钢材理论重量表
- 格式:xls
- 大小:123.00 KB
- 文档页数:18
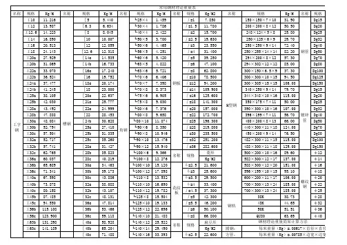
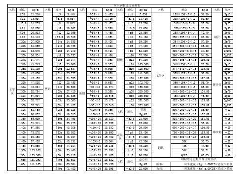
h×b×dh×b×d GB9787-88GB9788-88100×68×4.511.26150×37×4.5 5.440b×d B×b×d 120×74×5.013.98763×40×4.8 6.63425×3 1.12463×40×4 3.185126×74×5.014.22365×40×4.8 6.70930×3 1.37363×40×5 3.920150×100148×100691321.4140×80×5.516.89080×43×5.38.04540×3 1.85263×40×6 4.638100×100100×100681017.2200×150194×150691631.2160×88×6.020.512100×48×5.310.00740×4 2.42263×40×7 5.339125×125125×125 6.591023.8250×175244×1757111644.1180×94×6.524.143120×53×5.512.06050×3 2.33270×45×4 3.570175×175150×1507101331.9300×200294×2008122057.3200A×100×7.027.929126×53×5.512.31850×4 3.05970×45×5 4.403175×175175×1757.5111340.3350×250340×2509142079.7200B×102×9.031.069140A×58×6.014.53550×5 3.77070×45×6 5.218200×2008121650.5400×300390×300101624107220A×110×7.533.070140B×60×8.016.73360×5 4.57070×45×7 6.011200×20412121656.7450×300440×300111824124220B×112×9.536.524160A×63×6.517.24060×6 5.42075×50×5 4.808250×2509141672.4482×300111528115240A×116×8.037.477160B×65×8.519.75263×5 4.82275×50×6 5.699250×25514141682.2488×300111828129240B×118×10.041.245180A×68×7.020.17463×6 5.72175×50×87.431#294×30212122085582×300121728137250A×116×8.038.105180B×70×9.023.00070×6 6.40675×50×109.098300×30010152094.5588×300122028151250B×118×10.042.030200A×73×7.022.63770×77.39880×50×5 5.005300×305151520106#594×302142328175270A×122×8.542.825200B×75×9.025.77770×88.37380×50×6 5.935#344×348101620115焊接钢管重量GB3092-82270B×124×10.547.064220A×77×7.024.99975×5 5.81880×5×7 6.848350×350121920137英制公称内径公称外径国标厚度普通280A×122×8.543.492220B×79×9.028.45375×6 6.90580×50×87.745#388×4021515241411/2"DN1521.3 2.75 1.26280B×124×10.547.888240A×78×7.026.86075×77.97690×50×5 5.661#394×3981118241473/4"DN2026.8 2.75 1.63300A×126×9.048.084240B×80×9.030.62875×89.03090×50×6 6.717400×4001321241721"DN2533.5 3.25 2.42300B×128×11.052.794240C×82×11.034.39675×1011.08990×50×77.756#414×405182824233 1 1/4"DN3242.3 3.25 3.13300C×130×13.057.504250A×78×7.027.41080×5 6.21190×50×88.779#400×408212124197 1 1/2"DN4048.0 3.50 3.84320A×130×9.552.717250B×80×9.031.33580×67.376100×63×67.550#428×4072035242842"DN5060.0 3.50 4.88320B×132×11.557.741250C×82×11.035.26080×89.658100×63×78.722*458×417305024415 2 1/2"DN6575.5 3.75 6.64320C×134×13.562.765270A×82×7.530.83880×1011.874100×63×89.878*498×4324570246053"DN8088.5 4.008.34360A×136×10.060.037270B×84×9.535.07790×810.946100×63×1012.142100×50100×5057109.544"DN100114 4.0010.85360B×138×12.065.689270C×86×11.539.31690×1013.476100×80×68.350125×60125×60681013.35"DN125140 4.5015.04360C×140×14.071.341280A×82×7.531.42790×1215.940100×80×79.656150×75150×75571014.36"DN150165 5.5021.63400A×142×10.567.598280B×84×9.535.823100×69.366100×80×810.946175×90175×90581018.28"DN200219 6.0031.52400B×144×12.573.878280C×86×11.540.219100×812.276100×80×1013.476198×99 4.571318.5镀锌钢管重量为焊接管的1.06倍,GB3091-82400C×146×14.580.158300A×85×7.534.463100×1015.120110×70×68.350200×100 5.581321.7450A×150×11.580.420300B×87×9.539.173100×1217.898110×70×79.656248×124581325.8 尺寸(mm)450B×152×13.587.485300C×89×11.543.883110×813.532110×70×810.946250×125691329.7450C×154×15.594.550320A×88×8.038.083110×1016.690110×70×1013.476298×149 5.581632.6500A×158×12.093.654320B×90×10.043.107110×1219.782125×80×711.066300×150 6.591637.3500B×160×14.0101.504320C×92×12.048.131110×1422.809125×80×812.511346×174691641.85kg/m504422 4.5 5.03500C×162×16.0109.354360A×96×9.047.814125×815.504125×80×1015.474350×175********kg/m 65542578.42550A×166×12.5105.355360B×98×11.053.466125×1019.133125×80×1218.330#400×150#400×1508131655.811kg/m 80.56632711.2550B×168×14.5113.970360C×100×13.059.118125×1222.696140×90×814.160396×1997111656.715kg/m 917637714.72550C×170×16.5112.605400A×100×10.558.928125×1426.193140×90×1017.475400×200813166618kg/m 9080401018.06560A×166×12.5106.316400B×102×12.565.204140×1021.488140×90×1220.724#450×150#450×1509142065.524kg/m 107925110.924.95560B×168×14.5115.108400C×104×14.571.488140×1225.522140×90×1423.908446×1998122066.733kg/m 1201106012.533.29560C×170×16.5123.900140×1429.490160×100×1019.872450×2009142076.538kg/m 134114681338.73630A×176×13.0121.407160×1229.391160×100×1223.592#500×150#500×150********.143kg/m 1401147014.544.65630B×178×15.0131.298160×1433.987160×100×1427.247496×1999142079.550kg/m 1521327015.551.51630C×180×17.0141.189160×1638.518160×100×1630.835500×20010162089.6QU70120120702852.8160×1848.634180×110×1022.273#506×201111920103QU80130130803263.69180×1233.159180×110×1226.464596×199********.1QU1001501501003888.96扁豆形180×1438.383180×110×1430.589600×200111724106QU12017017012044118.1Kg/M 2180×1643.542180×110×1634.649#606×201122024120δ=2.521.300180×1848.634200×125×1229.761#692×300132028166δ=3.024.400200×1442.894200×125×1434.436700×300132428185δ=3.528.400200×1648.680200×125×1639.045*729×300142228191δ=4.032.400200×1854.401200×125×1843.588*800×300142628210δ=4.538.300200×2060.056*890×299152328213δ=5.040.500*900×300162828243δ=5.544.300*912×302183428286δ=6.048.400δ=7.052.600δ=8.056.400厚度500×200600×200700×300#800×300窄翼缘H 型钢HN200×100250×125300×175350×175400×200450×200#900×300250×250300×300350×350400×400500×300600×300理论重量kg/m H×B t1(腹板厚度)t2(翼缘厚度)r 200×200中翼缘H型钢HM热轧普通工字钢: GB706-88热轧普通槽钢: GB707-88热轧不等边角钢:类别宽翼缘H 型钢HW热轧H型钢: GB11263-98热轧等边角钢型号(高度×宽度)截面尺寸(mm)轻轨:GB11264-89理论重量理论重量kg/m H×Bt 1(腹板厚度)t 2(翼缘厚度)r 类别型号(高度×宽度)截面尺寸(mm)重轨:GB2585-81(㎏/m)花纹板GB/T700,GB/T712,GB/T4171起重机重轨:GB3426-82类 型规 格A(高度) B(底宽)b(头宽)tw(厚度)。
钢筋重量表(钢筋扁钢方钢方管工字钢槽钢型钢H型钢)(—)圆钢具体算法直径乘以直径乘0. 006165(国家标准)商家默认标准:直径乘以直径乘0. 00617圆钢规格重量表规格截面面积重量(kg/m)03.5 9. 62 0. 07504 12. 57 0. 098① 3 19. 63 0. 15405.5 23. 76 0. 187① 5. 6 24. 63 0. 19306 28. 27 0. 22206.3 31. 17 0. 24506.5 33. 18 0. 26007 38. 48 0. 30207.5 44. 18 0. 34708 50. 27 0. 39509 63. 63 0. 499①1078. 54 0. 617如1 95. 03 0. 746①12113. 10 0. 888①13132. 70 1.04014 153. 90 1. 21015 176. 70 1.39①16201. 10 1. 58①17227. 00 1. 78018 254. 50 2. 00①19283. 50 2. 23①20314. 20 2.47①21346. 40 2. 720 22 380. 10 2. 980 24 452. 40 3. 55025 490. 90 3. 85①26530. 90 4. 1702615. 804. 83① 3706. 905. 5503804. 206.3103907. 907. 13(二)螺纹钢理论車量具体算法可以采用直径除以10然后平方再乘以0. 617kg/m 理论重量钢筋①9-0. 499kg/m①10-0. 617kg/m①12-0. 888kg/m①14-1. 21kg/m①16~1. 58kg/m①18~2. OOkg/m①20-2. 47kg/m022-2. 98kg/m①25-3. 85kg/m028-4. 83kg/m①32-6. 31kg/mO 40~9. 87kg/m工字钢规格重量表丄字钢尺寸(mm)截面面积重量(kg/m))型号(cm2腿宽髙腹厚11.2 6810 14.3 14. 0 74 16. 9 80 20. 5 88 24. 1 94 100 4. 512 5. 0 120 17. 8 14 21.5 140 5.5 16 6. 0 160 26. 1 180 18 6. 5 30. 627.9 100 200 20A 7.0 3 5 5 31. 1 200 20B 102 39. 5 9. 0 33.0 220 22A 7.5 42.0 110 36.4 46.4 22B 9.5 112 220 37.4 47.7 24A 116 8.0 240 41.2 24B 10. 0 118 240 52.6 42.8 27A 122 270 54.6 8.5 47. 1 27B 270 10. 560. C 1 12448.0 30A 9.0 126 | 61.2 300 52.7 67.2 :300 12811. C 1 30B 57.4 13.0 | 300 73. 4 30C :13059.9 360 76.3 36A 136 10. 0 65.6 138 83.5 36B 360 12.0 71.2 90.7 36C 360 14. C )140 67.6 40A 400 142 10. 5 86. 1 73.8 94. 1 144 400 40B 12.5 80. 1146 400 14.5 40C 102槽钢规格重量表(三)其他钢材理论重量计算的计量单位为公斤(kg )。
钢筋重量表(钢筋扁钢方钢方管工字钢槽钢型钢H型钢)(—)圆钢具体算法直径乘以直径乘0. 006165(国家标准)商家默认标准:直径乘以直径乘0. 00617圆钢规格重量表规格截面面积重量(kg/m)03.5 9. 62 0. 07504 12. 57 0. 098① 3 19. 63 0. 15405.5 23. 76 0. 187① 5. 6 24. 63 0. 19306 28. 27 0. 22206.3 31. 17 0. 24506.5 33. 18 0. 26007 38. 48 0. 30207.5 44. 18 0. 34708 50. 27 0. 39509 63. 63 0. 499①1078. 54 0. 617如1 95. 03 0. 746①12113. 10 0. 888①13132. 70 1.04014 153. 90 1. 21015 176. 70 1.39①16201. 10 1. 58①17227. 00 1. 78018 254. 50 2. 00①19283. 50 2. 23①20314. 20 2.47①21346. 40 2. 720 22 380. 10 2. 980 24 452. 40 3. 55025 490. 90 3. 85①26530. 90 4. 1702615. 804. 83① 3706. 905. 5503804. 206.3103907. 907. 13(二)螺纹钢理论車量具体算法可以采用直径除以10然后平方再乘以0. 617kg/m 理论重量钢筋①9-0. 499kg/m①10-0. 617kg/m①12-0. 888kg/m①14-1. 21kg/m①16~1. 58kg/m①18~2. OOkg/m①20-2. 47kg/m022-2. 98kg/m①25-3. 85kg/m028-4. 83kg/m①32-6. 31kg/mO 40~9. 87kg/m工字钢规格重量表丄字钢尺寸(mm)截面面积重量(kg/m))型号(cm2腿宽髙腹厚11.2 6810 14.3 14. 0 74 16. 9 80 20. 5 88 24. 1 94 100 4. 512 5. 0 120 17. 8 14 21.5 140 5.5 16 6. 0 160 26. 1 180 18 6. 5 30. 627.9 100 200 20A 7.0 3 5 5 31. 1 200 20B 102 39. 5 9. 0 33.0 220 22A 7.5 42.0 110 36.4 46.4 22B 9.5 112 220 37.4 47.7 24A 116 8.0 240 41.2 24B 10. 0 118 240 52.6 42.8 27A 122 270 54.6 8.5 47. 1 27B 270 10. 560. C 1 12448.0 30A 9.0 126 | 61.2 300 52.7 67.2 :300 12811. C 1 30B 57.4 13.0 | 300 73. 4 30C :13059.9 360 76.3 36A 136 10. 0 65.6 138 83.5 36B 360 12.0 71.2 90.7 36C 360 14. C )140 67.6 40A 400 142 10. 5 86. 1 73.8 94. 1 144 400 40B 12.5 80. 1146 400 14.5 40C 102槽钢规格重量表(三)其他钢材理论重量计算的计量单位为公斤(kg )。
圆钢规格重量表工字钢规格重量表规格截面面积重量(kg/m)截面面积重量槽钢规格重量表工字钢型号尺寸(mm)Ф 3.59.620.075高腿宽腹厚(cm 2)(kg/m)Ф412.570.0981010068 4.514.311.2高腿长Ф519.630.1541212074517.81455037Ф5.523.760.1871414080 5.521.516.9 6.56540Ф5.624.630.1931616088626.120.588043Ф628.270.2221818094 6.530.624.11010048Ф6.331.170.24520A 200100735.527.91212053Ф6.533.180.2620B 200102939.531.114A 14058Ф738.480.30222A 2201107.5423314B 14060Ф7.544.180.34722B 2201129.546.436.416A 16063Ф850.270.39524A 240116847.737.416B 16065Ф963.630.49924B 2401181052.641.220A 20073Ф1078.540.61727A 2701228.554.642.820B 20075Ф1195.030.74627B 27012410.56047.130A 30085Ф12113.10.88830A 300126961.24830B 30087Ф13132.7 1.0430B 3001281167.252.730C 30089Ф14153.9 1.2130C 3001301373.457.4Ф15176.7 1.3936A 3601361076.359.9Ф16201.1 1.5836B 3601381283.565.6Ф17227 1.7836C 3601401490.771.2Ф18254.5240A 40014210.586.167.6Ф19283.5 2.2340B 40014412.594.173.8Ф20314.2 2.4740C 40014614.510280.1Ф21346.4 2.72Ф22380.1 2.98Ф24452.4 3.55Ф25490.9 3.85Ф26530.9 4.17Ф28615.8 4.83无缝钢管理论重量表:镀锌钢管理论重量表: 镀锌钢管重量计算公式:[(外径-壁厚)*槽钢型号尺寸工字钢型号不锈钢管理论重量表:焊接钢管理论重量表:矩形方钢管理论重量表:螺旋钢管理论重量表:方矩形钢管理论重量计算公式: 正方形和长方形(矩形)截面碳钢钢管:每米重量单位: kg/m(千克/米) & lb/ft(磅/英尺) 常用方矩管计算公式为:(长+宽)×2÷3.14-厚度×厚度×0.02466= kg/m 公式二:kg/m = (Oc - 4Wt) * Wt * 0.00785 其中:Oc是钢管外周长,Wt是钢管壁厚; 正方形Oc=4*a ; 长方形Oc=2a+2b a,b是边长通俗的解释为:4x壁厚x(边长-壁厚)x7.85 其中,方管边长和壁厚都以毫米为单位,直接把数值代入上述公式,得出即为每米方管的重量,以克为单位。
钢材的常用数据参考表
简易计算方法(注:宽、厚、径的单位为毫米
1 圆钢:每米重量(千克)=0.00617*直径*直径
2 方钢:每米重量(千克)=0.00785*边宽*边厚
3 六角钢:每米重量(千克)=0.0068*对边距离*对边距离
4 八角钢:每米重量(千克)=0.0065*对边距离*对边距离
5 螺纹钢:每米重量(千克)=0.00617*直径*直径
6 角钢:每米重量(千克)=0.00785*(边宽+边宽-边厚)*边厚
7 扁钢:每米重量(千克)=0.00785*厚度*边宽
8 无缝钢管:每米重量(千克)=0.02466*壁厚*(外径-壁厚)
9 接缝钢管:每米重量(千克)=0.02466*壁厚*(外径-壁厚)
10 中厚钢板:每米重量(千克)=7.85*厚度
11 薄钢板:每米重量(千克)=7.85*厚度
12工字钢:W=0.00785*腰厚[高+ f(腿宽- 腰厚)]
13槽钢: W=0.00785*腰厚[高+ e(腿宽- 腰厚)]
14方管:0.0314*边长*边厚
圆钢理论重量表
螺纹钢理论重量
等边角钢规格重量表/每米
热轧普通槽钢尺寸及重量
] 热轧轻型槽钢尺寸及重量
工字钢理论重量规格表
矩形钢管理论重量表|
扁钢
无缝钢管理论重量表
镀锌钢管理论重量表
焊管、镀锌管理论重量表(按GB/T3091—2001标准执行)
焊管理论重量表
H型钢理论重量表
C型钢
C型钢理论重量表* *
C型钢理论重量表
H型钢理论重量表。
材料编码钢材规格单位重量钢板b-1δ=17.85 b-2δ=215.7 b-3δ=323.55 b-3.2δ=3.225.12 b-4δ=431.4 b-4.5δ=4.537.68 b-5δ=539.25 b-6δ=647.1 b-6.5δ=6.551b-7δ=754.95 b-8δ=862.8 b-9δ=970.65 b-10δ=1078.5 b-11δ=1186.35 b-12δ=1294.2 b-13δ=13102.05 b-14δ=14109.9 b-15δ=15117.75 b-16δ=16125.6 b-17δ=17133.45 b-18δ=18141.3 b-19δ=19149.15 b-20δ=20157b-21δ=21164.85 b-22δ=22172.7 b-23δ=23180.55 b-24δ=24188.4 b-25δ=25196.25 b-26δ=26204.1 b-27δ=27211.95 b-28δ=28219.8 b-29δ=29227.65 b-30δ=30235.5 b-31δ=31243.35 b-32δ=32251.2 b-33δ=33259.05 b-34δ=34266.9 b-35δ=35274.75 b-36δ=36282.6 b-37δ=37290.45 b-38δ=38298.3 b-39δ=39306.15 b-40δ=40314b-41δ=41321.85 b-42δ=42329.7b-43δ=43337.55 b-44δ=44345.4 b-45δ=45353.25 b-46δ=46361.1 b-47δ=47368.95 b-48δ=48376.8 b-49δ=49384.65 b-50δ=50392.5 b-51δ=51400.35 b-52δ=52408.2 b-53δ=53416.05 b-54δ=54423.9 b-55δ=55431.75 b-56δ=56439.6 b-57δ=57447.45 b-58δ=58455.3 b-59δ=59463.15 b-60δ=60471 b-61δ=61478.85 b-62δ=62486.7 b-63δ=63494.55 b-64δ=64502.4 b-65δ=65510.25 b-66δ=66518.1 b-67δ=67525.95 b-68δ=68533.8 b-69δ=69541.65 b-70δ=70549.5 b-71δ=71557.35 b-72δ=72565.2 b-73δ=73573.05 b-74δ=74580.9 b-75δ=75588.75 b-76δ=76596.6 b-77δ=77604.45 b-78δ=78612.3 b-79δ=79620.15 b-80δ=80628 b-81δ=81635.85 b-82δ=82643.7 b-83δ=83651.55 b-84δ=84659.4 b-85δ=85667.25 b-86δ=86675.1 b-87δ=87682.95 b-88δ=88690.8 b-89δ=89698.65b-90δ=90706.5 b-91δ=91714.35 b-92δ=92722.2 b-93δ=93730.05 b-94δ=94737.9 b-95δ=95745.75 b-96δ=96753.6 b-97δ=97761.45 b-98δ=98769.3 b-99δ=99777.15 b-100δ=100785 b-101δ=101792.85 b-102δ=102800.7 b-103δ=103808.55 b-104δ=104816.4 b-105δ=105824.25 b-106δ=106832.1 b-107δ=107839.95 b-108δ=108847.8 b-109δ=109855.65 b-110δ=110863.5 b-111δ=111871.35 b-112δ=112879.2花纹钢板b-2.5hl花纹钢板δ=2.5菱21.6 b-2.5hb花纹钢板δ=2.5扁21.3 b-2.5hy花纹钢板δ=2.5圆21.1 b-3hl花纹钢板δ=3菱25.6 b-3hb花纹钢板δ=3扁24.4 b-3hy花纹钢板δ=3圆24.3 b-3.5hl花纹钢板δ=3.5菱29.5 b-3.5hb花纹钢板δ=3.5扁28.4 b-3.5hy花纹钢板δ=3.5圆28.3 b-4hl花纹钢板δ=4菱33.4 b-4hb花纹钢板δ=4扁32.4 b-4hy花纹钢板δ=4圆32.3 b-4.5hl花纹钢板δ=4.5菱38.325 b-4.5hb花纹钢板δ=4.5扁36.4 b-4.5hy花纹钢板δ=4.5圆36.2 b-5hl花纹钢板δ=5菱42.3 b-5hb花纹钢板δ=5扁40.5 b-5hy花纹钢板δ=5圆40.2 b-5.5hl花纹钢板δ=5.5菱46.2 b-5.5hb花纹钢板δ=5.5扁44.3 b-5.5hy花纹钢板δ=5.5圆44.1 b-6hl花纹钢板δ=6菱50.1 b-6hb花纹钢板δ=6扁48.4b-6hy花纹钢板δ=6圆48.1 b-7hl花纹钢板δ=7菱59 b-7hb花纹钢板δ=7扁52.6 b-7hy花纹钢板δ=7圆52.4 b-8hl花纹钢板δ=8菱65.8 b-8hb花纹钢板δ=8扁56.4 b-8hy花纹钢板δ=8圆56.2 b-10hl花纹钢板δ=10菱80.5等边角钢j20-3∠20×30.889 j20-4∠20×4 1.145 j25-3∠25×3 1.124 j25-4∠25×4 1.459 j30-3∠30×3 1.373 j30-4∠30×4 1.786 j36-3∠36×3 1.656 j36-4∠36×4 2.163 j36-5∠36×5 2.654 j40-3∠40×3 1.852 j40-4∠40×4 2.422 j40-5∠40×5 2.976 j45-3∠45×3 2.088 j45-4∠45×4 2.736 j45-5∠45×5 3.369 j45-6∠45×6 3.985 j50-3∠50×3 2.332 j50-4∠50×4 3.059 j50-5∠50×5 3.77 j50-6∠50×6 4.465 j56-3∠56×3 2.624 j56-4∠56×4 3.446 j56-5∠56×5 4.251 j56-8∠56×8 6.568 j63-4∠63×4 3.907 j63-5∠63×5 4.822 j63-6∠63×6 5.721 j63-8∠63×87.469 j63-10∠63×109.151 j70-4∠70×4 4.372 j70-5∠70×5 5.397 j70-6∠70×6 6.406 j70-7∠70×77.398 j70-8∠70×88.373 j75-5∠75×5 5.818 j75-6∠75×6 6.905 j75-7∠75×77.976 j75-8∠75×89.03j75-10∠75×1011.089 j80-5∠80×5 6.211 j80-6∠80×67.376 j80-7∠80×78.525 j80-8∠80×89.658 j80-10∠80×1011.874 j90-6∠90×68.35 j90-7∠90×79.656 j90-8∠90×810.946 j90-10∠90×1013.476 j90-12∠90×1215.94 j100-6∠100×69.366 j100-7∠100×710.83 j100-8∠100×812.276 j100-10∠100×1015.12 j100-12∠100×1217.898 j100-14∠100×1420.611 j100-16∠100×1623.527 j110-6∠110×610.324 j110-7∠110×711.928 j110-8∠110×813.532 j110-9∠110×1016.69 j110-12∠110×1219.782 j110-14∠110×1422.809 j125-8∠125×815.504 j125-10∠125×1019.133 j125-12∠125×1222.696 j125-14∠125×1426.193 j140-10∠140×1021.488 j140-12∠140×1225.522 j140-14∠140×1429.49 j140-16∠140×1633.393 j160-10∠160×1024.729 j160-12∠160×1229.391 j160-14∠160×1433.987 j160-16∠160×1638.518 j180-12∠180×1233.159 j180-14∠180×1438.383 j180-16∠180×1643.542 j180-18∠180×1848.634 j200-14∠200×1442.894 j200-12∠200×1237.11 j200-16∠200×1648.68 j200-18∠200×1854.401 j200-20∠200×2060.056 j200-24∠200×2471.168不等边角钢j25-16-3∠25×16×30.912 j25-16-4∠25×16×4 1.176 j32-20-3∠32×20×3 1.171 j32-20-4∠32×20×4 1.522 j40-25-3∠40×25×3 1.484 j40-25-4∠40×25×4 1.936 j45-28-3∠45×28×3 1.687 j45-28-4∠45×28×4 2.203 j50-32-3∠50×32×3 1.908 j50-32-4∠50×32×4 2.494 j56-36-3∠56×36×3 2.153 j56-36-4∠56×36×4 2.818 j56-36-5∠56×36×5 3.466 j63-40-4∠63×40×4 3.185 j63-40-5∠63×40×5 3.92 j63-40-6∠63×40×6 4.638 j63-40-7∠63×40×7 5.339 j70-45-4∠70×45×4 3.57 j70-45-5∠70×45×5 4.403 j70-45-6∠70×45×6 5.218 j70-45-7∠70×45×7 6.011 j75-50-5∠75×50×5 4.808 j75-50-6∠75×50×6 5.699 j75-50-8∠75×50×87.431 j75-50-10∠75×50×109.098 j80-50-5∠80×50×5 5.005 j80-50-6∠80×50×6 5.935 j80-50-7∠80×50×7 6.848 j80-50-8∠80×50×87.745 j90-56-5∠90×56×5 5.661 j90-56-6∠90×56×6 6.717 j90-56-7∠90×56×77.756 j90-56-8∠90×56×88.779 j100-60-10∠100×63×611.23 j100-63-6∠100×63×67.55 j100-63-7∠100×63×78.722 j100-63-8∠100×63×89.878 j100-63-10∠100×63×1012.142 j100-80-6∠100×80×68.35 j100-80-7∠100×80×79.656 j100-80-8∠100×80×810.946 j100-80-10∠100×80×1013.476 j110-70-6∠110×70×68.35 j110-70-7∠110×70×79.656 j110-70-8∠110×70×810.946 j110-70-10∠110×70×1013.476 j125-80-7∠125×80×711.066j125-80-8∠125×80×812.551 j125-80-10∠125×80×1015.474 j125-80-12∠125×80×1218.33 j140-90-8∠140×90×814.16 j140-90-10∠140×90×1017.475 j140-90-12∠140×90×1220.724 j140-90-14∠140×90×1423.908 j160-100-10∠160×100×1019.872 j160-100-12∠160×100×1223.592 j160-100-14∠160×100×1427.247 j160-100-16∠160×100×1630.835 j180-110-10∠180×110×1022.273 j180-110-12∠180×110×1226.464 j180-110-14∠180×110×1430.589 j180-110-16∠180×110×1634.649 j200-125-12∠200×125×1229.761 j200-125-14∠200×125×1434.436 j200-125-16∠200×125×1639.045 j200-125-18∠200×125×1843.588热轧工字钢g10工1011.261 g12工1213.987 g12.6工12.614.223 g14工1416.89 g16工1620.513 g18工1824.143 g20a工20a27.929 g20b工20b31.069 g22a工22a33.07 g22b工22b36.524 g24a工24a37.477 g24b工24b41.245 g25a工25a38.105 g25b工25b42.03 g27a工27a42.825 g27b工27b47.084 g28a工28a43.492 g28b工28b47.888 g30a工30a48.084 g30b工30b52.794 g30c工30c57.504 g32a工32a52.717 g32b工32b57.741 g32c工32c62.675 g36a工36a60.037 g36b工36b65.689 g36c工36c71.341g40a工40a67.598 g40b工40b73.878 g40c工40c80.158 g45a工45a80.42 g45b工45b87.485 g45c工45c94.55 g50a工50a93.654 g50b工50b101.504 g50c工50c109.354 g55a工55a105.355 g55b工55b113.97 g55c工55c122.605 g56a工56a106.316 g56b工56b115.108 g56c工56c123.9 g63a工63a121.407 g63b工63b131.298 g63c工63c141.189轻型工字钢qg10轻工109.46 qg12轻工1211.5 qg14轻工1413.7 qg16轻工1615 qg18轻工1818.4 qg18a轻工18a19.9 qg20轻工2021 qg20a轻工20a22.7 qg22轻工2224 qg22a轻工22a25.8 qg24轻工2427.3 qg24a轻工24a29.4 qg27轻工2731.5 qg27a轻工27a33.9 qg30轻工3036.5 qg30a轻工30a39.2 qg33轻工3342.2 qg36轻工3648.6 qg40轻工4056.1 qg45轻工4565.2 qg50轻工5076.8 qg55轻工5589.8 qg60轻工60101 qg65轻工65120 qg70轻工70138 qg70a轻工70a158 qg70b轻工70b184热轧槽钢c5[5 5.438 c6.3[6.3 6.634 c6.5[6.5 6.709 c8[88.045 c10[1010.007 c12[1212.059 c12.6[12.612.318 c14a[14a14.535 c14b[14b16.733 c16a[16a17.24 c16[1619.752 c18a[18a20.174 c18[1823c20a[20a22.637 c20[2025.777 c22a[22a24.999 c22[2228.453 c24a[24a26.86 c24b[24b30.628 c24c[24c34.396 c25a[25a27.41 c25b[25b31.335 c25c[25c35.26 c27a[27a30.838 c27b[27b35.077 c27c[27c39.316 c28a[28a31.427 c28b[28b35.823 c28c[28c40.219 c30a[30a34.463 c30b[30b39.173 c30c[30c43.883 c32a[32a38.083 c32b[32b43.107 c32c[32c48.131 c36a[36a47.841 c36b[36b53.466 c36c[36c59.118 c40a[40a58.928 c40b[40b65.204 c40c[40c71.488轻型槽钢qc5轻[5 4.84 qc6.5轻[6.5 5.9 qc8轻[87.05 qc10轻[108.59 qc12轻[1210.4qc14轻[1412.3 qc14a轻[14a13.3 qc16轻[1614.2 qc16a轻[16a15.3 qc18轻[1816.3 qc18a轻[18a17.4 qc20轻[2018.4 qc20a轻[20a19.8 qc22轻[2221 qc22a轻[22a22.6 qc24轻[2424 qc24a轻[24a25.8 qc27轻[2727.7 qc30轻[3031.8 qc33轻[3336.5 qc36轻[3641.9 qc40轻[4048.3H型钢HW100-100-6-8HW100×100×6×817.19 HW125-125-6.5-9HW125×125×6.5×923.8 HW150-150-7-10HW150×150×7×1031.83 HW175-175-7.5-11HW175×175×7.5×1140.37 HW200-200-8-12HW200×200×8×1250.46 HW200-204-12-12HW200×204×12×1256.74 HW250-250-9-14HW250×250×9×1472.36 HW250-255-14-14HW250×255×14×1482.17 HW294-302-12-12HW294×302×12×1285.03 HW300-300-10-15HW300×300×10×1594.54 HW300-305-15-15HW300×305×15×15106.32 HW344-348-10-16HW344×348×10×16114.6 HW350-350-12-19HW350×350×12×19136.49 HW388-402-15-15HW388×402×15×15140.71 HW394-398-11-18HW394×398×11×18147.27 HW400-400-13-21HW400×400×13×21172.3 HW400-408-21-21HW400×408×21×21197.42 HW414-405-18-28HW414×405×18×28232.5 HW428-407-20-35HW428×407×20×35283.73 HW458-417-30-50HW458×417×30×50415.54 HW498-432-45-70HW498×432×45×70605.11 HM148-100-6-9HM148×100×6×921.39 HM194-150-6-9HM194×150×6×931.21 HM200-175-7-11HM200×175×7×1141.21 HM244-175-7-11HM244×175×7×1144.15 HM294-200-8-12HM294×200×8×1257.33 HM340-250-9-14HM340×250×9×1479.69 HM390-300-10-16HM390×300×10×16107.34 HM440-300-11-18HM440×300×11×18123.55HM482-300-11-15HM482×300×11×15114.96 HM488-300-11-18HM488×300×11×18129.09 HM582-300-12-17HM582×300×12×17136.97 HM588-300-12-20HM588×300×12×20151.1 HM594-302-14-23HM594×302×14×23174.56 HN100-50-5-7HN100×50×5×79.54 HN125-60-6-8HN125×60×6×813.3 HN150-75-5-7HN150×75×5×714.3 HN175-90-5-8HN175×90×5×818.2 HN198-99-4.5-7HN198×99×4.5×718.5 HN200-100-5.5-8HN200×100×5.5×821.7 HN248-124-5-8HN248×124×5×825.8 HN250-125-6-9HN250×125×6×929.7 HN298-149-5.5-8HN298×149×5.5×832.6 HN300-150-6.5-9HN300×150×6.5×937.3 HN346-174-6-9HN346×174×6×941.8 HN350-175-7-11HN350×175×7×1150 HN400-150-8-13HN400×150×8×1355.8 HN396-199-7-11HN396×199×7×1156.7 HN400-200-8-13HN400×200×8×1366 HN450-150-9-14HN450×150×9×1465.5 HN446-199-8-12HN446×199×8×1266.7 HN450-200-9-14HN450×200×9×1476.5 HN500-150-10-16HN500×150×10×1677.1 HN496-199-9-14HN496×199×9×1479.5 HN500-200-10-16HN500×200×10×1689.6 HN506-201-11-19HN506×201×11×19103 HN596-199-10-15HN596×199×10×1595.1 HN600-200-11-17HN600×200×11×17106 HN606-201-12-20HN606×201×12×20120 HN692-300-13-20HN692×300×13×20166 HN700-300-13-24HN700×300×13×24185 HN729-300-14-22HN729×300×14×22191 HN800-300-14-26HN800×300×14×26210 HN890-299-15-23HN890×299×15×23213 HN900-300-16-28HN900×300×16×28243 HN912-302-18-34HN912×302×18×34286 HP244-252-11HP244×252×11×1164.4 HP338-351-13HP338×351×13×13106.17 HP344-354-16HP344×354×16×16130.81 HP350-357-19HP350×357×19×19155.72 HP394-405-18HP394×405×18×18168.92 HP492-465-15-20HP492×465×15×20204.52 HP502-465-15-25HP502×465×15×25241.02260.7217.325.43T型钢TW50-100-6-8TW50×100×6×88.56 TW62.5-125-6.5-9TW62.5×125×6.5×911.9 TW75-150-7-10TW75×150×7×1015.9 TW87.5-175-7.5-11TW87.5×175×7.5×1120.2 TW100-200-8-12TW100×200×8×1225.2 TW100-204-12TW100×204×12×1228.3 TW125-250-9-14TW125×250×9×1436.2 TW125-255-14TW125×255×14×1441.1 TW147-302-12TW147×302×12×1242.5 TW150-300-10-15TW150×300×10×1547.3 TW150-305-15TW150×305×15×1553.1 TW172-348-10-16TW172×348×10×1657.3 TW175-350-12-19TW175×350×12×1968.2 TW194-402-15TW194×402×15×1570.3 TW197-398-11-18TW197×398×11×1873.6 TW200-400-13-21TW200×400×13×2186.1 TW200-408-21TW200×408×21×2198.7 TW207-405-18-28TW207×405×18×28116 TW214-407-20-35TW214×407×20×35142 TM74-100-6-9TM74×100×6×910.7 TM97-150-6-9TM97×150×6×915.6 TM122-175-7-11TM122×175×7×1122.1 TM147-200-8-12TM147×200×8×1228.7 TM170-250-9-14TM170×250×9×1439.9 TM195-300-10-16TM195×300×10×1653.7 TM220-300-11-18TM220×300×11×1861.8 TM241-300-11-15TM241×300×11×1557.5 TM244-300-11-18TM244×300×11×1864.5 TM291-300-12-17TM291×300×12×1768.5 TM294-300-12-20TM294×300×12×2075.5 TM297-302-14-23TM297×302×14×2387.3 TN50-50-5-7TN50×50×5×7 4.79 TN62.5-60-6-8TN62.5×60×6×8 6.67 TN75-75-5-7TN75×75×5×77.11 TN87.5-90-5-8TN87.5×90×5×89.11 TN99-99-4.5-7TN99×99×4.5×79.26 TN100-100-5.5-8TN100×100×5.5×810.8 TN124-124-5-8TN124×124×5×812.9 TN125-125-6-9TN125×125×6×914.8 TN149-149-5.5-8TN149×149×5.5×816.3 TN150-150-6.5-9TN150×150×6.5×918.7 TN173-174-6-9TN173×174×6×920.9 TN175-175-7-11TN175×175×7×1125 TN198-199-7-11TN198×199×7×1128.3 TN200-200-8-13TN200×200×8×1333TN223-199-8-12TN223×199×8×1233.4 TN225-200-9-14TN225×200×9×1438.2 TN248-199-9-14TN248×199×9×1439.7 TN250-200-10-16TN250×200×10×1644.8 TN253-201-11-19TN253×201×11×1951.5 TN298-199-10-15TN298×199×10×1547.6 TN300-200-11-17TN300×200×11×1753.1 TN303-201-12-20TN303×201×12×2060.1钢轨gg55Kg/m钢轨 5.03 gg88Kg/m钢轨8.42 gg99Kg/m钢轨8.94 gg1111Kg/m钢轨11.2 gg1212Kg/m钢轨12.2 gg1515Kg/m钢轨14.72 gg1818Kg/m钢轨18.06 gg2222Kg/m钢轨22.3 gg2424Kg/m钢轨24.46 gg3030Kg/m钢轨30.1 gg3838Kg/m钢轨38.73 gg4343Kg/m钢轨44.65 gg5050Kg/m钢轨51.51 gg6060Kg/m钢轨60.64 QU70QU70钢轨52.8 QU80QU80钢轨63.69 QU100QU100钢轨88.96 QU120QU120钢轨118.1焊接钢管DN6DN60.39 DN6h DN6加厚0.46 DN8DN80.62 DN8h DN8加厚0.73 DN10DN100.82 DN10h DN10加厚0.97 DN15DN15 1.26 DN15h DN15加厚 1.45 DN20DN20 1.63 DN20h DN20加厚 2.01 DN25DN25 2.42 DN25h DN25加厚 2.91 DN32DN32 3.13 DN32h DN32加厚 3.78 DN40DN40 3.84 DN40h DN40加厚 4.58 DN50DN50 4.88 DN50h DN50加厚 6.16 DN65DN65 6.64DN65h DN65加厚7.88 DN80DN808.34 DN80h DN80加厚9.81 DN100DN10010.85 DN100h DN100加厚13.44 DN125DN12515.04 DN125h DN125加厚18.24 DN150DN15017.81 DN150h DN150加厚21.63 DN194-6ø194×627.8 DN200-4ø219×421.2076 DN200-6ø219×631.52 DN200-8ø219×841.63 DN225-4ø245×423.77 DN225-6ø245×635.36 DN225-8ø245×846.76 DN250-4ø273×426.54 DN250-6ø273×639.51 DN250-8ø273×852.28 DN275-4ø275×426.73 DN275-6ø275×639.8 DN275-8ø275×852.68 DN275-10ø275×1065.35 DN299-10ø299×1071.27 DN300-4ø325×431.67 DN300-6ø325×647.2 DN300-8ø325×862.54 DN325-4ø351×434.23 DN325-6ø351×651.05 DN325-8ø351×867.67 DN350-4ø377×436.79 DN350-6ø377×654.89 DN350-8ø377×872.80 DN350-10ø377×1090.50钢梯、栏杆用钢材tg25-1ø25×10.592 tg38-1.2ø38×1.2 1.089 tg60-3.5ø60×3.5 4.877 tg60-3ø60×3 4.217 tg50-2.5ø50×2.5 2.929 tg50-3ø50×3 3.477 tg51-2ø51×2 2.417 tg51-3ø51×3 3.551 tg42.25-3.25ø42.25×3.25 3.126 tg40.5-3.25ø40.5×3.25 2.986 tg48-3.5ø48×3.5 3.841 tg45-2.5ø45×2.5 2.620tg45-3.25ø45×3.25 3.346 tg35.5-3.25ø35.5×3.25 2.585 tg34-2.5ø34×2.5 1.942 tg33.5-3.25ø33.5×3.25 2.425 tg32-2.5ø32×2.5 1.819 tg76-4ø76×47.100 tg89-4ø89×48.380 tg114-4ø114×410.850 tg127-6ø127×617.900 tg133-7ø133×721.750 tg140-5ø140×516.647 tg140-8ø140×826.040 tg146-4.5ø146×4.515.703 tg146-10ø146×1033.540 tg6圆钢ø60.261 tg8圆钢ø80.395 tg10圆钢ø100.617 tg12圆钢ø120.888 tg14圆钢ø14 1.209 tg16圆钢ø16 1.578 tg18圆钢ø18 1.998 tg20圆钢ø20 2.466 tg22圆钢ø22 2.984 tg24圆钢ø24 3.551 tg25圆钢ø25 3.853 tg28圆钢ø28 4.834 tg30圆钢ø30 5.549 tg32圆钢ø32 6.313 tg34圆钢ø347.127 tg36圆钢ø367.990 tg42圆钢ø4210.884 tg64圆钢ø6425.250 tg90圆钢ø9049.977 tg115圆钢ø11581.598tg160圆钢ø160157.830 tg40钢栏杆39.79.717方钢、方管fg20方钢20 3.140 fg25方钢25 4.906 fg30方钢307.065 fg70方钢7038.465 fg40-2.5方管40×2.5 2.799 fg40-3方管40×3 3.282 fg50-2.5方管50×2.5 3.580 fg50-3方管50×3 4.218 fg60-2.5方管60×2.5 4.359fg60-3方管60×3 5.154 fg60-4方管60×4 6.667 fg70-3方管70×3 6.090 fg70-4方管70×47.015 fg80-3方管80×37.026 fg80-4方管80×49.163 fg50-30-2.5方管50×30×2.5 2.799 fg50-30-3方管50×30×3 3.288 fg60-40-2.5方管60×40×2.5 3.579 fg60-40-3方管60×40×3 4.218 fg70-50-3方管70×50×3 5.154 fg70-50-4方管70×50×4 6.667 fg80-40-3方管80×40×3 5.154 fg80-40-4方管80×40×4 6.667 fg80-60-3方管80×60×3 6.090 fg80-60-4方管80×60×47.915 fg90-60-3方管90×60×3 6.558 fg90-60-4方管90×60×48.539 fg100-3方管100×38.854 fg100-5方管100×514.915 fg120-3方管120×311.021 fg120-4方管120×414.165 fg120-5方管120×517.482 fg100-50-4方管100×50×48.918 fg150-100-4方管150×100×414.820 fg150-6方管150×626.402 fg200-6方管200×635.741无缝管wf70-5ø70×58.015 wf70-3.5ø70×3.5 5.740 wf121-3.5ø121×3.510.142 wf121-6ø121×617.016 wf121-4ø121×411.542 wf102-4ø102×49.667 wf102-5ø102×511.961 wf159-6ø159×622.630 wf159-10ø159×1036.746 wf180-5ø180×521.652 wf180-6ø180×625.745 wf180-8ø180×833.932 wf500-10ø500×10120.834 wf500-20ø500×20236.736钢管桩、钢板桩型钢gz406-10ø406.4×10钢管桩97.514 gz406-12ø406.4×12钢管桩116.427 gz609-10ø609.6×10钢管桩147.502 gz609-12ø609.6×12钢管桩176.412gz914-10ø914.4×10钢管桩222.482 gz914-12ø914.4×12钢管桩266.388 bz-3拉森三号型钢62 bz-5拉森五号型钢100 bz-g国产拉森钢板桩77C型钢BC80-40-15-2BC80×40×15×2 2.72 BC100-50-15-2.5BC100×50×15×2.5 4.11 BC100-50-20-2.5BC100×50×20×2.5 4.29 BC100-50-20-3BC100×50×20×3 5.09 BC120-50-20-2.5BC120×50×20×2.5 4.7 BC120-50-20-3BC120×50×20×3 5.54 BC120-60-20-3BC120×60×20×3 6.01 BC140-50-20-2BC140×50×20×2 4.14 BC140-50-20-2.2BC140×50×20×2.2 4.52 BC140-50-20-2.5BC140×50×20×2.5 5.09 BC140-50-20-3BC140×50×20×36 BC140-60-20-3BC140×60×20×3 6.48 BC160-60-20-2BC160×60×20×2 4.76 BC160-60-20-2.2BC160×60×20×2.2 5.21 BC160-60-20-2.5BC160×60×20×2.5 5.87 BC160-60-20-3BC160×60×20×3 6.89 BC160-70-20-3BC160×70×20×37.42 BC180-60-20-2.5BC180×60×20×2.5 6.45 BC180-60-20-3BC180×60×20×37.31 BC180-70-20-2BC180×70×20×2 5.39 BC180-70-20-2.2BC180×70×20×2.2 5.9 BC180-70-20-2.5BC180×70×20×2.5 6.66 BC180-70-20-3BC180×70×20×37.79 BC200-70-20-2BC200×70×20×2 5.71 BC200-70-20-2.2BC200×70×20×2.2 6.25 BC200-70-20-2.5BC200×70×20×2.57.05 BC200-70-20-3BC200×70×20×38.28 BC220-70-20-2.5BC220×70×20×2.57.27 BC220-70-20-3BC220×70×20×38.68 BC220-75-25-3BC220×75×25×39.15 BC220-75-20-2BC220×75×20×2 6.18 BC220-75-20-2.2BC220×75×20×2.2 6.77 BC220-75-20-2.5BC220×75×20×2.57.64 BC250-70-20-2.5BC250×70×20×2.57.83 BC250-75-20-2.5BC250×75×20×2.58.03 BC250-70-20-3BC250×70×20×39.35 BC250-80-20-2.5BC250×80×20×2.58.2 BC250-80-20-3BC250×80×20×39.8 BC280-70-20-2.5BC280×70×20×2.58.38 BC280-70-20-3BC280×70×20×310.02 BC280-80-20-2.5BC280×80×20×2.58.76BC280-80-20-3BC280×80×20×310.46 BC300-80-20-2.5BC300×80×20×2.59.13 BC300-80-20-3BC300×80×20×310.92钢丝束gs1212ø5 1.849 gs1414ø5 2.157 gs1616ø5 2.466 gs1818ø5 2.774 gs2020ø5 3.082 gs2222ø5 3.39 gs2424ø5 3.698钢绞线gjx10.8DN10.8(1×3)0.465 gjx12.9DN12.9(1×3)0.671 gjx9.5DN9.5(1×7)0.432 gjx11.1DN11.1(1×7)0.58 gjx12.7DN12.7(1×7)0.774 gjx15.2DN15.2(1×7) 1.101网架钢球QD260*6D260*69.543 QD300*12D300*1224.548 QD400*12D400*1244.543 QD450*16D450*1674.318 QD500*20D500*20113.648。