电力拖动基础课后题
- 格式:doc
- 大小:17.50 KB
- 文档页数:4
2020年电力拖动基础课后题第二章电力拖动系统的动力学选择以下各题的正确答案。
电动机经过速比j=5的减速器拖动工作机构,工作机构的实际转矩为2N- m,飞轮矩为1N m,不计传动机构损耗,折算到电动机轴上的工作机构转矩与飞轮矩依次为。
A. 2N- m,5N- mB. 4N- m,1N- mC. 4N- m, mD. 4N- m, mE. m, mF. 1N- m,25N m⑵恒速运行的电力拖动系统中,已知电动机电磁转矩为8N- m,忽略空载转矩,传动机效率为,速比为1,未折算前实际负载转矩应为。
A. 8N mB. 64N mC. 8N mD. 64N mE. 8N mF. 1N m电力拖动系统中已知电动机转速为1r/ min,工作机构转速为1r/ min,传动效率为,工作机构未折算的实际转矩为 12N - m,电动机电磁转矩为 2N - m,忽略电动机空载转矩,该系统肯定运行于。
()A.加速过程B. 恒速C. 减速过程答(1) 选择D。
因为转矩折算应根据功率守恒原则。
折算到电动机轴上的工作机构转矩等于工作机构实际转矩除以速比,为4N m;飞轮矩折算应根据动能守恒原则,折算到电动机轴上的工作机构飞轮矩等于工作机构实际飞轮矩除以速比的平方,为 m选择D因为电力拖动系统处于恒速运行,所以电动机轴上的负载转矩与电磁转矩相平衡,为8N m,根据功率守恒原则,实际负载转矩为8N - mxx 1=64N m选择 A。
因为工作机构折算到电动机轴上的转矩为12N m / x 1(r/ min)/1(r/min)=4/3N m小于电动机电磁转矩,故电力拖动系统处于加速运行过程。
电动机拖动金属切削机床切削金属时,传动机构的损耗由电动机负担还是由负载负担?答电动机拖动金属切削机床切削金属时,传动机构的损耗由电动机负担,传动机构损耗转矩厶T与切削转矩对电动机来讲是同一方向的,恒速时,电动机输出转矩 T2应等于它们二者之和。
电力拖动自动控制系统复习题及答案一、基础题1、反馈控制系统的作用是:抵抗扰动,服从给定。
2、带比例放大器的反馈控制闭环调速系统是有静差的调速系统,采用比例积分(PI)调节器的闭环调速系统是无静差的调速系统。
3、实际上运算放大器的开环放大系数并不是无穷大,特别是为了避免零点飘移而采用准IP调节器。
4、对于调速系统,最重要的动态性能是抗扰性能,主要是抗负载扰动和抗电网电压扰动的性能。
5、调速系统的动态指标以抗扰性能为主,而随动系统的动态指标则以动态跟随性能为主。
6、超调量的表达式为:δ=(Cmax-C∞)/C∞×100%。
7、在基频以下,磁通恒定时转矩也恒定,属于恒转矩调速性质,而在基频以上,转速升高时转矩降低,属于恒功率调速。
8、当电动机由三相平衡正弦电压供电时,磁链幅值一定时,u S 的大小与电压角频率δ1 成正比,其方向则与磁链矢量正交。
9、调速系统的动态性能就是抵抗扰动的能力。
10、抗扰性能是反馈控制系统最突出的特征之一。
11、转速反馈闭环调速系统的精度信赖于给定和反馈检测精度。
12、比例调节器的输出只取决于输入偏差量的现状;而积分调节器的输出则包含了输入偏差量的全部历史。
13、在起动过程中转速调节器ASR经历了快速进入饱和、饱和、退饱和、三种情况。
14、自动控制系统的动态性能指标包括:跟随性能指标和扰动性能指标。
15、动态降落的表达式为:(△Cmax/Cb) ×100%。
16、基频以上变频调速属于恒功率调速。
17、异步电机的动态数学模型是一个高阶、非线性、强耦合的多变量系统。
18、两种最基本的直流调速方式为:调压调速方式和弱磁调速方式。
19、在典型II型系统性能指标和参数的关系分析中,引入了h,h 是斜率为–20dB/dec的中频段的宽度,称作中频宽。
20、Ws*+W =W1* 是转差频率控制系统突出的特点或优点。
21、异步电机的数学模型由电压方程、磁链方程、转矩方程和运动方程组成。
5.59 + 0.98 + 294 + 17 05 十 - -------- +------- ; ----------------------------------------------- 7(30/2)2 (30/2)2 x(65/15)2 (30/2)2 x(65/l5)2 x(0.15/0.5)2 5.59 + 0.98 + 0.089 + 0.093 + 0.021.6.7732 • m 21-3解:①旋转部分飞轮矩 第一章GD ; + GD ; GD : GD 2 =GD 2+GD 2 + GD ; + GD ; + _________ r J +0 1 (Z2/ZJ2 (Z 2/Z x )2\Z 4/Z 3)2 (Z 2/Z 1)2.(Z 4/Z 3)2.(Z 6/Z 5)256.8 + 37.3 137.20 230 + 8.25 + 心 + 19.6 十 ------ -------- + ------- ; ------ ; -------(55 / 20)2 (55 / 20)2 x (64/ 38)2 (55 / 20)2 x (64/38)2x (78/ 30)2= 251.497Vm 2:工作台和工作总重虽G = q+G2 =14715 + 9810 = 24525"r43 ・切削速度v = 43m/min = 0.12m /s :齿轮6的转速 n, = ------------- =-------------- = 27.56厂/min仏 Z 0.02x78电动机转速 n = n, • — • —= 331.88r/minZ5 Z 3Z 、宜线运动部分飞轮矩 GD; = 365•色卜= 365x 24525x0 72 = 42.13N ・m 2 " n 2331.882总飞轮矩 G£>2=GZ);+GZ)f =251.49+ 42.13 = 293.62^-m 2工作台及工作与导轨的摩擦力于=(G[ + G?) • “ = (147• 15 + 9810) x 0.1 = 24525N折算到电机轴上的负载转矩7>“55X (F")化9.55X (9^ + 2452.5)X 0.72 “7.52N" r/・n0.8x331.88②切削时电动机输岀功率 P 2=7f .0 = 317.57x^x331.88 = 11.03^③空载时电动机轴上的总飞轮矩为GD f= 251.49 + 365 x14715x072; 331.882276.77N •加2dn 1 78 64 55 dv /z ・、 ——= ----------- x ——x ——x ——x ——=15.44r / (min-5)dt 0.02x78 30 38 20 dt9.55x14715x0.1x0.72 " 0.8x331.881-4解:①旋转部分飞轮矩 GD 9 = 38.1W ..;T F=7A 375 dn—=49.507V-/77 cltGD : = GD ; + GDI + 血:+吟 + GD : + GD :GD ; + GDI (Z 4/Z 2)2 ' (Z 4 /Z 2)2.(Z 6 /Z 3)2 + (Z 4 /Z 2)2.(Z 6 /Z 3)2.(/)7 / Z )5)29&10 + 294 3.92 + 3.92重物、吊钩的总重量为G = G9 +G10 =490 + 19620 = 201 \0N提升速度v k =12;?7/min = 0.2/n/5;绳索的速度v = 2v^ = 24m/min =卷筒外圆线速度;卷筒转速決= --------- =———=153” / min ;7lD5 ?rx0・5电动机转速H = n5-^-^ = 15.3x —X—= 993r/min ;于是得直线部分飞轮矩为Z3 Z215 2GDf = 365= 365x 20110x0-2^ = 0.298/V• m2;折算到电动机轴上的系统总飞轮矩为& n29932 GD2 = GD: + GDI= 6.773 + 0.298 = 7.0717V • m2②重物吊起时阻转矩为T L= 9.55^ = 9.55X 20110x02 = 55.252V-m7]c n0.7x993重物及吊钩转矩折算值为r L = 9.55匹=9.55X 2°11°X0.2=3868YV,M L n993所以传动机构损耗转矩为AT=T L-T^= 55.25-38.68 = 16.57^-7/7放下时阻转矩为7;"=7;-2AT = 55.25-2xl 6.75 = 22J 1/V • mG v490 x 0 2③空钩吊起时阻转矩为7; =9.55盂= 9.55x乔而9.4255G v490 x 0 2空钩其转矩折算值为9.55亍=9.55 x帀-=°・9425N・”所以传动机构损耗转矩为AT =T L-T^= 9.425一0.9425 = 8.48N• m放下时的阻转矩为Tj =T L - 2AT = 9.425-2x8.48 = -7.54N ・m④在②种惰况下,由于乙和厶都大于零,所以电动机是输出机械能;在③种惜况下,由于厶大于零,所以吊起时T” <0输出机械能,而L ,所以下方时电动机输入机械能。
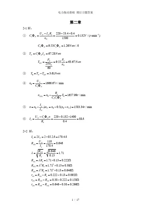
第二章2-1解: ① 122053.40.40.132/(min )1500N N a e N N U I R C V r n ---⨯Φ=== 9.55 1.26/T N e N C C N m A Φ=Φ=② 67.28N t N N T C I N m =Φ=29.5563.67260N N N N N P PT N m n n π=== ③ 02 3.61N N T T T N m =-= ④ 01666.67/min Ne NU n r C ==Φ 0021657.99/min ae t NR n n T r C C =-=Φ实际 ⑤ 0000.5()1583.34/min aN N NI n n n n n n r I =-∆=--= ⑥ 2200.1321400880.4N e N a a U C n I A R -Φ-⨯===2-2 解:1311222333112212285.2170.41100.646170.4 1.711.710.130.2221.710.130.381.710.130.6460.2220.130.0920.380.N N st st a st a st a st st a st st st I I A A U R I R R R R R R r R R r R R λλλλ==⨯=========⨯=Ω==⨯=Ω==⨯=Ω=-=-=Ω=-=-3322220.1580.6460.380.266st st st r R R =Ω=-=-=Ω2-3 解:取12118.32236.6N I I A ==⨯=式中1I 为最大允许电流,稳态时,负载电流L N I I =,令切换电流2 1.15 1.15L N I I I == 则121.74I I λ== 1lg 3.7lg N a U I R m λ⎛⎫ ⎪⎝⎭== 取m=4.则 1.679λ==,122 1.191.679N N L I I I I I λ===> 4342312(1)0.0790.1330.2230.374st a st st st st st st R R R R R R R R λλλλ=-=Ω==Ω==Ω==Ω、式中,1st R ,2st R ,3st R ,4st R 分别是第一级,第二级,第三级,第四级切除阻值。
电力拖动基础复习题答案1.简答题1、什么是电力拖动?2、为什么说他励直流电动机具有硬特性?2额定速降较小,直线的斜率较小3、画出电力拖动系统的示意图。
34、电力拖动系统由哪几部分组成?5、画出反抗性恒转矩负载的特性。
6、画出位能恒转矩负载的特性,并举例说明。
7、画出通风机负载的负载特性。
8、固有机械特性的条件是什么?9、要改变一台他励电动机的旋转方向都有哪些措施?改变电枢电流方向或者励磁电流方向10、为什么他励直流电动机与串励直流电动机相比,串励直流电动机牵引电机使用时更具有优势?10,串励直流电动机具有软特性11、他励直流电动机电阻起动时,切换电流I2越大越好吗?11为什么?不是,I2越大起动的级数越多,设备越复杂12、他励直流电动机电阻起动时,由一条特性曲线转换到另外一条曲线上,在转换的瞬间,转速,电枢电流都发生什么变化?12转速不变,电枢电流突变13、为什么实际的电力拖动系统通常是一个多轴系统?把多轴系统折算为单轴系统时,哪些量需要进行折算?13工作机构需要的转矩和转速不能够和电动机达到一致,所以需要传动机构,转矩和飞轮矩的折算14、一般要求电动机的机械特性是向下倾斜还是向上翘的?向下15、为什么串励直流电动机不允许过分轻载运行?15转速大大高于额定转速16、他励直流电动机的调速都有哪几种方式?16调压,电枢回路串电阻和削弱磁通17、他励直流电动机的理想空载转速和负载时的转速降各与哪些因素有关17?电压,磁通以及电机常数18、他励直流电动机制动运行分为哪几种方式?19、什么是三相异步电动机的固有机械特性?20、请你说明三相异步电动机能耗制动的工作原理?2021、三相异步电动机调速都有哪几种方法?22、三相绕线转子异步电动机串级调速都有哪些优缺点?23、三相异步电动机定子调压调速都有哪些有缺点?24、三相异步电动机的制动都有哪几种方式?2425、什么是三相异步电动机的回馈(再生)制动?26、对三相异步电动机起动的要求是什么?26起动电流小,起动转巨大27、他励直流电动机电枢串电阻的人为机械特性会有什么特点?28、改变他励直流电动机电源电压时的人为机械特性有什么特点?29、削弱改变他励直流电动机磁场时的人为机械特性有什么特?30、他励直流电动机起动时,起动电流的确定要考虑哪些因素?31、什么是三相绕线转子异步电动机转子串接电阻起动?91逐段切除电阻的转子串电阻的分级起动32、容量较大的他励直流电动机为何不能采取直接起动的方式进行起动?3233、在要求有较大的起动转矩和较小的起动电流的场合,为何采用深槽式和双笼型双笼异步电动?3334、电磁转差离合器都有哪几部分组成?35、三相子异步电动机变极调速都有哪几种方式?352.填空题1、三相子异步电动机的电磁转矩由转子电流和(主磁通)产生的。
电力拖动基础部分课后习题答案1-8某起重机电力拖动系统如图1-13所示。
电动机kW P N 20=,950/min n r =,传动机构转速比13j =,2 3.5j =,34j =,各级齿轮传递效率1230.95ηηη===,各轴的飞轮矩221125GD N m =•,22250GD N m =•,22340GD N m =•,224460GD N m =•,卷筒直径0.5D m =,吊钩重01900G N =,被吊重物49000G N =,忽略电动机空载转矩、钢丝绳重量和滑轮传递的损耗,试求:(1)以速度0.3/v m s =提升重物时,负载(重物及吊钩)转矩、卷筒转速、电动机输出功率及电动机的转速;(2)负载的飞轮矩及折算到电动轴上的系统总飞轮矩; (3)以加速度为20.1/m s 提升重物时,电动机输出的转矩。
解:(1)卷筒速度:'12360600.3n 11.46/min 22 3.140.2511.463 3.54481/min v r R n n j j j r ⨯'===∏⨯⨯==⨯⨯⨯=折算到电机转矩:()039.559.55353.64810.95L G G v FvT N m n η+===*g (另:()()031900490000.25353.43 3.540.95L G G R G R T N m j j ηη++⨯'*====⋅⨯⨯⨯) 电机输出功率:353.448117.895509550L T n P kw ⨯=== (2)负载飞轮矩:()()22202509000.2512725L G DG G R N m =+*=⨯=⋅折算到电机轴总飞轮矩:(3)∵20.1/a m s =∴20.1/dvm s dt= 而6060j 0.142159.622 3.140.25dn dv dt R dt π==⨯⨯=⨯⨯ ∴138.4159.6353.4412375T N m =⨯+=⋅ 1-9某龙门刨床的主传动机构图如图1-14所示。
电力拖动课后习题答案电力拖动课后习题答案电力拖动是现代工业中广泛应用的一项技术,通过电动机将电能转化为机械能,实现各种设备的运动和驱动。
在学习电力拖动的过程中,掌握和理解相关的知识点非常重要。
下面将针对一些常见的电力拖动课后习题进行解答,帮助读者更好地掌握相关知识。
1. 什么是电力拖动?电力拖动是指利用电动机将电能转化为机械能,通过传动装置将机械能传递给被驱动设备,实现设备的运动和驱动的技术。
电力拖动广泛应用于工业生产中的各种设备和机械,如电动机驱动的输送带、机床、风机等。
2. 电动机的分类及其特点有哪些?电动机根据不同的工作原理和结构特点可以分为直流电动机和交流电动机两大类。
直流电动机具有转速可调、起动扭矩大、响应速度快等特点,适用于需要精确控制的场合;而交流电动机结构简单、维护成本低、使用寿命长等特点,适用于大多数工业场合。
3. 什么是电动机的额定功率?电动机的额定功率是指电动机在额定工作条件下所能输出的功率。
额定功率是电动机设计和选型的重要参数,通常以千瓦(kW)为单位表示。
在实际应用中,选择合适的额定功率可以保证电动机的正常运行和长期稳定工作。
4. 什么是电动机的负载特性曲线?电动机的负载特性曲线描述了电动机在不同负载下输出转矩和转速之间的关系。
负载特性曲线通常以转矩-转速曲线的形式表示。
根据负载特性曲线可以判断电动机的性能和工作状态,对于电力拖动系统的设计和控制具有重要意义。
5. 什么是电动机的启动方法?电动机的启动方法是指将电动机从停止状态启动到正常运行状态的过程。
常见的电动机启动方法包括直接启动、星-三角启动、自耦变压器启动等。
不同的启动方法适用于不同功率和负载要求的电动机,选择合适的启动方法可以提高电动机的启动效果和运行稳定性。
6. 什么是电动机的调速方法?电动机的调速方法是指通过改变电动机的输入电压、频率、极数等参数,实现电动机转速的调节。
常见的电动机调速方法包括变频调速、电阻调速、级联调速等。
电力拖动练习题和答案随着科技的不断发展,电力拖动在各个领域得到了广泛应用。
无论是工业生产中的机械设备还是交通运输中的交通工具,电力拖动都能为其提供强大的动力支持。
为了更好地学习和掌握电力拖动的原理和应用,下面将为大家提供一些电力拖动的练习题和答案。
练习题一:电力拖动的基本原理1. 什么是电力拖动?2. 请简要描述电力拖动的基本原理。
3. 电力拖动主要通过哪些方法将电能转换为机械能?练习题二:电机选择与匹配1. 电力拖动中常用的电机有哪些类型?2. 在选择电机时,需要考虑哪些因素?3. 请解释电机与负载的匹配原则。
练习题三:电力拖动控制1. 电力拖动中常用的控制方法有哪些?2. 请解释开环控制和闭环控制的概念,并比较它们的优缺点。
3. 请简要描述PWM调速技术的原理和应用。
练习题四:电力拖动在交通运输中的应用1. 请列举几种常见的电力拖动式交通工具。
2. 电力拖动在交通运输中的优势是什么?3. 请从环保、节能和安全性等方面讨论电力拖动交通工具的发展前景。
练习题五:电力拖动在工业生产中的应用1. 请列举几种常见的电力拖动式工业设备。
2. 电力拖动在工业生产中的优势是什么?3. 请从生产效率、工作环境和维护成本等方面讨论电力拖动工业设备的发展前景。
答案篇练习题一:电力拖动的基本原理1. 电力拖动是指利用电力将电能转换为机械能,以实现物体的运动或驱动工作。
2. 电力拖动的基本原理是通过电机将电能转换为旋转或线性的机械运动,通过传动装置将运动传递给被驱动对象,从而实现工作任务。
3. 电力拖动主要通过电机的转动力和电动机的电力控制,如变频器、起动器等将电能转换为机械能。
练习题二:电机选择与匹配1. 常用的电机类型包括直流电机、交流电机和步进电机。
2. 在选择电机时,需要考虑工作负载、转速要求、功率需求、环境条件等因素。
3. 电机与负载的匹配原则是要保证电机的输出能够满足负载的需求,并且在长时间的运行中能够保持稳定可靠。
电力拖动自动控制系统运动控制(四版)课后习题答案,基本全(总23页)--本页仅作为文档封面,使用时请直接删除即可----内页可以根据需求调整合适字体及大小--习题解答(供参考) 习题二系统的调速范围是1000~100min r ,要求静差率s=2%,那么系统允许的静差转速降是多少 解:10000.02(100.98) 2.04(1)n n sn rpm D s ∆==⨯⨯=-系统允许的静态速降为2.04rpm 。
某一调速系统,在额定负载下,最高转速特性为0max 1500min n r =,最低转速特性为 0min 150min n r =,带额定负载时的速度降落15min N n r ∆=,且在不同转速下额定速降 不变,试问系统能够达到的调速范围有多大系统允许的静差率是多少解:1)调速范围 max min D n n =(均指额定负载情况下)max 0max 1500151485N n n n =-∆=-=min 0min 15015135N n n n =-∆=-=max min 148513511D n n === 2) 静差率 01515010%N s n n =∆==直流电动机为P N =74kW,UN=220V ,I N =378A ,n N =1430r/min ,Ra=Ω。
相控整流器内阻Rrec=Ω。
采用降压调速。
当生产机械要求s=20%时,求系统的调速范围。
如果s=30%时,则系统的调速范围又为多少解:()(2203780.023)14300.1478N N a N Ce U I R n V rpm =-=-⨯= 378(0.0230.022)115N n I R rpm ∆==⨯+= [(1)]14300.2[115(10.2)] 3.1N D n S n s =∆-=⨯⨯-= [(1)]14300.3[115(10.3)] 5.33N D n S n s =∆-=⨯⨯-=某龙门刨床工作台采用V-M 调速系统。
1.交流调速系统按转差功率的处理方式可分为三种类型 (1)转差功率消耗型 (2)转差功率不变型 (3)转差功率馈送型2.双馈调速的概念所谓“双馈”,就是指把绕线转子异步电机的定子绕组与交流电网连接,转子绕组与其他含电动势的电路相连接,使它们可以进行电功率的相互传递。
定子功率和转差功率可以分别向定子和转子馈入,也可以从定子或转子输出(视电机的工况而定),故称作双馈电机。
可认为是在转子绕组回路中附加一个交流电动势。
3基本原理:(e r T I ∝)异步电机运行时其转子相电动势为式中 s — 异步电机的转差率; r0E — 绕线转子异步电机在转子不动时的相电动势,或称转子开路电动势,也就是转子额定相电压值转子相电流的表达式为式中 R r —时的转子绕组每相漏抗。
附加电动势与转子电动势有相同的频率,可同相或反相串接。
r I =1)E add 与 E r 同相 当 E add ↑ 转速上升 2)当E add ↓ 转速下降 同理,反相时若减小串入的反相附加电动势,则可使电动机的转速升高,反之转速降低。
4.异步电机双馈调速的五种工况 (11n ns n -=) 由于转子电动势与电流的频率随转速变化,即 f 2 = s f 1 ,因此必须通过功率变换单元(Power Converter Unit —CU )对不同频率的电功率进行电能变换。
P m —从电机定子传入转子(或由转子传出给定子)的电磁功率; sP m —输入或输出转子电路的功率,即转差功率;(1-s )P m —电机轴上输出或输入的功率。
1)电机在次同步转速下作电动运行 条件:转子侧每相加上与 E r0 同相或反向的附加电动势E add ,并把转子三相回路连通 电动运行 定子侧输入功率,轴上输出机械功率 0 < s < 1 m P 0> m sP 0> m (1s)P 0->r r sE E =r I =1r0add s E E +↑r I →↑e T →↑()n s →↑↓'add0r 2add 0r 1E E s E E s +=+21s s >1r0add s E E +↓r I →↓e T →↓()n s →↓↑'add0r 2add 0r 1E E s E E s +=+12s s <m m m )1(P s sP P -+=2)电机在反转时作倒拉制动运行 条件:轴上带有位能性恒转矩负载(这是进入倒拉制动运行的必要条件),转子回路叠加反向的 E add 。
《电机与拖动基础》课后习题第一章 习题答案1.直流电机有哪些主要部件?各用什么材料制成?起什么作用? 答:主要部件:(1)定子部分:主磁极,换向极,机座,电刷装置。
(2)转子部分:电枢铁心,电枢绕组,换向器。
直流电机的主磁极一般采用电磁铁,包括主极铁心和套在铁心上主极绕组(励磁绕组)主磁极的作用是建立主磁通。
换向极也是由铁心和套在上面的换向绕组构成,作用是用来改善换向。
机座通常采用铸钢件或用钢板卷焊而成,作用两个:一是用来固定主磁极,换向极和端盖,并借助底脚将电机固定在机座上;另一个作用是构成电机磁路的一部分。
电刷装置由电刷、刷握、刷杆、刷杆座和汇流条等组成,作用是把转动的电枢与外电路相连接,并通过与换向器的配合,在电刷两端获得直流电压。
电枢铁心一般用原0.5mm 的涂有绝缘漆的硅钢片冲片叠加而成。
有两个作用,一是作为磁的通路,一是用来嵌放电枢绕组。
电枢绕组是用带有绝缘的圆形或矩形截面的导线绕成的线圈按一定的规律联接而成,作用是感应电动势和通过电流,使电机实现机电能量装换,是直流电机的主要电路部分。
换向器是由许多带有鸠尾的梯形铜片组成的一个圆筒,它和电刷装置配合,在电刷两端获得直流电压。
2.一直流电动机,已知,,,,0.85r/min 1500n V 220U kw 13P N N N ====η求额定电流N I 。
解:电动机η⋅=N N N I U P , 故 A =⨯⨯=⋅=5.6985.02201013U P I 3N N N η3. 一直流电动机,已知,,,,0.89r/min 1450n V 230U kw 90P N N N ====η求额定电流N I 。
解:发电机N N N I U P =, 故 A ⨯==3912301090U P I 3N N N7.什么叫电枢反应?电枢反应的性质与哪些因素有关?一般情况下,发电机的电枢反应性质是什么?对电动机呢?答:负载时电枢磁动势对主磁场的影响称为电枢反应。
一、可以作为填空题或简答题的2-1 简述直流电动机的调速方法。
答:直流调速系统常以(调压调速)为主,必要时辅以(弱磁调速),以(扩大调速范围),实现(额定转速以上调速)。
2-2 直流调压调速主要方案有(G-M 调速系统,V-M 调速系统,直流PWM 调速系统)。
2-3 V-M 调速系统的电流脉动和断续是如何形成的?如何抑制电流脉动?11-12 答:整流器输出电压大于反电动势时,电感储能,电流上升,整流器输出电压小于反电动势时,电感放能,电流下降。
整流器输出电压为脉动电压,时而大于反电动势时而小于,从而导致了电流脉动。
当电感较小或电动机轻载时,电流上升阶段电感储能不够大,从而导致当电流下降时,电感已放能完毕、电流已衰减至零,而下一个相却尚未触发,于是形成电流断续。
2-4 看P14 图简述V-M 调速系统的最大失控时间。
14 答:t1 时刻某一对晶闸管被触发导通,触发延迟角为α1,在t2>t1 时刻,控制电压发生变化,但此时晶闸管已导通,故控制电压的变化对它已不起作用,只有等到下一个自然换向点t3 时刻到来时,控制电压才能将正在承受正电压的另一对晶闸管在触发延迟角α2 后导通。
t3-t2 即为失控时间,最大失控时间即为考虑t2=t1 时的失控时间。
2-5 简述V-M 调速系统存在的问题。
16 答:整流器晶闸管的单向导电性导致的电动机的不可逆行性。
整流器晶闸管对过电压过电流的敏感性导致的电动机的运行不可靠性。
整流器晶闸管基于对其门极的移相触发控制的可控性导致的低功率因数性。
2-6 简述不可逆PWM 变换器(无制动电流通路与有制动电流通路)各个工作状态下的导通器件和电流通路。
17-18 2-7 调速时一般以电动机的(额定转速)作为最高转速。
2-8 (调速范围)和(静差率)合称调速系统的(稳态性能指标)。
2-8 一个调速系统的调速范围,是指(在最低转速时还能满足所需静差率的转速可调范围)。
2-9 简述转速反馈控制的直流调速系统的静特性本质。
电力传动自动控制系统练习题(电力拖动部分)哈尔滨工业大学第1章 电力传动系统基础一、选择题1. 电力拖动系统运动方程式中的GD 2反映了( )。
A 旋转体的重量和直径平方的乘积,它没有任何物理意义B 系统机械惯性的一个整体物理量C 系统储能的大小,它不是一个整体物理量D 以上三种都对2. 恒功率负载的特点是( )。
A 负载转矩与转速的乘积为一常数B 负载转矩与转速成反比变化C 恒功率负载特性是一条双曲线D 以上都对3. 反抗性恒转矩负载特性是位于第( )象限的竖直线。
A 1、2B 1、3C 1、4D 2、44. 位能性恒转矩负载特性是位于第( )象限的竖直线。
A 1、2B 1、3C 1、4D 2、4二、填空题1. 电力拖动系统的电磁转矩和负载转矩分别用L em T T 、表示,当( )时系统处于加速运行状态,当( )时系统处于减速运行状态。
2. 选定电动机转速n 的方向为正,若电磁转矩0>em T ,则em T 的方向与n 的方向( ),若负载转矩0>L T ,则L T 的方向与n 的方向( )。
3. 选定电动机转速n 的方向为正,若电磁转矩0<em T ,则em T 的方向与n 的方向( ),若负载转矩0<L T ,则L T 的方向与n 的方向( )。
4. 生产机械的负载性质基本上可归纳为三大类,它们分别是( )、( )和( )。
5. 反抗性恒转矩负载是指负载转矩的大小恒定不变,其方向与转速的方向( ),其负载转矩特性位于第( )象限。
6. 位能性恒转矩负载是指负载转矩的大小恒定不变,其方向与转速的方向( ),其负载转矩特性位于第( )象限。
7. 电动机的运动方程式为:dt dn GD T T L em 3752=−,式中,GD 2称为旋转系统的( ),dtdn GD 3752称为系统的( )。
三、简答题1. 简述恒转矩负载特性、恒功率负载特性、泵与风机负载特性的特点。
第二章电力拖动系统的动力学
选择以下各题的正确答案。
(1) 电动机经过速比j =5的减速器拖动工作机构, 工作机构的实际转矩为20N·m, 飞轮矩为1N·m,不计传动机构损耗, 折算到电动机轴上的工作机构转矩与飞轮矩依次为。
A. 20N·m,5N·m
B. 4N·m,1N·m
C. 4N·m,·m
D. 4N·m,·m
E. ·m,·m
F. 100N·m,25N·m
(2) 恒速运行的电力拖动系统中, 已知电动机电磁转矩为80N·m,忽略空载转矩, 传动机效率为, 速比为10, 未折算前实际负载转矩应为。
A. 8N·m
B. 64N·m
C. 80N·m
D. 640N·m
E. 800N·m
F. 1000N·m
(3) 电力拖动系统中已知电动机转速为1000r/ min, 工作机构转速为100r/ min, 传动效率为, 工作机构未折算的实际转矩为120N·m, 电动机电磁转矩为20N·m, 忽略电动机空载转矩, 该系统肯定运行于。
( )
A. 加速过程
B. 恒速
C. 减速过程
答 (1) 选择D。
因为转矩折算应根据功率守恒原则。
折算到电动机轴上的工作机构转矩等于工作机构实际转矩除以速比,为4N·m;飞轮矩折算应根据动能守恒原则, 折算到电动机轴上的工作机构飞轮矩等于工作机构实际飞轮矩除以速比的平方, 为·m。
(2) 选择D。
因为电力拖动系统处于恒速运行, 所以电动机轴上的负载转矩与电磁转矩相平衡,为80N·m, 根据功率守恒原则,实际负载转矩为80N·m××10=640N·m
(3) 选择A。
因为工作机构折算到电动机轴上的转矩为120N·m /×100(r/ min)/1000(r/ min)=40/3N·m小于电动机电磁转矩,故电力拖动系统处于加速运行过程。
电动机拖动金属切削机床切削金属时, 传动机构的损耗由电动机负担还是由负载负担?
答电动机拖动金属切削机床切削金属时, 传动机构的损耗由电动机负担,传动机构损耗转矩ΔT与切削转矩对电动机来讲是同一方向的, 恒速时, 电动机输出转矩T2 应等于它们二者之和。
起重机提升重物与下放重物时, 传动机构损耗由电动机负担还是由重物负担?提升或下放同一重物时,传动机构损耗的转矩一样大吗?传动机构的效率一样高吗?
答起重机提升重物时, 传动机构损耗转矩ΔT由电动机负担;下放重物时,由于系统各轴转向相反, 性质为摩擦转矩的ΔT方向改变了,而电动机电磁转矩T及重物形成的负载转矩方向都没变,因此ΔT由重物负担。
提升或下放同一重物时,可以认为传动机构损耗转矩的大小ΔT是相等的。
若把损耗ΔT的作用用效率来表示,提升重物时为η, 下放重物时为η′, 由于提升重物与下放重物时ΔT分别由电动机和负载负担, 因此使η≠η′, 二者之间的关系为η′=2-1/η。
表所列生产机械在电动机拖动下稳定运行时的部分数据,根据表中所给数据, 忽电动机的空载转矩, 计算表内未知数据并填入表中。
如图所示,已知切削力F=2000N,工件的直径d=150mm,电动机转速n=1450r/min,减速箱的三级速比j1 =2,j2 =,j3 =2, 各转轴的飞轮矩为GDa =·m(指电动机轴), GDb =2N·m, GDc =·m, GDd =9N·m, 各级传动效率都是η=, 求:
(1) 切削功率;(2) 电动机输出功率;(3) 系统总飞轮矩;(4) 忽略电动机空载转矩时, 电动机电磁转矩;(5) 车床开车但未切削时,若电动机加速度dn/dt=800r/ (min·s),忽略电动机空载转矩但不忽略传动机构的转矩损耗, 求电动机电磁转矩
解 (1) 切削功率。
切削负载转矩Tf = F·d/2= 2000×2= 150N·m
负载转速nf =n/j1j2j3=1450/(2××2)= min
切削功率Pf =2π/60×nf Tf =2π/60××150 = 3797W 第三章直流电机原理
第四章他励直流电机的运行
第七章异步电机原理
第八章三相异步电机的启动与制动第十一章电机的选择
(有一两个没有弄上的自己补上)。