高一数学必修一集合练习题及答案88912
- 格式:doc
- 大小:178.00 KB
- 文档页数:4
高一必修集合练习题及答案1.设集合A={x|2≤x<4},B={x|3x-7≥8-2x},则A∪B等于( ) A.{x|x≥3}B.{x|x≥2} C.{x|2≤x<3}? D.{x|x≥4} 2.已知集合A={1,3,5,7,9},B={0,3,6,9,12},则A∩B=( )A.{3,5}? B.{3,6} C.{3,7}? D.{3,9}3.已知集合A={x|x>0},B={x|-1≤x≤2},则A∪B=( )A.{x|x≥-1}? B.{x|x≤2 } C.{x|0<x≤2}? D.{x|-1≤x≤2}4. 满足M?{,,,},且M∩{,,}={,}的集合M的个数是( ) A.1? B.2 C.3? D.45.集合A={0,2,a},B={1, }.若A∪B={0,1,2,4,16},则a的值为( ) A.0? B.1 C.2? D.46.设S={x|2x+1>0},T={x|3x-5<0},则S∩T=( )A.?? B.{x|x<-} C.{x|x>}? D.{x|-<x<}7.50名学生参加甲、乙两项体育活动,每人至少参加了一项,参加甲项的学生有30名,参加乙项的学生有25名,则仅参加了一项活动的学生人数为________.8.满足{1,3}∪A={1,3,5}的所有集合A的个数是________.9.已知集合A={x|x≤1},B={x|x≥a},且A∪B=R,则实数a的取值范围是________.10.已知集合A={-4,2a-1,},B={a-5,1-a,9},若A∩B={9},求a的值.11.已知集合A={1,3,5},B={1,2,-1},若A∪B={1,2,3,5},求x及A∩B.12.已知A={x|2a≤x≤a+3},B={x|x<-1或x>5},若A∩B=?,求a的取值范围.13.(10分)某班有36名同学参加数学、物理、化学课外探究小组,每名同学至多参加两个小组.已知参加数学、物理、化学小组的人数分别为26,15,13,同时参加数学和物理小组的有6人,同时参加物理和化学小组的有4人,则同时参加数学和化学小组的有多少人?试题一(集合解析及答案)1. 【解析】B={x|x≥3}.画数轴(如下图所示)可知选B 【答案】 B2.【解析】A={1,3,5,7,9},B={0,3,6,9,12},A和B中有相同的元素3,9,∴A∩B={3,9}.故选D. 【答案】D3. 【解析】集合A、B用数轴表示如图,A∪B={x|x≥-1}.故选A. 【答案】 A4. 【解析】集合M必须含有元素,,并且不能含有元素,故M={,}或M={,, }.故选B. 【答案】B?5. 【解析】∵A∪B={0,1,2,a,},又A∪B={0,1,2,4,16},∴{a,}={4,16},∴a=4,故选 D. 【答案】 D6. 【解析】S={x|2x+1>0}={x|x>-},T={x|3x-5<0}={x|x<},则S∩T={x|-<x<}.故选D. 【答案】 D7. 【解析】设两项都参加的有x人,则只参加甲项的有(30-x)人,只参加乙项的有(25-x)人.(30-x)+x+(25-x)=50,∴x=5.∴只参加甲项的有25人,只参加乙项的有20人,∴仅参加一项的有45人.【答案】458. 【解析】由于{1,3}∪A={1,3,5},则A?{1,3,5},且A中至少有一个元素为5,从而A中其余元素可以是集合{1,3}的子集的元素,而{1,3}有4个子集,因此满足条件的A的个数是 4.它们分别是{5},{1,5},{3,5},{1,3,5}.【答案】 49.【解析】A=(-∞,1],B=[a,+∞),要使A∪B=R,只需a≤1. 【答案】a≤110. 【解析】∵A∩B={9},∴9∈A,∴2a-1=9或=9,∴a=5或a=±3.当a=5时,A={-4,9,25},B={0,-4,9}.此时A∩B={-4,9}≠{9}.故a =5舍去.当a=3时,B={-2,-2,9},不符合要求,舍去.经检验可知a=-3符合题意.11.【解析】由A∪B={1,2,3,5},B={1,2,-1}得-1=3或-1=5. 若-1=3则x=±2;若-1=5,则x=±;综上,x=±2或±.当x=±2时,B={1,2,3},此时A∩B={1,3};当x=±时,B={1,2,5},此时A∩B={1,5}.12. 【解析】由A∩B=?,(1)若A=?,有2a>a+3,∴a>3.(2)若A≠?,解得- ≤a≤2.综上所述,a的取值范围是{a|- ≤a≤2或a>3}.?13.【解析】设单独参加数学的同学为x人,参加数学化学的为y人,单独参加化学的为z人.依题意x+y+6=26,y+4+z=13,x+y+z=21,解得x=12,y=8,z=1. ∴同时参加数学化学的同学有8人,答:同时参加数学和化学小组的有8人。
高一数学必修一集合试题及答案集合的学习在高一数学课程中占据十分重要的地位,同学通过试题练习能够加强理解知识点,下面是店铺给大家带来的高一数学必修一集合试题,希望对你有帮助。
高一数学必修一集合试题一、选择题1.(20 13年高考四川卷)设集合A={1,2,3},集合B={ -2,2},则A∩B 等于( B )(A) (B){2}(C){-2,2} (D){-2,1,2,3}解析:A∩B={2},故选B.2.若全集U={-1,0,1,2},P={x∈Z|x2<2},则∁UP等于( A )(A){2} (B){0,2}(C){-1,2} (D){-1,0,2}解析:依题意得集合P={-1,0,1},故∁UP={2}.故选A.3.已知集合A={x|x>1},则(∁RA)∩N的子集有( C )(A)1个 (B)2个 (C)4个 (D)8个解析:由题意可得∁RA={x|x≤1},所以(∁RA)∩N={0,1},其子集有4个,故选C.4.(2013年高考全国新课标卷Ⅰ)已知集合A={x|x2-2x>0},B={x|-(A)A∩B= (B)A∪B=R(C)B⊆A (D)A⊆B解析:A={x|x>2或x<0},∴A∪B=R,故选B.5.已知集合M={x ≥0,x∈R},N={y|y=3x2+1,x∈R},则M∩N等于( C )(A) (B){x|x≥1}(C){x|x>1} (D){x|x≥1或x<0}解析:M={x|x≤0或x>1},N={y|y≥1}={x|x≥1}.∴M∩N={x|x>1},故选C.6.设集合A={x + =1},集合B={y - =1},则A∩B等于( C )(A)[-2,- ] (B)[ ,2](C)[-2,- ]∪[ ,2] (D)[-2,2]解析:集合A表示椭圆上的点的横坐标的取值范围A=[-2,2],集合B表示双曲线上的点的纵坐标的取值范围B=(-∞,- ]∪[ ,+∞),所以A∩B=[-2,- ]∪[ ,2].故选C.二、填空题7.(2012 年高考上海卷)若集合A={x|2x+1>0},B={x||x-1|<2},则A∩B=.解析:A={x x>- },B={x|-1所以A∩B={x -答案:{x -8.已知集合A={ x <0},且2∈A,3∉A,则实数a的取值范围是.解析:因为2∈A,所以 <0,即(2a-1)(a- 2)>0,解得a>2或a< .①若3∈A,则 <0,即( 3a-1)(a-3)>0,解得a>3或a< ,所以3∉A时, ≤a≤3,②①②取交集得实数a的取值范围是∪(2,3].答案: ∪(2,3]9.(2013济南3月模拟)已知集合A={-1,1},B={x|ax+1=0},若B⊆A,则实数a的所有可能取值组成的集合为.解析:若a=0时,B= ,满足B⊆A,若a≠0,B=(- ),∵B⊆A,∴- =-1或- =1,∴a=1或a=-1.所以a=0或a=1或a=-1组成的集合为{-1,0,1}.答案:{-1,0,1}10.已知集合A={x|x2+ x+1=0},若A∩R= ,则实数m的取值范围是.解析:∵A∩R= ,∴A= ,∴Δ=( )2-4<0,∴0≤m<4.答案:[0,4)11.已知集合A={x|x2-2x-3>0},B={x|x2+ax+b≤0},若A∪B=R,A∩B={x| 3解析:A={x|x<-1或x>3},∵A∪B=R,A∩B={x|3∴B={x|-1≤x≤4},即方程x2+ax+b=0的两根为x1=-1,x2=4.∴a=-3,b=-4,∴a+b=-7.答案:-7三、解答题12.已知集合A={-4,2a-1,a2},B={a-5,1-a,9},分别求适合下列条件的a的值.(1)9∈(A∩B);(2){9}=A∩B.解:(1) ∵9∈(A∩B),∴2a-1= 9或a2=9,∴a=5或a=3或a=-3.当a=5时,A={-4,9,25},B={0,-4,9};当a=3时,a-5=1-a=-2,不满足集合元素的互异性;当a=-3时,A={-4,-7,9},B={-8,4,9},所以a=5或a=-3.(2)由(1)可知,当a=5时,A∩B={-4,9},不合题意,当a=-3时,A∩B={9}.所以a=- 3.13.已知集合A={x|x2-2x-3≤0};B={x|x2-2mx+m2-4≤0,x∈R,m∈R}.(1)若A∩B=[0,3],求实数m的值;(2)若A⊆∁RB,求实数m的取值范围.解:由已知得A={x|-1≤x≤3},B={x|m-2≤x≤m+2}.(1)∵A∩B=[0,3],∴∴m=2.(2)∁RB={x|xm+2},∵A⊆∁RB,∴m-2>3或m+2<-1,即m>5或m<-3.14.设U=R,集合A={x |x2+3x+2=0},B={x|x2+(m+1)x+m=0},若(∁UA)∩B= ,求m的值.解:A={x|x=-1或x=-2},∁UA={x|x≠-1且x≠-2}.方程x2+(m+1)x+m=0的根是x1=-1,x2=-m,当-m=-1,即m=1时,B={-1},此时(∁UA)∩B= .当-m≠-1,即m≠1时,B={-1,-m},∵(∁UA)∩B= ,∴-m=-2,即m=2.所以m=1或m=2.高一数学必修一集合知识点集合的三个特性(1)无序性指集合中的元素排列没有顺序,如集合A={1,2},集合B={2,1},则集合A=B。
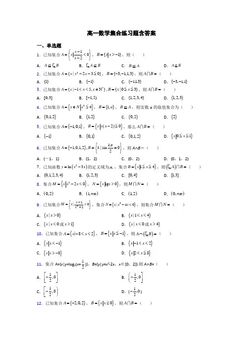
高一数学集合练习题及答案(新版)一、单选题1.已知集合2{|4}A x x =≥,则A =R( )A .()(),22,-∞-⋃+∞B .(][),22,-∞-+∞C .()2,2-D .[]22-,2.设全集(){},|R,R U x y x y =∈∈,集合(){},|cos sin 10A x y x y θθ=+-=,则UA 所表示的平面区域的面积为( )A .1πB C .1D .π3.若集合{A y y ==,{}3log 2B x x =≤,则A B =( ) A .(]0,9B .[)4,9C .[]4,6D .[]0,94.已知2{|1}A x x ==,1|B x x a ⎧⎫==⎨⎬⎩⎭,若B A ⊆,则a 的值为( )A .1或-1B .0或1或-1C .1-D .15.设集合1|05x A x x -⎧⎫=>⎨⎬-⎩⎭,{}|13B x x =-≤≤,则()A B =R ( ) A .{}|35x x ≤< B .{}|15x x ≤< C .{}|15x x -≤<D .{}|13x x ≤≤6.集合{}2{}|5,8,3100x x A B x =--≤=,则A B ⋂=R( )A .{}5B .{}8C .{}2,5,8-D .{}5-7.设全集U =R ,集合{}{}13,0,1,2,3,4,5A x x B =≤≤=,则()U A B =( ) A .{0,4,5}B .{0,1,3,4,5}C .{4,5}D .{0}8.已知函数()2log f x x =,()2g x a x =-,若存在[]12,1,2x x ∈,使得()()12f x g x =,则实数a 的取值范围是( ) A .()(),25,-∞⋃+∞ B .(][),25,-∞⋃+∞ C .()2,5D .[]2,59.已知集{}23A x x =+≥合,{}3,1,1,3B =--,则A B =( ) A .{}3B .{}1,3C .{}3,1--D .{}1,1,3-10.已知集合(){}0.2log 20A x x =->,{}24B x x =≤,则A B ⋃=( )A .[]22-,B .(]2,1-C .[)2,3-D .∅11.已知集合()(){}160M x x x =--<,{}1,2,3,5N =,则M N =( )A .{}1,2,3,5B .{}3,5C .{}2,3,5D .{}1,3,512.设集合{}*21230,1A x N x x B x Rx ⎧⎫=∈--≤=∈≥⎨⎬⎩⎭∣∣,则A B =( ) A .0,1B .{}1C .(]0,1D .{}0,113.设集合{}2Z20A x x x =∈--≤∣,{0,1,2,3}B =,则A B =( ) A .{0,1}B .{0,1,2}C .{1,0,1,2,3}-D .{2,1,0,1,2,3}--14.已知集合1|2,[,4]2xA xB a a ⎧⎫=>=+⎨⎬⎩⎭,若(]1,2A B =-,则=a ( )A .2B .1-C .2-D .5-15.给出下列关系:①13∈R ;Q ;③-3∉Z ;④∉N ,其中正确的个数为( ) A .1B .2C .3D .4二、填空题16.集合{}2,A x x k k ==∈Z ,{}25B x x =≤,那么A B =______.17.若A ={}(,)21x y y x =-,B ={}2(,)x y y x =,则AB =____________18.已知集合[)[)2,6,1,4A B ==-,则A B ⋃=__________.19.若{}31,3,a a ∈-,则实数a 的取值集合为______.20.下列命题中正确的有________(写出全部正确的序号).①{2,4,6}⊆{2,3,4,5,6};②{菱形}⊆{矩形};③{x |x 2=0}⊆{0}; ④{(0,1)}⊆{0,1};⑤{1}∈{0,1,2};⑥{}|2x x ≥ {}|1x x >.21.若全集S ={2, 3, 4},集合A ={4, 3},则S A =____;若全集S ={三角形},集合B ={锐角三角形},则S B =______;若全集S ={1, 2, 4, 8}, A =∅,则S A =_______;若全集U ={1, 3, a 2+2a +1},集合A ={1, 3},UA ={4},则a =_______;已知U 是全集,集合A ={0,2, 4},UA ={-1, 1},UB ={-1, 0, 2},则B =_____.22.已知集合{}22A x x =-≤≤,若集合{}B x x a =≤满足A B ⊆,则实数a 的取值范围____________.23.若“x a >”是“39x >”的必要条件,则a 的取值范围是________.24.某学校开设校本课程,高一(2110)班确定了数学类、英语类、历史类三个类别校本课程供班上的40名学生选择参加,且40名学生全部参与选择.其中只选数学类的有8人,只选英语类的有8人,只选历史类的有8人,既选数学类又选英语类的有7人,既选数学类又选历史类的有11人,既选英语类又选历史类的有8人,则三类课程都选择参加的有___________人.25.若集合1,24k M x x k Z ⎧⎫==+∈⎨⎬⎩⎭,1,42k N x x k Z ⎧⎫==+∈⎨⎬⎩⎭,则集合M 、N 之间的关系是______.三、解答题26.设全集U =R ,集合{}{}24,3782A x x B x x x =≤<=->- (1)求(),U A B A B ⋃⋂;(2)若集合{}20C x x a =+>,且C C =B ∪,求a 的取值范围.27.已知集合2{|23}A x a x a =≤≤+,{|14}B x x =-≤≤,全集U =R . (1)当1a =时,求U ()A B ;(2)当A =∅时,求实数a 的取值范围;(3)若“x A ∈”是“x B ∈”的充分条件,求实数a 的取值范围.28.已知{}1,{|A x x a B x y =->==(1)若a =2,求A B(2)已知全集U =R ,若()()U U A B ⊆,求实数a 的取值范围29.不等式5212xx ->+的解集是A ,关于x 的不等式22450x mx m --≤的解集是B . (1)若1m =,求A B ;(2)若A B B ⋃=,求实数m 的取值范围.(3)设:p 实数x 满足22430x ax a -+<,其中>0a ,命题:q 实数x 满足2260280x x x x ⎧--≤⎨+->⎩.若p 是q 的必要不充分条件,求实数a 的取值范围.30.已知集合()(){}{}250121A x x x B x m x m =+-<=+≤≤-,. (1)当3m =时,求集合()A B R ; (2)若A B B =,求实数m 的取值范围.【参考答案】一、单选题 1.C 【解析】 【分析】先求得集合{|2A x x =≤-或2}x ≥,结合集合补集的概念及运算,即可求解. 【详解】由不等式24x ≥,解得2x -≤或2x ≥,即集合{|2A x x =≤-或2}x ≥, 根据集合补集的概念及运算,可得(){|22}2,2A x x =-<<=-R.故选:C. 2.D 【解析】 【分析】求出原点到直线(系)的距离,即可判断集合A ,从而得到UA ,即可求出所表示的平面区域的面积; 【详解】解:对于直线(系)cos sin 10x y θθ+-=,则坐标原点()0,0到直线的距离1d ==,则集合(){},|cos sin 10A x y x y θθ=+-=表示平面上所有到原点距离等于1的直线上的点组成的集合,全集(){},|R,R U x y x y =∈∈表示坐标平面上的所有点的集合, 所以(){}22,|1UA x y x y =+<,则UA 所表示的平面区域的面积为π;故选:D 3.A 【解析】 【分析】先解出集合A 、B,再求A B . 【详解】因为{{}0A y y y y ===≥,{}{}3log 209B x x x x =≤=<≤,所以{}09A B x x ⋂=<≤.故选:A . 4.A 【解析】 【分析】A ={-1,1},若B A ⊆,则1a=±1,据此即可求解﹒ 【详解】{}2{|1}1,1A x x ===-,11|B x x a a ⎧⎫⎧⎫===⎨⎬⎨⎬⎩⎭⎩⎭, 若B A ⊆,则1a=1或-1,故a =1或-1. 故选:A . 5.D 【解析】 【分析】求解分式不等式的解集,再由补集的定义求解出A R,再由交集的定义去求解得答案.【详解】1015x x x ->⇒<-或5x >,所以{}15A x x =≤≤R , 所以得(){}13A B x x ⋂=≤≤R . 故选:D 6.B 【解析】 【分析】先求出集合B ,进而求出集合B 的补集,根据集合的交集运算,即可求出A B ⋂R.【详解】因为{}()(){}{}2310052025x x x x x B x x x ===--≤-+≤-≤≤,所以{5B x x =>R 或}2x <-, 所以{}8A B =R故选:B. 7.A 【解析】 【分析】由集合的补集和交集的运算可得. 【详解】 由题可得{1U A x x =<或3}x >,所以(){0,4,5}=UA B .故选:A . 8.D【解析】 【分析】根据条件求出两个函数在[1,2]上的值域,结合若存在[]12,1,2x x ∈,使得12()()f x g x =,等价为两个集合有公共元素,然后根据集合关系进行求解即可. 【详解】当12x ≤≤时,22log 1()log 2f x ≤≤,即0()1f x ≤≤,则()f x 的值域为[0,1], 当12x ≤≤时,4()2a g x a -≤≤-,则()g x 的值域为[4,2]a a --, 因为存在[]12,1,2x x ∈,使得12()()f x g x =, 则[4,2][0,1]a a --≠∅ 若[4,2][0,1]a a --=∅, 则14a <-或02a >-, 得5a >或2a <,则当[4,2][0,1]a a --≠∅时,25a ≤≤, 即实数a 的取值范围是[2,5],A ,B ,C 错,D 对. 故选:D . 9.B 【解析】 【分析】化简集合A ,由交集定义直接计算可得结果. 【详解】化简可得{|1}A x x =≥,又{}3,1,1,3B =-- 所以{1,3}A B =. 故选:B. 10.C 【解析】 【分析】解对数不等式确定集合A ,解二次不等式确定集合B ,然后由并集定义计算. 【详解】由题意{|021}{|23}A x x x x =<-<=<<,{|22}B x x =-≤≤, 所以{|23}[2,3)A B x x =-≤<=-. 故选:C . 11.C 【解析】 【分析】求出集合M ,利用交集的定义可求得结果. 【详解】()(){}{}16016M x x x x x =--<=<<,因此,{}2,3,5MN =.故选:C. 12.B 【解析】 【分析】先求出结合,A B ,再根据集合的交集运算,即可求出结果. 【详解】因为{}{}{}*2*N 230N 131,2,3A x x x x x =∈--≤=∈-≤≤=∣, {}1101B x x x x ⎧⎫=∈≥=∈<≤⎨⎬⎩⎭R R所以{}1A B =. 故选:B. 13.B 【解析】 【分析】解一元二次不等式,得到集合A ,根据集合的交集运算,求得答案. 【详解】解不等式220x x --≤得:12x -≤≤ ,故{}2Z20{1,0,1,2}A x x x =∈--≤=-∣, 故{0,1,2}A B ⋂=, 故选:B 14.C 【解析】 【分析】求出集合A 的解集,由(]1,2A B =-,列出满足题意的关系式求解即可得答案. 【详解】解:因为{}{}11|2|22|1(1,)2x x A x x x x -⎧⎫=>=>=>-=-+∞⎨⎬⎩⎭,[,4]B a a =+,又(1,2]A B ⋂=-,所以421a a +=⎧⎨≤-⎩,即2a =-,故选:C. 15.B 【解析】 【分析】根据数集的定义,即可得答案;【详解】13是实数,①②错误;-3是整数,③④正确.所以正确的个数为2. 故选:B.二、填空题16.{}2,0,2-【解析】 【分析】根据集合A 的含义,直接求解A B ⋂即可. 【详解】因为集合A 表示元素为偶数的集合,又{}2|5{|B x x x x =≤=≤≤,故{}2,0,2A B ⋂=-. 故答案为:{}2,0,2-.17.{(1,1)}【解析】 【分析】由集合中的条件组成方程组求解可得. 【详解】 将21y x =-代入2y x ,得2210x x -+=,解得1x =,则211y =-=,所以{(1,1)}A B =. 故答案为:{(1,1)} 18.[1-,6) 【解析】 【分析】直接利用并集运算得答案. 【详解】[2A =,6),[1B =-,4),[2AB ∴=,6)[1-,4)[1=-,6).故答案为:[1-,6).19.{}0,1,3【解析】 【分析】根据元素的确定性和互异性可求实数a 的取值. 【详解】因为{}31,3,a a ∈-,故1a =-或3a =或3a a =,当1a =-时,31a =-,与元素的互异性矛盾,舍; 当3a =时,327a =,符合;当3a a =时,0a =或1a =±,根据元素的互异性,0,1a =符合, 故a 的取值集合为{}0,1,3. 故答案为:{}0,1,3 20.①③⑥ 【解析】 【分析】根据集合间的基本关系中的子集、真子集的定义及元素与集合的关系即可求解. 【详解】对于①,2,4,6}{2,3,4,5,6∈,则{2,4,6}⊆{2,3,4,5,6},故①正确; 对于②,菱形不属于矩形,则{菱形} {矩形},故②不正确; 对于③,由20x =,解得0x =,则{x |x 2=0}⊆{0},故③正确; 对于④,()}{0,10,1∉,则{(0,1)}⊆{0,1},故④不正确;对于⑤,集合与集合不能用属于与不属于关系表示,所以{1}∈{0,1,2}不正确; 对于⑥,{}|2x x ≥ {}|1x x >,故⑥正确. 故答案为:①③⑥.21. {2} {直角三角形或钝角三角形} {1, 2, 4, 8} 1或-3##-3或1 {1, 4}##{}4,1 【解析】 【分析】利用补集的定义,依次分析即得解 【详解】若全集S ={2, 3, 4},集合A ={4, 3},由补集的定义可得S A ={2};若全集S ={三角形},集合B ={锐角三角形},由于三角形分为锐角、直角、钝角三角形,故S B ={直角三角形或钝角三角形};若全集S ={1, 2, 4, 8}, A =∅,由补集的定义S A ={1, 2, 4, 8}; 若全集U ={1, 3, a 2+2a +1},集合A ={1, 3},UA ={4},故{1,3,4}UU A A =⋃=即2214a a ++=,即223(1)(30a a a a +-=-+=),解得=a 1或-3; 已知U 是全集,集合A ={0, 2, 4},UA ={-1, 1},故{1,0,1,2,4}UU A A =⋃=-,UB ={-1, 0, 2},故B ={1, 4}故答案为:{2},{直角三角形或钝角三角形},{1, 2, 4, 8},1或-3,{1, 4} 22.[2,+∞) 【解析】 【分析】根据A B ⊆结合数轴即可求解.【详解】∵{}22A x x =-≤≤≠∅,A B ⊆, ∴A 与B 的关系如图:∴a ≥2.故答案为:[2,+∞).23.2a ≤【解析】 【分析】根据题意39x >解得:2x >,得出()()2,,a +∞⊆+∞,由此可得出实数a 的取值范围. 【详解】根据题意39x >解得:2x >,由于“x a >”是“39x >”的必要条件,则()()2,,a +∞⊆+∞,2a ∴≤. 因此,实数a 的取值范围是:2a ≤. 故答案为:2a ≤. 24.5 【解析】 【分析】设三类课程都选择参加的学生有x 人,由题意得()()()83711840x x x x ⨯+-+-+-+=,解方程可求得结果 【详解】设三类课程都选择参加的学生有x 人,由题意得()()()83711840x x x x ⨯+-+-+-+=,解得5x =. 故答案为:5 .M N 【解析】 【分析】从两个集合的元素特征入手整理化简,再判定两集合的包含关系进行求解. 【详解】因为121,Z ,Z 244k k M x x k x x k ⎧⎫⎧⎫+==+∈==∈⎨⎬⎨⎬⎩⎭⎩⎭, 1+2,Z =,Z 424k k N x x k x x k ⎧⎫⎧⎫==+∈=∈⎨⎬⎨⎬⎩⎭⎩⎭,若x M ∈,则21(21)244k k x +-+==, 因为Z k ∈,所以21Z k -∈,所以x ∈N ,所以M N ⊆,又因为0N ∈,0M ∉,所以M N .故答案为:M N .三、解答题26.(1){|2}A B x x ⋃=≥,(){}|4U A B x x ⋂=≥(2)6a ≥-【解析】【分析】(1)根据交集,并集和补集的定义即可得出答案;(2)根据C C =B ∪,可得B C ⊆,从而可得出答案.(1) 解:{}|24,A x x =≤<{}{}37823B x x x x x =->-=>, ∴{|2U A x x =<或4}x ≥,{|2}A B x x ∴⋃=≥,(){}|4;U A B x x ⋂=≥(2) 解:{}202a C x x a x x ⎧⎫=+>=>-⎨⎬⎩⎭, B C C =,B C ∴⊆, 所以32a -≤,解得6a ≥-. 27.(1)[)1,1-;(2)()(),13,∞∞--⋃+; (3)()1,3,2∞∞⎛⎤-⋃+ ⎥⎝⎦. 【解析】【分析】(1)根据集合的补运算和交运算,求解即可;(2)根据题意,求解关于a 的一元二次不等式,即可求得范围;(3)根据集合之间的关系,列出不等关系,求解即可.(1)当1a =时,{|15}A x x =≤≤,{|14}B x x =-≤≤,故U ()A B {|1x x =<或{}5}|14{|11}x x x x x >⋂-≤≤=-≤<. 即U ()A B [)1,1=-.(2)若A =∅,则223a a >+,即()()310a a -+>,解得1a <-或3a >,故实数a 的取值范围为:()(),13,∞∞--⋃+.(3)若“x A ∈”是“x B ∈”的充分条件,则A B ⊆,①A =∅时,1a <-或3a >满足题意;②A ≠∅,则13234a a -≤≤⎧⎨+≤⎩,得1-12a ≤≤ 综上所述,实数a 的取值范围为()1,3,2∞∞⎛⎤-⋃+ ⎥⎝⎦. 28.(1)(3,4][1,1)-;(2)(5,)(,2)+∞-∞-.【解析】【分析】(1)根据解绝对值不等式的方法,结合二次根式的性质、集合交集的定义进行求解即可; (2)根据解绝对值不等式的方法、集合补集的定义,结合子集的性质进行求解即可.(1)当a =2时,因为(3,)(,1)A =+∞-∞,[1,4]B =-,所以(3,4][1,1)A B =-;(2)(1,)(,1)A a a =++∞-∞-,[1,4]B =-因为()()U U A B ⊆,所以B A ⊆,因此有11a +<-或14a ->,解得2a <-或5a >,因此实数a 的取值范围为(5,)(,2)+∞-∞-.29.(1){}|11A B x x ⋂=-≤<;(2)(][),12,-∞-⋃+∞(3)(]1,2【解析】【分析】(1)分别解出解出集合A ,B ,再求A B ;(2)由A B B ⋃=得到A B ⊆.对m 分类讨论,分0m >, 0m =和0m <三种情况,分别求出m 的范围,即可得到答案;(3)用集合法列不等式组,求出a 的范围.(1) 由5212x x ->+的解集是A ,解得:{}|21A x x =-<<. 当m =1时,22450x mx m --≤可化为2450x x --≤,解得{}|15B x x =-≤≤.所以{}|11A B x x ⋂=-≤<.(2)因为A B B ⋃=,所以A B ⊆.由(1)得:{}|21A x x =-<<.当0m >时,由22450x mx m --≤可解得{}|5B x m x m =-≤≤.要使A B ⊆,只需512m m ≥⎧⎨-≤-⎩,解得:2m ≥;当0m =时,由22450x mx m --≤可解得{}0B =.不符合A B ⊆,舍去;当0m <时,由22450x mx m --≤可解得{}|5B x m x m =≤≤-.要使A B ⊆,只需152m m -≥⎧⎨≤-⎩,解得:1m ≤-;所以,1m ≤-或2m ≥.所以实数m 的取值范围为:(][),12,-∞-⋃+∞.(3)设关于x 的不等式22430x ax a -+<(其中>0a )的解集为M ,则(),3M a a =;不等式组2260280x x x x ⎧--≤⎨+->⎩的解集为N ,则(]2,3N =; 要使p 是q 的必要不充分条件,只需N M ,即233a a ≤⎧⎨>⎩,解得:12a <≤. 即实数a 的取值范围(]1,2.30.(1){}()5R A B ⋂=(2){}3|m m <【解析】【分析】(1)由题知{}25A x x =-<<{}|45B x x =≤≤,再根据集合交集,补集运算求解即可; (2)由题知B A ⊆,再分B =∅和B ≠∅两种情况讨论求解即可.(1) 解:集合()(){}{}25025A x x x x x =+-<=-<<,当3m =时,{}|45B x x =≤≤,所以{|2R A x x =≤-或5}x所以{}()5R A B ⋂=.(2)因为A B B =,所以B A ⊆,①当B =∅时,121m m +>-,解得2m < ,此时B A ⊆②当B ≠∅时,应满足12112215m m m m +≤-⎧⎪+>-⎨⎪-<⎩,解得23m ≤<,此时B A ⊆ 综上,m 的取值范围是{}3|m m <。
{}m高一数学 集合练习题(答案)一、选择题1. 若集合X = {x | x > -1},下列关系式中成立的为( )A .0 ⊆ X B .{0}∈ XC .∈ XD .{0} ⊆ X2.50 名同学参加跳远和铅球测验,跳远和铅球测验成绩分别为及格40 人和31人,2 项测验成绩均不及格的有4 人, 2 项测验成绩都及格的人数是( )A .35 B . 25 C . 28 D .15A = x | x 2 + 3. 已知集合mx +1 = 0 , 若A R =则实数 的取值范围是( )A. m < 4B. m > 4C .0 ≤ m < 4 D .0 ≤ m ≤ 44. 下列说法中,正确的是()任何一个集合必有两个子集; 若A B =, 则 A , B 中至少有一个为任何集合必有一个真子集;若 S 为全集,且 A B = S , 则 A = B = S ,5. 若U 为全集,下面三个命题中真命题的个数是()(1) 若 A B = ,则(C U A ) (C U B ) = U (2) 若A B = U ,则(C U A ) (C U B ) =(3)若 A B =,则A = B = A .0 个 B .1个 C .2 个 D .3 个 M = {x | x = k + 1, k ∈ Z } N = {x | x = k + 1 , k ∈ Z }6. 设集合 2 4 , 4 2 ,则( )A. M = NB. MNC .N MD .M N ={ }C N⎨7.设集合A = {x | x 2 - x = 0},B = {x | x 2 + x = 0} ,则集合 A B = ( )A .0 B .{0}二、填空题C .D .{-1, 0,1}1. 已知M = {y | y = x 2 - 4x + 3, x ∈ R }, N = {y | y = -x 2 + 2x + 8, x ∈ R }则M N = 。
高一数学集合练习题含答案一、单选题1.已知集合102x A xx -⎧⎫=<⎨⎬-⎩⎭,{1}B x x =>-,则( ) A .RA B ⊆ B .RA B ⊆ C .B A ⊆ D .A B ⊆ 2.已知集合2230{|}A x x x =--≤,{3,1,1,3}B =--,则A B =( )A .{1}B .{}1-C .{}113-,, D .{3,1,1}-- 3.已知集合*{|15,N }A x x x =-<<∈,{|03}B x x =≤≤,则A B =( ) A .[0,3]B .[1,5)-C .{1,2,3,4}D .{}1,2,34.已知集合{}24A x N x =∈≤,{}1,B a =,B A ⊆,则实数a 的取值集合为( )A .{}0,1,2B .{}1,2C .{}0,2D .{}25.已知集合{}1,0,1A =-,(){}20B x x x =-≤,那么A B =( ) A .{}1-B .{}0,1C .{}0,1,2D .{}01x x ≤≤6.已知集合{}1,0,1,2,|sin 02k A B k π⎧⎫=-==⎨⎬⎩⎭,则A ∩B =( ) A .{-1,1} B .{1,2} C .{0,2} D .{0,1,2}7.已知函数()2ln 3y x x =-的定义域为A ,集合{}14B x x =≤≤,则()A B =R ( )A .{0,1,2,3,4}B .{1,2,3}C .[0,4]D .[1,3]8.集合{}220M x x x =-<,{}lg 0N x x =>,则MN =( )A .()0,2B .()1,+∞C .()1,2D .()0,∞+9.已知集合21|01x M x x -⎧⎫=>⎨⎬+⎩⎭,集合{}2|40N x x x =-<,则集合M N =( )A .{}|0x x >B .{}|14x x <<C .{|0x x <或}1x >D .{|0x x <或}4x >10.已知集合{}82A xx =-<<∣,{}1B x x =≤-,则()R A B ⋂=( ) A .{}1x x <- B .{}12x x -<< C .{}8x x >-D .{}28x x <≤11.集合A ={x |y =log 2(x +12)},B ={y |y =x 2-2x ,x ∈[0,2]}.则A ∩B =( )A .1,02⎡⎤-⎢⎥⎣⎦B .1,02⎛⎤- ⎥⎝⎦C .1,02⎡⎫-⎪⎢⎣⎭D .(102-,) 12.已知集合{}2,0,2A =-,{}0B x x =≥,则A B =( )A .{}0,2B .{}2C .{}2,2-D .2,0,213.已知集合{|03}A x x =<<,集合2{|0log 1}B x x =<<,则A ∩B =( )A .{|13}x x <<B .{|12}x x <<C .{|23}x x <<D .{|02}x x <<14.已知集合{}12,12x A y y x -==≤≤,|lg 2Bx y x,则下列结论正确的是( )A .AB ⊆B .[]0,2A B =C .(],2A B ⋃=-∞D .()R B A =⋃R15.已知集合{}2280,Z A x x x x =--<∈,则A 的非空子集的个数为( )A .32B .31C .16D .15二、填空题16.如图,四个棱长为1的正方体排成一个正四棱柱,AB 是一条侧棱,()1,2,,8i P i =是上底面上其余的八个点,()1,2,,8i i x AB AP i =⋅=则用集合列举法表示i x 组成的集合______.17.组成平面图形的点的集合是P ,这个平面图形所在的平面上的所有点组成的集合为Q ,那么P 与Q 的关系是___________.18.若A ={}(,)21x y y x =-,B ={}2(,)x y y x =,则A B =____________19.已知集合[)[)2,6,1,4A B ==-,则A B ⋃=__________.20.已知{}12A x x =-<≤,{}20B x x =-≤<,A B =________________.21.立德中学有35人参加“学党史知识竞赛”若答对第一题的有20人,答对第二题的有16人,两题都答对的有6人,则第一、二题都没答对的有___人.22.已知集合{}2280A x x x =--<,非空集合{}23B x x m =-<<+,若x B ∈是x A ∈成立的一个充分而不必要条件,则实数m 的取值范围是___________. 23.已知集合{}1,2,3A =,{}1,0,1B =-,则A B ⋃=___________. 24.已知函数()94sin3264x x f x π-⋅+=,()21g x ax =-(0a >).若[]130,log 2x ∀∈,[]21,2x ∃∈,()()12f x g x =,则a 的取值范围是___________. 25.若集合M 满足{}1,2,3,4M,则这样的集合M 有______个.三、解答题26.已知M 由0,2,4,6,8组成的集合,{|33}Z N x x =∈-≤. (1)用列举法表示集合N ,用描述法表示集合M (书写格式要规范)(2)若∃x ∈B 而x ∉ A ,则称B 不是A 的子集.结合集合M ,N 写出5个含M 中3个元素但不是M 的子集的集合.27.已知集合{}|3217A x x =-<-<,集合}{23B x a x a =≤≤+.(1)若命题p :x A ∈,命题q :x B ∈,若p 是q 的必要条件,求实数a 的取值范围; (2)若A B =∅,求实数a 的取值范围.28.已知集合{|211},{|01}A x a x a B x x =-<<+=≤≤.(1)在①1a =-,②0a =,③1a =这三个条件中选择一个条件,求A B ; (2)若R ()A B A ⋂=,求实数a 的取值范围.29.已知集合1284xA x ⎧⎫=<<⎨⎬⎩⎭,集合{}()00B x x a a =<<>.(1)当5a =时,求A B ;(2)若A B B =,求实数a 的取值范围.30.已知集合6|32M x x ⎧⎫=>⎨⎬+⎩⎭,{|53}N x t x t =<<+. (1)当1t =-时,求M N ⋂; (2)若M N ⊆,求实数t 的取值范围.【参考答案】一、单选题 1.D 【解析】 【分析】首先解分式不等式求出集合A ,再根据补集的定义求出RA 、RB ,再根据集合间解得基本关系判断可得; 【详解】 解:由102x x -<-,等价于()()120x x --<,解得12x <<, 所以{}10|122x A xx x x -⎧⎫=<=<<⎨⎬-⎩⎭,{}R|12A x x x =≤≥或又{1}B x x =>-,所以{}R 1B x x =≤-, 所以A B ⊆ 故选:D 2.C 【解析】 【分析】先化简集合A ,再求集合A 与集合B 的交集 【详解】()()2230310x x x x --≤⇒-+≤13x ⇒-≤≤,,即{}|13A x x =-≤≤, 所以{}1,1,3A B ⋂=-, 故选:C. 3.D 【解析】 【分析】根据集合的交集的概念可求出结果. 【详解】 {1,2,3,4}A =, {1,2,3}A B ⋂=.故选:D【解析】 【分析】化简集合A ,根据B A ⊆求实数a 的可能取值,由此可得结果. 【详解】因为集合{}24A x N x =∈≤化简可得{0,1,2}A =又{}1,B a =,B A ⊆, 所以0a =或2a =,故实数a 的取值集合为{0,2}, 故选:C. 5.B 【解析】 【分析】先化简集合B ,再求A B 【详解】()20x x -≤02x ⇒≤≤,所以{}|02B x x =≤≤ 所以{}0,1A B = 故选:B 6.C 【解析】 【分析】先求{}2,B k k n n Z ==∈,再求交集即可. 【详解】∵集合{}1,0,1,2A =-,{}sin 0?2,2k B k k k n n Z π⎧⎫====∈⎨⎬⎩⎭, 则{}0,2A B =. 故选:C . 7.D 【解析】 【分析】根据对数函数的性质,可知230x x ->,由此即可求出集合A ,进而求出A R,再根据交集运算即可求出结果. 【详解】由题意可知,230x x ->,所以0x <或3x >, 所以{}{}03A x x x x =<>,故{}03A x x =≤≤R,所以()[]1,3R A B =. 故选:D.【解析】 【分析】根据解一元二次不等式的方法、对数函数的单调性,结合集合交集的定义进行求解即可. 【详解】因为()0,2M =,()1,N =+∞, 所以()1,2M N ⋂=, 故选:C 9.B 【解析】 【分析】分别化简集合M ,N 再求交集即可 【详解】2101011x x x x ->⇒->⇒>+ ()2404004x x x x x -<⇒-<⇒<< 则{}|1M x x =>,{}04|N x x =<<, 所以{}|14M N x x ⋂=<< 故选:B 10.B 【解析】 【分析】根据补集的运算,求得{}R |1B x x =>-,结合交集的概念及运算,即可求解. 【详解】由题意,集合{}1B x x =≤-,可得{}R |1B x x =>-又由{}82A xx =-<<∣,所以(){}R 12A B x x ⋂=-<<. 故选:B. 11.B 【解析】 【分析】分别解出A 、B 集合,再求交集即可. 【详解】 集合A :11022x x +>⇒>-; 集合B :222(1)1,[0,2]y x x x x =-=--∈, [1,0]y ∈-所以:1(,0]2A B -=【点睛】本题考查集合的交集运算.属于基础题.正确解出A 、B 集合是本题的基础. 12.A 【解析】 【分析】利用交集的定义可求得结果. 【详解】由已知可得{}0,2A B =. 故选:A. 13.B 【解析】 【分析】化简集合B ,再求集合A,B 的交集即可. 【详解】∵集合{|03}A x x =<<,集合2{|0lo {|}g 121}B x x x x =<<<<=, ∴A B ={|12}x x <<. 故选:B. 14.C 【解析】 【分析】求函数的值域求得集合A ,求函数的定义域求得集合B ,由此对选项进行分析,从而确定正确答案. 【详解】112,011,122x x x -≤≤≤-≤≤≤,所以[]1,2A =,20,2x x -><,所以(),2B =-∞. ∵2A ∈,2B ∈/,故A 错,B 错; ∵R2A ∈/,2B ∈/,∴()R 2A B ∈/,D 错.(],2A B ⋃=-∞,C 正确.故选:C 15.B 【解析】 【分析】求出集合A ,利用集合的非空子集个数公式可求得结果. 【详解】{}{}{}2280,Z 24,Z 1,0,1,2,3A x x x x x x x =--<∈=-<<∈=-,即集合A 含有5个元素,则A 的非空子集有52131-=(个).二、填空题 16.{}1【解析】 【分析】由空间向量的加法得:i i AP AB BP =+,根据向量的垂直和数量积得221AB AB ==,0i AB BP ⋅=计算即可.【详解】由题意得,()2i i i i x AB AP AB AB BP AB AB BP =⋅=⋅+=+⋅又AB ⊥平面286BP P P ,i AB BP ∴⊥,则0i AB BP ⋅=,所以221i i x AB AB BP AB =+⋅==, 则()1,2,,81i i x AB AP i =⋅==,故答案为:{}1 17.P Q ≠⊂ 【解析】 【分析】根据两个集合中的元素可判断出包含关系. 【详解】集合P 包含的所有元素都在集合Q 中,且集合Q 包含集合P 所不包含的其他元素,P Q ≠∴⊂.故答案为:P Q ≠⊂ 18.{(1,1)}【解析】 【分析】由集合中的条件组成方程组求解可得. 【详解】 将21y x =-代入2y x ,得2210x x -+=,解得1x =,则211y =-=,所以{(1,1)}A B =. 故答案为:{(1,1)} 19.[1-,6) 【解析】 【分析】直接利用并集运算得答案.[2A =,6),[1B =-,4),[2AB ∴=,6)[1-,4)[1=-,6).故答案为:[1-,6).20.{}10x x -<<【解析】 【分析】由交集运算求解即可. 【详解】A B ={}{}{}122010x x x x x x -<≤⋂-≤<=-<<故答案为:{}10x x -<< 21.5 【解析】 【分析】集合元素计算,只对第一题,只对第二题,二题都答对和二题都不对,总数为35人. 【详解】设第一、二题都没答对的有x 人, 则()()206166635x -+-++= ,所以5x = 故答案为:522.()5,1-【解析】 【分析】根据逻辑条件关系与集合间的关系、一元二次不等式的解法即可求解. 【详解】由题意得,{}{}228024A x x x x x =--<=-<<,由x B ∈是x A ∈成立的一个充分而不必要条件,得B A ,即2334m m -<+⎧⎨+<⎩解得,51m -<<, 故答案为:()5,1-.23.{}10123-,,,, 【解析】 【分析】根据并集的定义可得答案. 【详解】{}1,2,3A =,{}1,0,1B =-,∴{}10123A B ⋃=-,,,,.故答案为:{}10123-,,,,.24.35,88⎡⎤⎢⎥⎣⎦【解析】 【分析】由题意,()f x 的值域为()g x 的值域子集,先求得两个函数的值域,再利用包含关系求得a 的取值范围. 【详解】 因为()()294sin32311644x x xf x π-⋅+-+==, 又当[]30,log 2x ∈时,0311x ≤-≤,()f x 的值域为11,42⎡⎤⎢⎥⎣⎦.因为0a >,所以()g x 在[]1,2上单调递增,其值域为[]21,41a a --. 依题意得[]11,21,4142a a ⎡⎤⊆--⎢⎥⎣⎦,则12141412a a ⎧-≤⎪⎪⎨⎪-≥⎪⎩,解得3588a ≤≤. 故答案为:35,88⎡⎤⎢⎥⎣⎦25.15 【解析】 【分析】结合真子集公式可直接求解. 【详解】 因为{}1,2,3,4M,故集合M 有42115-=个.故答案为:15三、解答题26.(1){}0,1,2,3,4,5,6N =;{2,4M x x k k ==≤且}N k ∈(答案不唯一); (2){}0,1,2,3,4,{}{}{}{}0,1,2,4,5,0,1,3,4,6,1,2,3,4,6,1,2,4,5,6(答案不唯一). 【解析】 【分析】(1)利用集合的列举法,描述法即得; (2)结合条件及子集的概念即得. (1)∵{|33}Z N x x =∈-≤, ∴{}0,1,2,3,4,5,6N =,∵M 由0,2,4,6,8组成的集合,∴{2,4M x x k k ==≤且}N k ∈(答案不唯一);(2)由题可得含M 中3个元素但不是M 的子集的集合为:{}0,1,2,3,4,{}{}{}{}0,1,2,4,5,0,1,3,4,6,1,2,3,4,6,1,2,4,5,627.(1){|3a a >或11}2a -<< (2){2a ≥或4}a ≤-【解析】【分析】(1)先根据一元二次不等式的解法求出集合A ,再根据必要条件与集合间的包含关系的等价联系,即可解出;(2)根据题意可知A B =∅,共有3种情况,分别求解即可.(1){3217}{14}A x x x x =-<-<=-<<∣∣, {}23B x a x a =≤≤+,由题知,q p ⇒,即B A ⊆,当B ≠∅时,341121223a a a a a +<⎧⎪∴⇒-<<>-⎨⎪≤+⎩, 当B =∅时,233a a a >+⇒>所以实数a 的取值范围为{|3a a >或11}2a -<<. (2)若A B =∅.当B =∅时,233a a a >+⇒>; 当B ≠∅时,242323a a a a ≥⎧⇒≤≤⎨≤+⎩或31423a a a a +≤-⎧⇒≤-⎨≤+⎩. 实数a 的取值范围为{|2a a ≥或4}a ≤-.28.(1)答案见解析(2)11a a ≤-≥或【解析】【分析】(1)分别对a 赋值,利用集合的并集进行求解;(2)先根据题意得到R A B ⊆,再利用集合间的包含关系进行求解,要注意A =∅的情形.(1)解:若选择①:当1a =-时,(3,0)A =-,因为[0,1]B =,所以(]3,1A B ⋃=-.若选择②:当0a =时,(1,1)A =-,因为[0,1]B =,所以(1,1]A B ⋃=-.若选择③:当1a =时,(1,2)A =,因为[0,1]B =,所以[)0,2A B ⋃=.(2)解:因为[0,1]B =,所以R (,0)(1,)B =-∞+∞.因为R ()A B A ⋂=,所以R A B ⊆,当A =∅时,2112a a a -≥+≥,即;当A ≠∅时,2210211a a a a <<⎧⎧⎨⎨+≤-≥⎩⎩或, 即112a a ≤-≤<或;综上,11a a ≤-≥或.29.(1){}03A B x x ⋂=<<(2)03a <≤【解析】【分析】(1)求出集合A ,利用交集的定义可求得结果;(2)由题意可得B A ⊆,即可得出实数a 的可能取值.(1)解:当5a =时,{}05B x x =<<, 因为{}128234x A x x x ⎧⎫=<<=-<<⎨⎬⎩⎭,因此,{}03A B x x ⋂=<<. (2)解:因为A B B =,则B A ⊆,所以,03a <≤.30.(1){}|20x x -<< (2)23,5⎡⎤--⎢⎥⎣⎦ 【解析】【分析】(1)解不等式得M ,再求,M N 交集(2)由题意列不等式组求解(1) 由632x >+化简得302x x <+,解得20x -<<,故{}|20M x x =-<<, 当1t =-时,{}52N x x =-<<,因此{}|20MN x x =-<<.(2) 因{}|20M x x =-<<,{}53N x t x t =<<+,M N ⊆,所以35 5230t ttt+>⎧⎪≤-⎨⎪+≥⎩,经计算得235t-≤≤-,故实数t的取值范围是2 3.5⎡⎤--⎢⎥⎣⎦,。
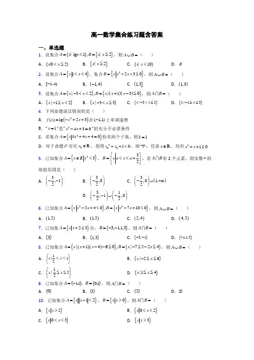
高一数学集合练习题含答案一、单选题1.设集合{}{lg 1},2A xx B x x =<=≤∣∣,则A B ⋃=( ) A .{02}x x <≤∣ B .{}2x x ≤∣ C .{10}x x <∣ D .R2.设集合{}14A x x =<<,集合{}2230B x x x =--≤,则A B ⋃=( ) A .[1,4)- B .()1,4- C .(]1,3 D .()1,3 3.设集合{}()(){}|32,|130A x x B x x x =-<<=+-≤,则A B =( )A .{}|12x x -≤<B .{}|33x x -<≤C .{}|32x x -<≤D .{}|13x x -≤≤ 4.下列命题说法错误的是( )A .()2()lg 23f x x x =-++在(1,1)-上单调递增B .“1x =”是“2430x x -+=”的充分不必要条件C .若集合{}2440A x kx x =++=恰有两个子集,则1k =D .对于命题:p 存在0R x ∈,使得20010x x ++<,则¬p :任意R x ∈,均有210x x ++≥ 5.已知集合{}23A x x =∈<Z ,32B x a x a ⎧⎫=<<+⎨⎬⎩⎭,若A B 有2个元素,则实数a 的取值范围是( )A .3,12⎛⎫-- ⎪⎝⎭B .3,02⎛⎫- ⎪⎝⎭C .()3,01,2⎛⎫-⋃+∞ ⎪⎝⎭D .31,1,022⎛⎫⎛⎫--⋃- ⎪ ⎪⎝⎭⎝⎭6.已知集合{}{}22540,7100A x x x B x x x =-+<=-+<,则A B ⋃=( ) A .()1,2 B .()1,5 C .()2,4 D .()4,5 7.已知集{}23A x x =+≥合,{}3,1,1,3B =--,则A B =( )A .{}3B .{}1,3C .{}3,1--D .{}1,1,3- 8.已知集合()(){}{}1460,7524||A x x x B x x =+--≤=-≤-≤,则A B ⋃=( ) A .1|12x x ⎧⎫⎨⎬⎩⎭≤≤ B .{}|26x x -≤≤C .1|52x x ⎧≤≤⎫⎨⎬⎩⎭D .{}|14x x ≤≤ 9.已知集合{}{}1101A B =-=,,,,则A B =( ) A .{0} B .{1} C .{2} D .∅10.已知集合{}12A x x =-<,{}0B x x =>,则A B =( )A .{}2x x >B .{}02x x <<C .{}03x x <<D .{}3x x >11.已知集合{}2,3,4,5A =,{}1,B a =,若{}5A B =,则=a ( )A .2B .3C .4D .512.已知集合{}21,A x x n n Z ==+∈,{}3B =,则A B =( ) A .{}1,3B .{}3,5,7,9C .{}3,5,7D .{}1,3,5,7,9 13.已知集合{}24A x x =<,401x B x x ⎧⎫-=≤⎨⎬+⎩⎭,则()R A B ⋂=( ) A .()2,0- B .()2,2- C .()2,1-- D .(]2,1--14.已知集合{}12,12x A y y x -==≤≤,|lg 2B x y x,则下列结论正确的是( ) A .A B ⊆B .[]0,2A B =C .(],2A B ⋃=-∞D .()R B A =⋃R15.全集{}0,1,2, 3,4U =----,{}{}0,1,2,0, 3, 4M N =--=--, 则()U MN =( )A .{}0B .{}3,4--C .{}1,2--D .∅ 二、填空题16.已知全集为{19,}I xx x N =≤≤∈∣,{3,6,9}A =,{2,4,6,8}B =,则A B =_______. 17.已知(){}22,1,01M x y x y y =+=<≤,(){},,N x y y x b b R ==+∈,如果M N ≠∅,那么b 的取值范围是______.18.某班有39名同学参加数学、物理、化学课外研究小组,每名同学至多参加两个小组.已知参加数学、物理、化学小组的人数分别为26,15,13,同时参加数学和物理小组的有6人,同时参加物理和化学小组的有4人,则同时参见数学和化学小组有多少人__________.19.设非空数集M 同时满足条件:①M 中不含元素1,0,1-;②若a M ∈,则11a M a+∈-,则下列结论不正确的个数是__________个.(1)集合M 中至多有2个元素;(2)集合M 中至少有4个元素;(3)集合M 中有且仅有4个元素;(4)集合M 中至多有4个元素. 20.已知集合{}{}0,1,2,1P Q xx ==∣,则P Q 的非空真子集的个数为__________. 21.设集合(),5P =-∞,[),Q m =+∞,若P Q =∅,则实数m 的取值范围是______.22.若集合{}3cos23,x A x x x R π==∈,{}21,B y y y R ==∈,则A B ⋂=_______. 23.已知全集为R ,集合()1,A =+∞,则A =__________.24.从集合M={}1,2,3,4,,2021中去掉所有3的倍数和5的倍数,则剩下的元素个数为______25.已知集合A ={x |2<x <4},B ={x |(x -1)(x -3)<0},则A ∩B 等于________.三、解答题26.设集合{}2230A x x x =--<,集合{}22B x a x a =-<<+. (1)若2a =,求()R A B ⋃; (2)设命题:p x A ∈,命题:q x B ∈,若p 是q 成立的必要不充分条件,求实数a 的取值范围.27.已知a ∈R ,集合(){}222log log 2A x R x x =∈≥,集合()(){}10B x R x x a =∈--<.(1)求集合A ;(2)若R B A ⊆,求a 的取值范围.28.已知全集{}N 05U x x =∈<<,集合{}21,2,A m =,{}2540B x x x =-+=. (1)求U B ;(2)若21U a B +∈且a U ∈,求实数a 的值;(3)设集合()U C A B =⋂,若C 的真子集共有3个,求实数m 的值.29.已知{}1,2,3,4,5,6,7,8U =,(){}1,8U A B ⋂=,(){}2,6U A B ⋂=,()(){}4,7U U A B ⋂=,求集合A ,B .30.已知集合{}2,560|U R A x x x ==-+≤,112B x x ⎧⎫=≤⎨⎬-⎩⎭. (1)求,A B ;(2)判断U x A ∈是x B ∈的什么条件.【参考答案】一、单选题1.C【解析】【分析】先化简集合A ,再求A B【详解】lg 1lg lg10010x x x <⇔<⇔<<,即{}010|A x x =<<,所以{}|10A B x x =<故选:C2.A【解析】【分析】利用集合的并集运算求解.【详解】 解:因为集合{}14A x x =<<,集合{}{}223013B x x x x x =--≤=-≤≤, 所以A B ⋃=[1,4)-,故选:A3.A【解析】【分析】首先解一元二次不等式求出集合B ,再根据交集的定义计算可得;【详解】解:由()()130x x +-≤,解得13x -≤≤,所以()(){}{}|130|13B x x x x x =+-≤=-≤≤,又{}|32A x x =-<<,所以{}|12A B x x ⋂=-≤<.故选:A4.C【解析】【分析】A.利用复合函数的单调性判断;B.利用充分条件和必要条件的定义判断;C.由方程2440kx x ++=有一根判断;D.由命题p 的否定为全称量词命题判断.【详解】A.令223t x x =-++,由2230x x -++>,解得13x ,由二次函数的性质知:t 在(1,1)-上递增,在(1,3)上递减,又lg y t =在()0,∞+上递增,由复合函数的单调性知:()2lg(23)f x x x =-++在(1,1)-上递增,故正确;B. 当1x =时,2430x x -+=成立,故充分,当2430x x -+=成立时,解得1x =或3x =,故不必要,故正确;C.若集合{}2440A x kx x =++=中只有两个子集,则集合只有一个元素,即方程2440kx x ++=有一根,当0k =时,1x =-,当0k ≠时,16160k ∆=-=,解得1k =,所以0k =或1k =,故错误;D.因为命题:p .存在0R x ∈,使得20010x x ++<是存在量词命题,则其否定为全称量词命题,即:p ⌝任意R x ∈,均有210x x ++≥,故正确;故选:C.5.D【解析】【分析】由题知{}1,0,1A =-,进而根据题意求解即可.【详解】 解:因为{}{}231,0,1A x Z x =∈<=-,32B x a x a ⎧⎫=<<+⎨⎬⎩⎭, 若A B 有2个元素,则13012a a <-⎧⎪⎨<+≤⎪⎩或10312a a -≤<⎧⎪⎨+>⎪⎩,解得312a -<<-或102a -<<, 所以,实数a 的取值范围是31,1,022⎛⎫⎛⎫--⋃- ⎪ ⎪⎝⎭⎝⎭. 故选:D .6.B【解析】【分析】先求出集合,A B ,再求A B 即可.【详解】{}{}14,25A x x B x x =<<=<<,故A B ⋃=()1,5.故选:B.7.B【解析】【分析】化简集合A ,由交集定义直接计算可得结果.【详解】化简可得{|1}A x x =≥,又{}3,1,1,3B =--所以{1,3}A B =.故选:B.8.B【解析】【分析】化简集合A 和B ,根据集合并集定义,即可求得答案.【详解】()(){}140|6A x x x =+--≤{}{}2=|310=|(5)(02)0x x x x x x ---+≤≤∴{}|25A x x =-≤≤ {}{}|=75241221|B x x x x =-≤-≤-≤-≤-∴1|62x x B ⎧⎫=≤⎨⎩≤⎬⎭∴{}{}1|25|6=|262A B x x x x x x ⎧⎫-≤⎨⎬⋃=≤≤⋃≤-≤⎩≤⎭故选:B.9.B【解析】【分析】根据集合的交集运算,直接求得答案.【详解】集合{}{}1101A B =-=,,,, 则{1}A B ⋂=,故选:B10.C【解析】【分析】解绝对值不等式可求得集合A ,由交集定义可得结果.【详解】{}{}{}1221213A x x x x x x =-<=-<-<=-<<,{}03A B x x ∴⋂=<<.故选:C.11.D【解析】【分析】根据集合的交运算结果,即可求得参数值.【详解】因为{}5A B =,故可得{}51,a ∈,则5a =.故选:D.12.D【解析】【分析】根据集合交集运算直接求解可得.【详解】3得110x ≤<,则{1,3,5,7,9}A B =.故选:D13.D【解析】【分析】求出集合A 、B ,利用补集和交集的定义可求得集合()R A B .【详解】 因为{}{}2422A x x x x =<=-<<,{}40141x B x x x x ⎧⎫-=≤=-<≤⎨⎬+⎩⎭, 则{R 1B x x =≤-或}4x >,因此,()(]R 2,1A B =--.故选:D.14.C【解析】【分析】 求函数的值域求得集合A ,求函数的定义域求得集合B ,由此对选项进行分析,从而确定正确答案.【详解】112,011,122x x x -≤≤≤-≤≤≤,所以[]1,2A =,20,2x x -><,所以(),2B =-∞.∵2A ∈,2B ∈/,故A 错,B 错;∵R 2A ∈/,2B ∈/,∴()R 2A B ∈/,D 错.(],2A B ⋃=-∞,C 正确.故选:C15.C【解析】【分析】根据补集与交集的运算可直接求解.【详解】由题{}1,2U N =--,故(){}1,2U M N ⋂=--.故选:C二、填空题16.{}3,9【解析】【分析】首先求I 和B ,再求A B .【详解】{}1,2,3,4,5,6,7,8,9I =,{3,6,9}A =,{2,4,6,8}B =,{}1,3,5,7,9B =,所以{}3,9A B =.故答案为:{}3,917.(1,2⎤-⎦【解析】【分析】数形结合,进行求解.【详解】M 是以原点为圆心,1为半径的圆位于x 轴上方部分上的点,N 为直线y x b =+上的点,如图,当直线过点()1,0时,此时11b =-,当直线与半圆相切时,此时圆心到直线距离111bd ==+,解得:22b =±,因为直线与y 轴交点在y 轴正半轴,故22b =,由图可知:b 的取值范围是(1,2⎤-⎦.故答案为:(2- 18.5【解析】设参加数学、物理、化学小组的同学组成的集合分别为A ,B 、C ,根据容斥原理可求出结果.【详解】设参加数学、物理、化学小组的同学组成的集合分别为A ,B 、C ,同时参加数学和化学小组的人数为x ,因为每名同学至多参加两个小组,所以同时参加三个小组的同学的人数为0,如图所示:由图可知:20654939x x x -+++++-=,解得5x =,所以同时参加数学和化学小组有5人.故答案为:5.19.3【解析】【分析】 由题意可求出11,,11,1a a a a a a -+--+都在M 中,然后计算这些元素是否相等,继而判断M 的元素个数的特点.【详解】 因为若a M ∈,则11a M a +∈-,所以1111111a a M a a a ++-=-∈+--,111111a a M a a --=∈++, 则11211211a a a a M a a -++==∈--+; 当1,0,1a ≠-时,4个元素11,,11,1a a a a a a -+--+中,任意两个元素都不相等, 所以集合M 中至少有4个元素.故可判断出(1)错误,(2)正确,(3)错误,(4)错误,故答案为:3.20.2【解析】先求P Q 后再计算即可.【详解】{}1,2,P Q P Q ⋂=∴⋂的非空真子集的个数为2222-=. 故答案为:221.5m ≥【解析】【分析】由交集和空集的定义解之即可.【详解】(),5P =-∞,[),Q m =+∞由P Q =∅可知,5m ≥故答案为:5m ≥22.{}1【解析】【分析】易知{}1,1B =-,分别验证1,1-和集合A 的关系即可得结果.【详解】 因为{}{}21,1,1B y y y R ==∈=-,13cos 23π=,()13cos 23π--≠,即1A ∈,1A -∉, 所以{}1A B ⋂=,故答案为:{}1.23.(],1-∞【解析】【分析】直接利用补集的定义求解即可【详解】因为全集为R ,集合()1,A =+∞, 所以A =(],1-∞,故答案为:(],1-∞24.1078【解析】【分析】剔除集合中是3的倍数,5的倍数的元素,即可得出结果.【详解】集合M 中,3的倍数有20216733⎡⎤=⎢⎥⎣⎦个,5的倍数有20214045⎡⎤=⎢⎥⎣⎦个,15的倍数有202113415⎡⎤=⎢⎥⎣⎦个, 则剩下的元素个数为2021(673404134)1078-+-=个.故答案为:1078.25.{x |2<x <3}【解析】【分析】解二次不等式可得集合B ,再求交集即可.【详解】∵A ={x |2<x <4},B ={x |(x -1)(x -3)<0}={x |1<x <3},∴A ∩B ={x |2<x <3}.故答案为:{x |2<x <3}三、解答题26.(1){1x x ≤-或}4x ≥(2)01a <≤【解析】【分析】(1)当2a =时,求出集合A 、B ,利用并集和补集的定义可求得集合()R A B ⋃; (2)根据已知条件可得出B A 且B ≠∅,可得出关于实数a 的不等式组,由此可解得实数a 的取值范围.(1) 解:{}{}223013A x x x x x =--<=-<<, 当2a =时,{}04B x x =<<,故{}14A B x x ⋃=-<<,因此,(){R 1A B x x ⋃=≤-或}4x ≥.(2)解:因为p 是q 成立的必要不充分条件,则B A 且B ≠∅, 所以,212223a a a a -≥-⎧⎪-<+⎨⎪+≤⎩,解得01a <≤, 当1a =时,{}13B x x =<< A ,合乎题意.因此,01a <≤.27.(1)[)2,A =+∞(2)(],2a ∈-∞【解析】【分析】(1)根据对数函数的单调解不等式即可;(2)先求()R ,2A =-∞,再分类讨论并满足R B A ⊆可得答案. (1) ()()2222222log log 2log log 220x x x x x x ≥⇒≥⇒≥>解得2x ≥,故[)2,A =+∞(2)由(1)()R ,2A =-∞当1a =时,B =∅,满足题意;当1a >时,()1,B a =,只需2a ≤;当1a <时,(),1B a =,满足题意.综上所述,(],2a ∈-∞.28.(1){}2,3U B = (2)1a =(3)m =【解析】【分析】(1)解出集合U 、B ,利用补集的定义可求得U B ;(2)由已知可得出关于a 的等式,结合a U ∈可求得实数a 的值; (3)分23m ≠、23m =两种情况讨论,求出集合C ,根据集合C 的真子集个数可求得实数m 的值.(1) 解:因为{}{}N 051,2,3,4U x x =∈<<=,{}{}25401,4B x x x =-+==, 因此,{}2,3U B =.(2)解:若21Ua B +∈,则212a +=或213a +=,解得1a =±或 又a U ∈,所以1a =.(3)解:{}21,2,A m =,{}2,3U B =,当23m ≠时,{}2C =,此时集合C 共有1个真子集,不符合题意, 当23m =时,{}2,3C =,此时集合C 共有3个真子集,符合题意,综上所述,m =29.A ={1 , 3 , 5 , 8},B ={ 2 , 3 , 5 , 6}.【解析】【分析】利用韦恩图,将各个集合进行表示,据图可以写出A ,B .【详解】由题可得如图韦恩图,可知A ={1 , 3 , 5 , 8},B ={ 2 , 3 , 5 , 6}.30.(1){}|23A x x =≤≤;{2B x x =<或}3x ≥.(2)充分不必要条件【解析】【分析】(1)分别解一元二次不等式和分式不等式即可得答案; (2)由题知{2U A x x =<或}3x >,进而根据充分不必要条件判断即可. (1)解:解不等式2560x x -+≤得23x ≤≤,故{}|23A x x =≤≤; 解不等式()()320113110022220x x x x x x x ⎧--≤-≤⇔-≤⇔≤⇔⎨----≠⎩, 解得2x <或3x ≥,故{2B x x =<或}3x ≥.(2)解:因为{}|23A x x =≤≤,所以{2U A x x =<或}3x >,因为{2B x x =<或}3x ≥,所以U x A ∈是x B ∈的充分不必要条件.。
数学必修一集合练习题及答案数学必修一集合练习题及答案集合练习题一.选择题1.满足条件{1,2,3}⊂M ⊂{1,2,3,4,5,6}的集合M 的个数是≠≠()A 、8 B、7C 、6D 、52.若集合A =x |x 2≤0,则下列结论中正确的是()A 、A=0 B 、0⊆A C 、A =∅ D 、∅⊆A3.下列五个写法中①⑤0 ∅{}{0}∈{0, 1, 2},②∅⊂{0},③{0, 1, 2}⊆{1, 2, 0},④0∈∅,≠=∅,错误的写法个数是()A 、1个B 、2个C 、3个D 、4个4.方程组⎨⎨x +y =1的解集是()⎨x -y =-1A {x =0, y =1}B {0, 1}C {(0, 1) }D {(x , y ) |x =0或y =1} 5.设A 、B 是全集U 的两个子集,且A ⊆B ,则下列式子成立的是()(A )C U A ⊆C U B (B )C U A ⋃C U B=U (C )A ⋂C U B=φ (D )C U A ⋂B=φ6.已知全集M =⎨a |⎨⎨6⎨∈N 且a ∈Z ⎨, 则M=( ) 5-a ⎨A 、{2,3}B 、{1,2,3,4}C 、{1,2,3,6}D 、{-1,2,3,4}7.集合M ={x x +2x -a =0, x ∈R },且φA 、a ≤-1B 、a ≤1C 、a ≥-12M ,则实数a 的范围是()D 、a ≥1()(D )S=P。
8. 设集合P 、S 满足P ⋂S=P,则必有(A );(B )P ⊆S ;(C );9. 设全集U ={a , b , c , d , e },A 、B 都是U 的子集A ⋂B ={e },C U A ⋂B ={d },C U A ⋂C U B ={a , b },则下列判断中正确的是(A )c ∉ A 且c ∉ B ;(B )c ∈A 且c ∈B ;(C )c ∉A 且c ∈B ;10. 若A ⋃B =A ⋃C ,则一定有()(D )c ∈A 且c ∉B 。
高一数学必修一集合练习题含答案进入高中一之后,第一个学习的重要数学知识点就是集合,学生需要通过练习巩固集合内容,下面是店铺给大家带来的高一数学必修一集合练习题,希望对你有帮助。
高一数学必修一集合练习题一、选择题(每小题5分,共20分)1.下列命题中正确的( )①0与{0}表示同一个集合;②由1,2,3组成的集合可表示为{1,2,3}或{3,2,1};③方程(x-1)2(x-2)=0的所有解的集合可表示为{1,1,2};④集合{x|4A.只有①和④B.只有②和③C.只有②D.以上语句都不对【解析】{0}表示元素为0的集合,而0只表示一个元素,故①错误;②符合集合中元素的无序性,正确;③不符合集合中元素的互异性,错误;④中元素有无穷多个,不能一一列举,故不能用列举法表示.故选C.【答案】 C2.用列举法表示集合{x|x2-2x+1=0}为( )A.{1,1}B.{1}C.{x=1}D.{x2-2x+1=0}【解析】集合{x|x2-2x+1=0}实质是方程x2-2x+1=0的解集,此方程有两相等实根,为1,故可表示为{1}.故选B.【答案】 B3.已知集合A={x∈N*|-5≤x≤5},则必有( )A.-1∈AB.0∈AC.3∈AD.1∈A【解析】∵x∈N*,-5≤x≤5,∴x=1,2,即A={1,2},∴1∈A.故选D.【答案】 D4.定义集合运算:A*B={z|z=xy,x∈A,y∈B}.设A={1,2},B={0,2},则集合A*B的所有元素之和为( )A.0B.2C.3D.6【解析】依题意,A*B={0,2,4},其所有元素之和为6,故选D.【答案】 D二、填空题(每小题5分,共10分)5.已知集合A={1,a2},实数a不能取的值的集合是________.【解析】由互异性知a2≠1,即a≠±1,故实数a不能取的值的集合是{1,-1}.【答案】{1,-1}6.已知P={x|2【解析】用数轴分析可知a=6时,集合P中恰有3个元素3,4,5.【答案】 6三、解答题(每小题10分,共20分)7.选择适当的方法表示下列集合集.(1)由方程x(x2-2x-3)=0的所有实数根组成的集合;(2)大于2且小于6的有理数;(3)由直线y=-x+4上的横坐标和纵坐标都是自然数的点组成的集合.【解析】(1)方程的实数根为-1,0,3,故可以用列举法表示为{-1,0,3},当然也可以用描述法表示为{x|x(x2-2x-3)=0},有限集.(2)由于大于2且小于6的有理数有无数个,故不能用列举法表示该集合,但可以用描述法表示该集合为{x∈Q|2(3)用描述法表示该集合为M={(x,y)|y=-x+4,x∈N,y∈N}或用列举法表示该集合为{(0,4),(1,3),(2,2),(3,1),(4,0)}.8.设A表示集合{a2+2a-3,2,3},B表示集合{2,|a+3|},已知5∈A且5∉B,求a的值.【解析】因为5∈A,所以a2+2a-3=5,解得a=2或a=-4.当a=2时,|a+3|=5,不符合题意,应舍去.当a=-4时,|a+3|=1,符合题意,所以a=-4.9.(10分)已知集合A={x|ax2-3x-4=0,x∈R}.(1)若A中有两个元素,求实数a的取值范围;(2)若A中至多有一个元素,求实数a的取值范围.【解析】(1)∵A中有两个元素,∴方程ax2-3x-4=0有两个不等的实数根,∴a≠0,Δ=9+16a>0,即a>-916.∴a>-916,且a≠0.(2)当a=0时,A={-43};当a≠0时,若关于x 的方程ax2-3x-4=0有两个相等的实数根,Δ=9+16a=0,即a=-916;若关于x的方程无实数根,则Δ=9+16a<0,即a<-916;故所求的a的取值范围是a≤-916或a=0.高一数学必修一集合知识点集合通常用大写字母表示集合,用小写字母表示元素,如集合A={a,b,c}。
必修1 第一章 集合测试一、选择题(共12小题,每题5分,四个选项中只有一个符合要求)1.下列选项中元素的全体可以组成集合的是 ( )A.学校篮球水平较高的学生B.校园中长的高大的树木C.2007年所有的欧盟国家D.中国经济发达的城市2.方程组20{=+=-y x y x 的解构成的集合是 ( )A .)}1,1{(B .}1,1{C .(1,1)D .}1{ 3.已知集合A ={a ,b ,c },下列可以作为集合A 的子集的是 ( )A. aB. {a ,c }C. {a ,e }D.{a ,b ,c ,d }4.下列图形中,表示N M ⊆的是 ( )5.下列表述正确的是 ( )A.}0{=∅B. }0{⊆∅C. }0{⊇∅D. }0{∈∅6、设集合A ={x|x 参加自由泳的运动员},B ={x|x 参加蛙泳的运动员},对于“既参 加自由泳又参加蛙泳的运动员”用集合运算表示为 ( )A.A∩BB.A ⊇BC.A ∪BD.A ⊆B7.集合A={x Z k k x ∈=,2} ,B={Z k k x x ∈+=,12} ,C={Z k k x x ∈+=,14} 又,,B b A a ∈∈则有 ( )A.(a+b )∈ AB. (a+b) ∈BC.(a+b) ∈ CD. (a+b) ∈ A 、B 、C 任一个8.集合A ={1,2,x },集合B ={2,4,5},若B A ={1,2,3,4,5},则x =( )A. 1B. 3C. 4D. 59.满足条件{1,2,3}⊂≠M ⊂≠{1,2,3,4,5,6}的集合M 的个数是( ) A. 8 B . 7C. 6D. 510.全集U = {1 ,2 ,3 ,4 ,5 ,6 ,7 ,8 }, A= {3 ,4 ,5 }, B= {1 ,3 , 6 },那么集合 { 2 ,7 ,8}是 ( )M N A M N B N M C M NDA. A BB. B AC. B C A C U UD. B C A C U U11.设集合{|32}M m m =∈-<<Z ,{|13}N n n MN =∈-=Z 则,≤≤ ( ) A .{}01,B .{}101-,,C .{}012,,D .{}1012-,,, 12. 如果集合A={x |ax 2+2x +1=0}中只有一个元素,则a 的值是( ) A .0 B .0 或1 C .1 D .不能确定二、填空题(共4小题,每题4分,把答案填在题中横线上)13.用描述法表示被3除余1的集合 .14.用适当的符号填空:(1)∅ }01{2=-x x ; (2){1,2,3} N ;(3){1} }{2x x x =; (4)0 }2{2x x x =.15.含有三个实数的集合既可表示成}1,,{ab a ,又可表示成}0,,{2b a a +,则=+20042003b a .16.已知集合}33|{≤≤-=x x U ,}11|{<<-=x x M ,}20|{<<=x x N C U 那么集合=N ,=⋂)(N C M U ,=⋃N M .三、解答题(共4小题,共44分,解答应写出文字说明,证明过程或演算步骤)17. 已知集合}04{2=-=x x A ,集合}02{=-=ax x B ,若A B ⊆,求实数a 的取值集合.18. 已知集合}71{<<=x x A ,集合}521{+<<+=a x a x B ,若满足 }73{<<=x x B A ,求实数a 的值.19. 已知方程02=++b ax x .(1)若方程的解集只有一个元素,求实数a ,b 满足的关系式;(2)若方程的解集有两个元素分别为1,3,求实数a ,b 的值20. 已知集合}31{≤≤-=x x A ,},{2A x y x y B ∈==,},2{A x a x y y C ∈+==,若满足B C ⊆,求实数a 的取值范围.必修1 第一章 集合测试集合测试参考答案:一、1~5 CABCB 6~10 CBBCC 11~12 BB 二、13 },13{Z n n x x ∈+=,14 (1)φ⊆}01{2=-x x ;(2){1,2,3}⊆N ; (3){1}⊆}{2x x x =;(4)0∈}2{2x x x =; 15 -1 16 03|{≤≤-=x x N 或}32≤≤x ;}10|{)(<<=⋂x x N C M U ; 13|{<≤-=⋃x x N M 或}32≤≤x . 三、17 .{0.-1,1};18. 2=a ; 19. (1) a 2-4b=0 (2) a=-4, b=3 20. 32≤≤a .。
高中数学必修一集合测试题含详细答案(120分钟150分)一、选择题(本大题共12小题,每小题5分,共60分.在每小题给出的四个选项中,只有一项是符合题目要求的)1.已知集合A={x|x2-2x>0},B={x|-5<x<5},则( )A.A∩B=∅B.A∪B=RC.B⊆AD.A⊆B2.已知集合S={1,2},集合T={a},∅表示空集,如果S∪T=S,那么a的值构成的集合是( )A.∅B.{1}C.{2}D.{1,2}3.已知命题p:∃x0∈R,-3x0+3≤0,则下列说法正确的是( )A.p:∃x0∈R,-3x0+3>0,且p为真命题B.p:∃x0∈R,-3x0+3>0,且p为假命题C.p:∀x∈R,x2-3x+3>0,且p为真命题D.p:∀x∈R,x2-3x+3>0,且p为假命题4.已知集合A={0,1,2,3,4},B={x||x|<2},则A∩B=( )A.{0}B.{0,1}C.{0,2}D.{0,1,2}5.已知ab>0,若a>b,则<的否命题是( )A.已知ab≤0,若a≤b,则≥B.已知ab≤0,若a>b,则≥C.已知ab>0,若a≤b,则≥D.已知ab>0,若a>b,则≥6.已知集合{1,2,3,4,5}的非空子集A具有性质P:当a∈A时,必有6-a∈A.则具有性质P的集合A的个数是( )A.8B.7C.6D.57.设a,b为实数,则“0<ab<1”是“b<”成立的( )A.充分不必要条件B.必要不充分条件C.充分必要条件D.既不充分也不必要条件8.给定下列两个命题:①“p∨q”为真是“p”为假的必要不充分条件;②“∃x0∈R,使sinx0>0”的否定是“∀x∈R,使sinx≤0”.其中说法正确的是( )A.①真②假B.①假②真C.①和②都为假D.①和②都为真9.给定两个命题p,q,若p是q的必要而不充分条件,则p是q的( )A.充分而不必要条件B.必要而不充分条件C.充要条件D.既不充分也不必要条件10.)给出下列命题:(1)等比数列{a n}的公比为q,则“q>1”是“a n+1>a n(n∈N*)”的既不充分也不必要条件;(2)“x≠1”是“x2≠1”的必要不充分条件;(3)函数y=lg(x2+ax+1)的值域为R,则实数-2<a<2;(4)“a=1”是“函数y=cos2ax-sin2ax的最小正周期为π”的充要条件.其中真命题的个数是( )A.1B.2C.3D.411.已知函数f(x)=x2+bx+c,则“c<0”是“∃x0∈R,使f(x0)<0”的( )A.充分而不必要条件B.必要而不充分条件C.充分必要条件D.既不充分也不必要条件12.已知下列四个命题:①命题“若α=,则tanα=1”的逆否命题为假命题;②命题p:∀x∈R,sinx≤1,则p:∃x0∈R,使sinx0>1;③“φ=+kπ(k∈Z)”是“函数y=sin(2x+φ)为偶函数”的充要条件;④命题p:“∃x0∈R,使sinx0+cosx0=”;命题q:“若sinα>sinβ,则α>β”,那么(p)∧q为真命题.其中正确的个数是( )A.1B.2C.3D.4二、填空题(本大题共4小题,每小题5分,共20分.请把正确答案填在题中横线上)13.若命题“∃x0∈R,+(a-3)x0+4<0”为假命题,则实数a的取值范围是.14.已知A=,B={x|log2(x-2)<1},则A∪B= .15.已知命题p:函数f(x)=2ax2-x-1(a≠0)在(0,1)内恰有一个零点;命题q:函数y=x2-a在(0,+∞)上是减函数.若p且q为真命题,则实数a的取值范围是.16.已知下列四个结论:①命题“若p,则q”与命题“若q,则p”互为逆否命题;②命题p:∃x0∈[0,1],≥1,命题q:∃x0∈R,+x0+1<0,则p∨q为真;③若p∨q为假命题,则p,q均为假命题;④“若am2<bm2,则a<b”的逆命题为真命题.其中正确结论的序号是.三、解答题(本大题共6小题,共70分.解答时应写出必要的文字说明、证明过程或演算步骤)17.(10分)已知A={x||x-a|<4},B={x||x-2|>3}.(1)若a=1,求A∩B.(2)若A∪B=R,求实数a的取值范围.18.(12分)已知命题p:方程x2+mx+1=0有两个不相等的负实根,命题q:不等式4x2+4(m-2)x+1>0的解集为R.若p∨q为真命题、p∧q为假命题,求实数m的取值范围.19.(12分)已知全集U=R,集合A={x|(x-2)(x-3)<0},B={x|(x-a)(x-a2-2)<0}.(1)当a=时,求(∁U B)∩A.(2)命题p:x∈A,命题q:x∈B,若q是p的必要条件,求实数a的取值范围.20.(12分)设p:实数x满足x2-4ax+3a2<0,其中a≠0,q:实数x满足(1)若a=1,且p∧q为真,求实数x的取值范围.(2)若p是q的必要不充分条件,求实数a的取值范围.21.(12分)求证:方程ax2+2x+1=0有且只有一个负数根的充要条件为a≤0或a=1.22.(12分)已知函数f(x)=4x2-2(p-2)x-2p2-p+1在区间[-1,1]上至少存在一个实数x0,使f(x0)>0,求p的取值范围.答案解析1.【解析】选B.由A={x|x2-2x>0}得,A={x|x<0或x>2},又B={x|-5<x<5},所以A∪B=R.2.【解析】选D.因为S={1,2},T={a},S∪T=S,所以T⊆S,a∈S,所以a=1或a=2,故选D.3.【解析】选C.依题意,命题p:∃x0∈R,-3x0+3≤0的否命题为不存在x∈R,使得x2-3x+3≤0,即对任意的x∈R,x2-3x+3>0.又x2-3x+3=+>0,所以命题p为假命题,所以p为真命题.4.【解析】选B. B={x||x|<2}={x|-2<x<2},则A∩B={0,1,2,3,4}∩{x|-2<x<2}={0,1}.5.【解析】选C.条件ab>0是大前提,所以其否命题是:已知ab>0,若a≤b,则≥.6.【解析】选B.由题意,知3∈A可以,若1∈A,则5∈A,若2∈A,则4∈A,所以具有性质P的集合A有{3},{1,5},{1,3,5},{2,4},{2,3,4},{1,2,4,5},{1,2,3,4,5},共7个.7.【解析】选D.若0<ab<1,则当a>0时,有b<,当a<0时,有b>.当b<时,不妨设b=-1,a=1,则满足b<,但ab=-1,不满足0<ab<1.所以0<ab<1是b<成立的既不充分也不必要条件,选D.【解析】选B.由10a>10b得a>b.由lga>lgb得a>b>0,所以“10a>10b”是“lga>lgb”的必要不充分条件,选B.8.【解析】选D.①中,“p∨q”为真,说明,p,q至少有一为真,但不一定p为真,即“p”不一定为假;反之,“p”为假,那么p一定为真,即“p∨q”为真,命题①为真;特称命题的否定是全称命题,所以,②为真,综上知,①和②都为真.9.【解析】选A.因为p是q的必要而不充分条件,所以q是p的必要而不充分条件,即p是q的充分而不必要条件.【解析】选A.因为函数f(x)=a x在R上是减函数,所以0<a<1.由函数g(x)=(2-a)x3在R上是增函数可得:2-a>0,即a<2.所以若0<a<1,则a<2,而若a<2,推不出0<a<1.所以“函数f(x)=a x在R上是减函数”是“函数g(x)=(2-a)x3在R上是增函数”的充分不必要条件.10.【解析】选B.若首项为负,则公比q>1时,数列为递减数列,a n+1<a n(n∈N*),当a n+1>a n(n∈N*)时,包含首项为正,公比q>1和首项为负,公比0<q<1两种情况,故(1)正确;“x≠1”时,“x2≠1”在x=-1时不成立,“x2≠1”时,“x≠1”一定成立,故(2)正确;函数y=lg(x2+ax+1)的值域为R,则x2+ax+1=0的Δ=a2-4≥0,解得a≥2或a≤-2,故(3)错误;“a=1”时,“函数y=cos2x-sin2x=cos2x的最小正周期为π”,但“函数y=cos2ax-sin2ax的最小正周期为π”时,“a=±1”,故“a=1”是“函数y=cos2ax-sin2ax的最小正周期为π”的充分不必要条件,故(4)错误.故选B.【解析】选C.由p∨q为假命题知,p,q都是假命题,所以p,q都为真命题,故(p)∧(q)为真命题,A正确;在△ABC中,A=B⇔a=b⇔sinA=sinB,所以B正确;由p为真知,p为假,所以p∧q为假,反过来,若p∧q为假,则p与q都假或一个为假,所以p不一定为真,故“p”为真是“p∧q”为假的充分不必要条件,所以C错误;因为x=y=0的否定是x≠0或y≠0,即实数x,y中至少有一个不为0,所以D正确.11.【解析】选A.若c<0,则Δ=b2-4c>0,所以∃x0∈R,使f(x0)<0,成立.若∃x0∈R,使f(x0)<0,则有Δ=b2-4c>0,即b2-4c>0即可,所以当c=1,b=3时,满足Δ=b2-4c>0,所以“c<0”是“∃x0∈R,使f(x0)<0”的充分不必要条件,故选A.12.【解析】选B.①中的原命题为真,所以逆否命题也为真,所以①错误.②根据全称命题的否定是特称命题知,②为真.③当函数为偶函数时,有φ=+kπ(k∈Z),所以为充要条件,所以③正确.④因为sinx+cosx=sin的最大值为<,所以命题p为假命题,p为真,三角函数在定义域上不单调,所以q为假命题,所以(p)∧q为假命题,所以④错误.所以正确的个数为2,故选B.13.【解析】由题意,知“∀x∈R,x2+(a-3)x+4≥0”是真命题.故Δ=(a-3)2-16≤0,即a2-6a-7≤0,解得-1≤a≤7,即a∈[-1,7].答案:[-1,7]14.【解析】因为A=={x|2-3<2-x<2-1}={x|1<x<3},B={x|log2(x-2)<1}={x|0<x-2<2}={x|2<x<4},所以A∪B={x|1<x<4}.答案:{x|1<x<4}答案:{x|1≤x<2}15.【解析】若p为真,则f(0)·f(1)=-1·(2a-2)<0,即a>1,若q为真,则2-a<0,即a>2,所以q 为真时,a ≤2,故p ∧q 为真时,1<a ≤2.答案:(1,2]16.【解析】根据四种命题的关系,结论①正确;②中命题p 为真命题、q 为假命题,故p ∨q 是真命题,结论②正确;根据或命题的真假判断方法知结论③正确; ④中命题的逆命题是“若a<b,则am 2<bm 2”,这个命题在m=0时不成立,结论④不正确.答案:①②③17.【解析】(1)当a=1时,A={x|-3<x<5},B={x|x<-1或x>5}.所以A ∩B={x|-3<x<-1}.(2)因为A={x|a-4<x<a+4},B={x|x<-1或x>5},且A ∪B=R ,所以a 41,a 45-<-⎧⎨+>⎩⇒1<a<3. 所以实数a 的取值范围是(1,3).18.【解析】命题p 为真时,实数m 满足Δ1=m 2-4>0且-m<0,解得m>2;命题q 为真时,实数m 满足Δ2=16(m-2)2-16<0,解得1<m<3.p ∨q 为真命题、p ∧q 为假命题,等价于p 真且q 假或者p 假且q 真. 若p 真且q 假,则实数m 满足m>2且m ≤1或m ≥3,解得m ≥3;若p 假且q 真,则实数m 满足m ≤2且1<m<3,解得1<m ≤2.综上可知,所求m 的取值范围是(1,2]∪[3,+∞).19.【解析】(1)A={x|2<x<3},当a=时,B=.∁U B=,(∁U B)∩A=.(2)由若q是p的必要条件知p⇒q,可知A⊆B. 由a2+2>a知B={x|a<x<a2+2}.所以解得a≤-1或1≤a≤2.即a∈(-∞,-1]∪[1,2].20.【解析】(1)由得q:2<x≤3. 当a=1时,由x2-4x+3<0,得p:1<x<3,因为p∧q为真,所以p真,q真.由得2<x<3,所以实数x的取值范围是(2,3).(2)由x2-4ax+3a2<0,得(x-a)(x-3a)<0.①当a>0时,p:a<x<3a,由题意,得(2,3](a,3a),所以即1<a≤2;②当a<0时,p:3a<x<a,由题意,得(2,3](3a,a),所以无解.综上,可得a∈(1,2].21.【证明】充分性:当a=0时,方程为2x+1=0,其根为x=-,方程只有一负根.当a=1时,方程为x2+2x+1=0,其根为x=-1,方程只有一负根.当a<0时,Δ=4(1-a)>0,方程有两个不相等的根,且<0,方程有一正一负两个根.必要性:若方程ax2+2x+1=0有且只有一负根.当a=0时,符合条件.当a≠0时,方程ax2+2x+1=0有实根,则Δ=4-4a≥0,所以a≤1,当a=1时,方程有一负根x=-1.当a<1时,若方程有且只有一负根,则所以a<0.综上,方程ax2+2x+1=0有且只有一个负根的充要条件为a≤0或a=1.22.【解析】记p的取值范围是I,原题可作为命题:若p∈I,则函数f(x)=4x2-2(p-2)x-2p2-p+1在区间[-1,1]上至少存在一个实数x0,使f(x0)>0. 若函数f(x)=4x2-2(p-2)x-2p2-p+1在区间[-1,1]上对任意的x都有f(x)≤0,则p ∈∁I.由对任意的x都有f(x)≤0,结合图形知⇒⇒p≤-3或p≥,即∁I=,所以I=,故所求p 的取值范围为.【解析】由y2-(a2+a+1)y+a(a2+1)>0,得(y-a)(y-a2-1)>0,由于a2+1-a=+>0,所以A=(-∞,a)∪(a2+1,+∞).集合B为函数y=x2-x+,0≤x≤3的值域,二次函数y=x2-x+的对称轴方程为x=1,故在[0,3]上,当x=1时函数值最小,当x=3时函数值最大,故可得B=[2,4].(1)若A∩B=∅,则只要a2+1≥4且a≤2即可,解得a≤-或≤a≤2,即实数a的取值范围是(-∞,-]∪[,2].(2)不等式x2+1≥ax对任意x恒成立的充要条件是a2-4≤0,解得-2≤a≤2,最小a 值为-2,此时A=(-∞,-2)∪(5,+∞),∁R A=[-2,5],所以(∁R A)∩B=[2,4].。
高一数学必修一集合练习题含答案导读:我根据大家的需要整理了一份关于《高一数学必修一集合练习题含答案》的内容,具体内容:进入高中一之后,第一个学习的重要数学知识点就是集合,学生需要通过练习巩固集合内容,下面是我给大家带来的高一数学必修一集合练习题,希望对你有帮助。
高一数学必修一集合练习题...进入高中一之后,第一个学习的重要数学知识点就是集合,学生需要通过练习巩固集合内容,下面是我给大家带来的高一数学必修一集合练习题,希望对你有帮助。
高一数学必修一集合练习题一、选择题(每小题5分,共20分)1.下列命题中正确的()①0与{0}表示同一个集合;②由1,2,3组成的集合可表示为{1,2,3}或{3,2,1};③方程(x-1)2(x-2)=0的所有解的集合可表示为{1,1,2};④集合{x|4A.只有①和④B.只有②和③C.只有②D.以上语句都不对【解析】{0}表示元素为0的集合,而0只表示一个元素,故①错误;②符合集合中元素的无序性,正确;③不符合集合中元素的互异性,错误;④中元素有无穷多个,不能一一列举,故不能用列举法表示.故选C.【答案】C2.用列举法表示集合{x|x2-2x+1=0}为()A.{1,1}B.{1}C.{x=1}D.{x2-2x+1=0}【解析】集合{x|x2-2x+1=0}实质是方程x2-2x+1=0的解集,此方程有两相等实根,为1,故可表示为{1}.故选B.【答案】B3.已知集合A={xN*|-5x5},则必有()A.-1AB.0AC.3AD.1A【解析】∵xN*,-5x5,x=1,2,即A={1,2},1A.故选D.【答案】D4.定义集合运算:A*B={z|z=xy, xA,yB}.设A={1,2},B={0,2},则集合A*B的所有元素之和为()A.0B.2C.3D.6【解析】依题意,A*B={0,2,4},其所有元素之和为6,故选D.【答案】D二、填空题(每小题5分,共10分)5.已知集合A={1,a2},实数a不能取的值的集合是________.【解析】由互异性知a21,即a1,故实数a不能取的值的集合是{1,-1}.【答案】{1,-1}6.已知P={x|2【解析】用数轴分析可知a=6时,集合P中恰有3个元素3,4,5.【答案】6三、解答题(每小题10分,共20分)7.选择适当的方法表示下列集合集.(1)由方程x(x2-2x-3)=0的所有实数根组成的集合;(2)大于2且小于6的有理数;(3)由直线y=-x+4上的横坐标和纵坐标都是自然数的点组成的集合.【解析】(1)方程的实数根为-1,0,3,故可以用列举法表示为{-1,0,3},当然也可以用描述法表示为{x|x(x2-2x-3)=0},有限集.(2)由于大于2且小于6的有理数有无数个,故不能用列举法表示该集合,但可以用描述法表示该集合为{xQ|2(3)用描述法表示该集合为M={(x,y)|y=-x+4,xN,yN}或用列举法表示该集合为{(0,4),(1,3),(2,2),(3,1),(4,0)}.8.设A表示集合{a2+2a-3,2,3},B表示集合{2,|a+3|},已知5A且5B,求a的值.【解析】因为5A,所以a2+2a-3=5,解得a=2或a=-4.当a=2时,|a+3|=5,不符合题意,应舍去.当a=-4时,|a+3|=1,符合题意,所以a=-4.9.(10分)已知集合A={x|ax2-3x-4=0,xR}.(1)若A中有两个元素,求实数a的取值范围;(2)若A中至多有一个元素,求实数a的取值范围.【解析】(1)∵A中有两个元素,方程ax2-3x-4=0有两个不等的实数根,a0,=9+16a>0,即a>-916.a>-916,且a0.(2)当a=0时,A={-43};当a0时,若关于x 的方程ax2-3x-4=0有两个相等的实数根,=9+16a=0,即a=-916;若关于x的方程无实数根,则=9+16a<0,即a<-916;故所求的a的取值范围是a-916或a=0.高一数学必修一集合知识点集合通常用大写字母表示集合,用小写字母表示元素,如集合A={a,b,c}。
高一数学必修一集合练习试题及答案()高一数学必修一集合练习试题及答案一、选择题1.下列各组对象能构成集合的有()①美丽的小鸟;②不超过10的非负整数;③立方接近零的正数;④高一年级视力比较好的同学A.1个B.2个C.3个D.4个【解析】①③中“美丽”“接近零”的范畴太广,标准不明确,因此不能构成集合;②中不超过10的非负整数有:0,1,2,3,4,5,6,7,8,9,10共十一个数,是确定的,故能够构成集合;④中“比较好”,没有明确的界限,不满足元素的确定性,故不能构成集合.【答案】A2.小于2的自然数集用列举法可以表示为()A.{0,1,2}B.{1}C.{0,1}D.{1,2}【解析】小于2的自然数为0,1,应选C.【答案】C3.下列各组集合,表示相等集合的是()①M={(3,2)},N={(2,3)};②M={3,2},N={2,3};③M={(1,2)},N={1,2}.A.①B.②C.③D.以上都不对【解析】①中M中表示点(3,2),N中表示点(2,3),②中由元素的无序性知是相等集合,③中M表示一个元素:点(1,2),N 中表示两个元素分别为1,2.【答案】B4.集合A中含有三个元素2,4,6,若a∈A,则6-a∈A,那么a 为()A.2B.2或4C.4D.0【解析】若a=2,则6-a=6-2=4∈A,符合要求;若a=4,则6-a=6-4=2∈A,符合要求;若a=6,则6-a=6-6=0∉A,不符合要求.∴a=2或a=4.【答案】B5.(2013•曲靖高一检测)已知集合M中含有3个元素;0,x2,-x,则x满足的条件是()A.x≠0B.x≠-1C.x≠0且x≠-1D.x≠0且x≠1【解析】由x2≠0,x2≠-x,-x≠0,解得x≠0且x≠-1.【答案】C二、填空题6.用符号“∈”或“∉”填空(1)22________R,22________{x|x<7};(2)3________{x|x=n2+1,n∈N+};(3)(1,1)________{y|y=x2};(1,1)________{(x,y)|y=x2}.【解析】(1)22∈R,而22=8>7,∴22∉{x|x<7}.(2)∵n2+1=3,∴n=±2∉N+,∴3∉{x|x=n2+1,n∈N+}.(3)(1,1)是一个有序实数对,在坐标平面上表示一个点,而{y|y=x2}表示二次函数函数值构成的集合,故(1,1)∉{y|y=x2}.集合{(x,y)|y=x2}表示抛物线y=x2上的点构成的集合(点集),且满足y=x2,∴(1,1)∈{(x,y)|y=x2}.【答案】(1)∈∉(2)∉(3)∉∈7.已知集合C={x|63-x∈Z,x∈N_},用列举法表示C=________.【解析】由题意知3-x=±1,±2,±3,±6,∴x=0,-3,1,2,4,5,6,9.又∵x∈N_,∴C={1,2,4,5,6,9}.【答案】{1,2,4,5,6,9}8.已知集合A={-2,4,x2-x},若6∈A,则x=________.【解析】由于6∈A,所以x2-x=6,即x2-x-6=0,解得x=-2或x=3.【答案】-2或3三、解答题9.选择适当的方法表示下列集合:(1)绝对值不大于3的整数组成的集合;(2)方程(3x-5)(x+2)=0的实数解组成的集合;(3)一次函数y=x+6图像上所有点组成的集合.【解】(1)绝对值不大于3的整数是-3,-2,-1,0,1,2,3,共有7个元素,用列举法表示为{-3,-2,-1,0,1,2,3};(2)方程(3x-5)(x+2)=0的实数解仅有两个,分别是53,-2,用列举法表示为{53,-2};(3)一次函数y=x+6图像上有无数个点,用描述法表示为{(x,y)|y=x+6}.10.已知集合A中含有a-2,2a2+5a,3三个元素,且-3∈A,求a的值.【解】由-3∈A,得a-2=-3或2a2+5a=-3.(1)若a-2=-3,则a=-1,当a=-1时,2a2+5a=-3,∴a=-1不符合题意.(2)若2a2+5a=-3,则a=-1或-32.当a=-32时,a-2=-72,符合题意;当a=-1时,由(1)知,不符合题意.综上可知,实数a的值为-32.11.已知数集A满足条件:若a∈A,则11-a∈A(a≠1),如果a=2,试求出A中的所有元素.【解】∵2∈A,由题意可知,11-2=-1∈A;由-1∈A可知,11--1=12∈A;由12∈A可知,11-12=2∈A.故集合A中共有3个元素,它们分别是-1,12,2.学好数学的几条建议1、要有学习数学的兴趣。
高一数学必修一集合习题及答案集合是高一数学首先接触的内容,也是高考中的重点内容,下面是店铺给大家带来的高一数学必修一集合习题,希望对你有帮助。
高一数学必修一集合习题一、填空题1.下列语句能确定是一个集合的是________.(填序号)①著名的科学家;②留长发的女生;③2010年广州亚运会比赛项目;④视力差的男生.2.集合A只含有元素a,则下列各式正确的是________.(填序号)①0∈A;②a∉A;③a∈A;④a=A.3.已知M中有三个元素可以作为某一个三角形的边长,则此三角形一定不是________.(填序号)①直角三角形;②锐角三角形;③钝角三角形;④等腰三角形.4.由a2,2-a,4组成一个集合A,A中含有3个元素,则实数a的取值可以是________.(填序号)①1;②-2;③6;④2.5.已知集合A是由0,m,m2-3m+2三个元素组成的集合,且2∈A,则实数m的值为________.6.由实数x、-x、|x|、x2及-3x3所组成的集合,最多含有________个元素.7.由下列对象组成的集体属于集合的是________.(填序号)①不超过π的正整数;②本班中成绩好的同学;③高一数学课本中所有的简单题;④平方后等于自身的数.8.集合A中含有三个元素0,1,x,且x2∈A,则实数x的值为________.9.用符号“∈”或“∉”填空-2______R,-3______Q,-1_______N,π______Z.二、解答题10.判断下列说法是否正确?并说明理由.(1)参加2010年广州亚运会的所有国家构成一个集合;(2)未来世界的高科技产品构成一个集合;(3)1,0.5,32,12组成的集合含有四个元素;(4)高一(三)班个子高的同学构成一个集合.11.已知集合A是由a-2,2a2+5a,12三个元素组成的,且-3∈A,求a.能力提升12.设P、Q为两个非空实数集合,P中含有0,2,5三个元素,Q中含有1,2,6三个元素,定义集合P+Q中的元素是a+b,其中a∈P,b∈Q,则P+Q中元素的个数是多少?13.设A为实数集,且满足条件:若a∈A,则11-a∈A (a≠1).求证:(1)若2∈A,则A中必还有另外两个元素;(2)集合A不可能是单元素集.高一数学必修一集合习题答案1.③解析①、②、④都因无法确定其构成集合的标准而不能构成集合.2.③解析由题意知A中只有一个元素a,∴0∉A,a∈A,元素a与集合A的关系不应用“=”.3.④解析集合M的三个元素是互不相同的,所以作为某一个三角形的边长,三边是互不相等的.4.③解析因A中含有3个元素,即a2,2-a,4互不相等,将各项中的数值代入验证知填③.5.3解析由2∈A可知:若m=2,则m2-3m+2=0,这与m2-3m+2≠0相矛盾;若m2-3m+2=2,则m=0或m=3,当m=0时,与m≠0相矛盾,当m=3时,此时集合A={0,3,2},符合题意.6.2解析因为|x|=±x,x2=|x|,-3x3=-x,所以不论x取何值,最多只能写成两种形式:x、-x,故集合中最多含有2个元素.7.①④解析①④中的标准明确,②③中的标准不明确.故答案为①④.8.-1解析当x=0,1,-1时,都有x2∈A,但考虑到集合元素的互异性,x≠0,x≠1,故答案为-1.9.∈∈∉∉10.解(1)正确.因为参加2010年广州亚运会的国家是确定的,明确的.(2)不正确.因为高科技产品的标准不确定.(3)不正确.对一个集合,它的元素必须是互异的,由于0.5=12,在这个集合中只能作为一元素,故这个集合含有三个元素.(4)不正确,因为个子高没有明确的标准.11.解由-3∈A,可得-3=a-2或-3=2a2+5a,∴a=-1或a=-32.则当a=-1时,a-2=-3,2a2+5a=-3,不符合集合中元素的互异性,故a=-1应舍去.当a=-32时,a-2=-72,2a2+5a=-3,∴a=-32.12.解∵当a=0时,b依次取1,2,6,得a+b的值分别为1,2,6;当a=2时,b依次取1,2,6,得a+b的值分别为3,4,8;当a=5时,b依次取1,2,6,得a+b的值分别为6,7,11.由集合元素的互异性知P+Q中元素为1,2,3,4,6,7,8,11共8个.13.证明(1)若a∈A,则11-a∈A.又∵2∈A,∴11-2=-1∈A.∵-1∈A,∴11-(-1)=12∈A.∵12∈A,∴11-12=2∈A.∴A中另外两个元素为-1,12.(2)若A为单元素集,则a=11-a,即a2-a+1=0,方程无解.∴a≠11-a,∴A不可能为单元素集.高一数学必修一集合知识点1.考查对象能否构成一个集合,就是要看是否有一个确定的特征(或标准),能确定一个个体是否属于这个总体,如果有,能构成集合,如果没有,就不能构成集合.2.集合中元素的三个性质(1)确定性:指的是作为一个集合中的元素,必须是确定的,即一个集合一旦确定,某一个元素属于不属于这个集合是确定的.要么是该集合中的元素要么不是,二者必居其一,这个特性通常被用来判断涉及的总体是否构成集合.(2)互异性:集合中的元素必须是互异的,就是说,对于一个给定的集合,它的任何两个元素都是不同的.(3)无序性:集合与其中元素的排列顺序无关,如由元素a,b,c 与由元素b,a,c组成的集合是相等的集合.这个性质通常用来判断两个集合的关系.。
高一数学集合练习题及答案(新版)一、单选题1.设全集U =R ,集合302x A xx ⎧⎫-=≤⎨⎬+⎩⎭,集合{}ln 1B x x =≥,则()UA B =( )A .()e,3B .[]e,3C .[)2,e -D .()2,e -2.已知集合{}21A x x =-<≤,{}2,1,0,1B =--,则A B =( ) A .{}2,1,0,1-- B .{}1,0,1- C .{}1,0-D .{}2,1,0--3.已知集合{}11A x Z x =∈-≤≤,{}1,2B =,则A B ⋃=( ) A .{}1B .{}0,1,2C .1,0,1,2D .{}1,1,2-4.已知集合{1,0,1}A =-,{|3lg 10}x B x =≥,则A B =( ) A .{0} B .{0,1} C .{0,1}- D .{1,0,1}-5.如图,已知集合{A =1-,0,1,2},{|128}xB x N +=∈<≤,则图中的阴影部分表示的集合为( )A .{1,2}B .{1-,0,3}C .{1-,3}D .{0,1,2}6.已知集合{}{}234014P x x x Q x N x =--<=∈≤≤,,则=P Q ( )A .{1,2,3,4}B .{1,2,3}C .{1,2}D .{2,3,4}7.已知集合{}220A x x x =-≤,{}0,1B =,则A B =( )A .[]0,1B .{}0,1C .[]0,2D .{}0,1,28.已知{}1,2,3,4,5,7,8U =,{}1,2,3,5,8A =,则UA 的子集个数为( )A .2B .3C .4D .59.已知全集U =R ,集合{}2560A x x x =-+<,{}2440B y y y =-+>,则()U A B =( )A .(][),23,-∞⋃+∞B .()[),23,-∞⋃+∞C .()2,+∞D .()(),23,-∞⋃+∞10.设集合{}2,3,4,5A =,{}3,4,6B =,则A B =( ). A .{}2B .{}2,3C .{}3,4D .{}2,3,411.已知集合{}21A x x =-≤,2024x B xx ⎧⎫+=≤⎨⎬-⎩⎭.则A B =( ) A .[6,2]- B .(,1][2,)-∞⋃+∞ C .[1,2] D .[1,2)12.设全集U =R ,集合{1,0,1,2,3}M =-,{R |1}N x x =∈>,则下面Venn 图中阴影部分表示的集合是( )A .(,1)-∞B .(,1]-∞C .{1,0}-D .{1,0,1}-13.设集合{}220A x x x =-≤,{}1,2,3B =,{}2,3,4C =,则()A B C =( )A .{}2B .{}2,3C .{}1,2,3,4D .{}0,1,2,3,414.已知全集{}0,1,2,3,4,5U =,集合{}3A x N x =∈<,集合{}0,3,4,5B =,则()UA B ⋂=( )A .{}4,5B .{}3,4,5C .{}0,4,5D .{}0,3,4,515.①{}00∈,②{}0∅⊆,③{}(){}0,10,1=,④(){}(){}(),,a b b a a b =≠,其中正确的个数为( ) A .1B .2C .3D .4二、填空题16.若{}31,3,a a ∈-,则实数a 的取值集合为______.17.已知函数()()()2sin 0,0g x x ωϕωϕπ=+><<的部分图象如图所示,将函数()g x 的图象向右平移6π个单位长度,得到函数()f x 的图象,若集合()3512A x y f x f π⎧⎫⎪⎪⎛⎫==-⎨⎬⎪⎝⎭⎪⎪⎩⎭,集合{}0,1,2B =,则A B =______.18.等差数列{}n a 中15141024a a a a ++=+,513a a =. 若集合{}*122nn n N a a a λ∈<+++∣中仅有2个元素,则实数λ的取值范围是______. 19.用符号“∈”和“∉”填空:(1)12______N ; (2)1______Z -; (3)2-______R ; (4)π______Q +; (5)23______N ; (6)0______∅.20.已知集合{}22A x x =-≤≤,若集合{}B x x a =≤满足A B ⊆,则实数a 的取值范围____________.21.已知{}12A x x =-<≤,{}20B x x =-≤<,A B =________________. 22.已知(],0A =-∞,[),B a =+∞,且A B R =,则实数a 的取值范围为______. 23.已知全集为R ,集合()1,A =+∞,则A =__________. 24.满足{,}{,,,,}a b A a b c d e ⊆的集合A 的个数为___________25.已知集合2{|2}30A x x x =--<,{|0}B x x a =-<,且B A ⊆,则a 的取值范围为________.三、解答题26.已知集合{}223A x a x a =≤≤+,{}14B x x =-≤≤,全集R.U =(1)当1a =时,求()U A B ⋂;(2)若“x A ∈”是“x B ∈”的充分条件,求实数a 的取值范围.27.对于正整数a ,b ,存在唯一一对整数q 和r ,使得a bq r =+,0r b ≤<.特别地,当0r =时,称b 能整除a ,记作|b a ,已知{}1,2,3,,23A =⋅⋅⋅(1)存在q A ∈,使得()202291091q r r =+≤<,试求r 的值;(2)求证.不存在这样的函数f :{}1,2,3A →,使得对任意的整数1x ,2x A ∈,若{}121,2,3x x -∈,则()()12f x f x ≠(3)若B A ⊆,()12card B =(()card B 指集合B 中的元素的个数).且存在,a b B ∈,b a <,|b a ,则称B 为“和谐集”.判断:当7m =时,集合A 中有12个元素并且含有m 的任意子集是否都为“和谐集”,并说明理由.28.已知集合{}2430M x x x =-+<,{}12N x x =-<<.(1)求()RM N ⋃;(2)若集合()(){}20P x x m x =+-≤,且“x ∈N ”是“x P ∈”的充分不必要条件,求m 的取值范围.29.记E 为平面上所有点组成的集合并且A E ∈,B E ∈,说明下列集合的几何意义: (1){}5P E PA ∈<; (2){}P E PA PB ∈=.30.设Y 是由6的全体正约数组成的集合,写出Y 的所有子集.【参考答案】一、单选题 1.D 【解析】 【分析】求出集合A 、B ,利用交集和补集的定义可求得集合()U A B ∩. 【详解】因为{}30232x A xx x x ⎧⎫-=≤=-<≤⎨⎬+⎩⎭,{}{}ln 1e B x x x x =≥=≥, 所以,{}e UB x x =<,因此,()()2,e UA B =-.故选:D. 2.B 【解析】 【分析】根据交集的定义运算. 【详解】因为集合{}21A x x =-<≤,{}2,1,0,1B =--,由交集定义可知:A B ={}1,0,1-. 故选:B. 3.C 【解析】 【分析】首先用列举法表示集合A ,再根据并集的定义计算可得; 【详解】解:因为{}{}111,0,1A x Z x =∈-≤≤=-,{}1,2B =,所以{}1,0,1,2A B ⋃=-; 故选:C 4.B 【解析】 【分析】由对数的运算性质,并解指数不等式可得31{|log }2B x x =≥,再由集合的交运算求A B . 【详解】由31{|log }2B x x =≥,而311log 02-<<, 所以{0,1}A B =. 故选:B 5.B 【解析】 【分析】由题知{}1,2,3B =,进而得{}1,2A B =,再求阴影部分表示的集合即可. 【详解】解:解不等式128x <≤得03x <≤,所以{}1,2,3B =, 因为{A =1-,0,1,2}, 所以{}1,2A B =所以,图中的阴影部分表示的集合为{}1,0,3-. 故选:B 6.B 【解析】 【分析】解不等式得到14{|}P x x =-<<,根据题意得到{1,2,3,4}Q =,再由集合交集的概念得到结果. 【详解】由集合{}234|0P x x x =--<,解不等式得到:14{|}P x x =-<<,又因为{1,2,3,4}Q =,根据集合交集的概念得到:{}1,2,3P Q ⋂=. 故选:B.7.B 【解析】 【分析】先求出集合A ,再根据交集运算求出A B 即可. 【详解】由题意知:{}02A x x =≤≤,又{}0,1B =,故A B ={}0,1. 故选:B. 8.C 【解析】 【分析】求出补集,再由子集的定义求解. 【详解】 由已知{4,7}UA =,子集有4个.故选:C .9.B 【解析】 【分析】求出集合A 、B ,利用补集和交集的定义可求得集合()U A B ⋂. 【详解】因为{}{}256023A x x x x x =-+<=<<,{}(){}{}22440202B y y y y y y y =-+>=->=≠,则{2UA x x =≤或}3x ≥,因此,()()[),23,U AB =-∞+∞.故选:B. 10.C 【解析】 【分析】依据交集定义即可求得A B 【详解】{}{}{}2,3,4,53,4,63,4A B ⋂=⋂=故选:C 11.D 【解析】 【分析】 解不等式后求交集 【详解】|2|1x -≤,解得13x ≤≤,故[1,3]A =,2024x x +≤-,解得22x -≤<,故[2,2)B =-, [1,2)A B ⋂=故选:D 12.D 【解析】 【分析】根据Venn 图,明确阴影部分表示的集合的含义,即可求得答案. 【详解】由题意,可知Venn 图中阴影部分表示的集合是(){1,0,1}U M N =- ,故选:D 13.C 【解析】 【分析】先求出集合A ,再按照交集并集的运算计算()A B C 即可. 【详解】{}{}22002A x x x x x =-≤=≤≤,{}(){}1,2,1,2,3,4A B A B C ==.故选:C. 14.B 【解析】 【分析】利用集合间的基本运算,即可得到答案; 【详解】{}3,4,5UA =,则(){}U 3,4,5AB ⋂=.故选:B. 15.B 【解析】 【分析】根据元素与集合的关系、集合与集合的关系即可判断. 【详解】{}00∈正确;{}0∅⊆正确;{}(){}0,10,1=不正确,左边是数集,右边是点集;(){}(){}(),,a b b a a b =≠不正确,左边是点集,右边是点集,但点不相同.故正确的有①②,共2个. 故选:B.二、填空题16.{}0,1,3【解析】 【分析】根据元素的确定性和互异性可求实数a 的取值. 【详解】因为{}31,3,a a ∈-,故1a =-或3a =或3a a =,当1a =-时,31a =-,与元素的互异性矛盾,舍; 当3a =时,327a =,符合;当3a a =时,0a =或1a =±,根据元素的互异性,0,1a =符合, 故a 的取值集合为{}0,1,3. 故答案为:{}0,1,317.{}0【解析】 【分析】根据图像求出g (x )的解析式,再求出f (x )解析式,求出A 集合,根据集合交集运算法则计算即可. 【详解】由图可知()g x 周期52=1212T πππ⎛⎫=⨯+⎪⎝⎭,∴22T πω==.由212πg ⎛⎫-= ⎪⎝⎭得22122k ππϕπ⎛⎫⨯-+=+ ⎪⎝⎭,∴223k πϕπ=+,k ∈Z , ∵0ϕπ<<,∴k 取0,23ϕπ=, ∴()22sin 23g x x π⎛⎫=+ ⎪⎝⎭, ∴()22sin 22sin 2633f x x x πππ⎡⎤⎛⎫⎛⎫=-+=+ ⎪ ⎪⎢⎥⎝⎭⎝⎭⎣⎦, ∴35352sin 22sin 611212363f ππππππ⎛⎫⎛⎫⎛⎫=⨯+=-+=⎪ ⎪ ⎪⎝⎭⎝⎭⎝⎭. ∴()35150sin 22221232636f x f x k x k πππππππ⎛⎫⎛⎫-≥⇔+≥⇔+≤+≤+⎪ ⎪⎝⎭⎝⎭,k ∈Z , ∴,124A x k x k k ππππ⎧⎫=-≤≤+∈⎨⎬⎩⎭Z ,∴{}0A B ⋂=.故答案为:{}0﹒18.924⎡⎫⎪⎢⎣⎭,【解析】【分析】设等差数列{}n a 的公差为d ,由题设列出d 与1a 的方程组,解出d 与1a ,从而可得到212322n n n a a a n n ++⋯++=,令23()2n n nf n +=,得出()f n 的单调性,即可求出λ的取值范围. 【详解】解:设等差数列{}n a 的公差为d ,由题设可知:11111141392443a a d a d a d a d a ++++=++⎧⎨+=⎩,解得:14a =,2d =,212(1)4232n n n a a a n n n -+++=+⨯=+, ∴212322n n na a a n n ++⋯++=,令23()2n n n f n +=,则22211(1)3(1)34(1)()222n n n n n n n n n f n f n +++++++-+-=-=-,当2n <时,()()10f n f n +->, 当2n ≥时,()()10f n f n +-<,f ∴(1)f <(2)f >(3)f >(4)>,又f (1)2=,f (2)52=,f (3)94=,f (4)74=, 集合{}*12N |2n n n a a a λ∈<++⋯+中有2个元素,即集合*12N |2n n a a a n λ++⋯+⎧⎫∈<⎨⎬⎩⎭中有2个元素, [2λ∴∈,9)4.故答案为:924⎡⎫⎪⎢⎣⎭,.19. ∉ ∉ ∈ ∉ ∈ ∉ 【解析】 【分析】根据元素与集合的关系判断. 【详解】由,,,,N Z R Q -+∅所表示的集合,由元素与集合的关系可判断 (1)∉(2)∉(3)∈(4)∉(5)∈(6)∉.故答案为:(1)∉(2)∉(3)∈(4)∉(5)∈(6)∉. 20.[2,+∞) 【解析】 【分析】根据A B ⊆结合数轴即可求解. 【详解】∵{}22A x x =-≤≤≠∅,A B ⊆, ∴A 与B 的关系如图:∴a ≥2.故答案为:[2,+∞).21.{}10x x -<<【解析】 【分析】由交集运算求解即可. 【详解】A B ={}{}{}122010x x x x x x -<≤⋂-≤<=-<<故答案为:{}10x x -<<22.0a ≤【解析】 【分析】根据并集的运算结果列出不等式,即可得解. 【详解】解:因为A B R =, 所以0a ≤. 故答案为:0a ≤.23.(],1-∞【解析】 【分析】直接利用补集的定义求解即可 【详解】因为全集为R ,集合()1,A =+∞, 所以A =(],1-∞, 故答案为:(],1-∞ 24.7 【解析】 【分析】根据子集的概念,列举出集合A ,可得答案. 【详解】因为{,}{,,,,}a b A a b c d e ⊆,所以集合A 可能是{}{}{}{}{},,,,,,,,,,,,,,,,a b c a b d a b e a b c d a b c e ,{}{},,,,,,,,a b d e a b c d e 共7个;故答案为:725.1a ≤【解析】【分析】解一元二次不等式得集合A ,化简集合B ,再借助集合的包含关系即可求解作答.【详解】解2320x x --<,即2320x x -+>,解得1x <或2x >,则{|1A x x =<或2}x >, {|}B x x a =<,而B A ⊆,于是得1a ≤,所以a 的取值范围是:1a ≤.故答案为:1a ≤三、解答题26.(1)(){}11U A B x x ⋂=-≤< (2)112a -≤≤【解析】【分析】(1)当1a =时,求出集合A ,利用补集和交集的定义可求得集合()U A B ⋂; (2)分析可知A B ⊆且A ≠∅,可得出关于实数a 的不等式组,由此可解得实数a 的取值范围.(1)解:当1a =时,{}15A x x =≤≤,则{1U A x x =<或}5x >,故(){}11U A B x x ⋂=-≤<.(2) 解:由题意可知A B ⊆且A ≠∅,所以,223234a a a ⎧≤+⎨+≤⎩,解得112a -≤≤. 27.(1)20(2)证明见解析(3)是,理由见解析【解析】【分析】(1)由2022除以91求解;(2)利用反证法证明;(3)利用“和谐集”的求解.(1)解:因为2022912220=⨯+,且q A ∈,所以q =22,r =20;(2)假设存在这样的函数f :{}1,2,3A →,使得对任意的整数1x ,2x A ∈,若{}121,2,3x x -∈,则()()12f x f x ≠,设(){}(){}1,1,2,3,2,1,2,3f a a f b b =∈=∈,由已知a b , 由于312,321-=-=,所以()()()()31,32f f f f ≠≠,不妨设(){}3,1,2,3f c c =∈,且,c a c b ≠≠,同理()()4,4f b f c ≠≠,因为{}1,2,3只有三个元素,所以()4f a =,即()()14f f =, 但413-=,与已知矛盾,所以假设不成立,即不存在这样的函数f :{}1,2,3A →,使得对任意的整数1x ,2x A ∈,若{}121,2,3x x -∈,则()()12f x f x ≠(3)设{}1211,,...,,7B a a a =,若1,14,21中之一为集合B 的元素,显然为“和谐集”, 现考虑1,14,21都不属于集合B ,构造集合{}{}{}1232,4,8,16,3,6,12,5,10,20B B B ===,{}{}459,18,11,22B B ==,{}13,15,17,19,23B '=,12345,,,,B B B B B 每个集合中的元素都是倍数关系,考虑B B '⊆的情况,也即B '中5个元素全都是B 的元素,则B 中剩下的6个元素必须从12345,,,,B B B B B 这5个集合中选取6个元素,则至少有一个集合有两个元素被选,即集合B 中至少有两个元素存在倍数关系, 综上:当7m =时,集合A 中有12个元素并且含有m 的任意子集都为“和谐集”. 28.(1){1x x ≤-或}3x ≥(2)[)1,+∞【解析】【分析】(1)求出集合M ,再根据补集和并集的定义求解;(2)由题意得N P ,再根据包含关系列不等式求解.(1)由已知{}{}243013M x x x x x =-+<=<<, 所以{}13M N x x ⋃=-<<,则(){1R M N x x ⋃=≤-或}3x ≥.(2)由题意得N P , 则1m -≤-,解得1m ≥.故m 的取值范围是[)1,+∞.29.(1)以A 为圆心,5为半径的圆内部分(2)线段AB 的垂直平分线【解析】【分析】(1)由圆的定义可得;(2)由线段垂直平分线的定义可得.(1)表示到A 点距离小于5的点组成的集合,即以A 为圆心,5为半径的圆内部分;(2)P 到,A B 距离相等,即线段AB 的垂直平分线.30.答案见解析【解析】【分析】首先写出6的正约数,即可得到集合Y ,再用列举法列出Y 的所有子集;【详解】解:因为6的正约数有1、2、3、6,所以{}1,2,3,6Y =,所以Y 的子集有:∅、{}1、{}2、{}3、{}6、{}1,2、{}1,3、{}1,6、{}2,3、{}2,6、{}3,6、{}1,2,3、{}1,2,6、{}1,3,6、{}2,3,6、{}1,2,3,6共16个;。
➢•高中数学必修一复习练习(一)班号姓名❖❖集合的含义与表示1.下面的结论正确的是()A.a∈Q,则a∈N B.a∈Z,则a∈NC.x2-1=0的解集是{-1,1} D.以上结论均不正确2.下列说法正确的是()A.某班中年龄较小的同学能够形成一个集合B.由1,2,3和9,1,4组成的集合不相等C.不超过20的非负数组成一个集合D.方程x2-4=0和方程|x-1|=1的解构成了一个四元集3.用列举法表示{(x,y)|x∈N+,y∈N+,x+y=4}应为()A.{(1,3),(3,1)} B.{(2,2)}C.{(1,3),(3,1),(2,2)} D.{(4,0),(0,4)}4.下列命题:(1)方程x-2+|y+2|=0的解集为{2,-2};(2)集合{y|y=x2-1,x∈R}与{y|y=x-1,x∈R}的公共元素所组成的集合是{0,1};(3)集合{x|x-1<0}与集合{x|x>a,a∈R}没有公共元素.其中正确的个数为()A.0 B.1 C.2 D.32,4,6,8,若a∈A,则8-a∈A,则a的取值构成的集合是________.5.对于集合A={}6.定义集合A*B={x|x=a-b,a∈A,b∈B},若A={1,2},B={0,2},则A*B中所有元素之和为________.7.若集合A={-1,2},集合B={x|x2+ax+b=0},且A=B,则求实数a,b的值.8.已知集合A={a-3,2a-1,a2+1},a∈R.(1)若-3∈A,求实数a的值;(2)当a为何值时,集合A的表示不正确.➢•集合间的基本关系1.下列关系中正确的个数为()①0∈{0};②∅{0};③{(0,1)}⊆{(0,1)};④{(a,b)}={(b,a)}.A.1 B.2 C.3 D.42.已知集合A={x|-1<x<2},B={x|0<x<1},则()A.A>B B.A B C.B A D.A⊆B3.已知{1,2}⊆M{1,2,3,4},则符合条件的集合M的个数是() A.3 B.4 C.6 D.84.集合M={1,2,a,a2-3a-1},N={-1,3},若3∈M且N M,则a的取值为() A.-1 B.4 C.-1或-4 D.-4或15.集合A中有m个元素,若在A中增加一个元素,则它的子集增加的个数是__________.6.已知M={y|y=x2-2x-1,x∈R},N={x|-2≤x≤4},则集合M与N之间的关系是________.7.若集合M={x|x2+x-6=0},N={x|(x-2)(x-a)=0},且N⊆M,求实数a的值.8.设集合A={x|a-2<x<a+2},B={x|-2<x<3},(1)若A B,求实数a的取值范围;(2)是否存在实数a使B⊆A?☺☺并集与交集1.A∩B=A,B∪C=C,则A,C之间的关系必有()A.A⊆C B.C⊆A C.A=C D.以上都不对2.A={0,2,a},B={1,a2},A∪B={0,1,2,4,16},则a的值为() A.0 B.1 C.2 D.43.已知全集U=R,集合M={x|-2≤x-1≤2}和N={x|x=2k-1,k∈N*}的关系的韦恩(V enn)图如图所示,则阴影部分所示的集合的元素共有()A.2个B.3个C.1个D.无穷多个4.设集合M={x|-3≤x<7},N={x|2x+k≤0},若M∩N≠∅,则k的取值范围是()A.k≤3 B.k≥-3 C.k>6 D.k≤65.已知集合M={x|-3<x≤5},N={x|-5<x<-2或x>5},则M∪N=________,M∩N=________.6.已知集合A={(x,y)|y=x2,x∈R},B={(x,y)|y=x,x∈R},则A∩B中的元素个数为___.7.已知集合A={x|x2+px+q=0},B={x|x2-px-2q=0},且A∩B={-1},求A∪B.8.已知A={x|x<-2或x>3},B={x|4x+m<0,m∈R},当A∩B=B时,求m的取值范围.☯☯集合的补集运算1.已知全集U ={1,2,3,4,5,6,7,8},M ={1,3,5,7},N ={5,6,7}, 则∁U (M ∪N )=( )A .{5,7}B .{2,4}C .{2,4,8}D .{1,3,5,6,7}2.已知全集U ={2,3,5},集合A ={2,|a -5|},若∁U A ={3},则a 的值为( )A .0B .10C .0或10D .0或-103.已知全集U =R ,集合A ={x |-2≤x ≤3},B ={x |x <-1或x >4},那么集合A ∩(∁U B )等于( )A .{x |-2≤x <4}B .{x |x ≤3或x ≥4}C .{x |-2≤x <-1}D .{x |-1≤x ≤3}4.如图所示,U 是全集,A ,B 是U 的子集,则阴影部分所表示的集合是( )A .A ∩B B .A ∪BC .B ∩(∁U A )D .A ∩(∁U B )5.已知全集S =R ,A ={x |x ≤1},B ={x |0≤x ≤5},则(∁S A )∩B =________.6.定义集合A *B ={x |x ∈A ,且x ∉B },若A ={1,2,3,4,5},B ={2,4,5},则A *B 的子集的个数是________.7.已知全集U =R ,A ={x |-4≤x ≤2},B ={x |-1<x ≤3},P ={x |x ≤0或x ≥52},(1)求A ∩B ; (2)求(∁U B )∪P ; (3)求(A ∩B )∩(∁U P ).8.已知集合A ={x |2a -2<x <a },B ={x |1<x <2},且A ∁R B ,求a 的取值范围.参考答案❖❖集合的含义与表示1.选C 对于A ,a 属于有理数,则a 属于自然数,显然是错误的,对于B ,a 属于整数,则a 属于自然数当然也是错的,对于C 的解集用列举法可用它来表示.故C 正确.2.选C A 项中元素不确定;B 项中两个集合元素相同,因集合中的元素具有无序性,所以两个集合相等;D 项中两个方程的解分别是±2,0,2,由互异性知,可构成一个三元集.3.选C x =1时,y =3;x =2时,y =2;x =3时,y =1.4.选A (1)⇔⎩⎨⎧x -2=0,|y +2|=0⇔⎩⎪⎨⎪⎧x =2,y =-2.故解集为{(2,-2)},而不是{2,-2}; (2) 集合{y |y =x 2-1,x ∈R }表示使y =x 2-1有意义的因变量y 的范围,而y =x 2-1≥-1,故{y |y =x 2-1,x ∈R }={y |y ≥-1}.同理集合{y |y =x -1,x ∈R }=R .结合数轴(图1)知,两个集合的公共元素所组成的集合为{y |y ≥-1};(3) 集合{x |x -1<0}表示不等式x -1<0的解集,即{x |x <1}.而{x |x >a ,a ∈R }就是x >a 的解集.结合图2,当a ≥1时两个集合没有公共元素;当a <1时,两个集合有公共元素,形成的集合为{x |a <x <1}.5.解析:当a =2时,8-a =6∈A ;a =4时,8-a =4∈A ;a =6时,8-a =2∈A ;a =8时,8-a =0∉A .∴所求集合为{2,4,6}.答案:{2,4,6}6.解析:A*B ={1,-1,2,0},∴A*B 中所有元素之和为1-1+2+0=2. 答案:27.解:由题意知-1,2是方程x 2+ax +b =0的两个根,由根与系数的关系可知有⎩⎪⎨⎪⎧1-a +b =0,4+2a +b =0,故有a =-1,b =-2.8.解:(1)由题意知,A中的任意一个元素都有等于-3的可能,所以需要讨论.当a-3=-3时,a=0,集合A={-3,-1,1},满足题意;当2a-1=-3时,a=-1,集合A={-4,-3,2},满足题意;当a2+1=-3时,a无解.综上所述,a=0或a=-1.(2)若元素不互异,则集合A的表示不正确若a-3=2a-1,则a=-2;若a-3=a2+1,则方程无解;若2a-1=a2+1,则方程无解.综上所述,a=-2.➢•集合间的基本关系1.选C①、②、③均正确;④不正确.a≠b时,(a,b)与(b,a)是不同的元素.2.C3.选A符合条件的集合M有{1,2},{1,2,3},{1,2,4}共3个.4.选B(1)若a=3,则a2-3a-1=-1,即M={1,2,3,-1},显然N⊆M,不合题意.(2)若a2-3a-1=3,即a=4或a=-1(舍去),当a=4时,M={1,2,4,3},满足要求.5.解析:由2m+1-2m=2·2m-2m=2m. 答案:2m6.解析:∵y=(x-1)2-2≥-2,∴M={y|y≥-2},∴N M. 答案:N M 7.解:由x2+x-6=0,得x=2或x=-3. 因此,M={2,-3}.若a=2,则N={2},此时N⊆M;若a=-3,则N={2,-3},此时N=M;若a≠2且a≠-3,则N={2,a},此时N不是M的子集,故所求实数a的值为2或-3.8.解:(1)借助数轴可得,a 应满足的条件为⎩⎪⎨⎪⎧a -2 >-2,a +2 ≤ 3,或⎩⎪⎨⎪⎧a -2 ≥-2,a +2 < 3,解得0≤ a ≤ 1. (2)同理可得a 应满足的条件为⎩⎪⎨⎪⎧a -2 ≤ -2,a +2 ≥ 3,得a 无解,所以不存在实数a 使B ⊆A .☺☺并集与交集1.选A A∩B =A ⇒A ⊆B ,B ∪C =C ⇒B ⊆C ,∴A ⊆C.2.选D ∵A ={0,2,a },B ={1,a 2},A ∪B ={0,1,2,4,16},则⎩⎪⎨⎪⎧a =4,a 2=16.∴a =4. 3.选A M ={x|-1≤x≤3},N ={x|x =2k -1,k ∈N*},∴M∩N ={1,3}.4.选D 因为N ={x|2x +k≤0}={x|x≤-k 2},且M∩N≠∅,所以-k 2≥-3⇒k ≤ 6. 5.解析:借助数轴可知:M ∪N ={x|x>-5},M ∩N ={x |-3<x <-2}.答案:{x |x >-5} {x |-3<x <-2}6.解析:由⎩⎪⎨⎪⎧y =x2,y =x ,得⎩⎪⎨⎪⎧x =0,y =0或⎩⎪⎨⎪⎧x =1,y =1. 答案:2 7.解:因为A∩B ={-1},所以-1∈A 且-1∈B ,将x =-1分别代入两个方程,得⎩⎪⎨⎪⎧1-p +q =01+p -2q =0,解得⎩⎪⎨⎪⎧p =3q =2. 所以A ={x |x 2+3x +2=0}={-1,-2}, B ={x |x 2-3x -4=0}={-1,4},所以A ∪B ={-1,-2,4}.8. 解:由题知,B ={x|x<-m 4,m ∈R},因为A∩B =B ,所以A ⊇B , 所以由数轴(如图)可得-m 4≤-2,所以m ≥8,即m 的取值范围是m ≥8.☯☯集合的补集运算1.选C M ∪N ={1,3,5,6,7}.∴∁U (M ∪N)={2,4,8}.2.选C 由∁U A ={3},知3∉A ,3∈U. ∴|a -5|=5,∴a =0或a =10.3.选D 由题意可得,∁U B ={x|-1≤x ≤4},A ={x |-2≤x ≤3},所以A ∩(∁U B )={x |-1≤x ≤3}.端点处的取舍易出错.4.选C 阴影部分表示集合B 与集合A 的补集的交集.因此,阴影部分所表示的集合为B ∩(∁U A ).5.解析:由已知可得∁S A ={x |x >1},∴(∁S A)∩B ={x |x >1}∩{x |0≤x ≤5}={x |1<x ≤5}.答案:{x |1<x ≤5}6.解析:由题意知A*B ={1,3}.则A*B 的子集有22=4个.答案:47.解:借助数轴,如图.(1) A ∩B ={x |-1<x ≤2},(2) ∵∁U B ={x |x ≤-1或x >3},∴(∁U B )∪P ={x |x ≤0或x ≥52}. (3) ∁U P ={x |0<x <52}.(A ∩B )∩(∁U P )={x |-1<x ≤2}∩{x |0<x <52}={x |0<x ≤2}. 8.解:∁R B ={x|x≤1或x≥2}≠∅,∵A ∁R B ,∴分A =∅和A≠∅两种情况讨论.(1)若A =∅,此时有2a -2≥a ,∴a ≥2.(2)若A ≠∅,则有⎩⎪⎨⎪⎧2a -2<a a ≤1或⎩⎪⎨⎪⎧2a -2<a 2a -2≥2. ∴a ≤1. 综上所述,a ≤1或a ≥2.。
高一数学集合练习题含答案一、单选题1.已知集合{}22A x x =-≥,集合{2,3,4,5}B =,那么集合A B =( ) A .[2,5]B .(3,5]C .{4,5}D .{2,3,4,5}2.设集合{}1,0,1,2A =-,{}2230B x x x =+-<,则A B 的子集个数为( ) A .2 B .4 C .8D .16 3.已知全集为R ,集合115x A x ⎧⎫⎪⎪⎛⎫=<⎨⎬ ⎪⎝⎭⎪⎪⎩⎭,11B x x ⎧⎫=≥⎨⎬⎩⎭,则A B ⋂=R ( ) A .{}0x x ≤ B .{}01x x <≤ C .{}1x x > D .∅4.已知集合{}i ,N n M m m n ==∈,其中i 为虚数单位,则下列元素属于集合M 的是( )A .()()1i 1i -+B .1i 1i -+C .i 1i -D .()21i -5.已知集合{}0,1,2A =,{},B ab a A b A =∈∈,则集合B 中元素个数为( ) A .2 B .3 C .4 D .56.若集合{}220A x x x =--<,{}21B x x =<,则A B =( ) A .AB .BC .()1,0-D .()0,2 7.已知全集,集合{|(2)0}A x x x =+<,{|||1}B x x ,则如图所示的阴影部分表示的集合是( )A .(2,1)-B .[1,0)[1,2)-⋃C .(2,1)[0,1]--D .[0,1]8.已知集合{}0,1,2,3,4,5A =,{}1,3,6,9B =,{}3,7,8C =,则 ()A B C ⋂⋃=( ) A .{}3 B .{}3,7,8 C .{}1,3,7,8 D .{}1,3,6,7,89.设集合{}A x x a =>,{}2320B x x x =-+>,若A B ⊆,则实数a 的取值范围是( ).A .(),1-∞B .(],1-∞C .()2,+∞D .[)2,+∞10.已知集合(){}0.2log 20A x x =->,{}24B x x =≤,则A B ⋃=( ) A .[]22-, B .(]2,1- C .[)2,3- D .∅11.已知集合{}2log 1M x x =<,{}21N x x =≤,则M N ⋃=( ) A .(],1-∞B .(),2-∞C .[)1,2-D .(]0,112.已知全集{}U 1,0,1,3,6=-,{}0,6A =,则U A =( ) A .{}1,3- B .{}1,1,3- C .{}0,1,3 D .{}0,3,613.已知集合1144A x x ⎧⎫=-<⎨⎬⎩⎭,12B x a x ⎧⎫=<<⎨⎬⎩⎭,若B A ⊆,则实数a 的取值范围是( )A .10,2⎛⎫ ⎪⎝⎭B .10,2⎛⎤ ⎥⎝⎦C .[)0,∞+D .[)1,+∞14.设集合{}*21230,1A x N x x B x R x ⎧⎫=∈--≤=∈≥⎨⎬⎩⎭∣∣,则A B =( ) A .0,1 B .{}1 C .(]0,1 D .{}0,115.已知集合{}1e 1x M x -=>,{}220N x x x =-<,则M N =( )A .()1,+∞B .()2,+∞C .()0,1D .()1,2 二、填空题16.若集合{}{}220,10M x x x N x ax =+-==+=,且N M ⊆,则实数a 的取值集合为____.17.已知函数2()43f x x x =-+,()52g x mx m =+-,若对任意的[]11,4x ∈,总存在[]21,4x ∈,使12()()f x g x =成立,则实数m 的取值范围是 ________.18.已知集合{}2430A x x x =-+=,{}30B x mx =-=,且B A ⊆,则实数m 的取值集合为___________.19.已知集合(){}2,2A x y y x x ==-,()(){},21B x y y x ==+,则A B =___________.20.若集合{}2210A x x x =-+=,{}210B x x =-=,则A ______B .(用符号“⊂”“=”或“⊃”连接)21.已知集合{}2280P x x x =-->,{}Q x x a =≥,若P Q Q ⋂=,则实数a 的取值范围是___________.22.某学校开设校本课程,高一(2110)班确定了数学类、英语类、历史类三个类别校本课程供班上的40名学生选择参加,且40名学生全部参与选择.其中只选数学类的有8人,只选英语类的有8人,只选历史类的有8人,既选数学类又选英语类的有7人,既选数学类又选历史类的有11人,既选英语类又选历史类的有8人,则三类课程都选择参加的有___________人.23.已知全集{}1,2,345U =,,,集合{}123A =,,,则A =_____________. 24.已知函数()5f x =-M ,集合{}9N x x =≥,若M N ⋂=∅,则实数a 的取值范围是_________.25.若集合{}23,21,4A a a a =---,且3A -∈,则实数=a ___________.三、解答题26.已知全集为R ,函数 ()1g(1)f x x =-的定义域为集合A ,集合{}2|60B x x x =-->. (1)求A B ,R ()A C B ⋂;(2)若{}|1C x m x m =-<<,R (())C A C B ⊆⋂,求实数m 的取值范围.27.已知集合{}22A x a x a =-≤≤+,{1B x x =≤或}4x ≥.(1)当3a =时,求A B ;(2)若0a >,且“x A ∈”是“R x B ∈”的充分不必要条件,求实数a 的取值范围.28.在①A B B ⋃=;②“x A ∈”是 “x B ∈”的充分不必要条件;③A B =∅这三个条件中任选一个,补充到本题第(2)问的横线处,求解下列问题: 已知集合{}11A x a x a =-≤≤+,{}2230B x x x =--≤ (1)当2a =时,求A B ;(2)若______,求实数a 的取值范围.29.已知集合{}3A x a x a =≤≤+,{1B x x =<-或5}x >.(1)若A B =∅,求a 的取值范围;(2)若A B A =,求a 的取值范围.30.四人共同管理一个保险箱,该保险箱要同时插入几把不同的钥匙才能打开.约定四人中要有三位到场才可以打开此箱,问至少要有几把钥匙才能开箱,这些钥匙应如何分配?【参考答案】一、单选题1.C【解析】【分析】解出不等式22x -≥,然后根据集合的交集运算可得答案.【详解】 因为{}{}224A x x x x =-≥=≥,{2,3,4,5}B =,所以{4,5}A B =,故选:C2.B【解析】【分析】求出集合B ,可求得集合A B ,确定集合A B 的元素个数,利用集合子集个数公式可求得结果.【详解】 因为{}{}223031B x x x x x =+-<=-<<,所以,{}1,0A B ⋂=-,则集合A B 的元素个数为2,因此,A B 的子集个数为224=.故选:B.3.C【解析】【分析】根据题意解得集合{}|0A x x =>,{}|01B x x =<≤,由集合补集运算得到(](),01,B =-∞⋃+∞R ,再由集合交集运算得到最后结果.【详解】集合115x A x ⎧⎫⎪⎪⎛⎫=<⎨⎬ ⎪⎝⎭⎪⎪⎩⎭,解得{}|0A x x =>, 11B x x ⎧⎫=≥⎨⎬⎩⎭,()101110010x x x x x x x ⎧-≥-≥⇔≥⇔⇒<≤⎨≠⎩{}|01B x x ∴=<≤,(](),01,B =-∞⋃+∞R由集合交集运算得到:A B ⋂=R {}1x x >.故选:C.4.B【解析】【分析】计算出集合M ,在利用复数的四则运算化简各选项中的复数,即可得出合适的选项.【详解】当N k ∈时,4i 1k =,41i i k +=,422i i 1k +==-,433i i i k +==-,则{}i,1,i,1M =--,()()1i 1i 112M -+=+=∉,()()()21i 1i 2i i 1i 1i 1i 2M ---===-∈++-, ()()()i 1i i 11i 1i 1i 1i 22M +==-+∉--+,()2i 1i 2M =-∉-, 故选:B.5.C【解析】【分析】由列举法列出集合B 的所有元素,即可判断;【详解】解:因为{}0,1,2A =,a A b A ∈∈,,所以0ab =或1ab =或2ab =或4ab =,故{}{},0,1,2,4B ab a A b A =∈∈=,即集合B 中含有4个元素;故选:C6.B【解析】【分析】 由题知{}12A x x =-<<,{}11B x x =-<<,再求交集即可.【详解】解:解不等式220x x --<得12x -<<,故{}12A x x =-<<, 解不等式21x <得11x -<<,故{}11B x x =-<<,所以A B ={}11x x B -<<=.故选:B7.C【解析】【分析】首先解一元二次不等式求出集合A ,再解绝对值不等式求出集合B ,阴影部分表示的集合为()A B A B ⋃,根据交集、并集、补集的定义计算可得;【详解】解:由(2)0x x +<,解得20x -<<,所以}{|(2)0{|20}A x x x x x <-=<<+=,又{|||1}{|11}B x x x x =-≤≤=≤,所以(2,1]A B =-,[1,0)A B =-,所以阴影部分表示的集合为()(2,1)[0,1]A B A B ⋃=--,故选:C.8.C【解析】【分析】先求A B ,再求()A B C ⋂⋃.【详解】 {}1,3A B =,(){}1,3,7,8A B C ⋂⋃=.故选:C9.D【解析】【分析】先求出集合B ,再由A B ⊆求出实数a 的范围.【详解】{}{23202B x x x x x =-+>=>或}1x <. 因为集合{}A x x a =>,A B ⊆,所以2a ≥.故选:D10.C【解析】【分析】解对数不等式确定集合A ,解二次不等式确定集合B ,然后由并集定义计算.【详解】由题意{|021}{|23}A x x x x =<-<=<<,{|22}B x x =-≤≤,所以{|23}[2,3)A B x x =-≤<=-.故选:C .11.C【解析】【分析】求出集合M ,N ,然后进行并集的运算即可.【详解】∵{}02M x x =<<,{}11N x x =-≤≤,∴[1,2)M N ⋃=-.故选:C .12.B【解析】【分析】根据集合补集的概念及运算,即可求解.【详解】由题意,全集{}U 1,0,1,3,6=-,且{}0,6A =,根据集合补集的概念及运算,可得{}U 1,1,3A =-. 故选:B.13.C【解析】【分析】解不等式求得集合A ,对a 进行分类讨论,根据B 是A 的子集列不等式,从而求得a 的取值范围.【详解】1111111,,0,0,4444422x x x A ⎛⎫-<-<-<<<= ⎪⎝⎭, 当12a ≥时,B =∅,满足B A ⊆. 当12a <时,由于B A ⊆,所以102a ≤<. 综上所述,a 的取值范围是[)0,∞+.故选:C14.B【解析】【分析】先求出结合,A B ,再根据集合的交集运算,即可求出结果.【详解】 因为{}{}{}*2*N 230N 131,2,3A x x x x x =∈--≤=∈-≤≤=∣, {}1101B x x x x ⎧⎫=∈≥=∈<≤⎨⎬⎩⎭R R 所以{}1A B =.故选:B.15.D【解析】【分析】根据指数函数的性质解出集合M ,再由二次不等式的解法求出集合N ,最后求交集即可.【详解】解:由1e 1x ->得10e e x ->,又函数e x y =在R 上单调递增,则10x ->,即{}1M x x =>,又由220x x -<得02x <<,即{}02M x x =<<, 所以{}12M N x x ⋂=<<.故选:D.二、填空题16.10,1,2⎧⎫-⎨⎬⎩⎭【解析】【详解】先求出集合M ,然后分N =∅和N ≠∅两种情况求解【点睛】由220x x +-=,得(1)(2)0x x -+=,解得1x =或2x =-,所以{}1,2M =-,当N =∅时,满足N M ⊆,此时0a =当N ≠∅时,即0a ≠,则1N a ⎧⎫=-⎨⎬⎩⎭, 因为N M ⊆,所以1M a -∈, 所以11a -=或12a-=-, 解得1a =-或12a =, 综上,12a =,或1a =-,或0a =, 所以实数a 的取值集合为10,1,2⎧⎫-⎨⎬⎩⎭, 故答案为:10,1,2⎧⎫-⎨⎬⎩⎭ 17.(,3][6,)-∞-⋃+∞【解析】【分析】根据对任意的[]11,4x ∈,总存在[]21,4x ∈,使得12()()f x g x =,可得两个函数值域的包含关系,进而根据关于m 的不等式组,解不等式组即可.【详解】因为()22()4321f x x x x =-+=--,所以函数()f x 的对称轴为2x =,对任意的[]11,4x ∈,记()[]1,3f x ∈-.记[]1,3A =-.由题意知,当0m =时不成立,当0m >时,()52g x mx m =+-在[]1,4上是增函数,所以[]()5,25g x m m ∈-+,记[]5,25B m m =-+由题意知,B A所以m m -≥-+≥⎧⎨⎩15253,解得6m ≥. 当0m <时,()52g x mx m =+-在[]1,4上是减函数,所以[]()25,5g x m m ∈+-,记[]25,5C m m =+-,由题意知,C A ⊇所以251{53m m +≤--≥,解得3m ≤-. 综上所述,实数m 的取值范围是(,3][6,)-∞-⋃+∞.故答案为: (,3][6,)-∞-⋃+∞【点睛】解决本题的关键是将问题转化为对任意的[]11,4x ∈,总存在[]21,4x ∈,使得12()()f x g x =, 可得两个函数值域的包含关系,进而分别求两个函数的值域.18.{}0,1,3【解析】【分析】讨论0m =和0m ≠两种情况,根据包含关系得出实数m 的取值集合.【详解】{}{}24301,3A x x x =-+==∣当0m =时,B =∅,满足B A ⊆; 当0m ≠时,3B m ⎧⎫=⎨⎬⎩⎭,因为B A ⊆,所以31m =或33m =,解得3m =或1m = 即实数m 的取值集合为{}0,1,3.故答案为:{}0,1,319.()1,1,2,62⎧⎫⎛⎫-⎨⎬ ⎪⎝⎭⎩⎭【解析】【分析】解方程组直接求解即可【详解】由()2221y x x y x ⎧=-⎪⎨=+⎪⎩得121x y ⎧=-⎪⎨⎪=⎩或26x y =⎧⎨=⎩, ∴()1,1,2,62A B ⎧⎫⎛⎫⋂=-⎨⎬ ⎪⎝⎭⎩⎭. 故答案为:()1,1,2,62⎧⎫⎛⎫-⎨⎬ ⎪⎝⎭⎩⎭20.⊂【解析】【分析】先化简集合A 、B ,再去判断集合A 、B 间的关系即可解决.【详解】{}{}22101A x x x =-+==,{}{}2101,1B x x =-==-,则A B ⊂ 故答案为:⊂21.()4,+∞【解析】【分析】求出集合P ,根据P Q Q ⋂=,得Q P ⊆,列出不等式即可得解.【详解】 解:{}{22804P x x x x x =-->=>或}2x <-, 因为P Q Q ⋂=,所以Q P ⊆,所以4a >.故答案为:()4,+∞.22.5【解析】【分析】设三类课程都选择参加的学生有x 人,由题意得()()()83711840x x x x ⨯+-+-+-+=,解方程可求得结果【详解】设三类课程都选择参加的学生有x 人,由题意得()()()83711840x x x x ⨯+-+-+-+=,解得5x =.故答案为:523.{}45,## {}5,4 【解析】【分析】根据补集运算得到答案即可.【详解】因为全集{}1,2,345U =,,,集合{}123A =,,,所以A = {}45, 故答案为:{}45,24.(,8]-∞【解析】【分析】根据集合交集的性质,结合子集的性质进行求解即可.【详解】 ∵{}9,N x x M N =≥⋂=∅,∵{}9M x x ⊆<, ∵{}1M x x a =<+,∴19a +≤,解得8a ≤,∴实数a 的取值范围是(,8]-∞.故答案为:(,8]-∞25.0或1.【解析】【分析】根据题意,分33a -=-、213a -=-和243a -=-,三种情况讨论,结合元素的互异性,即可求解.【详解】由题意,集合{}23,21,4A a a a =---,且3A -∈,若33a -=-时,可得0a =,此时集合{}3,1,4A =---,符合题意;若213a -=-时,可得1a =-,此时243a -=-,不满足集合元素的互异性,舍去; 若243a -=-时,可得1a =或1a =-(舍去),当1a =时,集合{}2,1,3A =--,符合题意,综上可得,实数a 的值为0或1.故答案为:0或1.三、解答题26.(1){1A B x x ⋃=<或}3x >,{}R ()|21A C B x x ⋂=-≤<(2)1m【解析】【分析】(1)分别求出集合,A B ,由交、并、补集的定义即可得出答案.(2)因为(())R C A C B ⊆⋂,故分C =∅和C ≠∅两种情况讨论求解即可.(1)由 10x -> 得,函数 ()lg(1)f x x =-的定义域 {}|1A x x =<.260x x -->,(3)(2)0x x -+>,得 {3B x x =>或}2x <-,{1A B x x ∴⋃=<或}3x >,.{}R |23C B x x =-≤≤,{}R ()|21A C B x x ∴⋂=-≤<..(2){}R ()|21A C B x x ⋂=-≤<,R (())C A C B ⊆⋂,则(i )当 C =∅时,满足需求,此时 1m m -≥,得 12m ≤. (ii )当C ≠∅时,要 {}|21C x x ⊆-≤<,则 1,12,1,m m m m -<⎧⎪-≥-⎨⎪≤⎩解得 112m <≤.. 由(i )(ii )得,1m .27.(1){11A B xx =-≤≤∣或}45x ≤≤ (2)()0,1【解析】【分析】(1)借助数轴即可确定集合A 与集合B 的交集(2)由于A R B ,根据集合之间的包含关系即可求解(1)当3a =时,集合{}|22A x a x a =-≤≤+{}15xx =-≤≤∣, {|1B x x =≤或}4x ≥ ,{11A B x x ∴=-≤≤∣或}45x ≤≤(2)若0a >,且 “x A ∈”是“R x B ∈”充分不必要条件,{}{}22(0),14R A x a x a a B x x =-≤≤+>=<<∣∣因为A R B ,则21240a a a ->⎧⎪+<⎨⎪>⎩解得01a <<.故a 的取值范围是:()0,128.(1){}|13A B x x ⋃=-≤≤(2)条件选择见解析,()(),24,-∞-+∞【解析】【分析】(1)化简集合A 与B 之后求二者的并集(2)先判断集合A 与B 的关系,再求a 的取值范围(1)当2a =时,集合{}|13A x x =≤≤,{}|13B x x =-≤≤,所以{}|13A B x x ⋃=-≤≤;(2)若选择①A ∪B =B ,则A B ⊆,因为{}|11A x a x a =-≤≤+,所以A ≠∅,又{}|13B x x =-≤≤,所以1113a a -≥-⎧⎨+≤⎩,解得02a ≤≤, 所以实数a 的取值范围是[]0,2.若选择②,“x A ∈“是“x B ∈”的充分不必要条件,则A B ,因为{}|11A x a x a =-≤≤+,所以A ≠∅, 又{}|13B x x =-≤≤,所以1113a a -≥-⎧⎨+≤⎩,解得02a ≤≤, 所以实数a 的取值范围是[]0,2.若选择③,A B =∅,因为{}|11A x a x a =-≤≤+,{}|13B x x =-≤≤,所以13a ->或11a +<-,解得4a >或2a <-,所以实数a 的取值范围是()(),24,-∞-+∞. 29.(1)[]1,2-(2)()(),45,-∞-+∞【解析】【分析】(1)根据交集的定义,列出关于a 的不等式组即可求解;(2)由题意,A B ⊆,根据集合的包含关系列出关于a 的不等式组即可求解;(1) 解:∵{}3,{1A x a x a B x x =≤≤+=<-或5}x >,且A B =∅, ∴135a a ≥-⎧⎨+≤⎩,解得12a -≤≤, ∴a 的取值范围为[]1,2-;(2) 解:∵{}3,{1A x a x a B x x =≤≤+=<-或5}x >,且A B A =,∴A B ⊆,∴31a +<-或5a >,即4a或5a >, ∴a 的取值范围是()(),45,-∞-+∞.30.详见解析.【解析】【分析】根据题意可知每种相同的钥匙得两把,从4人中选出2人保存为6种不同的方法,进而得到至少有6把钥匙,每人有3把钥匙,然后根据3人能凑齐6把钥匙,2人不能凑齐,进行分配.【详解】根据题意可知要使不同的钥匙最少,则每种相同的钥匙得两把,因为四人中要有三位到场才可以打开保险箱,少于3人就不行,任意2人在一起,就至少少一把钥匙,不能打开,从4人中选出2人保存有6种不同的方法,所以需要有6把不同的钥匙(每种2把),共12把,分给4人,平均每人3把,将这6把不同的钥匙分别记为1,2,3,4,5,6,将这四人分别记为A,B,C,D,钥匙分配方法不唯一如:方法一:A:1 , 2 , 3;B:3 , 4 , 5;C:1 , 5 , 6;D:2 , 4 , 6.方法二:A:4 , 5 , 6;B:2 , 3 , 4;C:1 , 2 , 6 ;D:1 , 3 , 5.。
高中数学必修一集合习题大全含答案(word版可编辑修改)编辑整理:尊敬的读者朋友们:这里是精品文档编辑中心,本文档内容是由我和我的同事精心编辑整理后发布的,发布之前我们对文中内容进行仔细校对,但是难免会有疏漏的地方,但是任然希望(高中数学必修一集合习题大全含答案(word版可编辑修改))的内容能够给您的工作和学习带来便利。
同时也真诚的希望收到您的建议和反馈,这将是我们进步的源泉,前进的动力。
本文可编辑可修改,如果觉得对您有帮助请收藏以便随时查阅,最后祝您生活愉快业绩进步,以下为高中数学必修一集合习题大全含答案(word版可编辑修改)的全部内容。
《集合》练习一一、选择题:(每小题5分共60分)1. 下列命题正确的有( )(1)很小的实数可以构成集合;(2)集合{}1|2-=x y y 与集合(){}1|,2-=x y y x 是同一个集合;(3)3611,,,,0.5242-这些数组成的集合有5个元素;(4)集合(){}R y x xy y x ∈≤,,0|,是指第二和第四象限内的点集。
A .0个B .1个C .2个D .3个2. 若全集{}{}0,1,2,32U U C A ==且,则集合A 的真子集共有( )A .3个B .5个C .7个D .8个3. 若集合}1,1{-=A ,}1|{==mx x B ,且A B A =⋃,则m 的值为( )A .1B .1-C .1或1-D .1或1-或04. 若集合{}{}22(,)0,(,)0,,M x y x y N x y x y x R y R =+==+=∈∈,则有( )A .M N M =B .M N N =C .M N M =D .M N =∅5. 方程组⎩⎨⎧=-=+9122y x y x 的解集是()A .()5,4B .()4,5-C .(){}4,5-D .(){}4,5-。
6. 下列式子中,正确的是( )A .R R ∈+B .{}Z x x x Z ∈≤⊇-,0|C .空集是任何集合的真子集D .{}φφ∈7. 下列表述中错误的是( )A .若AB A B A =⊆ 则,B .若B A B B A ⊆=,则C .)(B A A)(B A D .()()()B C A C B A C U U U =8. 若集合{|1}X x x =>-,下列关系式中成立的为( )A .0X ⊆B .{}0X ∈C .X φ∈D .{}0X ⊆9. 已知集合{}2|10,A x x mx AR φ=++==若,则实数m 的取值范围是( ) A .4<m B .4>m C .40<≤m D .40≤≤m10.下列说法中,正确的是( )A 。
高一必修集合练习题及答案
1.设集合A={x|2≤x<4},B={x|3x-7≥8-2x},则A∪B等于( ) A.{x|x≥3}B.{x|x≥2} C.{x|2≤x<3} D.{x|x≥4} 2.已知集合A={1,3,5,7,9},B={0,3,6,9,12},则A∩B=( )
A.{3,5} B.{3,6} C.{3,7} D.{3,9}
3.已知集合A={x|x>0},B={x|-1≤x≤2},则A∪B=( )
A.{x|x≥-1} B.{x|x≤2 } C.{x|0<x≤2} D.{x|-1≤x≤2}
4. 满足M⊆{,,,},且M∩{,,}={,}的集合M的个数
是( )
A.1 B.2 C.3 D.4
5.集合A={0,2,a},B={1, }.若A∪B={0,1,2,4,16},则a的值为( )
A.0 B.1 C.2 D.4
6.设S={x|2x+1>0},T={x|3x-5<0},则S∩T=( )
A.Ø B.{x|x<-} C.{x|x>} D.{x|-<x<}
7.50名学生参加甲、乙两项体育活动,每人至少参加了一项,参加甲项的学生有30名,参加乙项的学生有25名,则仅参加了一项活动的学生人数为________.
8.满足{1,3}∪A={1,3,5}的所有集合A的个数是________.
9.已知集合A={x|x≤1},B={x|x≥a},且A∪B=R,则实数a的取值范围是________.
10.已知集合A={-4,2a-1,},B={a-5,1-a,9},若A∩B={9},求a的值.
11.已知集合A={1,3,5},B={1,2,-1},若A∪B={1,2,3,5},求x及A∩B.
12.已知A={x|2a≤x≤a+3},B={x|x<-1或x>5},若A∩B=Ø,求a的取值范围.
13.(10分)某班有36名同学参加数学、物理、化学课外探究小组,每名同学至多参加两个小组.已知参加数学、物理、化学小组的人数分别为26,15,13,同时参加数学和物理小组的有6人,同时参加物理和化学小组的有4人,则同时参加数学和化学小组的有多少人?
试题一(集合解析及答案)
1. 【解析】B={x|x≥3}.画数轴(如下图所示)可知选B 【答案】 B
2.【解析】A={1,3,5,7,9},B={0,3,6,9,12},A和B中有相同的元素3,9,∴A∩B={3,9}.故选D. 【答案】D
3. 【解析】集合A、B用数轴表示如图,A∪B={x|x≥-1}.故选A. 【答案】 A
4. 【解析】集合M必须含有元素,,并且不能含有元素,故M={,}或M={,, }.故选B.
【答案】 B
5. 【解析】∵A∪B={0,1,2,a,},又A∪B={0,1,2,4,16},∴{a,}
={4,16},∴a=4,故选D. 【答案】 D
6. 【解析】S={x|2x+1>0}={x|x>-},T={x|3x-5<0}={x|x<},则S∩T
={x|-<x<}.故选D. 【答案】 D
7. 【解析】设两项都参加的有x人,则只参加甲项的有(30-x)人,只参加乙项
的有(25-x)人.(30-x)+x+(25-x)=50,∴x=5.∴只参加甲项的有25人,只参加
乙项的有20人,
∴仅参加一项的有45人.【答案】45 8. 【解析】由于{1,3}∪A={1,3,5},则A⊆{1,3,5},且A中至少有一个元素
为5,从而A中其余元素可以是集合{1,3}的子集的元素,而{1,3}有4个子集,因此满足条件的A的个数是4.它们分别是{5},{1,5},{3,5},
{1,3,5}.【答案】 4
9.【解析】A=(-∞,1],B=[a,+∞),要使A∪B=R,只需a≤1. 【答案】a≤1
10. 【解析】∵A∩B={9},∴9∈A,∴2a-1=9或=9,∴a=5或a=±3.
当a=5时,A={-4,9,25},B={0,-4,9}.此时A∩B={-4,9}≠{9}.故a
=5舍去.
当a=3时,B={-2,-2,9},不符合要求,舍去.经检验可知a=-3符合题意.
11.【解析】由A∪B={1,2,3,5},B={1,2,-1}得-1=3或-1=5.
若-1=3则x=±2;若-1=5,则x=±;
综上,x=±2或±.
当x=±2时,B={1,2,3},此时A∩B={1,3};
当x=±时,B={1,2,5},此时A∩B={1,5}.
12. 【解析】由A∩B=Ø,
(1)若A=Ø,有2a>a+3,∴a>3.
(2)若A≠Ø,解得- ≤a≤2.
综上所述,a的取值范围是{a|- ≤a≤2或a>3}.
13.【解析】设单独参加数学的同学为x人,参加数学化学的为y人,单独参
加化学的为z人.
依题意x+y+6=26,y+4+z=13,x+y+z=21,解得x=12,y=8,z=1.
∴同时参加数学化学的同学有8人,
答:同时参加数学和化学小组的有8人
. .。