江苏省2016年专转本高等数学真题
- 格式:pdf
- 大小:125.89 KB
- 文档页数:4
江苏省2016年普通高校专转本选拔考试高等数学试题卷注意事项:1.本试卷分为试题卷和答题卡两部分,试题卷共3页,全卷满分150分,考试时间120分钟。
2.必须在答题卡上作答,作答在试题卷上无效,作答前务必将自己的姓名和准考证号准确清晰地填写在试题卷和答题卡上的指定位置。
3.考试结束时,须将试题卷和答题卡一并交回。
一、单项选择题(本大题共6小题,每小题4分,共24分,在下列每小题中选出一个正确答案,请在答题卡上将所选的字母标号涂黑)1.函数()f x 在0x x =处有定义是极限0lim ()x x f x →存在的()A.充分条件B.必要条件C.充分析要条件D.无关条件2.设()sin f x x =,当0x +→时,下列函数中是()f x 的高阶无穷小的是()A.tan x B.11x -- C.21sin x x D.1x e -3.设函数()f x 的导函数为sin x ,则()f x 的一个原函数是()A.sin x B.sin x - C.cos x D.cos x-4.二阶常系数非齐次线性微分方程"'22x y y y xe ---=的特解*y 的正确假设形式为()A.x Axe - B.2x Ax e- C.()x Ax B x -+ D.()x x Ax B e -+5.函数2()z x y =-,则1,0|x y dz ===()A.22dx dy+ B.22dx dy - C.22dx dy -+ D.22dx dy --6.幂级数212n nn x n∞=∑的收敛域为()A.11[,]22- B.11[,)22- C.11(,]22- D.11(,)22-二、填空题(本大题共6小题,每小题4分,共24分)7.极限x x x 10)21(lim -→▲.8.已知向量(1,0,2),(4,3,2)a b ==-- ,则(2)(2)a b a b -⋅+=▲.9.函数()x f x xe =的n 阶导数()()n f x =▲.10.函数211()sin 2x f x x x+=,则()f x 的图像的水平渐近线方程为▲.11.函数2()ln x x F x d ιι=⎰,则'()F x =▲.12.无穷级数11(1)2n n n ∞=+-∑▲.(请填写收敛或发散)三、计算题(本大题共8小题,每小题8分,共64分)13.求极限201cos lim sin x x x x x →⎛⎫- ⎪⎝⎭.14.设函数()y y x =由方程xy ex y =+所确定,求dy dx .15.计算定积分51⎰.16.求不定积分2ln (1)x dx x +⎰.17.求微分方程2'2sin x y xy x +=满足条件()0y π=的解.18.求曲直线1111:131x y z l ---==和直线21:1213x l y z ιιι=+⎧⎪=+⎨⎪=+⎩所确定的平面方程.19.设22(,)z f x y y x =--,其中函数f 具有二阶连续偏导数,求2z x y ∂∂∂.20.计算二重积分Dxdxdy ⎰⎰,其中D 是由直线2y x =+,x轴及曲线y =所围绕成的平面闭区域.四、证明题(本大题共2小题,每小题9分,共18分)21.证明:函数()f x x =在0x =处连续但不可导.22.证明:当12x ≥-时,不等式32213x x +≥成立.3五、综合题(本大题共2小题,每小题10分,共20分)23.平面区域D 由曲线y y x 222=+,x y =及y 轴所围成。
江苏省专转本⾼数真题及答案⾼等数学试题卷(⼆年级)注意事项:出卷⼈:江苏建筑⼤学-张源教授1、考⽣务必将密封线内的各项⽬及第 2页右下⾓的座位号填写清楚. 3、本试卷共8页,五⼤题24⼩题,满分150分,考试时间120分钟. ⼀、选择题(本⼤题共6⼩题,每⼩题4分,满分24分) 1、极限 lim(2xsin 1 Sin 3x )=()x xA. 0B.2C.3D.52、设f (x)⼆2)sinx ,则函数f (x )的第⼀类间断点的个数为()|x|(x -4)'A. 0B.1C.2D.3133、设 f(x) =2x 2 -5x 2,则函数 f(x)()A.只有⼀个最⼤值B.只有⼀个极⼩值C.既有极⼤值⼜有极⼩值D.没有极值34、设z =ln(2x)-在点(1,1)处的全微分为()y1 1A. dx - 3dyB. dx 3dyC. ⼀ dx 3dyD. - dx - 3dy2 21 15、⼆次积分pdy.y f (x, y )dx 在极坐标系下可化为()sec'— 'sec jA. —4d ⼨ o f (「cos 〒,「sin ⼨)d 「B. —4d 丁 ? f (「cos 〒,「sin ⼨)「d 「&下列级数中条件收敛的是()⼆、填空题(本⼤题共6⼩题,每⼩题4分,共24分)7要使函数f(x)=(1-2x )x 在点x=0处连续,则需补充定义f(0)= _________________ . 8、设函数 y = x (x 2 +2x +1)2 +e 2x ,贝⼙ y ⑺(0) = _______ .江苏省 2 0 12 年普通⾼校专转本选拔考试2、考⽣须⽤钢笔或圆珠笔将答案直接答在试卷上, 答在草稿纸上⽆效. sec ? iC. o f (「cosd 「sin Jd 「D.4sec ?2d 丁 ? f (「cos ⼨,「sin ⼨):?d "「TVXTnW ?、n9、设y =x x (x >0),则函数y 的微分dy =.(1)函数f (x)的表达式;11、设反常积分[_e 」dx=q ,则常数a= ______________ . 12、幕级数£上律(x -3)n 的收敛域为 __________________ :“⼆ n3 三、计算题(本⼤题共8⼩题,每⼩题8分,共64 分)2x +2cosx —2 lim ⼚x 0x ln(1 x)2116、计算定积分",-严.17、已知平⾯⼆通过M (1,2,3)与x 轴,求通过N(1,1,1)且与平⾯⼆平⾏,⼜与x 轴垂直的直线⽅程.18、设函数 “ f(x,xyr (x 2 y 2),其中函数f 具有⼆阶连续偏导数,函数具有⼆阶连-2续导数,求⼀Zc^cy19、已知函数f(x)的⼀个原函数为xe x ,求微分⽅程丫 4/ 4^ f (x)的通解. 20、计算⼆重积分..ydxdy ,其中D 是由曲线y 「x-1,D四、综合题(本⼤题共2⼩题,每⼩题10分,共20分)21、在抛物线y =x 2(x 0)上求⼀点P ,使该抛物线与其在点P 处的切线及x 轴所围成的平⾯图形的⾯积为2,并求该平⾯图形绕x 轴旋转⼀周所形成的旋转体的体积.3x322、已知定义在(⽫,畑)上的可导函数f(x)满⾜⽅程xf(x)-4( f(t)dt=x 3-3,试求:10、设向量a,b 互相垂直,且= 3,^=2,,贝 U ^+2b13、求极限 14、设函数 y = y(x)由参数⽅程 xdty = t 2 2lnt所确定, 求鱼dx dx 2 °15、求不定积分 2x 1 J 2~cos x1直线T 及x 轴所围成的平⾯(2)函数f(x)的单调区间与极值;(3)曲线y= f(x)的凹凸区间与拐点.五、证明题(本⼤题共2⼩题,每⼩题9分,共18分)123、证明:当0 : x :: 1 时,arcsinx x x3.6⼗x0 g(t)dt g(x)24、设f(x)⼀2—XHO,其中函数g(x)在(⽫,母)上连续,且lim g(x⼃=3证x T1—COSX卫(0) x = 01明:函数f (x)在X = 0处可导,且f (0)⼔.⼀. 选择题1-5BCCABD⼆. 填空题7-12e°128x n(1 ln x)dx5ln 2 (0,6]13求极限x m0 2x 2 cos x - 216、计算定积分 ----------- dx .1x ? 2x T13 t -^dt ⼆21 1 :; t2 1 t2dt =2arctant 1 t2原式=x叫x2 2 cos x -2 2x—2si nx=limx_0x—sin x3= lim4x3 x刃2x314、设函数y = y(x)由参数⽅程所确定,求2』=t +21 nt dydxd2ydx2原式号dx dydtdx2t -t12td2y_d燈)dtdx2t2 dt t2dx2dxdtt2115、求不定积分2x 12dx. cos x2x 1原式=i'2■ dx ' cosx ⼆(2x 1)d tanx ⼆(2x 1) tanx - tanxd(2x 1) 原式=令.2x -1 “,则原式=.?? 32(1)函数f (x)的表达式;17、已知平⾯⼆通过M (1,2,3)与x 轴,求通过N(1,1,1)且与平⾯⼆平⾏,⼜与x 轴垂直的直线⽅程.解:平⾯⼆的法向量n -OM 「=(0,3,⼀2),直线⽅向向量为S = n "「= (0,-2,-3),直线⽅程:x -1 y -1 z -10 ⼀ -2 ⼀ -3 18、设函数z ⼆f(x,xy^ (x 2 y 2),其中函数f 具有⼆阶连续偏导数,函数具有⼆阶连Z =f i f 2 y 2x ' zf i2 x f 2 xyf 22 2x 2y : .x :x.y19、已知函数f (x)的⼀个原函数为xe x ,求微分⽅程y” ? 4y ' 4y = f (x)的通解. 解:f (x) = (xe x ^ = (x 1)e x ,先求 y ” ? 4y ' 4y =0 的通解,特征⽅程:r 2 ? 4r *4 = 0,h 、2 = -2,齐次⽅程的通解为Y =(G C 2X )e'x .令特解为y =(Ax B)e x ,代⼊原⽅程9Ax 6A 9^x 1,有待定系数法得:__ 120、计算⼆重积分i iydxdy ,其中D 是由曲线y = :x-1,直线y= —x 及x 轴所围成的平⾯D 2闭区域.原式=ydy 丫 dx 1.j 0'2y12四. 综合题21、在抛物线y =x 2(x 0)上求⼀点P ,使该抛物线与其在点P 处的切线及x 轴所围成的平⾯图形的⾯积为2,并求该平⾯图形绕x 轴旋转⼀周所形成的旋转体的体积. 3 解:设 P 点(x 0,x ° )(x 0 0),则 k 切=2x °,切线:,y - x ° = 2x 0(x- x °)续导数,求;2z解:9A=1QA+9B =1解得* A 」9 -1,所以通解为丫"6)⼧(討?2x/即,y +x ° =2x °x ,由题意((y x^ 2x 0s y)dy =⼻,得 X0 = 2,P(2,4)(2)函数f(x)的单调区间与极值;(3)曲线—f(x)的凹凸区间与拐点.x解:(1)已知 xf(x)-4 4 f (t)dt =X 3 -3两边同时对 x 求导得:f (X )? x 「(x)-4f(x) =3x 2 3即.y" — -y=3x 则 y = —3x 2+cx 3 由题意得:f(1)=—2, c=1,贝U f(x)=—3x 2 + x 3 ■ x ' (2) f (x) =3x 2 -6x = 0,论=0,x 2 = 2 列表讨论得在(-⼆,0) (2,::)单调递增,在(0,2)单调递减。
模 拟 试 卷一、选择题(每小题4分)1、下列极限中正确的是:( )∞==+-+=→→∞→→x x D e x C x x x x B x x A x x x x x ln lim .)21(lim .sin sin lim .111sinlim .02sin 100不存在2、已知==∞→→)21(lim ,2)2(lim 0x xf x x f x x 则( ) 4.1.21.2.D C B A3、已知函数y=y(x)在任意点x 处的增量,12α++∆=∆xx y y 其中)0(→∆∆x x 是比α高阶的无穷小,且y (0) = 1,则y (1)等于( )44..2..πππππe D C B e A4、已知向量++=,则垂直于a 且同时垂直于y 轴的单位向量e 等于( ))(22)(22.)(33.)(33.C B A +±-±+-±++±5、已知⎰⎰-'+=dx x f c e dx x f x )(,)(2则等于( ) c e D c e C c e B c e A x x x x +-+-++----222221.2.21.2.6、下列级数中收敛的是( )∑∑∑∑∞=∞=∞=∞=+⋅11121)1l n (.23.!)2()!(.!.n n n n n n nn n D n C n n B n n A二、填空题(每小题4分)1、 函数='=+=)0(,)sin()2ln()(y xy y x x y y 则确定由2、 已知当x →0时,x 2ln(1+x 2)是sin n x 的高阶无穷小,而sin nx 又是1-cosx 的高阶无穷小,则n =3、 函数)1(1)(2--=x x e x f x 的可去间断点为x =4、 20204)4(lim x dt t t x x ⎰+→=5、 已知⎰==)(,)(2x f xe dx x xf x 则6、 改变积分⎰⎰π0sin 0),(x dy y x f dx 的次序后,原式变为三、解答题(每题8分)1、 求极限xx e e xx x tan lim tan 0--→ 2、计算不定积分dx xe x x x ⎰++)1(13、设2232,32dx y d tt y t t x 求⎪⎩⎪⎨⎧-=-= 4、设f y x xy f z 且),,(22+=为二阶可微函数,求y x z ∂∂∂2 5、计算⎰⎰--20422222x x x y x dy dx6、过直线L :⎩⎨⎧=+-=--+02062z y x z y x 作平面π,使其与已知平面02:1=++z y x π垂直。
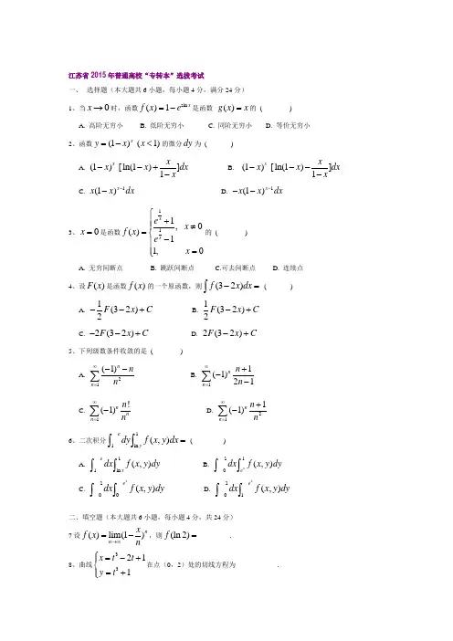
江苏省2015年普通高校“专转本”选拔考试一、 选择题(本大题共6小题,每小题4分,满分24分) 1、当0x→时,函数sin ()1x f x e =-是函数 ()g x x =的 ( )A. 高阶无穷小B. 低阶无穷小C. 同阶无穷小D. 等价无穷小 2、函数(1) (1)x y x x =-<的微分dy 为 ( )A. (1) [ln(1)]1x x x x dx x --+- B. (1) [ln(1)]1x x x x dx x---- C.1(1)x x x dx -- D. 1(1)x x x dx ---3、0x =是函数111, 0()11, 0x xe xf x e x ⎧+⎪≠⎪=⎨-⎪⎪=⎩的 ( ) A. 无穷间断点 B. 跳跃间断点 C.可去间断点 D. 连续点 4、设()F x 是函数()f x 的一个原函数,则(32)f x dx -=⎰ ( )A. 1(32)2F x C --+B. 1(32)2F x C -+ C.2(32)F x C --+ D. 2(32)F x C -+5、下列级数条件收敛的是 ( )A.21(1)n n nn ∞=--∑ B.11(1)21nn n n ∞=+--∑C.1!(1)nn n n n ∞=-∑ D.211(1)nn n n∞=+-∑ 6、二次积分11ln (,)eydy f x y dx =⎰⎰ ( )A.11ln (,)exdx f x y dy ⎰⎰ B.1(,)x edx f x y dy ⎰⎰ 1 0C. 0(,)xe dxf x y dy ⎰⎰ 1 0D.1(,)xe dxf x y dy ⎰⎰ 1 0二、填空题(本大题共6小题,每小题4分,共24分) 7设()lim(1)n n xf x n→∞=-,则(ln 2)f =_________.8、曲线33211x t t y t ⎧=-+⎪⎨=+⎪⎩在点(0,2)处的切线方程为____________.9、设向量b 与向量(1,2,1)a =--平行,且12a b ⋅=,则b =________.10、设1()21f x x =+,则()()n f x =_________.11、微分方程2xy y x '-=满足初始条件12x y==的特解为___ __.12、幂级数11)nn n x ∞=-的收敛域为____________. 三、计算题(本大题共8小题,每小题8分,共64分)13、求极限020arcsin lim222xxx t tdte x x →---⎰.14、设2sin , 0()0, 0x xx f x x x -⎧≠⎪=⎨⎪=⎩,求()f x '. 15、求通过直线112215x y z +-+==与平面32100x y z ++-=的交点,且与直线230240x y z x y z -++=⎧⎨+--=⎩平行的直线方程. 16、求不定积分3⎰.17、计算定积分222()sin xx xdx ππ-+⎰ .18、设(,()),xz f x yϕ=,其中函数f具有二阶连续偏导数,函数ϕ具有连续导数,求yx z∂∂∂2.19、计算二重积分Dxydxdy ⎰⎰,其中D为由曲线y =与直线y x =及直线2y =所围成的平面闭区域. 20、已知2312x x x y C e C e xe =++是二阶常系数非齐次线性微分方程()y py qy f x '''++=的通解,试求该微分方程.四、综合题(本大题共2小题,每小题10分,共20分) 21、设D 是由曲线2y x =与直线(0)y ax a =>所围成的平面图形,已知D 分别绕两坐标轴旋转一周所形成的旋转体的体积相等,试求: (1)常数a 的值; (2)平面图形D 的面积.22、设函数2()(1)ax b f x x +=+在点1x =处取得极值14-,试求: (1)常数,a b 的值;(2)曲线()y f x =的凹凸区间与拐点;(3)曲线)(x f y =的渐近线.五、证明题(本大题共2小题,每小题9分,共18分) 23、证明:当10<<x 时,(2)ln(1)2x x x -->.24、设(,)zz x y =是由方程22()y z xf y z +=-所确定的函数,其中f为可导函数,证明:z zxz y x y∂∂+=∂∂. 2016年试卷一、 选择题(本大题共6小题,每小题4分,满分24分) 1、函数()f x 在0x x =处有意义是极限0lim ()x x f x →存在的( D )A. 充分条件B. 必要条件C. 充分必要条件D. 无关条件 2、函数()sin f x x =,当0x +→时,下列函数中是()f x 的高阶无穷小的是 ( C )A.tan x B.1 C. 21sinx xD. 1-3、设函数()f x 的导函数为sin x ,则()f x 的一个原函数是( B )A.sin x B. sin x - C. cos x D. cos x -4、二阶常系数非齐次线性微分方程22x y y y xe -'''--= 的特解的正确形式为( D )A.x Axe - B. 2x Ax e - C. ()x Ax B e -+ D. ()x x Ax B e -+5、函数2()z x y =-,则1,0d x y z=== ( B )A.22dx dy + B. 22dx dy - C. 22dx dy -+ D. 22dx dy --6、幂级数212n nn x n∞=∑的收敛域为 ( A )A.11[,]22- B. 11[,)22- C. 11(,]22- D. 11(,)22- 二、填空题(本大题共6小题,每小题4分,共24分) 7.极限1lim(12)xx x →-=____2e -_____.8、已知向量(1,0,2)a =,(4,3,2)b =--,则(2)(2)a b a b -⋅+=___-48_________. 9、函数()x f x xe =的n 阶导数()()n f x =____()x n x e +_____.10、函数211()sin 2x f x x x+=的水平渐近线方程为___ 12y =___.11、函数2()ln ,xxF x tdt =⎰则()F x '=___ ln 4x __.12、无穷级数_____发散_______(填写收敛或发散). 三、计算题(本大题共8小题,每小题8分,共64分) 13、求极限201cos lim().sin x xx x x→-.14、设函数()y y x =由方程xy e x y =+确定,求dydx. 15、计算定积分51⎰.16、求不定积分2ln (1)xdx x +⎰ .17、求微分方程22sin xy xy x '+=满足条件()0y π=的解.18、求由直线L1:111131x y z ---==和直线L2:11213x ty t z t=+⎧⎪=+⎨⎪=+⎩所确定的平面方程. 19、设22(,)zf x y y x =--,其中函数f 具有二阶连续偏导数,求yx z∂∂∂2.20、计算二重积分Dxdxdy ⎰⎰,其中D 为由直线2y x =+,x轴及曲线y =所围成的平面区域.四、证明题(本大题共2小题,每小题9分,共18分) 21、证明函数||y x =在0x =处连续但不可导.22、证明12x ≥-时,不等式32213x x +≥成立. 五、综合题(本大题共2小题,每小题10分,共20分) 23、平面区域D 由曲线222xy y +=,y y 轴所围成(1)求平面区域D 的面积;(2)求平面图形D 绕x 轴旋转一周所得的旋转体体积. 24、设函数()f x 满足2211()2()f x f x dx x =+⎰, (1)求()f x 的表达式;(2)确定反常积分1()f x dx +∞⎰的敛散性.。
2001年江苏省普通高校“专转本”统一考试高等数学一、选择题(本大题共5小题,每小题3分,共15分)1、下列各极限正确的是 ( )A 、e xxx =+→)11(lim 0B 、e xx x =+∞→1)11(limC 、11sinlim =∞→x x x D 、11sin lim 0=→xx x2、不定积分=-⎰dx x211 ( )A 、211x-B 、c x+-211C 、x arcsinD 、c x +arcsin3、若)()(x f x f -=,且在[)+∞,0内0)('>x f 、0)(''>x f ,则在)0,(-∞内必有 ( )A 、0)('<x f ,0)(''<x f B 、0)('<x f ,0)(''>x f C 、0)('>x f ,0)(''<x f D 、0)('>x f ,0)(''>x f4、=-⎰dx x 21 ( )A 、0B 、2C 、-1D 、15、方程x y x 422=+在空间直角坐标系中表示 ( ) A 、圆柱面B 、点C 、圆D 、旋转抛物面二、填空题(本大题共5小题,每小题3分,共15分)6、设⎩⎨⎧+==22tt y te x t ,则==0t dx dy7、0136'''=+-y y y 的通解为 8、交换积分次序=⎰⎰dy y x f dx xx22),(9、函数yx z =的全微分=dz 10、设)(x f 为连续函数,则=+-+⎰-dx x x x f x f 311])()([三、计算题(本大题共10小题,每小题4分,共40分) 11、已知5cos)21ln(arctan π+++=xx y ,求dy .12、计算xx dte x xt x sin lim22⎰-→.13、求)1(sin )1()(2--=x x xx x f 的间断点,并说明其类型.14、已知x y x y ln 2+=,求1,1==y x dxdy.15、计算dx e e xx⎰+12. 16、已知⎰∞-=+02211dx x k ,求k 的值. 17、求x x y y sec tan '=-满足00==x y 的特解.18、计算⎰⎰Ddxdy y 2sin ,D 是1=x 、2=y 、1-=x y 围成的区域.19、已知)(x f y =过坐标原点,并且在原点处的切线平行于直线032=-+y x ,若b ax x f +=2'3)(,且)(x f 在1=x 处取得极值,试确定a 、b 的值,并求出)(x f y =的表达式.20、设),(2y x x f z =,其中f 具有二阶 连续偏导数,求x z∂∂、yx z ∂∂∂2.四、综合题(本大题共4小题,第21小题10分,第22小题8分,第23、24小题各6分,共30分) 21、过)0,1(P 作抛物线2-=x y 的切线,求(1)切线方程; (2)由2-=x y ,切线及x 轴围成的平面图形面积;(3)该平面图形分别绕x 轴、y 轴旋转一周的体积。
...因此 BE CE4a b4 5 137 .2288 8在锐角三角形 ABC 中, sin A 2sin B sin C ,那么 tan A tan B tan C 的最小值是 .8;xiv.由 sin Asin π A sin B C sin B cosC cos B sin C , sin A 2sin Bsin C ,可得 sin B cosC cos B sin C 2sin Bsin C 〔 * 〕,由三角形 ABC 为锐角三角形,那么 cosB 0,cos C 0 ,在〔 * 〕式两侧同时除以 cos B cosC 可得 tan B tan C2tan Btan C ,又 tan Atan π Atan BCtan B tan C (#) ,1 tan B tanC那么 tan A tan B tan Ctan B tan C1tan B tanC ,tan B tanC2由 tan B tanC2 tan B tanC2 tan B tanC 可得 tan A tan B tanC1,tan B tan C令 tan B tanC t ,由 A, B, C 为锐角可得 tan A0, tan B0,tanC 0 ,由(#)得 1 tan B tan C 0 ,解得 t 1tan A tan B tan C2t 2 2 ,t11 1t 2t1 1 1 1 21 1 11,由 t 1 那么0 ,因此 tan Atan B tanC最小值为 8,t2tt24 t2t4当且仅当 t 2 时取到等号,此时 tan B tan C 4 , tan B tan C 2 ,解得 tan B22,tan C22,tan A 4 〔或 tan B,tan C 互换〕,此时 A, B,C 均为锐角.二、解答题: 本大题共 6 小题,共计 90 分.请在答题卡指定区域内作答,解答时应写出文字说明,证明过程或演算步骤.〔本小题总分值14 分〕在△ABC 中, AC 6 , cos B4, Cπ.54⑴求 AB 的长;⑵求 cos Aπ 的值.6⑴ 5 2;⑵7 26 .201.cos B4, B 为三角形的内角5sin B 3 5AB ACsinC sin BAB623,即: AB 5 2 ;25a) cos A cos C B sin B sin C cos B cosC2cos A10又A为三角形的内角72sin A10cos Aπ3cos A1s in A726.62220〔本小题总分值14分〕如图,在直三棱柱ABC A1 B1C1中, D, E 分别为 AB , BC 的中点,点F在侧棱 B1B 上,且 B D A F AC1A B C111,1 1 1 .求证:⑴直线 DE // 平面 AC FA1B1;11⑵平面 BDE平面AC F.111F 见解析;2.D, E 为中点,DE 为ABC 的中位线DE // AC又ABC A B C 为棱柱,AC //AC1 1 111CEA D BDE // AC1 1,又AC1 1平面 AC11F,且DEAC1 1FDE //平面AC F;1 1a)ABC A1B1C1为直棱柱,AA1平面 A1B1C1AA AC,又AC1A B1 1 11 1 1且AA1 A1 B1 A1, AA1 , A1 B1平面 AA1B1 BAC1平面AAB B,11113又 A 1FB 1D , DE B 1DD ,且 DE, B 1D平面 B 1 DEA F平面B DE,又A FAC F1111 1平面 B DE平面AC 1 F.11〔本小题总分值14 分〕现需要设计一个仓库,它由上下两局部组成,上局部的形状是正四棱锥P A 1 B 1C 1D 1,下局部的形状是正四棱柱 ABCD A 1B 1C 1 D 1〔如下图〕 ,并要求正四棱柱的高O 1O 是正四棱锥的高 PO 1的 4 倍.⑴假设AB6 m , PO 12 m ,那么仓库的容积是多少;PD 1 C 1⑵ 假设正四棱锥的侧棱长为6 m ,当 PO 1为多少时,仓库的容积最大?O 1A 1B 13;⑵ 2 3 m ; DC⑴ 312 mO3. PO 1 2 m ,那么OO 18 m ,ABV P A 1B 1C 1D 1=1S ABCD PO 11 62 224 m 3, V ABCDA 1B 1C 1D 1=S ABCD OO 1628 288 m 3 ,33V =V PABCDV ABCDABCD312 m3 ,11 1 111 11故仓库的容积为 312 m 3;a) 设 PO 1x m ,仓库的容积为 V ( x)那么 OO 1 4 x m , AO 1 136 x 2 m , A 1B 12 36 x 2 m ,11212V P A 1B 1C 1D 1= S ABCD PO 172 2 x 2x72x 2 x 3 24xx 3 m 3 ,3 3332233V ABCD A 1B 1C 1D 1=S ABCD OO 1724 x 288x2x 8 x m ,V x =V PABCDV ABCD ABC D24x 2 x 3 288x8x 326 x 3 312 x 0 x6 ,1 11 11 1 1 133V ' x26x 2 312 26 x 212 0 x 6 ,当 x 0,2 3 时,V' x0 , V x 单调递增,当 x2 3,6 时,V'x0 , V x 单调递减,因此,当 x2 3时,Vx 取到最大值,即 PO 1 23 m 时,仓库的容积最大.〔本小题总分值14 分〕如图,在平面直角坐标系xOy 中,以M 为圆心的圆M :x 2y 2 12x 14y 600及其上一点 A 2,4 .⑴设圆 N 与x 轴相切,与圆M 外切,且圆心 N 在直线 x 6 上,求圆 N 的标准方程;⑵设平行于 OA 的直线 l 与圆M 相交于 B,C 两点,且 BC OA ,求直线 l 的方程;⑶设点 T t,0满足:存在圆 M 上的两点 P 和Q ,使得TATPTQ ,XX 数t 的取值X 围.y2y21 ⑵ y 2x 5 或 y2 x 15 ⑶ 22 21,22 21 ;⑴ x 61M4.因为 N 在直线 x6 上,设 N 6, n ,因为与x 轴相切,A那么圆 N 为 x 622n 2, n 0y n又圆 N 与圆M 外切,圆M : x22Oxx 76 25 ,那么 7 nn 5 ,解得 n 1 ,即圆 N 的标准方程为 x 22;6 y 11a) 由题意得 OA 2 5 , k OA 2 设 l : y2 x b ,那么圆心M 到直线 l 的距离d12 7b5 b22,155 b2522 22 25, BCb那么 BC 2 5 d52 5,即2 252 5 ,5解得 b5 或 b 15 ,即 l : y2 x 5 或 y 2 x 15 ;i.TA TP TQ ,即 TA TQ TPPQ ,即TAPQ ,TAt2242,又 PQ ≤10,242≤ 10 ,解得 t 2 2 21,2 2 21 ,即 t 2对于任意 t22 21,2 2 21 ,欲使 TAPQ ,2此时 TA 10 TA 的平行线,使圆心到直线的距离为25TA ,只需要作直线 ,4必然与圆交于 P 、 Q 两点,此时 TA PQ ,即TA PQ ,因此对于任意 t2 2 21,2 2 21 ,均满足题意,〔本小题总分值14 分〕如图,在平面直角坐标系xOy 中,以M 为圆心的圆M :x 2y 2 12x 14y 600及其上一点 A 2,4 .⑴设圆 N 与x 轴相切,与圆M 外切,且圆心 N 在直线 x 6 上,求圆 N 的标准方程;⑵设平行于 OA 的直线 l 与圆M 相交于 B,C 两点,且 BC OA ,求直线 l 的方程;⑶设点 T t,0满足:存在圆 M 上的两点 P 和Q ,使得TATPTQ ,XX 数t 的取值X 围.y2y21 ⑵ y 2x 5 或 y2 x 15 ⑶ 22 21,22 21 ;⑴ x 61M4.因为 N 在直线 x6 上,设 N 6, n ,因为与x 轴相切,A那么圆 N 为 x 622n 2, n 0y n又圆 N 与圆M 外切,圆M : x22Oxx 76 25 ,那么 7 nn 5 ,解得 n 1 ,即圆 N 的标准方程为 x 22;6 y 11a) 由题意得 OA 2 5 , k OA 2 设 l : y2 x b ,那么圆心M 到直线 l 的距离d12 7b5 b22,155 b2522 22 25, BCb那么 BC 2 5 d52 5,即2 252 5 ,5解得 b5 或 b 15 ,即 l : y2 x 5 或 y 2 x 15 ;i.TA TP TQ ,即 TA TQ TPPQ ,即TAPQ ,TAt2242,又 PQ ≤10,242≤ 10 ,解得 t 2 2 21,2 2 21 ,即 t 2对于任意 t22 21,2 2 21 ,欲使 TAPQ ,2此时 TA 10 TA 的平行线,使圆心到直线的距离为25TA ,只需要作直线 ,4必然与圆交于 P 、 Q 两点,此时 TA PQ ,即TA PQ ,因此对于任意 t2 2 21,2 2 21 ,均满足题意,〔本小题总分值14 分〕如图,在平面直角坐标系xOy 中,以M 为圆心的圆M :x 2y 2 12x 14y 600及其上一点 A 2,4 .⑴设圆 N 与x 轴相切,与圆M 外切,且圆心 N 在直线 x 6 上,求圆 N 的标准方程;⑵设平行于 OA 的直线 l 与圆M 相交于 B,C 两点,且 BC OA ,求直线 l 的方程;⑶设点 T t,0满足:存在圆 M 上的两点 P 和Q ,使得TATPTQ ,XX 数t 的取值X 围.y2y21 ⑵ y 2x 5 或 y2 x 15 ⑶ 22 21,22 21 ;⑴ x 61M4.因为 N 在直线 x6 上,设 N 6, n ,因为与x 轴相切,A那么圆 N 为 x 622n 2, n 0y n又圆 N 与圆M 外切,圆M : x22Oxx 76 25 ,那么 7 nn 5 ,解得 n 1 ,即圆 N 的标准方程为 x 22;6 y 11a) 由题意得 OA 2 5 , k OA 2 设 l : y2 x b ,那么圆心M 到直线 l 的距离d12 7b5 b22,155 b2522 22 25, BCb那么 BC 2 5 d52 5,即2 252 5 ,5解得 b5 或 b 15 ,即 l : y2 x 5 或 y 2 x 15 ;i.TA TP TQ ,即 TA TQ TPPQ ,即TAPQ ,TAt2242,又 PQ ≤10,242≤ 10 ,解得 t 2 2 21,2 2 21 ,即 t 2对于任意 t22 21,2 2 21 ,欲使 TAPQ ,2此时 TA 10 TA 的平行线,使圆心到直线的距离为25TA ,只需要作直线 ,4必然与圆交于 P 、 Q 两点,此时 TA PQ ,即TA PQ ,因此对于任意 t2 2 21,2 2 21 ,均满足题意,〔本小题总分值14 分〕如图,在平面直角坐标系xOy 中,以M 为圆心的圆M :x 2y 2 12x 14y 600及其上一点 A 2,4 .⑴设圆 N 与x 轴相切,与圆M 外切,且圆心 N 在直线 x 6 上,求圆 N 的标准方程;⑵设平行于 OA 的直线 l 与圆M 相交于 B,C 两点,且 BC OA ,求直线 l 的方程;⑶设点 T t,0满足:存在圆 M 上的两点 P 和Q ,使得TATPTQ ,XX 数t 的取值X 围.y2y21 ⑵ y 2x 5 或 y2 x 15 ⑶ 22 21,22 21 ;⑴ x 61M4.因为 N 在直线 x6 上,设 N 6, n ,因为与x 轴相切,A那么圆 N 为 x 622n 2, n 0y n又圆 N 与圆M 外切,圆M : x22Oxx 76 25 ,那么 7 nn 5 ,解得 n 1 ,即圆 N 的标准方程为 x 22;6 y 11a) 由题意得 OA 2 5 , k OA 2 设 l : y2 x b ,那么圆心M 到直线 l 的距离d12 7b5 b22,155 b2522 22 25, BCb那么 BC 2 5 d52 5,即2 252 5 ,5解得 b5 或 b 15 ,即 l : y2 x 5 或 y 2 x 15 ;i.TA TP TQ ,即 TA TQ TPPQ ,即TAPQ ,TAt2242,又 PQ ≤10,242≤ 10 ,解得 t 2 2 21,2 2 21 ,即 t 2对于任意 t22 21,2 2 21 ,欲使 TAPQ ,2此时 TA 10 TA 的平行线,使圆心到直线的距离为25TA ,只需要作直线 ,4必然与圆交于 P 、 Q 两点,此时 TA PQ ,即TA PQ ,因此对于任意 t2 2 21,2 2 21 ,均满足题意,〔本小题总分值14 分〕如图,在平面直角坐标系xOy 中,以M 为圆心的圆M :x 2y 2 12x 14y 600及其上一点 A 2,4 .⑴设圆 N 与x 轴相切,与圆M 外切,且圆心 N 在直线 x 6 上,求圆 N 的标准方程;⑵设平行于 OA 的直线 l 与圆M 相交于 B,C 两点,且 BC OA ,求直线 l 的方程;⑶设点 T t,0满足:存在圆 M 上的两点 P 和Q ,使得TATPTQ ,XX 数t 的取值X 围.y2y21 ⑵ y 2x 5 或 y2 x 15 ⑶ 22 21,22 21 ;⑴ x 61M4.因为 N 在直线 x6 上,设 N 6, n ,因为与x 轴相切,A那么圆 N 为 x 622n 2, n 0y n又圆 N 与圆M 外切,圆M : x22Oxx 76 25 ,那么 7 nn 5 ,解得 n 1 ,即圆 N 的标准方程为 x 22;6 y 11a) 由题意得 OA 2 5 , k OA 2 设 l : y2 x b ,那么圆心M 到直线 l 的距离d12 7b5 b22,155 b2522 22 25, BCb那么 BC 2 5 d52 5,即2 252 5 ,5解得 b5 或 b 15 ,即 l : y2 x 5 或 y 2 x 15 ;i.TA TP TQ ,即 TA TQ TPPQ ,即TAPQ ,TAt2242,又 PQ ≤10,242≤ 10 ,解得 t 2 2 21,2 2 21 ,即 t 2对于任意 t22 21,2 2 21 ,欲使 TAPQ ,2此时 TA 10 TA 的平行线,使圆心到直线的距离为25TA ,只需要作直线 ,4必然与圆交于 P 、 Q 两点,此时 TA PQ ,即TA PQ ,因此对于任意 t2 2 21,2 2 21 ,均满足题意,〔本小题总分值14 分〕如图,在平面直角坐标系xOy 中,以M 为圆心的圆M :x 2y 2 12x 14y 600及其上一点 A 2,4 .⑴设圆 N 与x 轴相切,与圆M 外切,且圆心 N 在直线 x 6 上,求圆 N 的标准方程;⑵设平行于 OA 的直线 l 与圆M 相交于 B,C 两点,且 BC OA ,求直线 l 的方程;⑶设点 T t,0满足:存在圆 M 上的两点 P 和Q ,使得TATPTQ ,XX 数t 的取值X 围.y2y21 ⑵ y 2x 5 或 y2 x 15 ⑶ 22 21,22 21 ;⑴ x 61M4.因为 N 在直线 x6 上,设 N 6, n ,因为与x 轴相切,A那么圆 N 为 x 622n 2, n 0y n又圆 N 与圆M 外切,圆M : x22Oxx 76 25 ,那么 7 nn 5 ,解得 n 1 ,即圆 N 的标准方程为 x 22;6 y 11a) 由题意得 OA 2 5 , k OA 2 设 l : y2 x b ,那么圆心M 到直线 l 的距离d12 7b5 b22,155 b2522 22 25, BCb那么 BC 2 5 d52 5,即2 252 5 ,5解得 b5 或 b 15 ,即 l : y2 x 5 或 y 2 x 15 ;i.TA TP TQ ,即 TA TQ TPPQ ,即TAPQ ,TAt2242,又 PQ ≤10,242≤ 10 ,解得 t 2 2 21,2 2 21 ,即 t 2对于任意 t22 21,2 2 21 ,欲使 TAPQ ,2此时 TA 10 TA 的平行线,使圆心到直线的距离为25TA ,只需要作直线 ,4必然与圆交于 P 、 Q 两点,此时 TA PQ ,即TA PQ ,因此对于任意 t2 2 21,2 2 21 ,均满足题意,〔本小题总分值14 分〕如图,在平面直角坐标系xOy 中,以M 为圆心的圆M :x 2y 2 12x 14y 600及其上一点 A 2,4 .⑴设圆 N 与x 轴相切,与圆M 外切,且圆心 N 在直线 x 6 上,求圆 N 的标准方程;⑵设平行于 OA 的直线 l 与圆M 相交于 B,C 两点,且 BC OA ,求直线 l 的方程;⑶设点 T t,0满足:存在圆 M 上的两点 P 和Q ,使得TATPTQ ,XX 数t 的取值X 围.y2y21 ⑵ y 2x 5 或 y2 x 15 ⑶ 22 21,22 21 ;⑴ x 61M4.因为 N 在直线 x6 上,设 N 6, n ,因为与x 轴相切,A那么圆 N 为 x 622n 2, n 0y n又圆 N 与圆M 外切,圆M : x22Oxx 76 25 ,那么 7 nn 5 ,解得 n 1 ,即圆 N 的标准方程为 x 22;6 y 11a) 由题意得 OA 2 5 , k OA 2 设 l : y2 x b ,那么圆心M 到直线 l 的距离d12 7b5 b22,155 b2522 22 25, BCb那么 BC 2 5 d52 5,即2 252 5 ,5解得 b5 或 b 15 ,即 l : y2 x 5 或 y 2 x 15 ;i.TA TP TQ ,即 TA TQ TPPQ ,即TAPQ ,TAt2242,又 PQ ≤10,242≤ 10 ,解得 t 2 2 21,2 2 21 ,即 t 2对于任意 t22 21,2 2 21 ,欲使 TAPQ ,2此时 TA 10 TA 的平行线,使圆心到直线的距离为25TA ,只需要作直线 ,4必然与圆交于 P 、 Q 两点,此时 TA PQ ,即TA PQ ,因此对于任意 t2 2 21,2 2 21 ,均满足题意,。
- 106 -第四章 定积分本章主要知识点● 定积分计算● 特殊类函数的定积分计算 ● 变限积分● 定积分有关的证明题 ● 广义积分敛散性 ● 定积分应用(1)面积 (2)旋转体体积一、定积分计算定积分计算主要依据牛顿—莱伯尼兹公式:设⎰+=C x F dx x f )()(,则()()()()bb a af x dx F b F a F x =-=⎰。
其主要计算方法与不定积分的计算方法是类似的,也有三个主要方法,但需要指出的是对于第Ⅱ类直接交换法,注意积分限的变化:()111()()()()()(())x t bb aa t x f x dx f t t dt ϕϕϕϕϕϕ---=='=⎰⎰。
例4.1.111)edx x ⎰解:原式=e11)ln d x ⎰=32125((ln )ln )|33ex x +=例4.2.30dx ⎰ 解:原式t x t x =+-==11222 1121t tdt t -+⎰=32 121t t dt t -+⎰=322125()|33t t -= 例4.3.⎰22sin πxdx x- 107 -解:原式=⎰-22cos 21πx xd =⎰+-2022cos 21|2cos 21ππxdx x x =20|2sin 414ππx +=4π 二、特殊类函数的定积分计算1.含绝对值函数利用函数的可拆分性质,插入使绝对值为0的点,去掉绝对值,直接积分即可。
例4.4.⎰--21|1|dx x解:原式=121 1(1)(1)x dx x dx --+-⎰⎰=212|)2(2x x -+=)121(02--+=25例4.5.⎰--++22|)1||1(|dx x x解:原式=112211(|1||1|)(|1||1|)(|1||1|)x x dx x x dx x x dx ---++-+++-+++-⎰⎰⎰=112211(11)(11)(11)x x dx x x dx x x dx ------++++-+++-⎰⎰⎰=112211222xdx dx xdx ----++⎰⎰⎰=212122|4|x x ++---=)14(4)41(-++--=102.分段函数积分例4.6.⎩⎨⎧≤+>=0,10,)(2x x x x x f ,求⎰-11)(dx x f解:原式=⎰⎰-+0110)()(dx x f dx x f =⎰⎰-++01102)1(dx x dx x =103012|31|)2(x x x ++- =31)121(+--=65- 108 -例4.7.⎩⎨⎧≤>+=1,1,12)(x x x x x f ,求⎰-+12)1(dx x f解:原式11221(1)()u x f x dx f u du =+--=+==⎰⎰1211()()f u du f u du -+⎰⎰1222111(21)0()udu u du u u -=++=++⎰⎰624=-=3.奇函数积分如果 ()f x 为定义在[],a a -的奇函数,则()0aaf x dx -≡⎰,这是一个很重要考点。
2016年江苏专转本(高等数学)真题试卷(题后含答案及解析)题型有:1. 选择题 2. 填空题 4. 解答题 5. 综合题 6. 证明题选择题在每小题给出的四个选项中,只有一项是符合要求的。
1.函数f(x)在x=x0处有定义是极限f(x)存在的( )A.充分条件B.必要条件C.充分必要条件D.无关条件正确答案:D解析:f(x)在x=x0处是否有定义不影响f(x)存在.2.设f(x)=sinx,当x→++时,下列函数中是f(x)的高阶无穷小的是( ) A.tanxB.C.x2 sinD.正确答案:C解析:考查条件无穷小(常见形式)当x→0+时,slnx t~x,tgx~x,∴A同阶;∴B低阶.只有(有界五数和无穷小乘积).3.设函数f(x)的导函数为sinx,则f(x)的一个原函数是( )A.sinxB.一sinxC.cosxD.一cosx正确答案:B解析:f’(x) =sinx,则f(x)=∫sinxdx=一cosx+C.令F(x)=∫f(x)dx=一sinx+C1x+C2.∴答案为B.4.二阶常系数非齐次线性微分方程y”一y’一2y=2xe一x的特解y*的正确假设形式为( )A.Axe一xB.Ax2e一xC.(Ax+B)x一xD.x(Ax+B)e一x正确答案:D解析:特征方程为r2一r一2=0.∴r1=一1,r2=2.∴yx=x(Ax+B)e一x,即D.5.函数z=(x—y)2,则dz|x=1,y=0=( )A.2dx+2dyB.2dx一2dyC.一2dx+2dyD.一2dx一2dy正确答案:B解析:∴选B.6.幂级数日的收敛域为( )A.B.C.D.正确答案:A解析:当x=时,原级数=∴收敛,当x=时,原级数=,p的数中p=2>1,∴收敛.∴选A.填空题7.极限=_______.正确答案:e一2.解析:=e一2.8.已知向量a=(1,0,2),b=(4,一3,一2),则(2a一b).(a+2b)=________.正确答案:一48.解析:a=(1,0,2),b=(4,一3,一2),2a一b=(一2,3,6),a+2b=(9,一6,一2),∴(2a一b).(a+2b)=(一2)×9+3×(一6)+6×(一2)=一48.9.函数f(x) =xex的n阶导数f(n)(x)=________.正确答案:(x+n)ex .解析:f(x)xex ,∴f’(x)=exxex=(x+1)ex .f”(x)=ex+(x+1)ex=(x+2)ex ,f”‘(x)=(x+3)ex ,∴f”(x)=(x+n)ex .10.函数f(x)=,则f(x)的图像的水平渐近线方程为________.正确答案:解析:11.函数f(x)=∫x2x inldt,则f’(x)=________.正确答案:lin4x.解析:F(x)=∫x2xlintdt.∴f’(x) = 2limx一limx= 2(lin2+linx) 一linx=lin4+linx = lin4x.12.无穷级数=________.(请填写收敛或发散)正确答案:发散.解析:=发散.解答题解答时应写出推理、演算步骤。
江苏专转本高数考纲及重点总结一、函数、极限和连续(一)函数(1)理解函数的概念:函数的定义,函数的表示法,分段函数。
(2)理解和把握函数的简单性质:单调性,奇偶性,有界性,周期性。
(3)了解反函数:反函数的定义,反函数的图象。
(4)把握函数的四则运算与复合运算。
(5)理解和把握基本初等函数:幂函数,指数函数,对数函数,三角函数,反三角函数。
(6)了解初等函数的概念。
重点:函数的单调性、周期性、奇偶性,分段函数和隐函数(二)极限(1)理解数列极限的概念:数列,数列极限的定义,能根据极限概念分析函数的变化趋势。
会求函数在一点处的左极限与右极限,了解函数在一点处极限存在的充分必要条件。
(2)了解数列极限的性质:唯一性,有界性,四则运算定理,夹逼定理,单调有界数列,极限存在定理,把握极限的四则运算法则。
(3)理解函数极限的概念:函数在一点处极限的定义,左、右极限及其与极限的关系,x趋于无穷(x→∞,x→+∞,x→-∞)时函数的极限。
(4)把握函数极限的定理:唯一性定理,夹逼定理,四则运算定理。
(5)理解无穷小量和无穷大量:无穷小量与无穷大量的定义,无穷小量与无穷大量的关系,无穷小量与无穷大量的性质,两个无穷小量阶的比较。
(6)熟练把握用两个重要极限求极限的方法。
重点:会用左、右极限求解分段函数的极限,把握极限的四则运算法则、利用两个重要极限求极限以及利用等价无穷小求解极限。
(三)连续(1)理解函数连续的概念:函数在一点连续的定义,左连续和右连续,函数在一点连续的充分必要条件,函数的中断点及其分类。
(2)把握函数在一点处连续的性质:连续函数的四则运算,复合函数的连续性,反函数的连续性,会求函数的中断点及确定其类型。
(3)把握闭区间上连续函数的性质:有界性定理,最大值和最小值定理,介值定理(包括零点定理),会运用介值定理推证一些简单命题。
(4)理解初等函数在其定义区间上连续,并会利用连续性求极限。
重点:理解函数(左、右连续)性的概念,会判别函数的中断点。
2019—2019年江苏专转本⾼数真题(打印版)共18页第 1 页2005年江苏省普通⾼校“专转本”统⼀考试⾼等数学⼀、选择题(本⼤题共6⼩题,每⼩题4分,满分24分.)1、0=x 是xx x f 1sin )(=的A 、可去间断点B 、跳跃间断点C 、第⼆类间断点D 、连续点2、若2=x 是函数)21ln(ax x y +-=的可导极值点,则常数=aA 、1-B 、21C 、21- D 、13、若?+=C x F dx x f )()(,则?=dx x xf )(cos sinA 、C x F +)(sinB 、C x F +-)(sin C 、C F +(cos)D 、C x F +-)(cos 4、设区域D 是xoy 平⾯上以点)1,1(A 、)1,1(-B 、)1,1(--C 为顶点的三⾓形区域,区域1D 是D 在第⼀象限的部分,则:=+??dxdy y x xy D)sin cos (A 、??1)sin (cos 2D dxdy y xB 、??12D xydxdyC 、??+1)sin cos (4D dxdy y x xy D 、05、设yxy x u arctan ),(=,22ln ),(y x y x v +=,则下列等式成⽴的是v x u ??=?? B 、xvx u ??=C 、x v y u ??=??D 、yv y u ??=??6、正项级数(1) ∑∞=1n n u 、(2) ∑∞=13n n u ,则下列说法正确的是A 、若(1)发散、则(2)必发散B 、若(2)收敛、则(1)必收敛C 、若(1)发散、则(2)不定D 、若(1)、(2)敛散性相同⼆、填空题(本⼤题共6⼩题,每⼩题4分,满分24分)第 2 页7、=----→x x xe e x x x sin 2lim; 8、函数x x f ln )(=在区间[]e ,1上满⾜拉格郎⽇中值定理的=ξ;9、=++?-11211x x π;10、设向量{}2,4,3-=α、{}k ,1,2=β;α、β互相垂直,则=k ;11、交换⼆次积分的次序=?-+-dy y x f dx x x 2111),( ;12、幂级数∑∞=-1)12(n n x n 的收敛区间为;13、设函数+=a xx x f x F sin 2)()( 00=≠x x 在R 内连续,并满⾜:0)0(=f 、6)0('=f ,求a .14、设函数)(x y y =由⽅程?-==t t t y t x cos sin cos 所确定,求dx dy、22dx y d .15、计算?xdx x sec tan 3.16、计算?10arctan xdx17、已知函数),(sin 2y x f z =,其中),(v u f 有⼆阶连续偏导数,求xz、y x z2 18、求过点)2,1,3(-A 且通过直线12354:zy x L =+=-的平⾯⽅程. 19、把函数222)(xx x x f --=展开为x 的幂级数,并写出它的收敛区间.20、求微分⽅程0'=-+x e y xy 满⾜e y x ==1的特解.四、证明题(本题8分)21、证明⽅程:0133=+-x x 在[]1,1-上有且仅有⼀根.第 3 页五、综合题(本⼤题共4⼩题,每⼩题10分,满分30分) 22、设函数)(x f y =的图形上有⼀拐点)4,2(P ,在拐点处的切线斜率为3-,⼜知该函数的⼆阶导数a x y +=6'',求)(x f .23、已知曲边三⾓形由x y 22=、0=x 、1=y 所围成,求:(1)、曲边三⾓形的⾯积;(2)、曲边三⾓形饶X 轴旋转⼀周的旋转体体积.24、设)(x f 为连续函数,且1)2(=f ,dx x f dy u F uyu=)()(1,)1(>u(1)、交换)(u F 的积分次序;(2)、求)2('F .⾼等数学参考答案1、A2、C3、D4、B5、A6、C7、2 8、1-e 9、2π10、5 11、dx y x f dy y y ??---11102),( 12、)1,1(-13、因为)(x F 在0=x 处连续,所以)0()(lim 0F x F x =→,8262)0(2)0()(sin 2)()('0lim limlim =+=+=+-=+=→→→f x f x f x x x f x F x x x a F =)0(,故8=a .14、t t t t t t dtdx dt dydx dy -=-+-==sin sin cos cos ,t t x y dx y d t t csc sin 1)('''22=--==. 15、原式C x x x x xd x d x +-=-=-=??sec sec 31sec sec sec sec )1(sec 322.16、原式??++-=+-=102210211)1(2141arctan x x d dx x x x x π 102)1ln(214x +-=π2ln 214-=π 17、'z ?=??,''12''122cos 2)2(cos xf y y f x y x z =?= 18、{}1,2,5=l ,{}0,3,4-=B ,{}2,4,1-= {}22,9,8241125--=-=?=kj il π平⾯点法式⽅程为:0)2(22)1(9)3(8=+----z y x ,即592298=--z y x .19、x x x x x x x x f -?++?=-++=1132116)1121(3)(222nn n n x x ∑∞=+??+-=01212)1(3,收敛域为11<<-x . 20、xe y x y x=?+1',通解为第 5 页x e x C C dx e x e e y x dx x x dx x +=+=-11 因为e y =)1(,C e e +=,所以0=C ,故特解为xey x=.21、证明:令13)(3+-=x x x f ,[]1,1-∈x ,且03)1(>=-f ,01)1(<-=f ,0)1()1(由连续函数零点定理知,)(x f 在)1,1(-上⾄少有⼀实根. (提醒:本题亦可⽤反证法证明)22、设所求函数为)(x f y =,则有4)2(=f ,3)2('-=f ,0)2(''=f .因为126''-=x y ,故12'123C x x y +-=,由3)2('-=y ,解得91=C . 故22396C x x x y ++-=,由4)2(=y ,解得22=C . 所求函数为:29623++-=x x x y . 23、(1)61612113102===?y dy y S (2)4021)()21(2212πππ=-=-=?x x dx x V x24、解:积分区域D 为:u y ≤≤1,u x y ≤≤(1)-===uxuDdx x f x dy x f dx d x f u F 111)()1()()()(σ;(2))()1()('u f u u F -=,1)2()2()12()2('==-=f f F .2006年江苏省普通⾼校“专转本”统⼀考试⾼等数学参考答案1、C2、B3、C4、C5、C6、A7、2 8、)(0x f 9、1- 10、1 11、)cos sin (x x y e xy + 12、113、原式3221==--→x xx 14、21211122''t t t t x y dx dy tt =++-==,t t t t x dx dy dx y d t 411221)(22''22+=+== 15、原式C x x d x ++=++=?23 )ln 1(32)ln 1(ln 1第 6 页16、原式x d x dx x x xx x d x cos 24sin 2sin sin 20220202202+=-==πππππ24cos 2cos 24220202-=-+=πππx17、⽅程变形为2'-=x y x y y ,令x y p =则''xp p y +=,代⼊得:2'p xp -=,分离变量得:dx x dp p ??=-112,故C x p +=ln 1,C x x y +=ln . 18、令)1ln()(x x g +=,0)0(=g ,200'1)1()1()(+∞=∞=∑∑+-=-=n n n n nn x n dx x x g ,故201)1()(+∞=∑+-=n n n x n x f ,11<<-x . 19、{}1,1,11-n 、{}1,3,42-n ,k j i kj i n n l ++=--=?=3213411321直线⽅程为123123+=-=-z y x . 20、'22f x yz=??, ''222''213'2''22''212'2222)2(2yf x f x xf y f x f x xf xy z ++=?+?+=. 21、令33)(x x x f -=,[]2,2-∈x ,033)(2'=-=x x f ,1±=x ,2)1(-=-f ,2)1(=f ,2)2(-=f ,2)2(=-f ;所以2min -=f ,2max =f ,故2)(2≤≤-x f ,即233≤-x x .22、y x y +=2',0)0(=y通解为x Ce x y +--=)22(,由0)0(=y 得2=C ,故x e x y 222+--=. 23、(1)364)8(2222=--=?-dx x x S (2)πππ16)8()(284240=-+=??dy y dy y V 24、dx x f t dy x f dx dxdy x f tt t D t==000)()()(=≠=?00)()(0t a(1)0)(lim )(lim 00==?→→dx x f t g tt t ,由)(t g 的连续性可知0)(lim )0(0===→t g g a t (2)当0≠t 时,)()('t f t g =,第 7 页当0=t 时,)0()(lim )(lim )0()(lim )0(000'f h f hdx x f hg h g g h hh h ===-=→→→?综上,)()('t f t g =.2006年江苏省普通⾼校“专转本”统⼀考试⾼等数学⼀、选择题(本⼤题共6⼩题,每⼩题4分,满分24分.)1、若21)2(lim 0=→x x f x ,则=→)3(lim0x f x x A 、21 B 、2 C 、3 D 、312、函数=≠=001sin)(2x x xx x f 在0=x 处A 、连续但不可导B 、连续且可导C 、不连续也不可导D 、可导但不连续3、下列函数在[]1,1-上满⾜罗尔定理条件的是A 、x e y =C 、21x y -=D 、xy 11-= 4、已知C e dx x f x +=?2)(,则=-?dx x f )('A 、C e x +-22B 、C e x +-221C 、C e x +--22D 、C e x +--2215、设∑∞=1n n u 为正项级数,如下说法正确的是A 、如果0lim 0=→n n u ,则∑∞=1n n u 必收敛B 、如果l u u nn n =+∞→1lim)0(∞≤≤l ,则∑∞=1n n u 必收敛 C 、如果∑∞=1n n u ,则∑∞=12n nu 必定收敛 D 、如果∑∞=-1)1(n n nu ,则∑∞=1n n u 必定收敛=1D }0,0,1|),{(22≥≥≤+y x y x y x ,则??=Ddxdy y x f ),(A 、0B 、??1),(D dxdy y x f C 、2??1),(D dxdy y x f D 、4??1),(D dxdy y x f⼆、填空题(本⼤题共6⼩题,每⼩题4分,满分24分)第 8 页7、已知0→x 时,)cos 1(x a -与x x sin 是等级⽆穷⼩,则=a 8、若A x f x x =→)(lim 0,且)(x f 在0x x =处有定义,则当=A 时,)(x f 在0x x =处连续.9、设)(x f 在[]1,0上有连续的导数且2)1(=f ,?=103)(dx x f ,则=1')(dx x xf10、设1=,⊥,则=+?)(b a a11、设x e u xysin =,=??xu12、=??Ddxdy . 其中D 为以点)0,0(O 、)0,1(A 、)2,0(B 为顶点的三⾓形区域.三、解答题(本⼤题共8⼩题,每⼩题8分,满分64分)13、计算11lim31--→x x x . 14、若函数)(x y y =是由参数⽅程-=+=tt y t x arctan )1ln(2所确定,求dx dy 、22dx y d .15、计算?+dx xxln 1. 16、计算dx x x ?20.17、求微分⽅程2'2y xy y x -=的通解.18、将函数)1ln()(x x f +=展开为x 的幂函数(要求指出收敛区间). 19、求过点)2,1,3(-M 且与⼆平⾯07=-+-z y x 、0634=-+-z y x 都平⾏的直线⽅程.20、设),(2xy x xf z =其中),(v u f 的⼆阶偏导数存在,求y z ??、x y z 2.四、证明题(本题满分8分).21、证明:当2≤x 时,233≤-x x .五、综合题(本⼤题共3⼩题,每⼩题10分,满分30分)22、已知曲线)(x f y =过原点且在点),(y x 处的切线斜率等于y x +2,求此曲线⽅程.第 9 页23、已知⼀平⾯图形由抛物线2x y =、82+-=x y 围成. (1)求此平⾯图形的⾯积;(2)求此平⾯图形绕y 轴旋转⼀周所得的旋转体的体积.24、设??=≠=??00)(1)(t a t dxdy x f t t g t D ,其中t D 是由t x =、t y =以及坐标轴围成的正⽅形区域,函数)(x f 连续. (1)求a 的值使得)(t g 连续;(2)求)('t g .2007年江苏省普通⾼校“专转本”统⼀考试⾼等数学⼀、单项选择题(本⼤题共6⼩题,每⼩题4分,满分24分.)1、若2)2(lim0=→x x f x ,则=∞→)21(lim x xf xA 、41B 、21C 、2D 、42、已知当0→x 时,)1ln(22x x +是x n sin 的⾼阶⽆穷⼩,⽽x n sin ⼜是x cos 1-的⾼阶⽆穷⼩,则正整数=nA 、1B 、2C 、3D 、43、设函数)3)(2)(1()(---=x x x x x f ,则⽅程0)('=x f 的实根个数为B 、2C 、3D 、4 4、设函数)(x f 的⼀个原函数为x 2sin ,则=?dx x f )2('A 、C x +4cosB 、C x +4cos 21C 、C x +4cos 2D 、C x +4sin5、设dt t x f x ?=212sin )(,则=)('x fA 、4sin xB 、2sin 2x xC 、2cos 2x xD 、4sin 2x x 6、下列级数收敛的是A 、∑∞=122n n n B 、∑∞=+11n n nC 、∑∞=-+1)1(1n n nD 、∑∞=-1)1(n n n。
2016年市专升本数学试卷一、单项选择题(每题4分,满分32分)1. 设()f x 在0x x =处可导,则()()0002limh f x h f x h→+-=A.()'0fx - B.()'0f x C.()'02f x D.()'03f x2.定积分121sin x xdx -=⎰A.-1B.0C.1D.2 3.过OZ 轴及点()3,2,4-的平面方程是A.320x y +=B.20y z +=C.20x z +=D.230x y += 4.已知微分方程为dyy dx=通解为 A.xy e = B.xy e C =+C.y x C =+D.xy Ce = 5.下列级数收敛的是A.113n n ∞=⎛⎫+⎪⎭∑B.11sin n n ∞=∑ 1.1n n C n ∞=+∑ D.1!nn n n ∞=∑6.3阶行列式314895111中元素321a =的代数余子式为A.1B.8C.15D.177、设1002A ⎛⎫= ⎪⎝⎭,则3A =A.1002⎛⎫⎪⎝⎭B.3006⎛⎫ ⎪⎝⎭C.1008⎛⎫ ⎪⎝⎭D.3008⎛⎫ ⎪⎝⎭8、在0,1,2,3,4五个数中任意取3个数,则这三个数中不含0的概率为() A.0.4 B.0.5 C.0.6 D.0.8二、填空题(每小4分,共16分)9、极限0sin 6limtan 2x xx→=10、设函数()320cos x f x t dt =⎰,求() f x '=11、设矩阵314035A -⎡⎤⎢⎥=⎢⎥⎢⎥-⎣⎦,矩阵1102B -⎡⎤=⎢⎥⎣⎦,则 AB =12、已知()0.4P A =,()0.3P B =,()0.5P AB =,则()P A B ⋃=三、计算题(每小题8分,,共64分)13、求极限0cos lim tan 2x x e xx→-14、讨论函数()23()21xf x x =+-的单调性、极值、凹凸性及拐点。
2016年专升本(高等数学二)真题试卷(题后含答案及解析) 题型有:1. 选择题 2. 填空题 3. 解答题选择题1.= ( )A.0B.1C.2D.3正确答案:C2.设函数f(x)=在x=0处连续,则a= ( ) A.一1B.0C.1D.2正确答案:C3.设函数y=2+sinx,则y’= ( )A.cosxB.-cosxC.2+cosxD.2-cosx正确答案:A4.设函数y=ex-1+1,则dy= ( )A.exdxB.ex-1dxC.(ex+1)dxD.(ex-1+1)dx正确答案:B5.∫01(5x4+2)dx= ( )A.1B.3C.5D.7正确答案:B6.∫0(1+cosx)dx ( )A.+1B.C.一1D.1正确答案:A7.设函数y=x4+2x2+3,则= ( ) A.4x3+4xB.4x3+4C.12x2+4xD.12x2+4正确答案:D8.∫1+∞dx= ( )A.一1B.0C.1D.2正确答案:C9.设函数z=x2+y,则dz= ( )A.2xdx+dyB.x2dx+dyC.x2dx+ydyD.2xdx+ydy正确答案:A10.若=2,则a= ( )A.B.1C.D.2正确答案:D填空题11.=______.正确答案:12.设函数y=x2一ex,则y’=_______.正确答案:2x-ex13.设事件A发生的概率为0.7,则A的对立事件发生的概率为______.正确答案:0.314.曲线y=Inx在点(1,0)处的切线方程为______.正确答案:y=x-115.∫()dx=_______.正确答案:ln|x|+arctanx+C16.∫-11(sinx+x)dx=_______·正确答案:017.设函数F(x)=∫0xcostdt,则F’(x)=_______.正确答案:cosx18.设函数z=sin(x+2y),则=________.正确答案:cos(x+2y)19.已知点(1,1)是曲线y=x2+alnx的拐点,则a=______.正确答案:220.设y=y(x)是由方程y=x一ey所确定的隐函数,则=______.正确答案:解答题21.计算.正确答案:解:=3.22.设函数y=xe2x,求y’.正确答案:y’=x’e2x+x(e2x)’=(1+2x)e2x.23.设函数z=x3y+xy3,求.正确答案:解:=3x2y+y3,=6xy,=3x2+3y2.24.计算∫xcosx2dx.正确答案:解:∫xcosx2dx=∫cosx2dx2=sinx2+C.25.计算∫12xlnxdx.正确答案:解:26.求曲线y=,直线x=1和x轴所围成的有界平面图形的面积S,及该平面图形绕z轴旋转一周所得旋转体的体积V.正确答案:解:面积S=∫01dx=.旋转体的体积V=∫01π()2dx=∫01πxdx=x2|01=.27.设函数f(x,y)=x2+y2+xy+3,求f(x,y)的极值点与极值.正确答案:由已知,=2x+y,=2y+x,故=2.因为A >0且AC—B2>0,所以(0,0)为f(x,y)的极小值点,极小值为f(0,0)=3.已知离散型随机变量X的概率分布为28.求常数a;正确答案:解因为0.2+a+0.2+0.3=1,所以a=0.3.29.求X的数学期望EX及方差DX.正确答案:EX=0×0.2+10×0.3+20×0.2+30×0.3=16,DX=(0一16)2×0.2+(10一16)2×0.3+(20一16)2×0.2+(30一16)2×0.3=124.。
<1>一、选择题(本大题共5小题,每小题3分,共15分)1、下列各极限正确的是( )A 、e xx x =+→)11(lim 0B 、e xx x =+∞→1)11(limC 、11sinlim =∞→x x x D 、11sin lim 0=→xx x2、不定积分=-⎰dx x211( ) A 、211x- B 、c x+-211 C 、x arcsin D 、c x +arcsin3、若)()(x f x f -=,且在[)+∞,0内0)('>x f 、0)(''>x f ,则在)0,(-∞内必有 ( )A 、0)('<x f ,0)(''<x fB 、0)('<x f ,0)(''>x fC 、0)('>x f ,0)(''<x fD 、0)('>x f ,0)(''>x f4、=-⎰dx x 21( ) A 、0 B 、2C 、-1D 、15、方程xy x 422=+在空间直角坐标系中表示( ) A 、圆柱面 B 、点C 、圆D 、旋转抛物面二、填空题(本大题共5小题,每小题3分,共15分)6、设⎩⎨⎧+==22tt y te x t ,则==0t dx dy7、0136'''=+-y y y 的通解为 8、交换积分次序=⎰⎰dy y x f dx xx22),(9、函数y x z =的全微分=dz10、设)(x f 为连续函数,则=+-+⎰-dx x x x f x f 311])()([ 三、计算题(本大题共10小题,每小题4分,共40分) 11、已知5cos )21ln(arctan π+++=x x y ,求dy .12、计算xx dte x xt x sin lim2002⎰-→.13、求)1(sin )1()(2--=x x xx x f 的间断点,并说明其类型.14、已知x y x y ln 2+=,求1,1==y x dxdy.15、计算dx ee xx⎰+12. 16、已知⎰∞-=+02211dx x k ,求k 的值. 17、求x x y y sec tan '=-满足00==x y的特解.18、计算⎰⎰Ddxdy y 2sin ,D 是1=x 、2=y 、1-=x y 围成的区域.19、已知)(x f y =过坐标原点,并且在原点处的切线平行于直线032=-+y x ,若b ax x f +=2'3)(,且)(x f 在1=x 处取得极值,试确定a 、b 的值,并求出)(x f y =的表达式.20、设),(2y x x f z =,其中f 具有二阶连续偏导数,求xz∂∂、y x z ∂∂∂2.四、综合题(本大题共4小题,第21小题10分,第22小题8分,第23、24小题各6分,共30分)21、过)0,1(P 作抛物线2-=x y 的切线,求(1)切线方程;(2)由2-=x y ,切线及x 轴围成的平面图形面积; (3)该平面图形分别绕x 轴、y 轴旋转一周的体积。
2001年江苏省普通高校“专转本”统一考试 ___________________________________________ 12002年江苏省普通高校“专转本”统一考试 ___________________________________________ 62003年江苏省普通高校“专转本”统一考试 __________________________________________ 10 2004年江苏省普通高校“专转本”统一考试 __________________________________________ 14 2005年江苏省普通高校“专转本”统一考试 __________________________________________ 182006年江苏省普通高校“专转本”统一考试 __________________________________________ 212007年江苏省普通高校“专转本”统一考试 __________________________________________ 24 2008年江苏省普通高校“专转本”统一考试 __________________________________________ 28 2009年江苏省普通高校“专转本”统一考试 __________________________________________ 31 2010年江苏省普通高校“专转本”统一考试 __________________________________________ 342001年江苏省普通高校“专转本”统一考试高等数学参考答案 ______________________ 37 2002年江苏省普通高校“专转本”统一考试高等数学参考答案 ______________________ 38 2003年江苏省普通高校“专转本”统一考试高等数学参考答案 ______________________ 40 2004年江苏省普通高校“专转本”统一考试高等数学参考答案 ______________________ 41 2005年江苏省普通高校“专转本”统一考试高等数学参考答案 ______________________ 432006年江苏省普通高校“专转本”统一考试高等数学参考答案 ______________________ 45 2007年江苏省普通高校“专转本”统一考试高等数学参考答案 ______________________ 47 2008年江苏省普通高校“专转本”统一考试高等数学参考答案 ______________________ 49 2009年江苏省普通高校“专转本”统一考试高等数学参考答案 ______________________ 51 2010年江苏省普通高校“专转本”统一考试高等数学参考答案 ______________________ 532001年江苏省普通高校“专转本”统一考试高等数学一、选择题(本大题共5小题,每小题3分,共15分)1、下列各极限正确的是 ( )A 、e xxx =+→)11(lim 0B 、e xx x =+∞→1)11(limC 、11sinlim =∞→x x x D 、11sin lim 0=→xx x2、不定积分=-⎰dx x211 ( )A 、211x-B 、c x+-211 C 、x arcsin D 、c x +arcsin3、若)()(x f x f -=,且在[)+∞,0内0)('>x f 、0)(''>x f ,则在)0,(-∞内必有 ( )A 、0)('<x f ,0)(''<x f B 、0)('<x f ,0)(''>x f C 、0)('>x f ,0)(''<x f D 、0)('>x f ,0)(''>x f4、=-⎰dx x 21 ( )A 、0B 、2C 、-1D 、15、方程x y x 422=+在空间直角坐标系中表示 ( ) A 、圆柱面B 、点C 、圆D 、旋转抛物面二、填空题(本大题共5小题,每小题3分,共15分)6、设⎩⎨⎧+==22tt y te x t ,则==0t dx dy7、0136'''=+-y y y 的通解为 8、交换积分次序=⎰⎰dy y x f dx xx22),(9、函数yx z =的全微分=dz 10、设)(x f 为连续函数,则+-+⎰-dx x x x f x f 311])()([三、计算题(本大题共10小题,每小题4分,共40分) 11、已知5cos )21ln(arctan π+++=xx y ,求dy .12、计算xx dte x xt x sin lim 22⎰-→.13、求)1(sin )1()(2--=x x xx x f 的间断点,并说明其类型.14、已知x y x y ln 2+=,求1,1==y x dxdy.15、计算dx ee xx⎰+12.16、已知⎰∞-=+02211dx x k ,求k 的值.17、求x x y y sec tan '=-满足00==x y 的特解.18、计算⎰⎰Ddxdy y 2sin ,D 是1=x 、2=y 、1-=x y 围成的区域.19、已知)(x f y =过坐标原点,并且在原点处的切线平行于直线032=-+y x ,若b ax x f +=2'3)(,且)(x f 在1=x 处取得极值,试确定a 、b 的值,并求出)(x f y =的表达式.20、设),(2y x x f z =,其中f 具有二阶连续偏导数,求x z ∂∂、yx z∂∂∂2.四、综合题(本大题共4小题,第21小题10分,第22小题8分,第23、24小题各6分,共30分) 21、过)0,1(P 作抛物线2-=x y 的切线,求(1)切线方程;(2)由2-=x y ,切线及x 轴围成的平面图形面积;(3)该平面图形分别绕x 轴、y 轴旋转一周的体积。
同方专转本高等数学核心教程第三章不定积分本章主要知识点:● 不定积分的意义,基本公式● 不定积分的三种基本方法● 杂例历年考试真题1.(2001)不定积分=( D )A.B. +CC. arcsinxD. arcsinx+C解析: 利用不定积分的定义.2001)计算⎰e2x2. (1+exdx。
解: ⎰e2xe2x+ex-exx1+exdx=⎰1+exdx=e-ln(1+ex)+C3. (2002)设f(x)有连续的导函数,且a≠0,1,则下列命题正确的是(A. ⎰f'(ax)dx=1af(ax)+C B. ⎰f'(ax)dx=f(ax)+CC. (⎰f'(ax)dx)'=af(ax)D. ⎰f'(ax)dx=f(x)+C解析: 由⎰f'(x)dx=f(x)+C⎰f'(ax)dx=1a⎰f'(ax)dax=1af(ax)+C4. (2002)求积分2解: 14arcsin2x2+C5. (2003)若F'(x)=f(x),f(x)连续,则下列说法正确的是( C ) - 78 - A )第三章不定积分A.C. ⎰F(x)dx=f(x)+c B. ⎰⎰dF(x)dx=f(x)dx dx⎰dF(x)dx=f(x) f(x)dx=F(x)+c D. dx⎰解析: 不定积分的定义 6. (2003)xlnxdxx2x2x2=lnx-⎰dlnx 解: 设u=lnx,dv=xdx,则⎰xlnxdx=⎰lnxd222x21=lnx-⎰xdx22 11=x2(lnx-)+C227. (2004)求不定积分3=1arcsin4x+C 4解析: 31dx=⎰arcsin3xdarcsinx=arcsin4x+C 4ex8. (2004)设f(x)的一个原函数为,计算⎰xf'(2x)dx xexex(x-1)ex解: 因为f(x)的一个原函数为,所以f(x)=()'=, xx2x1111⎰xf'(2x)dx=⎰xf'(2x)d(2x)=⎰xdf(2x)=xf(2x)-⎰f(2x)dx 222211x(2x-1)e2xx-12x-+C=e+C =xf(2x)-⎰f(2x)d(2x)=248x28x4x9. (2005)若⎰f(x)dx=F(x)+C,则⎰sinxf(cosx)dx=( D )A. F(sinx)+CB. -F(sinx)+CC. F(cosx)+CD. -F(cosx)+C解析: ⎰sinxf(cosx)dx=-⎰f(cosx)dcosx=-F(cosx)+C⎰310. (2005)计算tanxsecxdx2 解:原式=tanxtanxsecxdx=⎰⎰(secx-1)d- 79 - 22secx=⎰secxdsecx-secx同方专转本高等数学核心教程=secx-secx+C11.(2006)已知A.2e-2x133⎰f(x)dx=e2x+C,则⎰f'(-x)dx=( C ). 11+CB.e-2x+CC. -2e-2x+CD. -e-2x+C 22解析: 由题意f(x)=2e2x,∴f'(x)=4e2x,f'(-x)=4e-2x所以⎰f'(-x)dx=⎰4e-2x-2xdx=⎰-2e-2xd(-2x)=-2e+C12.(2006)计算⎰dx x解:原式=32(1+lnx)=(1+lnx)2+C 313. (2007) 设函数f(x)的一个原函数为sin2x,则⎰f'(2x)dx=( A )1cos4x+C 2C. 2cos4x+CD. sin4x+C A. cos4x+C B.解析: f(x)=2cos2x,所以f'(x)=4sin2x,⎰f'(2x)dx=⎰4sin4xdx=⎰sin4xd(4x)=cos4x+C2-x14. (2007)求不定积分xedx.⎰2-x2-x 解:xedx=-xd(e) ⎰⎰2-x-x2-x-x =-xe+2xedx=-xe-2xd(e) ⎰⎰2-x-x-x =-xe-2xe+2edx ⎰=-xe单元练习题3 2-x-2xe-x-2e-x+C1.dcos2x=- 80 - ⎰第三章不定积分2.已知f(cosx)=sin2x,则⎰f(x-1)dx=。
江苏省2016年普通高校“专转本”选拔考试
高等数学试题卷
注意事项:
1、考生务必将密封线内的各项目及第2页右下角的座位号填写清楚.
2、考生须用钢笔或圆珠笔将答案直接答在试卷上,答在草稿纸上无效.
3、本试卷共8页,五大题24小题,满分150分,考试时间120分钟.
一、选择题(本大题共6小题,每小题4分,满分24分)
1、函数在处有意义是极限存在的( D )
()
f x
x x
=
lim()
x x
f x
→
A. 充分条件
B. 必要条件
C. 充分必要条件
D. 无关条件
2、函数,当时,下列函数中是的高阶无穷小的是( C )
()sin
f x x
=0
x+
→()
f x
A. B. C. D.
tan x12
1
sin
x
x
1
-
3、设函数的导函数为,则的一个原函数是( B )
()
f x sin x()
f x
A. B. C. D.
sin x sin x
-cos x cos x
-
4、二阶常系数非齐次线性微分方程的特解的正确形式为( D )
22x
y y y xe-
'''
--=
A. B. C. D.
x
Axe-2x
Ax e-()x
Ax B e-
+()x
x Ax B e-
+
5、函数,则 ( B )
2
()
z x y
=-
1,0
d
x y
z
==
=
A. B. C. D.
22
dx dy
+22
dx dy
-22
dx dy
-+22
dx dy
--
6、幂级数的收敛域为( A )
2
1
2n
n
n
x
n
∞
=
∑
A. B. C. D.
11
[,]
22
-
11
[,
22
-
11
(,]
22
-
11
(,
22
-
二、填空题(本大题共6小题,每小题4分,共24分)
7.极限_________.
1
lim(12)x
x
x
→
-=2
e-
8、已知向量,,则___-48_________.
(1,0,2)
a=
(4,3,2)
b=--
(2)(2)
a b a b
-⋅+=
9、函数的n阶导数_________.
()x
f x xe
=()()
n
f x=()x
n x e
+
10、函数的水平渐近线方程为___
___.
211()sin 2x f x x x +=1
2
y =11、函数则___
__.
2()ln ,x
x
F x tdt =
⎰
()F x '=ln 4x 12、无穷级数_____发散_______(填写收敛或发散).
三、计算题(本大题共8小题,每小题8分,共64分)
13、求极限.
20
1cos lim(
).sin x x
x x x
→-14、设函数由方程确定,求
.()y y x =xy
e
x y =+dy dx
15、计算定积分
.
51
⎰
16、求不定积分
.
2ln (1)x
dx x +⎰
17、求微分方程满足条件的解.
2
2sin x y xy x '+=()0y π=
18、求由直线L1:和直线L2:
所确定的平面方程.111131x y z ---==11213x t
y t z t
=+⎧⎪
=+⎨⎪=+⎩
19、设,其中函数具有二阶连续偏导数,求.
2
2
(,)z f x y y x =--f y
x z
∂∂∂220、计算二重积分
,其中D 为由直线,轴及曲线所围成D
xdxdy ⎰⎰
2y x =+x y =的平面区域.
四、证明题(本大题共2小题,每小题9分,共18分)
21、证明函数在处连续但不可导.
||y x =0x =
22、证明时,不等式成立.12
x ≥-
32
213x x +≥五、综合题(本大题共2小题,每小题10分,共20分)23、平面区域D 由曲线,及轴所围成
2
2
2x y y +
=y =
y (1)求平面区域D 的面积;
(2)求平面图形D 绕轴旋转一周所得的旋转体体积.
x 24、设函数满足,
()f x 2211
()2()f x f x dx x
=+⎰(1)求的表达式;()f x (2)确定反常积分
的敛散性.
1
()f x dx +∞
⎰。