alevel 数学考试真题 艾德思9709_s02_qp_1
- 格式:pdf
- 大小:56.61 KB
- 文档页数:8
Examiners’ Report/Principal Examiner Feedback January 2015Pearson EdexcelInternational Advanced Level (IAL) Economics (WEC02) Unit 2Edexcel and BTEC QualificationsEdexcel and BTEC qualifications are awarded by Pearson, the UK’s largest awarding body. We provide a wide range of qualifications including academic, vocational, occupational and specific programmes for employers. For further information visit our qualifications websites at or . Alternatively, you can get in touch with us using the details on our contact us page at /contactus.Pearson: helping people progress, everywherePearson aspires to be the world’s leading learning company. Our aim is to help everyone progress in their lives through education. We believe in every kind of learning, for all kinds of people, wherever they are in the world. We’ve been involved in education for over 150 years, and by working across 70 countries, in 100 languages, we have built an international reputation for our commitment to high standards and raising achievement through innovation in education. Find out more about how we can help you and your students at: /ukJanuary 2015Publications Code IA040506All the material in this publication is copyright© Pearson Education Ltd 2015IntroductionAround 70% of candidates attempted Q10 rather than Q9. This was surprising as we thought that the context for Q9 would appear attractive to candidates and, with a focus upon the construction industry, provide a clear opportunity to achieve application marks for the use of case study references.As in the January and June 2014 reports, more work is required on the interpetation of charts, graphs and numerical data.Distinguishing between GDP and GDP gowth showed some very common misunderstandings. Again, as in the January and June 2014 reports, candidates need to learn pecise definitions and have more experience interpreting macroeconomic data.For supported multiple choice questions, simply repeating the stem of the question or simply rejecting by saying cannot be A because it is B is not going to achieve a mark. A rejection mark must be explained.The use of data and context is very important in Section B. In some cases candidates were completing purelygeneric responses, making no rerefence to the data and therefore not really ansering the question. Their knowledge, application and analysis marks were often limited as a result.Diagrams must be drawn correctly for full credit. There were numerous examples of either partiallydrawn AD/AS diagams or incorrectly labelled dagrams. It is important that candidates practice drawing diagrams and labelling them correctly.Candidates must understand the difference between SRAS and LRAS and this is represented in their diagrams. There were some excellent responses where candidates referrred to the effects of investment upon AD and LRAS. This demonstrated good engagement with the issues surrounding high and low levels of investment in bith Q9 and Q10.Question 1This question was generally not well answered with a very low mean mark and a mode of 0.It was surprising how many candidates failed to notice that the question was about GDP growth and not GDP (there are no total GDP figures in the stem of the question or the data table). Many candidates selected Option B for the Part A. This showed that either the candidate did not understand the difference between DP and GDP growth or else had misread the question.Candidates were rewarded for defining GDP growth or economic growth, although many defined GDP and failed to achieve marks.Remember that candidates can achieve 3 marks for the explanation even if they get Part A incorrect; rejection marks are available even if part A is wrong so candidates shold be encouraged to explain why at least one of the distractors is not correct.Question 2There were some very good responses to this question with a mean of 3 and mode of 4 marks. Accurate diagrams were awarded 2 marks along with precise definitions to achieve 3 marks for Part B. Many candidates accurately defined inflation for which they were awarded a mark.The rejection points had to be explained/developed to some extent to be rewarded with a mark. There were many examples of candidates simply offering the unsupported assertion that currency depreciation will increase AD without explaining why or that lower interest rates will create inflationary pressures with no explanation.Question 3Many candidates performed well on this question with a mean of 2 and a mode of 3, most achieving full marks for Part A and then going on to define macroeconomic policy objectives, with relevant examples (including economic growth and environmental sustainability). They then went on to analyse the clash, or trade off, between economic growth and environmental damage. Some tried to explain the clash in terms of the local farmers losing their jobs (increasing unemployment). This was not in the mark scheme as the mine would create employment. The focus of the question was upon economic growth versus environmental degradation.This question was not answered as well, wth a mean and mode of 2 marks. Manycandidates are getting Part A correct and clearly understood the nature of capital investment and the relationship to productivity, AD and LRAS. However, manyfailed to note that investment as a % of GDP in Greece was falling. They talked about investment as a component of AD but did not refer to the impact of falling investment. They were not therefore awarded analysis marks for their response.There were a few examples where candidates provided a diagram – this was acceptable and was rewarded for showing inward shift of AD or of LRAS. Some candidates provide diagrams but showed increasing investment which was not the case in this question.Question 5This was generally well answered with a mean of 3 and a mode of 4. A large number of candidates got part A correct. Many annotated the diagram correctly (a few created their own diagram) and then showed an understanding of commodities and the likely impact upon production costs (and impact upon SRAS). Some candidates who got Part A incorrect were still able to achieve a mark for Part B by associating commodities with (falling) production costs. Not many candidates seemed to attempt to cover the rejection marks which is always a risky strategy in terms of examination tecnique.It was pleasing to see that centres had apparently taken the advice from the January and June 2014 reports and learned about the impact of commodity prices upon the macroeconomy.Question 6There were many reasonable responses to this question, with a mean of 2 and a mode of 3 marks. Many candidates were able to either define the multiplier (using the correct formula) and/or complete the calculation, achieving 2 marks for Part B. They were less successful in explaining the multiplier, with some vague and confusing explanations. In order to achieve explanation marks it had to be clear that the candidate understand the process and did not just assert that “investment increases AD”.Question 7This was quite well answered with a mean of 2 and a mode of 3 marks. There were some attempts to introduce micro analysis, increasing labour supply reducing costs for firms. Many candidates mentioned an increase in the size of labour force and were rewarded but very few linked this to potential output. Even fewer qualified the impact upon LRAS in terms of labour productivity, skills etc and so analysis marks were quite rarely awarded.Question 8This was generally well done with a mean of 3 and a mode of 4 marks. Candidates who provided a correct diagram achieved full marks. We were looking for a movement along the SRAS curve; many candidates simply labelled the curve as AS. If the diagram was not fully labelled then relatively easy marks were lost. Where there was no explanation of the mechanism (and no diagram) no application or analysis marks were awarded.Most candidates attempted Q10 rather than Q9 for Section B.As in January and June 2014, there were many formulaic answers which failed toapply knowledge to the data/economies in question. Also, there was again some confusion between the “causes” and the “effects” of policies or changes ineconomic variables.Question 9aThis was generally well answered with a mean of 2 and a mode of 3.Many candidates provided reasonable definition of ILO unemployment achieving 1 or 2 marks and with one data reference, usually the percentage change, thus achieving 3 marks . There were very few examples of candidates who went further, to suggest that the rising unemployment may have been due to the collapse of construction industry.Question 9bThe general standard of responses to this question was disappointing, given the clear extracts and data, with a mean of 5 and a mode of 6 marks. We were looking for the use of data to discuss the boom and bust in the construction sector and its impact upon the Spanish economy. Many candidates used the data but did not really develop their analysis or offer much evaluation in terms of the macroeconomic impact. There were some purely generic responses discussing increases in AD with no reference to the Spanish context which could not achieve more that 6 marks for knowledge, application and analysis (KAA).Question 9cThe mean and mode for this qustion was a low 4 marks. There were no marks here for defining unemployment, as these marks are awarded in Q9a. Candidates need to understand that repeated definitions are unlikely to be double marked. Data references were required to lift KAA marks above 4. Again, generic responses can only achieve Level 1KAA. For evaluation marks there had to be an awareness of the potential positive effects f unemployment upon inflation, wages or international competitiveness.Question 9dThere was a mean of 3 and a mode of 4 marks for this question. We were looking for candidates to use the terms surplus and deficit accurately and relate them to the specific data. Then explain the relationship in each case (or implicitly through a logical explanation of deficit). There had to be an explanation of the relationship between unemployment and budget balance for more than 3 marks. Candidates who simply identified a surplus turning into a deficit (without data references), while unemployment increases, failed to explain the relationship. The explanation also needed to be in context for more than 1 mark to be awarded for each relationship. Candidates who just identified 1 relationship (EG high unemployment and budget deficit) could only achieve 3 marks. We were looking for an explanation of the surplus and the deficit for 6 marks.There was a mean of 5 and a mode of 8 marks for this question. Most candidatesreferred to the case study, commenting upon reduced spending and higher taxation. Most completed a correct diagram for up to 4 marks. The use ofcontext then allowed them to access above 6 marks for KAA. The evaluation content in the responses tended to be thin and this restricted access to the higher evaluation marks.Question 10aThis was intended to be a relatively straightforward question targeting basic learning while providing the opportunity for some candidates to demonstrate a more sophisticated understanding of the measure. It was generally answered very well with a mean of 3 and a mode of 4 marks. The main reason for marks being lost was missing elements such as weighting or indexing against a base year.Question 10bThere was a mean a mode of 4 marks for this question.Many responses this question were rather generic. References to the data and/or the UK economy were required to lift the response above 4 marks for KAA. The data emphasised the extent to which inflation is “imported” (cos t-push) as a result of sterling depreciation, however candidates who commented upon the increased demand for UK exports were rewarded. In general, candidates who provided a relevant diagram tended to produce a more focused, coherent response.Question 10cThis question was not well answered, although it was a fairly standard macroeconomic question. There was a low mean of 5 and a mode of just 4 marks. Many candidates failed to use the data effectively and were therefore unable to access above 6 marks for KAA. As in previous series, some confused cause with effect and did not really answer the question.Question 10dThis question was generally answered well, with good definitions, data references and the candidates’ own examples. Many candidates demonstrated a pleasing understanding of the concept of LRAS and full employment, as well as linking to improvements in productivity and efficiency. There was a mean and a mode of 3 marks for this question.Question 10eThere was a mean of 6 and a mode of 7 marks for this question. A diagram was and data references were required to achieve above 6 marks for KAA. There were many generic responses without data references; there were clear references in the data (Extract 2) to low levels of investment in UK economy. Thus candidates who simply discuss the impact of increased investment were not answering in context. The question was about low levels of investment in the UK and the short and long term impact of this. It was not simply a question about investment as a component of AD.Based on their performance on this paper, candidates are offered the following advice:∙Remember to look out for questions that ask you to evaluate your answer.In such questions, try to apply your evaluation to the specific analyticalpoint that you havejust made. For example, rather than a throwawaycomment at the end of a paragraph that "it depends on the elasticity ofthe AS curve" etc., explain what depends on this, why and how this affects your initial argument. Expanding on your evaluative points in this way will help you to achieve higher level evaluation marks.∙Watch your timing throughout the exam, and try to incorporate some time for planning your answers to the longer questions.∙Diagram must be correct to be awarded full marks. Labels for diagrams must show:∙Y-axis: Price Level / CPI (Price on its own is incorrect)∙X-axis: Real output∙SRAS and/or LRAS curves labelled∙AD curve labelled∙Shifted curves labelled correctly∙Changes in price level and real output labelled correctlyGrade BoundariesGrade boundaries for this, and all other papers, can be found on the website on this link:/iwantto/Pages/grade-boundaries.aspxPearson Education Limited. Registered company number 872828 with its registered office at Edinburgh Gate, Harlow, Essex CM20 2JE。
A E A S数学考试真题 Prepared on 24 November 2020AEAS考试真题1. What will it cost to carpet a room with indoor/outdoor carpet if the room is 10 feet wide and 12 feet long The carpet costs per square yard.A. $B. $C. $D. $E. $2. If the perimeter of a rectangular house is 44 yards, and the length is 36 feet, what is the width of the houseA. 10 yardsB. 18 yardsC. 28 feetD. 32 feetE. 36 yards3. What is the volume of the following cylinderA.B.C.D.E.4. What is the volume of a cube whose width is 5 inchesA. 15 cubic inchesB. 25 cubic inchesC. 64 cubic inchesD. 100 cubic inchesE. 125 cubic inches5. Sally has three pieces of material. The first piece is 1 yd. 2 ft. 6 in. long, the second piece is 2 yd. 1 ft. 5 in long, and the third piece is 4 yd. long. How much material does Sally haveA. 7 yd. 1 ft. 8 in.B. 8 yd. 4 ft. 4 in.C. 8 yd. 11 in.D. 9 yd. 7 in.E. 10 yd.6. A can′s diameter is 3 inches, and its height is 8 inches. What is the volume of the canA.B.C.D.E.7. If the area of a square flowerbed is 16 square feet, then how many feet is the perimeter of the flowerbedA. 4B. 12C. 16D. 20E. 248. Of the following units which would be more likely used to measure the amount of water in a bathtubA. kilogramsB. litersC. millilitersD. centigramsE. volts9. If a match box is feet long, what is its length in inches the most closely comparable to the followingA. 5 1/16 inch highlighterB. 3 1/8 inch jewelry boxC. 2 3/4 inch lipstickD. 2 3/16 inch staple removerE. 4 1/2 inch calculator10. What is the cost in dollars to steam clean a room W yards wide and L yards long it the steam cleaners charge 10 cents per square footA.B.C.D. 9WLE. 3WLKEYS:1. (A) 2. (A) 3. (B) 4. (E) 5. (D) 6. (B) 7. (C) 8. (B) 9. (D) 10. (A)1. How many cubed pieces of fudge that are 3 inches on an edge can be packed into a Christmas tin that is 9 inches deep by 12 inches wide by 8 inches high with the lid still being able to be closedA. 18B. 24C. 32D. 36E. 432. Sarah is twice as old as her youngest brother. If the difference between their ages is 15 years. How old is her youngest brotherA. 10B. 15C. 20D. 25E. 303. Which of the following fractions is equal to 5/6A. 20/30B. 15/24C. 25/30D. 40/54E. 2/74. What will it cost to tile a kitchen floor that is 12 feet wide by 20feet long if the tile cost $ per square yardA. $B. $D. $E. $5. In a writing competition, the first place winner receives 1/2 of the prize money. The second runner up receives 1/2 of what the winner won. What was the total amount of prize money distributed if the winner receives $6,000A. $6,000B. $8,500C. $12,000D. $15,000E. $18,5006. You are lying 120 ft away from a tree that is 50 feet tall. You look up at the top of the tree. Approximately how far is your hear from the top of the tree in a straight lineA. 50 feetB. 75 feetC. 120 feetD. 130 feetE. 150 feet7. A cyclist bikes x distance at 10 miles per hour and returns over the same path at 8 miles pe r hour. What is the cyclist’s average rate for the round trip in miles per hourA.B.C.D.8. If edging cost $ per 12-inch stone, and you want a double layer of edging around your flower bed that is 6 yards by 1 yard. How much will edging you flower bed costA. $B. $C. $D. $E. $9. If 3x=6x-15 then x + 8=A. 5B. 10C. 11D. 12E. 1310. The number of milliliters in 1 liter isA. 10,000B. 1,000C.D.E.Answer Key1. (B)2. (B)3. (C)4. (B)5. (C)6. (D)7. (D)8. (E)9. (E) 10. (B)。
Examiner’s use only Team Leader’s use onlyTurn overThis publication may be reproduced only in accordance withPearson Education Ltd copyright policy.©2013 Pearson Education Ltd. Printer’s Log. No. P41479AW850/R6679/57570 5/5/5/5/*P41479A0128*Paper Reference(s)6679/01Edexcel GCEMechanics M3Advanced/Advanced SubsidiaryMonday 28 January 2013 – MorningTime: 1 hour 30 minutes Materials required for examinationItems included with question papers Mathematical Formulae (Pink) Nil Candidates may use any calculator allowed by the regulations of the Joint Council for Qualifications. Calculators must not have the facility for symbolicalgebra manipulation or symbolic differentiation/integration, or haveretrievable mathematical formulae stored in them.Instructions to CandidatesIn the boxes above, write your centre number, candidate number, your surname, initials and signature. Check that you have the correct question paper.Answer ALL the questions.You must write your answer to each question in the space following the question.Whenever a numerical value of g is required, take g = 9.8 m s –2.When a calculator is used, the answer should be given to an appropriate degree of rmation for Candidates A booklet ‘Mathematical Formulae and Statistical Tables’ is provided.Full marks may be obtained for answers to ALL questions.The marks for individual questions and the parts of questions are shown in round brackets: e.g. (2).There are 7 questions in this question paper. The total mark for this paper is 75.There are 28 pages in this question paper. Any blank pages are indicated.Advice to Candidates You must ensure that your answers to parts of questions are clearly labelled.You should show sufficient working to make your methods clear to the Examiner.Answers without working may not gain full credit.2*P41479A0228*3*P41479A0328*Turn overQuestion 1 continued______________________________________________________________________________________________________________________________________________________________________________________________________________________________________________________________________________________________________________________________________________________________________________________________________________________________________________________________________________________________________________________________________________________________________________________________________________________________________________________________________________________________________________________________________________________________________________________________________________________________________________________________________________________________________________________________________________________________________________________________________________________________________________________________________________________________________________________________________________________________________________________________________________________________________________________________________________________________________________________________________________________________________________________________________________________________________________________________________________________________________________________________________________________________________________________________________________________________________________________________________________________________________________________________________________________________________________________________________________________________________________________________________________________________________________________________________________________________________________________________________________________________________________________________________________________________________________________________________________________________________________________________________________________________________________________________________________________________________________________________________________________________________________________________________________________________________________________________________________________________________________________________________________________________________________________________________________________________________________________Q1(Total 4 marks)4*P41479A0428*5*P41479A0528*Turn over_________________________________________________________________________________________________________________________________________________________________________________________________________________________________________________________________________________________________________________________________________________________________________________________________________________________________________________________________________________________________________________________________________________________________________________________________________________________________________________________________________________________________________________________________________________________________________________________________________________________________________________________________________________________________________________________________________________________________________________________________________________________________________________________________________________________________________________________________________________________________________________________________________________________________________________________________________________________________________________________________________________________________________________________________________________________________________________________________________________________________________________________________________________________________________________________________________________________________________________________________________________________________________________________________________________________________________________________________________________________________________________________________________________________________________________________________________________________________________________________________________________________________________________________________________________________________________________________________________________________________________________________________________________________________________________________________________________________________________________________________________________________________________________________________________________________________________________________________________________________________________________________________________________________________________________________________________________________________________________________________________________________________________________________________ ___________________________________________________________________________ ___________________________________________________________________________ ___________________________________________________________________________ ___________________________________________________________________________ ___________________________________________________________________________ ___________________________________________________________________________ ___________________________________________________________________________ ___________________________________________________________________________ ___________________________________________________________________________ ___________________________________________________________________________ ___________________________________________________________________________ ___________________________________________________________________________ ___________________________________________________________________________ ___________________________________________________________________________ ___________________________________________________________________________ ___________________________________________________________________________ ___________________________________________________________________________ ___________________________________________________________________________ ___________________________________________________________________________ ___________________________________________________________________________ ___________________________________________________________________________ ___________________________________________________________________________ ___________________________________________________________________________ ___________________________________________________________________________ ___________________________________________________________________________ ___________________________________________________________________________ ___________________________________________________________________________ ___________________________________________________________________________ ___________________________________________________________________________ ___________________________________________________________________________ ___________________________________________________________________________ ___________________________________________________________________________ ___________________________________________________________________________6*P41479A0628*7*P41479A0728*Turn over___________________________________________________________________________________________________________________________________________________________________________________________________________________________________________________________________________________________________________________________________________________________________________________________________________________________________________________________________________________________________________________________________________________________________________________________________________________________________________________________________________________________________________________________________________________________________________________________________________________________________________________________________________________________________________________________________________________________________________________________________________________________________________________________________________________________________________________________________________________________________________________________________________________________________________________________________________________________________________________________________________________________________________________________________________________________________________________________________________________________________________________________________________________________________________________________________________________________________________________________________________________________________________________________________________________________________________________________________________________________________________________________________________________________________________________________________________________________________________________________________________________________________________________________________________________________________________________________________________________________________________________________________________________________________________________________________________________________________________________________________________________________________________________________________________________________________________________________________________________________________________________________________________________________________________Q2(Total 9 marks)8*P41479A0828*3. A particle P of mass 0.6 kg is moving along the x -axis in the positive direction. At timet = 0, P passes through the origin O with speed 15 m s –1. At time t seconds the distance OP is x metres, the speed of P is v m s –1 and the resultant force acting on P has magnitude 1222tnewtons. The resultant force is directed towards O . (a) Show that v t5421.(5) (b) Find the value of x when t = 5(5)_________________________________________________________________________________________________________________________________________________________________________________________________________________________________________________________________________________________________________________________________________________________________________________________________________________________________________________________________________________________________________________________________________________________________________________________________________________________________________________________________________________________________________________________________________________________________________________________________________________________________________________________________________________________________________________________________________________________________________________________________________________________________________________________________________________________________________________________________________________________________________________________________________________________________________________________________________________________________________________________________________________________________________________________________________________________________________________________________________________________________________________________________________________________________________________________________________________________________________________________________________________________________________________________________________________________________________________________________________________________________________________________________________________________________________________________________________________________________________________________________________________________________________________________________________________________________________9*P41479A0928*Turn over_________________________________________________________________________________________________________________________________________________________________________________________________________________________________________________________________________________________________________________________________________________________________________________________________________________________________________________________________________________________________________________________________________________________________________________________________________________________________________________________________________________________________________________________________________________________________________________________________________________________________________________________________________________________________________________________________________________________________________________________________________________________________________________________________________________________________________________________________________________________________________________________________________________________________________________________________________________________________________________________________________________________________________________________________________________________________________________________________________________________________________________________________________________________________________________________________________________________________________________________________________________________________________________________________________________________________________________________________________________________________________________________________________________________________________________________________________________________________________________________________________________________________________________________________________________________________________________________________________________________________________________________________________________________________________________________________________________________________________________________________________________________________________________________________________________________________________________________________________________________________________________________________________________________________________________________________________________________________________________________________________________________________________________________________ ___________________________________________________________________________ ___________________________________________________________________________ ___________________________________________________________________________ ___________________________________________________________________________ ___________________________________________________________________________ ___________________________________________________________________________ ___________________________________________________________________________ ___________________________________________________________________________ ___________________________________________________________________________ ___________________________________________________________________________ ___________________________________________________________________________ ___________________________________________________________________________ ___________________________________________________________________________ ___________________________________________________________________________ ___________________________________________________________________________ ___________________________________________________________________________ ___________________________________________________________________________ ___________________________________________________________________________ ___________________________________________________________________________ ___________________________________________________________________________ ___________________________________________________________________________ ___________________________________________________________________________ ___________________________________________________________________________ ___________________________________________________________________________ ___________________________________________________________________________ ___________________________________________________________________________ ___________________________________________________________________________ ___________________________________________________________________________ ___________________________________________________________________________ ___________________________________________________________________________ ___________________________________________________________________________ ___________________________________________________________________________ ___________________________________________________________________________10*P41479A01028*Question 3 continued______________________________________________________________________________________________________________________________________________________________________________________________________________________________________________________________________________________________________________________________________________________________________________________________________________________________________________________________________________________________________________________________________________________________________________________________________________________________________________________________________________________________________________________________________________________________________________________________________________________________________________________________________________________________________________________________________________________________________________________________________________________________________________________________________________________________________________________________________________________________________________________________________________________________________________________________________________________________________________________________________________________________________________________________________________________________________________________________________________________________________________________________________________________________________________________________________________________________________________________________________________________________________________________________________________________________________________________________________________________________________________________________________________________________________________________________________________________________________________________________________________________________________________________________________________________________________________________________________________________________________________________________________________________________________________________________________________________________________________________________________________________________________________________________________________________________________________________________________________________________________________________________________________________________________________________________________________________________________________________Q3___________________________________________________________________________ ___________________________________________________________________________ ___________________________________________________________________________ ___________________________________________________________________________ ___________________________________________________________________________ ___________________________________________________________________________ ___________________________________________________________________________ ___________________________________________________________________________ ___________________________________________________________________________ ___________________________________________________________________________ ___________________________________________________________________________ ___________________________________________________________________________ ___________________________________________________________________________ ___________________________________________________________________________ ___________________________________________________________________________ ___________________________________________________________________________ ___________________________________________________________________________ ___________________________________________________________________________ ___________________________________________________________________________ ___________________________________________________________________________ ___________________________________________________________________________ ___________________________________________________________________________ ___________________________________________________________________________ ___________________________________________________________________________ ___________________________________________________________________________ ___________________________________________________________________________ ___________________________________________________________________________ ___________________________________________________________________________ ___________________________________________________________________________ ___________________________________________________________________________ ___________________________________________________________________________ ___________________________________________________________________________ ______________________________________________________________________________________________________________________________________________________ ___________________________________________________________________________ ___________________________________________________________________________ ___________________________________________________________________________ ___________________________________________________________________________ ___________________________________________________________________________ ___________________________________________________________________________ ___________________________________________________________________________ ___________________________________________________________________________ ___________________________________________________________________________ ___________________________________________________________________________ ___________________________________________________________________________ ___________________________________________________________________________ ___________________________________________________________________________ ___________________________________________________________________________ ___________________________________________________________________________ ___________________________________________________________________________ ___________________________________________________________________________ ___________________________________________________________________________ ___________________________________________________________________________ ___________________________________________________________________________ ___________________________________________________________________________ ___________________________________________________________________________ ___________________________________________________________________________ ___________________________________________________________________________ ___________________________________________________________________________ ___________________________________________________________________________ ___________________________________________________________________________ ___________________________________________________________________________ ___________________________________________________________________________ ___________________________________________________________________________ ___________________________________________________________________________ ______________________________________________________________________________________________________________________________________________________________________________________________________________________________________________________________________________________________________________________________________________________________________________________________________________________________________________________________________________________________________________________________________________________________________________________________________________________________________________________________________________________________________________________________________________________________________________________________________________________________________________________________________________________________________________________________________________________________________________________________________________________________________________________________________________________________________________________________________________________________________________________________________________________________________________________________________________________________________________________________________________________________________________________________________________________________________________________________________________________________________________________________________________________________________________________________________________________________________________________________________________________________________________________________________________________________________________________________________________________________________________________________________________________________________________________________________________________________________________________________________________________________________________________________________________________________________________________________________________________________________________________________________________________________________________________________________________________________________________________________________________________________________________________________________________________________________________________________________________________________________________________________________________________________________________________________________________________________________________________Q4。
AEAS考试真题1. What will it cost to carpet a room with indoor/outdoor carpet if the room is 10 feet wide and 12 feet long? The carpet costs 12.51 per square yard.A. $166.80B. $175.90C. $184.30D. $189.90E. $192.202. If the perimeter of a rectangular house is 44 yards, and the length is 36 feet, what is the width of the house?A. 10 yardsB. 18 yardsC. 28 feetD. 32 feetE. 36 yards3. What is the volume of the following cylinder?A. 210.91B. 226.20C. 75.36D. 904.32E. 28.264. What is the volume of a cube whose width is 5 inches?A. 15 cubic inchesB. 25 cubic inchesC. 64 cubic inchesD. 100 cubic inchesE. 125 cubic inches5. Sally has three pieces of material. The first piece is 1 yd. 2 ft.6 in. long, the second piece is 2 yd. 1 ft. 5 in long, and the third piece is 4 yd. 2ft.8in long. How much material does Sally have?A. 7 yd. 1 ft. 8 in.B. 8 yd. 4 ft. 4 in.C. 8 yd. 11 in.D. 9 yd. 7 in.E. 10 yd.6. A can´s diameter is 3 inches, and its height is 8 inches. What is the volume of the can?A. 50.30B. 56.55C. 75.68D. 113.04E. 226.087. If the area of a square flowerbed is 16 square feet, then how many feet is the perimeter of the flowerbed?A. 4B. 12C. 16D. 20E. 248. Of the following units which would be more likely used to measure the amount of water in a bathtub?A. kilogramsB. litersC. millilitersD. centigramsE. volts9. If a match box is 0.17 feet long, what is its length in inches the most closely comparable to the following?A. 5 1/16 inch highlighterB. 3 1/8 inch jewelry boxC. 2 3/4 inch lipstickD. 2 3/16 inch staple removerE. 4 1/2 inch calculator10. What is the cost in dollars to steam clean a room W yards wide and L yards long it the steam cleaners charge 10 cents per square foot?A. 0.9WLB. 0.3WLC. 0.1WLD. 9WLE. 3WLKEYS:1. (A) 2. (A) 3. (B) 4. (E) 5. (D) 6. (B) 7. (C) 8. (B) 9. (D) 10. (A)1. How many cubed pieces of fudge that are 3 inches on an edge can be packed into a Christmas tin that is 9 inches deep by 12 inches wide by 8 inches high with the lid still being able to be closed?A. 18B. 24C. 32D. 36E. 432. Sarah is twice as old as her youngest brother. If the difference between their ages is 15 years. How old is her youngest brother?A. 10B. 15C. 20D. 25E. 303. Which of the following fractions is equal to 5/6?A. 20/30B. 15/24C. 25/30D. 40/54E. 2/74. What will it cost to tile a kitchen floor that is 12 feet wide by 20 feet long if the tile cost $8.91 per square yard?A. $224.51B. $237.60C. $246.55D. $271.38E. $282.325. In a writing competition, the first place winner receives 1/2 of the prize money. The second runner up receives 1/2 of what the winner won. What was the total amount of prize money distributed if the winner receives $6,000?A. $6,000B. $8,500C. $12,000D. $15,000E. $18,5006. You are lying 120 ft away from a tree that is 50 feet tall. You look up at the top of the tree. Approximately how far is your hear from the top of the tree in a straight line?A. 50 feetB. 75 feetC. 120 feetD. 130 feetE. 150 feet7. A cyclist bikes x distance at 10 miles per hour and returns over the same path at 8 miles per hour. What is the cyclist’s average rate for the round trip in miles per hour?A. 8.1B. 8.3C. 8.6D. 8.9E. 9.08. If edging cost $2.32 per 12-inch stone, and you want a double layer of edging around your flower bed that is 6 yards by 1 yard. How much will edging you flower bed cost?A. $32.48B. $64.96C. $97.44D. $129.92E. $194.889. If 3x=6x-15 then x + 8=A. 5B. 10C. 11D. 12E. 1310. The number of milliliters in 1 liter isA. 10,000B. 1,000C. 0.1D. 0.01E. 0.001Answer Key1. (B)2. (B)3. (C)4. (B)5. (C)6. (D)7. (D)8. (E)9. (E) 10. (B)。
解析:这道题目最本质的考点是:syntheticdivision(综合除法)。
但是对于考生而言,首先要理解的关键数学术语是zero,零点。
什么是零点呢?零点是使得方程的因变量(dependent variable, 即f(x))等于0 (即:图像与x轴相交)的x的值。
以下给出这个方程的图像,从中我们要找出蓝色的曲线和X轴(横轴)相交的三个点的x坐标值。
就本题而言,既然题目说-1是一个零点,那么就将x=-1带入方程,会发现f(x)确实等于0.那么,另外的使方程等于0的x的值应该怎么求得呢?方法1:画图求解,(考场上实际操作可能性为0)。
如上图所示,三个让方程与横轴相交的点的x值分别为-3.5,-1,3。
所以,-1给出来的情况下,另外两个点应该选择C。
但是,考场上根本不可能有时间和工具供我们画图,因此这个方法不是实际操作可行的方法,不予考虑。
方法2:代入法既然是选择题,就可以用带入法求解。
带入法求解的时候,要遵循以下两个原则:(1)带入常见的数值来检验是否正确;(2)在常见数值中带入易于计算的数值来看是否正确。
按照这两个原则,在5个选项中首先带入1来运算,因为好计算,还因为出现了3次。
当x=1时候,f(x)=-36,显然不是0,因此有1的ADE都不是答案。
下一步,在剩下的BC两个选项中,要检验的是-3,因为两项都有3,说明3一定是答案,而-3和-7/2中,-3更方便于计算,于是决定用-3来检验。
当x=-3时候,f(x)=12,显然不是0,因此答案不是B而是C.由此可见,代入法是一个smart strategy,是带有一点小聪明的策略。
在代入法的过程中耗时的长短体现了考生的判断和逻辑分析。
但是,即使可以凭借这种方法选择答案,这也不。
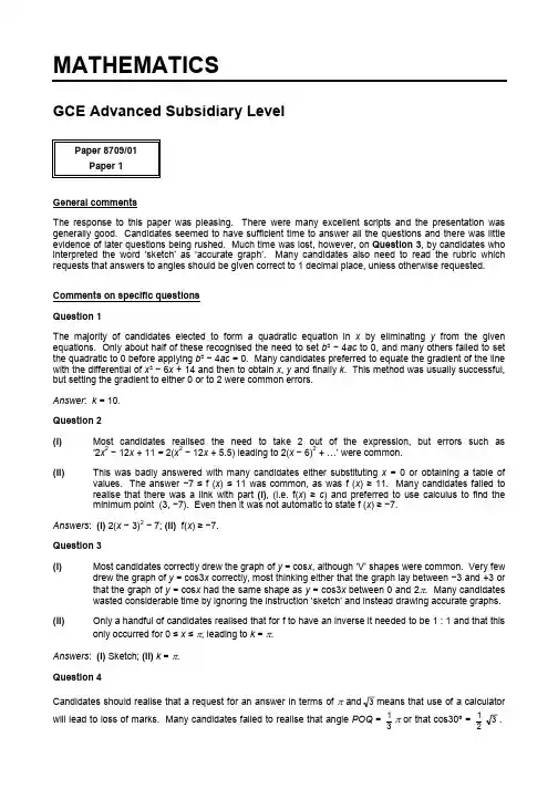
MATHEMATICSGCE Advanced Subsidiary Level Paper 8709/01Paper 1General commentsThe response to this paper was pleasing. There were many excellent scripts and the presentation was generally good. Candidates seemed to have sufficient time to answer all the questions and there was little evidence of later questions being rushed. Much time was lost, however, on Question 3, by candidates who interpreted the word ‘sketch’ as ‘accurate graph’. Many candidates also need to read the rubric which requests that answers to angles should be given correct to 1 decimal place, unless otherwise ments on specific questionsQuestion 1The majority of candidates elected to form a quadratic equation in x by eliminating y from the given equations. Only about half of these recognised the need to set b ² − 4ac to 0, and many others failed to set the quadratic to 0 before applying b ² − 4ac = 0. Many candidates preferred to equate the gradient of the line with the differential of x ² − 6x + 14 and then to obtain x , y and finally k . This method was usually successful,but setting the gradient to either 0 or to 2 were common errors.Answer : k = 10.Question 2(i)Most candidates realised the need to take 2 out of the expression, but errors such as ‘2x 2 − 12x + 11 = 2(x 2 − 12x + 5.5) leading to 2(x − 6)2 + …’ were common.(ii)This was badly answered with many candidates either substituting x = 0 or obtaining a table ofvalues. The answer −7 ≤ f (x ) ≤ 11 was common, as was f (x ) ≥ 11. Many candidates failed to realise that there was a link with part (i), (i.e. f(x ) ≥ c ) and preferred to use calculus to find the minimum point (3, −7). Even then it was not automatic to state f (x ) ≥ −7.Answers : (i) 2(x − 3)2 − 7; (ii) f(x ) ≥ −7.Question 3(i) Most candidates correctly drew the graph of y = cos x , although ‘V’ shapes were common. Very fewdrew the graph of y = cos3x correctly, most thinking either that the graph lay between −3 and +3 or that the graph of y = cos x had the same shape as y = cos3x between 0 and 2p . Many candidates wasted considerable time by ignoring the instruction ‘sketch’ and instead drawing accurate graphs.(ii)Only a handful of candidates realised that for f to have an inverse it needed to be 1 : 1 and that this only occurred for 0 ≤ x ≤ p , leading to k = p .Answers : (i) Sketch; (ii) k = p .Question 4Candidates should realise that a request for an answer in terms of p and 3means that use of a calculator will lead to loss of marks. Many candidates failed to realise that angle POQ = 31p or that cos30º = 213.Use of s = r θ with θ in degrees occurred occasionally and a common error was to assume that the radius of the arc PXQ was PS rather than PO . The most common error however was to express cos30° = OS6 as OS = 6cos30°.Answer : 4p + 83.Question 5This was well answered and a half of all attempts were completely correct. Occasionally the surface area was given as 3x 3 and there were solutions in which areas of only 3 or 5 faces were considered.Differentiation was usually correct. In part (ii), although the chain rule was usually correctly quoted for the variables concerned, there were misunderstandings over tA d d = 0.14 and often the rate of decrease of x was given as x t d d rather than t x d d .Answers : (i) A = 14x ² andx A d d = 28x ; (ii) 0.0025.Question 6At least a half of all attempts were completely correct. There were occasional errors in the calculation of the gradient of AB , but most candidates realised that the gradient of the line L 2 was −121¸. There were a few misunderstandings of the relationship between L 1 and L 2, particularly from weaker candidates who automatically involved the mid-point of the line AB . The solution of the simultaneous equations was very well done.Answer : (4, 6).Question 7(i)Although a few candidates took ‘(2s + c )² = 4s ² + c ² ’ and ‘(2c − s )² = 4c ² ± s ² ’, most correctlycancelled the 4cos θsin θ and reduced the expression to 5s ² + 5c ² and from there to 5. Others however divided throughout by 5 and stated the answer as 1.(ii)Most realised the need to collect terms and to express 7sin θ = 4cos θ as tan θ =74. Despite having the formula on the formula sheet, many expressed tan θ as cos θ ÷ sin θ, or were unable to manipulate the expressions correctly. Candidates need to read questions closely, for many omitted to find the corresponding values of θ. It was very rare for candidates to go wrong over which quadrants to use.Answers : (i) a ² + b ² = 5; (ii) tan θ =74, θ = 29.7º or 209.7º. Question 8At least a quarter of all candidates failed to read the question carefully and took the progression as being arithmetic. Of the other attempts, many were completely correct and it was surprising to see some weaker candidates scoring highly on this question. Some wrote down all the amounts for the first 10 years of operation, and others incorrectly took the n th term as ar n . In part (ii) common errors were to take the 20th term rather than the sum of 20 terms and the formula for sum of 20 terms was often taken as S n = 21n (1 - r n - 1)/(1 - r ). It was pleasing that in part (iii) the majority of candidates realised the need to findthe sum to infinity.Answers : (i) 775kg; (ii) 17 600kg; (iii) 20 000kg.Question 9(i)About a half of all candidates took the equation of the curve to be the equation of the tangent and astraight line with gradient 21 was depressingly common. Surprisingly enough, many of these candidates then realised the need to integrate the given expression for xy d d and produced this in part (ii). The integration was generally good, though common errors were to fail to cope with the negative power, to ignore the integral of −3 or to fail to realise the need to include and evaluate the constant of integration.(ii)Most realised the need to setx y d d to 0 to find the stationary point and despite a few algebraic slips,most obtained x = 2. Answers : (i) y = 212x -− 3x + 31; (ii) (2, 22).Question 10There were many excellent responses to this question and the candidates’ ability to calculate ‘scalar product’was impressive. Unfortunately, too many marks were lost in the first part through failure to obtain correct expressions for the vectors MN and MD . A surprising number of candidates totally ignored the dimensions of the problem (i.e. OA = 6cm, OC = 8cm and OB = 16cm) and gave their answers with coefficients of i , j and k as ±1 or ±21. Others were able to cope with but struggled with the fact that N was the mid-point of AC . Even then, all the method marks available for part (ii) were usually obtained.Answers : (i) MN = −3i − 8j + 4k , MD = −6i + 8j + 8k ; (ii) −14, 97º.Question 11Many candidates scored highly on the question, but for weaker candidates, failure to recognise the need for ‘function of a function’ led to loss of marks. Surprisingly, several candidates took the gradient of the tangentto be the gradient of the normal and calculated −1 ÷ xy d d , but otherwise part (i) was usually correct. The follow through mark for part (ii) was nearly always obtained, though a few candidates put y = 0 rather than x = 0.In part (iii), the integration was surprisingly better than the differentiation in part (i) and more candidates included the ‘81’ than the ‘8’ in part (i). Most candidates worked about the x -axis and realised the need to subtract areas. Use of limits was generally correct, though 0 to 5 was often used instead of 0 to 3. The most common error was to automatically assume that the value of any expression at 0 is 0. Candidates choosing to work about the y -axis fared badly because it was very rarely realised that the limits for the line were different from the limits for the curve.Answers : (i) 5y = 4x + 13; (ii) (0, 2.6); (iii) 1516 or 1.07 unit 2 .Paper 8709/02Paper 2General commentsFew high marks were scored by candidates, largely due to candidates’ weaknesses in certain areas of the syllabus, such as integration and iteration techniques. There was a general tendency to use degrees, rather than radians, for angles.Conversely, there were certain key techniques, such as differentiation of functions, that were commonly the source of many marks for candidates.Work was clear and neat, with no evidence of candidates running out of time at the end of the paper. Comments on specific questionsQuestion 1Many candidates scored full marks and recognised that each value of tan x gave rise to two values of x. Weaker solutions, that scored no marks, showed no use of the condition sec2x = 1 + tan2x and intractable equations involving both cos x and sin x, with neither of these having been eliminated, were common.Answer: x = 135º or 315º, 56.3º or 236.3º.Question 2(i)As the answer was given, weaker candidates struggled to produce it via errors such as u2 = 2x+1and 4x = 2.2x = 2u. However, most candidates obtained the given result correctly.(ii)Many candidates obtained the correct result u = 1 + 13» 4.6055, but then failed to solve for x = ln u¸ ln2.Answer: (ii)x = 2.20.Question 3(i)Most candidates correctly sketched the line 2y = x + 1, but very few obtained a plot of 2y = ½x− 4½,and most graphs showed portions of that line below the x-axis.(ii)There were a pleasing number of fully correct solutions, sometimes based on ‘trial and error’, or simply by quoting the answer. Weaker solutions involved squaring one or both of the equations of the two lines, but with only one side being squared, e.g. 2y = (x− 4)2.Answer: (ii)x = 1.5, y = 1.25.Question 4Although many candidates noted that ln y = lnA + n ln x, wrong answers were often based on false variants, such as ln y = (A n)ln x. There was a marked tendency to substitute the values (1, 2.4) and (4, 0.6) into the original equation y = A x n rather than into the ln y versus ln x relation.Answer: n = −0.6, A = e3 = 20.1Question 5(a)This part was very well done, with a sound grasp of all the essential ideas.(b)There were many excellent solutions, and this question was admirably handled. Only occasionallywas the derivative of xy given as xx y d d only.Answers : (a)94, (b) y + 4x = 14.Question 6(i)Although this part presented little or no problems, candidates struggled thereafter.(ii)Almost all candidates expressed u 2 = tan −12 in degrees , without noting the vast disparity between this value and that of u 1 = 1. (iii)Almost no one could cope with this part, failing to spot that, as n ® ¥, u n and u n + 1 tend to the samelimiting value, this latter being the required value x m .Answer : (ii) 1.08.Question 7(i)There were many sign errors, for example, cos 2x ≡21(1 − cos2x ), and often a factor ‘2’ was omitted. (ii)Candidates failed to remove brackets and use the twin results of (i). Many candidates believedthat ()()[]f f f f ¢==+òò3,3d d cos 3sin 23322x x x x x or f ¢2.Answer : (ii) ()83413+p » 9.36.Paper 8709/04Paper 4General commentsThe paper was generally well attempted. However candidates often failed to obtain answers correct to three significant figures, even when correct methods were used. This is a problem which Centres are urged to address. Most inaccuracy arises from premature approximation.There is clearly a problem too, with terminology. Familiarity with and understanding of terms germane to the syllabus are expected. In very many cases candidates attempted to find forces when work done by forces was required, and coefficient of friction when frictional force was required.Inappropriate use was made of µR F = in both Question 5 and Question 7.Comments on specific questionsQuestion 1Most candidates answered this question correctly.A few candidates used sine instead of cosine; some did not use the given angle, obtaining the incorrect answer of 2400 J.Mis-reading 30 N and 10o as 10 N and 30owas fairly common.Answer : 2360 J.Question 2Most candidates scored the two marks in part (i) of the question. However mistakes were frequently made in part (ii), the most common of which were:Showing the maximum speed as 12.5 ms-1 (from 1500/120) despite having the correct answer in (i).Having a positive slope for the constant speed stage.Having a positive slope for the deceleration stage.Failing to terminate the deceleration stage on the t-axis, even in cases where the slope is negative.Showing a slope for the acceleration stage which is as steep, or steeper, than that for the deceleration stage.Answers: (i) 25 ms-1; (ii)Sketch.Question 3This question was well attempted.Many candidates failed to score the last two marks because they gave the wrong direction (downwards instead of upwards) for the frictional force.Many candidates lost the final mark because of lack of accuracy.Answer: P = 0.768.Question 4Most candidates recognised the need to integrate the given v(t) in part (i), although some obtained s = 4t2 – 0.04t4 using the inappropriate constant speed formula ‘speed = distance /time’, and some obtained s = 2t2 – 0.06t4 using the inappropriate constant acceleration formula s = ut + ½ at2 via s = ½ (4 – 0.12t2)t2.Some candidates who did integrate found problems in dealing with the constant of integration. Some found it to be equal to 100 leading to the equation 2t2 – 0.01t4 = 0 and some left the constant as ‘c’ and were thus unable to solve 2t2 – 0.01t4 + c = 100.Most candidates recognised that setting s(t) = 100 leads to a quadratic equation in t2, but attempts to solve the quadratic were generally rather poor. A common approach was to say t2(2 – 0.01t2) = 100 Þt2 = 100 or 2 – 0.01t2 = 100 Þt2 = 100 or t2 = -9800, or a variation of this erroneous method.Frequently candidates used a basically correct method for the quadratic, but called the repeated root t instead of t2.Yet another erroneous approach was to use the quadratic formula, but with a = 2 and b = -0.01, instead of the other way round.In part (ii) most candidates recognised the need to differentiate v(t) and most did this correctly.Answers: (i)t = 10; (ii) slowing down.Question 5Almost all candidates answered part (i) correctly, but in part (ii) most candidates used a circular argument in which the required result was implicitly assumed.In part (iii) most candidates recognised the need to resolve forces horizontally and vertically on B. In some cases the weight of B was omitted when resolving vertically, but generally candidates obtained equations with the correct numbers of terms.A number of candidates failed to realise the need also to resolve forces vertically on R in order to be able to quantify the tension occurring in their equations.A common error in resolving forces onB vertically was to have the wrong sign for the tension term, giving the normal component as 0.5 N in cases which were otherwise correct.Many candidates incorrectly used µR instead of F for the frictional component, giving an answer forµinstead of an answer for F.Answers:(i)T AR = T BR ;(iii) 5.5 N, 4.33 N.Question 6Almost all candidates obtained the correct answer in part (i).Candidates also correctly found the speed of P at the instant that Q strikes the ground. However it is doubtful that many candidates were correctly motivated to find this speed, judging from the absence of correct work, from almost all candidates, beyond this stage. Very few candidates appreciated that P is moving under gravity whilst the string is slack.A few candidates did obtain the distance travelled upwards by P, under gravity, but many such candidates failed to double this distance to obtain the required answer.Answers: (i) 1.11 ms-2; (ii) 0.316 s; (iii) 1 m.Question 7In part (i) many candidates obtained the gain in gravitational potential energy correctly, but asserted incorrectly that this is the work done against the resistance to motion. Others obtained the work done by the car’s engine correctly, but asserted that this is the required answer.Among the candidates who had all three terms present in the work/energy equation, many made sign errors.Many candidates used the formula ‘WD = Fd cos a inappropriately (= 1800´500 cos 6o).Many candidates who found a quantity of work of some sort, divided this quantity by 500 to obtain an answer for the resistance, believing this to be what was required for the answer.A few candidates approached part (i) by first resolving forces on the car to find the magnitude of the resistance, and then multiplying by the distance travelled. Such candidates were generally successful. However almost all of the candidates who set out to find the magnitude of the resistance asserted that this was the answer sought, demonstrating an absence of understanding of work done.In part (ii) many candidates obtained the gain in kinetic energy correctly, but asserted incorrectly that this is the work done by the car’s engine.Very few candidates had all four terms present in the work/energy equation. It was very common for one or both of the gain in gravitational potential energy and the work done by the resistance to be omitted.Much the most common approach in part (ii) was to assume, implicitly and wrongly, that the acceleration is constant. In this case a special ruling allowed candidates to score up to 2 marks. Very few achieved this however; rarely were all four terms present in the equation of motion, and multiplication of the driving force by the distance was often omitted.In both parts (i) and (ii) it was very common to see µR written for the resistance to motion, and sometimes a value for ‘coefficient of friction’ was found.Although a candidate’s (erroneous) method for finding the work done by the car’s engine in part (ii) implies that the driving force is constant (usually 2360 N), this was often followed in part (iii) by actual values (usually 9440 and 2360) in the ratio 4:1 at the top and bottom of the hill. Where such cases led to the correct answer of 10:1 for the required ratio, using relatively correct working, Examiners allowed 1 mark out of 3 to be scored.Some candidates scored all three marks in part (iii), and in a few cases these were the only marks scored in the question.Answers: (i) 273 000 J; (ii) 1 180 000 J; (iii) 10:1.Paper 8709/06Paper 6General commentsThe paper produced a wide range of marks. All questions were well attempted, with almost everyone finishing in the required time. It was pleasing to see that most candidates worked to at least 4 significant figures and corrected to 3 at the end.Comments on specific questionsQuestion 1There was, alas, about one fifth of candidates who could not do the standard deviation, squaring Σx to find Σ(x 2). An accuracy mark was also lost by those who worked to 3 significant figures throughout, instead of 4significant figures and correcting to 3 at the end. Candidates who just wrote down the correct answers from their calculator gained full marks, while other candidates received no marks for just incorrect answers.Answers : 13.1, 2.76.Question 2This, the first serious question on permutations and combinations in the new syllabus, showed that most candidates had covered the topic and had an idea how to start. However, many candidates failed to associate the words in order , which were written in italics to bring attention to them, with the associated permutations, and wrote 10C 6 instead of 10P 6. The second part was well attempted.Answers : (a) 151 200; (b) 144.Question 3This was a straightforward question, which gained full marks for many candidates.Answers : (i) 0.82; (ii) 0.293.Question 4(i) The histogram had a variety of frequency densities, ranging from frequency/class width,frequency/midpoint, class width/frequency, cumulative frequency/class width, and many other combinations. The good point is that nearly all candidates realised that some adjustment had to be made. Axes were labelled and headings were clear.(ii)This part was the worst answered part of the whole paper. Many candidates did not attempt it,some found the probability of one church having less than 61 people, and then multiplied it by 3, or just left it as a single probability. A few candidates used combinations. Both cubing and combinations were acceptable.Answer : (ii) 0.171 or 0.172.Question 5The normal distribution does not offer many varieties of approach, either finding a probability as in part (i) or finding an x as in part (ii). The second part proved too difficult for many candidates. Many could not read the tables backwards, and many seemed to use the body of the tables rather than the critical values part at the foot of the page. This resulted in a slightly different z -value, which was not penalised this time, but could be in future. Part (iii) involved appreciating that a probability is just that, and an associated number can beobtained from P(S ) = )n()n(E S . Candidates who used a continuity correction gained one mark only in each part.Answers : (i) 0.117; (ii) 20.4; (iii) 23.Question 6This question was well done by the majority of candidates. Some candidates did not appear to understand what ‘fewer’ meant, and some even found P(0) + P(1) + P(2) …up to P(9)! They were not penalised except in terms of time. Part (ii) also produced many good solutions. There was the usual number of wrong and absent continuity corrections and muddles with standard deviation and variance of course, but overall it was a pleasingly answered question.Answers: (i) 0.849; (ii) 0.0519.Question 7Most candidates managed part (i) and this showed them how to approach part (ii), with mixed success, but provided they had some probabilities in their distribution table, credit was given for applying their knowledge of mean and variance. A small percentage of candidates failed to recognise that ‘mean’ was the same as E(X), and divided their E(X) by the number of different values of X that they had.Answers: (ii)XProb0.16710.520.330.0333(iii) 1.2, 0.56.。
EDEXCEL GCE MATHEMATICSGeneral Instructions for Marking1.The total number of marks for the paper is 75.2.The Edexcel Mathematics mark schemes use the following types of marks:•M marks: method marks are awarded for ‘knowing a method and attempting to apply it’, unless otherwise indicated.•A marks: Accuracy marks can only be awarded if the relevant method (M) marks have been earned.•B marks are unconditional accuracy marks (independent of M marks)•Marks should not be subdivided.3.AbbreviationsThese are some of the traditional marking abbreviations that will appear in the mark schemes.•bod – benefit of doubt•ft – follow through•the symbol will be used for correct ft•cao – correct answer only•cso - correct solution only. There must be no errors in this part of the question to obtain this mark•isw – ignore subsequent working•awrt – answers which round to•SC: special case•oe – or equivalent (and appropriate)•dep – dependent•indep – independent•dp decimal places•sf significant figures•¿The answer is printed on the paper•The second mark is dependent on gaining the first mark4.All A marks are ‘correct answer only’ (cao.), unless shown, for example, as A1 ft toindicate that previous wrong working is to be followed through. After a misread however, the subsequent A marks affected are treated as A ft, but manifestly absurd answersshould never be awarded A marks.5.For misreading which does not alter the character of a question or materially simplify it,deduct two from any A or B marks gained, in that part of the question affected.6.If a candidate makes more than one attempt at any question:•If all but one attempt is crossed out, mark the attempt which is NOT crossed out.•If either all attempts are crossed out or none are crossed out, mark all the attempts and score the highest single attempt.7.Ignore wrong working or incorrect statements following a correct answer.General Principles for Core Mathematics Marking(But note that specific mark schemes may sometimes override these general principles). Method mark for solving 3 term quadratic: 1.Factorisationc pq q x p x c bx x =++=++where ),)(()(2, leading to x = …a mn c pq q nx p mx c bx ax ==++=++and where ),)(()(2, leading to x = …2.FormulaAttempt to use the correct formula (with values for a , b and c ).pleting the squareSolving02=++c bx x :0,022≠=±±⎟⎠⎞⎜⎝⎛±q c q b x , leading to x = …Method marks for differentiation and integration: 1.DifferentiationPower of at least one term decreased by 1. (1−→n nx x )2.IntegrationPower of at least one term increased by 1. (1+→n nxx )Use of a formulaWhere a method involves using a formula that has been learnt, the advice given in recent examiners’ reports is that the formula should be quoted first. Normal marking procedure is as follows:Method mark for quoting a correct formula and attempting to use it, even if there are mistakes in the substitution of values.Where the formula is not quoted, the method mark can be gained by implication from correct working with values, but may be lost if there is any mistake in the working.Exact answersExaminers’ reports have emphasised that where, for example, an exact answer is asked for, or working with surds is clearly required, marks will normally be lost if the candidate resorts to using rounded decimals.Answers without workingThe rubric says that these may not gain full credit. Individual mark schemes will give details of what happens in particular cases. General policy is that if it could be done “in your head”, detailed working would not be required.Notes(a) M1: Attempt to differentiate – power reduced 1n n→or 3x becomes 3x x−A1: two correct terms ( of the three shown). They may be unsimplifiedA1: fully correct and simplified then isw (any equivalent simplified form acceptable) (b) M1: Attempt to integrate original f(x)– one power increased 1n nx x+→A1: Two of the four terms in x correct unsimplified – (ignore lack of constant here) A1: Three terms correct unsimplified – (ignore lack of constant here)A1: All correct simplified with constant – allow -1x for –xN.B Integrating answer to part (a) is M0Notes(a)(b) (c)M1: Attempt to use formula correctly (implied by first term correct, or given as 0.67, or third term following through from their second etc) A1: two correct answersA1: 3 correct answers (allow 0.6 recurring but not 0.667) Look for the values. Ignore the label r u B1: cao (NB Use of AP is B0)M1:Uses sum of at least 3 terms found from part (a)) (may be implied by correct answer). Attempt to sum an AP here is M0.A1: obtains 33(sum of three adjacent terms)×or 11(sum of nine adjacent terms)× A1: - 11 cao ( -11 implies both A marks) N.B. Use of n = 99 is M1A0A0(b)to give printed answer including = 0M1: Solving the correct quadratic equation (allow sign errors), by the usual methods (see notes) – implied by correct answersA1: Both answers needed – allow 0.25 and awrt – 0.33M1 Uses inverse cosine to obtain two correct values for x for their values of cos x e.g. (75.5 and 109.4 or 109.5) or (75.5 and 284.5) or (109.5 and 250.5) – allow truncated answers or awrt here.A1: All four correct – allow awrt. Ignore extra answers outside range but lose last A mark for extra answers inside rangeAnswers in radians are 1.3, 5.0, 1.9 and 4.4 Allow M1A0 for two or more correct asnwersQuestion Number SchemeMarks 8.kx 2x ++82k +()7=Uses 2−4b ac with a k ,b ==8 and attempt at c =2(k + 7)M1 b a −=c 464−56k −228k or 6456k =+8k 2o .e . A1 Attempts to solve 2"7k k +−8=0"to give k =dM1 ⇒Critical values, k 1,=−8.A1cso M1 Uses 4b a −<c 0or 22b 4<ac or ac 4 −b 2>02k k +−78>0 gives 1(or)k k ><8−M1 A1 [7]7 marksNotesM1: Attempts 24b ac − for ,8a k b == and c = 2(k +7) or attempt at c from quadratic = 0 (may omit bracket or make sign slip or lose the 2, so 2k +7 or k + 7 for example)oruses quadratic formula to solve equation or uses on two sides of an equation or inequation A1: Correct three term quadratic expression for 24b ac − - (may be under root sign)dM1: Uses factorisation, formula, or completion of square method to find two values for k , or finds two correct answers with no obvious method for their three term quadratic A1: Obtains 1 and -8M1: states 22404b ac or b ac −<< anywhere (may be implied by the following work)M1: Chooses outside region ( k < Their Lower Limit Their Upper Limit k >) for appropriate 3 term quadratic inequality . Do not award simply for diagram or table.A1: 1or 8k k ><− - allow anything which clearly indicates these regions e.g. (,8)−∞− or (1,)∞ 1,8k k ><− is A1 but k > 1 and k < -8 is A0but x > 1, x < -8 is A0 ( only lose 1 mark for using x instead of k ) and 1(or)8k k ≥≤−is A0 Also 1< k < -8 is M1 A0N.B. Lack of working: If there is no mention of 2240or 4b ac b ac −<< then just the correct answer 1,8k k ><− can imply the last M1M1A1 1,8k k ≥≤− can imply M0M1A01,8k k ><− can imply M1M1A0 Anything else needs to apply schemeMethod markfor harmoniccurve i.e. anysine or cosinecurveAccuracy forcorrect sectionand positionrelative to the (0 , ½ ) ;Notes for Question 14(a) M1: Puts equations equaldM1 Solves quadratic to obtain x =A1: both answers correctdM1: finds y =A1: both correctB1: Correct integration of one of the quadratic expression (given in the mark scheme) to give one of the givencubic expression (ignore limits). Allow correct answer even if terms not collected nor simplified. Sign errors (b)subtracting in alternative methods before integration gain B0B1: Line intersection correct (see 1.5)B1: curve intersection correct (see 5)M1: Uses correct combination of correct areas (allow numerical slips) so(i)Area of triangle using their “6” – their “1.5” times their “9” MINUS area beneath curve between their 5 and their 6(ii) Area of triangle using their “5” – their “1.5” times their “7” PLUS area between curves between their 5 and their 6(iii) Subtracts area below axis from area between curvesTHEIR 1.5 must NOT BE ZERO!M1: Attempts second area (so area of a triangle relevant to the method- or integral of the linear functionwith relevant limits- or integral of original quadratic in second alternative method)M1: Uses their limits (even zero) correctly on any cubic expression (subtracting either way round) Can begiven for wrong limits or for wrong areas. No evidence of substitution of limits is M0A1: Final answer – not decimal – csoAlternative methods to part (d)(i)Use equation x y 22++ax +by +c =0and substitute three points, usually (0,3), (6,11) and another point on the circle maybe (-2,17) or (-8,9) - not point Z Solves simultaneous equations a = 2, b = -20 and c = 51(ii) Uses centre to write a = and b = (doubles x coordinate and y coordinate respectively, "2"and ±±"20")Obtains a = 2 and b = -20 (or just writes these values down so these answers imply M1A1) Completes method to find c , (could substitute one of the points on the circle) or could find r Accurate work e.g. r 2=50 or e.g. +x y 222+−x 20y =(−8)2+2+928×−−20×9 = c = 51M1 dM1A1,A1,A1 M1 A1 dM1 A1 A1。
This document consists of 14 printed pages and 2 blank pages.DC (ST/SW) 110052© UCLES 2014[Turn overCambridge International ExaminationsCambridge International Advanced Subsidiary and Advanced Level*9862714875*PHYSICS9702/23Paper 2 AS Structured Questions October/November 20141 hourCandidates answer on the Question Paper.No Additional Materials are required.READ THESE INSTRUCTIONS FIRSTWrite your Centre number, candidate number and name on all the work you hand in.Write in dark blue or black pen.Y ou may use an HB pencil for any diagrams or graphs.Do not use staples, paper clips, glue or correction fluid.DO NOT WRITE IN ANY BARCODES.Answer all questions.Electronic calculators may be used.Y ou may lose marks if you do not show your working or if you do not use appropriate units.At the end of the examination, fasten all your work securely together.The number of marks is given in brackets [ ] at the end of each question or part question.w w w .X t r e m e P a pe r s .c o mDataspeed of light in free space, c = 3.00 × 108 m s–1 permeability of free space, m0 = 4p × 10–7 H m–1 permittivity of free space, ε0 = 8.85 × 10–12 F m–1(14pε0= 8.99 × 109 m F–1)elementary charge, e = 1.60 × 10–19 Cthe Planck constant, h = 6.63 × 10–34 J s unified atomic mass constant, u = 1.66 × 10–27 kgrest mass of electron, me= 9.11 × 10–31 kgrest mass of proton, mp= 1.67 × 10–27 kgmolar gas constant, R = 8.31 J K–1 mol–1the Avogadro constant, NA= 6.02 × 1023 mol–1the Boltzmann constant, k = 1.38 × 10–23 J K–1 gravitational constant, G = 6.67 × 10–11 N m2 kg–2 acceleration of free fall, g = 9.81 m s–29702/23/O/N/14© UCLES 2014Formulaeuniformly accelerated motion, s= ut + at2v2= u2+2as work done on/by a gas, W= p D Vgravitational potential, φ = –Gmr hydrostatic pressure, p= ρgh pressure of an ideal gas, p= Nm V<c2> simple harmonic motion, a= – ω 2xvelocity of particle in s.h.m., v = vcos ωtv = ± ω (x02 – x 2)electric potential, V =Q 4pε0rcapacitors in series, 1/C= 1/C1 + 1/C2+ . . .capacitors in parallel, C= C1 + C2+ . . .energy of charged capacitor, W= QVresistors in series, R= R1 + R2+ . . .resistors in parallel, 1/R= 1/R1 + 1/R2+ . . .alternating current/voltage, x= x0 sin ω t radioactive decay, x= x0 exp(–λt)decay constant, λ= 0.693 t9702/23/O/N/14© UCLES 2014[Turn overAnswer all the questions in the spaces provided.1 (a) The kilogram, metre and second are S I base units.State two other base units.1. ...............................................................................................................................................2. ...............................................................................................................................................[2](b) Determine the S I base units of(i) stress,S I base units (2)(ii) the Y oung modulus.S I base units (1)© UCLES 20149702/23/O/N/149702/23/O/N/14© UCLES 2014[Turn over2A microphone detects a musical note of frequency f . The microphone is connected to a cathode-ray oscilloscope (c.r.o.). The signal from the microphone is observed on the c.r.o. as illustrated inFig. 2.1.cmFig. 2.1The time-base setting of the c.r.o. is 0.50 ms cm –1. The Y -plate setting is 2.5 mV cm –1. (a) Use Fig. 2.1 to determine(i) the amplitude of the signal,amplitude = ................................................... mV [2](ii) the frequency f ,f = .................................................... Hz [3](iii) the actual uncertainty in f caused by reading the scale on the c.r.o.actual uncertainty = .................................................... Hz [2](b) State f with its actual uncertainty.f = ................................ ± ................................ Hz [1]9702/23/O/N/14© UCLES 20143(a) Force is a vector quantity. State three other vector quantities.1. ...............................................................................................................................................2. ...............................................................................................................................................3. ...............................................................................................................................................[2](b) Three coplanar forces X , Y and Z act on an object, as shown in Fig. 3.1.XFig. 3.1The force Z is vertical and X is horizontal. The force Y is at an angle θ to the horizontal. The force Z is kept constant at 70 N.In an experiment, the magnitude of force X is varied. The magnitude and direction of force Y are adjusted so that the object remains in equilibrium.Fig. 3.2 shows the variation of the magnitude of force Y with the magnitude of force X .050709011013020406080100120X / NY / NFig. 3.2(i) Use Fig. 3.2 to estimate the magnitude of Y for X = 0.Y = ...................................................... N [1] (ii) State and explain the value of θ for X = 0....................................................................................................................................................................................................................................................................................... (2)(iii) The magnitude of X is increased to 160 N. Use resolution of forces to calculate the value of1. angle θ,θ = ........................................................° [2]2. the magnitude of force Y.Y = ...................................................... N [2](c) The angle θ decreases as X increases. Explain why the object cannot be in equilibrium forθ = 0....................................................................................................................................................................................................................................................................................................... (1)© UCLES 2014[Turn over9702/23/O/N/149702/23/O/N/14© UCLES 20144(a) State the principle of conservation of momentum.................................................................................................................................................... ................................................................................................................................................... .. (2)(b) A ball X and a ball Y are travelling along the same straight line in the same direction, asshown in Fig. 4.1.X 400 g0.65 m s –1m s –1Fig. 4.1Ball X has mass 400 g and horizontal velocity 0.65 m s –1. Ball Y has mass 600 g and horizontal velocity 0.45 m s –1.Ball X catches up and collides with ball Y . After the collision, X has horizontal velocity 0.41 m s –1 and Y has horizontal velocity v, as shown in Fig. 4.2.X 400 g0.41 m s –1Fig. 4.2Calculate(i) the total initial momentum of the two balls,momentum = .................................................... N s [3](ii) the velocity v ,v = ................................................ m s –1 [2](iii) the total initial kinetic energy of the two balls.kinetic energy = ....................................................... J [3](c) Explain how you would check whether the collision is elastic.................................................................................................................................................... (1)(d) Use Newton’s third law to explain why, during the collision, the change in momentum of X isequal and opposite to the change in momentum of Y.......................................................................................................................................................................................................................................................................................................................................................................................................................................................... (2)© UCLES 2014[Turn over9702/23/O/N/14BLANK PAGE © UCLES 20149702/23/O/N/145 Distinguish between evaporation and boiling.evaporation: ..........................................................................................................................................................................................................................................................................................................................................................................................................................................................boiling: ..................................................................................................................................................................................................................................................................................................................................................................................................................................................................[4]6 (a) A wire has length 100 cm and diameter 0.38 mm. The metal of the wire has resistivity4.5 × 10–7Ωm.Show that the resistance of the wire is 4.0 Ω.[3](b) The ends B and D of the wire in (a) are connected to a cell X, as shown in Fig. 6.1.Fig. 6.1The cell X has electromotive force (e.m.f.) 2.0 V and internal resistance 1.0 Ω.A cell Y of e.m.f. 1.5 V and internal resistance 0.50 Ω is connected to the wire at pointsB andC, as shown in Fig. 6.1.The point C is distance l from point B. The current in cell Y is zero.Calculate(i) the current in cell X,current = ...................................................... A [2](ii) the potential difference (p.d.) across the wire BD,p.d. = ...................................................... V [1] (iii) the distance l.l = .................................................... cm [2](c) The connection at C is moved so that l is increased. Explain why the e.m.f. of cell Y is lessthan its terminal p.d....................................................................................................................................................................................................................................................................................................... (2)7 (a) (i) Explain what is meant by a progressive transverse wave.progressive: ..................................................................................................................................................................................................................................................................transverse: ....................................................................................................................................................................................................................................................................[2](ii) Define frequency............................................................................................................................................ (1)(b) The variation with distance x of displacement y for a transverse wave is shown in Fig. 7.1.y /cmFig. 7.1On Fig. 7.1, five points are labelled.Use Fig. 7.1 to state any two points having a phase difference of(i) zero, (1)(ii) 270°. (1)(c) The frequency of the wave in (b) is 15 Hz.Calculate the speed of the wave in (b).speed = ................................................ m s–1 [3](d) Two waves of the same frequency have amplitudes 1.4 cm and 2.1 cm.Calculate the ratiointensity of wave of amplitude 1.4 cmintensity of wave of amplitude 2.1 cm.ratio = (2)BLANK PAGEPermission to reproduce items where third-party owned material protected by copyright is included has been sought and cleared where possible. Every reasonable effort has been made by the publisher (UCLES) to trace copyright holders, but if any items requiring clearance have unwittingly been included, the publisher will be pleased to make amends at the earliest possible opportunity.Cambridge International Examinations is part of the Cambridge Assessment Group. Cambridge Assessment is the brand name of University of Cambridge Local Examinations Syndicate (UCLES), which is itself a department of the University of Cambridge.。
2024年AP Calculus AB历年真题精选辑随着时间的推移,越来越多的学生对于高考考试已经过去了,他们开始考虑其他更具挑战性的考试,其中一个备受关注的就是AP(高级学术课程)考试。
AP课程为学生提供了高水平的学术教育,尤其是在数学领域。
AP Calculus AB考试是其中之一,它涉及微积分的基础知识和应用。
为了更好地帮助考生准备AP Calculus AB考试,本文将为你提供2024年的历年真题精选辑。
以下是几个种类的题目,包括选择题、填空题和解答题。
无论你是正在备考AP Calculus AB考试,还是希望了解更多关于这一考试的信息,本文都将为你提供帮助。
选择题1. 在曲线y = x^3 - 3x^2 + 2x的区间(-∞,∞)上,当x = 1时,曲线的斜率是多少?A. -1B. 0C. 1D. 2E. 32. 函数y = ln(x^2 + 4)在x = 2处的导数是多少?A. 0B. 1/6C. 1/4D. 1/2E. 6填空题1. ∫(2x + 5) dx = _______2. 如果函数f(x)和g(x)都是可微函数,那么(f(x) + g(x))' = _______解答题1. 证明:对于函数f(x) = 2x + 3,f'(x) = 2。
这些题目展示了AP Calculus AB考试所涵盖的各种题型和难度级别。
通过做这些题目,你可以更好地了解数学问题的解决方法,以及如何运用微积分的知识进行计算和推理。
无论你是通过自学还是参加相关课程来备考AP Calculus AB考试,以下几点建议可以帮助你更好地应对考试:1. 理解基础知识:AP Calculus AB考试基础考查学生对微积分的基本概念和技巧的理解。
确保你掌握了函数的导数、积分和微分方程等基础知识,并能够灵活运用。
2. 多做练习题:做更多的练习题可以提高你的数学思维和解题能力。
不仅要做历年AP考试真题,还可以寻找其他相关题库进行练习。
as数学和al化学考试试卷内容
"AS" 通常指的是 Advanced Subsidiary,这是英国和许多其他国家的一个教育阶段,位于 GCSE(General Certificate of Secondary Education)之后,A-Level(Advanced Level)之前。
数学和化学是 AS 阶段常见的考试科目。
以下是 AS 数学和化学考试的一般内容:
AS 数学考试
1. 纯数学:包括代数、几何、三角学等基础数学概念。
2. 统计学:涉及数据的收集、分析和解释。
3. 物理数学:涉及物理学的概念和公式,如力学、电磁学等。
4. 决策数学:涉及概率论和决策理论。
AS 化学考试
1. 化学基础:包括原子结构和周期表、化学键、气体定律等基础概念。
2. 有机化学:涉及有机化合物的结构和性质,如烷烃、烯烃、醇、羧酸等。
3. 无机化学:涉及无机化合物的结构和性质,如金属、非金属、酸、碱等。
4. 物理化学:涉及热力学、动力学、电化学等概念。
5. 环境化学:涉及环境污染和治理、可持续发展等概念。
请注意,具体的考试内容和要求可能会因地区和考试机构而有所不同。
为了获取更准确和具体的信息,建议直接查阅相关考试机构或学校的官方资料。
h2019-2020 学年高二数学下学期期末考试试题理 (VIII)一、选择题(本大题共 12 小题,每小题 5 分,共 60 分,在每小题给出的四个选项中,只 有一项是符合题目要求的)1.已知 为实数,,则 的值为A.1B.C.D.2.“”是“直线和直线平行”的A.充分而不必要条件B.必要而不充分条件C.充要条件D.既不充分又不必要条件3.下列说法正确的是A.一个命题的逆命题为真,则它的逆否命题一定为真B.“”与“”不等价C.“若,则 全为 ”的逆否命题是“若 全不为 0,则”D.一个命题的否命题为假,则它的逆命题一定为假4.若,,,,则 与 的大小关系为A. 5.已知命题 边B.C.及其证明:(1)当,所以等式成立;(2)假设时等式成立,即成立,则当时,D. 时,左边 ,右,所以时等式也成立.由(1)(2)知,对任意的正整数 等式都成立.经判断以上评述A.命题,推理都正确B.命题正确,推理不正确C.命题不正确,推理正确D.命题,推理都不正确6.椭圆的一个焦点是 ,那么 等于A.B.C.D.h7.设函数 的值为h (其中 为自然对数的底数),则A.B.C.D.8.直线(为参数)被曲线截得的弦长是A. D.9.已知函数B.C.在上为减函数,则 的取值范围是A.B.C.D.10.一机器狗每秒前进或后退一步,程序设计师让机器狗以前进 步,然后再后退 步的规律移动,如果将此机器狗放在数轴的原点,面向数轴的正方向,以步的距离为个单位长,令表示第 秒时机器狗所在位置的坐标.且,那么下列结论中错误的是A.B.C.D.11.已知 A、B、C、D 四点分别是圆与坐标轴的四个交点,其相对位置如图所示.现将沿 轴折起至的位置,使二面角为直二面角,则与 所成角的余弦值为A.B.C.D.12.点 在双曲线上, 、 是这条双曲线的两个焦点,,且的三条边长成等差数列,则此双曲线中 等于A.3B.4C.5D.6二、填空题(每小 5 分,满分 20 分)hh13.若,则__________.14.在三角形 ABC 中,若三个顶点坐标分别为,则 AB 边上的中线 CD 的长是__________.15.已知 F1、F2 分别是椭圆的左右焦点,A 为椭圆上一点,M 为 AF1 中点,N 为AF2 中点,O 为坐标原点,则的最大值为__________.16.已知函数,过点作函数图象的切线,则切线的方程为__________. 三、解答题(本大题共 6 小题,17 题 10 分,其余每小题 12 分.解答应写出文字说明.证明过程或推演步骤.)17.已知命题 P:方程在上有解;命题 只有一个实数 满足不等式,若命题“ 或 ”是假命题,求 的取值范围.18.已知复数为 并经过点的直线与曲线,且 所围成的图形的面积.,求倾斜角19.已知在处取得极值,且.(1)求 、 的值;(2)若对,恒成立,求 的取值范围.20.如图,在四棱锥 P—ABCD 中,已知 PB 底面 ABCD, AB BC, AD / /BC , AB AD 2 , PD CD ,异面直线 PA 与 CD 所成角等于 600hh(1)求直线 PC 与平面 PAD 所成角的正弦值的大小;6(2)在棱 PA 上是否存在一点 E,使得二面角 A-BE-D 的余弦值为 ?若存在,指出点 E6在棱 PA 上的位置;若不存在,说明理由.21.已知椭圆 :的离心率为 ,以原点为圆心,椭圆的短半轴为半径的圆与直线相切.(1)求椭圆 C 的方程;(2)设 P(4,0),A,B 是椭圆 C 上关于 轴对称的任意两个不同的点,连结 PB 交椭圆 C于另一点 E,证明:直线 AE 与 x 轴相交于定点 Q.请考生在第 22、23 两题中任选一题做答,如果多做.则按所做的第一题记分.做答时 请写清题号。
AEAS考试真题1. What will it cost to carpet a room with indoor/outdoor carpet if the room is 10 feet wide and 12 feet long? The carpet costs 12.51 per square yard.A. $166.80B. $175.90C. $184.30D. $189.90E. $192.202. If the perimeter of a rectangular house is 44 yards, and the length is 36 feet, what is the width of the house?A. 10 yardsB. 18 yardsC. 28 feetD. 32 feetE. 36 yards3. What is the volume of the following cylinder?A. 210.91B. 226.20C. 75.36D. 904.32E. 28.264. What is the volume of a cube whose width is 5 inches?A. 15 cubic inchesB. 25 cubic inchesC. 64 cubic inchesD. 100 cubic inchesE. 125 cubic inches5. Sally has three pieces of material. The first piece is 1 yd. 2 ft.6 in. long, the second piece is 2 yd. 1 ft. 5 in long, and the third piece is 4 yd. 2ft.8in long. How much material does Sally have?A. 7 yd. 1 ft. 8 in.B. 8 yd. 4 ft. 4 in.C. 8 yd. 11 in.D. 9 yd. 7 in.E. 10 yd.6. A can´s diameter is 3 inches, and its height is 8 inches. What is the volume of the can?A. 50.30B. 56.55C. 75.68D. 113.04E. 226.087. If the area of a square flowerbed is 16 square feet, then how many feet is the perimeter of the flowerbed?A. 4B. 12C. 16D. 20E. 248. Of the following units which would be more likely used to measure the amount of water in a bathtub?A. kilogramsB. litersC. millilitersD. centigramsE. volts9. If a match box is 0.17 feet long, what is its length in inches the most closely comparable to the following?A. 5 1/16 inch highlighterB. 3 1/8 inch jewelry boxC. 2 3/4 inch lipstickD. 2 3/16 inch staple removerE. 4 1/2 inch calculator10. What is the cost in dollars to steam clean a room W yards wide and L yards long it the steam cleaners charge 10 cents per square foot?A. 0.9WLB. 0.3WLC. 0.1WLD. 9WLE. 3WLKEYS:1. (A) 2. (A) 3. (B) 4. (E) 5. (D) 6. (B) 7. (C) 8. (B) 9. (D) 10. (A)1. How many cubed pieces of fudge that are 3 inches on an edge can be packed into a Christmas tin that is 9 inches deep by 12 inches wide by 8 inches high with the lid still being able to be closed?A. 18B. 24C. 32D. 36E. 432. Sarah is twice as old as her youngest brother. If the difference between their ages is 15 years. How old is her youngest brother?A. 10B. 15C. 20D. 25E. 303. Which of the following fractions is equal to 5/6?A. 20/30B. 15/24C. 25/30D. 40/54E. 2/74. What will it cost to tile a kitchen floor that is 12 feet wide by 20 feet long if the tile cost $8.91 per square yard?A. $224.51B. $237.60C. $246.55D. $271.38E. $282.325. In a writing competition, the first place winner receives 1/2 of the prize money. The second runner up receives 1/2 of what the winner won. What was the total amount of prize money distributed if the winner receives $6,000?A. $6,000B. $8,500C. $12,000D. $15,000E. $18,5006. You are lying 120 ft away from a tree that is 50 feet tall. You look up at the top of the tree. Approximately how far is your hear from the top of the tree in a straight line?A. 50 feetB. 75 feetC. 120 feetD. 130 feetE. 150 feet7. A cyclist bikes x distance at 10 miles per hour and returns over the same path at 8 miles per hour. What is the cyclist’s average rate for the round trip in miles per hour?A. 8.1B. 8.3C. 8.6D. 8.9E. 9.08. If edging cost $2.32 per 12-inch stone, and you want a double layer of edging around your flower bed that is 6 yards by 1 yard. How much will edging you flower bed cost?A. $32.48B. $64.96C. $97.44D. $129.92E. $194.889. If 3x=6x-15 then x + 8=A. 5B. 10C. 11D. 12E. 1310. The number of milliliters in 1 liter isA. 10,000B. 1,000C. 0.1D. 0.01E. 0.001Answer Key1. (B)2. (B)3. (C)4. (B)5. (C)6. (D)7. (D)8. (E)9. (E) 10. (B)。