配电箱型号、价格、尺寸参照表
- 格式:doc
- 大小:1.49 MB
- 文档页数:18
一、电表箱:1、单相六表位暗箱外框尺寸(宽x高x厚)860x840x170,嵌墙尺寸(宽x高x厚)790x750x110,留洞(宽x高x厚)810x770x120,洞底距地1100,定位详平面图。
2、单相四表位暗箱外框尺寸(宽x高x厚)610x840x170,嵌墙尺寸(宽x高x厚)550x750x110,留洞(宽x高x厚)570x770x120,洞底距地1100,定位详平面图。
3、单相三表位暗箱外框尺寸(宽x高x厚)850x550x170,嵌墙尺寸(宽x高x厚)790x490x110,留洞(宽x高x厚)810x510x120,洞底距地1400,定位详平面图。
4、单相二表位暗箱外框尺寸(宽x高x厚)610x550x170,嵌墙尺寸(宽x高x厚)550x490x110,留洞(宽x高x厚)570x510x120,洞底距地1400,定位详平面图。
二、总熔断器盒1、总熔断器盒实际尺寸(宽x高x厚)440x620x165,嵌墙尺寸(宽x高x厚)400x580x155,留洞(宽x高x厚)420x600x155,洞底距地2000,定位详平面图。
三、T接箱T接箱(宽x高x厚)290x290x150, 嵌墙尺寸(宽x高x厚)260x265x125,留洞(宽x高x厚)280x280x130,洞顶距板底300,定位详平面图。
四、住户配电箱1、15位住户配电箱留洞(宽x高x厚)350x250x120,洞底距地2000,定位详平面图。
2、18位住户配电箱留洞(宽x高x厚)400x250x120,洞底距地2000,定位详平面图。
3、24位住户配电箱留洞(宽x高x厚)300x430x120,洞底距地2000,定位详平面图。
五、电信分线箱1、E型箱实际尺寸(高x宽x厚)700x500x150,C型箱实际尺寸(高x宽x厚)500x380x150,B型箱实际尺寸(高x宽x厚)380x250x130。
2、1~5层采用C型箱,留洞(高x宽x厚)520x400x160。
建筑配电箱型号规格表建筑配电箱型号规格表 XL-21型动力配电柜 XM--型照明配电箱柜宽mm×柜厚mm×柜高mm 一排:悬挂式600mm×400mm×1700,1900mm 箱宽mm×箱高mm×箱厚mm 700mm×500mm×1700,1900mm XM-1×6P:186mm×202mm×100mm800mm×600mm×1700,1900mm XM-1×10P:242mm×202mm×100mm XK-型控制配电箱XM-1×16P:346mm×202mm×100mm 箱宽mm×箱高mm×箱厚mmXM-1×20P:418mm×202mm×100mm 506mm×606mm×110mm 一排:嵌入式556mm×606mm×110mm 箱宽mm×箱高mm×箱厚mm 656mm×606mm×110mm XM-1×6P:202mm×220mm×100mm 756mm×606mm×110mm XM-1×10P:258mm×220mm×100mm 506mm×656mm×110mm XM-1×16P:362mm×220mm×100mm 556mm×656mm×110mm XM-1×20P:434mm×220mm×100mm 656mm×656mm×110mm 二排:悬挂式756mm×656mm×110mm 箱宽mm×箱高mm×箱厚mm 506mm×606mm×130mm XM-2×6P:186mm×462mm×100mm 556mm×606mm×130mm XM-2×10P:242mm×462mm×100mm 656mm×606mm×130mm XM-2×16P:346mm×462mm×100mm 756mm×606mm×130mm XM-2×20P:418mm×462mm×100mm 506mm×656mm×130mm 二排:嵌入式556mm×656mm×130mm 箱宽mm×箱高mm×箱厚mm 656mm×656mm×130mm XM-2×6P:202mm×480mm×100mm 756mm×656mm×130mm XM-2×10P:258mm×480mm×100mm XM-2×16P:362mm×480mm×100mm XM-2×20P:434mm×480mm×100mm要说BV铜芯线与BVR铜芯线分别代表什么意思,我们先从下面说起。
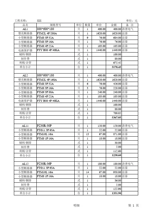
配电箱数量及价格清单这个报价是含3c认证和税价序号型号数量(套)单价(元)合价(元)1 AP0 1 20722 207222 AP1 1 16223 162233 AP2.AP3 2 14338 286764 AP7 4 4855 194205 AP5 4 3475 139006 AP4 4 3665 146607 AP8 6 3474 208448 AP9 10 2219 221909 AP6 4 2410 9640合计36 166275配电柜每三层楼一只AP9 10 套设备名称设备规格型号数量单位单价金额塑壳开关DZ15-100T/3901 100A 1 只95 95 塑壳开关DZ15-100T/3901 63A 1 只95 95 塑壳开关DZ15-40T/2901 40A 1 只54 54 漏电断路器DZ15LE-100/4901 63A 30mA 1 只180 180 漏电断路器DZ15LE-40/2901 40A 30mA 1 只Mar-00 80 接线端子TC-63/4P 2 只75 150 接零接地铜排HC-028/10 1 式65 65一次电线铜1 式190 190排二次线 1 式安装附件 1 式组装人工费 2 个300 600调试人工费 1 个工厂管理费 1 式工厂利润 1 式税率8.5% 1 式小计2219 合计10 *22190设备名称设备规格型号数量单位单价金额塑壳开关CDM10/250T/3300 200A 1 只320 320塑壳开关DZ15-100T/3901 100A 2 只95 190塑壳开关DZ16-100T/3901 63A 1 只95 95塑壳开关DZ15-40T/3901 40A 1 只74 74漏电断路器DZ15LE-100/4901 100A 2 只180 360漏电断路器DZ15LE-100/4901 63A 1 只180 180漏电断路器DZ15-40/4901 40A 1 只120 120接零接地铜排HC-028/10 2 式65 130接线端子TC-100A/4P 2 只75 150接线端子TC-63A/4P 2 只75 150一次电线铜1 式325 325排二次线 1 式安装附件 1 式组装人工费 2 个300 600调试人工费 1 个工厂管理费 1 式工厂利润 1 式税率8.5% 1 式小计3474 合计 6 *20844配电柜大灯照明配电箱AP4 4 套设备名称设备规格型号数量单位单价金额塑壳开关DZ15-100T/3901 63A 1 只110 110塑壳开关DZ15-40T/3901 40A 2 只95 190塑壳开关DZ15-40T/2901 40A 1 只65 65漏电断路器DN15LE-40/2901 40A 1 只95 95接触器CJX2-4011 2 只290 580按钮常开 2 只25 50按钮常闭 2 只25 50指示灯红色AC220V 2 只10 20熔断器RT18-32 1 套15 15接线端子TC63/4P 3 只95 285接零接地铜1 式75 75排箱体700*600*220 1 台920 920一次电线铜1 式410 410排二次线 1 式安装附件 1 式组装人工费 2 个400 800调试人工费 1 个工厂管理费 1 式工厂利润 1 式税率8.5% 1 式小计3665 合计 4 *14660配电柜人货梯配AP6 4 套设备名称设备规格型号数量单位单价金额塑壳开关CDM10-250T/3300 150A 1 只320 320漏电断路器DZ20L-200/4300 125A 1 只630 630漏电断路器DZ15LE-40/2901 40A 30mA 1 只75 75接零接地铜排HC -028/10 1 式65 65接线端子TC-200A/4P 1 只100 100接线端子TC-63A/4P 1 只50 50箱体700*600*220 1 台710 710一次电线铜1 式260 260排二次线 1 式安装附件 1 式组装人工费 1 个200 200调试人工费 1 个工厂管理费 1 式工厂利润 1 式税率8.5% 1 式小计2410 合计 4 *9640配电柜塔吊电箱AP5 4 套设备名称设备规格型号数量单位单价金额塑壳开关DZ20Y-225T/3300 225A 1 只320 320漏电断路器DZ20L-250/4300 225A30mA 1 只630 630漏电断路器DZ15LE-40/2901 40A 30mA 1 只75 75电度表三相100A 1 只490 490接零接地铜排HC -028/10 2 只65 130接线端子TC-300A/4P 1 只100 100接线端子TC-63A/4P 1 只50 50箱体700*800*220 1 台780 780一次电线铜排 1 式450 450二次线 1 式安装附件 1 式组装人工费 1.5 个450 450调试人工费 1 个工厂管理费 1 式工厂利润 1 式税率8.5% 1 式小计3475 合计 4 *13900配电柜钢筋工地配电箱AP7 4 套设备名称设备规格型号数量单位单价金额塑壳开关DZ20Y-225T/3300 225A 1 只320 320塑壳开关CDM10-225T/3300 200A 1 只320 320塑壳开关DZ16-100T/3901 100A 1 只90 90塑壳开关DZ15-40T/2901 40A 2 只55 55漏电断路器DZ20L-250/4300 200A 1 只630 630漏电断路器DZ15LE-100/4901 100A 1 只170 170漏电断路器DZ15-40/2901 40A 2 只75 150接零接地铜排HC -028/10 2 只65 130接线端子TC-200A/4P 1 只100 100接线端子TC-100A/4P 1 只50 50接线端子TC-63A/4P 2 只50 100箱体1050*850*300 1 台1560 1560一次电线铜排 1 式580 580二次线 1 式安装附件 1 式组装人工费 3 个600 600调试人工费 1 个工厂管理费 1 式工厂利润 1 式税率8.5% 1 式小计4855 合计 4 *19420接零接地铜2 只65 130排接线端子TC-200A/4P 3 只100 300接线端子TC-100A/4P 3 只50 150箱体2000*1000*660 1 台3120 3120 一次电线铜1 式850 850排二次线 1 式150 150安装附件 1 式组装人工费 6 个900 900调试人工费 1 个工厂管理费 1 式工厂利润 1 式税率8.5% 1 式小计14338 合计 2 * 28676配电柜二级负荷配电箱AP1 1 套设备名称设备规格型号数量单位单价金额塑壳开关DZ20Y-630T/3300 500A 1 只1310 1310 塑壳开关DZ20Y-400T/3300 400A 2 只800 1600塑壳开关DZ20Y-400T/3300 350A 1 只800 800 塑壳开关CDM10-250T/3300 250A 1 只320 320 塑壳开关CDM10-100T/3300 100A 1 只125 125 漏电断路器DZ20L-400/4300 400A 2 只1380 2760 漏电断路器DZ20L-400/4300 350A 1 只1380 1380 漏电断路器DZ20L-400/4300 250A 1 只1350 1350漏电断路器DZ15LE-100/4901100A30mA1 只170 170电流互感器500/5 3 只80 240 电流表6L2 500/6 3 只45 135 电压表6L2 450V 1 只45 45 电压转换开关LW5 16YH3/3 1 只45 45 熔断器RT18-32 3 套13 39 指示灯黄色AC220V 1 只8 8指示灯绿色AC220V 1 只8 8指示灯红色AC220V 6 只8 48 接零接地HC-028/7 2 只65 130铜排箱体2000*1000*660 1 台3120 3120一次电线1 式1560 1560 铜排二次线 1 式130 130安装附件 1 式组装人工4 个900 900费工厂管理1 式费工厂利润 1 式税率1 式8.5%小计16223配电柜总柜AP0 1 套设备名称设备规格数量单位单价金额刀式隔离开HD13-1000∕31 1 只1320 1320 关塑壳开关DZ20Y-630T∕3300 2 只1310 2620630A塑壳开关DZ20Y-630T∕3300500A2 只1310 2620漏电断路器DZ20L-630∕4300630A1 只2650 2650漏电断路器DZ20L-630∕4300500A1 只2650 2650电度表DTS607 1.5(6) 1 只490 490 电流互感器1000/5 3 只90 270 电流表6L2 1000/5 3 只55 165 电压表6L2 450V 1 只55 55熔断器RT18-32 3 套13 39电压转换开关LW5 16YH3/3 1 只45 45指示灯黄色 1 只8 8指示灯绿色9 只8 72指示灯红色 1 只8 8接零、接地铜排HC-028/7 2 只65 130 箱体2000*1000*660 1 台3120 3120 一次电线、铜排1 式3380 3380二次线 1 式130 130安装附件 1 式组装人工费 4 个950 950试调人工费 1 个工厂管理费 1 式工厂利润 1 式税率8.5% 1 式小计20722。
一、电表箱:1、单相六表位暗箱外框尺寸(宽x高x厚)860x840x170,嵌墙尺寸(宽x高x厚)790x750x110,留洞(宽x高x厚)810x770x120,洞底距地1100,定位详平面图。
2、单相四表位暗箱外框尺寸(宽x高x厚)610x840x170,嵌墙尺寸(宽x高x厚)550x750x110,留洞(宽x高x厚)570x770x120,洞底距地1100,定位详平面图。
3、单相三表位暗箱外框尺寸(宽x高x厚)850x550x170,嵌墙尺寸(宽x高x厚)790x490x110,留洞(宽x高x厚)810x510x120,洞底距地1400,定位详平面图。
4、单相二表位暗箱外框尺寸(宽x高x厚)610x550x170,嵌墙尺寸(宽x高x厚)550x490x110,留洞(宽x高x厚)570x510x120,洞底距地1400,定位详平面图。
二、总熔断器盒1、总熔断器盒实际尺寸(宽x高x厚)440x620x165,嵌墙尺寸(宽x高x厚)400x580x155,留洞(宽x高x厚)420x600x155,洞底距地2000,定位详平面图。
三、T接箱T接箱(宽x高x厚)290x290x150, 嵌墙尺寸(宽x高x厚)260x265x125,留洞(宽x高x厚)280x280x130,洞顶距板底300,定位详平面图。
四、住户配电箱1、15位住户配电箱留洞(宽x高x厚)350x250x120,洞底距地2000,定位详平面图。
2、18位住户配电箱留洞(宽x高x厚)400x250x120,洞底距地2000,定位详平面图。
3、24位住户配电箱留洞(宽x高x厚)300x430x120,洞底距地2000,定位详平面图。
五、电信分线箱1、E型箱实际尺寸(高x宽x厚)700x500x150,C型箱实际尺寸(高x宽x厚)500x380x150,B型箱实际尺寸(高x宽x厚)380x250x130。
2、1~5层采用C型箱,留洞(高x宽x厚)520x400x160。
配电箱尺寸标注标准(总6页)--本页仅作为文档封面,使用时请直接删除即可----内页可以根据需求调整合适字体及大小--表箱体尺寸标注标准一.住宅电能表箱体尺寸标注标准2. 箱体表面采用环氧树脂静电喷涂或烤漆,5.采用磁卡电度表时,箱面应留插卡孔;箱体采用~钢板制作;3.本箱体进线断路器为63A,进线截面不大于25mm2;4.墙体留洞尺寸为箱体尺寸加10mm;二.86系列电能表技术参数2.预付费表一般采用DDY型号,厂家不同而不同;参数参考DD862-6系列;三.住宅户内照明配电箱尺寸参数2.墙体留洞尺寸为箱体尺寸加10mm;3.分路断路器每极宽度为18 mm;四.普通照明配电箱尺寸参数2.箱体采用~电解钢板或冷轧钢板制作;3.箱体表面采用环氧树脂静电喷涂或烤漆,不注明一般为浅灰色。
4.本箱体进线断路器为63A,进线截面不大于25mm2;5.分路断路器每极宽度为18 mm;6.墙体留洞尺寸为箱体尺寸加10mm;五.动力配电箱尺寸参数2.箱体采用~电解钢板或冷轧钢板制作;3.箱体表面采用环氧树脂静电喷涂或烤漆,不注明一般为浅灰色。
4.墙体留洞尺寸为箱体尺寸加10mm;5.PC级双电源带分支配电开关箱尺寸:600X800X200六.动力配电柜参数2.PB801柜为高层住宅落地式动力配电柜,柜前检修,可靠墙安装;3.柜体采用不小于2mm冷轧钢板制作;柜体表面采用环氧树脂静电喷涂七.常用变配电室低压配电柜参数七.常用弱电箱体尺寸参数1.户内多媒体箱310*210*120 箱体参考尺寸450x350x150(mm)2.电视分线箱箱体参考尺寸450x350x150(mm)本厂生产的等电位规格有如下:TD28大型(铜)300*200*120 TD28大型(铁)300*200*120 TD28中型(铜)180*120*70 TD28中型(铁)180*120*70 TD28小型(特厚铜)160*75*50 TD28小型(厚铜)160*75*50 TD28小型(铜)160*75*50 TD28小型(铁)160*75*50 TD28小型(塑壳)160*75*50。
配电箱规格及参数GCK、GCS、MNS是低压抽出式开关柜;GGD、GDH、PGL是低压固定式开关柜;XZW综合配电箱;ZBW箱式变电站;XL、GXL低压配电柜、建筑工地箱;JXF电器控制箱;PZ20、PZ30系列终端照明配电箱;PZ40、XDD(R)电表计量箱PXT(R)K-□/□-□/□-□/□-□/IP□系列规格型号解释:(1)PXT明装配电箱,暗装加(R)(2)K有如表1的系列配线方式(3)□/□额定电流/额定短时耐受电流能力:用数字表示,250/10表示:额定电流250A/额定短时耐受电流能力10kA,根据顾客要求可以降低。
(4)□/□进线型式:□/1单相输入;□/3三相输入;1/3表示混合输入(5)□×□出线回路:单相回路×三相回路,6×3单相6回路,三相3回路(6)□/ □ 主开关型式/防护等级;1/IP30单相主开关/IP30;3/IP30三相主开关/IP30表1:序号汉语拼音字头中文解释装配图号电气原理图号1 JL 计量箱PXT01 PXT01 dq系列2 CZ 插座箱PXT02 PXT02 dq系列3 ZM 照明箱PXT03 PXT03 dq系列4 DL 动力箱PXT04 PXT04 dq系列5 JC 计量插座箱PXT05 PXT05 dq系列6 JZ 计量照明箱PXT06 PXT06 dq系列7 JD 计量动力箱PXT07 PXT07 dq系列8 ZC 照明插座箱PXT08 PXT08 dq系列9 DC 动力插座箱PXT09 PXT09 dq系列10 DZ 动力照明箱PXT10 PXT10 dq系列11 HH 混合功能箱PXT11 PXT11 dq系列12 ZN 智能箱 PXT12 PXT12 dq系列电气箱柜名称编号规格型号高压开关柜AH高压计量柜AM高压配电柜AA高压电容柜AJ低压电力配电箱柜AP低压照明配电箱柜AL应急电力配电箱柜APE应急照明配电箱柜ALE低压负荷开关箱柜AF低压电容补偿柜ACC或ACP直流配电箱柜AD操作信号箱柜AS控制屏台箱柜AC继电保护箱柜AR计量箱柜AW励磁箱柜AE低压漏电断路器箱柜ARC双电源自动切换箱柜AT多种电源配电箱柜AM刀开关箱柜AK电源插座箱AX建筑自动化控制器箱ABC火灾报警控制器箱AFC设备监控器箱ABC住户配线箱ADD信号放大器箱ATF分配器箱AVP接线端子箱 AXT举例说明吧GCK第一个G 代表配电柜第二个C 代表抽屉式第三个K 代表控制GGD第一个G 代表配电柜第二个G 代表固定式第三个 D 代表动力配电箱1LA1a 1AL1b AT-DT是什么意思还有1AP2 2AP1 3APc 7AP 1KX之类的。
配电箱型号大全1. 引言配电箱是电力系统中的一种重要设备,用于对电能进行配电和控制。
不同的配电箱型号适用于不同的应用场景和电力需求。
本文档将介绍一些常见的配电箱型号,并为每个型号提供详细的技术参数和特点。
2. 型号一2.1 技术参数•额定电压:xxxV•额定电流:xxxA•防护等级:IPxx•材质:xxx•安装方式:xxx•适用环境温度:xxx℃•外形尺寸:xxx mm × xxx mm × xxx mm•重量:xxx kg2.2 特点•特点一:xxx•特点二:xxx•特点三:xxx3. 型号二3.1 技术参数•额定电压:xxxV•额定电流:xxxA•防护等级:IPxx•材质:xxx•安装方式:xxx•适用环境温度:xxx℃•外形尺寸:xxx mm × xxx mm × xxx mm•重量:xxx kg3.2 特点•特点一:xxx•特点二:xxx•特点三:xxx4. 型号三4.1 技术参数•额定电压:xxxV•额定电流:xxxA•防护等级:IPxx•材质:xxx•安装方式:xxx•适用环境温度:xxx℃•外形尺寸:xxx mm × xxx mm × xxx mm •重量:xxx kg4.2 特点•特点一:xxx•特点二:xxx•特点三:xxx5. 型号四5.1 技术参数•额定电压:xxxV•额定电流:xxxA•防护等级:IPxx•材质:xxx•安装方式:xxx•适用环境温度:xxx℃•外形尺寸:xxx mm × xxx mm × xxx mm •重量:xxx kg5.2 特点•特点一:xxx•特点二:xxx•特点三:xxx6. 型号五6.1 技术参数•额定电压:xxxV•额定电流:xxxA•防护等级:IPxx•材质:xxx•安装方式:xxx•适用环境温度:xxx℃•外形尺寸:xxx mm × xxx mm × xxx mm•重量: xxx kg6.2 特点•特点一:xxx•特点二:xxx•特点三:xxx7. 结论本文档介绍了一些常见的配电箱型号,为每个型号提供了详细的技术参数和特点。