云南人口和计划生育药具管理中心会计基础管理云南卫生计生委
- 格式:doc
- 大小:168.50 KB
- 文档页数:19
云南省人民政府关于加强新形势下统计工作的意见正文:---------------------------------------------------------------------------------------------------------------------------------------------------- 云南省人民政府关于加强新形势下统计工作的意见(云政发〔2013〕131号)各州、市、县、区人民政府,省直各委、办、厅、局:为适应新形势下统计改革与发展的需要,充分发挥统计在服务全省经济社会科学发展和谐发展跨越发展、推进“两强一堡”战略实施和全面建成小康社会中的重要作用。
现就加强统计工作提出如下意见:一、加强领导,提高认识(一)加强对统计工作的领导。
“十一五”期间,省人民政府出台了一系列加强和改进统计工作的文件,有力地推动了统计事业的科学发展。
面对新的形势和任务,各级政府要加强对统计工作的组织领导,把统计工作纳入政府重要议事日程,及时协调统计工作中存在的各种矛盾,认真解决统计工作中存在的困难和问题,为加强新形势下的统计工作提供重要保障。
(二)提高对加强统计工作重要性的认识。
认真贯彻落实党的十八大精神,客观真实反映全省经济、政治、文化、社会和生态建设进展情况,为实现省委九届四次全委会提出的“翻两番、增三倍、促跨越、奔小康”,到2020年与全国同步实现全面建成小康社会的目标提供统计信息、咨询和监督,是新形势下全省统计工作面临的重要任务。
“十二五”以来,国家推行企业一套表联网直报、城乡住户调查一体化、服务业等统计制度方法改革,特别是实行统计数据下管一级,审定各项指标之间的支撑性、匹配性、协调性,对我省统计工作的法制化、规范化、制度化、科学化提出了新的更高要求。
各级政府、有关部门要从服务我省科学发展和谐发展跨越发展,促进统计能力、统计数据质量、政府统计公信力提高的战略高度,提高对统计工作重要性的认识,采取有力措施,狠抓统计薄弱环节,保证全省统计改革与发展适应新形势、新任务需要。
避孕药具管理岗位职责(一)基层社区药具管理人员岗位职责1、认真执行计划生育药具管理制度、任务和要求,建立、完善基层计划生育药具工作制度实施细则,负责做好本辖区的计划生育药具管理服务;2、负责本辖区计划生育药具需求计划的制定和药具调拨、发放的汇总,及时、准确上报规定的各类统计报表;3、负责本辖区计划生育药具的仓储管理和质量管理,做好账、卡、册表管理,做到实事求是、文字清楚、准确及时、账账相符、账物相符;4、利用各种形式广泛宣传普及计划生育药具基本知识,加强对基层计划生育药具服务人员的业务培训和考核;5、定期进行人户调查活动,了解和掌握药具使用情况,跟踪药具使用效果信息反馈,对发现的问题及时上报和处理;6、定期对计划生育药具工作进行检查评估和考核评比,总结推广先进经验。
(二)库房管理员岗位职责认真做好药具调入和调出的检查、验收工作,分类堆放,明码标识,保持库房清洁,温湿度符合有关规定;严格药具出入库制度,坚持先进先出和凭证出入库原则,建立库存保管帐目;定期盘点仓库,每季度与会计、计划员核对药具调拨出入帐,做到账、物相符,定期向领导汇报库存药具变化情况;爱护、保养和正确使用仓库设备。
落实措施,做到防火、防潮、防鼠、防虫、防盗,定期更换消防器材,保证药具安全存放;凡有报废药具,要列好清单,按有关程序报批后,按规定进行处理;负责避孕药具有关资料的保管和分发。
(三)质量管理员岗位职责负责本级药具质量管理工作,并对所辖的药具质量管理工作进行指导、监督和检查;要按照规定程序和检查项目进行药具的到货、入库、在库、出库过程中的验收、养护和验发;收集、分析、反馈药具不良反应信息,准确及时上报有关质量检验数据;协助库房保管员定期盘点仓库,做到账、物相符,定期向领导汇报库存药具质量情况。
国家人口和计划生育委员会各司(厅)工作职责内设机构和人员编制规定的通知文章属性•【制定机关】国家人口和计划生育委员会(已撤销)•【公布日期】2008.07.31•【文号】国人口发[2008]58号•【施行日期】2008.07.31•【效力等级】部门规范性文件•【时效性】现行有效•【主题分类】行政机构设置和编制管理正文国家人口和计划生育委员会各司(厅)工作职责内设机构和人员编制规定的通知(国人口发〔2008〕58号)各省、自治区、直辖市人口计生委,计划单列市、新疆生产建设兵团人口计生委,解放军、武警部队人口和计划生育领导小组办公室,中直机关、中央国家机关人口计生委,委机关各单位,各直属、联系单位:现将《国家人口和计划生育委员会各司(厅)工作职责内设机构和人员编制规定》印发你们,请各地在机构改革工作中加强协调,细致工作,切实做好人口和计划生育部门主要职责内设机构和人员编制的调整工作,并及时将有关情况报送国家人口计生委。
国家人口计生委人事司李勇军联系电话:(010)82504788二○ ○ 八年七月三十一日国家人口和计划生育委员会各司(厅)工作职责内设机构和人员编制规定根据《国务院办公厅关于印发国家人口和计划生育委员会主要职责内设机构和人员编制规定的通知》(国办发〔2008〕82号),经委党组研究,确定各职能司(厅)内设机构、工作职责、人员编制。
一、工作职责和内设机构国家人口和计划生育委员会设置9个职能司(厅),27个职能处(室)。
(一)办公厅组织协调重大问题的调查研究、综合分析和重大事项督查督办;负责机关文电、会务、机要、档案工作和信息、安全保密、信访等工作;负责机关行政事务;承担联系兼职委员单位的具体工作。
办公厅设5个职能处(室):研究室、秘书处、文档处、政务信息处、信访处。
1.研究室。
负责组织人口和计划生育工作中有关重大问题的调查研究和综合分析;负责贯彻落实党中央、国务院和委内重大决策的信息综合;起草党中央、国务院等上级部门重要文件代拟稿和委内重要会议的领导讲话及重要文件;编发《送阅件》、《调查与研究》等刊物;负责组织协调人口和计划生育综合改革工作。
云南省预防接种单位评审考核方案(试行)为加强我省预防接种单位的规范化建设,提高预防接种单位的免疫规划管理水平和服务质量,促进免疫规划工作可持续发展。
依据《中华人民共和国传染病防治法》、《疫苗流通和预防接种管理条件》、《预防接种工作规范》、《疫苗储存和运输管理规范》等法律法规,制订本方案。
一、评审考核对象(一)本方案规定的评审对象,是指由县(市、区)级卫生行政部门指定,明确预防接种服务责任区域,承担责任区域的预防接种服务,并通过县(市、区)级卫生行政部门考核合格,向县(市、区)级及以上卫生行政提出评审申请的预防接种单位。
(二)本方案规定的考核对象,是指由县(市、区)级卫生行政指定,明确预防接种服务责任区域,承担责任区域的预防接种服务的预防接种单位。
二、评审考核分类预防接种单位语塞考核分为三类。
(一)一类:示范性预防接种单位。
(二)二类:规范化预防接种单位。
(三)三类:基层合格预防接种点。
三、评审考核周期(一)卫生行政部门每3年一次按照《云南省示范性预防接种单位评审标准(2010试行版)》、《云南省规范化预防接种单位评审标准(2010试行版)》对示范性预防接种单位和规范化预防接种单位进行评审。
(二)卫生行政部门每年一次按照《云南省基层合格预防接种点考核标准(2010试行版)》,对基层合格预防接种点进行一次全面考核。
四、评审考核方式卫生行政部门每3年一次组织对预防接种单位进行评审,并在评审周期内不定期组织对已确定类别的预防接种单位开展考核检查。
其中:(一)对“规范化预防接种单位”和“示范性预防接种单位”采用周期性评审和考核检查相结合方式进行评审。
(二)对“基层合格预防接种点”仅进行每年一次的定期考核和不定期的检查。
五、各级职责预防接种单位的评审和考核,实行省、州(市)、县(市、区)卫生行政部门分级负责制,各级卫生行政部门在评审周期内开展定期或不定期的考核检查,评审考核结果由省、州(市)、县(市、区)级卫生行政部门通过一定形式向社会公布。
计划生育药具工作管理办法(试行)第一章总则第一条为加强计划生育药具管理和服务工作,依法保障公民获得安全、有效、适宜的计划生育药具,根据《中华人民共和国人口与计划生育法》、《计划生育技术服务管理条例》等有关法律法规,制定本办法。
第二条各级人口和计划生育行政部门、计划生育药具管理机构及其工作人员应遵守本办法。
本办法所称的计划生育药具管理机构包括各级计划生育药具管理机构和承担计划生育药具管理工作的计划生育技术服务机构。
第三条本办法中的计划生育药具,是指国家依法免费提供,用于避孕节育的药具。
第四条计划生育药具工作的基本任务是指计划生育药具的计划管理、采购管理、经费管理、质量管理、供应发放和随访服务等。
第五条国家为实行计划生育的育龄夫妻免费提供计划生育药具;育龄夫妻在户籍所在地或者现居住地可以免费获得计划生育药具。
第六条各级人口和计划生育行政部门要加强对计划生育药具工作的指导和监督管理,把计划生育药具工作纳入人口和计划生育事业发展规划。
第七条计划生育药具工作坚持以人为本,实行避孕方法的知情选择,为育龄夫妻提供优质服务。
第二章机构与职责第八条各级计划生育药具管理机构受同级人口和计划生育行政部门委托,承担本辖区计划生育药具有关管理和服务工作。
第九条国家人口计生委药具发展中心(以下简称药具发展中心)主要承担以下任务:(一)组织研究计划生育药具工作中长期发展规划,协助有关部门制定药具管理有关规章制度;(二)拟订全国计划生育避孕药具专项经费(以下简称药具专项经费)分配和计划生育药具需求计划方案;(三)组织实施全国计划生育药具的政府采购、经费使用、仓储调拨、质量监测、发放服务、信息统计工作;组织实施国家储备的计划生育药具的计划、采购、仓储和调拨;(四)指导省级计划生育药具管理机构的业务工作;组织实施计划生育药具系统业务培训和避孕药具科普宣传;(五)组织实施计划生育药具有关的国际交流与合作。
第十条设区的市级以上地方计划生育药具管理机构主要承担以下任务:(一)拟定计划生育药具管理的规章制度和规范;(二)拟订药具专项经费分配和需求计划方案;(三)编制计划生育药具业务工作经费年度预算和决算;(四)承担本级的药具专项经费管理及使用、计划统计、仓储调拨、质量管理、发放服务等工作和对下一级计划生育药具管理机构进行业务指导。
计划生育药具工作管理办法(试行)(中华人民共和国国家人口和计划生育委员会令第10号)《计划生育药具工作管理办法(试行)》已经2006年7月14日国家人口和计划生育委员会主任会议审议通过,现予发布,自2006年9月1日起施行。
主任:张维庆二○ ○ 六年七月二十日计划生育药具工作管理办法(试行)第一章总则第一条为加强计划生育药具管理和服务工作,依法保障公民获得安全、有效、适宜的计划生育药具,根据《中华人民共和国人口与计划生育法》、《计划生育技术服务管理条例》等有关法律法规,制定本办法。
第二条各级人口和计划生育行政部门、计划生育药具管理机构及其工作人员应遵守本办法。
本办法所称的计划生育药具管理机构包括各级计划生育药具管理机构和承担计划生育药具管理工作的计划生育技术服务机构。
第三条本办法中的计划生育药具,是指国家依法免费提供,用于避孕节育的药具。
第四条计划生育药具工作的基本任务是指计划生育药具的计划管理、采购管理、经费管理、质量管理、供应发放和随访服务等。
第五条国家为实行计划生育的育龄夫妻免费提供计划生育药具;育龄夫妻在户籍所在地或者现居住地可以免费获得计划生育药具.第六条各级人口和计划生育行政部门要加强对计划生育药具工作的指导和监督管理,把计划生育药具工作纳入人口和计划生育事业发展规划。
第七条计划生育药具工作坚持以人为本,实行避孕方法的知情选择,为育龄夫妻提供优质服务。
第二章机构与职责第八条各级计划生育药具管理机构受同级人口和计划生育行政部门委托,承担本辖区计划生育药具有关管理和服务工作.第九条国家人口计生委药具发展中心(以下简称药具发展中心)主要承担以下任务:(一)组织研究计划生育药具工作中长期发展规划,协助有关部门制定药具管理有关规章制度;(二)拟订全国计划生育避孕药具专项经费(以下简称药具专项经费)分配和计划生育药具需求计划方案;(三)组织实施全国计划生育药具的政府采购、经费使用、仓储调拨、质量监测、发放服务、信息统计工作;组织实施国家储备的计划生育药具的计划、采购、仓储和调拨;(四)指导省级计划生育药具管理机构的业务工作;组织实施计划生育药具系统业务培训和避孕药具科普宣传;(五)组织实施计划生育药具有关的国际交流与合作。
云南省人民政府办公厅关于印发云南省卫生厅职能配置、内设机构和人员编制规定的通知文章属性•【制定机关】云南省人民政府•【公布日期】2000.07.21•【字号】云政办发[2000]137号•【施行日期】2000.07.21•【效力等级】地方规范性文件•【时效性】现行有效•【主题分类】行政机构设置和编制管理正文云南省人民政府办公厅关于印发云南省卫生厅职能配置、内设机构和人员编制规定的通知(云政办发[2000]137号)各州市人民政府,各地区行政公署,省直各委、办、厅、局:《云南省卫生厅职能配置、内设机构和人员编制规定》经省机构改革领导小组审核,并报省人民政府批准,现予印发。
二000年七月二十一日云南省卫生厅职能配置、内设机构和人员编制规定根据《中共云南省委、云南省人民政府关于印发〈中共云南省委机构改革方案〉、〈云南省人民政府机构改革方案〉和〈云南省省级党政机构改革实施意见〉的通知》(云发[2000]10号),保留云南省卫生厅,为主管全省卫生工作的省政府组成部门。
一、职能调整根据“以农村为重点、预防为主、中西医并重、依靠科技与教育、动员全社会参与、为人民健康服务,为社会主义现代化建设服务”的新时期卫生工作方针以及我省组建劳动和社会保障厅、药品监督管理局以后有关职能变动的实际情况,对卫生厅的主要职能作以下调整:(一)划入职能原劳动厅承担的职业卫生监察(包括矿山卫生监察)职能划入省卫生厅。
(二)划出职能1.将药政、药检职能划归省药品监督管理局。
2.将管理公费医疗、社会医疗保险职能划归省劳动和社会保障厅。
(三)加强职能1.加强全省卫生工作全行业管理职能。
2.根据国家法律法规,按照依法行政、政事分开、综合执法的原则,加强卫生监督执法的职能。
(四)转变职能将卫生项目的具体实施、质量控制规范的认证、教材的编写、专业技术培训及考试和卫生科研成果、相关产品的评审等辅助性、技术性、服务性的具体工作,交给事业单位和社会团体。
国家计划生育委员会关于进一步加强计划生育各项经费管理工作的通知正文:---------------------------------------------------------------------------------------------------------------------------------------------------- 国家计划生育委员会关于进一步加强计划生育各项经费管理工作的通知(国计生委〔1998〕20号1998年3月19日)各省、自治区,直辖市及计划单列市计生委:1997年,国家审计署组织21个省、自治区的审计部门对本省(区)的1451个县,12178个乡,14223个村1995年、1996年两个年度的计划生育各项经费进行了审计。
通过这次审计,暴露了基层计划生育各项经费在管理上存在的诸多问题,有些甚至相当严重。
一是乱收费现象比较普遍。
主要表现在自立收费项目,超标准收费,以押金、保证金形式变相收费,搭车收费,摊派征订杂志,药具无偿变有偿等。
二是收费管理混乱。
主要表现在超计划生育不收费,收费标准不统一,以术代罚,收费明征暗退,收费下指标、搞摊派,收费部门不统一等。
三是挤占挪用计划生育经费严重。
主要表现在政府及财政部门挤占挪用计划生育经费严重,用于修建办公楼和宿舍,用计划生育经费办企业或企业借用,用计划外生育费弥补行政经费不足,用于支付教师工资,个人借用等。
四是财政投入不到位。
主要表现在财政资金、计划生育统筹款不到位,截留应拨下级款。
五是提高开支标准,扩大开支范围,损失费严重。
主要表现在行政性支出比重过大,人员超编比较严重,很大一部分计划外生育费开支不符合财务制度要求,尤其是招待费、奖金补贴支出过大,避孕药具积压,报废过大等。
六是隐瞒真实情况,上报统计数字不实。
主要表现在弄虚作假,隐瞒超生人数等。
七是搞账外账,私设“小金库”。
主要表现在收入不入账或设置账外账,私设“小金库”等。
1.为了加强计划生育技术服务质量管理,规范计划生育技术服务行为,提高技术服务质量和水平,为人民群众提供优质、安全、满意的计划生育技术服务,根据《中华人民共和国人口与计划生育法》、《计划生育技术服务管理条例》等法律、法规及有关规定,制定计划生育技术服务质量管理规范.2.计划生育技术服务要坚持安全第一、质量第一的方针。
坚持以人为本, 以服务对象为中心,遵循国家相关法律、法规。
3.计划生育技术服务质量规范管理目标是规范计划生育技术服务,提高计划生育技术服务质量,提升计划生育技术服务管理水平,保障服务对象的身心健康与生命安全。
4.计划生育技术服务机构和技术人员向服务对象提供服务时,必须保障服务对象的计划生育繁殖健康权益,保障服务对象获得国家规定的免费技术服务,满足服务对象计划生育繁殖健康及相关方面的需求。
5.本规范是各级计划生育技术服务机构开展计划生育技术服务工作和技术服务质量管理的基本要求和行为准则。
1.计划生育技术服务质量规范管理包括机构管理、人力资源管理、基础设施管理、器械仪器设备管理、药品和避孕药具管理、技术服务过程管理、技术服务文书档案管理、环境安全管理和质量管理持续改进等。
2.计划生育技术服务机构应设立技术服务质量管理组织,配备技术服务质量管理人员,制定技术服务质量管理制度,建立技术服务质量管理机制。
计划生育技术服务机构应逐步引入现代质量管理方法,创新计划生育优质服务理念。
3.计划生育技术服务机构的法定代表人是技术服务质量管理的第一责任人,负责本机构技术服务质量管理组织的建立和质量管理标准、规范的组织实施。
各部门和各岗位人员是本机构实施全面质量管理的重要成员,是技术服务质量管理规范的实施者。
4 .计划生育技术服务机构应建立和完善质量监督、考核评估、信息反馈机制。
对工作结果进行记录、统计、分析、评估,并不断修正技术服务质量管理标准体系,保持技术服务质量持续改进。
(一)人力资源管理1.计划生育技术服务机构应根据服务人群和机构规模,依照工作目标和质量控制指标,制定发展规划,完善管理制度,明确人力资源管理的内容、职责、权限和考核、奖惩办法,建立竞争、激励机制.2.计划生育技术服务机构应根据有关法律法规、工作任务和服务项目设置岗位, 确定岗位任职条件。
国产经CHINESE INDUSTRY &ECONOMY中国产经Chinese Industry &Economy摘要:实施国家基本公共卫生服务项目是促进基本公共卫生服务逐步均等化的重要内容,是我国公共卫生制度建设的重要组成部分。
国家基本公共卫生服务项目自2009年启动以来,在基层医疗卫生机构得到了普遍开展,取得了一定成效。
同时,乡镇卫生院、村卫生室和社区卫生服务中心(站)等基层医疗卫生机构(以下简称基层医疗卫生机构)的基本公共卫生服务项目的管理和财务核算已取得重大进展,但仍然存在一些挑战。
基本公共卫生服务项目是一个使我国广大城乡居民受益的重大民生工程,合理使用项目资金不仅利国利民,而且有助于提高公共卫生服务质量。
为了更好地管理基本公共卫生服务的资金并提高资金使用效率,本文对公共服务项目的资金管理和财务核算进行了一些讨论,分析存在的问题以及提出适当的解决方案。
关键词:基本公共卫生服务;经费管理;财务核算;解决措施一、现基本公共卫生服务项目财务管理办法国家卫生健康委员会制定的《国家基本公共卫生服务规范(第三版)》包含了居民健康档案管理、健康教育、预防接种、0~6岁儿童健康管理、孕产妇健康管理、老年人健康管理、慢性病患者健康管理(包括高血压患者健康管理和2型糖尿病患者健康管理)、严重精神障碍患者管理、肺结核患者健康管理、中医药健康管理、传染病及突发公共卫生事件报告和处理、卫生计生监督协管、免费提供避孕药具、健康素养促进行动等十四大项基本公共卫生服务项目内容。
同时,服务项目存在各种财务成本费用,分为直接费用和间接费用。
直接费用指直接用于基本公共卫生服务项目的费用,包括人员经费支出(包括基本工资、绩效工资、社会保障缴费、住房公积金等)、药品支出、材料支出、非财政资本性支出、其他公用支出(包括办公费、印刷费、水费、电费、邮电费、物业管理费、差旅费、会议费、培训费等)等,间接费用指间接用于基本公共卫生服务项目的费用,包括临时人员(抽派、临聘)经费支出、房租、交通费、其他应摊费用等,间接费用按基本公共卫生服务项目实际消耗分摊计入公共卫生支出相关科目。
药具管理工作制度药具管理工作制度(一)、避孕药具计划编报制度1、坚持“品种齐全、结构合理、库存适量、杜绝浪费、保障供应、满足需求”的原则编制避孕药具计划。
2、年度计划生育药具需求计划,要根据当年度计划生育避孕药具政府采购目录内品种,按照育龄人群(含流动人口)实际需要、人均使用量、现有库存量和上一年度需求计划执行情况编制。
3、全面掌握、分析和利用各种信息资料,如使用药具人数、库存量、药具品种、规格、型号、群众的使用习惯等情况,尽量使计划编报趋于合理,杜绝因计划失误而造成积压和浪费。
4、需求计划的编制以街道办事处级为起报点,自下而上,逐级编报,要求数字准确,内容完整,字迹清楚,并按规定时间上报。
5、街道办事处级以上药具管理机构编制的计划生育药具需求计划,需经单位负责人和同级人口和计划生育行政部门领导审核、签字并盖章后,按规定程序逐级汇总上报至市药具站,市药具站进行审核、汇总后,编制全市计划生育药具需求计划,经单位负责人和市人口计生局负责人审核、批准并盖章后上报国家人口计生委药具发展中心。
年度计划生育药具需求计划经国家人口计生委批准后,逐级下达。
6、各级计划生育药具管理机构出现需求计划不足时,向有行政隶属关系的上级药具管理机构申请追加调拨。
没有行政隶属关系的药具管理机构之间不得自行办理计划生育药具免费调拨和借出、借入。
(二)、避孕药具调拨制度1、严格执行计划生育避孕药具购调计划,未经供需双方协商和上级主管部门批准,不得单方更改合同,不得无故拒收货物和拒付货款。
2、以计划购调合同为准则,认真履行合同中所约定的各项责任。
3、在调拨过程中发生纠纷时,要及时向上级反馈并妥善处理在调拨中出现的问题。
4、凡破损、潮解、变质、失效等不合格药具不得向下和向外调拨。
5、调拨手续必须完备,凭出、入库单进行调拨。
(三)、避孕药具仓储管理及养护制度1、严格按照“先进先出、易变先出、近效期先出”的调拨原则,合理安排出入库顺序,避免药具积压过期。
云南省财政厅关于印发《云南省会计人员继续教育实施办法》的通知文章属性•【制定机关】云南省财政厅•【公布日期】2007.07.15•【字号】云财会[2007]22号•【施行日期】2007.10.01•【效力等级】地方规范性文件•【时效性】现行有效•【主题分类】财政综合规定正文云南省财政厅关于印发《云南省会计人员继续教育实施办法》的通知(云财会[2007]22号)省委、各部委、省直各机关单位、总公司,各大专院校,各州、市财政局:根据《会计人员继续教育规定》(财会 [2006]19号),结合我省实际,制定了《云南省会计人员继续教育实施办法》(附后),现印发给你们,请遵照执行。
执行中有何问题,及时反馈云南省财政厅会计处。
附件:《云南省会计人员继续教育实施办法》云南省财政厅二00七年七月十五日云南省会计人员继续教育实施办法第一章总则第一条为推进会计人员继续教育科学化、制度化、规范化,培养造就高素质的会计队伍,提高会计人员专业胜任能力,根据《中华人民共和国会计法》、《会计人员继续教育规定》(财会[2006]19号)和《云南省会计从业资格管理实施办法》(云财会[2005]29号)等规定,制定本办法。
第二条会计人员继续教育必须紧密结合经济社会发展和会计行业发展要求,统筹规划,分类指导,强化服务,注重质量,全面推进会计人才队伍建设,为经济社会和会计行业发展提供人才保证和智力支持。
第三条会计人员继续教育应当遵循下列基本原则:(一)以人为本,按需施教。
把握会计行业发展趋势和会计人员从业基本要求,突出提升会计人员专业胜任能力,引导会计人员更新知识、拓展技能,提高解决实际问题的能力。
(二)突出重点,提高能力。
会计人员继续教育面向会计队伍,创造人人皆受教育、人人皆可成才的环境,全面提高会计人员整体素质。
同时,突出高层次会计人才培养和提高综合能力培训,进一步改善会计队伍人才结构和知识结构。
(三)加强指导,创新机制。
在统筹规划的前提下,有效利用各方面教育资源,引导社会办学单位参与会计人才继续教育,并不断创新继续教育内容,改进继续教育方式,提高继续教育质量,逐步形成政府部门规划指导、社会办学单位积极参与、用人单位支持督促的会计人员继续教育新格局。
卫生院院长:XXX主要工作职责:1、根据国家法律、法令和方针、政策,全面领导医院的工作,领导全院职工在医疗、护理、教学、科研、预防、行政、后勤等方面,不断进行改革创新。
2、主持决策医院的行政工作,负责制定医院发展规划并组织实施。
3、负责制定医院各制度,努力创造符合现代化医院管理要求的医院文化。
4、根据国家人事制度,结合医院实际情况,制定、实施医院工作人员的考核、奖惩、聘任、调动和晋升等工作。
5、领导组织检查医院的工作质量,与员工保持密切联系,定期深入科室,参加值班及时解决发现的问题。
6、严格医院的监察和审计工作,审计财务预决算。
页脚内容1安全生产监督管理站站长:XXX主要工作职责:1、宣传贯彻执行安全生产有关法律、法规、规章、标准、政策及上级安全生产会议和文件精神;2、组织协调乡党委、政府和县安全生产监督管理局交办的各项安全生产工作;3、根据安全生产有关法律法规和县安全生产监督管理局的委托,组织本单位执法人员依法在乡域内行使执法权;4、做好本单位各岗位之间的协调工作。
执法依据:1、《中华人民共和国安全生产法》2、《云南省安全生产条例》3、由省安全生产监督管理局统一制发的《安全生产监管执法证》行政审批:根据县安全生产监督管理局的委托,协助县安监局办理乡域内特种行业的《安全生产许可证》和特种作业人员操作证的培训、申领、审验等工作。
页脚内容2财政所所长:XXX主要工作职责:1、负责财政所的全盘工作,敢抓敢管。
2、做好本所干部职工的政治思想工作,组织安排本所各项工作的顺利开展,协调好与各级各部门之间的关系。
3、严格执行《预算法》、《会计法》,按有关财政政策和财政法规办事,搞好年初预算和年终决算管理工作,做好各项财政资金的协调和调配工作,4、积极组织管理本乡的财政收支执行情况和各个时期的收支预算调整工作,完成上级安排的各项任务指标。
积极扩大税源培植,做到增收节支,为我乡经济和各项事业发展服务。
5、定期不定期向乡党委、政府和上级主管部门汇报工作,做到上情下达、下情上报,敢干为乡党委、政府和上级主管部门负责。
药具管理人员主要职责药具管理人员主要职责为加强和规范全区人口和计划生育药具管理工作,保障育龄群众获得安全、有效、适宜的计划生育药具,需要对药具管理人员做好明确的岗位要求!下面就不妨和爱汇网店铺一起来了解下药具管理人员主要职责,希望对各位有帮助!药具管理人员主要职责篇1一、负责本乡(镇)药具的管理、宣传、发放工作,做到管理制度、目标分解、宣传发放、职责任务等落实到人,各种原始记录、档案保存完整。
二、负责本乡(镇)药具计划的编制及各类报表的统计、汇总、上报,做到各种基础数据来源依据充分,数字对应关系准确,帐、卡、表、册齐全,按时上报。
三、负责本乡(镇)所辖村(居)专(兼)职药管员的业务培训工作,做到对村药管员的集中专业培训每年进行2次;能有计划、有目的地开展以会代训,例会时应对药具需求情况、使用效果、使用人员变动情况等进行总结反馈,提出指导性意见,并能适应形势要求进行咨询服务方法、避孕药具知识的相关培训,培训记录完整。
四、负责登记、上报避孕药具使用失败及出现副反应情况,并进行相应核查,做到能指导村级药管员查找出现问题原因,进行一般副反应的处理并做好详细记录,如实汇总上报。
五、负责辖区内使用药具重点人员(主要包括:当年有使用药具失败情况、有明显副反应、有精神异常和重大残疾等)的随访,必须做到每月对重点人员随访一次,认真做好随访记录。
六、负责收集并登记群众对避孕药具服务的需求信息,做到能根据群众需求制定措施,提供优质服务。
七、负责对育龄群众进行药具咨询服务,做到能利用避孕热线电话等方式,为群众提供避孕节育及紧急避孕药具咨询服务,态度热情,语言通俗易懂并认真记录。
药具管理人员主要职责篇2为加强和规范全区人口和计划生育药具管理工作,保障育龄群众获得安全、有效、适宜的计划生育药具,根据国家人口和计划生育委员会《计划生育药具工作管理办法》等法律法规,结合我区实际制定本实施细则。
第一章机构性质和职责第一条盟市要独立建计划生育药具管理站(药具发展中心),为行政支持类事业单位;旗县市(区)、苏木乡镇(办事处)要设立药具管理部门并配备专(兼)职人员,完成药具免费发放及服务工作。
云南省城市社区卫生服务机构管理办法实施细则(试行)【法规类别】卫生机构与人员【发文字号】云南省卫生厅公告第5号【发布部门】云南省卫生厅【发布日期】2007.06.01【实施日期】2007.06.30【时效性】现行有效【效力级别】地方规范性文件云南省卫生厅公告(第5号)《云南省城市社区卫生服务机构管理办法实施细则(试行)》已经2007年4月24日云南省卫生厅厅办公会议通过,现予公布,自2007年6月30日起施行。
云南省卫生厅二00七年六月一日云南省城市社区卫生服务机构管理办法实施细则(试行)第一章总则第一条为贯彻落实《国务院关于发展城市社区卫生服务的指导意见》精神,加强对我省城市社区卫生服务机构设置与运行的管理,根据卫生部《城市社区卫生服务机构管理办法(试行)》,结合本省实际,制定本实施细则。
第二条本实施细则适用于本省辖区内城市社区卫生服务机构。
城市社区卫生服务机构是指在城市范围内设置的、经区(市、县)级政府卫生行政部门登记注册并取得《医疗机构执业许可证》的社区卫生服务中心和社区卫生服务站。
第三条社区卫生服务机构以社区、家庭和居民为服务对象,以妇女、儿童、老年人、慢性病人、残疾人、贫困居民等为服务重点,开展健康教育、预防、保健、康复、计划生育技术服务和一般常见病、多发病的诊疗服务,具有社会公益性质,属于非营利性医疗机构。
第四条省级卫生行政部门负责全省城市社区卫生服务机构的监督管理。
区(市、县)级以上政府卫生行政部门负责本行政区域内城市社区卫生服务机构的监督管理。
第二章服务功能与执业范围第五条社区卫生服务机构服务对象为辖区内的常住居民、暂住居民及其他有关人员。
第六条社区卫生服务机构提供以下公共卫生服务:(一)卫生信息管理。
根据国家规定收集、报告辖区有关卫生信息,开展社区卫生诊断,建立和管理居民健康档案,向辖区街道办事处及有关单位和部门提出改进社区公共卫生状况的建议。
(二)健康教育和健康促进。
针对社区人群主要健康问题,明确健康教育的重点对象,实施重点人群及重点场所健康教育。
云南省人口和计划生育药具管理中心2017年度部门决算第一部分云南省人口和计划生育药具管理中心概况一、主要职能二、单位基本情况第二部分 2017年度部门决算表一、收入支出决算总表二、收入决算表三、支出决算表四、财政拨款收入支出决算总表五、一般公共预算财政拨款收入支出决算表六、一般公共预算财政拨款基本支出决算表七、政府性基金预算财政拨款收入支出决算表八、财政专户管理资金收入支出决算表九、“三公”经费、行政参公单位机关运行经费情况表第三部门 2017年度部门决算情况说明一、收入支出预算执行情况分析说明二、年末结转和结余情况说明三、财务指标分析说明第四部分名词解释第一部分云南省人口和计划生育药具管理中心概况一、主要职能(一)主要职能云南省人口和计划生育药具管理中心成立于1986年12月,主要履行以下职责:1.负责拟订药具专项经费分配方案和药具需求计划方案;2.组织实施计划生育药具计划发放服务、统计、经费和质量管理;3.承担本级计划生育药具的采购、储运和调拨;4.组织实施免费避孕药具基本公共服务项目,并负责绩效评估;5.组织实施计划生育药具业务培训和宣传教育;6.承当推套防艾安全套发放和管理工作。
(二)2017年取得的主要事业成效1.认真贯彻落实省委、省政府《关于实施全面两孩政策改革完善计划生育服务管理的意见》和全省卫生计生工作会议精神,加强对各地州药具工作的指导。
一是2月下旬在全省妇幼健康工作会上,总结去年工作,制定下发了《2017年全省药具工作要点》,从深入推进药具工作改革,夯实服务管理基础,加强药具服务管理,提高药具服务健康能力,加强系统行风建设等十六个方面明确了全省药具工作重点任务。
二是提出《云南省卫生计生委关于加强和改进计划生育药具服务管理工作的意见》。
要求各地要切实利用好卫生计生资源整合优势,充分发挥避孕药具在生育调节、优生优育、生殖保健、疾病预防等方面的作用。
从加强组织领导,保证药具工作人员稳定,争取经费投入,加强督导检查等方面指导各地推进工作。
5月23日,召开了全省计划生育工作会议暨药具工作会议,通过解读《意见》、分析形势,进一步明确了药具发放服务管理工作在卫生计生工作中的重要性。
2.积极适应药具工作改革要求,推进工作有序进行。
一是对昆明市、曲靖市、玉溪市、大理州四个州市进行了工作调研进一步理清免费避孕药具发放的流程、方式,了解数量结构变化和群众的满意度。
二是委托云南大学人口与经济研究所开展“免费避孕药具需求总量和变化趋势”和“免费避孕药具基本公共卫生服务项目”课题研究,探索和掌握药具需求人员、数量、品种的变化趋势,为推进免费避孕药具公共服务管理模式提供依据。
三是做好年度免费避孕药具需求供应和调拨工作,完成年度药具需求采购。
3. 认真做好避孕药具基本公卫项目预算管理工作。
根据《国家卫生计生委办公厅关于做好2017年避孕药具采购及发放工作的通知》(国卫办妇幼函〔2017〕914号)和《云南省财政厅云南省卫生和计划生育委员会关于下达2017 年国家基本公共卫生服务项目中央补助结算资金的通知》(云财社(2017] 185 号)精神,中心认真研究项目执行要求,按照“免费提供避孕药具”纳入国家基本公共卫生服务项目,将其资金使用分为两部分:一是避孕药具采购经费,根据各州市上报的年度避孕药具需求计划确定药具采购任务,由省药具管理中心委托国家采购并统一支付。
二是药具物流仓储和药具随访项目,由省药具管理中心与项目实施单位签订《工作任务委托书》,以委托工作任务方式划拨资金,项目实施单位按照任务要求完成资金结算。
4.做好药具发放网点建设工作。
为掌握全省药具发放网点数和网点的运行状况,对《计划生育药具免费发放网点增(减)信息统计表》和《计划生育药具免费发放网点统计表》进行了调整。
截至2017年11月底,全省共有药具发放网点19140个,其中,主渠道发放网点有17166个,社会发放网点有1370个,自助发放机网点有604个;总网点中,在医疗卫生机构有2245个发放网点,妇保计生机构有4856个发放网点,新增发放机32台,本年新增网点数1014个,本年减少网点1773个。
5.配合国家开展好专项检查活动,确保药具质量和发放渠道畅通。
按照国家的统一部署,制定下发了方案和措施,组织各地认真开展“全国药具入库质量验收管理检查”和“全国计划生育药具发放服务专项检查”。
重点检查机构整合后各级的药具工作在职责、岗位、人员、任务落实和发放服务管理等方面情况,通过检查发现问题,督促整改,促进计划生育药具服务管理改革工作任务的落实。
6.加强药具自助发放机管理,做好“互联网+药具发放服务”推广应用。
一是举办了全省药具自助发放机使用管理业务培训班,加强对管理人员业务指导,提高了药具人员的综合服务能力,保障了药具自助发放机的运转和使用。
二是加强基层服务能力建设。
规范安全套的仓储管理,提高服务的覆盖面和可及性,采购了105台药具自助发放机配置各州(市),三是帮助昆明市协调了PPP项目药具自助发放机在医院的摆放问题,分别协调了昆华医院、红会医院,解放军43医院,武警总队医院,57医院,经协调的医院发放机现已全部投入使用,拓展了发放渠道,收到了良好的社会效应。
7.做好药具宣传工作,积极改善我省宣传渠道和资料单一的状况。
针对我省长期以来药具知识宣传资料少,宣传渠道和途径单一,育龄群众对避孕药具政策和药具知识知晓度不够的情况,有针对性的制作了药具公益广告动漫宣传片,在云南省电视台、3000余台七彩公交车等媒体开展药具公益宣传片的播放;设计免费药具公益广告牌,在人口密集的昆明地铁站点投入宣传;印制计划生育药具发放服务工作手册、计划生育药具知识手册、药具宣传折页、药具避孕处方签等药具工作手册2万份、药具知识宣传册(单)等28万份,向育龄群众普及国家免费药具政策和避孕节育的科学知识,引导群众落实安全有效的避孕节育措施,减少非意愿妊娠,促进生殖健康。
制作了39万元的药具宣传资料配发至各级药具发放服务机构。
8.贯彻落实《云南省推广使用安全套预防艾滋病工作方案(试行)》的通知》精神。
认真履行全省安全套储运管理责任,落实岗位职责和措施,协助防艾局进一步加强和规范全省安全套发放管理工作。
一是起草了《云南省安全套发放管理规定(试行)》,督促各地落实岗位职责,制定相关管理制度规定,按照业务规范流程,做好防艾安全套的购调存和发放等业务管理工作。
二是启动了防艾安全套发放管理相关工作,完成了上半年和第三季度全省推广使用安全套发放情况的统计,7月举办了全省推套防艾业务培训班,指导培训各级安全套发放管理业务工作,进一步规范安全套发放管理统计工作。
三是加强安全套发放规范管理,完成了《云南省安全套发放管理信息系统》的软件开发,举办了全省各级系统的推广应用师资培训,该系统于2018年1月正式启用,将提高安全套发放管理各项业务信息统计的工作效率。
9.开展药具半年督导调研工作。
一年来,共开展了国家免费避孕药具入库质量验收管理检查、开展了计划生育药具发放服务专项检查和《云南省安全套发放管理规定(试行)》落实情况督查。
分别对16州(市)、31个县(市、区)、31个乡(镇、街道办)、33个村(居委会、社区)的计生药具工作进行了督导调研,对310名村级药具使用群众进行了问卷调查。
充分了解基层机构整合后,药具工作运行情况和落实工作目标任务情况。
二、单位基本情况(一)机构情况,包括当年变动情况及原因我单位是独立核算的公益一类二级预算全额拨款的正处级事业单位,执行事业单位会计制度,核定事业编制17名,领导职数3名(1正2副)。
2017年机构情况无增减变动。
(二)人员和车辆的编制及实有情况1.2016年末实有在职人员16人,退休人员14人;2017年末在职人员15人,退休人员16人,2017年度公开招聘1人,在职人员增加1人,退休2人;2017年末在职人员比2016年末减少1人,退休人员增加2人。
2.车辆编制4辆,实有车辆3辆。
第二部分2017年度部门决算表(详见附件)第三部门 2017年度部门决算情况说明一、收入支出预算执行情况分析说明(一)收入支出预算安排情况2017年年初预算2147.57万元(包括结转资金和中央资金),2017实际支出716.88万元,原因为基本支出增加,在职职工薪级工资增加,2015-2017年退休人员职业年金缴费增加。
项目支出减少,2017年免费避孕药具项目纳入基本公卫,国家药具中心还未与厂家签订采购合同,2017年药具采购正在进行中。
(二)收入支出预算执行情况当年收入支出预算执行基本情况,与上年度对比情况,包括增减绝对值与幅度,增减变动主要原因单位:元1.2017年一般公共预算财政拨款收入2108.83万元,2016年财政拨款收入1464.80万元,比上年增加43.97%,原因:2017年免费避孕药具项目纳入基本公卫,基本公卫项目财政拨款收入增加。
2.2017年非财政拨款收入65.06万元,2016年非财政拨款收入66.95万元,比上年减少2.83%,原因:办理国有资产出租批复程序、房屋合同到期致使房屋闲置,国有资产出租收入比上年减少。
1.收入支出与预算对比分析(1)预、决算差异情况,可分收入支出功能科目、分单位、分收入支出具体项目逐项对比。
单位:元2017支出分类分析2017年支出预决算差异不大。
2017收入分类分析2017年财政拨款预决算差异过大,原因为:项目支出减少,2017年免费避孕药具项目纳入基本公卫,国家药具中心还未与厂家签订采购合同,2017年药具采购正在进行中。
2.收入支出结构分析各项收入占总收入的比重,各项支出占总支出的比重。
2017基本支出决算分析人员经费占基本支出比例较大。
2017项目支出决算分析2017年避孕药具纳入基本公卫,基本公卫项目与计划生育服务补助资金占项目支出比例较大且占比差异小,重大公卫项目占项目支出比例最小。
2017基本支出与项目支出决算分析项目支出占总支出的50%以上,因2017年避孕药具采购正在进行中,所以项目支出占比与基本支出占比差异不大。
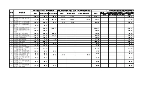
3.支出按经济分类科目分析(1)“三公”经费支出情况(含非财政支出):2017年三公经费比2016年有所增加,主要是公务接待和出国出境费增加,接待费增加:主要是对州市妇幼药具机构有接待。
出国出境费增加:根据卫计委妇幼处安排,赴台因赴台湾学习是卫计委妇幼处临时安排工作,所以年初预算未安排,并且该笔费用是使用非财政拨款支付。
今后会加强预算管理,做到有预算有支出。
(2)会议费支出情况:单位:万元部署中央厉行节约,会议费与去年相比,减少较大。
2017年会议费年初未预算,2017年与卫计委举办2017年全省计划生育暨药具工作会议,免费避孕药具基本公卫卫生项目研讨会,因为会议为新工作,临时要求召开。