二次根式能力拓展题(提高篇)
- 格式:doc
- 大小:565.50 KB
- 文档页数:11
二次根式能力拓展题(提高篇)二次根式的计算与化简(提高篇)1、已知m2、化简(1)(2)xx x x x 5022322123-+(3)0)a >3、当2x =2(7(2x ++4、先化简,再求值:22,其中1,39a b ==。
5、计算:)...16、已知1a =,先化简222214164821442a a a aa a a a a --+++÷-+-+-,再求值。
7、已知:321+=a ,321-=b ,求b a b a 2222+-的值。
8、已知:2323-+=a ,2323+-=b ,求代数式223b ab a +-的值。
9、已知30≤≤x ,化简9622+-+x x x10、已知2a =a aa a a a a a 112121222--+---+-11、①已知2222x y x xy y ==+++求:的值。
②已知12+=x ,求112--+x x x 的值.③)57(964222x x y x y +-+ ④3)2733(3a a a ÷-12、计算及化简:⑴. 22- ⑵⑶⑷-13、已知:11a a +=+221a a+的值。
14、已知11039322++=+-+-y x x x y x ,求的值。
二次根式提高测试一、判断题:(每小题1分,共5分)1.ab 2)2(-=-2ab .…………………( ) 2.3-2的倒数是3+2.( )3.2)1(-x =2)1(-x .…( )4.ab 、31b a 3、b ax 2-是同类二次根式.…( )5.x 8,31,29x +都不是最简二次根式.( )二、填空题:(每小题2分,共20分)6.当x__________时,式子31-x 有意义.7.化简-81527102÷31225a =_.8.a -12-a 的有理化因式是____________.9.当1<x <4时,|x -4|+122+-x x =________________. 10.方程2(x -1)=x +1的解是____________.11.已知a 、b 、c 为正数,d 为负数,化简2222d c ab d c ab +-=______.12.比较大小:-721_________-341.13.化简:(7-52)2000·(-7-52)2001=______________. 14.若1+x +3-y =0,则(x -1)2+(y +3)2=____________.15.x ,y 分别为8-11的整数部分和小数部分,则2xy -y2=____________. 三、选择题:(每小题3分,共15分)16.已知233x x +=-x 3+x ,则………………( )(A )x ≤0 (B )x ≤-3 (C )x ≥-3 (D )-3≤x ≤017.若x <y <0,则222y xy x +-+222y xy x ++=………………………( )(A )2x (B )2y (C )-2x (D )-2y18.若0<x <1,则4)1(2+-x x -4)1(2-+x x 等于………………………( )(A )x 2 (B )-x 2(C )-2x (D )2x19.化简a a 3-(a <0)得………………………………………………………………( )(A )a - (B )-a (C )-a - (D )a20.当a <0,b <0时,-a +2ab -b 可变形为………………………………………( )(A )2)(b a + (B )-2)(b a - (C )2)(b a -+- (D )2)(b a ---四、在实数范围内因式分解:(每小题3分,共6分) 21.9x 2-5y 2; 22.4x 4-4x 2+1.五、计算题:(每小题6分,共24分) 23.(235+-)(235--);24.1145--7114--732+;25.(a 2m n -mab mn +mn n m )÷a 2b 2m n ;26.(a +b a abb +-)÷(b ab a ++a ab b --ab b a +)(a ≠b ).(六)求值:(每小题7分,共14分)27.已知x =2323-+,y =2323+-,求32234232y x y x y x xy x ++-的值.28.当x =1-2时,求2222a x x a x x+-++222222a x x x a x x +-+-+221a x +的值.七、解答题:(每小题8分,共16分)29.计算(25+1)(211++321++431++…+100991+).30.若x ,y 为实数,且y =x 41-+14-x +21.求x y y x ++2-x y y x +-2的值.《二次根式》提高测试(一)判断题:(每小题1分,共5分)1.ab 2)2(-=-2ab .…………………( )【提示】2)2(-=|-2|=2.【答案】×.2.3-2的倒数是3+2.( )【提示】231-=4323-+=-(3+2).【答案】×.3.2)1(-x =2)1(-x .…( )【提示】2)1(-x =|x -1|,2)1(-x =x -1(x ≥1).两式相等,必须x ≥1.但等式左边x 可取任何数.【答案】×.4.ab 、31b a 3、b a x 2-是同类二次根式.…( )【提示】31b a 3、bax 2-化成最简二次根式后再判断.【答案】√.5.x 8,31,29x +都不是最简二次根式.( )29x +是最简二次根式.【答案】×.(二)填空题:(每小题2分,共20分)6.当x __________时,式子31-x 有意义.【提示】x 何时有意义?x ≥0.分式何时有意义?分母不等于零.【答案】x ≥0且x ≠9.7.化简-81527102÷31225a =_.【答案】-2a a .【点评】注意除法法则和积的算术平方根性质的运用.8.a -12-a 的有理化因式是____________.【提示】(a -12-a )(________)=a 2-22)1(-a .a +12-a .【答案】a +12-a .9.当1<x <4时,|x -4|+122+-x x =________________.【提示】x 2-2x +1=( )2,x -1.当1<x <4时,x -4,x -1是正数还是负数? x -4是负数,x -1是正数.【答案】3.10.方程2(x -1)=x +1的解是____________.【提示】把方程整理成ax =b 的形式后,a 、b 分别是多少?12-,12+.【答案】x =3+22. 11.已知a 、b 、c 为正数,d 为负数,化简2222d c ab d c ab +-=______.【提示】22d c =|cd |=-cd .【答案】ab +cd .【点评】∵ ab =2)(ab (ab >0),∴ ab -c 2d 2=(cd ab +)(cd ab -). 12.比较大小:-721_________-341.【提示】27=28,43=48.【答案】<.【点评】先比较28,48的大小,再比较281,481的大小,最后比较-281与-481的大小. 13.化简:(7-52)2000·(-7-52)2001=______________.【提示】(-7-52)2001=(-7-52)2000·(_________)[-7-52.] (7-52)·(-7-52)=?[1.]【答案】-7-52. 【点评】注意在化简过程中运用幂的运算法则和平方差公式.14.若1+x +3-y =0,则(x -1)2+(y +3)2=____________.【答案】40.【点评】1+x ≥0,3-y ≥0.当1+x +3-y =0时,x +1=0,y -3=0. 15.x ,y 分别为8-11的整数部分和小数部分,则2xy -y 2=____________. 【提示】∵ 3<11<4,∴ _______<8-11<__________.[4,5].由于8-11介于4与5之间,则其整数部分x =?小数部分y =?[x =4,y =4-11]【答案】5.【点评】求二次根式的整数部分和小数部分时,先要对无理数进行估算.在明确了二次根式的取值范围后,其整数部分和小数部分就不难确定了. (三)选择题:(每小题3分,共15分)16.已知233x x +=-x 3+x ,则………………( )(A )x ≤0 (B )x ≤-3 (C )x ≥-3 (D )-3≤x ≤0【答案】D .【点评】本题考查积的算术平方根性质成立的条件,(A )、(C )不正确是因为只考虑了其中一个算术平方根的意义.17.若x <y <0,则222y xy x +-+222y xy x ++=………………………( )(A )2x (B )2y (C )-2x (D )-2y 【提示】∵ x <y <0,∴ x -y <0,x +y <0.∴222y xy x +-=2)(y x -=|x -y |=y -x .222y xy x ++=2)(y x +=|x +y |=-x -y .【答案】C . 【点评】本题考查二次根式的性质2a =|a |.18.若0<x <1,则4)1(2+-x x -4)1(2-+xx 等于………………………( )(A )x 2 (B )-x 2(C )-2x (D )2x【提示】(x -x 1)2+4=(x +x 1)2,(x +x 1)2-4=(x -x 1)2.又∵ 0<x <1,∴ x +x 1>0,x -x1<0.【答案】D .【点评】本题考查完全平方公式和二次根式的性质.(A )不正确是因为用性质时没有注意当0<x <1时,x -x1<0.19.化简aa 3-(a <0)得………………………………………………………………( )(A )a - (B )-a (C )-a - (D )a 【提示】3a -=2a a ⋅-=a -·2a =|a |a -=-a a -.【答案】C . 20.当a <0,b <0时,-a +2ab -b 可变形为………………………………………( )(A )2)(b a + (B )-2)(b a - (C )2)(b a -+- (D )2)(b a --- 【提示】∵ a <0,b <0,∴ -a >0,-b >0.并且-a =2)(a -,-b =2)(b -,ab =))((b a --. 【答案】C .【点评】本题考查逆向运用公式2)(a =a (a ≥0)和完全平方公式.注意(A )、(B )不正确是因为a <0,b <0时,a 、b 都没有意义. (四)在实数范围内因式分解:(每小题3分,共6分)21.9x 2-5y 2;【提示】用平方差公式分解,并注意到5y 2=2)5(y .【答案】(3x +5y )(3x -5y ).22.4x 4-4x 2+1.【提示】先用完全平方公式,再用平方差公式分解.【答案】(2x +1)2(2x -1)2.(五)计算题:(每小题6分,共24分)23.(235+-)(235--);【提示】将35-看成一个整体,先用平方差公式,再用完全平方公式. 【解】原式=(35-)2-2)2(=5-215+3-2=6-215.24.1145--7114--732+;【提示】先分别分母有理化,再合并同类二次根式. 【解】原式=1116)114(5-+-711)711(4-+-79)73(2--=4+11-11-7-3+7=1.25.(a 2m n -m ab mn +m n nm)÷a 2b 2m n ;【提示】先将除法转化为乘法,再用乘法分配律展开,最后合并同类二次根式.【解】原式=(a 2m n -m ab mn +m n n m )·221b a n m=21bn m m n ⋅-mab 1n m mn ⋅+22b ma n n m n m ⋅ =21b-ab 1+221b a =2221b a ab a +-. 26.(a +ba abb +-)÷(b ab a ++a ab b --ab b a +)(a ≠b ).【提示】本题应先将两个括号内的分式分别通分,然后分解因式并约分.【解】原式=ba ab b ab a +-++÷))(())(()()(b a b a ab b a b a b a b b b a a a -+-+-+--=b a b a ++÷))((2222b a b a ab b a b ab b ab a a -++----=b a b a ++·)())((b a ab b a b a ab +-+-=-b a +.【点评】本题如果先分母有理化,那么计算较烦琐. (六)求值:(每小题7分,共14分)27.已知x =2323-+,y =2323+-,求32234232y x y x y x xy x ++-的值. 【提示】先将已知条件化简,再将分式化简最后将已知条件代入求值.【解】∵ x =2323-+=2)23(+=5+26, y =2323+-=2)23(-=5-26.∴ x +y =10,x -y =46,xy =52-(26)2=1.32234232y x y x y x xy x ++-=22)())((y x y x y x y x x +-+=)(y x xy y x +-=10164⨯=652.【点评】本题将x 、y 化简后,根据解题的需要,先分别求出“x +y ”、“x -y ”、“xy ”.从而使求值的过程更简捷.28.当x =1-2时,求2222ax x a x x+-++222222ax x x a x x +-+-+221ax +的值.【提示】注意:x 2+a 2=222)(a x +,∴ x 2+a 2-x 22a x +=22a x +(22a x +-x ),x 2-x 22a x +=-x (22a x +-x ). 【解】原式=)(2222x a x a x x-++-)(22222x a x x a x x -++-+221ax +=)()()2(22222222222x a x a x x x a x x a x x a x x -++-+++-+-=)()(22222222222222x a x a x x x a x x a x a x x x -++-+++++-=)()(222222222x a x a x x a x x a x -+++-+=)()(22222222x a x a x x x a x a x -++-++=x 1.当x =1-2时,原式=211-=-1-2.【点评】本题如果将前两个“分式”分拆成两个“分式”之差,那么化简会更简便.即原式=)(2222x a x a x x-++-)(22222x a x x a x x -++-+221ax +=)11(2222a x xa x +--+-)11(22x x a x --++221a x +=x 1. 七、解答题:(每小题8分,共16分)29.计算(25+1)(211++321++431++…+100991+).【提示】先将每个部分分母有理化后,再计算.【解】原式=(25+1)(1212--+2323--+3434--+…+9910099100--)=(25+1)[(12-)+(23-)+(34-)+…+(99100-)]=(25+1)(1100-)=9(25+1).【点评】本题第二个括号内有99个不同分母,不可能通分.这里采用的是先分母有理化,将分母化为整数,从而使每一项转化成两数之差,然后逐项相消.这种方法也叫做裂项相消法.30.若x ,y 为实数,且y =x 41-+14-x +21.求x y y x ++2-x y y x +-2的值. 【提示】要使y 有意义,必须满足什么条件?].014041[⎩⎨⎧≥-≥-x x 你能求出x ,y 的值吗?].2141[⎪⎪⎩⎪⎪⎨⎧==y x【解】要使y 有意义,必须⎩⎨⎧≥-≥-014041[x x ,即⎪⎪⎩⎪⎪⎨⎧≥≤.4141x x ∴ x =41.当x =41时,y =21.又∵xyy x ++2-xyy x +-2=2)(xy y x+-2)(xy y x -=|xy y x+|-|xy y x -|∵ x =41,y =21,∴ y x <x y.∴ 原式=x y y x +-y x x y +=2yx 当x =41,y =21时,原式=22141=2.【点评】解本题的关键是利用二次根式的意义求出x 的值,进而求出y 的值.。
初中数学二次根式拓展提高综合题
一、单选题(共8道,每道12分)
1.设a,b,c都是实数,且满足,则的值为()
A.-5
B.11
C.5
D.3
答案:A
试题难度:三颗星知识点:二次根式的双重非负性
2.若,则的值为()
A. B.
C. D.
答案:D
试题难度:三颗星知识点:二次根式的双重非负性
3.化简的值为()
A.1
B.2
C.3
D.4
答案:D
试题难度:三颗星知识点:二次根式的双重非负性
4.已知,化简:结果为()
A.a
B.b
C.2b-a
D.a-2b
答案:A
试题难度:三颗星知识点:二次根式的化简求值
5.在如图所示的数轴上,点B和点C关于点A对称,A、B两点对应的实数分别是和-1,则点
C所对应的实数是()
A. B.
C. D.
答案:C
试题难度:三颗星知识点:数轴表示无理数
6.比较大小:()
A.大于
B.小于
C.等于
D.无法判断
答案:B
试题难度:三颗星知识点:比较大小
7.化简的结果是()
A. B.
C. D.
答案:A
试题难度:三颗星知识点:完全平方式的应用
8.若,则代数式=()
A.2013
B.2012
C.-2013
D.-2012
答案:C
试题难度:三颗星知识点:完全平方公式的运用。
二次根式能力拓展题(提高篇)1、已知$m$是$2$的小数部分,求$m^2+\frac{1}{m^2}-2$的值。
2、化简:begin{enumerate}item $(1-x)^2-x^2-8x+16$item $\frac{32x^3+2x^2-x^2}{x}$item $4a-4b+(a-b)^3-a^3-a^2b$,其中$a>0$end{enumerate}3、当$x=2-\sqrt{3}$时,求$(7+4\sqrt{3})x^2+(2+3x)+3$的值。
4、先化简,再求值:$\frac{2a^3ab^3-b}{6\sqrt[3]{27a^3b^3}+2ab^4}$,其中$a=\frac{1}{9},b=3$。
5、计算:frac{1}{2+1}+\frac{1}{3+2}+\frac{1}{4+3}+\cdots+\frac{1 }{2005+2004}$$6、已知$a=2-\sqrt{3}$,先化简$\frac{a^2-2a+1}{a-2}+\frac{a^2-a}{a^2-4}$,再求值。
7、已知:$a=\frac{1}{2}+\frac{3}{2},b=\frac{1}{2}-\frac{3}{2}$,求$\frac{2-3a+2b}{1-2a+2b}$的值。
8、已知:$a=3+2,b=3-2$,求代数式$a^2-3ab+b^2$的值。
9、已知$1\leq x\leq 3$,化简$x^2+x^2-6x+9$。
10、已知$a=2-\sqrt{3}$,化简求值$\frac{1-2a+a^2}{a^2-2a+1}-\frac{a^2-a}{a-1}-\frac{a}{a^2-a}$。
11、begin{enumerate}item 已知$x=2-\sqrt{3},y=2+\sqrt{3}$,求$x^2+xy+y^2$的值。
item 已知$x=2+\frac{1}{x-1}$,求$x+\frac{1}{x}$的值。
一.计算题: 1.(235+-)(235--);2. 1145--7114--732+;3.(a 2mn -m abmn +mn nm )÷a 2b 2mn ;4.(a +ba abb +-)÷(bab a ++aab b --abb a +)(a ≠b ).二.求值:1.已知x =2323-+,y =2323+-,求32234232yx y x y x xy x ++-的值. 2.当x =1-2时,求2222ax x a x x+-++222222ax x x ax x +-+-+221ax +的值.三.解答题: 1.计算(25+1)(211++321++431++…+100991+).2.若x ,y 为实数,且y =x 41-+14-x +21.求xy y x ++2-xy y x +-2的值.计算题: 1、【提示】将35-看成一个整体,先用平方差公式,再用完全平方公式.【解】原式=(35-)2-2)2(=5-215+3-2=6-215. 2、【提示】先分别分母有理化,再合并同类二次根式. 【解】原式=1116)114(5-+-711)711(4-+-79)73(2--=4+11-11-7-3+7=1.3、【提示】先将除法转化为乘法,再用乘法分配律展开,最后合并同类二次根式.【解】原式=(a 2m n -mab mn +mn nm)·221b a n m=21b nmm n ⋅-mab 1n m mn ⋅+22b ma n n m n m ⋅=21b -ab 1+221b a =2221ba ab a +-. 4、【提示】本题应先将两个括号内的分式分别通分,然后分解因式并约分.【解】原式=ba ab b ab a +-++÷))(())(()()(b a b a ab b a b a b a b b b a a a -+-+-+-- =ba ba ++÷))((2222b a b a ab ba b ab b ab a a -++----=ba b a ++·)())((b a ab b a b a ab +-+-=-ba +.【点评】本题如果先分母有理化,那么计算较烦琐. 求值: 1.、【提示】先将已知条件化简,再将分式化简最后将已知条件代入求值.【解】∵ x =2323-+=2)23(+=5+26,y =2323+-=2)23(-=5-26.∴ x +y =10,x -y =46,xy =52-(26)2=1.32234232yx y x y x xy x ++-=22)())((y x y x y x y x x +-+=)(y x xy y x +-=10164⨯=652.【点评】本题将x 、y 化简后,根据解题的需要,先分别求出“x +y ”、“x -y ”、“xy ”.从而使求值的过程更简捷. 2、【提示】注意:x 2+a 2=222)(a x +,∴ x 2+a 2-x22ax +=22ax +(22ax +-x ),x 2-x22ax +=-x(22ax +-x ).【解】原式=)(2222x a x a x x-++-)(22222x a x x ax x -++-+221ax +=)(()2(22222222222x a x a x x ax x a x x a x x -+++++-+-=)()(22222222222222x a x a x x xa x x a x a x x x -++-+++++-=)()(222222222x a x a x x ax x a x -+++-+=)()(22222222x a x a x x x a x a x -++-++=x1.当x =1-2时,原式=211-=-1-2.【点评】本题如果将前两个“分式”分拆成两个“分式”之差,那么化简会更简便.即原式=)(2222x a x a x x-++-)(22222x a x x ax x -++-+221ax +=)11(2222ax xa x +--+-)11(22x x a x --++221ax +=x1.解答题: 1、【提示】先将每个部分分母有理化后,再计算.【解】原式=(25+1)(1212--+2323--+3434--+…+9910099100--)=(25+1)[(12-)+(23-)+(34-)+…+(99100-)]=(25+1)(1100-)=9(25+1).【点评】本题第二个括号内有99个不同分母,不可能通分.这里采用的是先分母有理化,将分母化为整数,从而使每一项转化成两数之差,然后逐项相消.这种方法也叫做裂项相消法.2、【提示】要使y 有意义,必须满足什么条件?].014041[⎩⎨⎧≥-≥-x x 你能求出x ,y 的值吗?].2141[⎪⎪⎩⎪⎪⎨⎧==y x 【解】要使y 有意义,必须⎩⎨⎧≥-≥-014041[x x ,即⎪⎪⎩⎪⎪⎨⎧≥≤.4141x x ∴ x =41.当x =41时,y =21.又∵xy y x ++2-xyy x +-2=2)(xy y x+-2)(xy y x -=|xy y x +|-|x yyx -|∵ x =41,y =21,∴yx <xy .∴ 原式=xy y x +-yx x y +=2yx 当x =41,y =21时,原式=22141=2.【点评】解本题的关键是利用二次根式的意义求出x 的值,进而求出y 的值.。
2 m 2 + 1- 2 m 2(1- x )2 4a - 4b (a - b )3 二次根式的计算与化简练习题(提高篇)1、已知 m 是 的小数部分,求 的值。
2、化简(1) - (2) 1232x 3 + 2x- x 2(3) + - a 3 - a 2b (a > 0)3、当 x = 2 - 时,求(7 + 4 3)x 2 + (2 +3)x + 的值。
x 2 - 8x +16x 2 50 x3 3b 27a 3b 3 2 2 + 3 x 2 14、先化简,再求值: 2a - + 2ab 6,其中 a = , b = 3 。
96、已知a = -1,先化简 +a -1 + 4a 2 -16 ÷ 4a 2 + 8a ,再求值。
a 2- aa 2- 2a +1 a 2 - 4a + 4 a - 27、已知: a = 1 , b =a 2 -b 2 ,求 的值。
2a + 2b9、已知0 ≤ x ≤ 3 ,化简 + 3ab 33 ab4 a 2- 2a +1 1 2 - 3x 2 - 6x + 9a 2 - 2a + 1 y 2 x x x 2 3a 27a 3110、已知a = 2 - ,化简求值1 - 2a + a 2 - a - 1 a 2 - a -a11、①已知 x = 2 - 3, y = 2 + 3, 求:x 2 + xy + y 2 的值。
②已知 x =+1 ,求 x +1-x 2x -1的值.③ 4 + 6- (7 + 5 )④ ( - 3 ) ÷3 2 y 29a3a a ⎪ ⎭ a -b a - b - ⎛a a + ab -⎝ b b - ab- 1 ( 2)⎪12、计算及化简:⑴. ⎛ 1 ⎫2⎛ + ⎪ 1 ⎫2⑵.- ⎝a ⎭ ⎝a + 2 ab + b ⎫⑷. ÷ a - b ⎭13、已知: a + = 1+ a,求 a 2+ 1a2的值。
二、二次根式能力拓展题(提高篇)二次根式综合水平测试一、判断题:(每小题1分,共5分)1.ab 2)2(-=-2ab .( ) 2.3-2的倒数是3+2.( )3.2)1(-x =2)1(-x .( )4.ab 、31b a 3、b ax 2-是同类二次根式.…( )5.x 8,31,29x +都不是最简二次根式.( )二、填空题:(每小题2分,共20分)6.当x__________时,式子31-x 有意义.7.化简-81527102÷31225a =______.8.a -12-a 的有理化因式是____________.9.当1<x <4时,|x -4|+122+-x x =____________.10.方程2(x -1)=x +1的解是____________.11.已知a 、b 、c 为正数,d 为负数,化简2222d c ab d c ab +-=______. 12.比较大小:-721_________-341.13.化简:(7-52)2000·(-7-52)2001=____________. 14.若1+x +3-y =0,则(x -1)2+(y +3)2=____________.15.x ,y 分别为8-11的整数部分和小数部分,则2xy -y2=___________. 三、选择题:(每小题3分,共15分)16.已知233x x +=-x 3+x ,则………………( )(A )x ≤0 (B )x ≤-3 (C )x ≥-3 (D )-3≤x ≤017.若x <y <0,则222y xy x +-+222y xy x ++=………………………( )(A )2x (B )2y (C )-2x (D )-2y18.若0<x <1,则4)1(2+-x x -4)1(2-+x x 等于………………………( )(A )x 2 (B )-x 2(C )-2x (D )2x19.化简a a 3-(a <0)得………………………………………………………………( )(A )a - (B )-a (C )-a - (D )a20.当a <0,b <0时,-a +2ab -b 可变形为………………………………………( )(A )2)(b a + (B )-2)(b a - (C )2)(b a -+- (D )2)(b a ---四、在实数范围内因式分解:(每小题3分,共6分) 21.9x 2-5y 2; 22.4x 4-4x 2+1.五、计算题:(每小题6分,共24分)23.(235+-)(235--); 24.1145--7114--732+;25.(a 2m n -mab mn +mn n m )÷a 2b 2m n ;26.(a +b a abb +-)÷(b ab a ++a ab b --ab b a +)(a ≠b ).(六)求值:(每小题7分,共14分)27.已知x =2323-+,y =2323+-,求32234232y x y x y x xy x ++-的值.28.当x =1-2时,求2222a x x a x x+-++222222a x x x a x x +-+-+221a x +的值.七、解答题:(每小题8分,共16分)29.计算(25+1)(211++321++431++…+100991+).30.若x ,y 为实数,且y =x 41-+14-x +21.求x y yx ++2-x y y x +-2的值. 二次根式的计算与化简(提高篇)1、已知m2、化简(1)(2)xx x x x 5022322123-+(3)0)a >3、当2x =2(7(2x ++4、先化简,再求值:22,其中1,39a b ==。
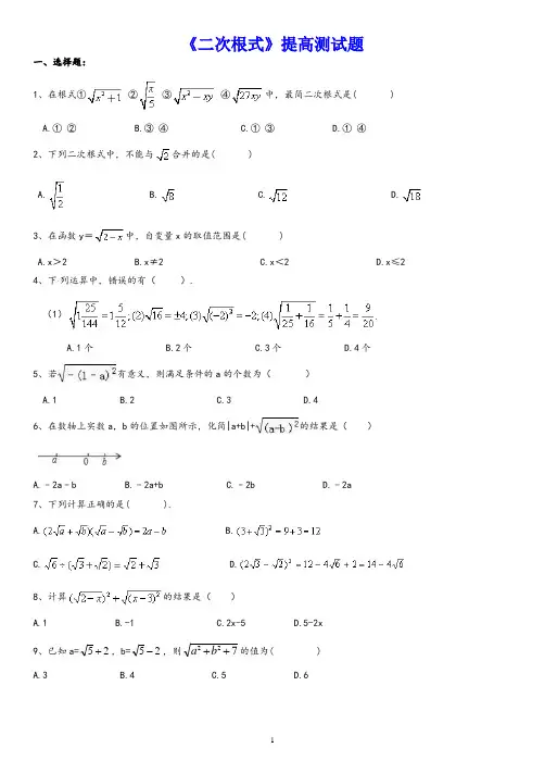
《二次根式》提高测试题一、选择题: 1、在根式①②③④中,最简二次根式是( )A.① ②B.③ ④C.① ③D.① ④ 2、下列二次根式中,不能与合并的是( )A. B. C. D.3、在函数y =中,自变量x 的取值范围是( )A.x >2B.x ≠2C.x <2D.x ≤2 4、下列运算中,错误的有( ). (1)A.1个B.2个C.3个D.4个 5、若有意义,则满足条件的a 的个数为( )A.1B.2C.3D.4 6、在数轴上实数a ,b 的位置如图所示,化简|a+b|+的结果是( )A.﹣2a ﹣bB.﹣2a+bC.﹣2bD.﹣2a 7、下列计算正确的是( ). A. B.C. D.8、计算的结果是( )A.1B.-1C.2x-5D.5-2x9、已知a=,b=,则的值为( )A.3B.4C.5D.625+25-722++b a10、按如图所示的程序计算,若开始输入的n 值为,则最后输出的结果是( )A.14B.16C.8+5D.14+11、△ABC 的三边长分别是1、k 、3,则化简的结果为( )A.﹣5B.19﹣4kC.13D.1 12、设a 为﹣的小数部分,b 为﹣的小数部分.则﹣的值为( ) A.+-1 B.﹣+1 C.﹣﹣1 D.++113、已知=-x ,则………………( )(A )x ≤0 (B )x ≤-3 (C )x ≥-3 (D )-3≤x ≤0【答案】D .14、若x <y <0,则+=………………………( )(A )2x (B )2y (C )-2x (D )-2y15、若0<x <1,则-等于………………………( )(A ) (B )- (C )-2x (D )2x16、化简a <0得………………………………………………………………( ) (A ) (B )- (C )- (D )17、当a <0,b <0时,-a +2-b 可变形为………………………………………( )(A ) (B )- (C ) (D )二、填空题: 1、计算 .2、函数y=的自变量x 的取值范围是 .3、如果,那么= .4、当时,代数式的值为______.5、已知﹣1<a <0,化简得 .6、已知直角三角形的两边长为x ,y ,且满足,则第三边长为233x x +3+x 222y xy x +-222y xy x ++4)1(2+-x x 4)1(2-+x x x 2x 2aa 3-()a -a a -a ab 2)(b a +2)(b a -2)(b a -+-2)(b a ---065422=+-+-y y x7、当x__________时,式子有意义.【提示】何时有意义?x ≥0.分式何时有意义?分母不等于零.8、化简-÷=_.9、a -的有理化因式是____________. 10、当1<x <4时,|x -4|+=________________. 11、方程(x -1)=x +1的解是____________.12、已知a 、b 、c 为正数,d 为负数,化简=______. 13、比较大小:-_________-.14、化简:(7-5)2000·(-7-5)2001=______________. 15、若+=0,则(x -1)2+(y +3)2=____________.16、x ,y 分别为8-的整数部分和小数部分,则2xy -y2=____________. 三、计算题: 1、2、;3、()();4、--;5、(a2-+)÷a2b2; 6、(+)÷(+-)(a ≠b ).四、解答题:31-x x 8152710231225a 12-a 122+-x x 22222d c ab d c ab +-721341221+x 3-y 11235+-235--1145-7114-732+mnm ab mn m nn m mn a ba abb +-b ab a +a ab b -ab b a +1、如果最简二次根式与是同类二次根式,求的值。
二次根式运算提高题(总9页)--本页仅作为文档封面,使用时请直接删除即可----内页可以根据需求调整合适字体及大小--初二数学《二次根式》提高测试题(一)判断题:(每小题1分,共5分)1.ab 2)2(-=-2ab .………………………………………………………………( ) 【提示】2)2(-=|-2|=2. 【答案】×.2.3-2的倒数是3+2.……………………………………………………………( ) 【提示】231-=4323-+=-(3+2).【答案】×. 3.2)1(-x =2)1(-x .………………………………………………………………( ) 【提示】2)1(-x =|x -1|,2)1(-x =x -1(x ≥1).两式相等,必须x ≥1.但等式左边x 可取任何数.【答案】×. 4.ab 、31b a 3、bax 2-是同类二次根式.…………………………………………( ) 【提示】31b a 3、bax 2-化成最简二次根式后再判断. 【答案】√. 5.x 8,31,29x +都不是最简二次根式.………………………………………( ) 【提示】29x +是最简二次根式. 【答案】×.(二)填空题:(每小题2分,共20分)6.当x __________时,式子31-x 有意义.【提示】x 何时有意义x ≥0.分式何时有意义分母不等于零. 【答案】x ≥0且x ≠9. 7.化简-81527102÷31225a=____________. 【答案】-2a a .【点评】注意除法法则和积的算术平方根性质的运用. 8.a -12-a 的有理化因式是____________.【提示】(a -12-a )(________)=a 2-22)1(-a .a +12-a . 【答案】a +12-a .9.当1<x <4时,|x -4|+122+-x x =________________.【提示】x 2-2x +1=( )2,x -1.当1<x <4时,x -4,x -1是正数还是负数x -4是负数,x -1是正数. 【答案】3.10.方程2(x -1)=x +1的解是____________.【提示】把方程整理成ax =b 的形式后,a 、b 分别是多少12-,12+. 【答案】x =3+22.11.已知a 、b 、c 为正数,d 为负数,化简2222dc abd c ab +-=___________________. 【提示】22d c =|cd |=-cd . 【答案】ab +cd .【点评】∵ ab =2)(ab (ab >0),∴ ab -c 2d 2=(cd ab +)(cd ab -). 12.比较大小:-721_________-341.【提示】27=28,43=48.【答案】<.【点评】先比较28,48的大小,再比较281,481的大小,最后比较-281与-481的大小. 13.化简:(7-52)2000·(-7-52)2001=______________.【提示】(-7-52)2001=(-7-52)2000·(_________)[-7-52.] (7-52)·(-7-52)=[1.] 【答案】-7-52.【点评】注意在化简过程中运用幂的运算法则和平方差公式. 14.若1+x +3-y =0,则(x -1)2+(y +3)2=____________. 【答案】40.【点评】1+x ≥0,3-y ≥0.当1+x +3-y =0时,x +1=0,y -3=0.15.x ,y 分别为8-11的整数部分和小数部分,则2xy -y 2=____________.【提示】∵ 3<11<4,∴ _______<8-11<__________.[4,5].由于8-11介于4与5之间,则其整数部分x =小数部分y =[x =4,y =4-11]【答案】5.【点评】求二次根式的整数部分和小数部分时,先要对无理数进行估算.在明确了二次根式的取值范围后,其整数部分和小数部分就不难确定了. (三)选择题:(每小题3分,共15分)16.已知233x x +=-x 3+x ,则…………………………………………………( )(A )x ≤0 (B )x ≤-3 (C )x ≥-3 (D )-3≤x ≤0 【答案】D .【点评】本题考查积的算术平方根性质成立的条件,(A )、(C )不正确是因为只考虑了其中一个算术平方根的意义.17.若x <y <0,则222y xy x +-+222y xy x ++=………………………( )(A )2x (B )2y (C )-2x (D )-2y 【提示】∵ x <y <0,∴ x -y <0,x +y <0.∴222y xy x +-=2)(y x -=|x -y |=y -x . 222y xy x ++=2)(y x +=|x +y |=-x -y .【答案】C .【点评】本题考查二次根式的性质2a =|a |.18.若0<x <1,则4)1(2+-x x -4)1(2-+x x 等于………………………( )(A )x 2 (B )-x2(C )-2x (D )2x 【提示】(x -x 1)2+4=(x +x 1)2,(x +x 1)2-4=(x -x1)2.又∵ 0<x <1,∴ x +x 1>0,x -x1<0.【答案】D .【点评】本题考查完全平方公式和二次根式的性质.(A )不正确是因为用性质时没有注意当0<x <1时,x -x1<0.19.化简aa 3-(a <0)得………………………………………………………………( ) (A )a - (B )-a (C )-a - (D )a 【提示】3a -=2a a ⋅-=a -·2a =|a |a -=-a a -. 【答案】C .20.当a <0,b <0时,-a +2ab -b 可变形为………………………………………( )(A )2)(b a + (B )-2)(b a - (C )2)(b a -+- (D )2)(b a ---【提示】∵ a <0,b <0,∴ -a >0,-b >0.并且-a =2)(a -,-b =2)(b -,ab =))((b a --. 【答案】C .【点评】本题考查逆向运用公式2)(a =a (a ≥0)和完全平方公式.注意(A )、(B )不正确是因为a <0,b <0时,a 、b 都没有意义. (四)在实数范围内因式分解:(每小题3分,共6分)21.9x 2-5y 2;【提示】用平方差公式分解,并注意到5y 2=2)5(y . 【答案】(3x +5y )(3x -5y ).22.4x 4-4x 2+1.【提示】先用完全平方公式,再用平方差公式分解. 【答案】(2x +1)2(2x -1)2. (五)计算题:(每小题6分,共24分)23.(235+-)(235--);【提示】将35-看成一个整体,先用平方差公式,再用完全平方公式. 【解】原式=(35-)2-2)2(=5-215+3-2 =6-215.24.1145--7114--732+;【提示】先分别分母有理化,再合并同类二次根式. 【解】原式=1116)114(5-+-711)711(4-+-79)73(2--=4+11-11-7-3+7 =1.25.(a 2mn -m ab mn +m nn m )÷a 2b 2mn ;【提示】先将除法转化为乘法,再用乘法分配律展开,最后合并同类二次根式.【解】原式=(a 2mn -m ab mn +m nn m)·221b a nm=21b nmm n ⋅-mab 1n mm n ⋅+22b ma n nmn m ⋅ =21b -ab 1+221ba =2221ba ab a +-. 26.(a +ba abb +-)÷(b ab a ++a ab b --ab b a +)(a ≠b ).【提示】本题应先将两个括号内的分式分别通分,然后分解因式并约分. 【解】原式=ba ab b ab a +-++÷))(())(()()(b a b a ab b a b a b a b b b a a a -+-+-+--=b a b a ++÷))((2222b a b a ab b a b ab b ab a a -++----=b a b a ++·)())((b a ab b a b a ab +-+-=-b a +.【点评】本题如果先分母有理化,那么计算较烦琐.(六)求值:(每小题7分,共14分)27.已知x =2323-+,y =2323+-,求32234232y x y x y x xy x ++-的值. 【提示】先将已知条件化简,再将分式化简最后将已知条件代入求值. 【解】∵ x =2323-+=2)23(+=5+26, y =2323+-=2)23(-=5-26. ∴ x +y =10,x -y =46,xy =52-(26)2=1.32234232yx y x y x xy x ++-=22)())((y x y x y x y x x +-+=)(y x xy y x +- =10164⨯=652. 【点评】本题将x 、y 化简后,根据解题的需要,先分别求出“x +y ”、“x -y ”、“xy ”.从而使求值的过程更简捷. 28.当x =1-2时,求2222ax x a x x+-++222222ax x x a x x +-+-+221ax +的值.【提示】注意:x 2+a 2=222)(a x +,∴ x 2+a 2-x 22a x +=22a x +(22a x +-x ),x 2-x 22a x +=-x (22a x +-x ). 【解】原式=)(2222x a x a x x-++-)(22222x a x x a x x -++-+221a x +=)()()2(22222222222x a x a x x x a x x a x x a x x -++-+++-+-=)()(22222222222222x a x a x x x a x x a x a x x x -++-+++++-=)()(222222222x a x a x x a x x a x -+++-+=)()(22222222x a x a x x x a x a x -++-++=x1. 当x =1-2时, 原式=211-=-1-2. 【点评】本题如果将前两个“分式”分拆成两个“分式”之差,那么化简会更简便.即原式=)(2222x a x a x x-++-)(22222x a x x a x x -++-+221ax +=)11(2222a x xa x +--+-)11(22x x a x --++221ax + =x1. 七、解答题:(每小题8分,共16分)29.计算(25+1)(211++321++431++…+100991+).【提示】先将每个部分分母有理化后,再计算. 【解】原式=(25+1)(1212--+2323--+3434--+…+9910099100--)=(25+1)[(12-)+(23-)+(34-)+…+(99100-)]=(25+1)(1100-) =9(25+1).【点评】本题第二个括号内有99个不同分母,不可能通分.这里采用的是先分母有理化,将分母化为整数,从而使每一项转化成两数之差,然后逐项相消.这种方法也叫做裂项相消法.30.若x ,y 为实数,且y =x 41-+14-x +21.求xy y x ++2-xyy x +-2的值. 【提示】要使y 有意义,必须满足什么条件].014041[⎩⎨⎧≥-≥-x x你能求出x ,y 的值吗].2141[⎪⎪⎩⎪⎪⎨⎧==y x【解】要使y 有意义,必须⎩⎨⎧≥-≥-014041[x x ,即⎪⎪⎩⎪⎪⎨⎧≥≤.4141x x∴ x =41.当x =41时,y =21. 又∵x y y x ++2-x y y x +-2 =2)(x y yx+-2)(xy yx - =|x y y x +|-|xyy x -| ∵ x =41,y =21, ∴yx<x y . ∴ 原式=x y y x +-y x x y +=2yx当x =41,y =21时, 原式=22141=2.【点评】解本题的关键是利用二次根式的意义求出x 的值,进而求出y 的值.四、链接中考同学们,我们以前学过完全平方公式222()2a b a ab b ±=±+,你一定熟练掌握了吧!现在,我们又学习了二次根式,那么所有的正数(包括0)都可以看作是一个数的平方,如3=(3)2,5=(5)2,下面我们观察:2221)211213=-⨯=-=-反之,23211)-=-=11 ∴231)-=∴ 223-=2-1仿上例,求:(1);324+(2)你会算124-吗(3)若n m b a +=±2,则m 、n 与a 、b 的关系是什么并说明理由.。
二次根式的计算与化简(提高篇)1、已知m2、化简(1(2)xx x x x 5022322123-+(30)a >3、当2x =2(7(2x ++的值。
4、先化简,再求值:221,39a b ==。
5、计算:)...16、已知1a 222214164821442a a a aa a a a a --++÷-+-+-,再求值。
7、已知:321+=a ,321-=b ,求b a b a 2222+-的值。
8、已知:2323-+=a ,2323+-=b ,求代数式223b ab a +-的值。
9、已知30≤≤x ,化简9622+-+x x x10、已知2a =a aa a a a a a 112121222--+---+-11、①已知2222x y x xy y ==++求:的值。
②已知12+=x ,求112--+x x x 的值.③)57(964222x x y x y +-+ ④3)2733(3a a a ÷-12、计算及化简:⑴. 22- ⑵⑶⑷13、已知:11a a +=+221a a+的值。
14、已知11039322++=+-+-y x x x y x ,求的值。
二次根式提高测试一、判断题:(每小题1分,共5分) 1.ab2)2(-=-2ab .…………………( )2.3-2的倒数是3+2.( )3.2)1(-x =2)1(-x .…( )4.ab 、31b a 3、b ax 2-是同类二次根式.…( )5.x 8,31,29x +都不是最简二次根式.( )二、填空题:(每小题2分,共20分)6.当x__________时,式子31-x 有意义. 7.化简-81527102÷31225a =_.8.a -12-a 的有理化因式是____________.9.当1<x <4时,|x -4|+122+-x x =________________. 10.方程2(x -1)=x +1的解是____________.11.已知a 、b 、c 为正数,d 为负数,化简2222d c ab d c ab +-=______.12.比较大小:-721_________-341.13.化简:(7-52)2000·(-7-52)2001=______________. 14.若1+x +3-y =0,则(x -1)2+(y +3)2=____________.15.x ,y 分别为8-11的整数部分和小数部分,则2xy -y2=____________. 三、选择题:(每小题3分,共15分)16.已知233x x +=-x 3+x ,则………………( )(A )x ≤0 (B )x ≤-3 (C )x ≥-3 (D )-3≤x ≤0 17.若x <y <0,则222y xy x +-+222y xy x ++=………………………( )(A )2x (B )2y (C )-2x (D )-2y18.若0<x <1,则4)1(2+-x x -4)1(2-+x x 等于………………………( )(A )x 2 (B )-x 2(C )-2x (D )2x19.化简aa 3-(a <0)得………………………………………………………………( ) (A )a - (B )-a (C )-a - (D )a20.当a <0,b <0时,-a +2ab -b 可变形为………………………………………( )(A )2)(b a + (B )-2)(b a - (C )2)(b a -+- (D )2)(b a ---四、在实数范围内因式分解:(每小题3分,共6分) 21.9x 2-5y 2; 22.4x 4-4x 2+1.五、计算题:(每小题6分,共24分) 23.(235+-)(235--);24.1145--7114--732+;25.(a 2m n -mabmn +mn n m )÷a 2b 2m n ;26.(a +b a abb +-)÷(b ab a ++a ab b --ab b a +)(a ≠b ).(六)求值:(每小题7分,共14分)27.已知x =2323-+,y =2323+-,求32234232y x y x y x xy x ++-的值.28.当x =1-2时,求2222a x x a x x+-++222222a x x x a x x +-+-+221a x +的值.七、解答题:(每小题8分,共16分)29.计算(25+1)(211++321++431++…+100991+).30.若x ,y 为实数,且y =x 41-+14-x +21.求x y yx ++2-x y y x +-2的值.《二次根式》提高测试(一)判断题:(每小题1分,共5分)1.ab 2)2(-=-2ab .…………………( )【提示】2)2(-=|-2|=2.【答案】×.2.3-2的倒数是3+2.( )【提示】231-=4323-+=-(3+2).【答案】×.3.2)1(-x =2)1(-x .…( )【提示】2)1(-x =|x -1|,2)1(-x =x -1(x ≥1).两式相等,必须x ≥1.但等式左边x 可取任何数.【答案】×. 4.ab 、31b a 3、bax 2-是同类二次根式.…( )【提示】31b a 3、bax 2-化成最简二次根式后再判断.【答案】√. 5.x 8,31,29x +都不是最简二次根式.( )29x +是最简二次根式.【答案】×. (二)填空题:(每小题2分,共20分)6.当x __________时,式子31-x 有意义.【提示】x 何时有意义?x ≥0.分式何时有意义?分母不等于零.【答案】x ≥0且x ≠9. 7.化简-81527102÷31225a=_.【答案】-2a a .【点评】注意除法法则和积的算术平方根性质的运用.8.a -12-a 的有理化因式是____________.【提示】(a -12-a )(________)=a 2-22)1(-a .a +12-a .【答案】a +12-a .9.当1<x <4时,|x -4|+122+-x x =________________.【提示】x 2-2x +1=( )2,x -1.当1<x <4时,x -4,x -1是正数还是负数? x -4是负数,x -1是正数.【答案】3.10.方程2(x -1)=x +1的解是____________.【提示】把方程整理成ax =b 的形式后,a 、b 分别是多少?12-,12+.【答案】x =3+22. 11.已知a 、b 、c 为正数,d 为负数,化简2222d c ab d c ab +-=______.【提示】22d c =|cd |=-cd .【答案】ab +cd .【点评】∵ ab =2)(ab (ab >0),∴ ab -c 2d 2=(cd ab +)(cd ab -). 12.比较大小:-721_________-341.【提示】27=28,43=48.【答案】<.【点评】先比较28,48的大小,再比较281,481的大小,最后比较-281与-481的大小. 13.化简:(7-52)2000·(-7-52)2001=______________.【提示】(-7-52)2001=(-7-52)2000·(_________)[-7-52.] (7-52)·(-7-52)=?[1.]【答案】-7-52. 【点评】注意在化简过程中运用幂的运算法则和平方差公式. 14.若1+x +3-y =0,则(x -1)2+(y +3)2=____________.【答案】40. 【点评】1+x ≥0,3-y ≥0.当1+x +3-y =0时,x +1=0,y -3=0.15.x ,y 分别为8-11的整数部分和小数部分,则2xy -y 2=____________.【提示】∵ 3<11<4,∴ _______<8-11<__________.[4,5].由于8-11介于4与5之间,则其整数部分x =?小数部分y =?[x =4,y =4-11]【答案】5.【点评】求二次根式的整数部分和小数部分时,先要对无理数进行估算.在明确了二次根式的取值范围后,其整数部分和小数部分就不难确定了. (三)选择题:(每小题3分,共15分)16.已知233x x +=-x 3+x ,则………………( )(A )x ≤0 (B )x ≤-3 (C )x ≥-3 (D )-3≤x ≤0【答案】D . 【点评】本题考查积的算术平方根性质成立的条件,(A )、(C )不正确是因为只考虑了其中一个算术平方根的意义.17.若x <y <0,则222y xy x +-+222y xy x ++=………………………( )(A )2x (B )2y (C )-2x (D )-2y 【提示】∵ x <y <0,∴ x -y <0,x +y <0.∴222y xy x +-=2)(y x -=|x -y |=y -x .222y xy x ++=2)(y x +=|x +y |=-x -y .【答案】C .【点评】本题考查二次根式的性质2a =|a |. 18.若0<x <1,则4)1(2+-xx -4)1(2-+xx 等于………………………( )(A )x 2 (B )-x 2(C )-2x (D )2x 【提示】(x -x 1)2+4=(x +x 1)2,(x +x 1)2-4=(x -x 1)2.又∵ 0<x <1,∴ x +x 1>0,x -x1<0.【答案】D .【点评】本题考查完全平方公式和二次根式的性质.(A )不正确是因为用性质时没有注意当0<x <1时,x -x1<0. 19.化简aa 3-(a <0)得………………………………………………………………( )(A )a - (B )-a (C )-a - (D )a【提示】3a -=2a a ⋅-=a -·2a =|a |a -=-a a -.【答案】C .20.当a <0,b <0时,-a +2ab -b 可变形为………………………………………( ) (A )2)(b a + (B )-2)(b a - (C )2)(b a -+- (D )2)(b a --- 【提示】∵ a <0,b <0,∴ -a >0,-b >0.并且-a =2)(a -,-b =2)(b -,ab =))((b a --.【答案】C .【点评】本题考查逆向运用公式2)(a =a (a ≥0)和完全平方公式.注意(A )、(B )不正确是因为a <0,b <0时,a 、b 都没有意义. (四)在实数范围内因式分解:(每小题3分,共6分)21.9x 2-5y 2;【提示】用平方差公式分解,并注意到5y 2=2)5(y .【答案】(3x +5y )(3x -5y ). 22.4x 4-4x 2+1.【提示】先用完全平方公式,再用平方差公式分解.【答案】(2x +1)2(2x -1)2. (五)计算题:(每小题6分,共24分)23.(235+-)(235--);【提示】将35-看成一个整体,先用平方差公式,再用完全平方公式. 【解】原式=(35-)2-2)2(=5-215+3-2=6-215.24.1145--7114--732+;【提示】先分别分母有理化,再合并同类二次根式.【解】原式=1116)114(5-+-711)711(4-+-79)73(2--=4+11-11-7-3+7=1.25.(a 2m n -m ab mn +m n n m )÷a 2b 2mn; 【提示】先将除法转化为乘法,再用乘法分配律展开,最后合并同类二次根式. 【解】原式=(a 2m n -m ab mn +m n n m )·221b a nm =21b n m m n ⋅-mab 1nm m n ⋅+22b ma n n mn m ⋅=21b -ab 1+221b a =2221ba ab a +-. 26.(a +ba abb +-)÷(b ab a ++a ab b --ab b a +)(a ≠b ).【提示】本题应先将两个括号内的分式分别通分,然后分解因式并约分. 【解】原式=b a ab b ab a +-++÷))(())(()()(b a b a ab b a b a b a b b b a a a -+-+-+--=b a b a ++÷))((2222b a b a ab b a b ab b ab a a -++----=b a b a ++·)())((b a ab b a b a ab +-+-=-b a +.【点评】本题如果先分母有理化,那么计算较烦琐.(六)求值:(每小题7分,共14分)27.已知x =2323-+,y =2323+-,求32234232y x y x y x xy x ++-的值. 【提示】先将已知条件化简,再将分式化简最后将已知条件代入求值. 【解】∵ x =2323-+=2)23(+=5+26,y =2323+-=2)23(-=5-26.∴ x +y =10,x -y =46,xy =52-(26)2=1.32234232y x y x y x xy x ++-=22)())((y x y x y x y x x +-+=)(y x xy y x +-=10164⨯=652. 【点评】本题将x 、y 化简后,根据解题的需要,先分别求出“x +y ”、“x -y ”、“xy ”.从而使求值的过程更简捷.28.当x =1-2时,求2222ax x a x x+-++222222ax x x a x x +-+-+221ax +的值.【提示】注意:x 2+a 2=222)(a x +,∴ x 2+a 2-x 22a x +=22a x +(22a x +-x ),x 2-x 22a x +=-x (22a x +-x ). 【解】原式=)(2222x a x a x x-++-)(22222x a x x a x x -++-+221ax +=)()()2(22222222222x a x a x x x a x x a x x a x x -++-+++-+-=)()(22222222222222x a x a x x x a x x a x a x x x -++-+++++-=)()(222222222x a x a x x a x x a x -+++-+=)()(22222222x a x a x x x a x a x -++-++WORD 格式可编辑专业知识整理分享 =x 1.当x =1-2时,原式=211-=-1-2.【点评】本题如果将前两个“分式”分拆成两个“分式”之差,那么化简会更简便.即原式=)(2222x a x a x x -++-)(22222x a x x a x x -++-+221a x + =)11(2222a x x a x +--+-)11(22x x a x --++221a x +=x 1. 七、解答题:(每小题8分,共16分)29.计算(25+1)(211++321++431++…+100991+). 【提示】先将每个部分分母有理化后,再计算.【解】原式=(25+1)(1212--+2323--+3434--+…+9910099100--) =(25+1)[(12-)+(23-)+(34-)+…+(99100-)]=(25+1)(1100-)=9(25+1).【点评】本题第二个括号内有99个不同分母,不可能通分.这里采用的是先分母有理化,将分母化为整数,从而使每一项转化成两数之差,然后逐项相消.这种方法也叫做裂项相消法.30.若x ,y 为实数,且y =x 41-+14-x +21.求x y y x ++2-xy y x +-2的值. 【提示】要使y 有意义,必须满足什么条件?].014041[⎩⎨⎧≥-≥-x x 你能求出x ,y 的值吗?].2141[⎪⎪⎩⎪⎪⎨⎧==y x 【解】要使y 有意义,必须⎩⎨⎧≥-≥-014041[x x ,即⎪⎪⎩⎪⎪⎨⎧≥≤.4141x x ∴ x =41.当x =41时,y =21. 又∵ x y y x ++2-x y y x +-2=2)(x y y x +-2)(xy y x - =|xy y x +|-|x y y x -|∵ x =41,y =21,∴ y x <x y . ∴ 原式=x y y x +-y x x y +=2yx 当x =41,y =21时, 原式=22141=2.【点评】解本题的关键是利用二次根式的意义求出x 的值,进而求出y 的值.。
【例1】 若0abc <,且a b c >>【考点】最简二次根式【难度】2星【题型】解答【关键词】【解析】根据0abc <和a b c >>可得,0a <,0b <,0c <或0a >,0b >,0c <又4320a b c ≥,所以0b >,即0a >,0b >,0c <,则2a -【答案】2a -【例2】 化简: 【考点】最简二次根式【难度】2星【题型】解答【关键词】【解析】原式=.【答案】【考点】最简二次根式【难度】3星【题型】解答【关键词】=∵2(2)0a b +≥,2(2)0a a b b +≥,∵0ab ≥,∵a 、b 同号或0a =∵2a b +与b 同号,∵20a bb +>∵原式222b a ba b b +=⋅+【答案】【例3】)20x y >>【考点】最简二次根式【难度】3星【题型】解答【关键词】【解析】22y y x y x y ==--【例4】 a b =,10ab 【考点】【难度】【题型】【关键词】第12届,希望杯试题【解析】由已知得ab ,ab ===10ab =.【巩固】计算:232xy 【考点】二次根式的乘除【难度】3星【题型】解答【关键词】【解析】2326618xy xy xy xy ==【答案】18xy【巩固】计算:(⎛- ⎝ 【考点】二次根式的混合运算【难度】3星【题型】解答【关键词】【解析】原式2348914a a a ==-+【答案】2348914a a a -+【巩固】计算:2+=_________.【考点】二次根式的混合运算【难度】4星【题型】填空【关键词】第18届,希望杯,培训试题【解析】原式2=+252⎤-+⎦214== 【答案】14【例5】 当a =,求代数式2963a a a -++-的值. 【考点】二次根式化简求值【难度】4星【题型】河南省竞赛,第七届祖冲之杯数学竞赛【关键词】【解析】0a =<,2296(3)13133a a a a a a a -+-+=+=--=--【例6】 已知:3a b +=,1ab =,且a b >的值. 【考点】二次根式化简求值【难度】4星【题型】解答【关键词】【解析=∵22()()45a b a b ab -=+-=,a b >,∴a b -=,原式==【巩固】 已知:x =y =,求44x y +的值.【考点】二次根式的化简求值【难度】3星【题型】解答【关键词】天津市,竞赛题【解析】2x ===,2y ===+ 4x y +=,1xy =,24422222222()2()22194x y x y x y x y xy x y ⎡⎤+=+-=+--=⎣⎦【答案】194【例7】 已知1a =,b =2c =,那么a ,b ,c 的大小关系是____.A.a b c <<B.b a c <<C.c b a <<D.c b a <<【考点】根式的大小比较【难度】5星【题型】填空【关键词】2002年,全国初中数学联合竞赛,分子有理化 【解析】a ==,b =,c显然22,所以b a c <<.【答案】b a c <<。
一.盘算题:1.(235+-)(235--);2.1145--7114--732+;3.(a2mn -m abmn +mn nm )÷a 2b2mn ;4.(a +ba abb +-)÷(bab a ++a ab b--abb a +)(a ≠b ). 二.求值:x =2323-+,y =2323+-,求32234232yx y x y x xy x ++-的值.x =1-2时,求2222ax x a x x+-++222222ax x x ax x +-+-+221ax +的值.三.解答题:1.盘算(25+1)(211++321++431++…+100991+).x ,y 为实数,且y =x41-+14-x +21.求xy y x ++2-xy y x +-2的值.盘算题: 1.【提醒】将35-算作一个整体,先用平方差公式,再用完整平方公式.【解】原式=(35-)2-2)2(=5-215+3-2=6-215.2.【提醒】先分离分母有理化,再归并同类二次根式. 【解】原式=1116)114(5-+-711)711(4-+-79)73(2--=4+11-11-7-3+7=1.3.【提醒】先将除法转化为乘法,再用乘法分派律睁开,最后归并同类二次根式.【解】原式=(a2mn -mab mn +mn n m )·221ba n m=21b nmm n ⋅-mab 1n m mn ⋅+22b ma n n m n m ⋅=21b -ab 1+221b a =2221ba ab a +-. 4.【提醒】本题应先将两个括号内的分式分离通分,然后分化因式并约分.【解】原式=ba ab b ab a +-++÷))(())(()()(b a b a ab b a b a b a b b b a a a -+-+-+--=ba b a ++÷))((2222b a b a ab ba b ab b ab a a -++----=ba b a ++·)())((b a ab b a b a ab +-+-=-ba +.【点评】本题假如先分母有理化,那么盘算较烦琐. 求值:1..【提醒】先将已知前提化简,再将分式化简最后将已知前提代入求值.【解】∵x =2323-+=2)23(+=5+26,y =2323+-=2)23(-=5-26.∴x +y =10,x -y =46,xy =52-(26)2=1.32234232yx y x y x xyx ++-=22)())((y x y x y x y x x +-+=)(y x xy y x +-=10164⨯=652.【点评】本题将x .y 化简后,依据解题的须要,先分离求出“x +y ”.“x -y ”.“xy ”.从而使求值的进程更简捷. 2.【提醒】留意:x 2+a 2=222)(a x +,∴x 2+a 2-x22ax +=22ax +(22ax +-x ),x 2-x22ax +=-x(22ax +-x ).【解】原式=)(2222x a x a x x-++-)(22222x a x x ax x -++-+221ax +=)(()2(22222222222x a x a x x ax x a x x a x x -+++++-+- =)()(22222222222222x a x a x x xa x x a x a x x x -++-+++++-=)()(222222222x a x a x x ax x a x -+++-+=)()(22222222x a x a x x x a x a x -++-++=x1.当x =1-2时,原式=211-=-1-2.【点评】本题假如将前两个“分式”分拆成两个“分式”之差,那么化简会更轻便.即原式=)(2222x a x a x x-++-)(22222x a x x a x x -++-+221ax +=)11(2222ax xa x +--+-)11(22x x a x --++221ax +=x1.解答题:1.【提醒】先将每个部分分母有理化后,再盘算.【解】原式=(25+1)(1212--+2323--+3434--+…+9910099100--)=(25+1)[(12-)+(23-)+(34-)+…+(99100-)]=(25+1)(1100-)=9(25+1).【点评】本题第二个括号内有99个不合分母,不成能通分.这里采取的是先分母有理化,将分母化为整数,从而使每一项转化成两数之差,然后逐项相消.这种办法也叫做裂项相消法.2.【提醒】要使y 有意义,必须知足什么前提?].014041[⎩⎨⎧≥-≥-x x 你能求出x ,y 的值吗?].2141[⎪⎪⎩⎪⎪⎨⎧==y x 【解】要使y 有意义,必须⎩⎨⎧≥-≥-014041[x x ,即⎪⎪⎩⎪⎪⎨⎧≥≤.4141x x ∴x =41.当x =41时,y =21.又∵xyy x ++2-xyy x +-2=2)(xy y x+-2)(xy y x -=|xy yx +|-|x yyx -|∵x =41,y =21,∴yx <xy .∴ 原式=xy y x +-yx x y +=2yx 当x =41,y =21时,原式=22141=2.【点评】解本题的症结是应用二次根式的意义求出x 的值,进而求出y 的值.。
初中数学二次根式拓展提高综合题一、单选题(共8道,每道12分)1.设a,b,c都是实数,且满足,则的值为()A.-5B.11C.5D.3答案:A试题难度:三颗星知识点:二次根式的双重非负性2.若,则的值为()A. B.C. D.答案:D试题难度:三颗星知识点:二次根式的双重非负性3.化简的值为()A.1B.2C.3D.4答案:D试题难度:三颗星知识点:二次根式的双重非负性4.已知,化简:结果为()A.aB.bC.2b-aD.a-2b答案:A试题难度:三颗星知识点:二次根式的化简求值5.在如图所示的数轴上,点B和点C关于点A对称,A、B两点对应的实数分别是和-1,则点C所对应的实数是()A. B.C. D.答案:C试题难度:三颗星知识点:数轴表示无理数6.比较大小:()A.大于B.小于C.等于D.无法判断答案:B试题难度:三颗星知识点:比较大小7.化简的结果是()A. B.C. D.答案:A试题难度:三颗星知识点:完全平方式的应用8.若,则代数式=()A.2013B.2012C.-2013D.-2012答案:C试题难度:三颗星知识点:完全平方公式的运用科学四年级上册复习资料第一单元天气1.人们通常从云量、降雨量、气温、风向和风速这几个方面来描述天气。
2.天气特征主要包括云量、降水量、风和温度。
通过亲自观察认识到天气每天都在发生变化。
3.温度计、雨量器、风向标和风速仪是测量天气的工具。
4.气象学家是研究、观察和记录关于天气信息以及应用这些信息预报天气的科学家;天气影响着我们的生活。
记录每天各种天气现象的表格叫做天气日历。
5.温度计上标出的温度往往是整十数,每两个数值之间分成5或10个相等的小格,每个小格代表1摄氏度或2摄氏度。
6.测量时,要把温度计放置到测量环境内2-3分钟,待液柱不再升高(或降低)时再读数。
读数时,视线要与温度计的液柱顶端平行。
7.气温是指室外阴凉、通风地方的温度,每天应选择同一时间、同一地点来测量气温。
二次根式(提高) 撰稿: 赵炜 审稿: 杜少波【巩固练习】一、选择题 1.若代数式在实数范围内有意义,则x 的取值范围为( ) A .x >0 B .x ≥0 C .x ≠ 0 D .x ≥0且x ≠ 12.使式子有意义的未知数x 有( )个A .0B .1C .2D .无数3.下列说法正确的是( )A .4是一个无理数B .函数11y x =-的自变量x 的取值范围是x ≥1 C .8的立方根是2±D.若点(2,)-3)P a Q和点(b ,关于x 轴对称,则a b +的值为5. 4. 已知a,b,c 在数轴上的位置如右图所示,则代数式( )A. 2c a -B.32a b --C. c a --D. a5. 若,则 等于( ) A . B . C . D .6.将a a --中的a 移到根号内,结果是( )A .3a -- B. 3a - C.3a - D.3a二. 填空题7.当x_________时,式子31x x --没有意义。
8.若,则____________;若,则____________. 9.已知,求的值为____________10.若,则化简的结果是__________.11. 观察下列各式:,,,……请你探究其中规律,并将第 n(n ≥1)个等式写出来________________.12.x 取何值时,函数在实数范围内有意义?y=2||12--x x ,_______________________. 三 综合题13. 已知x x y 211221-+-+=,求22y xy x ++的值.14. 若时,试化简.15.已知一次函数(2)1y a x =-+的图象不经过第三象限,化简224496a a a a -+--+的结果是多少?【答案与解析】一、选择题1.【答案】 D. 【解析】 由二次根式和分式的性质可知:被开方数要大于等于0,分母不等于0,即x ≥0,10x -≠, 所以选D.2.【答案】 B.3.【答案】 D.【解析】选项A: 4=2是有理数;选项B: 11y x =-的x 的取值范围是x>1; 选项C: 8的立方根是2;选项D:因为(2,)-3)P a Q和点(b ,关于x 轴对称,所以3,2a b ==,及5a b +=,所以选D. 4.【答案】C.5.【答案】D.【解析】 因为=22(4)a +222(4)4A a a =+=+. 6.【答案】B.二、填空题7.【答案】10x =或x<1.【解析】因为x-1≥0才有意义,所以x<1时无意义;因为310x -≠,所以10x ≠,即无意义时x=10.8.【答案】m ≤0;a ≥13. 9.5【解析】23100x x x -+=∴≠13,x x ∴+=即21()9x x += 2217x x ∴+=,即原式=725-=. 10.【答案】3 【解析】因为原式=21x x -++=213x x -++=.11.【答案】 11(1)22n n n n +=+++ 12.【答案】 x ≥122x ≠且 【解析】 121020, 2.2x x x x --≠≠≥,∴≥,且.三、解答题13.【解析】因为1+21122y x x =-+-,所以2x-1≥0,1-2x ≥0,即x=12,y=12, 则2234x xy y ++=. 14.【解析】 因为,所以原式==23523510x x x x x x x -+++-=-+++-=-.15.【解析】 因为一次函数(2)1y a x =-+的图象不经过第三象限所以20a -<,即2a <;224496a a a a -+-+23231a a a a ---=--+=-.。
一.估计题:之阳早格格创做1.(235+-)(235--);2.1145--7114--732+;3.(a 2m n -mab mn +m n n m )÷a 2b 2m n;4.(a+b a ab b +-)÷(b ab a++aab b --ab ba +)(a ≠b ).二.供值:x =2323-+,y =2323+-,供32234232yx y x y x xy x ++-的值.x =1-2时,供2222ax x a x x+-++222222ax x x ax x +-+-+221ax +的值.三.解问题: 1.估计(25+1)(211++321++431++…+100991+).x ,y 为真数,且y =x 41-+14-x +21.供xy y x ++2-xy y x +-2的值.估计题: 1、【提示】将35-瞅成一个真足,先用仄圆好公式,再用真足仄圆公式.【解】本式=(35-)2-2)2(=5-215+3-2=6-215.2、【提示】先分别分母有理化,再合并共类二次根式.【解】本式=1116)114(5-+-711)711(4-+-79)73(2--=4+11-11-7-3+7=1.3、【提示】先将除法转移为乘法,再用乘法调配律展启,末尾合并共类二次根式. 【解】本式=(a 2m n -mab mn +mn nm)·221b a n m=21b nm m n ⋅-mab 1nm m n ⋅+22b ma n nmn m ⋅=21b -ab1+221b a =2221ba ab a +-. 4、【提示】本题应先将二个括号内的分式分别通分,而后领会果式并约分.【解】本式=ba abb ab a +-++÷))(())(()()(b a b a ab b a b a b a b b b a a a -+-+-+-- =ba ba ++÷))((2222b a b a ab ba b ab b ab a a -++----=ba b a ++·)())((b a ab b a b a ab +-+-=-ba +.【面评】本题如果先分母有理化,那么估计较啰嗦. 供值:1.、【提示】先将已知条件化简,再将分式化简末尾将已知条件代进供值.【解】∵x =2323-+=2)23(+=5+26,y =2323+-=2)23(-=5-26.∴x +y =10,x -y =46,xy =52-(26)2=1.32234232yx y x y x xy x ++-=22)())((y x y x y x y x x +-+=)(y x xy y x +-=10164⨯=652.【面评】本题将x 、y 化简后,根据解题的需要,先分别供出“x +y ”、“x -y ”、“xy ”.从而使供值的历程更简便. 2、【提示】注意:x 2+a 2=222)(a x +,∴x 2+a 2-x22ax +=22ax +(22ax +-x ),x 2-x22ax +=-x(22ax +-x ).【解】本式=)(2222x a x a x x-++-)(22222x a x x ax x -++-+221ax +=)(()2(22222222222x a x a x x ax x a x x a x x -+++++-+-=)()(22222222222222x a x a x x xa x x a x a x x x -++-+++++-=)()(222222222x a x a x x ax x a x -+++-+=)()(22222222x a x a x x x a x a x -++-++=x1.当x =1-2时,本式=211-=-1-2.【面评】本题如果将前二个“分式”分拆成二个“分式”之好,那么化简会更啰嗦.即本式=)(2222x a x a x x-++-)(22222x a x x ax x -++-+221ax +=)11(2222ax xa x +--+-)11(22x x a x --++221ax +=x1.解问题:1、【提示】先将每个部分分母有理化后,再估计.【解】本式=(25+1)(1212--+2323--+3434--+…+9910099100--)=(25+1)[(12-)+(23-)+(34-)+…+(99100-)]=(25+1)(1100-)=9(25+1).【面评】本题第二个括号内有99个分歧分母,没有成能通分.那里采与的是先分母有理化,将分母化为整数,从而使每一项转移成二数之好,而后逐项相消.那种要领也喊干裂项相消法.2、【提示】要使y 蓄意思,必须谦脚什么条件?].014041[⎩⎨⎧≥-≥-x x 您能供出x ,y 的值吗?].2141[⎪⎪⎩⎪⎪⎨⎧==y x 【解】要使y 蓄意思,必须⎩⎨⎧≥-≥-014041[x x ,即⎪⎪⎩⎪⎪⎨⎧≥≤.4141x x ∴x =41.当x =41时,y =21.又∵xyy x ++2-xyy x +-2=2)(xy y x+-2)(xy y x -=|xy yx +|-|x yyx -|∵x =41,y =21,∴yx <xy .∴ 本式=xy y x +-yxx y +=2yx当x =41,y =21时,本式=22141=2.【面评】解本题的闭键是利用二次根式的意思供出x 的值,从而供出y 的值.。
二次根式的计算与化简(提高篇)1、已知m2、化简(1(2)xx x x x 5022322123-+(30)a >3、当2x =2(7(2x ++4、先化简,再求值:221,39a b ==。
5、计算:)...16、已知1a =222214164821442a a a aa a a a a --+++÷-+-+-,再求值。
7、已知:321+=a ,321-=b ,求b a b a 2222+-的值。
8、已知:2323-+=a ,2323+-=b ,求代数式223b ab a +-的值。
9、已知30≤≤x ,化简9622+-+x x x10、已知2a =a aa a a a a a 112121222--+---+-11、①已知2222x y x xy y ==++求:的值。
②已知12+=x ,求112--+x x x 的值.③)57(964222x x y x y +-+ ④3)2733(3a a a ÷-12、计算及化简:⑴. 22- ⑵⑶⑷. a ba b ⎛⎫+--13、已知:11a a +=221a a+的值。
14、已知()11039322++=+-+-y x x x y x ,求的值。
二次根式提高测试一、判断题:(每小题1分,共5分)1.ab 2)2(-=-2ab .…………………( ) 2.3-2的倒数是3+2.( )3.2)1(-x =2)1(-x .…( )4.ab 、31b a 3、b ax 2-是同类二次根式.…( )5.x 8,31,29x +都不是最简二次根式.( )二、填空题:(每小题2分,共20分)6.当x__________时,式子31-x 有意义.7.化简-81527102÷31225a =_.8.a -12-a 的有理化因式是____________.9.当1<x <4时,|x -4|+122+-x x =________________. 10.方程2(x -1)=x +1的解是____________.11.已知a 、b 、c 为正数,d 为负数,化简2222d c ab d c ab +-=______.12.比较大小:-721_________-341.13.化简:(7-52)2000·(-7-52)2001=______________. 14.若1+x +3-y =0,则(x -1)2+(y +3)2=____________.15.x ,y 分别为8-11的整数部分和小数部分,则2xy -y2=____________. 三、选择题:(每小题3分,共15分)16.已知233x x +=-x 3+x ,则………………( )(A )x ≤0 (B )x ≤-3 (C )x ≥-3 (D )-3≤x ≤017.若x <y <0,则222y xy x +-+222y xy x ++=………………………( )(A )2x (B )2y (C )-2x (D )-2y18.若0<x <1,则4)1(2+-x x -4)1(2-+x x 等于………………………( )(A )x 2 (B )-x 2(C )-2x (D )2x19.化简aa 3-(a <0)得………………………………………………………………( ) (A )a - (B )-a (C )-a - (D )a20.当a <0,b <0时,-a +2ab -b 可变形为………………………………………( )(A )2)(b a + (B )-2)(b a - (C )2)(b a -+- (D )2)(b a ---四、在实数范围内因式分解:(每小题3分,共6分)21.9x 2-5y 2; 22.4x 4-4x 2+1.五、计算题:(每小题6分,共24分) 23.(235+-)(235--);24.1145--7114--732+;25.(a 2m n -mabmn +mn n m )÷a 2b 2m n ;26.(a +b a abb +-)÷(b ab a ++a ab b --ab b a +)(a ≠b ).(六)求值:(每小题7分,共14分)27.已知x =2323-+,y =2323+-,求32234232y x y x y x xy x ++-的值.28.当x =1-2时,求2222a x x a x x+-++222222a x x x a x x +-+-+221a x +的值.七、解答题:(每小题8分,共16分)29.计算(25+1)(211++321++431++…+100991+).30.若x ,y 为实数,且y =x 41-+14-x +21.求x y y x ++2-x y y x +-2的值.《二次根式》提高测试(一)判断题:(每小题1分,共5分)1.ab 2)2(-=-2ab .…………………( )【提示】2)2(-=|-2|=2.【答案】×.2.3-2的倒数是3+2.( )【提示】231-=4323-+=-(3+2).【答案】×.3.2)1(-x =2)1(-x .…( )【提示】2)1(-x =|x -1|,2)1(-x =x -1(x ≥1).两式相等,必须x ≥1.但等式左边x 可取任何数.【答案】×. 4.ab 、31b a 3、b a x 2-是同类二次根式.…( )【提示】31b a 3、bax 2-化成最简二次根式后再判断.【答案】√. 5.x 8,31,29x +都不是最简二次根式.( )29x +是最简二次根式.【答案】×. (二)填空题:(每小题2分,共20分)6.当x __________时,式子31-x 有意义.【提示】x 何时有意义?x ≥0.分式何时有意义?分母不等于零.【答案】x ≥0且x ≠9. 7.化简-81527102÷31225a=_.【答案】-2a a .【点评】注意除法法则和积的算术平方根性质的运用.8.a -12-a 的有理化因式是____________.【提示】(a -12-a )(________)=a 2-22)1(-a .a +12-a .【答案】a +12-a .9.当1<x <4时,|x -4|+122+-x x =________________.【提示】x 2-2x +1=( )2,x -1.当1<x <4时,x -4,x -1是正数还是负数? x -4是负数,x -1是正数.【答案】3.10.方程2(x -1)=x +1的解是____________.【提示】把方程整理成ax =b 的形式后,a 、b 分别是多少?12-,12+.【答案】x =3+22. 11.已知a 、b 、c 为正数,d 为负数,化简2222d c ab d c ab +-=______.【提示】22d c =|cd |=-cd .【答案】ab +cd .【点评】∵ ab =2)(ab (ab >0),∴ ab -c 2d 2=(cd ab +)(cd ab -).12.比较大小:-721_________-341.【提示】27=28,43=48.【答案】<.【点评】先比较28,48的大小,再比较281,481的大小,最后比较-281与-481的大小. 13.化简:(7-52)2000·(-7-52)2001=______________.【提示】(-7-52)2001=(-7-52)2000·(_________)[-7-52.] (7-52)·(-7-52)=?[1.]【答案】-7-52. 【点评】注意在化简过程中运用幂的运算法则和平方差公式. 14.若1+x +3-y =0,则(x -1)2+(y +3)2=____________.【答案】40. 【点评】1+x ≥0,3-y ≥0.当1+x +3-y =0时,x +1=0,y -3=0.15.x ,y 分别为8-11的整数部分和小数部分,则2xy -y 2=____________.【提示】∵ 3<11<4,∴ _______<8-11<__________.[4,5].由于8-11介于4与5之间,则其整数部分x =?小数部分y =?[x =4,y =4-11]【答案】5.【点评】求二次根式的整数部分和小数部分时,先要对无理数进行估算.在明确了二次根式的取值范围后,其整数部分和小数部分就不难确定了. (三)选择题:(每小题3分,共15分)16.已知233x x +=-x 3+x ,则………………( )(A )x ≤0 (B )x ≤-3 (C )x ≥-3 (D )-3≤x ≤0【答案】D . 【点评】本题考查积的算术平方根性质成立的条件,(A )、(C )不正确是因为只考虑了其中一个算术平方根的意义.17.若x <y <0,则222y xy x +-+222y xy x ++=………………………( ) (A )2x (B )2y (C )-2x (D )-2y 【提示】∵ x <y <0,∴ x -y <0,x +y <0.∴222y xy x +-=2)(y x -=|x -y |=y -x .222y xy x ++=2)(y x +=|x +y |=-x -y .【答案】C . 【点评】本题考查二次根式的性质2a =|a |. 18.若0<x <1,则4)1(2+-xx -4)1(2-+xx 等于………………………( )(A )x 2 (B )-x 2(C )-2x (D )2x 【提示】(x -x 1)2+4=(x +x 1)2,(x +x 1)2-4=(x -x 1)2.又∵ 0<x <1,∴ x +x 1>0,x -x1<0.【答案】D .【点评】本题考查完全平方公式和二次根式的性质.(A )不正确是因为用性质时没有注意当0<x <1时,x -x1<0. 19.化简aa 3-(a <0)得………………………………………………………………( )(A )a - (B )-a (C )-a - (D )a【提示】3a -=2a a ⋅-=a -·2a =|a |a -=-a a -.【答案】C .20.当a <0,b <0时,-a +2ab -b 可变形为………………………………………( )(A )2)(b a + (B )-2)(b a - (C )2)(b a -+- (D )2)(b a --- 【提示】∵ a <0,b <0,∴ -a >0,-b >0.并且-a =2)(a -,-b =2)(b -,ab =))((b a --.【答案】C .【点评】本题考查逆向运用公式2)(a =a (a ≥0)和完全平方公式.注意(A )、(B )不正确是因为a <0,b <0时,a 、b 都没有意义. (四)在实数范围内因式分解:(每小题3分,共6分)21.9x 2-5y 2;【提示】用平方差公式分解,并注意到5y 2=2)5(y .【答案】(3x +5y )(3x -5y ).22.4x 4-4x 2+1.【提示】先用完全平方公式,再用平方差公式分解.【答案】(2x +1)2(2x -1)2. (五)计算题:(每小题6分,共24分)23.(235+-)(235--);【提示】将35-看成一个整体,先用平方差公式,再用完全平方公式.【解】原式=(35-)2-2)2(=5-215+3-2=6-215.24.1145--7114--732+;【提示】先分别分母有理化,再合并同类二次根式.【解】原式=1116)114(5-+-711)711(4-+-79)73(2--=4+11-11-7-3+7=1.25.(a 2m n -m ab mn +m n nm)÷a 2b 2m n ;【提示】先将除法转化为乘法,再用乘法分配律展开,最后合并同类二次根式. 【解】原式=(a 2m n -mabmn +m nn m )·221b a n m=21b n m m n ⋅-mab1n m mn ⋅+22b ma n nm n m ⋅=21b-ab 1+221b a =2221b a ab a +-. 26.(a +ba abb +-)÷(b ab a ++a ab b --ab b a +)(a ≠b ).【提示】本题应先将两个括号内的分式分别通分,然后分解因式并约分. 【解】原式=ba ab b ab a +-++÷))(())(()()(b a b a ab b a b a b a b b b a a a -+-+-+--=b a ba ++÷))((2222b a b a ab b a b ab b ab a a -++----=b a b a ++·)())((b a ab b a b a ab +-+-=-b a +.【点评】本题如果先分母有理化,那么计算较烦琐.(六)求值:(每小题7分,共14分)27.已知x =2323-+,y =2323+-,求32234232y x y x y x xy x ++-的值. 【提示】先将已知条件化简,再将分式化简最后将已知条件代入求值. 【解】∵ x =2323-+=2)23(+=5+26,y =2323+-=2)23(-=5-26.∴ x +y =10,x -y =46,xy =52-(26)2=1.32234232y x y x y x xy x ++-=22)())((y x y x y x y x x +-+=)(y x xy y x +-=10164⨯=652.【点评】本题将x 、y 化简后,根据解题的需要,先分别求出“x +y ”、“x -y ”、“xy ”.从而使求值的过程更简捷.28.当x =1-2时,求2222ax x a x x+-++222222ax x x a x x +-+-+221ax +的值.【提示】注意:x 2+a 2=222)(a x +,∴ x 2+a 2-x 22a x +=22a x +(22a x +-x ),x 2-x 22a x +=-x (22a x +-x ). 【解】原式=)(2222x a x a x x-++-)(22222x a x x a x x -++-+221ax +=)()()2(22222222222x a x a x x x a x x a x x a x x -++-+++-+-=)()(22222222222222x a x a x x x a x x a x a x x x -++-+++++-=)()(222222222x a x a x x a x x a x -+++-+=)()(22222222x a x a x x x a x a x -++-++第11页 =x 1.当x =1-2时,原式=211-=-1-2.【点评】本题如果将前两个“分式”分拆成两个“分式”之差,那么化简会更简便.即原式=)(2222x a x a x x-++-)(22222x a x x a x x -++-+221a x + =)11(2222a x x a x +--+-)11(22x x a x --++221a x +=x 1. 七、解答题:(每小题8分,共16分)29.计算(25+1)(211++321++431++…+100991+). 【提示】先将每个部分分母有理化后,再计算.【解】原式=(25+1)(1212--+2323--+3434--+…+9910099100--) =(25+1)[(12-)+(23-)+(34-)+…+(99100-)]=(25+1)(1100-)=9(25+1).【点评】本题第二个括号内有99个不同分母,不可能通分.这里采用的是先分母有理化,将分母化为整数,从而使每一项转化成两数之差,然后逐项相消.这种方法也叫做裂项相消法.30.若x ,y 为实数,且y =x 41-+14-x +21.求x y y x ++2-xy y x +-2的值. 【提示】要使y 有意义,必须满足什么条件?].014041[⎩⎨⎧≥-≥-x x 你能求出x ,y 的值吗?].2141[⎪⎪⎩⎪⎪⎨⎧==y x 【解】要使y 有意义,必须⎩⎨⎧≥-≥-014041[x x ,即⎪⎪⎩⎪⎪⎨⎧≥≤.4141x x ∴ x =41.当x =41时,y =21. 又∵ x y y x ++2-x y y x +-2=2)(x y y x +-2)(xy y x - =|x y y x +|-|x y y x -|∵ x =41,y =21,∴ y x <xy . ∴ 原式=x y y x +-y x x y +=2yx 当x =41,y =21时, 原式=22141=2.【点评】解本题的关键是利用二次根式的意义求出x 的值,进而求出y 的值.。