2004年考研数学三真题及解析
- 格式:doc
- 大小:852.00 KB
- 文档页数:20
2003年考研数学(三)真题答案1.【分析】当≠x 0可直接按公式求导,当x=0时要求用定义求导.【详解】当1>λ时,有,0,0,0,1sin 1cos )(21=≠⎪⎩⎪⎨⎧+='--x x xx x x x f 若若λλλ显然当2>λ时,有)0(0)(lim 0f x f x '=='→,即其导函数在x=0处连续.2. 【分析】 曲线在切点的斜率为 0,即 y = ′0 ,由此可确定切点的坐标应满足的条件,再根据在切点处纵坐标为零,即可找到2b 与a 的关系.【详解】由题设,在切点处有03322=-='a x y ,有.22a x =又在此点y 坐标为0,于是有0300230=+-=b x a x ,故.44)3(6422202202a a a x a x b =⋅=-=3. 【分析】 本题积分区域为全平面,但只有当0 ≤x ≤1,0 ≤y −x ≤1时,被积函数才不为零,因此实际上只需在满足此不等式的区域内积分即可.【详解】⎰⎰-=Ddxdy x y g x f I )()(=dxdya x y x ⎰⎰≤-≤≤≤10,102=.])1[(212112a dx x x a dy dx ax x=-+=⎰⎰⎰+4. 【分析】 这里 ααT为 n 阶矩阵,而 αT= α2a 2为数,直接通过 AB =E 进行计算并注意利用乘法的结合律即可.【详解】由题设,有)1)((T T a E E AB αααα+-==TT T T aa E αααααααα⋅-+-11=T T T Ta a E αααααααα)(11-+-=TT T a a E αααααα21-+-=E aa E T=+--+αα)121(,于是有0121=+--a a ,即0122=-+a a ,解得.1,21-==a a 由于A<0,故a=-1.5.. 【分析】 利用相关系数的计算公式即可.【详解】 因为)4.0()()]4.0([()4.0,cov(),cov(---=-=X E Y E X Y E X Y Z Y =)(4.0)()()(4.0)(Y E X E Y E Y E XY E +--=E(XY)–E(X)E(Y)=cov(X,Y),且.DX DZ =于是有cov(Y,Z)=DZDY Z Y ),cov(=.9.0),cov(==XY DYDX Y X ρ【评注】 注意以下运算公式:D (X +a ) =DX ,cov(X ,Y +a ) =cov(X ,Y ).6.. 【分析】 本题考查大数定律:一组相互独立且具有有限期望与方差的随机变量n X X X ,,,21 ,当方差一致有界时,其算术平均值依概率收敛于其数学期望的算术平均值:).(1111∞→→∑∑==n EX n X n ni i p n i i 【详解】这里22221,,,n X X X 满足大数定律的条件,且22)(i i i EX DX EX +==21)21(412=+,因此根据大数定律有∑==n i i n X n Y 121依概率收敛于.21112=∑=n i i EX n 二、选择题(本题共 6 小题,每小题 4 分,满分 24 分. 每小题给出的四个选项中,只有一项符合题目要求,把所选项前的字母填在题后的括号内)7.【分析】由题设,可推出f(0)=0,再利用在点x=0处的导数定义进行讨论即可.【详解】显然x=0为g(x)的间断点,且由f(x)为不恒等于零的奇函数知,f(0)=0.于是有)0(0)0()(lim )(lim)(lim 00f x f x f x x f xg x x x '=--==→→→存在,故x=0为可去间断点.【评注1】本题也可用反例排除,例如f(x)=x,则此时g(x)=,0,0,0,1=≠⎩⎨⎧=x x x x 可排除(A),(B),(C)三项,故应选(D).【评注2】若f(x)在0x x =处连续,则.)(,0)()(lim000A x f x f A x x x f x x ='=⇔=-→.8..【分析】可微必有偏导数存在,再根据取极值的必要条件即可得结论.【详解】可微函数f(x,y)在点),(00y x 取得极小值,根据取极值的必要条件知0),(00='y x f y ,即),(0y x f 在0y y =处的导数等于零,故应选(A).【评注1】本题考查了偏导数的定义,),(0y x f 在0y y =处的导数即),(00y x f y ';而),(0y x f 在0x x =处的导数即).,(00y x f x '【评注2】本题也可用排除法分析,取22),(y x y x f +=,在(0,0)处可微且取得极小值,并且有2),0(y y f =,可排除(B),(C),(D),故正确选项为(A).9.【分析】根据绝对收敛与条件收敛的关系以及收敛级数的运算性质即可找出答案.【详解】若∑∞=1n na绝对收敛,即∑∞=1n na收敛,当然也有级数∑∞=1n na收敛,再根据nn n a a p +=,nn n a a q -=及收敛级数的运算性质知,∑∞=1n np与∑∞=1n nq都收敛,故应选(B).10.. 【分析】 A 的伴随矩阵的秩为 1, 说明 A 的秩为 2,由此可确定 a,b 应满足的条件.【详解】 根据A 与其伴随矩阵 A*秩之间的关系知,秩(A)=2,故有0))(2(2=-+=b a b a ab b b a b bb a ,即有02=+b a 或a=b.但当a=b 时,显然秩(A)2≠,故必有a ≠b 且a+2b=0.应选(C).【评注】n (n )2≥阶矩阵A 与其伴随矩阵A*的秩之间有下列关系:.1)(,1)(,)(,0,1,*)(-<-==⎪⎩⎪⎨⎧=n A r n A r n A r n A r 11..【分析】本题涉及到线性相关、线性无关概念的理解,以及线性相关、线性无关的等价表现形式.应注意是寻找不正确的命题.【详解】(A):若对于任意一组不全为零的数s k k k ,,,21 ,都有02211≠+++s s k k k ααα ,则s ααα,,,21 必线性无关,因为若s ααα,,,21 线性相关,则存在一组不全为零的数s k k k ,,,21 ,使得02211=+++s s k k k ααα ,矛盾.可见(A )成立.(B):若s ααα,,,21 线性相关,则存在一组,而不是对任意一组不全为零的数s k k k ,,,21 ,都有.02211=+++s s k k k ααα (B)不成立.(C)s ααα,,,21 线性无关,则此向量组的秩为s ;反过来,若向量组s ααα,,,21 的秩为s ,则s ααα,,,21 线性无关,因此(C)成立.(D)s ααα,,,21 线性无关,则其任一部分组线性无关,当然其中任意两个向量线性无关,可见(D)也成立.综上所述,应选(B).【评注】原命题与其逆否命题是等价的.例如,原命题:若存在一组不全为零的数s k k k ,,,21 ,使得02211=+++s s k k k ααα 成立,则s ααα,,,21 线性相关.其逆否命题为:若对于任意一组不全为零的数s k k k ,,,21 ,都有02211≠+++s s k k k ααα ,则s ααα,,,21 线性无关.在平时的学习过程中,应经常注意这种原命题与其逆否命题的等价性.12.. 【分析】按照相互独立与两两独立的定义进行验算即可,注意应先检查两两独立,若成立,再检验是否相互独立.【详解】因为21)(1=A P ,21)(2=A P ,21)(3=A P ,41)(4=A P ,且41)(21=A A P ,41)(31=A A P ,41)(32=A A P ,41)(42=A A P 0)(321=A A A P ,可见有)()()(2121A P A P A A P =,)()()(3131A P A P A A P =,)()()(3232A P A P A A P =,)()()()(321321A P A P A P A A A P ≠,)()()(4242A P A P A A P ≠.故321,,A A A 两两独立但不相互独立;432,,A A A 不两两独立更不相互独立,应选(C).【评注】本题严格地说应假定硬币是均匀的,否则结论不一定成立.13..【分析】只需求出极限)(lim 1x f x -→,然后定义f(1)为此极限值即可.【详解】因为)(lim 1x f x -→=)1(1sin 11[lim 1x x x x --+-→πππ=xx xx x πππππsin )1(sin )1(lim 111---+-→=xx x xx ππππππππcos )1(sin cos lim 111-+---+-→=xx x x xx ππππππππππsin )1(cos cos sin lim11221----+-→=.1π由于f(x)在)1,21[上连续,因此定义π1)1(=f ,使f(x)在]1,21[上连续.【评注】 本题实质上是一求极限问题,但以这种形式表现出来,还考查了连续的概念.在计算过程中,也可先作变量代换 y=1-x ,转化为求 y →0 +的极限,可以适当简化.14..【分析】本题是典型的复合函数求偏导问题:),(v u f g =,)(21,22y x v xy u -==,直接利用复合函数求偏导公式即可,注意利用.22uv f v u f ∂∂∂=∂∂∂【详解】vfx u f y x g ∂∂+∂∂=∂∂,.vf y u f x yg ∂∂-∂∂=∂∂故v f v f xv u f xy u f y x g ∂∂+∂∂+∂∂∂+∂∂=∂∂2222222222,.2222222222v f v f y u v f xy u f x y g ∂∂-∂∂+∂∂∂-∂∂=∂∂所以222222222222)()(vf y x u f y x yg x g ∂∂++∂∂+=∂∂+∂∂=.22y x +【评注】 本题考查半抽象复合函数求二阶偏导.15.. 【分析】 从被积函数与积分区域可以看出,应该利用极坐标进行计算.【详解】 作极坐标变换:x =r cos θ, y =r sin θ,有dxdyy x e e I Dy x)sin(22)(22+=⎰⎰+-π=.sin 2022dr r re d er ⎰⎰-πππθ令2r t =,则tdt e e I t sin 0⎰-=πππ.记tdt e A t sin 0⎰-=π,则tt de e A --⎰-=int 0π=]cos sin [0⎰----ππtdt e t e t t=⎰--πcos ttde =]sin cos [0tdt e te t t⎰--+-ππ=.1A e-+-π因此)1(21π-+=e A ,).1(2)1(2πππππe e e I +=+=-【评注】本题属常规题型,明显地应该选用极坐标进行计算,在将二重积分化为定积分后,再通过换元与分步积分(均为最基础的要求),即可得出结果,综合考查了二重积分、换元积分与分步积分等多个基础知识点.16..【分析】先通过逐项求导后求和,再积分即可得和函数,注意当x=0时和为1.求出和函数后,再按通常方法求极值.【详解】.1)1()(1212∑∞=-+-=-='n n n xx x x f 上式两边从0到x 积分,得).1ln(211)0()(202x dt t t f x f x+-=+-=-⎰由f(0)=1,得).1(),1ln(211)(2<+-=x x x f 令0)(='x f ,求得唯一驻点x=0.由于,)1(1)(222x x x f +--=''01)0(<-=''f ,可见f(x)在x=0处取得极大值,且极大值为f(0)=1.【评注】 求和函数一般都是先通过逐项求导、逐项积分等转化为可直接求和的几何级数情形,然后再通过逐项积分、逐项求导等逆运算最终确定和函数.17.. 【分析】 F(x)所满足的微分方程自然应含有其导函数,提示应先对 F(x)求导,并将其余部分转化为用 F(x)表示,导出相应的微分方程,然后再求解相应的微分方程.【详解】(1)由)()()()()(x g x f x g x f x F '+'='=)()(22x f x g +=)()(2)]()([2x g x f x g x f -+=(22)x e -2F(x),可见F(x)所满足的一阶微分方程为.4)(2)(2x e x F x F =+'(2)]4[)(222C dx e e e x F dx xdx +⎰⋅⎰=⎰-=]4[42C dx e e x x+⎰-=.22x xCe e-+将F(0)=f(0)g(0)=0代入上式,得C=-1.于是.)(22x x e e x F --=【评注】本题没有直接告知微分方程,要求先通过求导以及恒等变形引出微分方程的形式,从题型来说比较新颖,但具体到微分方程的求解则并不复杂,仍然是基本要求的范围.18..【分析】根据罗尔定理,只需再证明存在一点c )3,0[∈,使得)3(1)(f c f ==,然后在[c,3]上应用罗尔定理即可.条件f(0)+f(1)+f(2)=3等价于13)2()1()0(=++f f f ,问题转化为1介于f(x)的最值之间,最终用介值定理可以达到目的.【详解】因为f(x)在[0,3]上连续,所以f(x)在[0,2]上连续,且在[0,2]上必有最大值M 和最小值m ,于是M f m ≤≤)0(,M f m ≤≤)1(,M f m ≤≤)2(.故.3)2()1()0(M f f f m ≤++≤由介值定理知,至少存在一点]2,0[∈c ,使.13)2()1()0()(=++=f f f c f 因为f(c)=1=f(3),且f(x)在[c,3]上连续,在(c,3)内可导,所以由罗尔定理知,必存在)3,0()3,(⊂∈c ξ,使.0)(='ξf 【评注】介值定理、微分中值定理与积分中值定理都是常考知识点,且一般是两两结合起来考.本题是典型的结合介值定理与微分中值定理的情形.19..【分析】方程的个数与未知量的个数相同,问题转化为系数矩阵行列式是否为零,而系数行列式的计算具有明显的特征:所有列对应元素相加后相等.可先将所有列对应元素相加,然后提出公因式,再将第一行的(-1)倍加到其余各行,即可计算出行列式的值.【详解】方程组的系数行列式ba a a a ab a a a a a b a a a a a b a A n n n n ++++=321321321321=).(11∑=-+ni i n a b b(1)当0≠b 时且01≠+∑=ni iab 时,秩(A)=n ,方程组仅有零解.(2)当b=0时,原方程组的同解方程组为.02211=+++n n x a x a x a 由01≠∑=ni ia可知,),,2,1(n i a i =不全为零.不妨设01≠a ,得原方程组的一个基础解系为T a a )0,,0,1,(121 -=α,T a a )0,,1,0,(132 -=α,.)1,,0,0,(,1T n n a a -=α当∑=-=ni iab 1时,有0≠b ,原方程组的系数矩阵可化为⎥⎥⎥⎥⎥⎥⎥⎥⎥⎥⎦⎤⎢⎢⎢⎢⎢⎢⎢⎢⎢⎢⎣⎡----∑∑∑∑====n i i n nni inni inni ia a a a a a a a a a a a a a a a a a a a 1321132131213211(将第1行的-1倍加到其余各行,再从第2行到第n 行同乘以∑=-ni ia11倍)→⎥⎥⎥⎥⎥⎥⎥⎦⎤⎢⎢⎢⎢⎢⎢⎢⎣⎡----∑=1001010100113211 n ni ia a a a a (将第n 行n a -倍到第2行的2a -倍加到第1行,再将第1行移到最后一行)→.0000100101010011⎥⎥⎥⎥⎥⎥⎦⎤⎢⎢⎢⎢⎢⎢⎣⎡--- 由此得原方程组的同解方程组为12x x =,13x x =,1,x x n = .原方程组的一个基础解系为.)1,,1,1(T =α【评注】本题的难点在∑=-=ni iab 1时的讨论,事实上也可这样分析:此时系数矩阵的秩为n-1(存在n-1阶子式不为零),且显然T)1,,1,1( =α为方程组的一个非零解,即可作为基础解系.20..【分析】特征值之和为A 的主对角线上元素之和,特征值之积为A 的行列式,由此可求出a,b 的值;进一步求出A 的特征值和特征向量,并将相同特征值的特征向量正交化(若有必要),然后将特征向量单位化并以此为列所构造的矩阵即为所求的正交矩阵.【详解】(1)二次型f 的矩阵为.200200⎥⎥⎥⎦⎤⎢⎢⎢⎣⎡-=b b a A 设A 的特征值为).3,2,1(=i i λ由题设,有1)2(2321=-++=++a λλλ,.12242002002321-=--=-=b a b ba λλλ解得a=1,b=-2.(2)由矩阵A 的特征多项式)3()2(2020202012+-=+----=-λλλλλλA E ,得A 的特征值.3,2321-===λλλ对于,221==λλ解齐次线性方程组0)2(=-x A E ,得其基础解系T )1,0,2(1=ξ,.)0,1,0(2T =ξ对于33-=λ,解齐次线性方程组0)3(=--x A E ,得基础解系.)2,0,1(3T -=ξ由于321,,ξξξ已是正交向量组,为了得到规范正交向量组,只需将321,,ξξξ单位化,由此得T 51,0,52(1=η,T )0,1,0(2=η,.)52,0,51(3T -=η令矩阵[]⎥⎥⎥⎥⎦⎤⎢⎢⎢⎢⎢⎣⎡-==5205101051052321ηηηQ ,则Q 为正交矩阵.在正交变换X=QY 下,有⎥⎥⎥⎦⎤⎢⎢⎢⎣⎡-=300020002AQ Q T ,且二次型的标准形为.322232221y y y f -+=【评注】本题求a,b ,也可先计算特征多项式,再利用根与系数的关系确定:二次型f 的矩阵A 对应特征多项式为)].2()2()[2(20020022b a a b b a A E +----=+----=-λλλλλλλ设A 的特征值为321,,λλλ,则).2(,2,2232321b a a +-=-=+=λλλλλ由题设得1)2(2321=-+=++a λλλ,.12)2(22321-=+-=b a λλλ解得 a=1,b=2.21..【分析】先求出分布函数F(x)的具体形式,从而可确定Y=F(X),然后按定义求Y 的分布函数即可。
2024考研(数学三)真题答案及解析完整版2024年全国硕士研究生入学考试数学(三)真题及参考答案考研数学三考什么内容?数学三在高等数学这一部分因为要求的内容相对较少,所以很多学校经济类、管理类专业在本科期间所用教材并非理工类专业通常会使用的《高等数学》同济大学版,更多的学校本科阶段的教材是中国人民大学版《微积分》。
而考数学三的同学中在实际复习过程中使用哪一本教材的都有)(函数、极限、连续、一元函数微分学、一元函数积分学、多元函数微积分学、无穷级数、常微分方程与差分方程);线性代数(行列式、矩阵、向量、线性方程组、矩阵的特征值和特征向量、二次型);概率论与数理统计(随机事件和概率、随机变量及其分布、多维随机变量及其分布、随机变量的数字特征、大数定律和中心极限定理、数理统计的基本概念、参数估计、假设检验)。
考研的考试内容有哪些一、考研公共课:政治、英语一、英语二、俄语、日语、数学一、数学二、数学三,考研公共课由国家教育部统一命题。
各科的考试时间均为3小时。
考研的政治理论课(马原22分、毛中特30分、史纲14分、思修18分、形势与政策16分)。
考研的英语满分各为100分(完型10分、阅读理解60分、小作文10分、大作文20分)。
数学(其中理工科考数一、工科考数二、经管类考数三)满分为150分。
数一的考试内容分布:高数56%(84分)、线代22%(33分)、概率22%(33分);数二的内容分布:高数78%(117分)、线代22%(33分);数三的内容分布:高数56%(84分)、线代22%(33分)、概率22%(33分)。
这些科目的考试知识点和考试范围在各科考试大纲上有详细规定,一般变动不大,因此可以参照前一年的大纲,对一些变动较大的科目,必须以新大纲为准进行复习。
二、考研专业课统考专业课:由国家教育部考试中心统一命题,科目包括:西医综合、中医综合、计算机、法硕、历史学、心理学、教育学、农学。
其中报考教育学、历史学、医学门类者,考专业基础综合(满分为300分);报考农学门类者,考农学门类公共基础(满分150分)。
2003年全国硕士研究生入学统一考试 数学三试题 ............................................................................................ 1 2003年考研数学(三)真题解析 .......................................................................................................................... 4 2004年全国硕士研究生入学统一考试 数学三试题 .......................................................................................... 17 2004年考研数学(三)真题解析 ........................................................................................................................ 21 2005年全国硕士研究生入学统一考试 数学三试题 .......................................................................................... 35 2005年考研数学(三)真题解析 ........................................................................................................................ 38 2006年全国硕士研究生入学统一考试 数学三试题 .......................................................................................... 49 2006年考研数学(三)真题解析 ........................................................................................................................ 53 2007年全国硕士研究生入学统一考试 数学三试题........................................................................................... 66 2007年考研数学(三)真题 ................................................................................................................................ 69 2008年全国硕士研究生入学统一考试 数学三试题 .......................................................................................... 77 2008年考研数学(三)真题解析 ........................................................................................................................ 80 2009年全国硕士研究生入学统一考试 数学三试题 .......................................................................................... 90 2009年全国硕士研究生入学统一考试 ................................................................................................................ 93 数学三试题解析 ..................................................................................................................................................... 93 2010年全国硕士研究生入学统一考试 数学三试题 ........................................................................................ 106 2010年全国硕士研究生入学统一考试 数学三.试题详解.. (111)2003年全国硕士研究生入学统一考试数学三试题一、 填空题(本题共6小题,每小题4分,满分24分. 把答案填在题中横线上)(1)设,0,0,0,1cos )(=≠⎪⎩⎪⎨⎧=x x xx x f 若若λ其导函数在x=0处连续,则λ的取值范围是_____. (2)已知曲线b x a x y +-=233与x 轴相切,则2b 可以通过a 表示为=2b ________. (3)设a>0,,x a x g x f 其他若,10,0,)()(≤≤⎩⎨⎧==而D 表示全平面,则⎰⎰-=Ddxdy x y g x f I )()(=_______.(4)设n 维向量0,),0,,0,(<=a a a T α;E 为n 阶单位矩阵,矩阵 T E A αα-=, T aE B αα1+=, 其中A 的逆矩阵为B ,则a=______.(5)设随机变量X 和Y 的相关系数为0.9, 若4.0-=X Z ,则Y 与Z 的相关系数为________.(6)设总体X 服从参数为2的指数分布,n X X X ,,,21 为来自总体X 的简单随机样本,则当∞→n 时,∑==ni i n X n Y 121依概率收敛于______.二、选择题(本题共6小题,每小题4分,满分24分. 每小题给出的四个选项中,只有一项符合题目要求,把所选项前的字母填在题后的括号内)(1)设f(x)为不恒等于零的奇函数,且)0(f '存在,则函数xx f x g )()(=(A) 在x=0处左极限不存在. (B) 有跳跃间断点x=0.(C) 在x=0处右极限不存在. (D) 有可去间断点x=0. [ ] (2)设可微函数f(x,y)在点),(00y x 取得极小值,则下列结论正确的是(A) ),(0y x f 在0y y =处的导数等于零. (B )),(0y x f 在0y y =处的导数大于零. (C) ),(0y x f 在0y y =处的导数小于零. (D) ),(0y x f 在0y y =处的导数不存在. [ ] (3)设2nn n a a p +=,2nn n a a q -=, ,2,1=n ,则下列命题正确的是(A) 若∑∞=1n na条件收敛,则∑∞=1n np与∑∞=1n nq都收敛.(B) 若∑∞=1n na绝对收敛,则∑∞=1n np与∑∞=1n nq都收敛.(C) 若∑∞=1n na条件收敛,则∑∞=1n np与∑∞=1n nq敛散性都不定.(D) 若∑∞=1n na绝对收敛,则∑∞=1n np与∑∞=1n nq敛散性都不定. [ ](4)设三阶矩阵⎥⎥⎥⎦⎤⎢⎢⎢⎣⎡=a b b b a b b b a A ,若A 的伴随矩阵的秩为1,则必有 (A) a=b 或a+2b=0. (B) a=b 或a+2b ≠0.(C) a ≠b 且a+2b=0. (D) a ≠b 且a+2b ≠0. [ ] (5)设s ααα,,,21 均为n 维向量,下列结论不正确的是(A) 若对于任意一组不全为零的数s k k k ,,,21 ,都有02211≠+++s s k k k ααα ,则sααα,,,21 线性无关.(B) 若s ααα,,,21 线性相关,则对于任意一组不全为零的数s k k k ,,,21 ,都有.02211=+++s s k k k ααα(C) s ααα,,,21 线性无关的充分必要条件是此向量组的秩为s.(D) s ααα,,,21 线性无关的必要条件是其中任意两个向量线性无关. [ ](6)将一枚硬币独立地掷两次,引进事件:1A ={掷第一次出现正面},2A ={掷第二次出现正面},3A ={正、反面各出现一次},4A ={正面出现两次},则事件(A) 321,,A A A 相互独立. (B) 432,,A A A 相互独立.(C) 321,,A A A 两两独立. (D) 432,,A A A 两两独立. [ ] 三、(本题满分8分) 设).1,21[,)1(1sin 11)(∈--+=x x x x x f πππ 试补充定义f(1)使得f(x)在]1,21[上连续.四 、(本题满分8分)设f(u,v)具有二阶连续偏导数,且满足12222=∂∂+∂∂v f u f ,又)](21,[),(22y x xy f y x g -=,求.2222ygx g ∂∂+∂∂ 五、(本题满分8分)计算二重积分 .)sin(22)(22dxdy y x e I Dy x +=⎰⎰-+-π其中积分区域D=}.),{(22π≤+y x y x六、(本题满分9分)求幂级数∑∞=<-+12)1(2)1(1n nnx n x 的和函数f(x)及其极值.七、(本题满分9分)设F(x)=f(x)g(x), 其中函数f(x),g(x)在),(+∞-∞内满足以下条件: )()(x g x f =',)()(x f x g =',且f(0)=0, .2)()(x e x g x f =+(1) 求F(x)所满足的一阶微分方程; (2) 求出F(x)的表达式. 八、(本题满分8分)设函数f(x)在[0,3]上连续,在(0,3)内可导,且f(0)+f(1)+f(2)=3, f(3)=1.试证必存在)3,0(∈ξ,使.0)(='ξf九、(本题满分13分) 已知齐次线性方程组⎪⎪⎪⎩⎪⎪⎪⎨⎧=+++++=+++++=+++++=+++++,0)(,0)(,0)(,0)(332211332211332211332211nn nn n n n n x b a x a x a x a x a x b a x a x a x a x a x b a x a x a x a x a x b a 其中.01≠∑=ni ia试讨论n a a a ,,,21 和b 满足何种关系时,(1) 方程组仅有零解;(2) 方程组有非零解. 在有非零解时,求此方程组的一个基础解系. 十、(本题满分13分) 设二次型)0(222),,(31232221321>+-+==b x bx x x ax AX X x x x f T ,中二次型的矩阵A 的特征值之和为1,特征值之积为-12. (1) 求a,b 的值;(2) 利用正交变换将二次型f 化为标准形,并写出所用的正交变换和对应的正交矩阵. 十一、(本题满分13分) 设随机变量X 的概率密度为;],8,1[,0,31)(32其他若∈⎪⎩⎪⎨⎧=x x x fF(x)是X 的分布函数. 求随机变量Y=F(X)的分布函数.十二、(本题满分13分)设随机变量X 与Y 独立,其中X 的概率分布为⎪⎪⎭⎫⎝⎛7.03.021~X ,而Y 的概率密度为f(y),求随机变量U=X+Y 的概率密度g(u).2003年考研数学(三)真题解析一、填空题(本题共6小题,每小题4分,满分24分. 把答案填在题中横线上)(1)设,0,0,0,1cos )(=≠⎪⎩⎪⎨⎧=x x xx x f 若若λ其导函数在x=0处连续,则λ的取值范围是2>λ. 【分析】 当≠x 0可直接按公式求导,当x=0时要求用定义求导.【详解】 当1>λ时,有,0,0,0,1sin 1cos )(21=≠⎪⎩⎪⎨⎧+='--x x xx x x x f 若若λλλ 显然当2>λ时,有)0(0)(lim 0f x f x '=='→,即其导函数在x=0处连续.(2)已知曲线b x a x y +-=233与x 轴相切,则2b 可以通过a 表示为=2b 64a .【分析】 曲线在切点的斜率为0,即0='y ,由此可确定切点的坐标应满足的条件,再根据在切点处纵坐标为零,即可找到2b 与a 的关系.【详解】 由题设,在切点处有03322=-='a x y ,有 .220a x =又在此点y 坐标为0,于是有0300230=+-=b x a x ,故 .44)3(6422202202a a a x a x b =⋅=-=【评注】 有关切线问题应注意斜率所满足的条件,同时切点还应满足曲线方程. (3)设a>0,,x a x g x f 其他若,10,0,)()(≤≤⎩⎨⎧==而D 表示全平面,则⎰⎰-=Ddxdy x y g x f I )()(= 2a .【分析】 本题积分区域为全平面,但只有当10,10≤-≤≤≤x y x 时,被积函数才不为零,因此实际上只需在满足此不等式的区域内积分即可.【详解】 ⎰⎰-=Ddxdy x y g x f I )()(=dxdy a x y x ⎰⎰≤-≤≤≤10,102=.])1[(212112a dx x x a dy dx a x x=-+=⎰⎰⎰+【评注】 若被积函数只在某区域内不为零,则二重积分的计算只需在积分区域与被积函数不为零的区域的公共部分上积分即可.(4)设n 维向量0,),0,,0,(<=a a a T α;E 为n 阶单位矩阵,矩阵 T E A αα-=, T aE B αα1+=, 其中A 的逆矩阵为B ,则a= -1 .【分析】 这里T αα为n 阶矩阵,而22a T =αα为数,直接通过E AB =进行计算并注意利用乘法的结合律即可.【详解】 由题设,有)1)((T T a E E AB αααα+-= =T T T T a a E αααααααα⋅-+-11=T T T T a a E αααααααα)(11-+-=T T T a a E αααααα21-+-=E aa E T =+--+αα)121(,于是有 0121=+--a a ,即 0122=-+a a ,解得 .1,21-==a a 由于A<0 ,故a=-1.(5)设随机变量X 和Y 的相关系数为0.9, 若4.0-=X Z ,则Y 与Z 的相关系数为 0.9 .【分析】 利用相关系数的计算公式即可.【详解】 因为)4.0()()]4.0([()4.0,cov(),cov(---=-=X E Y E X Y E X Y Z Y =)(4.0)()()(4.0)(Y E X E Y E Y E XY E +-- =E(XY) – E(X)E(Y)=cov(X,Y), 且.DX DZ =于是有 cov(Y ,Z)=DZDY Z Y ),cov(=.9.0),cov(==XY DYDX Y X ρ【评注】 注意以下运算公式:DX a X D =+)(,).,cov(),cov(Y X a Y X =+(6)设总体X 服从参数为2的指数分布,n X X X ,,,21 为来自总体X 的简单随机样本,则当∞→n 时,∑==ni i n X n Y 121依概率收敛于 21 .【分析】 本题考查大数定律:一组相互独立且具有有限期望与方差的随机变量n X X X ,,,21 ,当方差一致有界时,其算术平均值依概率收敛于其数学期望的算术平均值:).(1111∞→→∑∑==n EX n X n ni i pn i i【详解】 这里22221,,,nX X X 满足大数定律的条件,且22)(i i i EX DX EX +==21)21(412=+,因此根据大数定律有∑==n i i n X n Y 121依概率收敛于.21112=∑=n i i EX n二、选择题(本题共6小题,每小题4分,满分24分. 每小题给出的四个选项中,只有一项符合题目要求,把所选项前的字母填在题后的括号内)(1)设f(x)为不恒等于零的奇函数,且)0(f '存在,则函数xx f x g )()(=(A) 在x=0处左极限不存在. (B) 有跳跃间断点x=0.(C) 在x=0处右极限不存在. (D) 有可去间断点x=0. [ D ] 【分析】 由题设,可推出f(0)=0 , 再利用在点x=0处的导数定义进行讨论即可. 【详解】 显然x=0为g(x)的间断点,且由f(x)为不恒等于零的奇函数知,f(0)=0. 于是有 )0(0)0()(lim )(lim)(lim 00f x f x f x x f xg x x x '=--==→→→存在,故x=0为可去间断点. 【评注1】 本题也可用反例排除,例如f(x)=x, 则此时g(x)=,0,0,0,1=≠⎩⎨⎧=x x x x 可排除(A),(B),(C) 三项,故应选(D).【评注2】 若f(x)在0x x =处连续,则.)(,0)()(lim000A x f x f A x x x f x x ='=⇔=-→.(2)设可微函数f(x,y)在点),(00y x 取得极小值,则下列结论正确的是(A) ),(0y x f 在0y y =处的导数等于零. (B )),(0y x f 在0y y =处的导数大于零. (C) ),(0y x f 在0y y =处的导数小于零. (D) ),(0y x f 在0y y =处的导数不存在. [ A ] 【分析】 可微必有偏导数存在,再根据取极值的必要条件即可得结论.【详解】 可微函数f(x,y)在点),(00y x 取得极小值,根据取极值的必要条件知0),(00='y x f y ,即),(0y x f 在0y y =处的导数等于零, 故应选(A).【评注1】 本题考查了偏导数的定义,),(0y x f 在0y y =处的导数即),(00y x f y ';而),(0y x f 在0x x =处的导数即).,(00y x f x '【评注2】 本题也可用排除法分析,取22),(y x y x f +=,在(0,0)处可微且取得极小值,并且有2),0(y y f =,可排除(B),(C),(D), 故正确选项为(A).(3)设2nn n a a p +=,2nn n a a q -=, ,2,1=n ,则下列命题正确的是(A) 若∑∞=1n na条件收敛,则∑∞=1n np与∑∞=1n nq都收敛.(B) 若∑∞=1n na绝对收敛,则∑∞=1n np与∑∞=1n nq都收敛.(C) 若∑∞=1n na条件收敛,则∑∞=1n np与∑∞=1n nq敛散性都不定.(D) 若∑∞=1n na绝对收敛,则∑∞=1n np与∑∞=1n nq敛散性都不定. [ B ]【分析】 根据绝对收敛与条件收敛的关系以及收敛级数的运算性质即可找出答案. 【详解】 若∑∞=1n n a 绝对收敛,即∑∞=1n n a 收敛,当然也有级数∑∞=1n n a 收敛,再根据2nn n a a p +=,2nn n a a q -=及收敛级数的运算性质知,∑∞=1n np与∑∞=1n nq都收敛,故应选(B).(4)设三阶矩阵⎥⎥⎥⎦⎤⎢⎢⎢⎣⎡=a b b b a b b b a A ,若A 的伴随矩阵的秩为1,则必有 (A) a=b 或a+2b=0. (B) a=b 或a+2b ≠0.(C) a ≠b 且a+2b=0. (D) a ≠b 且a+2b ≠0. [ C ]【分析】 A 的伴随矩阵的秩为1, 说明A 的秩为2,由此可确定a,b 应满足的条件. 【详解】 根据A 与其伴随矩阵A*秩之间的关系知,秩(A)=2,故有0))(2(2=-+=b a b a ab b b a bbb a ,即有02=+b a 或a=b.但当a=b 时,显然秩(A)2≠, 故必有 a ≠b 且a+2b=0. 应选(C).【评注】 n (n )2≥阶矩阵A 与其伴随矩阵A*的秩之间有下列关系:.1)(,1)(,)(,0,1,*)(-<-==⎪⎩⎪⎨⎧=n A r n A r n A r n A r(5)设s ααα,,,21 均为n 维向量,下列结论不正确的是(A) 若对于任意一组不全为零的数s k k k ,,,21 ,都有02211≠+++s s k k k ααα ,则sααα,,,21 线性无关.(B) 若s ααα,,,21 线性相关,则对于任意一组不全为零的数s k k k ,,,21 ,都有.02211=+++s s k k k ααα(C) s ααα,,,21 线性无关的充分必要条件是此向量组的秩为s.(D) s ααα,,,21 线性无关的必要条件是其中任意两个向量线性无关. [ B ]【分析】 本题涉及到线性相关、线性无关概念的理解,以及线性相关、线性无关的等价表现形式. 应注意是寻找不正确的命题.【详解】(A): 若对于任意一组不全为零的数s k k k ,,,21 ,都有 02211≠+++s s k k k ααα ,则s ααα,,,21 必线性无关,因为若s ααα,,,21 线性相关,则存在一组不全为零的数s k k k ,,,21 ,使得02211=+++s s k k k ααα ,矛盾. 可见(A )成立.(B): 若s ααα,,,21 线性相关,则存在一组,而不是对任意一组不全为零的数s k k k ,,,21 ,都有.02211=+++s s k k k ααα (B)不成立.(C) s ααα,,,21 线性无关,则此向量组的秩为s ;反过来,若向量组s ααα,,,21 的秩为s ,则s ααα,,,21 线性无关,因此(C)成立.(D) s ααα,,,21 线性无关,则其任一部分组线性无关,当然其中任意两个向量线性无关,可见(D)也成立.综上所述,应选(B).【评注】 原命题与其逆否命题是等价的. 例如,原命题:若存在一组不全为零的数s k k k ,,,21 ,使得02211=+++s s k k k ααα 成立,则s ααα,,,21 线性相关. 其逆否命题为:若对于任意一组不全为零的数s k k k ,,,21 ,都有02211≠+++s s k k k ααα ,则s ααα,,,21 线性无关. 在平时的学习过程中,应经常注意这种原命题与其逆否命题的等价性.(6)将一枚硬币独立地掷两次,引进事件:1A ={掷第一次出现正面},2A ={掷第二次出现正面},3A ={正、反面各出现一次},4A ={正面出现两次},则事件(A) 321,,A A A 相互独立. (B) 432,,A A A 相互独立.(C) 321,,A A A 两两独立. (D) 432,,A A A 两两独立. [ C ]【分析】按照相互独立与两两独立的定义进行验算即可,注意应先检查两两独立,若成立,再检验是否相互独立.【详解】 因为21)(1=A P ,21)(2=A P ,21)(3=A P ,41)(4=A P ,且 41)(21=A A P ,41)(31=A A P ,41)(32=A A P ,41)(42=A A P 0)(321=A A A P ,可见有)()()(2121A P A P A A P =,)()()(3131A P A P A A P =,)()()(3232A P A P A A P =,)()()()(321321A P A P A P A A A P ≠,)()()(4242A P A P A A P ≠.故321,,A A A 两两独立但不相互独立;432,,A A A 不两两独立更不相互独立,应选(C).【评注】 本题严格地说应假定硬币是均匀的,否则结论不一定成立.三 、(本题满分8分) 设).1,21[,)1(1sin 11)(∈--+=x x x x x f πππ 试补充定义f(1)使得f(x)在]1,21[上连续.【分析】 只需求出极限)(lim 1x f x -→,然后定义f(1)为此极限值即可. 【详解】 因为)(lim 1x f x -→=])1(1sin 11[lim 1x x x x --+-→πππ =xx xx x πππππsin )1(sin )1(lim 111---+-→=xx x xx ππππππππcos )1(sin cos lim 111-+---+-→=xx x x xx ππππππππππsin )1(cos cos sin lim 11221----+-→ =.1π由于f(x)在)1,21[上连续,因此定义π1)1(=f ,使f(x)在]1,21[上连续.【评注】 本题实质上是一求极限问题,但以这种形式表现出来,还考查了连续的概念.在计算过程中,也可先作变量代换y=1-x ,转化为求+→0y 的极限,可以适当简化.四 、(本题满分8分)设f(u,v)具有二阶连续偏导数,且满足12222=∂∂+∂∂v f u f ,又)](21,[),(22y x xy f y x g -=,求.2222y gx g ∂∂+∂∂ 【分析】 本题是典型的复合函数求偏导问题:),(v u f g =,)(21,22y x v xy u -==,直接利用复合函数求偏导公式即可,注意利用.22uv fv u f ∂∂∂=∂∂∂【详解】vfxu f y x g ∂∂+∂∂=∂∂, .vf y u f x yg ∂∂-∂∂=∂∂ 故 v f vf x v u f xy u f y xg ∂∂+∂∂+∂∂∂+∂∂=∂∂2222222222, .2222222222v f vf y u v f xy u f x yg ∂∂-∂∂+∂∂∂-∂∂=∂∂ 所以 222222222222)()(vf y x u f y x yg x g ∂∂++∂∂+=∂∂+∂∂ =.22y x +【评注】 本题考查半抽象复合函数求二阶偏导. 五 、(本题满分8分) 计算二重积分.)sin(22)(22dxdy y x e I Dy x +=⎰⎰-+-π其中积分区域D=}.),{(22π≤+y x y x【分析】 从被积函数与积分区域可以看出,应该利用极坐标进行计算. 【详解】 作极坐标变换:θθsin ,cos r y r x ==,有 dxdy y x e e I Dy x )sin(22)(22+=⎰⎰+-π=.sin 2022dr r re d e r ⎰⎰-πππθ令2r t =,则 tdt e e I t sin 0⎰-=πππ.记 tdt e A t sin 0⎰-=π,则t t de e A --⎰-=int 0π=]cos sin [0⎰----ππtdt e t e t t=⎰--πcos t tde=]sin cos [0tdt e t e t t ⎰--+-ππ=.1A e -+-π 因此 )1(21π-+=e A , ).1(2)1(2πππππe e e I +=+=-【评注】 本题属常规题型,明显地应该选用极坐标进行计算,在将二重积分化为定积分后,再通过换元与分步积分(均为最基础的要求),即可得出结果,综合考查了二重积分、换元积分与分步积分等多个基础知识点.六、(本题满分9分)求幂级数∑∞=<-+12)1(2)1(1n n nx n x 的和函数f(x)及其极值.【分析】 先通过逐项求导后求和,再积分即可得和函数,注意当x=0时和为1. 求出和函数后,再按通常方法求极值.【详解】.1)1()(1212∑∞=-+-=-='n n n x xx x f 上式两边从0到x 积分,得).1ln(211)0()(202x dt t t f x f x+-=+-=-⎰ 由f(0)=1, 得).1(),1ln(211)(2<+-=x x x f 令0)(='x f ,求得唯一驻点x=0. 由于,)1(1)(222x x x f +--='' 01)0(<-=''f ,可见f(x)在x=0处取得极大值,且极大值为 f(0)=1.【评注】 求和函数一般都是先通过逐项求导、逐项积分等转化为可直接求和的几何级数情形,然后再通过逐项积分、逐项求导等逆运算最终确定和函数.七、(本题满分9分)设F(x)=f(x)g(x), 其中函数f(x),g(x)在),(+∞-∞内满足以下条件:)()(x g x f =',)()(x f x g =',且f(0)=0, .2)()(x e x g x f =+(3) 求F(x)所满足的一阶微分方程; (4) 求出F(x)的表达式.【分析】 F(x)所满足的微分方程自然应含有其导函数,提示应先对F(x)求导,并将其余部分转化为用F(x)表示,导出相应的微分方程,然后再求解相应的微分方程.【详解】 (1) 由)()()()()(x g x f x g x f x F '+'='=)()(22x f x g +=)()(2)]()([2x g x f x g x f -+ =(22)x e -2F(x), 可见F(x)所满足的一阶微分方程为.4)(2)(2x e x F x F =+'(2) ]4[)(222C dx e e e x F dx xdx +⎰⋅⎰=⎰-=]4[42C dx e e x x +⎰-=.22x x Ce e -+将F(0)=f(0)g(0)=0代入上式,得 C=-1. 于是.)(22x x e e x F --=【评注】 本题没有直接告知微分方程,要求先通过求导以及恒等变形引出微分方程的形式,从题型来说比较新颖,但具体到微分方程的求解则并不复杂,仍然是基本要求的范围.八、(本题满分8分)设函数f(x)在[0,3]上连续,在(0,3)内可导,且f(0)+f(1)+f(2)=3, f(3)=1.试证必存在)3,0(∈ξ,使.0)(='ξf【分析】 根据罗尔定理,只需再证明存在一点c )3,0[∈,使得)3(1)(f c f ==,然后在[c,3]上应用罗尔定理即可. 条件f(0)+f(1)+f(2)=3等价于13)2()1()0(=++f f f ,问题转化为1介于f(x)的最值之间,最终用介值定理可以达到目的.【详解】 因为f(x)在[0,3]上连续,所以f(x)在[0,2]上连续,且在[0,2]上必有最大值M 和最小值m ,于是M f m ≤≤)0(, M f m ≤≤)1(, M f m ≤≤)2(. 故.3)2()1()0(M f f f m ≤++≤由介值定理知,至少存在一点]2,0[∈c ,使.13)2()1()0()(=++=f f f c f因为f(c)=1=f(3), 且f(x)在[c,3]上连续,在(c,3)内可导,所以由罗尔定理知,必存在)3,0()3,(⊂∈c ξ,使.0)(='ξf【评注】 介值定理、微分中值定理与积分中值定理都是常考知识点,且一般是两两结合起来考. 本题是典型的结合介值定理与微分中值定理的情形.九、(本题满分13分) 已知齐次线性方程组⎪⎪⎪⎩⎪⎪⎪⎨⎧=+++++=+++++=+++++=+++++,0)(,0)(,0)(,0)(332211332211332211332211nn nn n n n n x b a x a x a x a x a x b a x a x a x a x a x b a x a x a x a x a x b a 其中.01≠∑=ni ia试讨论n a a a ,,,21 和b 满足何种关系时,(1) 方程组仅有零解;(2) 方程组有非零解. 在有非零解时,求此方程组的一个基础解系.【分析】方程的个数与未知量的个数相同,问题转化为系数矩阵行列式是否为零,而系数行列式的计算具有明显的特征:所有列对应元素相加后相等. 可先将所有列对应元素相加,然后提出公因式,再将第一行的(-1)倍加到其余各行,即可计算出行列式的值.【详解】 方程组的系数行列式ba a a a ab a a a a a b a a a a a ba A n nn n ++++=321321321321=).(11∑=-+ni i n a b b(1) 当0≠b 时且01≠+∑=ni iab 时,秩(A)=n ,方程组仅有零解.(2) 当b=0 时,原方程组的同解方程组为 .02211=+++n n x a x a x a 由01≠∑=ni ia可知,),,2,1(n i a i =不全为零. 不妨设01≠a ,得原方程组的一个基础解系为T a a )0,,0,1,(121 -=α,T a a )0,,1,0,(132 -=α,.)1,,0,0,(,1T n n a a -=α 当∑=-=ni iab 1时,有0≠b ,原方程组的系数矩阵可化为⎥⎥⎥⎥⎥⎥⎥⎥⎥⎥⎦⎤⎢⎢⎢⎢⎢⎢⎢⎢⎢⎢⎣⎡----∑∑∑∑====n i i n nni inni inni ia a a a a a a a a a a a a a a a a a a a 1321132131213211(将第1行的-1倍加到其余各行,再从第2行到第n 行同乘以∑=-ni ia11倍)→ ⎥⎥⎥⎥⎥⎥⎥⎦⎤⎢⎢⎢⎢⎢⎢⎢⎣⎡----∑=1001010100113211 n ni ia a a a a( 将第n 行n a -倍到第2行的2a -倍加到第1行,再将第1行移到最后一行)→ .0000100101010011⎥⎥⎥⎥⎥⎥⎦⎤⎢⎢⎢⎢⎢⎢⎣⎡---由此得原方程组的同解方程组为12x x =,13x x =,1,x x n = . 原方程组的一个基础解系为 .)1,,1,1(T =α【评注】 本题的难点在∑=-=ni iab 1时的讨论,事实上也可这样分析:此时系数矩阵的秩为 n-1(存在n-1阶子式不为零),且显然T )1,,1,1( =α为方程组的一个非零解,即可作为基础解系.十、(本题满分13分) 设二次型)0(222),,(31232221321>+-+==b x bx x x ax AX X x x x f T ,中二次型的矩阵A 的特征值之和为1,特征值之积为-12. (3) 求a,b 的值;(4) 利用正交变换将二次型f 化为标准形,并写出所用的正交变换和对应的正交矩阵.【分析】 特征值之和为A 的主对角线上元素之和,特征值之积为A 的行列式,由此可求出a,b 的值;进一步求出A 的特征值和特征向量,并将相同特征值的特征向量正交化(若有必要),然后将特征向量单位化并以此为列所构造的矩阵即为所求的正交矩阵.【详解】 (1)二次型f 的矩阵为.200200⎥⎥⎥⎦⎤⎢⎢⎢⎣⎡-=b b a A 设A 的特征值为).3,2,1(=i i λ 由题设,有1)2(2321=-++=++a λλλ,.12242002002321-=--=-=b a b ba λλλ解得 a=1,b= -2.(2) 由矩阵A 的特征多项式)3()2(22202012+-=+----=-λλλλλλA E ,得A 的特征值.3,2321-===λλλ对于,221==λλ解齐次线性方程组0)2(=-x A E ,得其基础解系 T )1,0,2(1=ξ,.)0,1,0(2T =ξ对于33-=λ,解齐次线性方程组0)3(=--x A E ,得基础解系 .)2,0,1(3T -=ξ由于321,,ξξξ已是正交向量组,为了得到规范正交向量组,只需将321,,ξξξ单位化,由此得T )51,0,52(1=η,T )0,1,0(2=η,.)52,0,51(3T -=η令矩阵[]⎥⎥⎥⎥⎥⎦⎤⎢⎢⎢⎢⎢⎣⎡-==5205101051052321ηηηQ ,则Q 为正交矩阵. 在正交变换X=QY 下,有⎥⎥⎥⎦⎤⎢⎢⎢⎣⎡-=300020002AQ Q T ,且二次型的标准形为.322232221y y y f -+=【评注】 本题求a,b ,也可先计算特征多项式,再利用根与系数的关系确定:二次型f 的矩阵A 对应特征多项式为)].2()2()[2(220022b a a bb aA E +----=+----=-λλλλλλλ设A 的特征值为321,,λλλ,则).2(,2,2232321b a a +-=-=+=λλλλλ由题设得1)2(2321=-+=++a λλλ,.12)2(22321-=+-=b a λλλ解得a=1,b=2.十一、(本题满分13分) 设随机变量X 的概率密度为;],8,1[,0,31)(32其他若∈⎪⎩⎪⎨⎧=x x x fF(x)是X 的分布函数. 求随机变量Y=F(X)的分布函数.【分析】 先求出分布函数F(x) 的具体形式,从而可确定Y=F(X) ,然后按定义求Y 的分布函数即可.注意应先确定Y=F(X)的值域范围)1)(0(≤≤X F ,再对y 分段讨论.【详解】 易见,当x<1时,F(x)=0; 当x>8 时,F(x)=1. 对于]8,1[∈x ,有 .131)(3132-==⎰x dt t x F x设G(y)是随机变量Y=F(X)的分布函数. 显然,当0<y 时,G(y)=0;当1≥y 时,G(y)=1.对于)1,0[∈y ,有})({}{)(y X F P y Y P y G ≤=≤= =})1({}1{33+≤=≤-y X P y X P =.])1[(3y y F =+于是,Y=F(X)的分布函数为.1,10,0,1,,0)(≥<≤<⎪⎩⎪⎨⎧=y y y y y G 若若若【评注】 事实上,本题X 为任意连续型随机变量均可,此时Y=F(X)仍服从均匀分布: 当y<0时,G(y)=0; 当 1≥y 时,G(y)=1;当 01<≤y 时,})({}{)(y X F P y Y P y G ≤=≤= =)}({1y F X P -≤ =.))((1y y F F =- 十二、(本题满分13分)设随机变量X 与Y 独立,其中X 的概率分布为 ⎪⎪⎭⎫⎝⎛7.03.021~X ,而Y 的概率密度为f(y),求随机变量U=X+Y 的概率密度g(u).【分析】求二维随机变量函数的分布,一般用分布函数法转化为求相应的概率. 注意X 只有两个可能的取值,求概率时可用全概率公式进行计算.【详解】 设F(y)是Y 的分布函数,则由全概率公式,知U=X+Y 的分布函数为 }{)(u Y X P u G ≤+==}2{7.0}1{3.0=≤++=≤+X u Y X P X u Y X P =}22{7.0}11{3.0=-≤+=-≤X u Y P X u Y P . 由于X 和Y 独立,可见G(u)= }2{7.0}1{3.0-≤+-≤u Y P u Y P=).2(7.0)1(3.0-+-u F u F 由此,得U 的概率密度)2(7.0)1(3.0)()(-'+-'='=u F u F u G u g =).2(7.0)1(3.0-+-u f u f【评注】 本题属新题型,求两个随机变量和的分布,其中一个是连续型一个是离散型,要求用全概率公式进行计算,类似问题以前从未出现过,具有一定的难度和综合性.2004年全国硕士研究生入学统一考试数学三试题一、填空题(本题共6小题,每小题4分,满分24分. 把答案填在题中横线上)(1) 若5)(cos sin lim0=--→b x ae xx x ,则a =______,b =______. (2) 设函数f (u , v )由关系式f [xg (y ) , y ] = x + g (y )确定,其中函数g (y )可微,且g (y ) ≠ 0,则2fu v∂=∂∂.(3) 设⎪⎩⎪⎨⎧≥-<≤-=21,12121,)(2x x xe x f x ,则212(1)f x dx -=⎰.(4) 二次型213232221321)()()(),,(x x x x x x x x x f ++-++=的秩为 . (5) 设随机变量X 服从参数为λ的指数分布, 则=>}{DX X P _______.(6) 设总体X 服从正态分布),(21σμN , 总体Y 服从正态分布),(22σμN ,1,,21n X X X 和 2,,21n Y Y Y 分别是来自总体X 和Y 的简单随机样本, 则12221112()()2n n i j i j X X Y Y E n n ==⎡⎤-+-⎢⎥⎢⎥=⎢⎥+-⎢⎥⎢⎥⎣⎦∑∑.二、选择题(本题共6小题,每小题4分,满分24分. 每小题给出的四个选项中,只有一项符合题目要求,把所选项前的字母填在题后的括号内) (7) 函数2)2)(1()2sin(||)(---=x x x x x x f 在下列哪个区间内有界.(A) (-1 , 0).(B) (0 , 1).(C) (1 , 2).(D) (2 , 3). [ ](8) 设f (x )在(-∞ , +∞)内有定义,且a x f x =∞→)(lim , ⎪⎩⎪⎨⎧=≠=0,00,)1()(x x x f x g ,则(A) x = 0必是g (x )的第一类间断点. (B) x = 0必是g (x )的第二类间断点.(C) x = 0必是g (x )的连续点.(D) g (x )在点x = 0处的连续性与a 的取值有关. [ ] (9) 设f (x ) = |x (1 - x )|,则(A) x = 0是f (x )的极值点,但(0 , 0)不是曲线y = f (x )的拐点. (B) x = 0不是f (x )的极值点,但(0 , 0)是曲线y = f (x )的拐点. (C) x = 0是f (x )的极值点,且(0 , 0)是曲线y = f (x )的拐点.(D) x = 0不是f (x )的极值点,(0 , 0)也不是曲线y = f (x )的拐点. [ ] (10) 设有下列命题:(1) 若∑∞=-+1212)(n n n u u 收敛,则∑∞=1n n u 收敛.(2) 若∑∞=1n n u 收敛,则∑∞=+11000n n u 收敛.(3) 若1lim 1>+∞→nn n u u ,则∑∞=1n n u 发散.(4) 若∑∞=+1)(n n n v u 收敛,则∑∞=1n n u ,∑∞=1n n v 都收敛.则以上命题中正确的是(A) (1) (2). (B) (2) (3). (C) (3) (4). (D) (1) (4). [ ] (11) 设)(x f '在[a , b]上连续,且0)(,0)(<'>'b f a f ,则下列结论中错误的是 (A) 至少存在一点),(0b a x ∈,使得)(0x f > f (a ). (B) 至少存在一点),(0b a x ∈,使得)(0x f > f (b ). (C) 至少存在一点),(0b a x ∈,使得0)(0='x f .(D) 至少存在一点),(0b a x ∈,使得)(0x f = 0.[ D ](12) 设n 阶矩阵A 与B 等价, 则必有(A) 当)0(||≠=a a A 时, a B =||. (B) 当)0(||≠=a a A 时, a B -=||.(C) 当0||≠A 时, 0||=B . (D) 当0||=A 时, 0||=B . [ ] (13) 设n 阶矩阵A 的伴随矩阵,0*≠A 若4321,,,ξξξξ是非齐次线性方程组 b Ax =的互不相等的解,则对应的齐次线性方程组0=Ax 的基础解系 (A) 不存在. (B) 仅含一个非零解向量.(C) 含有两个线性无关的解向量. (D) 含有三个线性无关的解向量.[ ](14) 设随机变量X 服从正态分布)1,0(N , 对给定的)1,0(∈α, 数αu 满足αu X P α=>}{,若αx X P =<}|{|, 则x 等于 (A) 2αu . (B) 21αu-. (C) 21αu -. (D) αu -1. [ ]三、解答题(本题共9小题,满分94分. 解答应写出文字说明、证明过程或演算步骤.) (15) (本题满分8分)求)cos sin 1(lim 2220xxx x -→. (16) (本题满分8分)求⎰⎰++Dd y y x σ)(22,其中D 22122=所围成的 平面区域(如图).(17) (本题满分8分) 设f (x ) , g (x )在[a , b ]上连续,且满足⎰⎰≥x axadt t g dt t f )()(,x ∈ [a , b ),⎰⎰=bab adt t g dt t f )()(.证明:⎰⎰≤babadx x xg dx x xf )()(.(18) (本题满分9分) 设某商品的需求函数为Q = 100 - 5P ,其中价格P ∈ (0 , 20),Q 为需求量. (I) 求需求量对价格的弹性d E (d E > 0);(II) 推导)1(d E Q dPdR-=(其中R 为收益),并用弹性d E 说明价格在何范围内变化时, 降低价格反而使收益增加. (19) (本题满分9分) 设级数)(864264242864+∞<<-∞+⋅⋅⋅+⋅⋅+⋅x x x x 的和函数为S (x ). 求:(I) S (x )所满足的一阶微分方程; (II) S (x )的表达式. (20)(本题满分13分)设T α)0,2,1(1=, T ααα)3,2,1(2-+=, T b αb α)2,2,1(3+---=, T β)3,3,1(-=, 试讨论当b a ,为何值时,(Ⅰ) β不能由321,,ααα线性表示;(Ⅱ) β可由321,,ααα唯一地线性表示, 并求出表示式;(Ⅲ) β可由321,,ααα线性表示, 但表示式不唯一, 并求出表示式. (21) (本题满分13分) 设n 阶矩阵⎪⎪⎪⎪⎪⎭⎫ ⎝⎛=111 b b b b b b A .(Ⅰ) 求A 的特征值和特征向量;(Ⅱ) 求可逆矩阵P , 使得AP P 1-为对角矩阵. (22) (本题满分13分)设A ,B 为两个随机事件,且41)(=A P , 31)|(=AB P , 21)|(=B A P , 令⎩⎨⎧=不发生,,发生,A A X 0,1 ⎩⎨⎧=.0,1不发生,发生,B B Y 求(Ⅰ) 二维随机变量),(Y X 的概率分布;(Ⅱ) X 与Y 的相关系数 XY ρ; (Ⅲ) 22Y X Z +=的概率分布. (23) (本题满分13分)设随机变量X 的分布函数为⎪⎩⎪⎨⎧≤>⎪⎭⎫ ⎝⎛-=,,,αx αx x αβαx F β0,1),,( 其中参数1,0>>βα. 设n X X X ,,,21 为来自总体X 的简单随机样本,(Ⅰ) 当1=α时, 求未知参数β的矩估计量;(Ⅱ) 当1=α时, 求未知参数β的最大似然估计量; (Ⅲ) 当2=β时, 求未知参数α的最大似然估计量.2004年考研数学(三)真题解析一、填空题(本题共6小题,每小题4分,满分24分. 把答案填在题中横线上) (1) 若5)(cos sin lim0=--→b x ae xx x ,则a =1,b =4-.【分析】本题属于已知极限求参数的反问题. 【详解】因为5)(cos sin lim0=--→b x ae xx x ,且0)(cos sin lim 0=-⋅→b x x x ,所以 0)(lim 0=-→a e x x ,得a = 1. 极限化为 51)(cos lim )(cos sin lim00=-=-=--→→b b x xxb x a e x x x x ,得b = -4.因此,a = 1,b = -4. 【评注】一般地,已知)()(limx g x f = A , (1) 若g (x ) → 0,则f (x ) → 0;(2) 若f (x ) → 0,且A ≠ 0,则g (x ) → 0.(2) 设函数f (u , v )由关系式f [xg (y ) , y ] = x + g (y )确定,其中函数g (y )可微,且g (y ) ≠ 0,则)()(22v g v g vu f '-=∂∂∂.【分析】令u = xg (y ),v = y ,可得到f (u , v )的表达式,再求偏导数即可. 【详解】令u = xg (y ),v = y ,则f (u , v ) =)()(v g v g u+,所以,)(1v g u f =∂∂,)()(22v g v g v u f '-=∂∂∂.(3) 设⎪⎩⎪⎨⎧≥-<≤-=21,12121,)(2x x xe x f x ,则21)1(221-=-⎰dx x f .【分析】本题属于求分段函数的定积分,先换元:x - 1 = t ,再利用对称区间上奇偶函数的积分性质即可.【详解】令x - 1 = t ,⎰⎰⎰--==-121121221)()()1(dt x f dt t f dx x f=21)21(0)1(12121212-=-+=-+⎰⎰-dx dx xe x .【评注】一般地,对于分段函数的定积分,按分界点划分积分区间进行求解. (4) 二次型213232221321)()()(),,(x x x x x x x x x f ++-++=的秩为 2 .【分析】二次型的秩即对应的矩阵的秩, 亦即标准型中平方项的项数, 于是利用初等变换或配方法均可得到答案. 【详解一】因为213232221321)()()(),,(x x x x x x x x x f ++-++=323121232221222222x x x x x x x x x -++++=于是二次型的矩阵为 ⎪⎪⎪⎭⎫ ⎝⎛--=211121112A ,由初等变换得 ⎪⎪⎪⎭⎫ ⎝⎛--→⎪⎪⎪⎭⎫ ⎝⎛---→000330211330330211A ,从而 2)(=A r , 即二次型的秩为2.【详解二】因为213232221321)()()(),,(x x x x x x x x x f ++-++=323121232221222222x x x x x x x x x -++++=2322321)(23)2121(2x x x x x -+++= 2221232y y +=,其中 ,21213211x x x y ++= 322x x y -=.所以二次型的秩为2.(5) 设随机变量X 服从参数为λ的指数分布, 则=>}{DX X Pe1. 【分析】 根据指数分布的分布函数和方差立即得正确答案.【详解】 由于21λDX =, X 的分布函数为 ⎩⎨⎧≤>-=-.0,0,0,1)(x x e x F x λ故=>}{DX X P =≤-}{1DX X P =≤-}1{1λX P )1(1λF -e1=. 【评注】本题是对重要分布, 即指数分布的考查, 属基本题型.(6) 设总体X 服从正态分布),(21σμN , 总体Y 服从正态分布),(22σμN ,1,,21n X X X 和 2,,21n Y Y Y 分别是来自总体X 和Y 的简单随机样本, 则22121212)()(21σn n Y Y X X En j j n i i =⎥⎥⎥⎥⎥⎦⎤⎢⎢⎢⎢⎢⎣⎡-+-+-∑∑==.【分析】利用正态总体下常用统计量的数字特征即可得答案.【详解】因为 2121])(11[1σX n E n i i =--∑=, 2122])(11[2σY n E n j j =--∑=, 故应填 2σ.【评注】本题是对常用统计量的数字特征的考查.二、选择题(本题共6小题,每小题4分,满分24分. 每小题给出的四个选项中,只有一项符合题目要求,把所选项前的字母填在题后的括号内) (7) 函数2)2)(1()2sin(||)(---=x x x x x x f 在下列哪个区间内有界. (A) (-1 , 0).(B) (0 , 1).(C) (1 , 2).(D) (2 , 3). [ A ]【分析】如f (x )在(a , b )内连续,且极限)(lim x f a x +→与)(lim x f b x -→存在,则函数f (x )在(a , b )内有界.【详解】当x ≠ 0 , 1 , 2时,f (x )连续,而183sin )(lim 1-=+-→x f x ,42sin )(lim 0-=-→x f x ,42sin )(lim 0=+→x f x ,∞=→)(lim 1x f x ,∞=→)(lim 2x f x ,所以,函数f (x )在(-1 , 0)内有界,故选(A).【评注】一般地,如函数f (x )在闭区间[a , b ]上连续,则f (x )在闭区间[a , b ]上有界;如函数f (x )在开区间(a , b )内连续,且极限)(lim x f a x +→与)(lim x f b x -→存在,则函数f (x )在开区间(a , b )内有界.(8) 设f (x )在(-∞ , +∞)内有定义,且a x f x =∞→)(lim ,⎪⎩⎪⎨⎧=≠=0,00,)1()(x x xf xg ,则(A) x = 0必是g (x )的第一类间断点. (B) x = 0必是g (x )的第二类间断点. (C) x = 0必是g (x )的连续点.(D) g (x )在点x = 0处的连续性与a 的取值有关. [ D ] 【分析】考查极限)(lim 0x g x →是否存在,如存在,是否等于g (0)即可,通过换元xu 1=, 可将极限)(lim 0x g x →转化为)(lim x f x ∞→.【详解】因为)(lim )1(lim )(lim 0u f x f x g u x x ∞→→→=== a (令xu 1=),又g (0) = 0,所以, 当a = 0时,)0()(lim 0g x g x =→,即g (x )在点x = 0处连续,当a ≠ 0时,)0()(lim 0g x g x ≠→,即x = 0是g (x )的第一类间断点,因此,g (x )在点x = 0处的连续性与a 的取值有关,故选(D).【评注】本题属于基本题型,主要考查分段函数在分界点处的连续性. (9) 设f (x ) = |x (1 - x )|,则(A) x = 0是f (x )的极值点,但(0 , 0)不是曲线y = f (x )的拐点. (B) x = 0不是f (x )的极值点,但(0 , 0)是曲线y = f (x )的拐点. (C) x = 0是f (x )的极值点,且(0 , 0)是曲线y = f (x )的拐点.(D) x = 0不是f (x )的极值点,(0 , 0)也不是曲线y = f (x )的拐点. [ C ] 【分析】由于f (x )在x = 0处的一、二阶导数不存在,可利用定义判断极值情况,考查f (x )在x = 0的左、右两侧的二阶导数的符号,判断拐点情况.【详解】设0 < δ < 1,当x ∈ (-δ , 0) ⋃ (0 , δ)时,f (x ) > 0,而f (0) = 0,所以x = 0是f (x )的极小值点. 显然,x = 0是f (x )的不可导点. 当x ∈ (-δ , 0)时,f (x ) = -x (1 - x ),02)(>=''x f , 当x ∈ (0 , δ)时,f (x ) = x (1 - x ),02)(<-=''x f ,所以(0 , 0)是曲线y = f (x )的拐点. 故选(C).【评注】对于极值情况,也可考查f (x )在x = 0的某空心邻域内的一阶导数的符号来判断. (10) 设有下列命题:(1) 若∑∞=-+1212)(n n n u u 收敛,则∑∞=1n n u 收敛.(2) 若∑∞=1n n u 收敛,则∑∞=+11000n n u 收敛.(3) 若1lim 1>+∞→nn n u u ,则∑∞=1n n u 发散.(4) 若∑∞=+1)(n n n v u 收敛,则∑∞=1n n u ,∑∞=1n n v 都收敛.则以上命题中正确的是 (A) (1) (2). (B) (2) (3).(C) (3) (4).(D) (1) (4).[ B ]【分析】可以通过举反例及级数的性质来说明4个命题的正确性. 【详解】(1)是错误的,如令nn u )1(-=,显然,∑∞=1n n u 分散,而∑∞=-+1212)(n n n u u 收敛.。
考研数学三(线性代数)历年真题试卷汇编19(题后含答案及解析) 题型有:1. 选择题 2. 填空题 3. 解答题选择题下列每题给出的四个选项中,只有一个选项符合题目要求。
1.[2014年] 行列式A.(ad—bc)2B.一(ad—bc)2C.a2d2一b2c2D.b2c2一a2d2正确答案:B解析:解一令则此为非零元素仅在主、次对角线上的行列式由命题2.1.1.1(1),即得|A|=一(ad—bc)(ad—bc)=一(ad一bc)2.仅(B)入选.解二将|A|按第1行展开,然后可利用命题2.1.1.1(2),即式(2.1.1.5)直接写出结果:解三仅(B)入选.解四仅(B)入选.(注:命题2.1.1.1 设非零元素仅在主、次对角线上的2n阶、2n一1阶行列式分别为D2n,D2n-1,则命题2.1.2.3 设A,B分别是m阶与n阶矩阵,则) 知识模块:线性代数2.[2008年] 设A为n阶非零矩阵,E为n阶单位矩阵.若A3=O,则( ).A.E—A不可逆,E+A不可逆B.E—A不可逆,E+A可逆C.E—A可逆,E+A可逆D.E—A可逆,E+A不可逆正确答案:C解析:解一由A3=O得E=E-A3=(E-A)(E+A+A3),E=E+A3=(E+A)(E -A+A3).由命题2.2.1.2知,E-A,E+A均可逆.仅(C)入选.解二因A3=0,即A为幂零矩阵,其n个特征值全部都等于零,则A的矩阵多项式f1(A)=E-A的n个特征值为f1(λ)|λ=0=(1-λ)|λ=0=1.因而|E-A|=1≠0,故E一A可逆.A的另一个矩阵多项式f2(A)=E+A的n个特征值为f2(λ)|λ=0=(1+λ)|λ=0=1.故|E+A|=1,所以E+A可逆.知识模块:线性代数3.[2017年] 设α为n维单位列向量,E为n阶单位矩阵,则( ).A.E—ααT不可逆B.E+ααT不可逆C.E+2ααT不可逆D.E一2ααT不可逆正确答案:A解析:令A=ααT,则A2=A.又令AX=λX,由(A2-A)X=(λ2-λ)X=0得λ2-λ=0,即λ=0或λ=1.因为tr(A)=αTα=1=λ1+…+λn故得A的特征值为λ1=…=λn-1=0,λn=1.而E-ααT的特征值为λ1=…=λn-1=1,λn=0,从而|E-ααT|=0,E-ααT不可逆.仅(A)入选.知识模块:线性代数4.[2005年] 设矩阵A=[aij]3×3满足A*=AT,其中A*为A的伴随矩阵,AT为A的转置矩阵,若a11,a12,a13为3个相等的正数,则a11为( ).A.B.3C.1/3D.正确答案:A解析:解一显然矩阵A满足命题2.2.2.1中的三个条件,因而由该命题得|A|=1.将|A|按第1行展开得到1=|A|=a11A11+a12A12+a13A13=a112+a122+a132=3a112,故仅(A)入选.解二由A*=AT,即其中Aij为|A|中元素aij的代数余子式,得aij=Aij(i,j=1,2,3).将|A|按第1行展开,得到|A|=a11A11+a12A12+a13A13=a112+122+a132=3a112>0.又由A*=AT得到|A*|=|A|3-1=|AT|=|A|,即|A|(|A|=1)=0,而|A|>0,故|A|-1=0,即|A|=1,则3a112=1.因a11>0,故仅(A)入选.注:命题2.2.2.1 设A为n(n≥3)阶实矩阵,其元素分别与其代数余子式相等(aij=Aij(i,j=1,2,…,n),即AT-A*或A=(A*)T)且其中一元素不等于0,则其行列式|A|等于1.知识模块:线性代数5.[2009年] 设A,B均为二阶矩阵,A*,B*分别为A,B的伴随矩阵,若|A|=2,|B|=3,则分块矩阵的伴随矩阵为( ).A.B.C.D.正确答案:B解析:解一令则|C|=(-1)2×2|A||B|=2×3=6,即分块矩阵可逆,则由C*=|C|C-1得到解二因对任一四阶矩阵C,有C*C=CC*=|C|4,其中C*为C的伴随矩阵.下面用直接验证法进行选择.对于选项(A),有其中E2,E4分别为二阶、四阶单位矩阵.对于选项(B),有满足伴随矩阵的性质.对选项(C)、(D),分别有由此可知,仅(B)入选.知识模块:线性代数6.[2004年] 设n阶矩阵A与B等价,则必有( ).A.当|A|=a(a≠0)时,|B|=aB.当|A|=a(a≠0)时,|B|=-aC.当|A|≠0时,|B|=0D.当|A|=0时,|B|=0正确答案:D解析:解一因A与B等价,由命题2.2.5.4(1)知,仅(D)入选.(注:命题2.2.5.4 (1)矩阵等价的必要条件是矩阵的行列式同时为零或同时不为零.)解二因A与B等价,其秩必相等.当|A|=0时,秩(A)<n,故秩(B)<n,于是|B|=0.所以选项(D)正确.因秩(A)=秩(B),不一定有|A|=|B|或|A|=-|B|,故(A)、(B)不成立.至于(C),显然有秩(A)>秩(B),故(C)不成立.仅(D)入选.解三因A与B等价,由矩阵等价的必要条件知,存在可逆矩阵P与Q,使得A=PBQ.两边取行列式得|A|=|P||B||Q|,而|P|≠0,|Q|≠0,因而|A|与|B|同时为零或同时不为零.故当|A|=0时,必有|B|=0.仅(D)入选.知识模块:线性代数7.[2013年] 设矩阵A,B,C均为n阶矩阵,若AB=C,且B可逆,则( ).A.矩阵C的行向量组与矩阵A的行向量组等价B.矩阵C的列向量组与矩阵A的列向量组等价C.矩阵C的行向量组与矩阵B的行向量组等价D.矩阵C的列向量组与矩阵B的列向量组等价正确答案:B解析:解一对矩阵A,C分别按列分块,记A=[α1,α2,…,αn],C=[γ1,γ2,…,γn],又令B=(bγij)γn×n,则由AB=C得到可见,C的列向量组可由A的列向量组线性表出.因B可逆,由A=CB-1类似可证,A的列向量组也可由C的列向量组线性表出.由两向量组等价的定义知,仅(B)入选.解二因可逆矩阵可表示成若干个初等矩阵的乘积,而每个初等矩阵表示一次初等变换,可逆矩阵B左乘矩阵A,于是A经过有限次初等列变换化为C,而初等列变换能保持变换前的矩阵与变换后所得矩阵的列向量组的等价关系(见命题2.3.1.3),因而仅(B)入选.注:命题2.3.1.3 如果矩阵A 经有限次初等行(列)变换化成矩阵B(即A≌B),则A的行(列)向量组与B的行(列)向量组等价.知识模块:线性代数8.[2003年] 设α1,α2,…,α3均为n维向量,下列结论中不正确的是( ).A.若对于任意一组不全为零的数k1,k2,…,ks,都有k1α1+k2α2+…+ksαs≠0,则α1,α2,…,αs线性无关B.若α1,α2,…,αs线性相关,则对于任意一组不全为零的数k1,k2,…,ks,有k1α1+k2α2+…+ksαs=0C.α1,α2,…,αs线性无关的充分必要条件是此向量组的秩为sD.α1,α2,…,α3线性无关的必要条件是其中任意两个向量线性无关正确答案:B解析:解一(A)正确.事实上,若α1,α2,…,α3线性相关,则存在一组不全为零的数k1,k2,…,ks使得k1α1+k2α2+…+ksαs=0.这定义的逆否命题就是选项(A)中的命题.可见(A)成立.若α1,α2,…,αs线性相关,由其定义知,存在一组而不是任意一组不全为零的数k1,k2,…,ks使得k1α1+k2αs+…+ksαs=0.(B)不成立.由“向量组α1,α2,…,αs线性无关的充要条件是秩([α1,α2,…,αs])=s”知,(C)也成立.因α1,α2,…,αn线性无关的必要条件是其任一部分向量组线性无关.当然其中任意两个向量也线性无关,(D)也成立.仅(B)入选.解二可举反例证明(B)不正确:向量组α1=[1,0]T,α2=[4,0]T线性相关,但对于一组不全为零的常数k1=1,k2=0,却有k1α1+k2α2=α1=[1,0]T≠0.知识模块:线性代数9.[2006年] 设α1,α2,…,αs都是n维列向量,A是m×n矩阵,则( )成立.A.若α1,α2,…,αs线性相关,则Aα1,Aα2,…,Aαs线性相关B.若α1,α2,…,αs线性相关,则Aα1,Aα2,…,Aαs线性无关C.若α1,α2,…,αs线性无关,则Aα1,Aα2,…,Aαs线性相关D.若α1,α2,…,αs线性无关,则Aα1,Aα2,…,Aαs线性无关正确答案:A解析:解一由定义知,若α1,α2,…,αs线性相关,则存在不全为零的数c1,c2,…,cs,使得c1α1+c2α2+…+csαs=0.用A左乘等式两边,得c1A α1+c2Aα2+…+csAαs=0,于是Aα1,Aα2,…,Aαs线性相关.仅(A)入选.解二若α1,α2,…,αs线性相关,则秩([α1,α2,…,αs])其中c1,c2,c3,c4为任意常数,则下列向量组线性相关的为( ).A.α1,α2,α3B.α1,α2,α4C.α1,α3,α4D.α2,α3,α4正确答案:C解析:因故α1,α3,α4线性相关.仅(C)入选.知识模块:线性代数11.[2007年] 设向量组α1,α2,α3线性无关,则下列向量组线性相关的是( ).A.α1一α2,α2一α3,α3一α1B.α1+α2,α2+α3,α3+α1C.α1—2α2,α2—2α3,α3—2α1D.α1+2α2,α2+2α3,α3+2α1正确答案:A解析:解一用观察易知,选项(A)中向量有关系(α1-α2)+(α2-α3)+(α3-α1)=0,故(A)中向量线性相关.解二由命题2.3.2.3判别之.s=3为奇数,k=3也为奇数,故(A)中向量线性相关.(注:命题2.3.2.3 已知向量组α1,α2,…,αs(s≥2)线性无关,设β1=α1±α2,β2=α2±α3,…,βs-1=αs-1±αs,βs=αs±α1,其中s为向量组中的向量个数.又设上式中带负号的向量个数为k,则(1)当s与k的奇偶性相同时,向量组β1,β2,…,βs线性相关;(2)当s与k的奇偶性不同时,向量组β1,β2,…,βs线性无关.) 解三用线性相关的定义判定.为此令x1(α1-α2)+x2(α2-α3)+x3(α3-α1)=0,即(x1-x3)α1+(-x1+x2)α2+(-x2+x3)α3=0.因α1,α2,α3线性无关,故因其系数矩阵行列式等于零,故上述方程组有非零解,即α1-α2,α2-α3,α3-α1线性相关.知识模块:线性代数12.[2014年] 设α1,α2,α3是三维向量,则对任意常数k,l,向量α1+kα3,α2+α3线性无关是向量α1,α2,α3线性无关的( ).A.必要非充分条件B.充分非必要条件C.充分必要条件D.既非充分也非必要条件正确答案:A解析:记β1=α1+kα3,β2=α2+lα3,则若α1,α2,α3线性无关,则[α1,α2,α3]为可逆矩阵,故秩即β1=α1+kα3,β2=α2+lα3线性无关.反之,设α1,α2线性无关,α3=0,则对任意常数k,l必有α1+kα3,α2+lα3线性无关,但α1,α2,α3线性相关,故α1+kα3,α2+lα3线性无关是向量组α1,α2,α3线性无关的必要但非充分条件.仅(A)入选.知识模块:线性代数填空题13.[2016年] 行列式正确答案:λ4+λ3+2λ2+3λ+4解析:知识模块:线性代数14.[2010年] 设A,B为三阶矩阵,且|A|=3,|B|=2,|A-1+B|=2,则|A+B-1|=________.正确答案:3解析:|A+B-1|=|AE+EB-1|=|ABB-1+AA-1B-1|=|A(B+A-1)B-1|=|A||B+A-1||B-1|=|A||A-1+B ||B|-1=3×2×(1/2)=3.解二|A+B-1|=|EA+B-1E|=|B-1BA+B-1A-1A|=|B-1||B+A-1||A|=|B|-1|B+A-1||A|=(1/2)×2×3=3.知识模块:线性代数15.[2006年] 设矩阵E为二阶单位矩阵,矩阵A满足BA=B+2E,则|B|=____________.正确答案:2解析:解一由BA=B+2E得到B(A-E)=2E,两边取行列式利用命题2.1.2.1(2)和(5)得到|B||A—|=|2E|=22|E|=4.而故|B|=2.解二解一中没有求出矩阵B.但若要求出也不难.由B(A—E)=2E知B==2(A-E)-1而故从而|B|=2.(注:命题2.1.2.1 设A=[aij]n×n,B=[bij]n×n,E为n阶单位矩阵,k为常数.(2)|AB|=|A||B|,|AB|=|BA|,但AB≠BA;(5)|kA|=kn|A|,但[kaij]n ×n=k[aij]n×n=kA;) 知识模块:线性代数16.[2008年] 设三阶矩阵A的特征值为1,2,2,E为三阶单位矩阵,则|4A-1一E|=_________.正确答案:3解析:解一因A的特征值为1,2,2,故A-1的特征值为1,1/2,1/2.因而4A-1一E的特征值为λ1=4×1—1=3,λ2=4×(1/2)一1=1,λ3=4×(1/2)一1=1,故|4A-1一E|=λ1λ2λ3=3×1×1=3.解二所求结果应与A能否与对角矩阵相似无关,现用加强条件法求出此结果.如果A与对角矩阵相似,则存在可逆矩阵P,使得P-1AP—diag(1,2,2)①=Λ,即A=PΛP-1.于是A-1=PΛ-1P-1,4A-1一E=4.PΛ-1P-1一PEP-1=P(4Λ-1-E)P-1,两端取行列式得到|4A-1一E|=|P||4Λ-1一E||P-1|=|4Λ-1一E|=|4diag(1,1/2,l /2)一E|=|diag(3,1,1)|=3.知识模块:线性代数17.[2003年] 设n维向量α=[a,0,…,0,a]T,a<0,E为n阶单位矩阵,矩阵A=E-ααT,B=E+(1/a)ααT,其中A的逆矩阵为B,则a=____________.正确答案:-1解析:解一由题设有A-1=B,故AB=E,注意到αTα=2a2(是一个数),有E=AB-(E-ααT)[E+(1/a)ααT]=E+(1/a)ααT-ααT-(1/a)α(αTα)αT =E+[1/a-1-(1/a)·2a2]ααT=E+(1/a-1-2a)ααT,故(1/a-1-2a)ααT=O.因ααT≠O,所以1/a-1-2a=0,即(2a-1)(a+1)=0.因而a=1/2或a=-1.因a<0,故a=-1.解二因(E-A)2=(ααT)2=ααTααT=(αTα)ααT=2a2ααT=2a2(E-A),即A2-2A+2a2A=2a2E-E,亦即A[A-(2-2a2)E]=(2a2-1)E,故A可逆,且由题设有故整理得到而ααT≠O,故(a+1)(2a-1)=0,又因a<0,故a=-1.知识模块:线性代数18.[2012年] 设A为三阶矩阵,|A|=3,A*为A的伴随矩阵.若交换A 的第1行与第2行得矩阵B,则|BA*|=__________.正确答案:-27解析:由题设有B=E12A,两边右乘A*,得到BA*=E12AA*=|A|E12E=|A|E12,则|BA*|=||A|E12|=|A|3|E12|=33×(-1)=-27.知识模块:线性代数解答题解答应写出文字说明、证明过程或演算步骤。
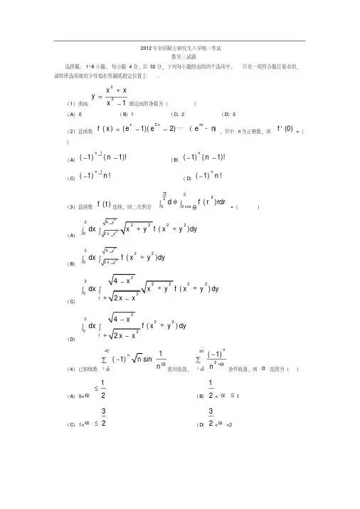
2004年考研数学(三)真题一、填空题(本题共6小题,每小题4分,满分24分. 把答案填在题中横线上) (1) 若5)(cos sin lim=--→b x ae x xx ,则a =______,b =______.(2) 设函数f (u , v )由关系式f [xg (y ) , y ] = x + g (y )确定,其中函数g (y )可微,且g (y ) ≠ 0,则2f u v∂=∂∂.(3) 设⎪⎩⎪⎨⎧≥-<≤-=21,12121,)(2x x xe x f x ,则212(1)f x dx -=⎰.(4) 二次型213232221321)()()(),,(x x x x x x x x x f ++-++=的秩为 . (5) 设随机变量X 服从参数为λ的指数分布, 则=>}{DX X P _______.(6) 设总体X 服从正态分布),(21σμN , 总体Y 服从正态分布),(22σμN ,1,,21n X X X 和 2,,21nY Y Y 分别是来自总体X 和Y 的简单随机样本, 则12221112()()2n n i j i j X X Y Y E n n ==⎡⎤-+-⎢⎥⎢⎥=⎢⎥+-⎢⎥⎢⎥⎣⎦∑∑.二、选择题(本题共6小题,每小题4分,满分24分. 每小题给出的四个选项中,只有一项符合题目要求,把所选项前的字母填在题后的括号内) (7) 函数2)2)(1()2sin(||)(---=x x x x x x f 在下列哪个区间内有界. (A) (-1 , 0). (B) (0 , 1).(C) (1 , 2).(D) (2 , 3). [ ](8) 设f (x )在(-∞ , +∞)内有定义,且a x f x =∞→)(lim , ⎪⎩⎪⎨⎧=≠=0,00,)1()(x x x f x g ,则(A) x = 0必是g (x )的第一类间断点. (B) x = 0必是g (x )的第二类间断点.(C) x = 0必是g (x )的连续点.(D) g (x )在点x = 0处的连续性与a 的取值有关. [ ] (9) 设f (x ) = |x (1 - x )|,则(A) x = 0是f (x )的极值点,但(0 , 0)不是曲线y = f (x )的拐点. (B) x = 0不是f (x )的极值点,但(0 , 0)是曲线y = f (x )的拐点. (C) x = 0是f (x )的极值点,且(0 , 0)是曲线y = f (x )的拐点.(D) x = 0不是f (x )的极值点,(0 , 0)也不是曲线y = f (x )的拐点. [ ] (10) 设有下列命题:(1) 若∑∞=-+1212)(n n n u u 收敛,则∑∞=1n n u 收敛.(2) 若∑∞=1n n u 收敛,则∑∞=+11000n n u 收敛.(3) 若1lim1>+∞→nn n u u ,则∑∞=1n n u 发散.(4) 若∑∞=+1)(n n n v u 收敛,则∑∞=1n n u ,∑∞=1n n v 都收敛.则以上命题中正确的是(A) (1) (2). (B) (2) (3).(C) (3) (4). (D) (1) (4). [ ](11) 设)(x f '在[a , b]上连续,且0)(,0)(<'>'b f a f ,则下列结论中错误的是 (A) 至少存在一点),(0b a x ∈,使得)(0x f > f (a ). (B) 至少存在一点),(0b a x ∈,使得)(0x f > f (b ). (C) 至少存在一点),(0b a x ∈,使得0)(0='x f .(D) 至少存在一点),(0b a x ∈,使得)(0x f = 0.[ D ](12) 设n 阶矩阵A 与B 等价, 则必有(A) 当)0(||≠=a a A 时, a B =||. (B) 当)0(||≠=a a A 时, a B -=||. (C) 当0||≠A 时, 0||=B . (D) 当0||=A 时, 0||=B . [ ] (13) 设n 阶矩阵A 的伴随矩阵,0*≠A 若4321,,,ξξξξ是非齐次线性方程组 b Ax =的互不相等的解,则对应的齐次线性方程组0=Ax 的基础解系 (A) 不存在. (B) 仅含一个非零解向量.(C) 含有两个线性无关的解向量. (D) 含有三个线性无关的解向量.[ ](14) 设随机变量X 服从正态分布)1,0(N , 对给定的)1,0(∈α, 数αu 满足αu X P α=>}{,若αx X P =<}|{|, 则x 等于 (A) 2αu . (B) 21αu-. (C) 21αu -. (D) αu -1. [ ]三、解答题(本题共9小题,满分94分. 解答应写出文字说明、证明过程或演算步骤.) (15) (本题满分8分)求)cos sin1(lim 222xx xx -→.(16) (本题满分8分)求⎰⎰++Dd y yx σ)(22,其中D 是由圆422=+y x 和1)1(22=++y x 所围成的平面区域(如图).(17) (本题满分8分) 设f (x ) , g (x )在[a , b ]上连续,且满足⎰⎰≥xaxadt t g dt t f )()(,x ∈ [a , b ),⎰⎰=ba badt t g dt t f )()(.证明:⎰⎰≤ba ba dx x xg dx x xf )()(.(18) (本题满分9分) 设某商品的需求函数为Q = 100 - 5P ,其中价格P ∈ (0 , 20),Q 为需求量. (I) 求需求量对价格的弹性d E (d E > 0);(II) 推导)1(d E Q dPdR -=(其中R 为收益),并用弹性d E 说明价格在何范围内变化时,降低价格反而使收益增加. (19) (本题满分9分) 设级数)(864264242864+∞<<-∞+⋅⋅⋅+⋅⋅+⋅x xxx的和函数为S (x ). 求:(I) S (x )所满足的一阶微分方程; (II) S (x )的表达式. (20)(本题满分13分)设T α)0,2,1(1=, T ααα)3,2,1(2-+=, Tb αb α)2,2,1(3+---=, Tβ)3,3,1(-=,试讨论当b a ,为何值时,(Ⅰ) β不能由321,,ααα线性表示;(Ⅱ) β可由321,,ααα唯一地线性表示, 并求出表示式;(Ⅲ) β可由321,,ααα线性表示, 但表示式不唯一, 并求出表示式. (21) (本题满分13分) 设n 阶矩阵⎪⎪⎪⎪⎪⎭⎫⎝⎛=111bb b bb b A . (Ⅰ) 求A 的特征值和特征向量; (Ⅱ) 求可逆矩阵P , 使得AP P 1-为对角矩阵.(22) (本题满分13分)设A ,B 为两个随机事件,且41)(=A P , 31)|(=A B P , 21)|(=B A P , 令⎩⎨⎧=不发生,,发生,A A X 0,1 ⎩⎨⎧=.0,1不发生,发生,B B Y 求(Ⅰ) 二维随机变量),(Y X 的概率分布; (Ⅱ) X 与Y 的相关系数 XY ρ; (Ⅲ) 22Y XZ +=的概率分布.(23) (本题满分13分)设随机变量X 的分布函数为⎪⎩⎪⎨⎧≤>⎪⎭⎫ ⎝⎛-=,,,αx αx x αβαx F β0,1),,(其中参数1,0>>βα. 设n X X X ,,,21 为来自总体X 的简单随机样本,(Ⅰ) 当1=α时, 求未知参数β的矩估计量; (Ⅱ) 当1=α时, 求未知参数β的最大似然估计量; (Ⅲ) 当2=β时, 求未知参数α的最大似然估计量.2004年考研数学(三)真题解析一、填空题(本题共6小题,每小题4分,满分24分. 把答案填在题中横线上) (1) 若5)(cos sin lim=--→b x ae x xx ,则a =1,b =4-.【分析】本题属于已知极限求参数的反问题. 【详解】因为5)(cos sin lim=--→b x ae x xx ,且0)(cos sin lim 0=-⋅→b x x x ,所以0)(lim 0=-→a e xx ,得a = 1. 极限化为51)(cos lim)(cos sin lim=-=-=--→→b b x xx b x ae x x xx ,得b = -4.因此,a = 1,b = -4. 【评注】一般地,已知)()(limx g x f = A ,(1) 若g (x ) → 0,则f (x ) → 0;(2) 若f (x ) → 0,且A ≠ 0,则g (x ) → 0.(2) 设函数f (u , v )由关系式f [xg (y ) , y ] = x + g (y )确定,其中函数g (y )可微,且g (y ) ≠ 0,则)()(22v g v g vu f '-=∂∂∂.【分析】令u = xg (y ),v = y ,可得到f (u , v )的表达式,再求偏导数即可. 【详解】令u = xg (y ),v = y ,则f (u , v ) =)()(v g v g u +,所以,)(1v g uf =∂∂,)()(22v g v g vu f '-=∂∂∂.(3) 设⎪⎩⎪⎨⎧≥-<≤-=21,12121,)(2x x xe x f x ,则21)1(221-=-⎰dx x f .【分析】本题属于求分段函数的定积分,先换元:x - 1 = t ,再利用对称区间上奇偶函数的积分性质即可.【详解】令x - 1 = t ,⎰⎰⎰--==-121121221)()()1(dt x f dt t f dx x f=21)21(0)1(12121212-=-+=-+⎰⎰-dx dx xex.【评注】一般地,对于分段函数的定积分,按分界点划分积分区间进行求解. (4) 二次型213232221321)()()(),,(x x x x x x x x x f ++-++=的秩为 2 .【分析】二次型的秩即对应的矩阵的秩, 亦即标准型中平方项的项数, 于是利用初等变换或配方法均可得到答案. 【详解一】因为213232221321)()()(),,(x x x x x x x x x f ++-++=323121232221222222x x x x x x x x x -++++=于是二次型的矩阵为 ⎪⎪⎪⎭⎫⎝⎛--=211121112A , 由初等变换得 ⎪⎪⎪⎭⎫⎝⎛--→⎪⎪⎪⎭⎫⎝⎛---→000330211330330211A , 从而 2)(=A r , 即二次型的秩为2.【详解二】因为213232221321)()()(),,(x x x x x x x x x f ++-++=323121232221222222x x x x x x x x x -++++= 2322321)(23)2121(2x x x x x -+++=2221232y y +=,其中 ,21213211x x x y ++= 322x x y -=.所以二次型的秩为2.(5) 设随机变量X 服从参数为λ的指数分布, 则=>}{DX X Pe1.【分析】 根据指数分布的分布函数和方差立即得正确答案.【详解】 由于21λDX =, X 的分布函数为⎩⎨⎧≤>-=-.0,0,0,1)(x x e x F x λ故=>}{DX X P =≤-}{1DX X P =≤-}1{1λX P )1(1λF -e1=. 【评注】本题是对重要分布, 即指数分布的考查, 属基本题型.(6) 设总体X 服从正态分布),(21σμN , 总体Y 服从正态分布),(22σμN ,1,,21n XX X 和 2,,21n Y Y Y 分别是来自总体X 和Y 的简单随机样本, 则22121212)()(21σn n Y Y X X En j j n i i =⎥⎥⎥⎥⎥⎦⎤⎢⎢⎢⎢⎢⎣⎡-+-+-∑∑==.【分析】利用正态总体下常用统计量的数字特征即可得答案. 【详解】因为 2121])(11[1σX X n E n i i=--∑=, 2122])(11[2σY Y n E n j j=--∑=,故应填 2σ.【评注】本题是对常用统计量的数字特征的考查.二、选择题(本题共6小题,每小题4分,满分24分. 每小题给出的四个选项中,只有一项符合题目要求,把所选项前的字母填在题后的括号内) (7) 函数2)2)(1()2sin(||)(---=x x x x x x f 在下列哪个区间内有界. (A) (-1 , 0). (B) (0 , 1).(C) (1 , 2).(D) (2 , 3). [ A ] 【分析】如f (x )在(a , b )内连续,且极限)(limx f ax +→与)(limx f bx -→存在,则函数f (x )在(a , b )内有界.【详解】当x ≠ 0 , 1 , 2时,f (x )连续,而183sin )(lim1-=+-→x f x ,42sin )(lim-=-→x f x ,42sin )(lim=+→x f x ,∞=→)(lim 1x f x ,∞=→)(lim 2x f x ,所以,函数f (x )在(-1 , 0)内有界,故选(A).【评注】一般地,如函数f (x )在闭区间[a , b ]上连续,则f (x )在闭区间[a , b ]上有界;如函数f (x )在开区间(a , b )内连续,且极限)(limx f ax +→与)(limx f bx -→存在,则函数f (x )在开区间(a , b )内有界.(8) 设f (x )在(-∞ , +∞)内有定义,且a x f x =∞→)(lim ,⎪⎩⎪⎨⎧=≠=0,00,)1()(x x xf xg ,则 (A) x = 0必是g (x )的第一类间断点. (B) x = 0必是g (x )的第二类间断点.(C) x = 0必是g (x )的连续点.(D) g (x )在点x = 0处的连续性与a 的取值有关. [ D ] 【分析】考查极限)(lim 0x g x →是否存在,如存在,是否等于g (0)即可,通过换元xu 1=,可将极限)(lim 0x g x →转化为)(lim x f x ∞→.【详解】因为)(lim )1(lim )(lim 00u f xf xg u x x ∞→→→=== a (令x u 1=),又g (0) = 0,所以,当a = 0时,)0()(lim 0g x g x =→,即g (x )在点x = 0处连续,当a ≠ 0时,)0()(lim 0g x g x ≠→,即x = 0是g (x )的第一类间断点,因此,g (x )在点x = 0处的连续性与a 的取值有关,故选(D).【评注】本题属于基本题型,主要考查分段函数在分界点处的连续性. (9) 设f (x ) = |x (1 - x )|,则(A) x = 0是f (x )的极值点,但(0 , 0)不是曲线y = f (x )的拐点. (B) x = 0不是f (x )的极值点,但(0 , 0)是曲线y = f (x )的拐点. (C) x = 0是f (x )的极值点,且(0 , 0)是曲线y = f (x )的拐点.(D) x = 0不是f (x )的极值点,(0 , 0)也不是曲线y = f (x )的拐点. [ C ] 【分析】由于f (x )在x = 0处的一、二阶导数不存在,可利用定义判断极值情况,考查f (x )在x = 0的左、右两侧的二阶导数的符号,判断拐点情况.【详解】设0 < δ < 1,当x ∈ (-δ , 0) ⋃ (0 , δ)时,f (x ) > 0,而f (0) = 0,所以x = 0是f (x )的极小值点. 显然,x = 0是f (x )的不可导点. 当x ∈ (-δ , 0)时,f (x ) = -x (1 - x ),02)(>=''x f ,当x ∈ (0 , δ)时,f (x ) = x (1 - x ),02)(<-=''x f ,所以(0 , 0)是曲线y = f (x )的拐点.故选(C).【评注】对于极值情况,也可考查f (x )在x = 0的某空心邻域内的一阶导数的符号来判断. (10) 设有下列命题:(1) 若∑∞=-+1212)(n n n u u 收敛,则∑∞=1n n u 收敛.(2) 若∑∞=1n n u 收敛,则∑∞=+11000n n u 收敛.(3) 若1lim1>+∞→nn n u u ,则∑∞=1n n u 发散.(4) 若∑∞=+1)(n n n v u 收敛,则∑∞=1n n u ,∑∞=1n n v 都收敛.则以上命题中正确的是 (A) (1) (2). (B) (2) (3). (C) (3) (4). (D) (1) (4). [ B ]【分析】可以通过举反例及级数的性质来说明4个命题的正确性.【详解】(1)是错误的,如令nn u )1(-=,显然,∑∞=1n n u 分散,而∑∞=-+1212)(n n n u u 收敛.(2)是正确的,因为改变、增加或减少级数的有限项,不改变级数的收敛性. (3)是正确的,因为由1lim1>+∞→nn n u u 可得到n u 不趋向于零(n → ∞),所以∑∞=1n n u 发散.(4)是错误的,如令nv nu n n 1,1-==,显然,∑∞=1n n u ,∑∞=1n n v 都发散,而∑∞=+1)(n n n v u 收敛. 故选(B).【评注】本题主要考查级数的性质与收敛性的判别法,属于基本题型.(11) 设)(x f '在[a , b]上连续,且0)(,0)(<'>'b f a f ,则下列结论中错误的是 (A) 至少存在一点),(0b a x ∈,使得)(0x f > f (a ). (B) 至少存在一点),(0b a x ∈,使得)(0x f > f (b ). (C) 至少存在一点),(0b a x ∈,使得0)(0='x f .(D) 至少存在一点),(0b a x ∈,使得)(0x f = 0.[ D ]【分析】利用介值定理与极限的保号性可得到三个正确的选项,由排除法可选出错误选项. 【详解】首先,由已知)(x f '在[a , b]上连续,且0)(,0)(<'>'b f a f ,则由介值定理,至少存在一点),(0b a x ∈,使得0)(0='x f ;另外,0)()(lim)(>--='+→ax a f x f a f ax ,由极限的保号性,至少存在一点),(0b a x ∈使得0)()(00>--ax a f x f ,即)()(0a f x f >. 同理,至少存在一点),(0b a x ∈使得)()(0b f x f >. 所以,(A) (B) (C)都正确,故选(D).【评注】 本题综合考查了介值定理与极限的保号性,有一定的难度. (12) 设n 阶矩阵A 与B 等价, 则必有(A) 当)0(||≠=a a A 时, a B =||. (B) 当)0(||≠=a a A 时, a B -=||. (C) 当0||≠A 时, 0||=B . (D) 当0||=A 时, 0||=B . [ D ] 【分析】 利用矩阵A 与B 等价的充要条件: )()(B r A r =立即可得.【详解】因为当0||=A 时, n A r <)(, 又 A 与B 等价, 故n B r <)(, 即0||=B , 故选(D).【评注】本题是对矩阵等价、行列式的考查, 属基本题型.(13) 设n 阶矩阵A 的伴随矩阵,0*≠A 若4321,,,ξξξξ是非齐次线性方程组 b Ax =的 互不相等的解,则对应的齐次线性方程组0=Ax 的基础解系 (A) 不存在. (B) 仅含一个非零解向量.(C) 含有两个线性无关的解向量. (D) 含有三个线性无关的解向量. [ B ] 【分析】 要确定基础解系含向量的个数, 实际上只要确定未知数的个数和系数矩阵的秩. 【详解】 因为基础解系含向量的个数=)(A r n -, 而且⎪⎩⎪⎨⎧-<-===.1)(,0,1)(,1,)(,)(*n A r n A r n A r n A r 根据已知条件,0*≠A 于是)(A r 等于n 或1-n . 又b Ax =有互不相等的解, 即解不惟一, 故1)(-=n A r . 从而基础解系仅含一个解向量, 即选(B).【评注】本题是对矩阵A 与其伴随矩阵*A 的秩之间的关系、线性方程组解的结构等多个知识点的综合考查. (14) 设随机变量X 服从正态分布)1,0(N , 对给定的)1,0(∈α, 数αu 满足αu X P α=>}{,若αx X P =<}|{|, 则x 等于 (A) 2αu . (B) 21αu-. (C) 21αu -. (D) αu -1. [ C ]【分析】 利用标准正态分布密度曲线的对称性和几何意义即得. 【详解】 由αx X P =<}|{|, 以及标准正态分布密度曲线的对称性可得21}{αx X P -=>. 故正确答案为(C).【评注】本题是对标准正态分布的性质, 严格地说它的上分位数概念的考查.三、解答题(本题共9小题,满分94分. 解答应写出文字说明、证明过程或演算步骤.) (15) (本题满分8分) 求)cos sin1(lim 222xx xx -→.【分析】先通分化为“0”型极限,再利用等价无穷小与罗必达法则求解即可.【详解】xx xx x xx xx x 222220222sincos sinlim)cos sin1(lim -=-→→=346)4(21lim 64cos 1lim44sin 212lim2sin 41lim22230422==-=-=-→→→→xx xx xxx xxx x x x x .【评注】本题属于求未定式极限的基本题型,对于“00”型极限,应充分利用等价无穷小替换来简化计算.(16) (本题满分8分) 求⎰⎰++Dd y yx σ)(22,其中D 是由圆422=+y x 和1)1(22=++y x 所围成的平面区域(如图).【分析】首先,将积分区域D 分为大圆}4|),{(221≤+=y x y x D 减去小圆}1)1(|),{(222≤++=y x y x D ,再利用对称性与极坐标计算即可.【详解】令}1)1(|),{(},4|),{(222221≤++=≤+=y x y x D y x y x D ,由对称性,0=⎰⎰Dyd σ.⎰⎰⎰⎰⎰⎰+-+=+21222222D D Dd y x d y x d y x σσσ⎰⎰⎰⎰--=θπππθθcos 20223220220dr r d dr rd .)23(916932316-=-=ππ所以,)23(916)(22-=++⎰⎰πσDd y y x .【评注】本题属于在极坐标系下计算二重积分的基本题型,对于二重积分,经常利用对称性及将一个复杂区域划分为两个或三个简单区域来简化计算. (17) (本题满分8分) 设f (x ) , g (x )在[a , b ]上连续,且满足⎰⎰≥xaxadt t g dt t f )()(,x ∈ [a , b ),⎰⎰=ba badt t g dt t f )()(.证明:⎰⎰≤ba ba dx x xg dx x xf )()(.【分析】令F (x ) = f (x ) - g (x ),⎰=xa dt t F x G )()(,将积分不等式转化为函数不等式即可. 【详解】令F (x ) = f (x ) - g (x ),⎰=x a dtt F x G )()(,由题设G (x ) ≥ 0,x ∈ [a , b ],G (a ) = G (b ) = 0,)()(x F x G ='.从而⎰⎰⎰⎰-=-==babab ababadx x G dx x G x xG x xdG dx x xF )()()()()(,由于 G (x ) ≥ 0,x ∈ [a , b ],故有0)(≤-⎰ba dxx G ,即0)(≤⎰ba dx x xF .因此 ⎰⎰≤ba badx x xg dx x xf )()(.【评注】引入变限积分转化为函数等式或不等式是证明积分等式或不等式的常用的方法. (18) (本题满分9分) 设某商品的需求函数为Q = 100 - 5P ,其中价格P ∈ (0 , 20),Q 为需求量. (I) 求需求量对价格的弹性d E (d E > 0);(II) 推导)1(d E Q dPdR -=(其中R 为收益),并用弹性d E 说明价格在何范围内变化时,降低价格反而使收益增加.【分析】由于d E > 0,所以dPdQ Q P E d =;由Q = PQ 及dPdQ Q P E d =可推导)1(d E Q dPdR -=.【详解】(I) PP dPdQ Q P E d -==20.(II) 由R = PQ ,得)1()1(d E Q dPdQ Q P Q dPdQ PQ dPdR -=+=+=.又由120=-=PP E d ,得P = 10.当10 < P < 20时,d E > 1,于是0<dPdR ,故当10 < P < 20时,降低价格反而使收益增加.【评注】当d E > 0时,需求量对价格的弹性公式为dPdQ Q P dPdQ Q P E d -==.利用需求弹性分析收益的变化情况有以下四个常用的公式:Qdp E dR d )1(-=,Q E dpdR d )1(-=,p E dQdR d)11(-=,d E EpER -=1(收益对价格的弹性).(19) (本题满分9分) 设级数)(864264242864+∞<<-∞+⋅⋅⋅+⋅⋅+⋅x xxx的和函数为S (x ). 求:(I) S (x )所满足的一阶微分方程; (II) S (x )的表达式.【分析】对S (x )进行求导,可得到S (x )所满足的一阶微分方程,解方程可得S (x )的表达式. 【详解】(I) +⋅⋅⋅+⋅⋅+⋅=864264242)(864xxxx S ,易见 S (0) = 0,+⋅⋅+⋅+='642422)(753xxxx S)642422(642+⋅⋅+⋅+=xxxx)](2[2x S xx +=.因此S (x )是初值问题0)0(,23=+='y xxy y 的解.(II) 方程23xxy y +='的通解为]2[3C dx e x e y xdx xdx+⎰⎰=⎰-22212xCex+--=,由初始条件y(0) = 0,得C = 1.故12222-+-=xexy ,因此和函数12)(222-+-=xexx S .【评注】本题综合了级数求和问题与微分方程问题,2002年考过类似的题. (20)(本题满分13分)设T α)0,2,1(1=, T ααα)3,2,1(2-+=, Tb αb α)2,2,1(3+---=, Tβ)3,3,1(-=,试讨论当b a ,为何值时,(Ⅰ) β不能由321,,ααα线性表示;(Ⅱ) β可由321,,ααα唯一地线性表示, 并求出表示式;(Ⅲ) β可由321,,ααα线性表示, 但表示式不唯一, 并求出表示式.【分析】将β可否由321,,ααα线性表示的问题转化为线性方程组βαk αk αk =++332211是否有解的问题即易求解. 【详解】 设有数,,,321k k k 使得βαk αk αk =++332211. (*) 记),,(321αααA =. 对矩阵),(βA 施以初等行变换, 有⎥⎥⎥⎦⎤⎢⎢⎢⎣⎡-+---+-=323032221111),(ba ab a βA ⎥⎥⎥⎦⎤⎢⎢⎢⎣⎡---→00101111ba b a . (Ⅰ) 当0=a 时, 有⎥⎥⎥⎦⎤⎢⎢⎢⎣⎡---→101001111),(b βA . 可知),()(βA r A r ≠. 故方程组(*)无解, β不能由321,,ααα线性表示. (Ⅱ) 当0≠a , 且b a ≠时, 有⎥⎥⎥⎦⎤⎢⎢⎢⎣⎡---→00101111),(ba b a βA ⎥⎥⎥⎥⎥⎥⎦⎤⎢⎢⎢⎢⎢⎢⎣⎡-→01101011001a a 3),()(==βA r A r , 方程组(*)有唯一解:ak 111-=, ak 12=, 03=k .此时β可由321,,ααα唯一地线性表示, 其表示式为 211)11(αa αa β+-=.(Ⅲ) 当0≠=b a 时, 对矩阵),(βA 施以初等行变换, 有⎥⎥⎥⎦⎤⎢⎢⎢⎣⎡---→00101111),(ba b a βA ⎥⎥⎥⎥⎥⎥⎦⎤⎢⎢⎢⎢⎢⎢⎣⎡--→00111011001a a , 2),()(==βA r A r , 方程组(*)有无穷多解, 其全部解为ak 111-=, c ak +=12, c k =3, 其中c 为任意常数.β 可由321,,ααα线性表示, 但表示式不唯一, 其表示式为321)1()11(αc αc aαaβ+++-=.【评注】本题属于常规题型, 曾考过两次(1991, 2000).(21) (本题满分13分) 设n 阶矩阵⎪⎪⎪⎪⎪⎭⎫⎝⎛=111bb b bb b A . (Ⅰ) 求A 的特征值和特征向量; (Ⅱ) 求可逆矩阵P , 使得AP P1-为对角矩阵.【分析】这是具体矩阵的特征值和特征向量的计算问题, 通常可由求解特征方程0||=-A E λ和齐次线性方程组0)(=-x A E λ来解决.【详解】 (Ⅰ)1当0≠b 时,111||---------=-λbbb λb b b λA E λ=1)]1(][)1(1[------n b λb n λ ,得A 的特征值为b n λ)1(11-+=,b λλn -===12 . 对b n λ)1(11-+=,⎪⎪⎪⎪⎪⎭⎫⎝⎛---------=-b n bb b bn bbb b n A E λ)1()1()1(1→⎪⎪⎪⎪⎪⎭⎫⎝⎛---------)1(111)1(111)1(n n n→⎪⎪⎪⎪⎪⎪⎭⎫ ⎝⎛------------0000111111111111n n n →⎪⎪⎪⎪⎪⎪⎭⎫⎝⎛---------0000111111111111n n n→⎪⎪⎪⎪⎪⎪⎭⎫ ⎝⎛---0000001111n nn n n →⎪⎪⎪⎪⎪⎪⎭⎫⎝⎛---000110010101001解得T ξ)1,,1,1,1(1 =,所以A 的属于1λ的全部特征向量为 T k ξk )1,,1,1,1(1 = (k 为任意不为零的常数). 对b λ-=12,⎪⎪⎪⎪⎪⎭⎫⎝⎛---------=-b bb b b bb b bA E λ2→⎪⎪⎪⎪⎪⎭⎫⎝⎛000000111得基础解系为Tξ)0,,0,1,1(2 -=,Tξ)0,,1,0,1(3 -=,Tn ξ)1,,0,0,1(,-= .故A 的属于2λ的全部特征向量为n n ξk ξk ξk +++ 3322 (n k k k ,,,32 是不全为零的常数).2 当0=b 时,nλλλλA E λ)1(1010001||-=---=-,特征值为11===n λλ ,任意非零列向量均为特征向量.(Ⅱ)1当0≠b 时,A 有n 个线性无关的特征向量,令),,,(21n ξξξP =,则⎪⎪⎪⎪⎪⎭⎫⎝⎛---+=-b bb n AP P 11)1(112 当0=b 时,E A =,对任意可逆矩阵P , 均有E AP P=-1.【评注】本题通过考查矩阵的特征值和特征向量而间接考查了行列式的计算, 齐次线性方程组的求解和矩阵的对角化等问题, 属于有一点综合性的试题. 另外,本题的解题思路是容易的, 只要注意矩阵中含有一个未知参数, 从而一般要讨论其不同取值情况. (22) (本题满分13分)设A ,B 为两个随机事件,且41)(=A P , 31)|(=A B P , 21)|(=B A P , 令⎩⎨⎧=不发生,,发生,A A X 0,1 ⎩⎨⎧=.0,1不发生,发生,B B Y 求(Ⅰ) 二维随机变量),(Y X 的概率分布; (Ⅱ) X 与Y 的相关系数 XY ρ; (Ⅲ) 22Y XZ +=的概率分布.【分析】本题的关键是求出),(Y X 的概率分布,于是只要将二维随机变量),(Y X 的各取值对转化为随机事件A 和B 表示即可.【详解】 (Ⅰ) 因为 121)|()()(==A B P A P AB P , 于是 61)|()()(==B A P AB P B P ,则有 121)(}1,1{====AB P Y X P ,61)()()(}0,1{=-====AB P A P B A P Y X P , 121)()()(}1,0{=-====AB P B P B A P Y X P ,32)]()()([1)(1)(}0,0{=-+-=⋃-=⋅===AB P B P A P B A P B A P Y X P ,( 或 32121611211}0,0{=---===Y X P ),即),(Y X 的概率分布为:Y X0 1 0 132 12161121(Ⅱ) 方法一:因为 41)(==A P EX ,61)(==B P EY ,121)(=XY E ,41)(2==A P EX,61)(2==B P EY,163)(22=-=EX EX DX ,165)(22=-=EY EYDY ,241)(),(=-=EXEY XY E Y X Cov , 所以X 与Y 的相关系数 1515151),(==⋅=DYDX Y X Cov ρXY .方法二: X, Y 的概率分布分别为X 0 1 Y 0 1 P 4341 P 65 61则61,41==EY EX ,163=DX ,DY=365, E(XY)=121,故 241)(),(=⋅-=EY EX XY E Y X Cov ,从而.1515),(=⋅=DYDX Y X Cov XY ρ(Ⅲ) Z 的可能取值为:0,1,2 .32}0,0{}0{=====Y X P Z P ,41}1,0{}0,1{}1{===+====Y X P Y X P Z P ,121}1,1{}2{=====Y X P Z P ,即Z 的概率分布为:Z 0 1 2 P32 41121【评注】本题考查了二维离散随机变量联合概率分布,数字特征和二维离散随机变量函数的分布等计算问题,属于综合性题型 (23) (本题满分13分)设随机变量X 的分布函数为⎪⎩⎪⎨⎧≤>⎪⎭⎫ ⎝⎛-=,,,αx αx x αβαx F β0,1),,(其中参数1,0>>βα. 设n X X X ,,,21 为来自总体X 的简单随机样本,(Ⅰ) 当1=α时, 求未知参数β的矩估计量; (Ⅱ) 当1=α时, 求未知参数β的最大似然估计量; (Ⅲ) 当2=β时, 求未知参数α的最大似然估计量.【分析】本题是一个常规题型, 只要注意求连续型总体未知参数的矩估计和最大似然估计都须已知密度函数, 从而先由分布函数求导得密度函数.【详解】 当1=α时, X 的概率密度为⎪⎩⎪⎨⎧≤>=+,,,101,),(1x x x ββx f β(Ⅰ) 由于⎰⎰+∞++∞∞--=⋅==11,1);(ββdx xβx dx βx xf EX β令X ββ=-1, 解得 1-=X X β,所以, 参数β的矩估计量为 1-=X X β.(Ⅱ) 对于总体X 的样本值n x x x ,,,21 , 似然函数为∏=+⎪⎩⎪⎨⎧=>==ni i βn ni n i x x x x βαx f βL 1121.,0),,,2,1(1,)();()(其他当),,2,1(1n i x i =>时, 0)(>βL , 取对数得∑=+-=ni i x ββn βL 1ln )1(ln )(ln ,对β求导数,得∑=-=ni i x βn βd βL d 1ln)]([ln ,令0ln )]([ln 1=-=∑=ni i x βn βd βL d , 解得 ∑==ni ix nβ1ln, 于是β的最大似然估计量为 ∑==ni ix nβ1lnˆ. ( Ⅲ) 当2=β时, X 的概率密度为⎪⎩⎪⎨⎧≤>=,,,αx αx x αβx f 0,2),(32对于总体X 的样本值n x x x ,,,21 , 似然函数为∏=⎪⎩⎪⎨⎧=>==ni i n nn i n i αx x x x ααx f βL 13212.,0),,,2,1(,)(2);()(其他当),,2,1(n i αx i =>时, α越大,)(αL 越大, 即α的最大似然估计值为 },,,min{ˆ21n x x x α=, 于是α的最大似然估计量为},,,min{ˆ21n X X X α=.。
考研数学三(多元函数微积分学)历年真题试卷汇编1(题后含答案及解析)题型有:1. 选择题 2. 填空题 3. 解答题选择题下列每题给出的四个选项中,只有一个选项符合题目要求。
1.[2008年] 设则( ).A.fx’(0,0),fy’(0,0)都存在B.fx’(0,0)不存在,fy’(0,0)存在C.fx’(0,0)存在,fy’(0,0)不存在D.fx’(0,0),fy’(0,o)都不存在正确答案:B解析:因而则极限不存在,故偏导数fx’(0,0)不存在.而因而偏导数fy’(0,0)存在.仅(B)入选.知识模块:多元函数微积分学2.[2003年] 设可微函数f(x,y)在点(x0,y0)处取得极小值,则下列结论正确的是( ).A.f(x0,y)在y=y0处的导数大于零B.f(x0,y)在y=y0处的导数等于零C.f(x0,y)在y=y0处的导数小于零D.f(x0,y)在y=y0处的导数不存在正确答案:B解析:解一因f(x,y)在点(x0,y0)处可微,故f(x,y)在点(x0,y0)处两个偏导数存在,因而一元函数f(x0,y)在y=y0处的导数也存在.又因f(x,y)在点(x0,y0)处取得极小值,故f(x0,y0)在y=y0处的一阶(偏)导数等于零.仅(B)入选.解二由函数f(x,y)在点(x0,y0)处可微知,f(x.y)在点(x0,y0)处的两个偏导数存在.又由二元函数极值的必要条件即得f(x,y)在点(x0,y0)处的两个偏导数都等于零.因而有知识模块:多元函数微积分学3.[2016年] 已知函数则( ).A.fx’-fy’=0B.fx’+fy’=0C.fx’-fy’=fD.fx’+fy’=f正确答案:D解析:则仅(D)入选.知识模块:多元函数微积分学4.[2017年] 二元函数z=xy(3-x-y)的极值点为( ).A.(0,0)B.(0,3)C.(3,0)D.(1,1)正确答案:D解析:zy’=y(3-x-y)-xy=y(3-2x-y),zy’=x(3-x-y)-xy=x(3-x-2y),又zxx’=-2y,zxy=3-2x-2y,zyy’=-2x,将选项的值代入可知,只有(D)符合要求,即A=zxx”(1,1)=-2,B=zxy”(1,1)=-1,C=zyy”(1,1)=-2.满足B2-AC=-3<0,且A=-2<0,故点(1,1)为极大值点.仅(D)入选.知识模块:多元函数微积分学5.[2006年] 设f(x,y)与φ(z,y)均为可微函数,且φy’(x,y)≠0,已知(x0,y0)是f(x,y)在约束条件φ(x,Y)=0下的一个极值点,下列选项正确的是( ).A.若fx’(x0,y0)=0,则fy’(x0,y0)=0B.若fx’(x0,y0)=0,则f’y(x0,y0)≠0C.若fx’(x0,y0)≠0,则fy’(x0,y0)=0D.若fx’(x0,y0)≠0,则f’y(x0,y0)≠0正确答案:D解析:解一由拉格朗日乘数法知,若(x0,y0)是f(x,y)在条件φ(x,y)=0下的极值点,则必有fx’(x0,y0)+λφx’(x0,y0)=0,①fx’(x0,y0)+λφx’(x0,y0)=0.②若fx’(x0,y0)≠0,由式①知λ≠0.又由题设有φy’(x0,y0)≠0,再由式②知fy’(x0,y0)≠0.仅(D)入选.解二构造拉格朗日函数F(x,y,λ)=f(x,y)+λφ(x,y),并记对应于极值点(x0,y0)处的参数的值为λ0,则由式③与式④消去λ0得到fx’(x0,y0)/φx’(0,y0)=一λ0=f’y(x0,y0)/φ’y(x0,y0).即f’x(x0,y0)φ’y(x0,y0)一fy’(x0,y0)φx’(x0,y0)=0.整理得若fx’(x0,y0)≠0,则由式③知,φx’(x0,y0)≠0.因而fy’(x0,y0)≠0.仅(D)入选.解三由题设φy’(x,y)≠0知,φ(x,y)=0确定隐函数y=y(x).将其代入f(x,y)中得到f(x,y(x)).此为一元复合函数.在φ(x,y)=0两边对x求导,得到因f(x,y(x))在x=x0处取得极值,由其必要条件得到f’x+fy’y’=fx’+fy’(一φx’/φy’)=0.因而当fx’(x0,y0)≠0时,必有fy’(x0,y0)≠0.仅(D)入选.知识模块:多元函数微积分学填空题6.[2012年] 设连续函数z=f(x,y)满足则dz|(0,1)=__________.正确答案:2dx-dy解析:用函数f(x,y)在(x0,y0)处的微分定义:与所给极限比较易知:z=f(x,y)在点(0,1)处可微,且fx’(0,1)=2,fy’(0,1)=-1,f(0,1)=1,故dz|(0,1)=fx’(0,1)dx+fy’(0,1)dy=2dx-dy.知识模块:多元函数微积分学7.[2009年] 设z=(x+ey)x,则正确答案:2ln2+1解析:解一为简化计算,先将y=0代入z中得到z(x,0)=(x+1)x,z为一元函数.将x=1代入上式,得到解二考虑到z(x,0)=(x+1)x为幂指函数,先取对数再求导数:lnz=xln(x+1).在其两边对x求导,得到则知识模块:多元函数微积分学8.[2007年] 设f(u,v)是二元可微函数,则正确答案:解析:解一设u=y/x,v=x/y.为方便计,下面用“树形图”表示复合层次与过程.由式①一式②得到解二令f1’,f2’分别表示z=f(y/x,x /y)对第1个和第2个中间变量y/x、x/y求导数,则知识模块:多元函数微积分学9.[2004年] 函数f(u,v)由关系式f[xg(y),y]=x+g(y)确定,其中函数g(y)可微,且g(y)≠0,则正确答案:解析:令u=xg(y),v=y,由此解出于是知识模块:多元函数微积分学10.[2005年] 设二元函数z=xex+y+(x+1)ln(1+y),则dz|(1,0)=_________.正确答案:2edx+(e+2)dy解析:dz=d[xex+y+(x+1)ln(1+y)]=d(xex+y)+d[(x+1)ln(1+y)] =ex+ydx+xex+y(dx+dy)+ln(1+y)dx+[(x+1)/(1+y)]dy.①将x=1,y=0代入上式(其中dz,dx,dy不变),得到dz|(1,0)=edx+e(dx+dy)+2dy=2edx+(e+2)dy.解二利用全微分公式求之.为此,先求出偏导数故解三用定义简化法求之.固定一个变量转化为另一个变量的一元函数求导.由z(x,0)=xex得到由z(1,y)=ey+2ln(1+y)得到故知识模块:多元函数微积分学11.[2006年] 设函数f(u)可微,且f’(0)=1/2,则z=f(4x2-y2)在点(1,2)处的全微分dz|1,2=___________.正确答案:4dx一2dy解析:解一dz=df(4x2-y2)=f’(u)du=f’(u)d(4x2-y2)=f’(u)(8xdx-2ydy),其中u=4x2-y2.于是dz|1,2=f’(0)(8dx-4dy)=4dx-2dy.解二利用复合函数求导公式和定义简化法求之.由z=f(4x2-y2)得到解三由z=f(4x2-y2)得到于是故dz|1,2=4dx-2dy.知识模块:多元函数微积分学12.[2011年] 设函数则dz|1,1=____________.正确答案:(1+2ln2)(dx—dy)解析:解一所给函数为幂指函数,先在所给方程两边取对数,然后分别对x,y求偏导:由得到则解二先用定义简化法求出然后代入全微分公式求解.故dz|1,1=2(ln2+1/2)dx-2(ln2+1/2)dy=(1+2ln2)(dx-dy).知识模块:多元函数微积分学13.[2015年] 若函数z=z(x,y)由方程ex+2y+3z+xyz=1确定,则dz|0,0=_______________.正确答案:解析:在ex+2y+3z+xyz=1①两边分别对x,y求偏导得到同法可得将x=0,y=0代入式①易求得z=0,代入式②、式③分别得到则知识模块:多元函数微积分学14.[2014年] 二次积分正确答案:解析:注意到不易求出,需先交换积分次序,由积分区域的表达式D={(x,y)|y≤x≤1,0≤y≤1)-{(x,y)|0≤y≤x,0≤x≤1}及交换积分次序得到故知识模块:多元函数微积分学解答题解答应写出文字说明、证明过程或演算步骤。
2004年考研数学(三)真题一、填空题(本题共6小题,每小题4分,满分24分. 把答案填在题中横线上) (1) 若5)(cos sin lim0=--→b x ae xx x ,则a =______,b =______.(2) 设函数f (u , v )由关系式f [xg (y ) , y ] = x + g (y )确定,其中函数g (y )可微,且g (y ) ≠ 0,则2fu v ∂=∂∂.(3) 设⎪⎩⎪⎨⎧≥-<≤-=21,12121,)(2x x xe x f x ,则212(1)f x dx -=⎰.(4) 二次型2132********)()()(),,(x x x x x x x x x f ++-++=的秩为 .(5) 设随机变量X 服从参数为λ的指数分布, 则=>}{DX X P _______.(6) 设总体X 服从正态分布),(21σμN , 总体Y 服从正态分布),(22σμN ,1,,21n X X X 和 2,,21n Y Y Y 分别是来自总体X 和Y 的简单随机样本, 则12221112()()2n n i j i j X X Y Y E n n ==⎡⎤-+-⎢⎥⎢⎥=⎢⎥+-⎢⎥⎢⎥⎣⎦∑∑.二、选择题(本题共6小题,每小题4分,满分24分. 每小题给出的四个选项中,只有一项符合题目要求,把所选项前的字母填在题后的括号内) (7) 函数2)2)(1()2sin(||)(---=x x x x x x f 在下列哪个区间内有界. (A) (-1 , 0).(B) (0 , 1).(C) (1 , 2).(D) (2 , 3). [ ](8) 设f (x )在(-∞ , +∞)内有定义,且a x f x =∞→)(lim , ⎪⎩⎪⎨⎧=≠=0,00,)1()(x x x f x g ,则(A) x = 0必是g (x )的第一类间断点. (B) x = 0必是g (x )的第二类间断点.(C) x = 0必是g (x )的连续点.(D) g (x )在点x = 0处的连续性与a 的取值有关. [ ] (9) 设f (x ) = |x (1 - x )|,则(A) x = 0是f (x )的极值点,但(0 , 0)不是曲线y = f (x )的拐点. (B) x = 0不是f (x )的极值点,但(0 , 0)是曲线y = f (x )的拐点. (C) x = 0是f (x )的极值点,且(0 , 0)是曲线y = f (x )的拐点.(D) x = 0不是f (x )的极值点,(0 , 0)也不是曲线y = f (x )的拐点. [ ] (10) 设有下列命题:(1) 若∑∞=-+1212)(n n n u u 收敛,则∑∞=1n n u 收敛.(2) 若∑∞=1n n u 收敛,则∑∞=+11000n n u 收敛.(3) 若1lim1>+∞→nn n u u ,则∑∞=1n n u 发散. (4) 若∑∞=+1)(n n n v u 收敛,则∑∞=1n n u ,∑∞=1n n v 都收敛.则以上命题中正确的是(A) (1) (2). (B) (2) (3).(C) (3) (4). (D) (1) (4). [ ](11) 设)(x f '在[a , b]上连续,且0)(,0)(<'>'b f a f ,则下列结论中错误的是 (A) 至少存在一点),(0b a x ∈,使得)(0x f > f (a ). (B) 至少存在一点),(0b a x ∈,使得)(0x f > f (b ). (C) 至少存在一点),(0b a x ∈,使得0)(0='x f .(D) 至少存在一点),(0b a x ∈,使得)(0x f = 0.[ D ](12) 设n 阶矩阵A 与B 等价, 则必有(A) 当)0(||≠=a a A 时, a B =||. (B) 当)0(||≠=a a A 时, a B -=||. (C) 当0||≠A 时, 0||=B . (D) 当0||=A 时, 0||=B . [ ] (13) 设n 阶矩阵A 的伴随矩阵,0*≠A 若4321,,,ξξξξ是非齐次线性方程组 b Ax =的互不相等的解,则对应的齐次线性方程组0=Ax 的基础解系 (A) 不存在. (B) 仅含一个非零解向量.(C) 含有两个线性无关的解向量. (D) 含有三个线性无关的解向量.[ ](14) 设随机变量X 服从正态分布)1,0(N , 对给定的)1,0(∈α, 数αu 满足αu X P α=>}{,若αx X P =<}|{|, 则x 等于 (A) 2αu . (B) 21αu-. (C) 21αu -. (D) αu -1. [ ]三、解答题(本题共9小题,满分94分. 解答应写出文字说明、证明过程或演算步骤.) (15) (本题满分8分)求)cos sin 1(lim 2220xxx x -→. (16) (本题满分8分)求⎰⎰++Dd y y x σ)(22,其中D 是由圆422=+y x 和1)1(22=++y x 所围成的 平面区域(如图).(17) (本题满分8分) 设f (x ) , g (x )在[a , b ]上连续,且满足⎰⎰≥x axadt t g dt t f )()(,x ∈ [a , b ),⎰⎰=bab adt t g dt t f )()(.证明:⎰⎰≤baba dx x xg dx x xf )()(.(18) (本题满分9分) 设某商品的需求函数为Q = 100 - 5P ,其中价格P ∈ (0 , 20),Q 为需求量. (I) 求需求量对价格的弹性d E (d E > 0);(II) 推导)1(d E Q dPdR-=(其中R 为收益),并用弹性d E 说明价格在何范围内变化时, 降低价格反而使收益增加. (19) (本题满分9分) 设级数)(864264242864+∞<<-∞+⋅⋅⋅+⋅⋅+⋅x x x x 的和函数为S (x ). 求:(I) S (x )所满足的一阶微分方程; (II) S (x )的表达式. (20)(本题满分13分)设T α)0,2,1(1=, T ααα)3,2,1(2-+=, T b αb α)2,2,1(3+---=, Tβ)3,3,1(-=,试讨论当b a ,为何值时,(Ⅰ) β不能由321,,ααα线性表示;(Ⅱ) β可由321,,ααα唯一地线性表示, 并求出表示式;(Ⅲ) β可由321,,ααα线性表示, 但表示式不唯一, 并求出表示式. (21) (本题满分13分) 设n 阶矩阵⎪⎪⎪⎪⎪⎭⎫ ⎝⎛=111b b b b b b A . (Ⅰ) 求A 的特征值和特征向量;(Ⅱ) 求可逆矩阵P , 使得AP P 1-为对角矩阵. (22) (本题满分13分)设A ,B 为两个随机事件,且41)(=A P , 31)|(=AB P , 21)|(=B A P , 令 ⎩⎨⎧=不发生,,发生,A A X 0,1 ⎩⎨⎧=.0,1不发生,发生,B B Y 求(Ⅰ) 二维随机变量),(Y X 的概率分布; (Ⅱ) X 与Y 的相关系数 XY ρ; (Ⅲ) 22Y X Z +=的概率分布. (23) (本题满分13分)设随机变量X 的分布函数为⎪⎩⎪⎨⎧≤>⎪⎭⎫ ⎝⎛-=,,,αx αx x αβαx F β0,1),,( 其中参数1,0>>βα. 设n X X X ,,,21 为来自总体X 的简单随机样本,(Ⅰ) 当1=α时, 求未知参数β的矩估计量; (Ⅱ) 当1=α时, 求未知参数β的最大似然估计量; (Ⅲ) 当2=β时, 求未知参数α的最大似然估计量.2004年考研数学(三)真题解析一、填空题(本题共6小题,每小题4分,满分24分. 把答案填在题中横线上) (1) 若5)(cos sin lim0=--→b x ae xx x ,则a =1,b =4-.【分析】本题属于已知极限求参数的反问题. 【详解】因为5)(cos sin lim0=--→b x a e xx x ,且0)(cos sin lim 0=-⋅→b x x x ,所以0)(lim 0=-→a e x x ,得a = 1. 极限化为51)(cos lim )(cos sin lim00=-=-=--→→b b x x x b x a e x x x x ,得b = -4.因此,a = 1,b = -4. 【评注】一般地,已知)()(limx g x f = A , (1) 若g (x ) → 0,则f (x ) → 0;(2) 若f (x ) → 0,且A ≠ 0,则g (x ) → 0.(2) 设函数f (u , v )由关系式f [xg (y ) , y ] = x + g (y )确定,其中函数g (y )可微,且g (y ) ≠ 0,则)()(22v g v g vu f'-=∂∂∂.【分析】令u = xg (y ),v = y ,可得到f (u , v )的表达式,再求偏导数即可. 【详解】令u = xg (y ),v = y ,则f (u , v ) =)()(v g v g u+,所以,)(1v g u f =∂∂,)()(22v g v g v u f '-=∂∂∂. (3) 设⎪⎩⎪⎨⎧≥-<≤-=21,12121,)(2x x xe x f x ,则21)1(221-=-⎰dx x f .【分析】本题属于求分段函数的定积分,先换元:x - 1 = t ,再利用对称区间上奇偶函数的积分性质即可.【详解】令x - 1 = t ,⎰⎰⎰--==-121121221)()()1(dt x f dt t f dx x f=21)21(0)1(12121212-=-+=-+⎰⎰-dx dx xe x .【评注】一般地,对于分段函数的定积分,按分界点划分积分区间进行求解.(4) 二次型2132********)()()(),,(x x x x x x x x x f ++-++=的秩为 2 .【分析】二次型的秩即对应的矩阵的秩, 亦即标准型中平方项的项数, 于是利用初等变换或配方法均可得到答案.【详解一】因为2132********)()()(),,(x x x x x x x x x f ++-++=323121232221222222x x x x x x x x x -++++=于是二次型的矩阵为 ⎪⎪⎪⎭⎫ ⎝⎛--=211121112A ,由初等变换得 ⎪⎪⎪⎭⎫ ⎝⎛--→⎪⎪⎪⎭⎫ ⎝⎛---→000330211330330211A ,从而 2)(=A r , 即二次型的秩为2.【详解二】因为2132********)()()(),,(x x x x x x x x x f ++-++=323121232221222222x x x x x x x x x -++++= 2322321)(23)2121(2x x x x x -+++= 2221232y y +=,其中 ,21213211x x x y ++= 322x x y -=.所以二次型的秩为2.(5) 设随机变量X 服从参数为λ的指数分布, 则=>}{DX X Pe1. 【分析】 根据指数分布的分布函数和方差立即得正确答案. 【详解】 由于21λDX =, X 的分布函数为 ⎩⎨⎧≤>-=-.0,0,0,1)(x x e x F x λ故=>}{DX X P =≤-}{1DX X P =≤-}1{1λX P )1(1λF -e1=.【评注】本题是对重要分布, 即指数分布的考查, 属基本题型.(6) 设总体X 服从正态分布),(21σμN , 总体Y 服从正态分布),(22σμN ,1,,21n X X X 和 2,,21n Y Y Y 分别是来自总体X 和Y 的简单随机样本, 则22121212)()(21σn n Y Y X X En j j n i i =⎥⎥⎥⎥⎥⎦⎤⎢⎢⎢⎢⎢⎣⎡-+-+-∑∑==.【分析】利用正态总体下常用统计量的数字特征即可得答案.【详解】因为 2121])(11[1σX X n E n i i =--∑=, 2122])(11[2σY Y n E n j j =--∑=, 故应填 2σ.【评注】本题是对常用统计量的数字特征的考查.二、选择题(本题共6小题,每小题4分,满分24分. 每小题给出的四个选项中,只有一项符合题目要求,把所选项前的字母填在题后的括号内) (7) 函数2)2)(1()2sin(||)(---=x x x x x x f 在下列哪个区间内有界. (A) (-1 , 0). (B) (0 , 1).(C) (1 , 2).(D) (2 , 3). [ A ]【分析】如f (x )在(a , b )内连续,且极限)(lim x f a x +→与)(lim x f b x -→存在,则函数f (x )在(a , b )内有界.【详解】当x ≠ 0 , 1 , 2时,f (x )连续,而183sin )(lim1-=+-→x f x ,42sin )(lim 0-=-→x f x ,42sin )(lim 0=+→x f x ,∞=→)(lim 1x f x ,∞=→)(lim 2x f x , 所以,函数f (x )在(-1 , 0)内有界,故选(A).【评注】一般地,如函数f (x )在闭区间[a , b ]上连续,则f (x )在闭区间[a , b ]上有界;如函数f (x )在开区间(a , b )内连续,且极限)(lim x f a x +→与)(lim x f b x -→存在,则函数f (x )在开区间(a , b )内有界.(8) 设f (x )在(-∞ , +∞)内有定义,且a x f x =∞→)(lim ,⎪⎩⎪⎨⎧=≠=0,00,)1()(x x xf xg ,则 (A) x = 0必是g (x )的第一类间断点. (B) x = 0必是g (x )的第二类间断点.(C) x = 0必是g (x )的连续点.(D) g (x )在点x = 0处的连续性与a 的取值有关. [ D ] 【分析】考查极限)(lim 0x g x →是否存在,如存在,是否等于g (0)即可,通过换元xu 1=,可将极限)(lim 0x g x →转化为)(lim x f x ∞→.【详解】因为)(lim )1(lim )(lim 0u f x f x g u x x ∞→→→=== a (令xu 1=),又g (0) = 0,所以,当a = 0时,)0()(lim 0g x g x =→,即g (x )在点x = 0处连续,当a ≠ 0时,)0()(lim 0g x g x ≠→,即x = 0是g (x )的第一类间断点,因此,g (x )在点x = 0处的连续性与a 的取值有关,故选(D).【评注】本题属于基本题型,主要考查分段函数在分界点处的连续性. (9) 设f (x ) = |x (1 - x )|,则(A) x = 0是f (x )的极值点,但(0 , 0)不是曲线y = f (x )的拐点. (B) x = 0不是f (x )的极值点,但(0 , 0)是曲线y = f (x )的拐点. (C) x = 0是f (x )的极值点,且(0 , 0)是曲线y = f (x )的拐点.(D) x = 0不是f (x )的极值点,(0 , 0)也不是曲线y = f (x )的拐点. [ C ] 【分析】由于f (x )在x = 0处的一、二阶导数不存在,可利用定义判断极值情况,考查f (x )在x = 0的左、右两侧的二阶导数的符号,判断拐点情况.【详解】设0 < δ < 1,当x ∈ (-δ , 0) ⋃ (0 , δ)时,f (x ) > 0,而f (0) = 0,所以x = 0是f (x )的极小值点. 显然,x = 0是f (x )的不可导点. 当x ∈ (-δ , 0)时,f (x ) = -x (1 - x ),02)(>=''x f ,当x ∈ (0 , δ)时,f (x ) = x (1 - x ),02)(<-=''x f ,所以(0 , 0)是曲线y = f (x )的拐点.故选(C).【评注】对于极值情况,也可考查f (x )在x = 0的某空心邻域内的一阶导数的符号来判断. (10) 设有下列命题:(1) 若∑∞=-+1212)(n n n u u 收敛,则∑∞=1n n u 收敛.(2) 若∑∞=1n n u 收敛,则∑∞=+11000n n u 收敛.(3) 若1lim1>+∞→nn n u u ,则∑∞=1n n u 发散. (4) 若∑∞=+1)(n n n v u 收敛,则∑∞=1n n u ,∑∞=1n n v 都收敛.则以上命题中正确的是 (A) (1) (2). (B) (2) (3). (C) (3) (4). (D) (1) (4). [ B ]【分析】可以通过举反例及级数的性质来说明4个命题的正确性. 【详解】(1)是错误的,如令nn u )1(-=,显然,∑∞=1n n u 分散,而∑∞=-+1212)(n n n u u 收敛.(2)是正确的,因为改变、增加或减少级数的有限项,不改变级数的收敛性.(3)是正确的,因为由1lim1>+∞→nn n u u 可得到n u 不趋向于零(n → ∞),所以∑∞=1n n u 发散. (4)是错误的,如令n v n u n n 1,1-==,显然,∑∞=1n n u ,∑∞=1n n v 都发散,而∑∞=+1)(n n n v u 收敛. 故选(B).【评注】本题主要考查级数的性质与收敛性的判别法,属于基本题型.(11) 设)(x f '在[a , b]上连续,且0)(,0)(<'>'b f a f ,则下列结论中错误的是 (A) 至少存在一点),(0b a x ∈,使得)(0x f > f (a ). (B) 至少存在一点),(0b a x ∈,使得)(0x f > f (b ). (C) 至少存在一点),(0b a x ∈,使得0)(0='x f .(D) 至少存在一点),(0b a x ∈,使得)(0x f = 0.[ D ]【分析】利用介值定理与极限的保号性可得到三个正确的选项,由排除法可选出错误选项. 【详解】首先,由已知)(x f '在[a , b]上连续,且0)(,0)(<'>'b f a f ,则由介值定理,至少存在一点),(0b a x ∈,使得0)(0='x f ;另外,0)()(lim)(>--='+→ax a f x f a f a x ,由极限的保号性,至少存在一点),(0b a x ∈使得0)()(00>--ax a f x f ,即)()(0a f x f >. 同理,至少存在一点),(0b a x ∈使得)()(0b f x f >. 所以,(A) (B) (C)都正确,故选(D).【评注】 本题综合考查了介值定理与极限的保号性,有一定的难度. (12) 设n 阶矩阵A 与B 等价, 则必有(A) 当)0(||≠=a a A 时, a B =||. (B) 当)0(||≠=a a A 时, a B -=||. (C) 当0||≠A 时, 0||=B . (D) 当0||=A 时, 0||=B . [ D ] 【分析】 利用矩阵A 与B 等价的充要条件: )()(B r A r =立即可得.【详解】因为当0||=A 时, n A r <)(, 又 A 与B 等价, 故n B r <)(, 即0||=B , 故选(D).【评注】本题是对矩阵等价、行列式的考查, 属基本题型.(13) 设n 阶矩阵A 的伴随矩阵,0*≠A 若4321,,,ξξξξ是非齐次线性方程组 b Ax =的 互不相等的解,则对应的齐次线性方程组0=Ax 的基础解系 (A) 不存在. (B) 仅含一个非零解向量.(C) 含有两个线性无关的解向量. (D) 含有三个线性无关的解向量. [ B ] 【分析】 要确定基础解系含向量的个数, 实际上只要确定未知数的个数和系数矩阵的秩. 【详解】 因为基础解系含向量的个数=)(A r n -, 而且⎪⎩⎪⎨⎧-<-===.1)(,0,1)(,1,)(,)(*n A r n A r n A r n A r根据已知条件,0*≠A 于是)(A r 等于n 或1-n . 又b Ax =有互不相等的解, 即解不惟一, 故1)(-=n A r . 从而基础解系仅含一个解向量, 即选(B).【评注】本题是对矩阵A 与其伴随矩阵*A 的秩之间的关系、线性方程组解的结构等多个知识点的综合考查. (14) 设随机变量X 服从正态分布)1,0(N , 对给定的)1,0(∈α, 数αu 满足αu X P α=>}{,若αx X P =<}|{|, 则x 等于 (A) 2αu . (B) 21αu-. (C) 21αu -. (D) αu -1. [ C ]【分析】 利用标准正态分布密度曲线的对称性和几何意义即得. 【详解】 由αx X P =<}|{|, 以及标准正态分布密度曲线的对称性可得21}{αx X P -=>. 故正确答案为(C). 【评注】本题是对标准正态分布的性质, 严格地说它的上分位数概念的考查.三、解答题(本题共9小题,满分94分. 解答应写出文字说明、证明过程或演算步骤.) (15) (本题满分8分)求)cos sin 1(lim 2220xxx x -→. 【分析】先通分化为“”型极限,再利用等价无穷小与罗必达法则求解即可. 【详解】xx xx x x x x x x 2222202220sin cos sin lim )cos sin 1(lim -=-→→=346)4(21lim 64cos 1lim 44sin 212lim 2sin 41lim 22020304220==-=-=-→→→→xx x x x x x x x x x x x x .【评注】本题属于求未定式极限的基本题型,对于“0”型极限,应充分利用等价无穷小替换来简化计算. (16) (本题满分8分) 求⎰⎰++Dd y y x σ)(22,其中D 是由圆422=+y x 和1)1(22=++y x 所围成的平面区域(如图).【分析】首先,将积分区域D 分为大圆}4|),{(221≤+=y x y x D 减去小圆}1)1(|),{(222≤++=y x y x D ,再利用对称性与极坐标计算即可.【详解】令}1)1(|),{(},4|),{(222221≤++=≤+=y x y x D y x y x D ,由对称性,0=⎰⎰Dyd σ.⎰⎰⎰⎰⎰⎰+-+=+21222222D D Dd y x d y x d y x σσσ⎰⎰⎰⎰--=θπππθθcos 20223220220dr r d dr r d .)23(916932316-=-=ππ所以,)23(916)(22-=++⎰⎰πσDd y y x . 【评注】本题属于在极坐标系下计算二重积分的基本题型,对于二重积分,经常利用对称性及将一个复杂区域划分为两个或三个简单区域来简化计算. (17) (本题满分8分) 设f (x ) , g (x )在[a , b ]上连续,且满足⎰⎰≥x axadt t g dt t f )()(,x ∈ [a , b ),⎰⎰=bab adt t g dt t f )()(.证明:⎰⎰≤baba dx x xg dx x xf )()(.【分析】令F (x ) = f (x ) - g (x ),⎰=xa dt t F x G )()(,将积分不等式转化为函数不等式即可. 【详解】令F (x ) = f (x ) - g (x ),⎰=xa dt t F x G )()(,由题设G (x ) ≥ 0,x ∈ [a , b ],G (a ) = G (b ) = 0,)()(x F x G ='.从而⎰⎰⎰⎰-=-==bab ababa b a dx x G dx x G x xG x xdG dx x xF )()()()()(,由于 G (x ) ≥ 0,x ∈ [a , b ],故有0)(≤-⎰badx x G ,即0)(≤⎰ba dx x xF .因此⎰⎰≤babadx x xg dx x xf )()(.【评注】引入变限积分转化为函数等式或不等式是证明积分等式或不等式的常用的方法. (18) (本题满分9分) 设某商品的需求函数为Q = 100 - 5P ,其中价格P ∈ (0 , 20),Q 为需求量. (I) 求需求量对价格的弹性d E (d E > 0);(II) 推导)1(d E Q dPdR-=(其中R 为收益),并用弹性d E 说明价格在何范围内变化时,降低价格反而使收益增加.【分析】由于d E > 0,所以dP dQ Q P E d =;由Q = PQ 及dPdQQ P E d =可推导 )1(d E Q dPdR-=. 【详解】(I) PPdP dQ Q P E d -==20. (II) 由R = PQ ,得)1()1(d E Q dPdQ Q P Q dP dQ P Q dP dR -=+=+=. 又由120=-=PPE d ,得P = 10.当10 < P < 20时,d E > 1,于是0<dPdR,故当10 < P < 20时,降低价格反而使收益增加.【评注】当d E > 0时,需求量对价格的弹性公式为dPdQQ P dP dQ Q P E d -==. 利用需求弹性分析收益的变化情况有以下四个常用的公式:Qdp E dR d )1(-=,Q E dpdRd )1(-=,p E dQ dR d )11(-=, d E EpER-=1(收益对价格的弹性). (19) (本题满分9分) 设级数)(864264242864+∞<<-∞+⋅⋅⋅+⋅⋅+⋅x x x x 的和函数为S (x ). 求:(I) S (x )所满足的一阶微分方程; (II) S (x )的表达式.【分析】对S (x )进行求导,可得到S (x )所满足的一阶微分方程,解方程可得S (x )的表达式.【详解】(I) +⋅⋅⋅+⋅⋅+⋅=864264242)(864x x x x S , 易见 S (0) = 0,+⋅⋅+⋅+='642422)(753x x x x S)642422(642 +⋅⋅+⋅+=x x x x)](2[2x S x x +=.因此S (x )是初值问题0)0(,23=+='y x xy y 的解.(II) 方程23x xy y +='的通解为]2[3C dx e x e y xdx xdx +⎰⎰=⎰- 22212x Ce x +--=,由初始条件y(0) = 0,得C = 1.故12222-+-=x e x y ,因此和函数12)(222-+-=x e x x S .【评注】本题综合了级数求和问题与微分方程问题,2002年考过类似的题. (20)(本题满分13分)设T α)0,2,1(1=, T ααα)3,2,1(2-+=, T b αb α)2,2,1(3+---=, Tβ)3,3,1(-=,试讨论当b a ,为何值时,(Ⅰ) β不能由321,,ααα线性表示;(Ⅱ) β可由321,,ααα唯一地线性表示, 并求出表示式;(Ⅲ) β可由321,,ααα线性表示, 但表示式不唯一, 并求出表示式.【分析】将β可否由321,,ααα线性表示的问题转化为线性方程组βαk αk αk =++332211是否有解的问题即易求解. 【详解】 设有数,,,321k k k 使得βαk αk αk =++332211. (*) 记),,(321αααA =. 对矩阵),(βA 施以初等行变换, 有⎥⎥⎥⎦⎤⎢⎢⎢⎣⎡-+---+-=323032221111),(b a a b a βA ⎥⎥⎥⎦⎤⎢⎢⎢⎣⎡---→000101111b a b a .(Ⅰ) 当0=a 时, 有⎥⎥⎥⎦⎤⎢⎢⎢⎣⎡---→10001001111),(b βA . 可知),()(βA r A r ≠. 故方程组(*)无解, β不能由321,,ααα线性表示. (Ⅱ) 当0≠a , 且b a ≠时, 有⎥⎥⎥⎦⎤⎢⎢⎢⎣⎡---→000101111),(b a b a βA ⎥⎥⎥⎥⎥⎥⎦⎤⎢⎢⎢⎢⎢⎢⎣⎡-→0100101011001a a 3),()(==βA r A r , 方程组(*)有唯一解:ak 111-=, a k 12=, 03=k .此时β可由321,,ααα唯一地线性表示, 其表示式为 211)11(αaαa β+-=. (Ⅲ) 当0≠=b a 时, 对矩阵),(βA 施以初等行变换, 有⎥⎥⎥⎦⎤⎢⎢⎢⎣⎡---→000101111),(b a b a βA ⎥⎥⎥⎥⎥⎥⎦⎤⎢⎢⎢⎢⎢⎢⎣⎡--→0000111011001a a , 2),()(==βA r A r , 方程组(*)有无穷多解, 其全部解为a k 111-=, c ak +=12, c k =3, 其中c 为任意常数. β 可由321,,ααα线性表示, 但表示式不唯一, 其表示式为321)1()11(αc αc aαa β+++-=. 【评注】本题属于常规题型, 曾考过两次(1991, 2000).(21) (本题满分13分) 设n 阶矩阵⎪⎪⎪⎪⎪⎭⎫ ⎝⎛=111 b b b b b b A .(Ⅰ) 求A 的特征值和特征向量;(Ⅱ) 求可逆矩阵P , 使得AP P 1-为对角矩阵.【分析】这是具体矩阵的特征值和特征向量的计算问题, 通常可由求解特征方程0||=-A E λ和齐次线性方程组0)(=-x A E λ来解决.【详解】 (Ⅰ)1当0≠b 时,111||---------=-λbbb λb b b λA E λ=1)]1(][)1(1[------n b λb n λ ,得A 的特征值为b n λ)1(11-+=,b λλn -===12 . 对b n λ)1(11-+=,⎪⎪⎪⎪⎪⎭⎫ ⎝⎛---------=-b n b b b b n b b b b n A E λ)1()1()1(1 →⎪⎪⎪⎪⎪⎭⎫ ⎝⎛---------)1(111)1(111)1(n n n→⎪⎪⎪⎪⎪⎪⎭⎫ ⎝⎛------------0000111111111111 n n n →⎪⎪⎪⎪⎪⎪⎭⎫ ⎝⎛---------0000111111111111 n n n →⎪⎪⎪⎪⎪⎪⎭⎫ ⎝⎛---000000001111n n n n n →⎪⎪⎪⎪⎪⎪⎭⎫⎝⎛---0000110010101001解得Tξ)1,,1,1,1(1 =,所以A 的属于1λ的全部特征向量为 Tk ξk )1,,1,1,1(1 = (k 为任意不为零的常数). 对b λ-=12,⎪⎪⎪⎪⎪⎭⎫ ⎝⎛---------=-b b b b b b b b b A E λ 2→⎪⎪⎪⎪⎪⎭⎫⎝⎛000000111 得基础解系为T ξ)0,,0,1,1(2 -=,T ξ)0,,1,0,1(3 -=,T n ξ)1,,0,0,1(,-= .故A 的属于2λ的全部特征向量为n n ξk ξk ξk +++ 3322 (n k k k ,,,32 是不全为零的常数).2 当0=b 时,n λλλλA E λ)1(1010001||-=---=-,特征值为11===n λλ ,任意非零列向量均为特征向量.(Ⅱ) 1当0≠b 时,A 有n 个线性无关的特征向量,令),,,(21n ξξξP =,则⎪⎪⎪⎪⎪⎭⎫ ⎝⎛---+=-b b b n AP P 11)1(112 当0=b 时,E A =,对任意可逆矩阵P , 均有E AP P =-1.【评注】本题通过考查矩阵的特征值和特征向量而间接考查了行列式的计算, 齐次线性方程组的求解和矩阵的对角化等问题, 属于有一点综合性的试题. 另外,本题的解题思路是容易的, 只要注意矩阵中含有一个未知参数, 从而一般要讨论其不同取值情况. (22) (本题满分13分)设A ,B 为两个随机事件,且41)(=A P , 31)|(=AB P , 21)|(=B A P , 令 ⎩⎨⎧=不发生,,发生,A A X 0,1 ⎩⎨⎧=.0,1不发生,发生,B B Y 求(Ⅰ) 二维随机变量),(Y X 的概率分布; (Ⅱ) X 与Y 的相关系数 XY ρ; (Ⅲ) 22Y X Z +=的概率分布.【分析】本题的关键是求出),(Y X 的概率分布,于是只要将二维随机变量),(Y X 的各取值对转化为随机事件A 和B 表示即可.【详解】 (Ⅰ) 因为 121)|()()(==A B P A P AB P , 于是 61)|()()(==B A P AB P B P , 则有 121)(}1,1{====AB P Y X P , 61)()()(}0,1{=-====AB P A P B A P Y X P , 121)()()(}1,0{=-====AB P B P B A P Y X P ,32)]()()([1)(1)(}0,0{=-+-=⋃-=⋅===AB P B P A P B A P B A P Y X P , ( 或 32121611211}0,0{=---===Y X P ), 即),(Y X 的概率分布为:YX0 10 132121 61121(Ⅱ) 方法一:因为 41)(==A P EX ,61)(==B P EY ,121)(=XY E , 41)(2==A P EX ,61)(2==B P EY ,163)(22=-=EX EX DX ,165)(22=-=EY EY DY ,241)(),(=-=EXEY XY E Y X Cov ,所以X 与Y 的相关系数 1515151),(==⋅=DYDX Y X Cov ρXY . 方法二: X, Y 的概率分布分别为X 0 1 Y 0 1P 43 41 P 65 61 则61,41==EY EX ,163=DX ,DY=365, E(XY)=121,故 241)(),(=⋅-=EY EX XY E Y X Cov ,从而.1515),(=⋅=DYDX Y X Cov XY ρ (Ⅲ) Z 的可能取值为:0,1,2 .32}0,0{}0{=====Y X P Z P , 41}1,0{}0,1{}1{===+====Y X P Y X P Z P , 121}1,1{}2{=====Y X P Z P , 即Z 的概率分布为:Z 0 1 2P3241 121 【评注】本题考查了二维离散随机变量联合概率分布,数字特征和二维离散随机变量函数的分布等计算问题,属于综合性题型 (23) (本题满分13分)设随机变量X 的分布函数为⎪⎩⎪⎨⎧≤>⎪⎭⎫ ⎝⎛-=,,,αx αx x αβαx F β0,1),,( 其中参数1,0>>βα. 设n X X X ,,,21 为来自总体X 的简单随机样本,(Ⅰ) 当1=α时, 求未知参数β的矩估计量; (Ⅱ) 当1=α时, 求未知参数β的最大似然估计量; (Ⅲ) 当2=β时, 求未知参数α的最大似然估计量.【分析】本题是一个常规题型, 只要注意求连续型总体未知参数的矩估计和最大似然估计都须已知密度函数,从而先由分布函数求导得密度函数.【详解】 当1=α时, X 的概率密度为⎪⎩⎪⎨⎧≤>=+,,,101,),(1x x x ββx f β(Ⅰ) 由于⎰⎰+∞++∞∞--=⋅==11,1);(ββdx x βx dx βx xf EX β 令X ββ=-1, 解得 1-=X X β, 所以, 参数β的矩估计量为 1-=X Xβ. (Ⅱ) 对于总体X 的样本值n x x x ,,,21 , 似然函数为∏=+⎪⎩⎪⎨⎧=>==ni i βnni n i x x x x βαx f βL 1121.,0),,,2,1(1,)();()(其他当),,2,1(1n i x i =>时, 0)(>βL , 取对数得 ∑=+-=ni ixββn βL 1ln )1(ln )(ln ,对β求导数,得∑=-=ni i x βn βd βL d 1ln )]([ln , 令0ln )]([ln 1=-=∑=ni i x βn βd βL d , 解得 ∑==ni ixnβ1ln ,于是β的最大似然估计量为∑==ni ixnβ1ln ˆ.( Ⅲ) 当2=β时, X 的概率密度为⎪⎩⎪⎨⎧≤>=,,,αx αx x αβx f 0,2),(32对于总体X 的样本值n x x x ,,,21 , 似然函数为∏=⎪⎩⎪⎨⎧=>==ni i nnn i n i αx x x x ααx f βL 13212.,0),,,2,1(,)(2);()(其他当),,2,1(n i αx i =>时, α越大,)(αL 越大, 即α的最大似然估计值为},,,m in{ˆ21n x x x α=, 于是α的最大似然估计量为},,,m in{ˆ21n X X X α=.。
考研数学三(线性代数)历年真题试卷汇编20(题后含答案及解析) 题型有:1. 选择题 2. 填空题 3. 解答题选择题下列每题给出的四个选项中,只有一个选项符合题目要求。
1.[2015年]设A,B为n阶矩阵,记r(X)为矩阵X的秩,(X,Y)分别表示分块矩阵,则( ).A.r(A,AB)=r(A)B.r(A,BA)=r(A)C.r(A,B)=max{r(A),r(B)}D.r(A,B)=r(ATBT)正确答案:A解析:解一易知r(A,AB)≥r(A).又由分块矩阵的乘法,可知(A,AB)=A(E,B),因此r(A,AB)≤min{r(A),r(E,B)},从而r(A,AB)≤r(A) 所以r(A,AB)=r(A),故选项(A)正确.解二排除法对选项(B),取则r(A)=1,r(A,BA)=2.对选项(C),取则r(A)=r(B)=1,r(A,B)=2.对选项(D),取则r(A,B)=1,r(AT,BT)=2.知识模块:线性代数2.[2003年] 设三阶矩阵若A的伴随矩阵的秩等于1,则必有( ).A.a=b或a+2b=0B.a=b或a+2b≠0C.a≠b且a+2b=0D.a≠b且a+2b≠0正确答案:C解析:解一因秩(A*)=1,由A与其伴随矩阵A*的秩的关系知,秩(A)=n -1=3-1=2.因为使秩(A)=2,必有|A|=0,且即a≠b,故a≠b且a+2b=0.仅(C)入选.解二由|A|=(a+2b)(a-b)2=0,得到a+2b=0或a=b.但当a=b时,秩(A)=1≠2,故a+2b=0且a≠b.仅(C)入选.知识模块:线性代数3.[2005年] 设A,B,C均为n阶矩阵,E为n阶单位矩阵,若B=E+AB,C=A+CA,则B-C为( ).A.EB.-EC.AD.-A正确答案:A解析:解一仅(A)入选.由B=E+AB得到(E-A)B=E,两边左乘(E-A)-1得到B=(E-A)-1.由C=A+CA得到C(E-A)=A,两边右乘(E-A)-1,得到C=A(E—A)-1,则B-C=(E-A)-1-A(E-A)-1=(E-A)(E-A)-1=E.解二由B=E+AB,C=A+CA,有B-AB=E,C-CA=A.于是(E-A)B=E,C(E-A)=A,①则E—A与B可逆,且互为逆矩阵.于是有B(E -A)=E,②则由式②一式①,得到B(E-A)-C(E-A)=(B-C)(E-A)=E —A,即B-C=E.仅(A)入选.知识模块:线性代数4.[2006年] 设A为三阶矩阵,将A的第2行加到第1行得B,再将B 的第1列的-1倍加到第2列得C,记则( ).A.C=P-1APB.C=PAP-1C.C=PTAPD.C=PAPT正确答案:B解析:将单位矩阵E的第2行加到第1行即得初等矩阵P,由初等矩阵与初等变换的关系有B=PA.令矩阵则E的第1列的-1倍加到第2列即得矩阵Q.于是有C=BQ,从而有C=PAQ,由于则C=PAQ=PAP-1.仅(B)入选.知识模块:线性代数5.[2011年] 设A为三阶矩阵,将A的第2列加到第1列得到矩阵B,再交换B的第2行与第3行得到单位矩阵,记则A=( ).A.P1P2B.P1-1P2C.P2P1D.P2P1-1正确答案:D解析:解一由题设有B=AP1,P2B=E,即P2B=P2AP1=E.又因P2,P1可逆,且P2-1=P2,故A=P2-1EP1-1=P2EP1-1=P2P1-1.仅(D)入选.解二由命题2.2.5.1知,对A所进行的初等变换可表示为P2AP1而P2AP1=P2(AP1)=P2B=E,故A=P2-1P1-1=P2P1-1.仅(D)入选.注:命题2.2.5.1(初等变换与初等矩阵左、右乘的关系) 每一次初等变换都对应一个初等矩阵,且对矩阵A施行一次初等行(列)变换相当于左(右)乘相应的初等矩阵.知识模块:线性代数6.[2009年] 设A,P为三阶矩阵,PT为P的转置矩阵,且若P=[α1,α2,α3],Q=[α1+α2,α2,α3],则QTAQ为( ).A. B. C. D. 正确答案:A解析:解一因Q=[α1+α2,α2,α3]=[α1,α2,α3]=PE21(1),利用命题2.2.5.2(1)及题设,得到解二仅(A)入选.故注:命题2.2.5.2 (1)初等矩阵的转置矩阵的性质:EiT(k)=Ei(k),EijT=Eij,EijT(k)=Eij(k).知识模块:线性代数7.[2012年] 设A为三阶矩阵,P为三阶可逆矩阵,且若P=[α1,α2,α3],Q=[α1+α2,α2,α3],则Q-1AQ=( ).A. B. C. D. 正确答案:B解析:解一因故于是解二用初等矩阵表示Q得到Q=PE12(1).由E12-1(1)=E12(-1)得到知识模块:线性代数8.[2005年] 设λ1,λ2是矩阵A的两个不同的特征值,对应的特征向量分别为α1,α2,则α1,A(α1+α2)线性无关的充分必要条件是( ).A.λ1≠0B.λ2≠0C.λ1=0D.λ2=0正确答案:B解析:解一首先注意α1,α2线性无关.在推导α1,A(α1+α2)线性无关的条件时要用到它.设k1α1+k2A(α1+α2)=0,则k1α1+k2λ1α1+k2λ2α2=0,(k1+k2λ1)α1+k2λ2α2=0.因α1,α2线性无关,故k1+k2λ1=0,k2λ2=0.当λ2≠0时,有k2=0,从而k1=0.于是当λ2≠0时,α1,A(α1+α2)线性无关.反之,若α1,A(α1+α2)=λ1α1+λ2α2线性无关,则必有λ2≠0.因为如果λ2=0,则α1与A(α1+α2)=λ1α1线性相关与题设矛盾.综上所述,仅(B)入选.解二因向量组α1,A(α1+α2)=λ1α1+λ2α2可看成线性无关向量α1,α2的线性组合,且[α1,A(α1+α2)]=[α1,λ1α1+λ2α2]=[α1,α2] 由命题2.3.2.2知,向量组α1,A(α1+α2)线性无关的充分必要条件是的秩等于2,而秩故仅(B)入选.(注:命题2.3.2.2 设向量组α1,α2,…,αs线性无关,β1,β2,…,βs为该向量组的线性组合:即其中A=[aij]s×t称为线性表示的系数矩阵.或则向量组β1,β2,…,βt线性无关线性表示的系数矩阵A=[aij]s×t或矩阵K=AT 的秩为t.) 知识模块:线性代数9.[2010年] 设向量组(I):α1,α2,…,αr可由向量组(Ⅱ):β1,β2,…,βs线性表示.下列命题中正确的是( ).A.若向量组(I)线性无关,则r≤sB.若向量组(I)线性相关,则r>sC.若向量组(Ⅱ)线性无关,则r≤sD.若向量组(Ⅱ)线性相关,则r>s正确答案:A解析:仅(A)入选.因向量组(I)可由向量组(Ⅱ)线性表示,故秩(I)≤秩(Ⅱ)=秩([β1,β2,…,βs)≤s.若向量组I线性无关,则秩(I)=秩([α1,α2,…,αr])=r,故r=秩([α1,α2,…,αr])≤秩([β1,β2,…,βs])≤s.知识模块:线性代数填空题10.[2013年] 设A=(aij)是三阶非零矩阵,|A|为A的行列式,Aij为aij 的代数余子式,若aij+Aij=0(i,j=1,2,3),则|A|=___________.正确答案:-1解析:因aij=-Aij,则(aij)=(-Aij),(aij)T=(-Aij)T=-(Aij),故AT=-A*,从而|A|=|AT|=|-A*|=(-1)3|A|3-1=-|A|2,即|A|2+|A|=|A|(|A|+1)=0,故|A|=0或|A|=-1.若|A|=0,则由|A|=ai1Ai1+ai2Ai2+ai3Ai3=(ai12+ai22+ai32)=0(i=1,2,3)得到aij=0(i,j=1,2,3),即矩阵A为零矩阵,这与题设矛盾.故|A|=-1.知识模块:线性代数11.[2007年] 设矩阵则A3的秩为__________.正确答案:1解析:解一由矩阵乘法直接计算得到由于A3中非零子式的最高阶数为1,由矩阵的秩的定义知,秩(A3)=1.解二A3的秩等于1.设其中αi(i=1,2,3,4)为A的行向量,则知识模块:线性代数12.[2017年] 矩阵α1,α2,α3为线性无关的三维列向量组,则向量组Aα1,Aα2,Aα3的秩为___________.正确答案:2解析:解(Aα1,Aα2,Aα3)=A(α1,α2,α3),因为α1,α2,α3线性无关,所以(α1,α2,α3)可逆,从而秩[Aα1,Aα2,Aα3]=秩(A).由得,秩(A)=2,故向量组Aα1,Aα2,Aα3的秩为2.知识模块:线性代数13.[2002年] 设三阶矩阵三维列向量α=[a,1,1]T,已知Aα与α线性相关,则a=_______.正确答案:-1解析:解一因α=[a,1,1]T,Aα=[a,2a+3,3a+4]T,故[*]得a=-1.解二两个向量Aα与α线性相关[*]这两个向量中至少有一个向量可由另一个向量线性表出.即存在数k≠0,使Aα=kα(或α=μAα),亦即k为特征值,α为A的属于特征值k的特征向量.由Aα=kα得到[*]得a=-1,k=1.知识模块:线性代数14.[2005年] 设行向量组[2,1,1,1],[2,1,a,a],[3,2,1,a],[4,3,2,1]线性相关,且a≠1,则a=___________.正确答案:1/2解析:解一设所给的4个行向量依次为α1,α2,α3,α4,且令A=[α1T,α2T,α3T,α4T].因4个四维向量线性相关的充要条件是其行列式等于零,故由|A|=|α1T,α2T,α3T,α4T|=(1-a)(1-2a)=0,得到a=1或a=1/2.因a≠1,故a=1/2.解二用初等行变换求之.对AT作初等行变换,化为阶梯形矩阵,得到由于所给向量组线性相关,秩(AT)可经初等列变换化为矩阵15.求a;正确答案:由题设条件可知矩阵A与B等价,则r(A)=r(B).因为所以因此a=2. 涉及知识点:线性代数16.求满足AP=B的可逆矩阵P.正确答案:设矩阵对增广矩阵作初等变换可得解得所以又因P可逆,因此即k2≠k3.故其中k1,k2,k3为任意常数,且k2≠k3.涉及知识点:线性代数[2014年] 设E为三阶单位矩阵.17.求方程组AX=0的一个基础解系;正确答案:为求AX=0的一个基础解系,只需用初等行变换将A化为含最高阶单位矩阵的矩阵:由基础解系的简便求法即可得到AX=0的一个基础解系只含一个解向量α,且α=[-1,2,3,1]T.涉及知识点:线性代数18.求满足AB=E的所有矩阵B.正确答案:因A不可逆,需用元素法求出满足AB=E的所有矩阵.由AB=E,A为3×4矩阵,E为3×3矩阵,则B必为4×3矩阵,设其元素为xij则B=(xij)4×3,即因而得到下述三个线性方程组:对上述三方程组的增广矩阵用初等行变换化为含最高阶单位矩阵的矩阵:由基础解系和特解的简便求法即得方程组①的一个特解η1及对应的齐次线性方程组的一个基础解系α分别为:η1=[2,-1,-1,0]T,α=[-1,2,3,1]T 于是该方程组的通解为X1=[x11,x21,x31,x41]T=Y1+η1=k1α+η1=[-k1+2,2k1-1,3k1-1,k1]T.同样由可得方程组②的通解为X2=[x12,x22,x32,x42]T=Y2+η2=k2α+η2=k2[-1,2,3,1]T+[6,-3,-4,0]T=[-k2+6,2k2-3,3k2-4,k2]T.由可得方程组③的通解为X3=[x13,x23,x33,x43]T=Y3+η3+=k2=k3α+η3=k3[-1,2,3,1]T+[-1,1,1,0]T=[-k3-1,2k3+1,3k3+1,k3]T 综上得到,涉及知识点:线性代数19.[2013年] 设当a,b为何值时,存在矩阵C使得AC-CA=B,并求所有矩阵C.正确答案:设则由AC-CA=B得到四元非齐次线性方程组:存在矩阵C使AC-CA=B成立,上述方程组必有解.为此将上述方程组的增广矩阵用初等行变换化为阶梯形矩阵:当a≠-1或b≠0时,因秩()≠秩(G),方程组无解.当a=-1且b=0时,秩()=秩(G)=2<n=4,方程组有解,且有无穷多解.由基础解系和特解的简便求法得到,其基础解系为:α1=[1,a,1,0]T=[1,-1,1,0]T,α2=[1,0,1,0]T则对应齐次线性方程组的通解为c1α1+c2α2.而方程组①的特解为[1,0,0,0]T,故方程组①的通解为X=c1[1,-1,1,0]T+c2[1,0,0,1]T+[1,0,0,0]T即X=[x1,x2,x3,x4]T=[c1+c2+1,-c1,c1,c2]T,亦即x1=c1+c2+1,x2=-c1,x3=c1,x4=c2(c1,c2为任意常数),故所求的所有矩阵为其中c1,c2任意常数.涉及知识点:线性代数[2004年] 设α1=[1,2,0]T,α2=[1,a+2,-3a]T,α3=[-1,-b-2,a+2b]T,β=[1,3,-3]T.试讨论当a,b为何值时,20.β不能由α1,α2,α3线性表示;正确答案:设有数k1,k2,k3,使得k1α1+k2α2+k3α3=β.①记A=[α1,α2,α3].对矩阵[A|β]施以初等行变换,有由于系数矩阵A 的秩取决于a及a-b是否为零,下面采用如下的二分法,分三种情况讨论.当a=0,b为任意常数时,有可知秩(A)≠秩([A|β]),故方程组①无解,β不能由α1,α2,α3线性表示.涉及知识点:线性代数21.β可由α1,α2,α3唯一地线性表示,并求出表示式;正确答案:当a≠0,且a≠b时,秩(A)=秩([A|β])=3,故方程组①有唯一解.由得到唯一解为k1=1-1/a,k2=1/a,k3=0,且β可由α1,α2,α3唯一地线性表示,其表示式为β=(1-1/a)α1+α2/a.涉及知识点:线性代数22.β可由α1,α2,α3线性表示,但表示式不唯一,并求出表示式.正确答案:当a≠0且a-b=0,即a=b≠0时,对[A|β]施以初等行变换,有可知秩(A)=秩([A|β])=2,故方程组①有无穷多解.其一基础解系只含一个解向量α=[0,1,1]T,其一个特解为η=[1-1/a,1/a,0],故以k1,k2,k3为未知数的方程组①的通解为[k1,k2,k3=η+cα=[1-1/a,1/a,0]T+c[0,1,1]T=[1-1/a,1/a+c,c]T(c为任意常数).于是β可由α1,α2,α3线性表示,其一般表示式为β=k1α1+k2α2+k3α3=(1-1/a)α1+(1/a+c)α2+cα3 (c 为任意常数).由上式易知,由于c为任意常数,β由α1,α2,α3线性表出的一般表达式,常归结为求关于未知数k1,k2,k3的方程组β=k1α1+k2α2+k3β3的通解.涉及知识点:线性代数[2008年] 设A为三阶矩阵,α1,α2为A的分别属于特征值一1,1的特征向量,向量α3满足Aα3=α2+α3.23.证明α1,α2,α3线性无关;正确答案:证一用向量组线性无关的定义证明.为利用题设条件Aα3=α2+α3易想到需用A同时左乘定义等式两边.设k1α1+k2α2+k3α3=0.①由题设,有Aα1=一α1,Aα2=α2,Aα3=α2+α3.用A左乘式①两边,得到k1Aα1+k2Aα2+k3Aα3=一k1α1+k2α2+k3α2+k3α3=0.②本题中隐含了α1与α2线性无关,因为它们是属于不同特征值的特征向量.下面利用这一点证明k1=k2=k3=0.由式①一式②得到2k1α1一k2α2=0.因α1,α2为A的属于不同特征值的特征向量,故α1,α2线性无关.因而k1=k3=0,将其代入式①得到k2α2=0,又因α≠0,故k2=0.于是α1,α2,α3线性无关.证二用反证法证之.假设α1,α2,α3线性相关,由证一知,α1与α2线性无关,故α3可由α1,α2线性表出,不妨设α3=l1α1+l2α2,其中l1,l2不全为零(若l1,l2同时为零,则α3=0,由Aα3=α2+α3得到α2=0,这与α2为特征向量矛盾).因Aα1=一α1,Aα2=α2,故Aα3=α2+α3=α2+l1α1+l2α2.又一l1α1+l2α2=α2+l1α1+l2α2,即α2+2l1α1=0,则α1与α2线性相关.这与α1,α2线性无关矛盾.故α1,α2,α3线性无关.涉及知识点:线性代数24.令P=[α1,α2,α3],求P-1AP.正确答案:因α1,α2,α3线性无关,故P可逆.所以涉及知识点:线性代数[2011年] 设向量组α1=[1,0,1]T,α2=[0,1,1]T,α3=[1,3,5]T不能由向量组β1=[1,1,1]T,β2=[1,2,3]T,β3=[3,4,a]T线性表示.25.求a的值;正确答案:解一因α1,α2,α3不能用β1,β2,β3线性表示,故秩([α1,α2,α3])>秩([β1,β2,β3]),而|α1,α2,α3|==1≠0,故秩([α1,α2,α3])=3,秩([β1,β2,β3])<3,所以解二4个三维向量β1,β2,β3,αi(i=1,2,3)必线性相关.若β1,β2,β3线性无关,则αi 必可表示成β1,β2,β3的线性组合.这与题设矛盾,故β1,β2,β3线性相关.于是|β1,β2,β3|=a-5=0,即a=5.解三将下列向量组用初等行变换化为行阶梯形矩阵:易知秩([α1,α2,α3])=3.因α1,α2,α3不能由β1,β2,β3线性表出,故秩([β1,β2,β3])<3.因而所以a=5.涉及知识点:线性代数26.将β1,β2,β3用α1,α2,α3线性表示.正确答案:解一由上题的解三知,当a=5时,经初等行变换得到故β1=2α1+4α2-α3,β2=α1+2α2,β3=5α1+10α2-2α3.解二设[β1,β2,β3]=[α1,α2,α3]G.则因而即β1=2α1+4α2-α3,β2=α1+2α2,β3=5α1+10α2-2α3.涉及知识点:线性代数27.[2006年] 四维向量组α1=[1+a,1,1,1]T,α2=[2,2+a,2,2]T,α3=[3,3,3+a,3]T,α4=[4,4,4,4+a]T.问a为什么数时,α1,α2,α3,α4线性相关?在α1,α2,α3,α4线性相关时求其一个极大线性无关组,并且把其余向量用该极大线性无关组线性表出.正确答案:解一若α1,α2,α3,α4线性相关,即|α1,α2,α3,α4|=0,而|α1,α2,α3,α4|=a3(a+10),于是当a=0或-10时,α1,α2,α3,α4线性相关.当a=0时,α1是α1,α2,α3,α4的极大无关组,且α2=2α1,α3=3α1,α4=4α1.当a=-10时,用初等行变换求其极大无关组.显然β1,β2,β3为β1,β2,β3,β4的一个极大线性无关组,且β4=-β1-β2-β3.由于矩阵的初等行变换不改变矩阵列向量组之间的线性关系,故α1,α2,α3是α1,α2,α3,α4的一个极大无关组,且α4=-α1-α2-α3.解二设A=[α1,α2,α3,α4],对A进行初等行变换,得到当a=0时,A的秩等于1,因而α1,α2,α3,α4线性相关.此时α1为α1,α2,α3,α4的一个极大线性无关组,且α2=2α1,α3=3α1,α4=4α1.当a≠0时,再对B施以初等行变换,得到如果a≠-10,C的秩为4,从而A的秩也为4,故α1,α2,α3,α4线性无关.如果a=-10,C的秩为3,从而A的秩也为3,故α1,α2,α3,α4线性相关.由于v2,v3,v4为v1,v2,v3,v4的一个极大线性无关组,且v1=-v2-v3-v4,因矩阵的初等行变换不改变矩阵列向量组之间的关系,故α2,α3,α4为α1,α2,α3,α1的一个极大线性无关组,且α1=-α2-α3-α4.涉及知识点:线性代数。
2004年全国硕士研究生入学统一考试数学三试题一、填空题:本题共6小题,每小题4分,满分24分. 请将答案写在答题纸指定位置上.(1) 若()0sin lim cos 5x x xx b e a→-=-,则a =______,b =______.(2) 函数(),f u v 由关系式()(),f xg y y x g y =+⎡⎤⎣⎦确定,其中函数()g y 可微,且()0g y ≠,则2f u v∂=∂∂______.(3) 设()211,,2211,,2x xe x f x x ⎧-≤<⎪⎪=⎨⎪-≥⎪⎩ 则()2121f x dx -=⎰_____.(4) 二次型()()()()222123122331,,f x x x x x x x x x =++-++的秩为______. (5) 设随机变量X 服从参数为λ的指数分布,则{}P X DX >=______. (6) 设总体X 服从正态分布()21,N μσ,总体Y 服从正态分布()22,N μσ,112,,,n X X X 和212,,,n Y Y Y 分别是来自总体X 和Y 的简单随机样本,则()()122211122n n i j i j X X Y Y E n n ==⎡⎤-+-⎢⎥⎢⎥=⎢⎥+-⎢⎥⎣⎦∑∑______. 二、选择题:本题共8小题,每小题4分,满分24分. 在每小题给出的四个选项中,只有一项符合题目要求,请把所选项前的字母填在答题纸指定位置上.(7) 函数()()()()2sin 212x x f x x x x -=--在下列哪个区间内有界.(A )()1,0- (B )()0,1 (C )()1,2 (D )()2,3(8) 设()f x 在(),-∞+∞内有定义,且()lim x f x a →∞=,()1,0,0,0,fx g x x x ⎧⎛⎫≠⎪ ⎪=⎝⎭⎨⎪=⎩则(A )0x =必是()g x 的第一类间断点 (B )0x =必是()g x 的第二类间断点(C )0x =必是()g x 的连续点 (D )()g x 在点0x =处的连续性与a 的值有关.(9) 设()()1f x x x =-,则(A )0x =是()f x 的极值点,但()0,0不是曲线()y f x =的拐点 (B )0x =不是()f x 的极值点,但()0,0是曲线()y f x =的拐点 (C )0x =是()f x 的极值点,且()0,0是曲线()y f x =的拐点 (D )0x =不是()f x 的极值点,()0,0也不是曲线()y f x =的拐点 (10) 设有以下命题:① 若()2121n n n u u ∞-=+∑收敛,则1n n u ∞=∑收敛② 若1n n u ∞=∑收敛,则10001n n u ∞+=∑收敛③ 若1lim 1n n nu u +→∞>,则1n n u ∞=∑发散④ 若()1n n n u v ∞=+∑收敛,则1n n a ∞=∑,1n n v ∞=∑都收敛则以上命题中正确的是(A )①② (B )②③ (C )③④ (D )①④(11) 设()f x '在[],a b 上连续,且()()0,0f a f b ''><,则下列结论中错误的是(A )至少存在一点()0,x a b ∈,使得()()0f x f a > (B )至少存在一点()0,x a b ∈,使得()()0f x f b > (C )至少存在一点()0,x a b ∈,使得()00f x '=(D )至少存在一点()0,x a b ∈,使得()00f x = (12) 设n 阶矩阵A 与B 等价,则必有(A )当()0A a a =≠时,B a = (B )当()0A a a =≠时,B a =- (C )当0A ≠时,0B = (D )当0A =时,0B =(13) 设n 阶矩阵A 的伴随矩阵*0A ≠,若1234,,,ξξξξ是非齐次线性方程组Ax b =的互不相等的解,则对应的齐次线性方程组0Ax =的基础解系(A )不存在 (B )仅含一个非零解向量(C )含有两个线性无关的解向量 (D )含有三个线性无关的解向量(14) 设随机变量X 服从正态分布()0,1N ,对给定的()0,1α∈,数n u 满足{}P X u αα>=,若{}P X x α<=,则x 等于(A )2u α (B )12uα-(C )12u α- (D )1u α-三、解答题:本题共9小题,满分94分. 请将解答写在答题纸指定的位置上. 解答应写出文字说明、证明过程或演算步骤.(15)(本题满分8分)求22201cos lim sin x x x x →⎛⎫- ⎪⎝⎭. (16)(本题满分8分) 求()22Dx y y d σ++⎰⎰,其中D 是由圆224x y +=和()2211x y ++=所围成的平面区域(如图).(17)(本题满分8分)设()(),f x g x 在[],a b 上连续,且满足()()x xaaf t dtg t dt ≥⎰⎰,[),x a b ∈,()()b baaf t dtg t dt =⎰⎰证明:()()b baaxf x dx xg x dx ≤⎰⎰.(18)(本题满分9分)设某商品的需求函数为1005Q P =-,其中价格()0,20P ∈,Q 为需求量. (Ⅰ)求需求量对价格的弹性()0d d E E >;(Ⅱ)推导()1d dRQ E dP=-(其中R 为收益),并用弹性d E 说明价格在何范围内变化时,降低价格反而使收益增加.(19)(本题满分9分)设级数()468242462468x x x x +++-∞<<+∞⋅⋅⋅⋅⋅⋅ 的和函数为()S x .求:(Ⅰ)()S x 所满足的一阶微分方程; (Ⅱ)()S x 的表达式.(20)(本题满分13分)设()()()1231,2,0,1,2,3,1,2,2TTTa ab a b ααα==+-=---+,()1,3,3Tβ=-. 试讨论当,a b 为何值时,(Ⅰ)β不能由123,,ααα线性表示;(Ⅱ)β可由123,,ααα唯一地线性表示,并求出表示式;(Ⅲ)β可由123,,ααα线性表示,但表示式不唯一,并求出表示式.(21)(本题满分13分)设n 阶矩阵111b b b b A b b ⎡⎤⎢⎥⎢⎥=⎢⎥⎢⎥⎣⎦. (Ⅰ)求A 的特征值和特征向量;(Ⅱ)求可逆矩阵P ,使得1P AP -为对角矩阵.(22)(本题满分13分)设,A B 为两个随机事件,且()()()111,,432P A P B A P A B ===,令1,0,.A X A ⎧=⎨⎩发生,不发生 1,0,.B Y B ⎧=⎨⎩发生,不发生求:(Ⅰ)二维随机变量(),X Y 的概率分布; (Ⅱ)X 与Y 的相关系数XY ρ; (Ⅲ)22Z X Y =+的概率分布.(23)(本题满分13分)设随机变量X 的分布函数为()1,,;,0,.x F x x x βαααβα⎧⎛⎫->⎪ ⎪=⎨⎝⎭⎪≤⎩其中参数0,1αβ>>. 设12,,,n X X X 为来自总体X 的简单随机样本. (Ⅰ)当1α=时,求未知参数β的矩估计量; (Ⅱ)当1α=时,求未知参数β的最大似然估计量; (Ⅲ)当2β=时,求未知参数α的最大似然估计量.。
考研数学三(二次型)历年真题试卷汇编1(题后含答案及解析) 题型有:1. 选择题 2. 填空题 3. 解答题选择题下列每题给出的四个选项中,只有一个选项符合题目要求。
1.[2015年] 设二次型f(x1,x2,x3)在正交变换X=PY下的标准形为2y12+y22-y32,其中P=(e1,e2,e3).若Q=(e1,-e3,e2),则f(x1,x2,x3)在正交变换X=QY下的标准形为( ).A.2y12一y22+y32B.2y12+y22一y32C.2y12一y22一y32D.2y12+y22+y32正确答案:A解析:因e1,-e3,e2分别为特征值2,-1,1对应的特征向量,故在正交变换X=QY下二次型f的标准形为2y12-y22+y32.仅(A)入选.知识模块:二次型2.[2016年] 设二次型f(x1,x2,x3)=a(x12+x22+x32)+2x1x2+2x2x3+2x3x1的正、负惯性指数分别为1,2,则( ).A.a>1B.a<-2C.—2<a<1D.a一1或a=-2正确答案:C解析:解一注意到A的主对角线上的元素全为a,非主对角线上的元素全为1,由命题2.5.1.7即知A的三个特征值分别为λ1=a+(n-1)b=a+2,λ2=λ3=a-b=a-1.又由题设知A的正、负惯性指数为1,2,故a+2>0,a-1<0,即-2<a<1.仅(C)入选.解二A的特征值也可由特征值定义|λE-A|=0求之.由得到A的特征值λ1=a+2,λ2=λ3=a-1.下同解一,略.注:命题2.5.1.7 设n阶矩阵A的主对角线上元素全为a,非主对角线上元素全为b,则由|A|=[a+(n-1)b](a-n)n-1知,A的n个特征值为λ1=a+(n -1)b,λ2=λ3=…=λn=a-b.知识模块:二次型3.[2008年] 设则在实数域上与A合同的矩阵为( ).A.B.C.D.正确答案:D解析:解一令由知,A的特征值λ1=3,λ2=-1,即A的正、负惯性指数都为1,于是|A|=λ1λ2<0,但|A1|>0,|A2|0,|A3|>0,可见(A)、(B)、(C)中矩阵的正、负惯性指数与A的都不同,因而A1,A2,A3与A都不合同.仅(D)入选.解二因故A与A4的特征值相同且其重数也相同,故A与A4相似.又A与A4为同阶实对称矩阵,由命题2.6.4.2知,A与A4必合同.仅(D)入选.解三由两个矩阵A,B合同的定义知,存在可逆矩阵C,使B=CTAC,则|B|=|A||CT||C|=|A||C|2,因|C|2>0,故A与B合同必有|A|与|B|同号.由解一知,|A|<0,|A1|>0,|A2|>0,|A3|>0,而|A4|<0,故|A|与|A4|同号,由命题2.6.4.4(2)知,A与A4合同,仅(D)入选.解四用合同变换判别之.因由命题2.6.4.3知,A与A4合同,且有PTAP=A4,其中事实上,有注:命题2.6.4.2 设A,B为实对称矩阵,若A,B相似,则A,B合同,反之未必成立.若A,B是一般n阶矩阵(不一定是实对称),则下述结论成立.命题2.6.4.3 A与B合同的充要条件是A经过有限次相同的初等行变换和初等列变换得到B.知识模块:二次型4.[2007年] 设矩阵则A与B( ).A.合同且相似B.合同但不相似C.不合同但相似D.既不合同又不相似正确答案:B解析:解一易求得|λE-A|=λ(λ-3)2,故A的特征值为3,3,0,而B 的特征值为1,1,0,它们不相同,但正特征值个数相同,且秩(A)=秩(B)=2,故A与B不相似,但合同.仅(B)入选.解二由命题2.5.3.3(4)知,如A 与B相似,则tr(A)=tr(B),但tr(A)=2+2+2=6≠tr(B)=1+1+0=2,故A与B不相似.由于A的特征值为3,3,0,而B的特征值为1,1,0,XTAX与XTBX 有相同的正、负惯性指数p=2,q=0.因而由命题2.6.4.1知A与B合同,于是仅(B)入选.解三其中秩(G)=1,由命题2.5.1.5即知,G的特征值为-3,0,0.因而A的特征值为0,3,3.而B的特征值为1,1,0.显然A与B不相似,但A与B的正惯性指数均为2,0,故A与B合同.仅(B)入选.注:命题2.5.1.5 设n阶矩阵A=[aij],若秩(A)=1,则A有n-1个零特征值λ1=λ2=…=λn-1=0,另一个特征值为λn=a11+a22+…+ann=tr(A)(称为A的迹).命题2.5.3.3 设矩阵A=[aij]n×n与B=[bij]n ×n相似,则(4)a11+a22+…+ann=b11+b22+…+bnn,即tr(A)=tr(B).命题2.6.4.1 两个实对称矩阵合同的充要条件是其秩相同,且有相同的正惯性指数,即正、负特征值个数分别相同,亦即二次型XT、AX和XTBX有相同的正、负惯性指数.两个同阶实对称矩阵相似的充要条件是它们有相同的特征值及重数,两个同阶实对称矩阵合同的充要条件是它们有相同的秩及相同的正(或负)惯性指数,因此两个同阶实对称矩阵相似必合同,但这两个矩阵合同而不一定相似(即两个同阶实对称矩阵的正、负惯性指数相同,不一定正、负特征值相同),因此得到下述命题.知识模块:二次型填空题5.[2004年] 二次型f(x1,x2,x3)=(x1+x2)2+(x2-x3)2+(x3+x2)2的秩为_________.正确答案:2解析:解一用配方法化二次型为标准形f(x1,x2,x3)=(x1+x2)2+(x2-x3)2+(x3+x1)2=(2x12+2x1x2+2x1x3)+2x22-2x2x3+2x32=2(1+x2/2+x3/2)2+(x2-x3)2.作线性变换,得其中因|P|=1≠0,所作的线性变换是非退化的,故所得二次型的标准形为f(y1,y2,y3)=2y12+3y22/2.该标准形平方项的非零系数的个数为2,且它与原二次型f(x1,x2,x3)等价.由等价的二次型有相同的秩知,原二次型的秩为2.解二f(x1,x2,x3)=2x12+2x22+2x32+2x1x2-2x2x3+2x1x3,其矩阵故秩(A)=2,因而f(x1,x2,x3)的秩等于2.知识模块:二次型6.[2011年] 设二次型f(x1,x2,x3)=XTAX的秩为1,A的各行元素之和为3,则f在正交变换X=QY下的标准形为_________.正确答案:解析:因秩(A)=1,且A为实对称矩阵,可对角化,由命题2.5.4.1(2)知A的特征值只有一个非零,有两个为零.又A的各行元素之和为3,故A的一个非零特征值为3(见命题2.5.1.4或由A[1,1,1]T=3[1,1,1]T也可看出),所以在正交变换X=QY下的标准形为注:命题2.5.4.1 (2)若A 为n阶实对称矩阵,则秩(A)等于A的非零特征值的个数(k重特征值视为k个特征值),因而零特征值的个数等于n-秩(A).命题2.5.1.4 设n阶矩阵A的各行元素之和为a,则a为A的一个特征值,且A的属于特征值a的一个特征向量为[1,1,…,1]T.知识模块:二次型7.[2014年] 设二次型f(x1,x2,x3)=x12-x22+2ax1x3+4x2x3的负惯性指数是1,则a的取值范围为_________.正确答案:—2≤a≤2解析:解一用配方法将f(x1,x2,x3)化为f(x1,x2,x3)=(x1+ax3)2-(x2-2x3)2+(4-a2)x32.由负惯性指数为1,得到4-a2≥0,即-2≤a≤2.解二易求得二次型厂的矩阵为设其三个特征值分别为λ1,λ2,λ3,则λ1λ2λ3=|A|=a2-4.由题设知二次型f的负惯性指数为1,所以A有且仅有一个特征值为负值.不妨设为λ1<0,则λ2≥0,λ3≥0,从而有|A|=a2-4≤0,即-2≤a≤2为所求的a的取值范围.知识模块:二次型解答题解答应写出文字说明、证明过程或演算步骤。
2004数学三考研真题答案一、选择题(本大题共8小题,每小题5分,共40分)1. 答案:B解析:对函数f(x)=xe^x求二阶导数,得到f''(x)=(x+2)e^x>0,说明f(x)在实数域上是凸函数,故C、D选项错误。
2. 答案:B解析:设λ是矩阵A=(aij)的特征值,则满足|A-λI|=0,其中I表示3阶单位矩阵。
由特征值的定义得到:```| 1-λ -1 1 || -1 1-λ 1 || 2 -2 3-λ |```对行列式按第三行展开,得到:```λ^3 - 5λ^2 + 7λ - 3 = 0```解得特征值为λ=1,λ=2,λ=3。
综上,A的特征值即1、2、3。
解析:当x与y不同时,tanα=(tanx+tany)/(1-tanxtany)代入x=-π/8,y=π/8,可得tanα=-√2,因此α=3π/44. 答案:C解析:将函数f(x)=(x+1)ln(x+1)-(x-1)ln(x-1)化简,得到f(x)=ln[(x+1)^{x+1}/(x-1)^(x-1)]。
因此,当x>1时,f(x)>0,当0<x<1时,f(x)<0。
5. 答案:A解析:由于f(x)在[-1,1]上连续,存在x0∈(-1,1),使得f(x0)=(a+b)/2由题意,可知∫[-1,1]f(x)dx=a由均值定理,存在ξ∈(-1,1),使得f(ξ)=(a+b)/2因此,f(ξ)-(a+b)/2=0,即f(ξ)=0,故选项A正确。
6. 答案:B解析:对g(x)进行泰勒展开,有:g(x)=g(1)+g'(1)(x-1)+g''(1)/2(x-1)^2+O((x-1)^2)其中,g(1)=f(1)/2=cos1,g'(1)=f'(1)/2=-sin1,g''(1)=f''(1)/2=-cos1因此,在x=1处的二阶泰勒展开为:g(x)≈cos1-sin1(x-1)-cos1/2(x-1)^2解析:由已知条件得到三角方程√3cos(x-π/4+π/6)=0即cos(x-π/4+π/6)=0,根据余弦函数的性质得到x-π/4+π/6=π/2+kπ,其中k为整数因此,x=π/4-π/6+π/2+kπ=7π/12+kπ,故选项D正确。
是c+等价无穷小,则(C) R = 3,c = 4已知 f(x)在 X = O 处可导,且 /(0) = 0,则 Iim x ~f M~2 / CV)Λ→0设{冷}是数列,则下列命题正确的是OOX若£心收敛’则∑(∕G H -I +U 2π)收敛/1-1n-1X OC若£(%如)收敛,则收敛“■]/1-1OO X若X ©收敛,则X(∕Y 2^1 T6)收敛 ∕ι≡lπ-! 若X("2-1 Tf 2』收敛‘则X ©收敛π-l ∕ι≡lπ JT π设/ =JJIn(Sin x)dx , J = JJ In(COt x)dx, K = U In(COS x)dx 贝IJ 八 J , K的大 小关系是解,k lt k 2为任意常数.则Ax = β的通解为(A) k = l,c = 4(B) IC = ^C =-4⑷-2/(0)(B) -/'(O) (C) /(O) (D) 0(C) (D)(A) I<J<K (B) I<K<J (C) J <I<K (D) K<J<I⑸ 设A 为3阶矩阵・将A 的第2列加到第1列得矩阵3.再交换B 的第2行与第31 O OU O 0,行得单位矩阵记为片=1 1 O,£ = O O 1,0 0 1’O 1 O 丿(C) P 2P 1 (D) P['P ∖(6)设人为4x3矩阵,7,J Il > “3 是非齐次线性方程组AX = 0的3个线性无关的(B) P^P I (A)砒 ,则4 =(B)t h∑211 + k2{η2-η^(C)T h;+ & (% - 帀)+ £(“2 - 7)(D)+ «2(〃2 一〃1)+ 鸟3(〃3一帀)(7)设F i(x), F2(X)为两个分布函数,其相应的概率密度f l(x), /I(X)是连续函数, 则必为概率密度的是(A)∕1U)Λ(x)(B) If2(X)FM(C) ∕1(X)F2(X)(D) f l(x)F2(x) + f2(x)F i(x)(8)设总体X服从参数2(Λ>0)的泊松分布,X P X l,..∙X,1(∕z≥2)为来自总体的简1" IilZil单随即样本,贝IJ对应的统iiS7;=-yx(., T l =——Vx1-+-X,,刃台^ H-I ⅛r IJ '(A) ET i > ET2i DT l > DT2(B) ETl > ET^DT i < DT2(C) ET x < ET2.DT x > DT1(D) ET x < ET1,DT x < DT1二、填空题:旷14小题,每小题4分,共24分,请将答案写在答题纸指定位置上.X(9)设/(x) = IimX(I+ 3r)7,则 / (X) = __ ・∕→0X(10)设函数2 = (1 +丄)匚则^I(II= _______ ・y(11)曲线tan(x + y + -)="在点(0,0)处的切线方程为_______ ・4(12)曲线y = 直线X = I及X轴所囤成的平面图形绕X轴旋转所成的旋转体的体积 _____ .(13)设二次型/(X P X2,X3)= XΓAΛ-的秩为1, A中行元素之和为3,则/在正交变换下X = Qy的标准型为 ____ •(14)设二维随机变⅛(X,K)服从N(“,“;bSb?;。
2004年考研数学(三)真题一、填空题(本题共6小题,每小题4分,满分24分. 把答案填在题中横线上) (1) 若5)(cos sin lim0=--→b x ae xx x ,则a =______,b =______.(2) 设函数f (u , v )由关系式f [xg (y ) , y ] = x + g (y )确定,其中函数g (y )可微,且g (y ) ≠ 0,则2fu v ∂=∂∂.(3) 设⎪⎩⎪⎨⎧≥-<≤-=21,12121,)(2x x xe x f x ,则212(1)f x dx -=⎰.(4) 二次型2132********)()()(),,(x x x x x x x x x f ++-++=的秩为 .(5) 设随机变量X 服从参数为λ的指数分布, 则=>}{DX X P _______.(6) 设总体X 服从正态分布),(21σμN , 总体Y 服从正态分布),(22σμN ,1,,21n X X X 和 2,,21n Y Y Y 分别是来自总体X 和Y 的简单随机样本, 则12221112()()2n n i j i j X X Y Y E n n ==⎡⎤-+-⎢⎥⎢⎥=⎢⎥+-⎢⎥⎢⎥⎣⎦∑∑.二、选择题(本题共6小题,每小题4分,满分24分. 每小题给出的四个选项中,只有一项符合题目要求,把所选项前的字母填在题后的括号内) (7) 函数2)2)(1()2sin(||)(---=x x x x x x f 在下列哪个区间内有界. (A) (-1 , 0).(B) (0 , 1).(C) (1 , 2).(D) (2 , 3). [ ](8) 设f (x )在(-∞ , +∞)内有定义,且a x f x =∞→)(lim , ⎪⎩⎪⎨⎧=≠=0,00,)1()(x x x f x g ,则(A) x = 0必是g (x )的第一类间断点. (B) x = 0必是g (x )的第二类间断点.(C) x = 0必是g (x )的连续点.(D) g (x )在点x = 0处的连续性与a 的取值有关. [ ] (9) 设f (x ) = |x (1 - x )|,则(A) x = 0是f (x )的极值点,但(0 , 0)不是曲线y = f (x )的拐点. (B) x = 0不是f (x )的极值点,但(0 , 0)是曲线y = f (x )的拐点. (C) x = 0是f (x )的极值点,且(0 , 0)是曲线y = f (x )的拐点.(D) x = 0不是f (x )的极值点,(0 , 0)也不是曲线y = f (x )的拐点. [ ] (10) 设有下列命题:(1) 若∑∞=-+1212)(n n n u u 收敛,则∑∞=1n n u 收敛.(2) 若∑∞=1n n u 收敛,则∑∞=+11000n n u 收敛.(3) 若1lim1>+∞→nn n u u ,则∑∞=1n n u 发散. (4) 若∑∞=+1)(n n n v u 收敛,则∑∞=1n n u ,∑∞=1n n v 都收敛.则以上命题中正确的是(A) (1) (2). (B) (2) (3).(C) (3) (4). (D) (1) (4). [ ](11) 设)(x f '在[a , b]上连续,且0)(,0)(<'>'b f a f ,则下列结论中错误的是 (A) 至少存在一点),(0b a x ∈,使得)(0x f > f (a ). (B) 至少存在一点),(0b a x ∈,使得)(0x f > f (b ). (C) 至少存在一点),(0b a x ∈,使得0)(0='x f .(D) 至少存在一点),(0b a x ∈,使得)(0x f = 0.[ D ](12) 设n 阶矩阵A 与B 等价, 则必有(A) 当)0(||≠=a a A 时, a B =||. (B) 当)0(||≠=a a A 时, a B -=||. (C) 当0||≠A 时, 0||=B . (D) 当0||=A 时, 0||=B . [ ] (13) 设n 阶矩阵A 的伴随矩阵,0*≠A 若4321,,,ξξξξ是非齐次线性方程组 b Ax =的互不相等的解,则对应的齐次线性方程组0=Ax 的基础解系 (A) 不存在. (B) 仅含一个非零解向量.(C) 含有两个线性无关的解向量. (D) 含有三个线性无关的解向量.[ ](14) 设随机变量X 服从正态分布)1,0(N , 对给定的)1,0(∈α, 数αu 满足αu X P α=>}{,若αx X P =<}|{|, 则x 等于 (A) 2αu . (B) 21αu-. (C) 21αu -. (D) αu -1. [ ]三、解答题(本题共9小题,满分94分. 解答应写出文字说明、证明过程或演算步骤.) (15) (本题满分8分)求)cos sin 1(lim 2220xxx x -→. (16) (本题满分8分)求⎰⎰++Dd y y x σ)(22,其中D 是由圆422=+y x 和1)1(22=++y x 所围成的 平面区域(如图).(17) (本题满分8分) 设f (x ) , g (x )在[a , b ]上连续,且满足⎰⎰≥x axadt t g dt t f )()(,x ∈ [a , b ),⎰⎰=bab adt t g dt t f )()(.证明:⎰⎰≤baba dx x xg dx x xf )()(.(18) (本题满分9分) 设某商品的需求函数为Q = 100 - 5P ,其中价格P ∈ (0 , 20),Q 为需求量. (I) 求需求量对价格的弹性d E (d E > 0);(II) 推导)1(d E Q dPdR-=(其中R 为收益),并用弹性d E 说明价格在何范围内变化时, 降低价格反而使收益增加. (19) (本题满分9分) 设级数)(864264242864+∞<<-∞+⋅⋅⋅+⋅⋅+⋅x x x x 的和函数为S (x ). 求:(I) S (x )所满足的一阶微分方程; (II) S (x )的表达式. (20)(本题满分13分)设T α)0,2,1(1=, T ααα)3,2,1(2-+=, T b αb α)2,2,1(3+---=, Tβ)3,3,1(-=,试讨论当b a ,为何值时,(Ⅰ) β不能由321,,ααα线性表示;(Ⅱ) β可由321,,ααα唯一地线性表示, 并求出表示式;(Ⅲ) β可由321,,ααα线性表示, 但表示式不唯一, 并求出表示式. (21) (本题满分13分) 设n 阶矩阵⎪⎪⎪⎪⎪⎭⎫ ⎝⎛=111b b b b b b A . (Ⅰ) 求A 的特征值和特征向量;(Ⅱ) 求可逆矩阵P , 使得AP P 1-为对角矩阵. (22) (本题满分13分)设A ,B 为两个随机事件,且41)(=A P , 31)|(=AB P , 21)|(=B A P , 令 ⎩⎨⎧=不发生,,发生,A A X 0,1 ⎩⎨⎧=.0,1不发生,发生,B B Y 求(Ⅰ) 二维随机变量),(Y X 的概率分布; (Ⅱ) X 与Y 的相关系数 XY ρ; (Ⅲ) 22Y X Z +=的概率分布. (23) (本题满分13分)设随机变量X 的分布函数为⎪⎩⎪⎨⎧≤>⎪⎭⎫ ⎝⎛-=,,,αx αx x αβαx F β0,1),,( 其中参数1,0>>βα. 设n X X X ,,,21 为来自总体X 的简单随机样本,(Ⅰ) 当1=α时, 求未知参数β的矩估计量; (Ⅱ) 当1=α时, 求未知参数β的最大似然估计量; (Ⅲ) 当2=β时, 求未知参数α的最大似然估计量.2004年考研数学(三)真题解析一、填空题(本题共6小题,每小题4分,满分24分. 把答案填在题中横线上) (1) 若5)(cos sin lim0=--→b x ae xx x ,则a =1,b =4-.【分析】本题属于已知极限求参数的反问题. 【详解】因为5)(cos sin lim0=--→b x a e xx x ,且0)(cos sin lim 0=-⋅→b x x x ,所以0)(lim 0=-→a e x x ,得a = 1. 极限化为51)(cos lim )(cos sin lim00=-=-=--→→b b x x x b x a e x x x x ,得b = -4.因此,a = 1,b = -4. 【评注】一般地,已知)()(limx g x f = A , (1) 若g (x ) → 0,则f (x ) → 0;(2) 若f (x ) → 0,且A ≠ 0,则g (x ) → 0.(2) 设函数f (u , v )由关系式f [xg (y ) , y ] = x + g (y )确定,其中函数g (y )可微,且g (y ) ≠ 0,则)()(22v g v g vu f'-=∂∂∂.【分析】令u = xg (y ),v = y ,可得到f (u , v )的表达式,再求偏导数即可. 【详解】令u = xg (y ),v = y ,则f (u , v ) =)()(v g v g u+,所以,)(1v g u f =∂∂,)()(22v g v g v u f '-=∂∂∂. (3) 设⎪⎩⎪⎨⎧≥-<≤-=21,12121,)(2x x xe x f x ,则21)1(221-=-⎰dx x f .【分析】本题属于求分段函数的定积分,先换元:x - 1 = t ,再利用对称区间上奇偶函数的积分性质即可.【详解】令x - 1 = t ,⎰⎰⎰--==-121121221)()()1(dt x f dt t f dx x f=21)21(0)1(12121212-=-+=-+⎰⎰-dx dx xe x .【评注】一般地,对于分段函数的定积分,按分界点划分积分区间进行求解.(4) 二次型2132********)()()(),,(x x x x x x x x x f ++-++=的秩为 2 .【分析】二次型的秩即对应的矩阵的秩, 亦即标准型中平方项的项数, 于是利用初等变换或配方法均可得到答案.【详解一】因为2132********)()()(),,(x x x x x x x x x f ++-++=323121232221222222x x x x x x x x x -++++=于是二次型的矩阵为 ⎪⎪⎪⎭⎫ ⎝⎛--=211121112A ,由初等变换得 ⎪⎪⎪⎭⎫ ⎝⎛--→⎪⎪⎪⎭⎫ ⎝⎛---→000330211330330211A ,从而 2)(=A r , 即二次型的秩为2.【详解二】因为2132********)()()(),,(x x x x x x x x x f ++-++=323121232221222222x x x x x x x x x -++++= 2322321)(23)2121(2x x x x x -+++= 2221232y y +=,其中 ,21213211x x x y ++= 322x x y -=.所以二次型的秩为2.(5) 设随机变量X 服从参数为λ的指数分布, 则=>}{DX X Pe1. 【分析】 根据指数分布的分布函数和方差立即得正确答案. 【详解】 由于21λDX =, X 的分布函数为 ⎩⎨⎧≤>-=-.0,0,0,1)(x x e x F x λ故=>}{DX X P =≤-}{1DX X P =≤-}1{1λX P )1(1λF -e1=.【评注】本题是对重要分布, 即指数分布的考查, 属基本题型.(6) 设总体X 服从正态分布),(21σμN , 总体Y 服从正态分布),(22σμN ,1,,21n X X X 和 2,,21n Y Y Y 分别是来自总体X 和Y 的简单随机样本, 则22121212)()(21σn n Y Y X X En j j n i i =⎥⎥⎥⎥⎥⎦⎤⎢⎢⎢⎢⎢⎣⎡-+-+-∑∑==.【分析】利用正态总体下常用统计量的数字特征即可得答案.【详解】因为 2121])(11[1σX X n E n i i =--∑=, 2122])(11[2σY Y n E n j j =--∑=, 故应填 2σ.【评注】本题是对常用统计量的数字特征的考查.二、选择题(本题共6小题,每小题4分,满分24分. 每小题给出的四个选项中,只有一项符合题目要求,把所选项前的字母填在题后的括号内) (7) 函数2)2)(1()2sin(||)(---=x x x x x x f 在下列哪个区间内有界. (A) (-1 , 0). (B) (0 , 1).(C) (1 , 2).(D) (2 , 3). [ A ]【分析】如f (x )在(a , b )内连续,且极限)(lim x f a x +→与)(lim x f b x -→存在,则函数f (x )在(a , b )内有界.【详解】当x ≠ 0 , 1 , 2时,f (x )连续,而183sin )(lim1-=+-→x f x ,42sin )(lim 0-=-→x f x ,42sin )(lim 0=+→x f x ,∞=→)(lim 1x f x ,∞=→)(lim 2x f x , 所以,函数f (x )在(-1 , 0)内有界,故选(A).【评注】一般地,如函数f (x )在闭区间[a , b ]上连续,则f (x )在闭区间[a , b ]上有界;如函数f (x )在开区间(a , b )内连续,且极限)(lim x f a x +→与)(lim x f b x -→存在,则函数f (x )在开区间(a , b )内有界.(8) 设f (x )在(-∞ , +∞)内有定义,且a x f x =∞→)(lim ,⎪⎩⎪⎨⎧=≠=0,00,)1()(x x xf xg ,则 (A) x = 0必是g (x )的第一类间断点. (B) x = 0必是g (x )的第二类间断点.(C) x = 0必是g (x )的连续点.(D) g (x )在点x = 0处的连续性与a 的取值有关. [ D ] 【分析】考查极限)(lim 0x g x →是否存在,如存在,是否等于g (0)即可,通过换元xu 1=,可将极限)(lim 0x g x →转化为)(lim x f x ∞→.【详解】因为)(lim )1(lim )(lim 0u f x f x g u x x ∞→→→=== a (令xu 1=),又g (0) = 0,所以,当a = 0时,)0()(lim 0g x g x =→,即g (x )在点x = 0处连续,当a ≠ 0时,)0()(lim 0g x g x ≠→,即x = 0是g (x )的第一类间断点,因此,g (x )在点x = 0处的连续性与a 的取值有关,故选(D).【评注】本题属于基本题型,主要考查分段函数在分界点处的连续性. (9) 设f (x ) = |x (1 - x )|,则(A) x = 0是f (x )的极值点,但(0 , 0)不是曲线y = f (x )的拐点. (B) x = 0不是f (x )的极值点,但(0 , 0)是曲线y = f (x )的拐点. (C) x = 0是f (x )的极值点,且(0 , 0)是曲线y = f (x )的拐点.(D) x = 0不是f (x )的极值点,(0 , 0)也不是曲线y = f (x )的拐点. [ C ] 【分析】由于f (x )在x = 0处的一、二阶导数不存在,可利用定义判断极值情况,考查f (x )在x = 0的左、右两侧的二阶导数的符号,判断拐点情况.【详解】设0 < δ < 1,当x ∈ (-δ , 0) ⋃ (0 , δ)时,f (x ) > 0,而f (0) = 0,所以x = 0是f (x )的极小值点. 显然,x = 0是f (x )的不可导点. 当x ∈ (-δ , 0)时,f (x ) = -x (1 - x ),02)(>=''x f ,当x ∈ (0 , δ)时,f (x ) = x (1 - x ),02)(<-=''x f ,所以(0 , 0)是曲线y = f (x )的拐点.故选(C).【评注】对于极值情况,也可考查f (x )在x = 0的某空心邻域内的一阶导数的符号来判断. (10) 设有下列命题:(1) 若∑∞=-+1212)(n n n u u 收敛,则∑∞=1n n u 收敛.(2) 若∑∞=1n n u 收敛,则∑∞=+11000n n u 收敛.(3) 若1lim1>+∞→nn n u u ,则∑∞=1n n u 发散. (4) 若∑∞=+1)(n n n v u 收敛,则∑∞=1n n u ,∑∞=1n n v 都收敛.则以上命题中正确的是 (A) (1) (2). (B) (2) (3). (C) (3) (4). (D) (1) (4). [ B ]【分析】可以通过举反例及级数的性质来说明4个命题的正确性. 【详解】(1)是错误的,如令nn u )1(-=,显然,∑∞=1n n u 分散,而∑∞=-+1212)(n n n u u 收敛.(2)是正确的,因为改变、增加或减少级数的有限项,不改变级数的收敛性.(3)是正确的,因为由1lim1>+∞→nn n u u 可得到n u 不趋向于零(n → ∞),所以∑∞=1n n u 发散. (4)是错误的,如令n v n u n n 1,1-==,显然,∑∞=1n n u ,∑∞=1n n v 都发散,而∑∞=+1)(n n n v u 收敛. 故选(B).【评注】本题主要考查级数的性质与收敛性的判别法,属于基本题型.(11) 设)(x f '在[a , b]上连续,且0)(,0)(<'>'b f a f ,则下列结论中错误的是 (A) 至少存在一点),(0b a x ∈,使得)(0x f > f (a ). (B) 至少存在一点),(0b a x ∈,使得)(0x f > f (b ). (C) 至少存在一点),(0b a x ∈,使得0)(0='x f .(D) 至少存在一点),(0b a x ∈,使得)(0x f = 0.[ D ]【分析】利用介值定理与极限的保号性可得到三个正确的选项,由排除法可选出错误选项. 【详解】首先,由已知)(x f '在[a , b]上连续,且0)(,0)(<'>'b f a f ,则由介值定理,至少存在一点),(0b a x ∈,使得0)(0='x f ;另外,0)()(lim)(>--='+→ax a f x f a f a x ,由极限的保号性,至少存在一点),(0b a x ∈使得0)()(00>--ax a f x f ,即)()(0a f x f >. 同理,至少存在一点),(0b a x ∈使得)()(0b f x f >. 所以,(A) (B) (C)都正确,故选(D).【评注】 本题综合考查了介值定理与极限的保号性,有一定的难度. (12) 设n 阶矩阵A 与B 等价, 则必有(A) 当)0(||≠=a a A 时, a B =||. (B) 当)0(||≠=a a A 时, a B -=||. (C) 当0||≠A 时, 0||=B . (D) 当0||=A 时, 0||=B . [ D ] 【分析】 利用矩阵A 与B 等价的充要条件: )()(B r A r =立即可得.【详解】因为当0||=A 时, n A r <)(, 又 A 与B 等价, 故n B r <)(, 即0||=B , 故选(D).【评注】本题是对矩阵等价、行列式的考查, 属基本题型.(13) 设n 阶矩阵A 的伴随矩阵,0*≠A 若4321,,,ξξξξ是非齐次线性方程组 b Ax =的 互不相等的解,则对应的齐次线性方程组0=Ax 的基础解系 (A) 不存在. (B) 仅含一个非零解向量.(C) 含有两个线性无关的解向量. (D) 含有三个线性无关的解向量. [ B ] 【分析】 要确定基础解系含向量的个数, 实际上只要确定未知数的个数和系数矩阵的秩. 【详解】 因为基础解系含向量的个数=)(A r n -, 而且⎪⎩⎪⎨⎧-<-===.1)(,0,1)(,1,)(,)(*n A r n A r n A r n A r根据已知条件,0*≠A 于是)(A r 等于n 或1-n . 又b Ax =有互不相等的解, 即解不惟一, 故1)(-=n A r . 从而基础解系仅含一个解向量, 即选(B).【评注】本题是对矩阵A 与其伴随矩阵*A 的秩之间的关系、线性方程组解的结构等多个知识点的综合考查. (14) 设随机变量X 服从正态分布)1,0(N , 对给定的)1,0(∈α, 数αu 满足αu X P α=>}{,若αx X P =<}|{|, 则x 等于 (A) 2αu . (B) 21αu-. (C) 21αu -. (D) αu -1. [ C ]【分析】 利用标准正态分布密度曲线的对称性和几何意义即得. 【详解】 由αx X P =<}|{|, 以及标准正态分布密度曲线的对称性可得21}{αx X P -=>. 故正确答案为(C). 【评注】本题是对标准正态分布的性质, 严格地说它的上分位数概念的考查.三、解答题(本题共9小题,满分94分. 解答应写出文字说明、证明过程或演算步骤.) (15) (本题满分8分)求)cos sin 1(lim 2220xxx x -→. 【分析】先通分化为“”型极限,再利用等价无穷小与罗必达法则求解即可. 【详解】xx xx x x x x x x 2222202220sin cos sin lim )cos sin 1(lim -=-→→=346)4(21lim 64cos 1lim 44sin 212lim 2sin 41lim 22020304220==-=-=-→→→→xx x x x x x x x x x x x x .【评注】本题属于求未定式极限的基本题型,对于“0”型极限,应充分利用等价无穷小替换来简化计算. (16) (本题满分8分) 求⎰⎰++Dd y y x σ)(22,其中D 是由圆422=+y x 和1)1(22=++y x 所围成的平面区域(如图).【分析】首先,将积分区域D 分为大圆}4|),{(221≤+=y x y x D 减去小圆}1)1(|),{(222≤++=y x y x D ,再利用对称性与极坐标计算即可.【详解】令}1)1(|),{(},4|),{(222221≤++=≤+=y x y x D y x y x D ,由对称性,0=⎰⎰Dyd σ.⎰⎰⎰⎰⎰⎰+-+=+21222222D D Dd y x d y x d y x σσσ⎰⎰⎰⎰--=θπππθθcos 20223220220dr r d dr r d .)23(916932316-=-=ππ所以,)23(916)(22-=++⎰⎰πσDd y y x . 【评注】本题属于在极坐标系下计算二重积分的基本题型,对于二重积分,经常利用对称性及将一个复杂区域划分为两个或三个简单区域来简化计算. (17) (本题满分8分) 设f (x ) , g (x )在[a , b ]上连续,且满足⎰⎰≥x axadt t g dt t f )()(,x ∈ [a , b ),⎰⎰=bab adt t g dt t f )()(.证明:⎰⎰≤baba dx x xg dx x xf )()(.【分析】令F (x ) = f (x ) - g (x ),⎰=xa dt t F x G )()(,将积分不等式转化为函数不等式即可. 【详解】令F (x ) = f (x ) - g (x ),⎰=xa dt t F x G )()(,由题设G (x ) ≥ 0,x ∈ [a , b ],G (a ) = G (b ) = 0,)()(x F x G ='.从而⎰⎰⎰⎰-=-==bab ababa b a dx x G dx x G x xG x xdG dx x xF )()()()()(,由于 G (x ) ≥ 0,x ∈ [a , b ],故有0)(≤-⎰badx x G ,即0)(≤⎰ba dx x xF .因此⎰⎰≤babadx x xg dx x xf )()(.【评注】引入变限积分转化为函数等式或不等式是证明积分等式或不等式的常用的方法. (18) (本题满分9分) 设某商品的需求函数为Q = 100 - 5P ,其中价格P ∈ (0 , 20),Q 为需求量. (I) 求需求量对价格的弹性d E (d E > 0);(II) 推导)1(d E Q dPdR-=(其中R 为收益),并用弹性d E 说明价格在何范围内变化时,降低价格反而使收益增加.【分析】由于d E > 0,所以dP dQ Q P E d =;由Q = PQ 及dPdQQ P E d =可推导 )1(d E Q dPdR-=. 【详解】(I) PPdP dQ Q P E d -==20. (II) 由R = PQ ,得)1()1(d E Q dPdQ Q P Q dP dQ P Q dP dR -=+=+=. 又由120=-=PPE d ,得P = 10.当10 < P < 20时,d E > 1,于是0<dPdR,故当10 < P < 20时,降低价格反而使收益增加.【评注】当d E > 0时,需求量对价格的弹性公式为dPdQQ P dP dQ Q P E d -==. 利用需求弹性分析收益的变化情况有以下四个常用的公式:Qdp E dR d )1(-=,Q E dpdRd )1(-=,p E dQ dR d )11(-=, d E EpER-=1(收益对价格的弹性). (19) (本题满分9分) 设级数)(864264242864+∞<<-∞+⋅⋅⋅+⋅⋅+⋅x x x x 的和函数为S (x ). 求:(I) S (x )所满足的一阶微分方程; (II) S (x )的表达式.【分析】对S (x )进行求导,可得到S (x )所满足的一阶微分方程,解方程可得S (x )的表达式.【详解】(I) +⋅⋅⋅+⋅⋅+⋅=864264242)(864x x x x S , 易见 S (0) = 0,+⋅⋅+⋅+='642422)(753x x x x S)642422(642 +⋅⋅+⋅+=x x x x)](2[2x S x x +=.因此S (x )是初值问题0)0(,23=+='y x xy y 的解.(II) 方程23x xy y +='的通解为]2[3C dx e x e y xdx xdx +⎰⎰=⎰- 22212x Ce x +--=,由初始条件y(0) = 0,得C = 1.故12222-+-=x e x y ,因此和函数12)(222-+-=x e x x S .【评注】本题综合了级数求和问题与微分方程问题,2002年考过类似的题. (20)(本题满分13分)设T α)0,2,1(1=, T ααα)3,2,1(2-+=, T b αb α)2,2,1(3+---=, Tβ)3,3,1(-=,试讨论当b a ,为何值时,(Ⅰ) β不能由321,,ααα线性表示;(Ⅱ) β可由321,,ααα唯一地线性表示, 并求出表示式;(Ⅲ) β可由321,,ααα线性表示, 但表示式不唯一, 并求出表示式.【分析】将β可否由321,,ααα线性表示的问题转化为线性方程组βαk αk αk =++332211是否有解的问题即易求解. 【详解】 设有数,,,321k k k 使得βαk αk αk =++332211. (*) 记),,(321αααA =. 对矩阵),(βA 施以初等行变换, 有⎥⎥⎥⎦⎤⎢⎢⎢⎣⎡-+---+-=323032221111),(b a a b a βA ⎥⎥⎥⎦⎤⎢⎢⎢⎣⎡---→000101111b a b a .(Ⅰ) 当0=a 时, 有⎥⎥⎥⎦⎤⎢⎢⎢⎣⎡---→10001001111),(b βA . 可知),()(βA r A r ≠. 故方程组(*)无解, β不能由321,,ααα线性表示. (Ⅱ) 当0≠a , 且b a ≠时, 有⎥⎥⎥⎦⎤⎢⎢⎢⎣⎡---→000101111),(b a b a βA ⎥⎥⎥⎥⎥⎥⎦⎤⎢⎢⎢⎢⎢⎢⎣⎡-→0100101011001a a 3),()(==βA r A r , 方程组(*)有唯一解:a k 111-=, ak 12=, 03=k . 此时β可由321,,ααα唯一地线性表示, 其表示式为 211)11(αaαa β+-=. (Ⅲ) 当0≠=b a 时, 对矩阵),(βA 施以初等行变换, 有⎥⎥⎥⎦⎤⎢⎢⎢⎣⎡---→000101111),(b a b a βA ⎥⎥⎥⎥⎥⎥⎦⎤⎢⎢⎢⎢⎢⎢⎣⎡--→0000111011001a a , 2),()(==βA r A r , 方程组(*)有无穷多解, 其全部解为a k 111-=, c ak +=12, c k =3, 其中c 为任意常数. β 可由321,,ααα线性表示, 但表示式不唯一, 其表示式为321)1()11(αc αc aαa β+++-=. 【评注】本题属于常规题型, 曾考过两次(1991, 2000).(21) (本题满分13分) 设n 阶矩阵⎪⎪⎪⎪⎪⎭⎫ ⎝⎛=111 b b b b b b A .(Ⅰ) 求A 的特征值和特征向量;(Ⅱ) 求可逆矩阵P , 使得AP P 1-为对角矩阵.【分析】这是具体矩阵的特征值和特征向量的计算问题, 通常可由求解特征方程0||=-A E λ和齐次线性方程组0)(=-x A E λ来解决.【详解】 (Ⅰ)1当0≠b 时,111||---------=-λbbb λb b b λA E λ=1)]1(][)1(1[------n b λb n λ ,得A 的特征值为b n λ)1(11-+=,b λλn -===12 . 对b n λ)1(11-+=,⎪⎪⎪⎪⎪⎭⎫ ⎝⎛---------=-b n b b b b n b b b b n A E λ)1()1()1(1 →⎪⎪⎪⎪⎪⎭⎫ ⎝⎛---------)1(111)1(111)1(n n n→⎪⎪⎪⎪⎪⎪⎭⎫ ⎝⎛------------0000111111111111 n n n →⎪⎪⎪⎪⎪⎪⎭⎫ ⎝⎛---------0000111111111111 n n n →⎪⎪⎪⎪⎪⎪⎭⎫ ⎝⎛---000000001111n n n n n →⎪⎪⎪⎪⎪⎪⎭⎫⎝⎛---0000110010101001解得Tξ)1,,1,1,1(1 =,所以A 的属于1λ的全部特征向量为 Tk ξk )1,,1,1,1(1 = (k 为任意不为零的常数). 对b λ-=12,⎪⎪⎪⎪⎪⎭⎫ ⎝⎛---------=-b b b b b b b b b A E λ 2→⎪⎪⎪⎪⎪⎭⎫⎝⎛000000111 得基础解系为T ξ)0,,0,1,1(2 -=,T ξ)0,,1,0,1(3 -=,T n ξ)1,,0,0,1(,-= .故A 的属于2λ的全部特征向量为n n ξk ξk ξk +++ 3322 (n k k k ,,,32 是不全为零的常数).2 当0=b 时,n λλλλA E λ)1(1010001||-=---=-,特征值为11===n λλ ,任意非零列向量均为特征向量.(Ⅱ) 1当0≠b 时,A 有n 个线性无关的特征向量,令),,,(21n ξξξP =,则⎪⎪⎪⎪⎪⎭⎫ ⎝⎛---+=-b b b n AP P 11)1(112 当0=b 时,E A =,对任意可逆矩阵P , 均有E AP P =-1.【评注】本题通过考查矩阵的特征值和特征向量而间接考查了行列式的计算, 齐次线性方程组的求解和矩阵的对角化等问题, 属于有一点综合性的试题. 另外,本题的解题思路是容易的, 只要注意矩阵中含有一个未知参数, 从而一般要讨论其不同取值情况. (22) (本题满分13分)设A ,B 为两个随机事件,且41)(=A P , 31)|(=AB P , 21)|(=B A P , 令 ⎩⎨⎧=不发生,,发生,A A X 0,1 ⎩⎨⎧=.0,1不发生,发生,B B Y 求(Ⅰ) 二维随机变量),(Y X 的概率分布; (Ⅱ) X 与Y 的相关系数 XY ρ; (Ⅲ) 22Y X Z +=的概率分布.【分析】本题的关键是求出),(Y X 的概率分布,于是只要将二维随机变量),(Y X 的各取值对转化为随机事件A 和B 表示即可.【详解】 (Ⅰ) 因为 121)|()()(==A B P A P AB P , 于是 61)|()()(==B A P AB P B P , 则有 121)(}1,1{====AB P Y X P , 61)()()(}0,1{=-====AB P A P B A P Y X P , 121)()()(}1,0{=-====AB P B P B A P Y X P ,32)]()()([1)(1)(}0,0{=-+-=⋃-=⋅===AB P B P A P B A P B A P Y X P , ( 或 32121611211}0,0{=---===Y X P ), 即),(Y X 的概率分布为:YX0 10 132121 61121(Ⅱ) 方法一:因为 41)(==A P EX ,61)(==B P EY ,121)(=XY E , 41)(2==A P EX ,61)(2==B P EY ,163)(22=-=EX EX DX ,165)(22=-=EY EY DY ,241)(),(=-=EXEY XY E Y X Cov ,所以X 与Y 的相关系数 1515151),(==⋅=DYDX Y X Cov ρXY . 方法二: X, Y 的概率分布分别为X 0 1 Y 0 1P 43 41 P 65 61 则61,41==EY EX ,163=DX ,DY=365, E(XY)=121,故 241)(),(=⋅-=EY EX XY E Y X Cov ,从而.1515),(=⋅=DYDX Y X Cov XY ρ (Ⅲ) Z 的可能取值为:0,1,2 .32}0,0{}0{=====Y X P Z P , 41}1,0{}0,1{}1{===+====Y X P Y X P Z P , 121}1,1{}2{=====Y X P Z P , 即Z 的概率分布为:Z 0 1 2P3241 121 【评注】本题考查了二维离散随机变量联合概率分布,数字特征和二维离散随机变量函数的分布等计算问题,属于综合性题型 (23) (本题满分13分)设随机变量X 的分布函数为⎪⎩⎪⎨⎧≤>⎪⎭⎫ ⎝⎛-=,,,αx αx x αβαx F β0,1),,( 其中参数1,0>>βα. 设n X X X ,,,21 为来自总体X 的简单随机样本,(Ⅰ) 当1=α时, 求未知参数β的矩估计量; (Ⅱ) 当1=α时, 求未知参数β的最大似然估计量; (Ⅲ) 当2=β时, 求未知参数α的最大似然估计量.【分析】本题是一个常规题型, 只要注意求连续型总体未知参数的矩估计和最大似然估计都须已知密度函数,从而先由分布函数求导得密度函数.【详解】 当1=α时, X 的概率密度为⎪⎩⎪⎨⎧≤>=+,,,101,),(1x x x ββx f β(Ⅰ) 由于⎰⎰+∞++∞∞--=⋅==11,1);(ββdx x βx dx βx xf EX β 令X ββ=-1, 解得 1-=X X β, 所以, 参数β的矩估计量为 1-=X Xβ. (Ⅱ) 对于总体X 的样本值n x x x ,,,21 , 似然函数为∏=+⎪⎩⎪⎨⎧=>==ni i βnni n i x x x x βαx f βL 1121.,0),,,2,1(1,)();()(其他当),,2,1(1n i x i =>时, 0)(>βL , 取对数得 ∑=+-=ni ixββn βL 1ln )1(ln )(ln ,对β求导数,得∑=-=ni i x βn βd βL d 1ln )]([ln , 令0ln )]([ln 1=-=∑=ni i x βn βd βL d , 解得 ∑==ni ixnβ1ln ,于是β的最大似然估计量为∑==ni ixnβ1ln ˆ.( Ⅲ) 当2=β时, X 的概率密度为⎪⎩⎪⎨⎧≤>=,,,αx αx x αβx f 0,2),(32对于总体X 的样本值n x x x ,,,21 , 似然函数为∏=⎪⎩⎪⎨⎧=>==ni i nnn i n i αx x x x ααx f βL 13212.,0),,,2,1(,)(2);()(其他当),,2,1(n i αx i =>时, α越大,)(αL 越大, 即α的最大似然估计值为},,,m in{ˆ21n x x x α=, 于是α的最大似然估计量为},,,m in{ˆ21n X X X α=.。