x x g x f例 2 设1256)(,22)(23234-++=--+=x x x x g x x x x x f 求))(),((x g x f ,并求)(),(x v x u 使)()()()())(),((x g x v x f x u x g x f +=.解:由题意得:用等式表示即)482018()()4()(2-++-=x x x g x x f)9494()482018)(5413181()(2++-++=x x x x x g)108281)(9494(4820182++=-+x x x x 因此1))(),((-=x x g x f 而)482018)(5413181()(94942-++-=-x x x x g x )]()4()()[5413181()(x g x x f x x g --+-=)()]4)(5413181(1[)()5413181(x g x x x f x -+++--= )()271541181()()5413181(2x g x x x f x +++--= 于是,令271541181)(,5413181)(2++=--=x x x v x x u 就有)()()()())(),((x g x v x f x u x g x f +=方法2:方程组法求解多项式的最大公因式定理 4 设)(x f 、)(x g 是][x P 上的两个多项式,令⎩⎨⎧==0)(0)(x g x f 将方程组化解为⎩⎨⎧==0)(c x d 则当0=c 时,][x P 中多项式)(x d 是)(x f 与)(x g 的最大公因式;当0≠c 时,)(x f 与)(x g 互素.(其中c 是常数)例 3 设22)(,623)(2323-+-=+++=x x x x g x x x x f 求))(),((x g x f解:作方程组⎩⎨⎧=-+-=+++02206232323x x x x x x ⎩⎨⎧=-+-=+−−−→−÷-022022324))2()1((x x x x ⎩⎨⎧=--=+−−−→−⨯+020222)1()2(x x x⎩⎨⎧==+−−→−+00022)1()2(x所以2))(),((2+=x x g x f例 4 设22)(,242)(234234+-+-=+-+-=x x x x x g x x x x x f 求))(),((x g x f解:作方程组⎩⎨⎧=+-+-=+-+-0220242234234x x x x x x x x ⎩⎨⎧=+-+-=--−−→−-022022343)2()1(x x x x x x ⎩⎨⎧=+---=--−−−→−⨯+02202233)1()2(x x x x x x⎩⎨⎧=-=--−−→−-020223)2()1(x x x⎩⎨⎧=-=−−−→−⨯-02002)2()1(x x所以2))(),((2-=x x g x f。
多项式最大公因式的几种求法
发表时间:2015-09-21T16:46:59.207Z 来源:《教育学》2015年10月总第86期供稿作者:陈萍[导读] 华南师范大学数学科学学院多项式理论是高等代数的重要组成部分,求最大公因式在多项式理论研究中占有显著地位。
陈萍华南师范大学数学科学学院广东广州510631
摘要:多项式既是初高中课本的重要内容,也是大学数学高等代数的重要组成部分,而求多项式的最大公因式也成为了高等代数中最基本同时也是最重要的一个知识点。
而本文将从辗转相除、矩阵的初等变换以及矩阵的初等变换等不同角度给出了一元多项式的最大公因式的不同求法。
关键词:最大公因式辗转相除初等变换
多项式理论是高等代数的重要组成部分,求最大公因式在多项式理论研究中占有显著地位。
如何求多项式最大公因式,除了《高等代数》介绍的辗转相除法外,还有一些其他的较为便捷的方法,作者经过大量地查阅资料后,总结出较为经典的算法,并于此文一一介绍。
由上面的介绍,我们可以知道,多项式的最大公因式有多种解法,它们都是从多项式最大公因式的性质推广发展而来的,可见性质的重要性,并且三种方法都各有优劣,读者可以根据题目需要,选择一种最简便的方法进行计算,最好熟练掌握一种基本解法。
参考文献
[1]张禾瑞赫炳新高等代数(第三版)[M].北京:高等教育出版社,1983。
[2]蒋忠樟高等代数典型问题研究.高等教育出版社。
[3]骆公志一元多项式的最大公因式的几种求法.[J]连云港师范高等专科学校学报,2006。
求最大公因数的方法-辗转相除法程序算法在数学中,两个数的最大公因数是指两个数公有的约数中最大的一个。
求最大公因数是数论中常见的问题,有很多种方法可以求解,其中辗转相除法是一种简单而有效的方法。
一、辗转相除法的原理辗转相除法,又称欧几里德算法,是古希腊数学家欧几里德提出的一种求最大公因数的方法。
它的原理很简单:对于两个整数a和b(a>b),设c为a与b的余数,即c=ab。
则a与b的最大公因数等于b与c的最大公因数。
利用这个性质,我们可以用递归的方式不断地求解,直到余数为0,此时b即为最大公因数。
我们不断地用两个数的余数来替换这两个数,直到余数为0,此时较小的那个数就是最大公因数。
二、辗转相除法的程序算法下面通过一个简单的Python程序来实现辗转相除法。
具体代码如下:```pythondef gcd(a, b):if b == 0:return aelse:return gcd(b, a b)```这个程序实现了求解最大公因数的功能。
我们可以通过调用gcd函数,传入两个整数a和b,即可得到它们的最大公因数。
下面我们来解释一下这个程序的原理。
我们定义了一个函数gcd,这个函数接受两个参数a和b。
在函数内部,我们使用递归的方式来求解最大公因数。
首先判断如果b为0,即余数为0,那么a就是最大公因数,直接返回a。
否则,我们返回调用gcd函数,传入参数b和ab,即b和a对b取余的结果。
这样就实现了不断用余数来替换两个数,直到余数为0,返回较小的那个数的功能。
三、辗转相除法的应用辗转相除法是求解最大公因数的经典方法,它在实际应用中有着广泛的意义。
在分数化简、约分、判断两个数是否互质等问题中,求最大公因数都是必不可少的。
而辗转相除法作为一种简单而有效的方法,被广泛地应用在这些问题中。
辗转相除法也在密码学领域有着重要的应用。
在RSA加密算法中,求解两个大素数的最大公因数是加密的关键步骤,而辗转相除法正是用来解决这个问题的。
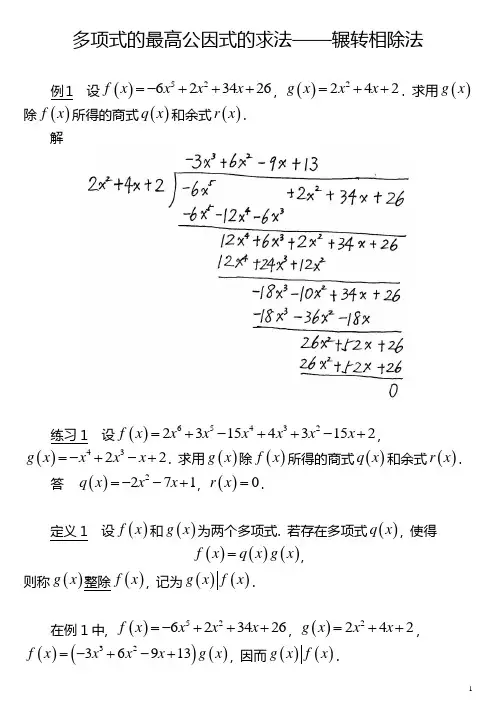
多项式的最高公因式的求法——辗转相除法例1 设()52623426f x x x x =-+++, ()2242g x x x =++. 求用()g x 除()f x 所得的商式()q x 和余式()r x .解练习1 设()65432231543152f x x x x x x x =+-++-+, ()4322g x x x x =-+-+. 求用()g x 除()f x 所得的商式()q x 和余式()r x .答 ()2271q x x x =--+, ()0r x =.定义1 设()f x 和()g x 为两个多项式. 若存在多项式()q x , 使得()()()f x q x g x =,则称()g x 整除()f x , 记为()()g x f x .在例1中, ()52623426f x x x x =-+++,()2242g x x x =++, ()()()3236913f x x x x g x =-+-+, 因而()()g x f x .定义2 若多项式()f x 、()g x 和()h x 满足()()()f x g x h x =, 则称()g x 和()h x 为()f x 的因式.定义3 给定多项式()f x 和()g x . 若多项式()d x 既是()f x 的因式, 也是()g x 的因式, 则称()d x 为()f x 和()g x 的公因式. 在()f x 和()g x 的公因式中, 次数最高的公因式称为()f x 和()g x 的最高公因式, 记为()()(), f x g x .例如, ()2158d x x x =--+是 ()()()29586f x x x x =--++和()()()()25862g x x x x x =--+++的公因式, 但不是最高公因式, 因()()()22586d x x x x =--++也是()f x 和()g x 的公因式, 且()2d x 的次数比()1d x 的次数高. 事实上,()()()()2, d x f x g x =.例2 求()654321561613816586f x x x x x x x =++--+-和()543215315324263g x x x x x x =--++-+的最高公因式.解()()()()()()()()()()()()()432432324323232223869,53386933,386931333,3313.f x xg x x x x x g x x x x x x x x x x x x x x x x x x x x x x x =--+--++=---+++--++--++=---++++--++=-++于是,()()(), 3f x g x x =+.练习2 求()543264586523522f x x x x x x =-+-+-和()432615864g x x x x x =-+-+的最高公因式.答 2x -+.例3 在例2中, 把()()(), f x g x 表示为下列形式: ()()()()()()(), f x g x u x f x v x g x =+.解 例2中已算得:()()()()43223869f x x g x x x x x =--+--++, (1) ()()()()4323253386933g x x x x x x x x x =---+++--++, (2)()()()43232386931333x x x x x x x x x --++=---++++, (3) 且()()(), 3f x g x x =+. 由 (3) 式, 得()()()43232338693133x x x x x x x x x +=--++----++.由 (2) 式, 得()()()3243233533869x x x g x x x x x x --++=----++. 代入上式, 得()()()()()()()()()()()()()()4324324322432243233869 31533869 386931 151433869 151********.x x x x x x g x x x x x x x x x x x g x x x x x x x x x x x x x x g x +=--++⎡⎤------++⎣⎦=--++--+-+--++=-+--++--由 (1) 式, 得()()()43238692x x x x f x x g x --++=++, 代入上式, 得 ()()()()2323151441516279x x x f x x x x g x +=-+++-+.练习3 在练习2中, 把()()(), f x g x 表示为下列形式:()()()()()()(), f x g x u x f x v x g x =+. 答 ()()()()22212116x x f x x x g x -+=-++-+.例4 约分: 6543254321863431513261910641x x x x x x x x x x x ++-+----+-+.解 设()6543218634315132f x x x x x x x =++-+-,()543261910641g x x x x x x =---+-+, 则()()()()()()()()43243232432323167731,267731351,6773121351.f x xg x x x x x g x x x x x x x x x x x x x x x x x =----+-+=+--+-+--+---+-+=---+-于是, ()()()32, 351f x g x x x x =--+-. 用该式除原分式的分子和分母,得 65432325432218634315132611261910641231x x x x x x x x xx x x x x x x ++-+---+=---+-++-.练习4 约分: 54324321241101635261265252518x x x x x x x x x --++++++++.答 32231124133179x x x x x --++++.。
最大公因式的求法举要
最大公因式(GreatestCommonDivisor,简称GCD)指的是两个或多个数的最大公约数,也称作最大公因子、最大公约数、最大公因数、最大公公式或者最大公因式,简称GCD。
二、最大公因数求法
1、欧几里得算法(辗转相除法)
欧几里得算法(辗转相除法)是一种用于求解最大公因数的经典方法。
它的基本思想是,用较大的数除以较小的数,然后再用较小的数除以余数,再用余数去除以余数,直到余数为0,此时最大公因数即为被除数。
2、积性函数
积性函数是一种将一个多项式的最大公因式分解为两个较小的多项式的最大公因式的函数。
它的基本思想是,将需要求解的多项式分解为两个更小的多项式,然后求解每个小多项式的最大公因式,最后将每个小多项式的最大公因式通过乘积的方式相乘,得到原多项式的最大公因式。
3、中国剩余定理
中国剩余定律是一种用于求解最大公因式的数学方法。
中国剩余定律是求解一个给定系统的一个条件的一般解的定理,它的基本思想是,将最大公因式拆分为多个较小的公因式,然后将每个较小的公因式的所有可能的值列出来,构成向量,最后使用中国剩余定律来确定最大公因式。
三、结论
以上就是最大公因式的求法举要,最大公因式(GCD)是一个用于求解最大公因数的重要概念,可以帮助我们理解和解决数学计算问题。
前,欧几里得算法(辗转相除法)、积性函数以及中国剩余定理都是求解最大公因式的常用方法,各有优势和适用范围。
此,在求解最大公因数的问题时,必须根据实际情况,从上述三种方法中选择最适合的算法,来正确求解最大公因式。
- 1 -。
两个多项式互素辗转相除法辗转相除法是一种求解两个多项式是否互素的方法。
在代数学中,两个多项式称为互素,当且仅当它们没有公共的因子。
辗转相除法可以帮助我们判断两个多项式是否互素,同时也可以用于求解最大公因式和最小公倍式等问题。
我们来了解一下什么是多项式。
多项式是由常数和变量的乘积相加而成的代数表达式。
例如,3x^2 + 2x - 1就是一个多项式。
多项式的次数是指其中最高次项的次数。
例如,上述多项式的次数为2。
现在,假设我们有两个多项式A(x)和B(x),我们想要判断它们是否互素。
我们可以使用辗转相除法来进行判断。
我们将A(x)除以B(x),得到商Q1(x)和余数R1(x)。
也就是说,A(x) = Q1(x) * B(x) + R1(x)。
接下来,我们将B(x)除以R1(x),得到商Q2(x)和余数R2(x)。
也就是说,B(x) = Q2(x) * R1(x) + R2(x)。
我们继续进行这个过程,将R1(x)除以R2(x),得到商Q3(x)和余数R3(x)。
也就是说,R1(x) = Q3(x) * R2(x) + R3(x)。
我们重复上述步骤,直到余数为零为止。
也就是说,当Rn(x)为零时,我们可以判断A(x)和B(x)是否互素。
如果最终余数Rn(x)为零,那么我们可以得出结论,A(x)和B(x)是互素的。
这是因为,如果它们有一个公共的因子,那么这个因子也必须能够整除Rn(x),但是Rn(x)为零,所以它们没有公共的因子。
如果最终余数Rn(x)不为零,那么我们可以得出结论,A(x)和B(x)不是互素的。
这是因为,如果它们互素,那么它们的最大公因式应该为1,而余数Rn(x)不为零,说明它们有一个公共的因子。
通过辗转相除法,我们可以快速判断两个多项式是否互素。
这在代数学中有很多应用,例如在分式化简、求解方程组等问题中都会用到。
总结一下,辗转相除法是一种用于判断两个多项式是否互素的方法。
通过将两个多项式进行辗转相除,我们可以得到最终的余数。
多项式辗转相除法,是基于高斯带余除法。
主要用于求解最大公因式。
所以辗转相除法求多项式最大公因式的过程是不断使用带余除法把次数降低,当恰好整除时就可以得到最大公因式的结果。
辗转相除法,又名欧几里德算法(Euclidean algorithm),是求最大公约数的一种方法。
多项式辗转相除法是辗转相除法的扩展。
过程总结
1.多度项式的除法和数的除法过程很相似。
2.观察被除数的最高项系数,给合适的商消去最高项。
3.消完后余数我们再进行分式分解。
注意事项
•一个多项式能被另一个多项式整除。
•多项式除以多项式一般用竖式进行演算。
多项式辗转相除法实际上也是一种形式的因式分解。
也可以进行判别。
艾森斯坦(Eisenstein)判别法:设
是一个整系数多项式.如果有一个素数p,使得
(1)an不能整除以p
(2)a n-1,a n-2,...,a0均能整除以p
(3)a0不能整除以p²
那么f(x)在有理数域上是不可约的.。
最大公因式的计算方法谭民雪 20101101918数学科学学院信息与计算科学专业 2010级信息班指导教师斯琴高娃摘要最大公因式的概念是多项式代数的重要内容,关于最大公因式的求法一般只讨论两个多项式的最大公因式的求法。
方法主要有分解因式法和辗转相除法。
考虑n个多项式的最大公因式时,往往也是通过两两多项式求最大公因式,因此,求多个多项式的最大公因式需要多次计算,为了改进方法,逐渐出现了矩阵初等变换法等利用多项式矩阵和数字矩阵的运算来求解最大公因式,虽不善完美,但是一种突破,本文在此基础上对求最大公因式的方法进一步做一个较全面的探讨而且配有相关例题,有助于理解学习。
关键词最大公因式,多项式,计算,矩阵,例题1有关最大公因式的定义1.1公因式的定义令f(x)和g(x)是F(x)的两个多项式,若是F(x)的一个多项式h(x)同时整除f(x)和g(x),那么h(x)叫做f(x)与g(x)的一个公因式。
1.2最大公因式的定义设d(x)是多项式f(x)与g(x)的一个公因式,若是d(x)能被f(x)与g(x)的每一个公因式整除,那么d(x)叫做f(x)与g(x)的一个最大公因式。
2最大公因式的计算方法2.1辗转相除法若f(x)=g(x)=0,那么由定义知:f(x)与g(x)的最大公因式为0;若f(x)与g(x)不都等于零,比方说g(x)≠0,应用带余除法以g(x)除f(x)得商式)(1x q 及余式)(1x r ,如果)(1x r ≠0,那么再以)(1x r 除g(x),得商式)(2x q 及余式)(2x r ,如此继续下去,因为余式的次数每次降低,所以做了有限次这种除法后,必然得出这样一个余式)(x r k ≠0,它整除前一个余式)(1x r k -,这样我们得到一串等式:f(x)=g(x))(1x q +)(1x rg(x)=)()()(221x r x q x r +)()()()(3321x r x q x r x r +=……)()()()(12x r x q x r x r k k k k +=--)()()(11x q x r x r k k k +-=我们说)(x r k 就是f(x)与g(x)的一个最大公因式。
辗转相除法求最大公因数辗转相除法,也称为欧几里德算法,是一种求两个数的最大公约数的方法。
在数学中,最大公约数(Greatest Common Divisor,简称GCD)是指两个或多个整数共有约数中的最大值。
在本文中,我们将介绍辗转相除法这种求最大公因数的方法,以及它的应用和一些注意事项。
1. 辗转相除法的步骤首先,我们必须理解两个数的除法原理:对于两个整数a和b,我们可以用b去除a,并得到商q和余数r,即a = bq + r,其中0 ≤ r < |b|。
这个余数r可以用来判断b和a的关系,如果r等于0,则b是a的因数;否则,我们可以用r和b重复上述步骤,直到余数为0为止。
当余数为0时,最后一次除法的除数就是这两个数的最大公因数。
辗转相除法就是基于这个原理的,我们将两个数a和b按照从小到大的顺序,做a = bq + r的除法运算,直到余数r等于0为止。
这时,b就是这两个数的最大公因数。
具体步骤可以如下实现:1)用较小数除较大数,得到余数r;2)用r去除较小数,得到余数r1;3)如果r1不为0,用r去除r1,得到余数r2;4)重复上述过程,直到余数为0为止。
2. 辗转相除法的应用求最大公因数是辗转相除法最常见的应用。
但它还有其他的应用,比如简化分数和判断两个数是否互质。
在这里,我们先讲一下简化分数。
当我们进行分数加减乘除的时候,需要将分数化为最简分数。
而最简分数就是分子和分母的最大公因数为1的分数。
因此,我们可以用辗转相除法来求出分子和分母的最大公因数,然后将分子和分母除以最大公因数,得到最简分数。
而判断两个数是否互质,也可以用辗转相除法。
当求出两个数的最大公因数后,如果最大公因数等于1,那么这两个数就互质。
3. 辗转相除法的注意事项尽管辗转相除法是求最大公因数的一种常用方法,但它仍有一些需要注意的事项。
因为最大公因数和最小公倍数有以下性质:1)两个数之积等于它们的最大公因数与最小公倍数的积;2)最大公因数与最小公倍数的和等于这两个数之和;3)最小公倍数也可以用辗转相除法求出。
多元多项式怎么用辗转相除法求最大公因子多元多项式是指含有多个变量的多项式,其求最大公因子的方法与单变量多项式相似,可以通过辗转相除法进行求解。
具体步骤如下: 1. 将多元多项式表示为单变量多项式的形式。
例如,对于含有
两个变量x和y的多项式f(x,y),可以将其表示为f(x,y)= g(x)*h(y),其中g(x)和h(y)分别为f(x,y)关于x和y的单变量多项式。
2. 对g(x)和h(y)分别使用单变量多项式辗转相除法求出它们
的最大公因子s(x)和t(y)。
3. 将s(x)和t(y)表示为多元多项式的形式,即s(x,y)和t(x,y)。
4. 最大公因子为s(x,y)*t(x,y)。
需要注意的是,在进行多元多项式辗转相除法时,需要使用多元多项式的除法规则,即首先对多项式中的第一个变量进行除法,然后对所得的余项再对第二个变量进行除法,以此类推,直至得到最终的余项为零。
- 1 -。
两零多项式的最大公因式
1. 什么是多项式的最大公因式
- 多项式最大公因式指两个或多个多项式的最大公因数。
- 最大公因数是能够整除给定数字集合中所有数字的最大整数。
2. 两个一元两零多项式的最大公因式计算方法
- 辗转相除法:将两个多项式相除,若有余数,则将除式除以余数。
一直重复直到余数为零。
此时除数即为两个多项式的最大公因式。
3. 举例说明
- 例1:求多项式 f(x)=4x^3-2x^2+2x-2 和 g(x)=2x^2-6 的最大公因式。
- 首先将两个多项式按降幂排列,即 f(x)=4x^3-2x^2+2x-2,
g(x)=0x^3+2x^2-6x+0。
- 用 g(x) 去除 f(x),得到商为 2x 和余数为 2x-2。
- 将 g(x) 除以余数 2x-2,得到商为 x+1,余数为 4。
- 由于余数不为零,再将 2x-2 除以 2,得到商为 x-1,余数为 0。
- 于是,最大公因式为 (2x-2)(x+1)=2(x-1)(x+1)。
- 例2:求多项式 f(x)=6x^3+3x^2-9x-9 和 g(x)=3x^2-6x-15 的最大公因式。
- 首先将两个多项式按降幂排列,即 f(x)=6x^3+3x^2-9x-9,
g(x)=0x^3+3x^2-6x-15。
- 用 g(x) 去除 f(x),得到商为 2x 和余数为 -3x-9。
- 将 g(x) 除以余数 -3x-9,得到商为 -x-3,余数为 0。
- 于是,最大公因式为 3(x+3)。
#include<stdio.h>#include<stdlib.h>#include<math.h> struct chain // 定义一个多项式的结构体{int n; // 该多项式的最高次数double *an; // 存放多项式的系数};void creat_chain(struct chain *c) // 建立一个多项式{int i,n;double ai;printf(" 请输入该多项式最高次数:");scanf("%d",&n);(*c).n = n;(*c).an = (double *)calloc(n+1,sizeof(double)); // 给该多项式系数动态分配内存printf("按下列格式输入系数:(例如x^4 + 2x^3 - 7x^1 + 5 输入:1 2 0 -7 5)\n"); printf(" 等待输入:");for(i=n;i>=0;i--){scanf("%lf",&ai);(*c).an[i] = ai;}}void show(struct chain c) // 按照多项式的格式显示多项式{int i=c.n;printf(" 多项式是:");while(i>=0){if((i!=c.n)&&(c.an[i]>=0))printf(" + ");switch(i){case 1:printf("%.2lfX",c.an[i]);break;case 0:printf("%.2lf",c.an[i]);break;default:Pri ntf("%.2lfX^%d",c.a n[i],i);break;}i--;}Printf("\n");void do_add(struct chain *ch,struct chain ch1,struct chain ch2) // 两个多项式求和 {int i;if(ch1.n>=ch2.n){(*ch).n = ch1.n; // 求和之后多项式的最高次应是 ch1 和 ch2 中较高的次数 (*ch).an = (double *)calloc((*ch).n+1,sizeof(double));for(i=0;i<=(*ch).n;i++){if(i<=ch2.n)(*ch).an[i] = ch1.an[i] + ch2.an[i]; // 相同次数的系数相加 else(*ch).an[i] = ch1.an[i];ZZ 直接保ch1中有而ch2中没有的项的系数}} else ZZ 与上面 if 相反{(*ch).n = ch2.n;(*ch).an = (double *)calloc((*ch).n+1,sizeof(double)); for(i=0;i<=(*ch).n;i++){if(i<=ch1.n) (*ch).an[i] = ch1.an[i] + ch2.an[i];else(*ch).an[i] = ch2.an[i];}}}void check_change(struct chain *r)ZZ 检验多项式 r 的最高次数并进行相应的修改{ int i = (*r).n;while((fabs((*r).an[i])<=1e-5)&&(i>=0)) ZZ 依次从高次项向低次项进行系数检验i--;(*r).n = i; ZZ 注意:如果多项式 r 为O ,这里i=-1}if(fabs(r.an[i])>=1e-6) // 如果一旦有一个不为零,返回 false return false;return true; // 全为零的情况下返回 true}void do_div(struct chain ch1,struct chain ch2) // 辗转相除法 ,公式 :ch1 = q*ch2+r; {int i = 0,j;double tmp;struct chain q,r;if(check_zero(ch2)) // 判断所除的多项式是否为0,若为 0,退出 ;{ bool check_zero(struct chain r){ int i;for(i=O;i<=r.n;i++)ZZ 检验多项式 r 的最高次数printf(" 所除的多项式不能为0!\n");exit(0);}q.n = ch1.n - ch2.n; //q 的最高次数为ch1 和ch2 最高次数相减r.n = ch1.n - 1;r.an = (double *)calloc(r.n+1,sizeof(double)); // 为系数动态分配内存q.an = (double *)calloc(q.n+1,sizeof(double));while(i<=q.n){r.n = ch1.n - 1; //r 的最高次数为ch1 的最高次数减1 q.an[q.n-i] =ch1.an[ch1.n]/ch2.an[ch2.n]; // 多项式q 的最高次项系数tmp = q.an[q.n-i];for(j=r.n;j>=0;j--){if(j>=q.n-i)r.an[j] = ch1.an[j] - tmp*ch2.an[j-q.n+i]; // 高次对应相减elser.an[j] = ch1.an[j]; // 低次保留}if(check_zero(r)) break; // 若余式r 系数全为零,退出循环ch1 = r; /∕ch2没除干净,将r赋给chi,继续除ch2 i++;}printf(" --------------------------------------------\n");printf("q(x):");show(q); // 显示每一步的多项式qprintf("r(x):");show(r); // 显示每一步与q 对应的多项式r printf(" \n");check_change(&r); // 修改余式r 的最高次数,即修改r.nif(r.n==-1) //r.n==-1 时,说明最大公因式已经找到{printf(" 所求最大公因式的");show(ch2); // 输出结果free(r.an); // 回收动态分配内存}elsedo_div(ch2,r); // 辗转相除}void main(){struct chain ch1,ch2,ch;printf("*************** creat_chain(&ch1); show(ch1);printf("*************** creat_chain(&ch2); show(ch2);printf("*************** do_add(&ch,ch1,ch2); show(ch);printf("*************** do_div(ch1,ch2); 建立第一个多项式**************\n\n");建立第二个多项式**************\n\n");以上两个多项式求和**************\n\n");以上两个多项式求公因式**************\n\n");// 回收动态分配内存free(ch1.an);free(ch2.an); free(ch.an);}。
辗转相除法求最大公因式设多项式f(x),g(x)满足f(x)=g(x)h(x)+r(x),其中h(x),r(x)也是多项式,r(x)的次数小于g(x)的次数,大于0。
以g(x),r(x)代替f(x),g(x),重复上述过程:g(x)=r(x)h1(x)+r1(x)。
辗转相除法,又名欧几里德算法(euclidean algorithm),是求最大公约数的一种方法。
它的具体做法是:用较大数除以较小数,再用出现的余数(第一余数)去除除数,再用出现的余数(第二余数)去除第一余数,如此反复,直到最后余数是0为止。
如果厚边两个数的最大公约数,那么最后的除数就是这两个数的最大公约数。
另一种谋两数的最大公约数的方法就是更二者减损法。
其计算原理依赖于下面的定理:定理:两个整数的最大公约数等同于其中较小的那个数和两数相乘余数的最大公约数。
最大公约数(greatest common divisor)简写为gcd。
gcd(a,b) = gcd(b,a mod b) (不妨设a\ueb 且r=a mod b ,r不为0)欧几里得算法证法一a可以表示成a = kb + r(a,b,k,r皆为正整数,且r假设d就是a,b的一个公约数,记作d|a,d|b,即a和b都可以被d相乘。
而r = a - kb,两边同时除以d,r/d=a/d-kb/d,由等式右边可知m=r/d为整数,因此d|r因此d也就是b,a mod b的公约数。
因(a,b)和(b,a mod b)的公约数相等,则其最大公约数也相等,得证。
欧几里得算法证法二假设c = gcd(a,b),则存在m,n,使a = mc, b = nc;令r = a mod b,即为存有k,并使r = a-kb = mc - knc = (m-kn)c;故gcd(b,a mod b) = gcd(b,r) = gcd(nc,(m-kn)c) = gcd(n,m-kn)c;则c为b与a mod b的公约数;假设d = gcd(n,m-kn), 则存在x,y, 使n = xd, m-kn = yd; 故m = yd+kn =yd+kxd = (y+kx)d;故存有a = mc = (y+kx)dc, b = nc = xdc; 可以得 gcd(a,b) = gcd((y+kx)dc,xdc) = dc;由于gcd(a,b) = c, 故d = 1;即gcd(n,m-kn) = 1, 故只须gcd(b,a mod b) = c;故得证gcd(a,b) = gcd(b,a mod b).。
求两个多项式的最大公因式的新方法——等效变换法
求两个多项式的最大公因式的新方法——等效变换法
张庆,王朝霞
【摘要】求两个多项式的最大公因式,可以用辗转相除法及分解因式法。
给出了另一种求最大公因式的方法,即等效变换法。
【期刊名称】唐山师范学院学报
【年(卷),期】2007(029)002
【总页数】2
【关键词】多项式;变换;最大公因式
求两个多项式的最大公因式时,一般采用辗转相除法及分解因式法,但有时计算量较大,本文给出一种简单、快捷、有效地求两个多项式的最大公因式的方法。
用(f(x),g(x))表示f(x),g(x)的最高次项系数为1的最大公因式。
任给一个2×(n+1)矩阵A,则显然存在多项式f(x),g(x),使A=m(f,g)。
定义2设A=m(f,g),B=m(f1,g1),若(f(x),g(x))=(f1(x),g1(x)),则称A 与B等效,记做A?B。
定理1若矩阵A=m(f,g)经过三种初等行变换变成B=m(f1,g1),则A与B等效。
证明(1)若交换A的两行得到B,则B=m(f,g),显然(f(x),g(x))=(g(x),f(x)),所以A与B等效。
(2)若A的第一行乘以k加到第二行得B,则B=m(f(x),kf(x)+g(x)),由最大公因式的性质(f(x),g(x))=(f(x),kf(x)+g(x)),所以A与B等效。
(3)若A的第一行乘以非零数k得B,则B=m(kf(x),g(x)),又(f(x),g(x))=(kf(x),g(x)),所以A与B等效。
#include<stdio.h>
#include<stdlib.h>
#include<math.h> struct chain // 定义一个多项式的结构体
{
int n; // 该多项式的最高次数
double *an; // 存放多项式的系数
};
void creat_chain(struct chain *c) // 建立一个多项式
{
int i,n;
double ai;
printf(" 请输入该多项式最高次数:");
scanf("%d",&n);
(*c).n = n;
(*c).an = (double *)calloc(n+1,sizeof(double)); // 给该多项式系数动态分配内存printf("
按下列格式输入系数:(例如x^4 + 2x^3 - 7x^1 + 5 输入:1 2 0 -7 5)\n"); printf(" 等待输入:");
for(i=n;i>=0;i--)
{
scanf("%lf",&ai);
(*c).an[i] = ai;
}
}
void show(struct chain c) // 按照多项式的格式显示多项式
{
int i=c.n;
printf(" 多项式是:");
while(i>=0)
{
if((i!=c.n)&&(c.an[i]>=0))
printf(" + ");
switch(i)
{
case 1:printf("%.2lfX",c.an[i]);break;
case 0:printf("%.2lf",c.an[i]);break;
default:Pri ntf("%.2lfX^%d",c.a n[i],i);break;
}
i--;
}
Printf("\n");
void do_add(struct chain *ch,struct chain ch1,struct chain ch2) // 两个多项式求和 {
int i;
if(ch1.n>=ch2.n)
{
(*ch).n = ch1.n; // 求和之后多项式的最高次应是 ch1 和 ch2 中较高的次数 (*ch).an = (double *)calloc((*ch).n+1,sizeof(double));
for(i=0;i<=(*ch).n;i++)
{
if(i<=ch2.n)
(*ch).an[i] = ch1.an[i] + ch2.an[i]; // 相同次数的系数相加 else
(*ch).an[i] = ch1.an[i];
ZZ 直接保ch1中有而ch2中没有的项的系数
}
} else ZZ 与上面 if 相反
{
(*ch).n = ch2.n;
(*ch).an = (double *)calloc((*ch).n+1,sizeof(double)); for(i=0;i<=(*ch).n;i++)
{
if(i<=ch1.n) (*ch).an[i] = ch1.an[i] + ch2.an[i];
else
(*ch).an[i] = ch2.an[i];
}
}
}
void check_change(struct chain *r)
ZZ 检验多项式 r 的最高次数并进行相应的修改
{ int i = (*r).n;
while((fabs((*r).an[i])<=1e-5)&&(i>=0)) ZZ 依次从高次项向低次项进行系数检验
i--;
(*r).n = i; ZZ 注意:如果多项式 r 为O ,这里i=-1
}
if(fabs(r.an[i])>=1e-6) // 如果一旦有一个不为零,返回 false return false;
return true; // 全为零的情况下返回 true
}
void do_div(struct chain ch1,struct chain ch2) // 辗转相除法 ,公式 :ch1 = q*ch2+r; {
int i = 0,j;
double tmp;
struct chain q,r;
if(check_zero(ch2)) // 判断所除的多项式是否为
0,若为 0,退出 ;
{ bool check_zero(struct chain r)
{ int i;
for(i=O;i<=r.n;i++)
ZZ 检验多项式 r 的最高次数
printf(" 所除的多项式不能为0!\n");
exit(0);
}
q.n = ch1.n - ch2.n; //q 的最高次数为ch1 和ch2 最高次数相减
r.n = ch1.n - 1;
r.an = (double *)calloc(r.n+1,sizeof(double)); // 为系数动态分配内存
q.an = (double *)calloc(q.n+1,sizeof(double));
while(i<=q.n)
{
r.n = ch1.n - 1; //r 的最高次数为ch1 的最高次数减1 q.an[q.n-i] =
ch1.an[ch1.n]/ch2.an[ch2.n]; // 多项式q 的最高次项系数tmp = q.an[q.n-i];
for(j=r.n;j>=0;j--)
{
if(j>=q.n-i)
r.an[j] = ch1.an[j] - tmp*ch2.an[j-q.n+i]; // 高次对应相减else
r.an[j] = ch1.an[j]; // 低次保留
}
if(check_zero(r)) break; // 若余式r 系数全为零,退出循环ch1 = r; /∕ch2没除干净,将r赋给chi,继续除ch2 i++;
}
printf(" --------------------------------------------\n");
printf("q(x):");
show(q); // 显示每一步的多项式q
printf("r(x):");
show(r); // 显示每一步与q 对应的多项式r printf(" \n");
check_change(&r); // 修改余式r 的最高次数,即修改r.n
if(r.n==-1) //r.n==-1 时,说明最大公因式已经找到{
printf(" 所求最大公因式的");
show(ch2); // 输出结果
free(r.an); // 回收动态分配内存
}
else
do_div(ch2,r); // 辗转相除
}
void main()
{
struct chain ch1,ch2,ch;
printf("*************** creat_chain(&ch1); show(ch1);
printf("*************** creat_chain(&ch2); show(ch2);
printf("*************** do_add(&ch,ch1,ch2); show(ch);
printf("*************** do_div(ch1,ch2); 建立第一个多项式**************\n\n");
建立第二个多项式**************\n\n");
以上两个多项式求和**************\n\n");
以上两个多项式求公因式**************\n\n");
// 回收动态分配内存
free(ch1.an);
free(ch2.an); free(ch.an);
}。