dns常用记录
- 格式:doc
- 大小:1.58 MB
- 文档页数:31
如何使用域名系统(DNS)管理子域名的方法与技巧随着互联网的迅猛发展,域名系统(DNS)的作用越来越重要。
DNS是用于将域名转换为IP地址的系统,它是互联网中最关键的基础设施之一。
而在域名系统中,子域名的管理是一个非常重要的环节。
什么是子域名?子域名是指在主域名之下的域名,例如,主域名为,子域名可以是子域名的好处使用子域名有很多好处。
首先,它可以使网站的结构更加清晰,并能更好地组织网站内容。
例如,如果一个公司有多个产品,可以为每个产品创建一个子域名,这样用户可以更容易地找到所需的产品信息。
其次,子域名还可以被用作为不同的测试环境,便于开发人员进行测试和调试。
另外,子域名还可以用于创建个性化的电子邮件地址,使企业或个人在电子邮件中展示自己的专业形象。
如何使用DNS管理子域名?了解主域名的DNS记录类型在管理子域名之前,首先要了解主域名的DNS记录类型。
常见的DNS记录类型包括A记录、CNAME记录、MX记录和TXT记录等。
A记录将域名指向一个IP地址,CNAME记录将域名指向另一个域名,MX记录指定邮件服务器,TXT记录可以用于存储任意文本信息。
使用A记录创建子域名A记录是最常用的DNS记录类型,它将域名指向一个IP地址。
要创建一个子域名,可以添加一条A记录,并将子域名指向所需的IP地址。
例如,如果要创建一个名为的子域名并将其指向IP地址为的服务器,只需在DNS管理界面中添加一条A记录,将子域名设置为“blog”,IP地址设置为“”,保存即可。
使用CNAME记录创建子域名CNAME记录用于将一个域名指向另一个域名。
如果主域名已经有一个A记录指向了某个IP地址,并且想要在子域名上使用相同的IP地址,可以使用CNAME记录。
在DNS管理界面中添加一条CNAME记录,将子域名设置为“blog”,目标域名设置为主域名,保存即可。
使用MX记录设置邮件服务器如果希望为子域名设置独立的电子邮件服务器,可以使用MX记录。
详解DNS的常用记录(上)在上篇博文中,我们介绍了DNS服务器的体系结构,从中我们了解到如果我们希望注册一个域名,那么必须经过顶级域名服务器或其下级的域名服务器为我们申请的域名进行委派,把解析权委派到我们的DNS服务器上,这样我们才可以获得对所申请域名的解析权。
本文中我们将再进一步,假设我们已经为公司成功申请了一个域名,现在的解析权被委派到公司的DN S服务器202.99.16.1,那我们在202.99.16.1服务器上该进行什么样的配置呢?一安装DNS服务器首先我们要在服务器上安装DNS组件,服务器的TCP/IP配置如下图所示。
安装DNS组件非常简单,依次点击控制面板-添加或删除程序-添加/删除W indows组件-网络服务,如下图所示,选择“域名系统”即可。
二创建区域DNS服务器创建完毕之后,我们接下来就要创建DNS区域了,区域是DNS服务器所负责的名称空间,DNS服务器有正向区域和反向区域,正向区域负责把域名解析为IP,而反向区域负责把IP解析为域名。
DNS区域有三种类型,正向区域,反向区域和存根区域。
要理解区域类型,先要明白DNS服务器有主服务器和辅助服务器的区别。
一般情况下,企业申请域名时会考虑配备两个DNS服务器,一个是主服务器,另一个是辅助服务器。
一般的解析请求由主服务器负责,辅助服务器的数据是从主服务器复制而来的,辅助服务器的数据是只读的,当主服务器出现故障或由于负载太重无法响应客户机的解析请求时,辅助服务器会挺身而出担负起域名解析的任务。
现在我们回过头来解释一下什么是主要区域,主服务器使用的区域就是主要区域,同样,辅助服务器使用的区域是辅助区域。
存根区域可以看做是一个特殊的,简化的辅助区域,具体区别我们在后续博文中会加以介绍。
一般我们使用较多的是正向区域,而且从逻辑上考虑,必然是先创建主要区域,因为辅助区域和存根区域都需要从主要区域复制数据,因此我们现在的任务是要为区域创建一个正向的主要区域。
微软dns的解析日志格式1.引言1.1 概述微软DNS(Domain Name System)是一种用于将域名(如在本文中,我们将首先对微软DNS解析日志的概述进行介绍。
然后,我们将讨论文章的结构,并明确阐述本文的目的。
微软DNS解析日志的概述部分将深入探讨其重要性和功能。
通过解析日志,管理员可以追踪和分析网络上各种域名解析请求和响应的详细信息。
日志记录了每个解析请求的源IP地址、目标域名、解析结果等关键字段信息,为管理员提供了全面的网络状况分析和安全事件监测的依据。
此外,我们还将介绍微软DNS解析日志的格式以及其中包含的关键字段。
了解解析日志的各个字段的含义,对于管理员来说非常重要,因为它们是分析网络状况和监测安全事件的关键指标。
在接下来的正文部分,我们将详细阐述解析日志的含义与用途。
首先,我们将讨论如何通过分析解析日志来了解网络状况。
通过分析解析请求和响应之间的关系、解析速度以及错误信息,管理员可以获取网络运行状况的全面了解,并及时进行故障排除和优化。
其次,我们将探讨解析日志在监测安全事件方面的作用。
解析日志可以记录恶意域名、DNS劫持、DDoS攻击等安全事件,从而帮助管理员及时发现和应对安全威胁,保障网络的安全稳定性。
最后,在结论部分,我们将总结微软DNS解析日志格式的重要性和应用价值。
我们还会提出一些建议,以帮助管理员更好地利用解析日志来分析网络状况和监测安全事件,并展望未来微软DNS解析日志格式的发展方向。
通过本文的阐述,读者将能够全面了解微软DNS解析日志的格式以及其在网络状况分析和安全事件监测方面的重要性。
希望本文能够为管理员提供有价值的参考,促进网络的快速发展和安全运行。
1.2 文章结构本文将分为以下几个部分:第一部分为引言,介绍微软DNS解析日志格式的背景和重要性。
在引言中,我们将概述微软DNS解析日志格式的概念和作用,以及本文的目的和结构。
第二部分为正文,详细讨论微软DNS的解析日志格式。
DNS(3)--dns常⽤命令-rndc-dig-host-nslookup ⽬录1 bind⾃带客户端命令1.1 rndc命令rndc命令(remote name domain controller)默认与bind安装在同⼀主机,且只能通过127.0.0.1连接named进程。
提供辅助性的管理功能,端⼝为953/tcp。
命令语法为:rndc COMMAND常⽤选项为:选项说明reload重载主配置⽂件和区域解析库⽂件reload zonename重载区域解析库⽂件retransfer zonename⼿动启动区域传送,⽽不管序列号是否增加notify zonename重新对区域传送发通知reconfig重载主配置⽂件querylog开启或关闭查询⽇志⽂件/var/log/messagetrace递增debug⼀个级别trace LEVEL指定使⽤的级别notrace将调试级别设置为 0flush清空DNS服务器的所有缓存记录[root@dns01 ~]# systemctl start named[root@dns01 ~]# rndc reloadserver reload successful1.2 检查配置⽂件语法named-checkconf命令⽤于检查bind的配置⽂件的语法是否正确;named-checkzone 命令⽤于检查bind的区域配置⽂件语法是否正确;使⽤格式为:named-checkzone zonename filename#zonename为区域名称;#filename为区域⽂件的完整⽂件名;#检查bind配置⽂件语法:[root@dns01 ~]# named-checkconf#检查区域配置⽂件语法:[root@dns01 ~]#named-checkzone /var/named/.zone2 客户端测试命令2.1 dig命令dig只⽤于测试dns系统,不会查询hosts⽂件进⾏解析。
DNS 是域名系统(Domain Name System) 的缩写,该系统用于命名组织到域层次结构中的计算机和网络服务。
在Internet上域名与IP地址之间是一一对应的,域名虽然便于人们记忆,但机器之间只能互相认识IP地址,它们之间的转换工作称为域名解析,域名解析需要由专门的域名解析服务器来完成,DNS 就是进行域名解析的服务器。
DNS 命名用于Internet 等TCP/IP 网络中,通过用户友好的名称查找计算机和服务。
当用户在应用程序中输入DNS 名称时,DNS 服务可以将此名称解析为与之相关的其他信息,如IP 地址。
因为,你在上网时输入的网址,是通过域名解析系解析找到相对应的IP地址,这样才能上网。
其实,域名的最终指向是IP.说白了DNS就是你当地的网通或电信的DNS服务器的IP地址,如果你是从内网连接外网上网的话,就是内网的DNS服务器的IP地址。
DNS设置步骤∙1、用鼠标右击电脑桌面上的图标,选择属性,打开网络连接窗口。
∙2、找到“网络连接”中的∙3、弹出的“本地连接属性”窗口中,请双击“Internet协议(TCP/IP)”这一项(选中点属性也一样)。
∙∙4、照下图所示选择相关项目和添加数字,首选DNS服务器地址:222.45.0.110,备用DNS服务器地址;222.45.1.40,然后单击“确定”。
∙∙然后,关闭所有的窗口后再试。
DNS设置常见问题∙使用电脑拨号上网∙用户在单位上网时,笔记本里设置的是电信或者联通的DNS,回家后使用铁通宽带(通过ADSL Modem)拨号上网,在这种情况下,实际发挥作用的是哪个DNS?∙在使用ADSL modem拨号方式中,由于是PPPOE拨号获得的DNS优先使用,所以起作用的是通过铁通宽带拨号获得的DNS,与笔记本里设置的DNS无关。
∙用户使用拨号ADSL Modem上网时,铁通的一个DNS因为故障失效,用户上网是否会受到影响,能否正常使用备用DNS?∙由于铁通BRAS上正确配置了DNS地址,用户同时获得DNS地址,所以用户能正常使用DNS,不会出现访问中断,此时页面打开速度瞬间有变化,但感知不明显。
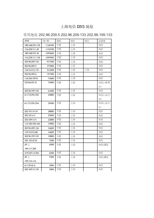
全国各地电信DNS服务器IP地址电信DNS 列表(按拼音排序, 共32条)电信A安徽202.102.192.68 202.102.199.68电信A澳门202.175.3.8 202.175.3.3电信B北京202.96.199.133 202.96.0.133 202.106.0.20 202.106.148.1电信C重庆61.128.128.68 61.128.192.68电信F福建202.101.115.55 218.85.157.99电信G甘肃202.100.64.68 61.178.0.93电信G广东202.96.128.86 202.96.128.166 202.96.134.133 202.96.128.68 电信G广西202.103.224.68 202.103.225.68电信G贵州202.98.192.67 202.98.198.167电信H海南202.100.192.68 202.100.199.8电信H河北219.150.32.132电信H黑龙江219.150.32.132 219.146.0.130 219.147.198.230电信H河南219.150.150.150 222.88.88.88 222.85.85.85电信H湖北202.103.0.68 202.103.24.68 202.103.0.117 202.103.44.150 电信H湖南220.170.0.18 202.103.96.68 61.187.91.18 220.170.64.68电信J江苏61.177.7.1 61.147.37.1 218.2.135.1 221.228.255.1电信J江西202.101.224.68 202.101.226.69电信J吉林219.149.194.55电信L辽宁219.150.32.132电信N内蒙古219.150.32.132 219.146.0.130电信N宁夏202.100.96.68 222.75.152.129电信Q青海202.100.128.68电信S山东219.146.0.130电信S上海202.96.209.5 202.96.209.133 202.96.199.133电信S陕西218.30.19.40 61.134.1.4电信S四川61.139.2.69 202.98.96.68 218.6.200.139 61.139.54.66电信T台湾168.95.1.1 168.95.192.1电信T天津202.99.104.68电信X香港205.252.144.126 218.102.62.71电信X新疆61.128.114.166 61.128.114.133 61.128.99.133 61.128.99.134电信Y云南202.98.160.68 202.98.161.68 61.166.150.101电信Z浙江60.191.244.5 202.96.113.34 220.189.127.107 60.191.134.206IP简介Internet 上的每台主机(Host)都有一个唯一的IP地址。
详解DNS常用记录(下)在上篇博文中我们介绍了DNS服务器中几种不可或缺的记录,包括A记录,NS 记录和SOA记录。
本篇博文中我们将继续为大家介绍DNS的另外几种常用记录,希望能对大家了解DNS有所帮助。
四 MX记录MX记录也被称为邮件交换器记录,MX记录用于说明哪台服务器是当前区域的邮件服务器,例如在区域中,是邮件服务器,而且IP 地址是202.99.16.125。
那么我们就可以在DNS服务器中进行下列处理:1、为邮件服务器创建A记录如下图所示,我们首先为邮件服务器创建一条A记录,这时因为MX记录中描述邮件服务器时不能使用IP地址,只能使用完全合格域名。
2、创建MX记录如下图所示,在DNS服务器中选择创建MX记录。
MX记录如下图所示,这条MX记录说明是的邮件服务器,而且优先级是10。
注意,如果区域有多个MX记录,而且优先级不同,那么其他邮局给发邮件时会首先把邮件发给优先级最高的邮件服务器,代表优先级的数字越低则优先级越高,优先级最高为0。
MX记录对邮件服务器来说是不可或缺的,两个互联网邮局系统在相互通讯时必须依赖DNS的MX记录才能定位出对方的邮件服务器位置。
例如邮局给邮局发一封电子邮件,那163邮局的SMTP服务器就需要向DNS服务器发出一个查询请求,请DNS服务器查询的MX记录,这样163邮局的SMTP 服务器就可以定位的SMTP服务器,然后就可以把邮件发送到263邮局。
我们通过一个例子来具体说明一下MX记录的用途,我们在192.168.0.109上搭建了一个邮件服务器,我们利用这个邮件服务器给itettest1@发送一封电子邮件,当邮件服务器给邮局发送邮件时,我们用抓包工具ethereal记录抓包过程。
如下图所示,我们可以看出邮件服务器192.168.0.109在发送邮件时首先向DNS服务器发出一个查询请求,请求查询的MX记录,DNS服务器告诉查询者邮局的邮件服务器是,这样192.168.0.109才知道应该把邮件发送到。
全国DNS服务器IP地址DNS(Domain Name System)是互联网中用于将域名转换为IP地址的系统。
DNS服务器是承担域名解析功能的服务器,用于将用户输入的域名转换为对应的IP地址,以实现通过域名访问网站的功能。
在全国范围内,提供DNS服务的服务器有很多,以下是一些常用的全国DNS服务器IP地址:1. 114.114.114.114114.114.114.114是中国电信提供的全国公共DNS服务器IP地址。
其性能稳定,能够快速解析大多数的域名。
2. 8.8.8.88.8.8.8是由Google提供的全球公共DNS服务器IP地址,也在中国广泛使用。
由于Google在中国的服务受限,所以在中国使用8.8.8.8可能会有一定的延迟。
3. 223.5.5.5、223.6.6.6223.5.5.5和223.6.6.6是由阿里云提供的全国公共DNS服务器IP地址。
阿里云的DNS服务器性能稳定,能够快速解析大多数网站。
4. 119.29.29.29、182.254.116.116119.29.29.29和182.254.116.116是由DNSPod提供的全国公共DNS 服务器IP地址。
DNSPod是国内知名的域名解析服务提供商,其DNS 服务器性能出色,能够提供快速的解析速度。
以上只是几个常用的全国DNS服务器IP地址,还有很多其他提供商和个人搭建的DNS服务器可供选择。
使用不同的DNS服务器可能会对访问速度和稳定性产生影响,用户可以根据实际需要选择适合自己的DNS服务器。
总结:在互联网使用过程中,DNS服务器起着至关重要的作用,能够将用户输入的域名转换为对应的IP地址。
全国范围内有许多可供选择的DNS服务器,用户可以根据需求选择合适的DNS服务器IP地址。
上述提到的几个DNS服务器IP地址是常用的服务器,用户可根据个人需求选择合适的DNS服务器IP地址,以提高访问速度和稳定性。
(以上文章仅作参考,请根据具体需求自行添加或修改内容。
dns是什么意思从别人那听到dns这个词,但是并不知道是什么意思。
下面为大家带来了dns是什么意思,谢谢阅读。
DNS(Domain Name System,域名系统),因特上作为域名和IP地址相互映射的一个分布式数据库,能够使用户更方便的访问互联,而不用去记住能够被机器直接读取的IP 数串。
通过主机名,最终得到该主机名对应的IP地址的过程叫做域名解析(或主机名解析)。
DNS协议运行在UDP协议之上,使用端口号53。
在RFC文档中RFC 2181对DNS有规范说明,RFC 2136对DNS的动态更新进行说明,RFC 2308对DNS查询的反向缓存进行说明。
DNS查询方法查询DNS服务器上的资源记录在Windows平台下,使用命令行工具,输入nslookup,返回的结果包括域名对应的IP地址(A记录)、别名(CNAME 记录)等。
除了以上方法外,还可以通过一些DNS查询站点如国外的国内的查询域名的DNS信息。
常用的资源记录类型A 地址此记录列出特定主机名的 IP 地址。
这是名称解析的重要记录。
CNAME 标准名称此记录指定标准主机名的别名。
MX邮件交换器此记录列出了负责接收发到域中的电子邮件的主机。
NS名称服务器此记录指定负责给定区域的名称服务器。
FQDN名的解析过程查询若想跟踪一个FQDN名的解析过程,在LinuxShell下输入dig www +trace,返回的结果包括从根域开始的递归或迭代过程,一直到权威域名服务器。
GeniePro DNS 应对DNS劫持和DNS缓存中毒攻击的关键性机制:一致性检查每个Geniepro节点将自身的DNS记录发送给工作组内其他节点请求一致性检查;每个Geniepro节点将自身的记录与收到的记录进行比较;每个Geniepro工作组的通信协调节点将获得的DNS记录更新发送给其他组的通信协调节点请求一致性检查;每个Genipro工作组的通信协调节点向上一级DNS服务器请求更新记录并与收到的其他通信协调节点的记录进行比较。
常用的公共DNS服务地址公共DNS服务允许用户将域名解析请求发送到他们提供的DNS服务器,以获得更快、更安全和更可靠的互联网访问体验。
以下是一些常用的公共DNS服务地址:1. Google Public DNS:-IPv4:8.8.8.8、8.8.4.4-IPv6:2001:4860:4860::8888、2001:4860:4860::8844Google Public DNS是由Google提供的免费公共DNS服务,它的服务器分布在全球各地,具有高速和可靠性。
2. Cloudflare DNS:-IPv4:1.1.1.1、1.0.0.1-IPv6:2606:4700:4700::1111、2606:4700:4700::1001Cloudflare DNS是一个快速、免费且有隐私保护的公共DNS服务,具有DNS over HTTPS(DoH)和DNS over TLS(DoT)功能,可以增加互联网访问的安全性。
3. OpenDNS:-IPv4:208.67.222.222、208.67.220.220- IPv6:2620:0:ccc::2、2620:0:ccd::2OpenDNS是一个由Cisco提供的免费公共DNS服务,它提供高速的域名解析,以及一些安全功能,如恶意网站过滤和家长控制。
4. Quad9:-IPv4:9.9.9.9、149.112.112.112- IPv6:2620:fe::fe、2620:fe::95. AdGuard DNS:-IPv4:176.103.130.130、176.103.130.131- IPv6:2a00:5a60::ad1:0ff、2a00:5a60::ad2:0ffAdGuard DNS是一个免费的公共DNS服务,它通过阻止广告、恶意软件和成人内容,提供更安全、更快速和更干净的互联网浏览体验。
6. DNS.Watch:-IPv4:84.200.69.80、84.200.70.40-IPv6:2001:1608:10:25::1c04:b12f、2001:1608:10:25::9249:d69bDNS.Watch是一个由OpenNIC提供的免费公共DNS服务,它遍布全球多个位置,具有高速和隐私保护功能。
DNS服务器地址大全DNS(Domain Name System)是互联网上的一种系统,通过域名将用户输入的网址转换成对应的IP地址,从而实现网络资源的访问。
而DNS服务器则是负责解析域名的服务,它将域名转换成IP地址并提供给用户使用。
本文将为您提供一份DNS服务器地址大全,方便您在需要时进行参考和使用。
1. 公共 DNS 服务器地址1.1 谷歌公共 DNS- 主服务器地址:8.8.8.8- 备用服务器地址:8.8.4.41.2 阿里云公共 DNS- 主服务器地址:223.5.5.5- 备用服务器地址:223.6.6.61.3 百度公共 DNS- 主服务器地址:180.76.76.761.4 114DNS- 主服务器地址:114.114.114.114- 备用服务器地址:114.114.115.1152. ISP 提供的 DNS 服务器地址如果您使用的是某个特定的互联网服务提供商(ISP),则可以选择使用其提供的DNS服务器地址。
2.1 中国电信- 主服务器地址:202.96.128.86- 备用服务器地址:202.96.128.1662.2 中国移动- 主服务器地址:218.2.2.2- 备用服务器地址:218.2.2.12.3 中国联通- 主服务器地址:123.125.81.6- 备用服务器地址:140.207.198.63. 其他知名 DNS 服务器地址3.1 OpenDNS- 主服务器地址:208.67.222.222- 备用服务器地址:208.67.220.2203.2 Norton DNS- 主服务器地址:199.85.126.10- 备用服务器地址:199.85.127.103.3 Cloudflare DNS- 主服务器地址:1.1.1.1- 备用服务器地址:1.0.0.13.4 Quad9 DNS- 主服务器地址:9.9.9.9- 备用服务器地址:149.112.112.1124. 自建 DNS 服务器地址如果您拥有自建的DNS服务器,您也可以使用自己服务器的IP地址作为DNS服务器。
dig 是一种常用的网络工具,用于查询DNS 记录。
它可以解析多种类型的DNS 记录,如A 记录、MX 记录、TXT 记录等。
以下是一些常见的DNS 记录类型和dig 命令的使用方法:
1. A 记录:A 记录是用于将域名解析为IP 地址的记录。
要查询
A 记录,可以使用以下dig 命令:
```css
dig +short <domain> A
```
这将返回与指定域名关联的A 记录的IP 地址。
2. MX 记录:MX 记录是用于将域名解析为邮件交换器的记录。
要查询MX 记录,可以使用以下dig 命令:
```css
dig +short <domain> MX
```
这将返回与指定域名关联的MX 记录的邮件交换器地址。
3. TXT 记录:TXT 记录用于存储任意文本数据,通常用于DNS-based Authentication of Named Entities (DANE) 等应用。
要查询TXT
记录,可以使用以下dig 命令:
```css
dig +short <domain> TXT
```
这将返回与指定域名关联的TXT 记录的文本数据。
这只是dig 命令的一些常见用法示例,实际上dig 还支持其他许多选项和参数,可以根据需要进行组合使用。
请注意,要使用dig 命令,您需要在计算机上安装并配置了DNS 客户端工具。
详解DNS的常用记录(上)在上篇博文中,我们介绍了DNS服务器的体系结构,从中我们了解到如果我们希望注册一个域名,那么必须经过顶级域名服务器或其下级的域名服务器为我们申请的域名进行委派,把解析权委派到我们的DNS服务器上,这样我们才可以获得对所申请域名的解析权。
本文中我们将再进一步,假设我们已经为公司成功申请了一个域名,现在的解析权被委派到公司的DN S服务器202.99.16.1,那我们在202.99.16.1服务器上该进行什么样的配置呢?一安装DNS服务器首先我们要在服务器上安装DNS组件,服务器的TCP/IP配置如下图所示。
安装DNS组件非常简单,依次点击控制面板-添加或删除程序-添加/删除W indows组件-网络服务,如下图所示,选择“域名系统”即可。
二创建区域DNS服务器创建完毕之后,我们接下来就要创建DNS区域了,区域是DNS服务器所负责的名称空间,DNS服务器有正向区域和反向区域,正向区域负责把域名解析为IP,而反向区域负责把IP解析为域名。
DNS区域有三种类型,正向区域,反向区域和存根区域。
要理解区域类型,先要明白DNS服务器有主服务器和辅助服务器的区别。
一般情况下,企业申请域名时会考虑配备两个DNS服务器,一个是主服务器,另一个是辅助服务器。
一般的解析请求由主服务器负责,辅助服务器的数据是从主服务器复制而来的,辅助服务器的数据是只读的,当主服务器出现故障或由于负载太重无法响应客户机的解析请求时,辅助服务器会挺身而出担负起域名解析的任务。
现在我们回过头来解释一下什么是主要区域,主服务器使用的区域就是主要区域,同样,辅助服务器使用的区域是辅助区域。
存根区域可以看做是一个特殊的,简化的辅助区域,具体区别我们在后续博文中会加以介绍。
一般我们使用较多的是正向区域,而且从逻辑上考虑,必然是先创建主要区域,因为辅助区域和存根区域都需要从主要区域复制数据,因此我们现在的任务是要为区域创建一个正向的主要区域。
如下图所示,我们在DNS服务器上选择创建一个正向区域。
出现新建区域向导,点击下一步继续。
选择创建一个主要区域。
区域名称和申请的域名是一样的,。
区域数据文件是.dns,区域内的所有记录都存储在这个文件里,注意,这个文件我们以后会用到的。
向导询问是否允许区域动态更新,一般来说,如果DNS区域在企业内网使用,我们会允许动态更新;如果用于Internet,那么一般不需要动态更新。
如下图所示,区域创建完毕。
区域创建完毕之后,如下图所示,区域中只有一个NS记录和一个SOA记录,我们接下来要做的工作就是在区域中创建适当的DNS记录。
三创建记录DNS记录是DNS区域数据的具体表现形式,我们接下来为大家介绍几种最常见的DNS记录,大家掌握了这些记录就可以基本掌握DNS的基本应用了。
1、A记录A记录也称为主机记录,是使用最广泛的DNS记录,A记录的基本作用就是说明一个域名对应的IP是多少,例如,我们想通过A记录说明一台主机的域名是,IP是202.99.16.185,那么我们就可以进行下列操作。
如下图所示,我们在区域中选择“新建主机”。
如下图所示,我们在A记录中说明了域名对应的IP是202.99.16.185。
其中提到了一个完全合格域名的概念,这里我们介绍一下。
完全合格域名指的是点结尾的域名,例如.就是一个完全合格域名。
在一般的网络应用中,我们可以省略完全合格域名最右侧的点,但DNS对这个点不能随便省略。
因为这个点代表了DNS的根,有了这个点,完全合格域名就可以表达为一个绝对路径,例如.就可以表示为DNS根下的c om子域下域中一个名为bbs的主机。
如果DNS发现一个域名不是以点结尾的完全合格域名,就会把这个域名加上当前的区域名称作为后缀,让其满足完全合格域名的形式需求。
例如DNS会把域名bbs处理为bbs.hexun.com.。
因此,如果要求输入完全合格域名,我们应该注意让域名以点结尾。
A记录的基本用法是描述域名和IP的对应关系,其实A记录还有一个高级用法,A记录有负载平衡的作用。
DNS经常被用作一个低成本的负载平衡解决方案,主要就是依靠A记录来实现的。
举个例子加以说明,例如我们有四个Web服务器共同负责[url][/url]这个网站,四个Web服务器的IP地址分别为202.99.16.81,202.99.16.82,202.99.16.83和202.99.16.8 4,那么我们就应该创建如下的主机记录。
以上我们用四条A记录分别描述了[url][/url]对应的四个I P,那么,到底如何利用这些IP来实现负载平衡呢?原理是这样的,客户机访问Web服务器一般都使用域名,因此需要利用DNS服务器把域名解析为IP。
第一个客户机查询[url][/url]时,DNS服务器会告诉客户机这个域名对应的IP是202.99.16.81,第二个客户机来查询时DNS服务器就会把答案改为202.99.16.82,依此类推,DNS使用了“轮询”的技术把不同的访问用户导向了四个不同的Web服务器,这样就达到了一个简易负载平衡的效果。
我们可以通过一个简单的实验来验证一下DNS轮询的效果,如下图所示,我们在客户机上用ping [url][/url]的方式来查询域名对应的I P,但奇怪的是,客户机两次查询域名得到的是同一个结果,这时为什么呢?难道DNS轮询不起作用了吗?其实并非DNS轮询出了问题,而是由于客户机有DNS缓存机制,当客户机第一次查询DNS服务器获得了域名对应的IP地址,客户机会把查询结果放入缓存,这样下次查询时就直接从缓存获取结果而不用去问DNS服务器了。
明白了这个道理,我们只要用IPCONFIG/FLUSHDNS清除客户机的DNS缓存就可以继续实验了,实验结果如下图所示,我们可以看到DNS轮询已经发挥了作用。
2、NS记录NS记录和SOA记录是任何一个DNS区域都不可或缺的两条记录,NS记录也叫名称服务器记录,用于说明这个区域有哪些DNS服务器负责解析,SOA记录说明负责解析的DNS服务器中哪一个是主服务器。
因此,任何一个DNS区域都不可能缺少这两条记录。
假设区域有两个DNS服务器负责解析,是主服务器,是辅助服务器,的ip是202.99.16.1,的ip是202.99.16.2。
那么我们应该创建两条NS记录,当然,NS记录依赖A记录的解析,我们首先应该为和ns2.创建两条A记录,创建的A记录如下图所示。
有了两条主机记录的支持,我们就可以编辑ns记录了,如下图所示,当前区域的ns记录是创建区域时系统自动创建的。
这条ns记录并不能正常工作,因为nsserver并不是一个可以解析的完全合格域名,因此我们删除这条记录,重新再创建两条NS记录。
如下图所示,我们创建一条ns记录,ns服务器的完全合格域名是ns1.hexun. com..,解析出的IP是202.99.16.1,这条记录说明有一个服务器ns1.hexu 负责的域名解析。
用同样方法创建的ns记录,创建完成的结果如下图所示。
3、SOA记录NS记录说明了有两个DNS服务器负责的域名解析,但哪个是主服务器呢?NS记录并没有说明,这个任务由SOA记录来完成。
SOA记录也称为起始授权机构记录,SOA记录中负责说明哪个DNS服务器是主服务器,以及主服务器和辅助服务器之间的一些关联参数。
如下图所示就是的S OA记录,我们逐一进行分析。
首先我们要分析序列号,序列号反映了DNS服务器数据变化的次数,DNS服务器的数据每更新一次,序列号就加大一位。
但我们仔细想想,对管理员来说,了解这个参数意义不大,因为DNS服务器到底是更新了10000次还是9999次对管理员来说并没有实质性的影响。
实际上,这个参数是给辅助服务器使用的。
我们前面提到,辅助服务器的数据都是从主服务器复制而来的,那么辅助服务器怎么判断主服务器的数据有没有进行更新呢?辅助服务器只要简单地检查一下主服务器的序列号就明白了,如果主服务器的序列号比辅助服务器的序列号大,那么辅助服务器就应该去主服务器进行增量更新了。
主服务器这个参数的重要性不言而喻,目前的SOA记录中主服务器参数是nss erver.,这并不是一个可以解析的完全合格域名,我们应该把主服务器改为ns .,如下图所示,这才是正确的主服务器参数。
可能大家会有疑问,为什么NS记录和SOA记录默认都是nsserver.,主要是因为nsserver.是这台DNS服务器的NETBIOS名称。
从上图可知,我们把SOA记录中的负责人参数改为了.,看起来象个主机的完全合格域名,其实意思是***************,是一个邮箱地址。
那么为什么负责人这个参数不直接写成***************呢?毕竟这样就好理解多了,这时因为@符号在DNS中有特殊含义,@在DNS中代表当前区域,也就是代表,因此我们被迫把邮件地址写成了完全合格域名的格式。
刷新间隔指的是辅助服务器每隔15分钟联系一下主服务器,查看主服务器有无数据更新。
重试间隔10分钟值的是如果辅助服务器和主服务器失去了联系,那么辅助服务器每隔10分钟联系一下主服务器,在此期间由辅助服务器负责当前区域的域名解析。
过期时间是1天指的是如果辅助服务器过了一天还没有联系上主服务器,辅助服务器就会认为主服务器永远不会再回来了,自己的数据也没有保存的意义了,因此会宣布数据过期,并拒绝为用户继续提供解析服务。
TTL 一个小时指的是记录在DNS缓存中的生存时间是一个小时。
详解DNS常用记录(下)在上篇博文中我们介绍了DNS服务器中几种不可或缺的记录,包括A记录,N S记录和SOA记录。
本篇博文中我们将继续为大家介绍DNS的另外几种常用记录,希望能对大家了解DNS有所帮助。
四MX记录MX记录也被称为邮件交换器记录,MX记录用于说明哪台服务器是当前区域的邮件服务器,例如在区域中,是邮件服务器,而且IP地址是202.99.16.125。
那么我们就可以在DNS服务器中进行下列处理:1、为邮件服务器创建A记录如下图所示,我们首先为邮件服务器创建一条A记录,这时因为MX记录中描述邮件服务器时不能使用IP地址,只能使用完全合格域名。
2、创建MX记录如下图所示,在DNS服务器中选择创建MX记录。
MX记录如下图所示,这条MX记录说明是的邮件服务器,而且优先级是10。
注意,如果区域有多个MX记录,而且优先级不同,那么其他邮局给发邮件时会首先把邮件发给优先级最高的邮件服务器,代表优先级的数字越低则优先级越高,优先级最高为0。
MX记录对邮件服务器来说是不可或缺的,两个互联网邮局系统在相互通讯时必须依赖DNS的MX记录才能定位出对方的邮件服务器位置。
例如邮局给邮局发一封电子邮件,那163邮局的SMTP服务器就需要向DN S服务器发出一个查询请求,请DNS服务器查询的MX记录,这样1 63邮局的SMTP服务器就可以定位的SMTP服务器,然后就可以把邮件发送到263邮局。