高等数学下考试题库(附答案)复习过程
- 格式:doc
- 大小:1.49 MB
- 文档页数:14
高等数学2一.填空题(每小题3分,本大题满分30分)1.已知(1,2,3)a =,(3,2,1)b = ,则a b ⨯= (4,8,4)--.2.yOz 面上的抛物线21z y =-绕z 轴旋转一周所得曲面方程为221z x y =--.3.(,)(0,2)lim x y →=18. 4.对函数yz x =利用近似计算公式d z z ∆≈,则 2.02(1.04)≈ 1.08.5.曲线2211x ty t z t =⎧⎪=-⎨⎪=+⎩上点(2,3,5)处的切线方程为35244y z x ---==.6.将下列函数展开成(1)x -的幂级数:13x =-101(1)2n n n x ∞+=-∑,(13x -<<). 7.微分方程xy y e -'+=的通解为y =()x e x C -+.8.微分方程690y y y '''-+=的通解为y =312()xC C x e +.9.设2x f xy '=,2y f x '=,则(1,2)(0,0)f f -=2.10.已知L 为球面2222x y z R ++=被平面0x y z ++=所截得的圆周,则2d Ly s =⎰323R π.二.解答下列各题(每小题8分,本大题满分16分)1.已知(,)z f x y =是由方程2sin z z x y +=确定的隐函数,求z x ∂∂和22zx∂∂.解:令2(,,)sin F x y z z z x y =+-,则2x F xy =-,cos 1z F z =+, 2cos 1x z z F xyx F z ∂=-=∂+, 。
(5分)2222(cos 1)2(sin )(cos 1)x z y z xy z z x z ∂+-⋅-⋅=∂+ 22232(cos 1)4sin (cos 1)y z x y z z ++=+. 。
(8分) 2.求函数2(,)624ln f x y x y xy y =+--的极值.解:解方程组2204620x yf x y f x y '=-=⎧⎪⎨'=--=⎪⎩, 得驻点(1,1),(2,2). 。
高等数学下册试题库一、选择题(每题4分,共20分)1. 已知A (1,0,2), B (1,2,1)是空间两点,向量AB 的模是:( A )A )5B ) 3C ) 6D )9解 AB ={1-1,2-0,1-2}={0,2,-1},||=5)1(20222=-++.2. 设a ={1,-1,3}, b ={2,-1,2},求c =3a -2b 是:( B )A ){-1,1,5}.B ) {-1,-1,5}.C ) {1,-1,5}.D ){-1,-1,6}.解 (1) c =3a -2b =3{1,-1,3}-2{2,-1,2}={3-4,-3+2,9-4}={-1,-1,5}.3. 设a ={1,-1,3}, b ={2, 1, -2},求用标准基i , j , k 表示向量c=a-b ; ( A ) A )-i -2j +5k B )-i -j +3k C )-i -j +5k D )-2i -j +5k解c ={-1,-2,5}=-i -2j +5k .4. 求两平面032=--+z y x 和52=+++z y x 的夹角是:(C )A )2πB )4π C )3π D )π 解 由公式(6-21)有21112)1(211)1(1221c o s 2222222121=++⋅-++⨯-+⨯+⨯=⋅⋅=n n n n α,因此,所求夹角321arccos πα==.5. 求平行于z 轴,且过点)1,0,1(1M 和)1,1,2(2-M 的平面方程.是:(D ) A )2x+3y=5=0 B )x-y+1=0 C )x+y+1=0 D )01=-+y x .解 由于平面平行于z轴,因此可设这平面的方程为因为平面过1M 、2M 两点,所以有解得D B D A -=-=,,以此代入所设方程并约去)0(≠D D ,便得到所求的平面方程6.微分方程()043='-'+''y y y x y xy 的阶数是( D )。
高等数学下册试题库一、选择题(每题4分,共20分)1. 已知A (1,0,2), B (1,2,1)是空间两点,向量 AB 的模是:( A ) A )5 B ) 3 C ) 6 D )9…解 AB ={1-1,2-0,1-2}={0,2,-1},|AB |=5)1(20222=-++.2. 设a ={1,-1,3}, b ={2,-1,2},求c =3a -2b 是:( B )A ){-1,1,5}.B ) {-1,-1,5}.C ) {1,-1,5}.D ){-1,-1,6}.解 (1) c =3a -2b =3{1,-1,3}-2{2,-1,2}={3-4,-3+2,9-4}={-1,-1,5}.3. 设a ={1,-1,3}, b ={2, 1, -2},求用标准基i , j , k 表示向量c=a-b ; ( A ) A )-i -2j +5k B )-i -j +3k C )-i -j +5k D )-2i -j +5k解c ={-1,-2,5}=-i -2j +5k .—4. 求两平面032=--+z y x 和052=+++z y x 的夹角是:(C )A )2πB )4π C )3π D )π 解 由公式(6-21)有21112)1(211)1(1221cos 2222222121=++⋅-++⨯-+⨯+⨯=⋅⋅=n n n n α,因此,所求夹角321arccos πα==.5. 求平行于z 轴,且过点)1,0,1(1M 和)1,1,2(2-M 的平面方程.是:(D ) A )2x+3y=5=0 B )x-y+1=0 C )x+y+1=0 D )01=-+y x . 【解 由于平面平行于z 轴,因此可设这平面的方程为0=++D By Ax 因为平面过1M 、2M 两点,所以有⎩⎨⎧=+-=+020D B A D A解得D B D A -=-=,,以此代入所设方程并约去)0(≠D D ,便得到所求的平面方程01=-+y x6.微分方程()043='-'+''y y y x y xy 的阶数是( D )。
高等数学(下册)试卷(一)一、填空题(每小题3分,共计24分)1、 z =)0()(log 22>+a y x a 的定义域为D= 。
2、二重积分⎰⎰≤++1||||22)ln(y x dxdy y x 的符号为 。
3、由曲线x y ln =及直线1+=+e y x ,1=y 所围图形的面积用二重积分表示为 ,其值为 。
4、设曲线L 的参数方程表示为),()()(βαψϕ≤≤⎩⎨⎧==x t y t x 则弧长元素=ds 。
5、设曲面∑为922=+y x 介于0=z 及3=z 间的部分的外侧,则=++⎰⎰∑ds y x )122( 。
6、微分方程xyx y dx dy tan +=的通解为 。
7、方程04)4(=-y y的通解为 。
8、级数∑∞=+1)1(1n n n 的和为 。
二、选择题(每小题2分,共计16分)1、二元函数),(y x f z =在),(00y x 处可微的充分条件是( ) (A )),(y x f 在),(00y x 处连续;(B )),(y x f x ',),(y x f y '在),(00y x 的某邻域内存在;(C ) y y x f x y x f z y x ∆'-∆'-∆),(),(0000当0)()(22→∆+∆y x 时,是无穷小;(D )0)()(),(),(lim2200000=∆+∆∆'-∆'-∆→∆→∆y x yy x f x y x f z y x y x 。
2、设),()(x y xf y x yf u +=其中f 具有二阶连续导数,则2222yuy x u x ∂∂+∂∂等于( )(A )y x +; (B )x ; (C)y ; (D)0 。
3、设Ω:,0,1222≥≤++z z y x 则三重积分⎰⎰⎰Ω=zdV I 等于( )(A )4⎰⎰⎰202013cos sin ππϕϕϕθdr r d d ;(B )⎰⎰⎰2012sin ππϕϕθdr r d d ;(C )⎰⎰⎰ππϕϕϕθ202013cos sin dr r d d ;(D )⎰⎰⎰ππϕϕϕθ20013cos sin dr r d d 。
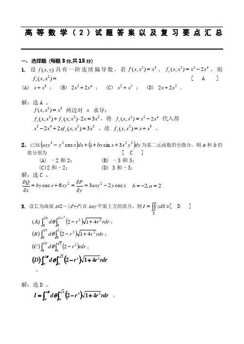
高等数学(2)试题答案以及复习要点汇总一. 选择题 (每题3分,共15分)1. 设(,)f x y 具有一阶连续偏导数,若23(,)f x x x =,224(,)2x f x x x x =-,则2(,)y f x x = [ A ] (A) 3x x + ; (B) 2422x x + ; (C) 25x x + ; (D) 222x x + 。
解:选A 。
23(,)f x x x = 两边对 x 求导:222(,)(,)23x y f x x f x x x x +⋅=,将 224(,)2x f x x x x =- 代入得 242222(,)3y x x xf x x x -+= ,故 23(,)y f x x x x =+ 。
2.已知()()dy y x x by dx x y axy 22233sin 1cos +++-为某二元函数的全微分,则a 和b 的值分别为 [ C ] (A) –2和2; (B) –3和3; (C)2和–2; (D) 3和–3;解:选C 。
x y axy yPxy x by x Q cos 236cos 22-=∂∂=+=∂∂ 2,2=-=a b3. 设∑为曲面z =2-(x 2+y 2)在xoy 平面上方的部分,则⎰⎰∑=zdS I =[ D ]()⎰⎰-+-2202220412)(rrdr r r d A πθ;()()⎰⎰+-22220412rdr r r d B πθ; ()()⎰⎰-22202rdr r d C πθ;()()⎰⎰+-22220412rdr r r d D πθ。
解:选D 。
()⎰⎰+-=22220412rdr r r d I πθ 。
4. 设有直线410:30x y z L x y --+=⎧⎨+-=⎩,曲面222z x y z =-+在点(1,1,1)处的切平面∏,则直线L 与平面∏的位置关系是: [ C ] (A) L ⊂∏; (B) //L ∏; (C) L ⊥∏; (D) L 与∏斜交 。
高数期末下册考试题及答案序章数学是一门科学,也是一门工具学科,对于不少学子而言,高等数学一直是一门令人头疼的学科,尤其是对于高数期末考试而言,更是充满了挑战。
本文将提供高数期末下册考试题及答案,以帮助读者更好地准备并且顺利通过这一考试。
第一章:导数与微分题目一:计算以下函数的导数并求出导函数1. $f(x)=3x^2+2x+1$2. $g(x)=\sin(x)-\cos(x)$3. $h(x)=e^x\cdot\ln(x)$题目二:应用题一天中,某商品的销售量随时间变化的规律如下:$Q(t) = 100e^{-0.02t}$,其中时间$t$以小时为单位。
求在第3小时以内的销售量的平均增长速度。
第二章:积分学题目三:求下列不定积分1. $\int (2x^2+3x-1)dx$2. $\int \frac{1}{x}dx$3. $\int \frac{2x+3}{x^2+3x+2}dx$题目四:计算定积分已知函数$f(x)=x^2-3x+2$,计算$\int_0^3 f(x)dx$的值。
第三章:微分方程题目五:求解下列微分方程1. $\frac{dy}{dx}=2x+1$2. $\frac{d^2y}{dx^2}+4\frac{dy}{dx}+4y=0$3. $\frac{d^2y}{dx^2}+9y=\sin(x)$题目六:应用题一个满足空气阻力的物体由高空自由落下,求解物体落地时的速度和位移。
第四章:无穷级数题目七:判断级数是否收敛1. $\sum_{n=1}^\infty \frac{1}{2^n}$2. $\sum_{n=1}^\infty \frac{n}{n^2+1}$3. $\sum_{n=1}^\infty \frac{2^n}{n!}$题目八:计算级数的和计算级数$\sum_{n=1}^\infty \frac{1}{2^n}$的和。
结语通过以上的考题,相信读者们对于高数期末下册考试的复习有了更明确的目标和方向。
《高等数学(下)》习题答案一、单选题1、向量、垂直,则条件:向量、的数量积是(B)A充分非必要条件B充分且必要条件C必要非充分条件D既非充分又非必要条件2、当x→0时,y=ln(1+x)与下列那个函数不是等价的(C)Ay=x By=sinx Cy=1-cosx Dy=e^x-13、如果在有界闭区域上连续,则在该域上(C)A只能取得一个最大值B只能取得一个最小值C至少存在一个最大值和最小值D至多存在一个最大值和一个最小值4、函数f(x)在点x0极限存在是函数在该点连续的(A)A必要条件 B充分条件 C充要条件 D无关条件5、向量与向量平行,则条件:其向量积是(B)A充分非必要条件B充分且必要条件 C必要非充分条件 D既非充分又非必要条件6、当x→0时,下列变量中(D)为无穷小量Aln∣x∣ Bsin1/x Ccotx De^(-1/x^2)7、为正项级数,设,则当时,级数(C)A发散 B收敛 C不定 D绝对收敛8、设f(x)=2^x-1,则当x→0时,f(x)是x的(D)。
A高阶无穷小 B低阶无穷小 C等价无穷小 D同阶但不等价无穷9、已知向量,,,求向量在轴上的投影及在轴上的分量(A)A27,51 B25,27 C25,51 D27,2510、函数f(x)在点x0极限存在是函数在该点连续的(A)A必要条件 B充分条件 C充要条件 D无关条件11、下面哪个是二次曲面中椭圆柱面的表达式(D)A B C D12、曲线y=x/(x+2)的渐进线为(D)Ax=-2 By=1 Cx=0 Dx=-2,y=113、向量、的夹角是,则向量、的数量积是(A)A BC D14、当x→0时,函数(x²-1)/(x-1)的极限 (D)A等于2 B等于0 C为∞ D不存在但不为∞15、平面上的一个方向向量,平面上的一个方向向量,若与垂直,则(C)A BC D16、设φ(x)=(1-x)/(1+x),ψ(x)=1-³√x则当x→0时(D)Aφ与ψ为等价无穷小 Bφ是比ψ为较高阶的无穷小Cφ是比ψ为较低阶的无穷小 Dφ与ψ是同价无穷小17、在面上求一个垂直于向量,且与等长的向量(D)A B C D18、当x→0时,1/(ax²+bx+c)~1/(x+1),则a,b,c一定为(B)Aa=b=c=1 Ba=0,b=1,c为任意常数 Ca=0,b,c为任意常数 Da,b,c为任意常数19、对于复合函数有,,则(B)A B C D20、y=1/(a^2+x^2)在区间[-a,a]上应用罗尔定理, 结论中的点ξ=(B).A0 B2 C3/2 D321、设是矩形:,则(A)A B C D22、对于函数的每一个驻点,令,,,若,,则函数(A)A有极大值 B有极小值 C没有极值 D不定23、若无穷级数收敛,且收敛,则称称无穷级数(D)A发散 B收敛 C条件收敛 D绝对收敛24、交错级数,满足,且,则级数(B)A发散 B收敛 C不定 D绝对收敛25、若无穷级数收敛,而发散,则称称无穷级数(C)A发散B收敛 C条件收敛 D绝对收敛26、微分方程的通解是(B)A B C D27、改变常数项无穷级数中的有限项,级数的敛散性将会(B)A受到影响 B不受影响 C变为收敛 D变为发散28、设直线与平面平行,则等于(A)A2 B6 C8 D1029、曲线的方向角、与,则函数关于的方向导数(D)A BC D30、常数项级数收敛,则(B)A发散 B收敛 C条件收敛 D绝对收敛31、为正项级数,若存在正整数,当时,,而收敛,则(B)A发散 B收敛 C条件收敛 D绝对收敛32、下面哪个是二次曲面中椭圆抛物面的表达式(A)A B C D33、已知向量垂直于向量和,且满足于,求(B)A B C D34、平面上的一个方向向量,直线上的一个方向向量,若与垂直,则(B)A B C D35、下面哪个是二次曲面中双曲柱面的表达式(C)A B C D36、若为无穷级数的次部分和,且存在,则称(B)A发散 B收敛 C条件收敛 D绝对收敛37、已知向量两两相互垂直,且求(C)A1 B2 C4 D838、曲线y=e^x-e^(-x)的凹区间是(B)A(-∞,0) B(0,+∞) C(-∞,1) D(-∞,+∞)39、下面哪个是二次曲面中双曲抛物面的表达式(B)A B C D40、向量与轴与轴构成等角,与轴夹角是前者的2倍,下面哪一个代表的是的方向(C)A BC D41、下面哪个是二次曲面中单叶双曲面的表达式(A)A BC D42、函数y=3x^2-x^3在区间[1,3]上的最大值为(A)A4 B0 C1 D343、曲线y=lnx在点(A)处的切线平行于直线y=2x-3A(1/2,-1n2) B(1/2,-ln1/2) C(2,ln2) D(2,-ln2)44、若f(x)在x=x0处可导,则∣f(x)∣在x=x0处(C)A可导 B不可导 C连续但未必可导 D不连续45、y=√x-1 在区间[1, 4]上应用拉格朗日定理, 结论中的点ξ=(C).A0 B2 C44078 D346、arcsinx+arccos=(D)A∏ B2∏ C∏/4 D∏/247、函数y=ln(1+x^2)在区间[-1,2]上的最大值为(D)A4 B0 C1 Dln548、函数y=x+√x在区间[0,4]上的最小值为(B)A4 B0 C1 D349、当x→1时,函数(x²-1)/(x-1)*e^[(1/x-1)]的极限 (D)A等于2 B等于0 C为∞ D不存在但不为∞50、函数y=3x^2-x^3在区间[1,3]上的最大值为(A)A4 B0 C1 D3二、判断题1、由及所确定的立体的体积(对)2、y=∣x∣在x=0处不可导(对)3、设,,,且,则(错)4、对于函数f(x),若f′(x0)=0,则x0是极值点(错)5、二元函数的极小值点是(对)6、若函数f(x)在x0处极限存在,则f(x)在x0处连续(错)7、设是由轴、轴及直线所围城的区域,则的面积为(错)8、函数f(x)在[a,b]在内连续,且f(a)和f(b)异号,则f(x)=0在(a,b)内至少有一个实数根(对)9、若积分区域是,则(对)10、下列平面中过点(1,1,1)的平面是x=1(对)11、设,其中,,则(对)12、若函数f(x)在x0的左、右极限都存在但不相等,则x0为f(x)的第一类间断点(对)13、函数的定义域是(对)14、对于函数f(x),若f′(x0)=0,则x0是极值点(错)15、二元函数的两个驻点是,(对)16、y=ln(1-x)/(1+x)是奇函数(对)17、设表示域:,则(错)18、若函数f(x)在x0处连续,则f(x)在x0处极限存在(对)19、设是曲线与所围成,则(对)20、有限个无穷小的和仍然是无穷小(对)21、设,则(错)22、函数在一点的导数就是在一点的微分(错)23、函数在间断(对)24、罗尔中值定理中的条件是充分的,但非必要条件(对)25、设不全为0的实数使,则三个向量共面(对)26、函数z=xsiny在点(1,∏/4)处的两个偏导数分别为1,1(错)27、微分方程的一个特解应具有的形式是(对)28、设圆心在原点,半径为R,面密度为a=x²+y²的薄板的质量为RA(面积A=∏R²)(错)29、函数的定义域是整个平面(对)30、1/(2+x)的麦克劳林级数是2(错)31、微分方程的通解为(错)32、等比数列的极限一定存在(错)33、设区域,则在极坐标系下(对)34、函数极限是数列极限的特殊情况(错)35、,,则(对)36、sin10^0的近似值为017365(对)37、二元函数的极大值点是(对)38、定义函数极限的前提是该函数需要在定义处的邻域内有意义(对)39、将在直角坐标下的三次积分化为在球坐标下的三次积分,则(对)40、微分是函数增量与自变量增量的比值的极限(错)41、方程x=cos在(0,∏/2)内至少有一实根(错)42、微分方程y``+3y`+2y=0的特征根为1,2(错)43、f〞(x)=0对应的点不一定是曲线的拐点(对)44、求曲线x=t,y=t2,z=t3在点(1,1,1)处的法平面方程为(x-1)+2(y-1)+3(z-1)=0(对)45、1/x的极限为0(错)46、y=e^(-x^2) 在区间(-∞,0)(1,∞)内分别是单调增加,单调增加(错)47、导数和微分没有任何联系,完全是两个不同的概念(错)48、有限个无穷小的和仍然是无穷小(对)49、求导数与求微分是一样的,所以两者可以相互转化(对)50、在空间直角坐标系中,方程x²+y²=2表示圆柱面(对)。
高等数学(下册)试卷(一)一、填空题(每小题 3 分,共计24 分)1、z =log a ( x2y 2 )( a 0) 的定义域为D=。
2、二重积分ln( x2y 2 )dxdy 的符号为。
|x| |y| 13 、由曲线y ln x 及直线x y e 1 , y 1 所围图形的面积用二重积分表示为,其值为。
4L 的参数方程表示为x(t)(x),则弧长元素ds。
、设曲线y(t)5 、设曲面∑为x2y 29 介于z0 及 z 3 间的部分的外侧,则(x2y21)ds。
6、微分方程dyy tany的通解为。
dx x x7、方程y( 4) 4 y0 的通解为。
8、级数1的和为。
n1n(n1)二、选择题(每小题 2 分,共计16 分)1、二元函数z f ( x, y) 在 ( x0 , y0 ) 处可微的充分条件是()(A)f ( x, y)在(x0, y0)处连续;(B)f x( x, y),f y( x, y)在( x0, y0)的某邻域内存在;( C)z f x (x0 , y0 )x f y ( x0 , y0 ) y 当( x) 2(y) 20 时,是无穷小;( D)lim z f x ( x0 , y0 ) x f y ( x0 , y0 ) y0。
22x0(x)( y) y02、设u yf ( x)xf (y), 其中 f 具有二阶连续导数,则x2u y 2 u等于()y x x 2y 2(A)x y ;( B)x;(C) y;(D)0。
3、设: x 2y 2z21, z0, 则三重积分I zdV 等于()( A ) 4 2d2 d1 3sin cos dr ;r 02 dd 1 dr ;( B )r 2 sin0 022 d13sin cos dr ;( C )dr0 02d 13sin cos dr 。
( D )dr0 04、球面 x 2 y 2z 2 4a 2 与柱面 x 2 y 22ax 所围成的立体体积 V=()(A ) 4 2d2 a cos 4a2r 2dr ;(B ) 4 2d2 a cos r 4a2r 2dr ;(C ) 8 2d2 a cos r 4a2r 2dr ;(D )2d2a cos r 4a2r 2dr 。
高等数学下考试题库(附答案) 高等数学》试卷1(下)一、选择题(3分×10)1.点M1(2,3,1)到点M2(2,7,4)的距离M1M2=().A.3B.4C.5D.62.向量a=-i+2j+k,b=2i+j,则有().A.a∥bB.a⊥bC.a,b=D.a,b=3.函数y=2-x^2-y^2+1/x+y-12/2+y^2的定义域是().A.{(x,y)|1<x<2,1≤x^2+y^2≤2}B.{(x,y)|x,y<0}C.{(x,y)|1<x≤2,2+y^2<2}D.{(x,y)|2+y^2<x}4.两个向量a与b垂直的充要条件是().A.a·b=0B.a×b=0C.a-b=0D.a+b=05.函数z=x+y-3xy的极小值是().A.2B.-2C.1D.-16.设z=xsiny,则∂z/∂y|(π/4,3/4)=().A.2/√2B.-2/√2C.2D.-27.若p级数∑n=1∞pn收敛,则().A.p1 D.p≥18.幂级数∑n=1∞xn/n的收敛域为().A.[-1,1]B.(-1,1)C.[-1,1)D.(-1,1]9.幂级数∑n=2∞x^n/(n-1)在收敛域内的和函数是().A.1/(1-x)B.2/(1-x)^2C.2/(1+x)D.1/(1+x)10.微分方程xy'-ylny=0的通解为().A.y=cxB.y=e^xC.y=cxe^xD.y=ex二、填空题(4分×5)1.一平面过点A(1,2,3)且垂直于直线AB,其中点B(2,-1,1),则此平面方程为______________________.2.函数z=sin(xy)的全微分是______________________________.3.设z=xy-3xy^2+1,则(∂^2z)/(∂x∂y)|3/2=-___________________________.三、计算题(5分×6)4.1.设z=esinv,而u=xy,v=x+y,求u∂z/∂x-∂z/∂y.2.已知隐函数z=z(x,y)由方程x^2+y^2+z^2=1确定,求∂z/∂x.3.设f(x,y)=x^2y-xy^2,求f在点(1,1)处的方向导数沿向量i+j的值.4.设z=f(x^2+y^2),其中f(u)在u=1处可导,求∂z/∂x|P,其中P为曲线x^2+y^2=1,z=1上的点.5.设z=ln(x+y)cos(x-y),求∂^2z/∂x^2-2∂^2z/∂x∂y+∂^2z/∂y^2.6.设f(x,y)在点(0,0)处可微,且f(0,0)=0,证明:∂f/∂x和∂f/∂y在点(0,0)处连续.1.已知函数f(x)在区间[0,1]上连续,且f(0)=0,f(1)=1,则方程f(x)=0在区间(0,1)内至少有()个实根。
高等数学〔下册〕试卷〔一〕一、填空题〔每题3分,共计24分〕1、 z =)0()(log 22>+a y x a 的定义域为D=。
2、二重积分⎰⎰≤++1||||22)ln(y x dxdy y x 的符号为。
3、由曲线x y ln =及直线1+=+e y x ,1=y 所围图形的面积用二重积分表示为,其值为。
4、设曲线L 的参数方程表示为),()()(βαψϕ≤≤⎩⎨⎧==x t y t x 那么弧长元素=ds 。
5、设曲面∑为922=+y x 介于0=z 及3=z 间的局部的外侧,那么=++⎰⎰∑ds y x )122( 。
6、微分方程xyx y dx dy tan +=的通解为。
7、方程04)4(=-y y 的通解为。
8、级数∑∞=+1)1(1n n n 的和为。
二、选择题〔每题2分,共计16分〕1、二元函数),(y x f z =在),(00y x 处可微的充分条件是〔 〕 〔A 〕),(y x f 在),(00y x 处连续;〔B 〕),(y x f x ',),(y x f y '在),(00y x 的某邻域存在;〔C 〕y y x f x y x f z y x ∆'-∆'-∆),(),(0000当0)()(22→∆+∆y x 时,是无穷小;〔D 〕0)()(),(),(lim2200000=∆+∆∆'-∆'-∆→∆→∆y x yy x f x y x f z y x y x 。
2、设),()(x y xf y x yf u +=其中f 具有二阶连续导数,那么2222yuy x u x ∂∂+∂∂等于〔 〕〔A 〕y x +;〔B 〕x ; (C)y ; (D)0 。
3、设Ω:,0,1222≥≤++z z y x 那么三重积分⎰⎰⎰Ω=zdV I 等于〔 〕〔A 〕4⎰⎰⎰202013cos sin ππϕϕϕθdr r d d ;〔B 〕⎰⎰⎰2012sin ππϕϕθdr r d d ;〔C 〕⎰⎰⎰ππϕϕϕθ202013cos sin dr r d d ;〔D 〕⎰⎰⎰ππϕϕϕθ2013cos sin dr r d d 。
《高等数学》试卷1〔下〕一.选择题〔3分⨯10〕1.点1M ()1,3,2到点()4,7,22M 的距离=21M M 〔 〕.A.3B.4C.5D.62.向量j i b k j i a+=++-=2,2,则有〔 〕.A.a ∥bB.a ⊥bC.3,π=b aD.4,π=b a3.函数1122222-++--=y x y x y 的定义域是〔 〕.A.(){}21,22≤+≤y x y x B.(){}21,22<+<y x y xC.(){}21,22≤+<y xy x D (){}21,22<+≤y x y x4.两个向量a 与b垂直的充要条件是〔 〕.A.0=⋅b aB.0 =⨯b aC.0 =-b aD.0 =+b a5.函数xy y x z 333-+=的极小值是〔 〕. A.2 B.2- C.1 D.1- 6.设y x z sin =,则⎪⎭⎫ ⎝⎛∂∂4,1πyz =〔 〕.A.22B.22-C.2D.2-7.若p 级数∑∞=11n p n 收敛,则〔 〕. A.p 1< B.1≤p C.1>p D.1≥p8.幂级数∑∞=1n nnx 的收敛域为〔 〕.A.[]1,1- B ()1,1- C.[)1,1- D.(]1,1-9.幂级数nn x ∑∞=⎪⎭⎫⎝⎛02在收敛域内的和函数是〔 〕.A.x -11 B.x -22 C.x -12 D.x-21 10.微分方程0ln =-'y y y x 的通解为〔 〕.A.xce y = B.xe y = C.xcxe y = D.cxe y =二.填空题〔4分⨯5〕1.一平面过点()3,0,0A 且垂直于直线AB ,其中点()1,1,2-B ,则此平面方程为______________________.2.函数()xy z sin =的全微分是______________________________.3.设13323+--=xy xy y x z ,则=∂∂∂yx z2_____________________________. 4.x+21的麦克劳林级数是___________________________. 三.计算题〔5分⨯6〕1.设v e z usin =,而y x v xy u +==,,求.,yz x z ∂∂∂∂ 2.已知隐函数()y x z z ,=由方程05242222=-+-+-z x z y x 确定,求.,yz x z ∂∂∂∂ 3.计算σd y x D⎰⎰+22sin ,其中22224:ππ≤+≤y x D . 4.求两个半径相等的直交圆柱面所围成的立体的体积〔R 为半径〕.四.应用题〔10分⨯2〕1.要用铁板做一个体积为23m 的有盖长方体水箱,问长、宽、高各取怎样的尺寸时,才能使用料最省? .试卷1参考答案一.选择题 CBCAD ACCBD 二.填空题1.0622=+--z y x .2.()()xdy ydx xy +cos .3.19622--y y x .4.()n n n n x ∑∞=+-0121.5.()xex C C y 221-+= .三.计算题 1.()()[]y x y x y e xzxy +++=∂∂cos sin ,()()[]y x y x x e y z xy +++=∂∂cos sin . 2.12,12+=∂∂+-=∂∂z yy z z x x z . 3.⎰⎰=⋅πππρρρϕ202sin d d 26π-.4.3316R . 5.x xe ey 23-=.四.应用题1.长、宽、高均为m 32时,用料最省.2..312x y =《高数》试卷2〔下〕一.选择题〔3分⨯10〕1.点()1,3,41M ,()2,1,72M 的距离=21M M 〔 〕. A.12 B.13 C.14 D.152.设两平面方程分别为0122=++-z y x 和05=++-y x ,则两平面的夹角为〔 〕. A.6π B.4π C.3π D.2π 3.函数()22arcsin yx z +=的定义域为〔 〕.A.(){}10,22≤+≤y x y xB.(){}10,22<+<y x y x C.()⎭⎬⎫⎩⎨⎧≤+≤20,22πy x y x D.()⎭⎬⎫⎩⎨⎧<+<20,22πy x y x 4.点()1,2,1--P 到平面0522=--+z y x 的距离为〔 〕. A.3 B.4 C.5 D.6 5.函数22232y x xy z --=的极大值为〔 〕. A.0 B.1 C.1- D.216.设223y xy x z ++=,则()=∂∂2,1xz 〔 〕.A.6B.7C.8D.9 7.若几何级数∑∞=0n nar是收敛的,则〔 〕.A.1≤rB.1≥rC.1<rD.1≤r8.幂级数()nn xn ∑∞=+01的收敛域为〔 〕.A.[]1,1-B.[)1,1-C.(]1,1-D. ()1,1- 9.级数∑∞=14sin n n na是〔 〕. A.条件收敛 B.绝对收敛 C.发散 D.不能确定二.填空题〔4分⨯5〕1.直线l 过点()1,2,2-A 且与直线⎪⎩⎪⎨⎧-==+=t z t y t x 213平行,则直线l 的方程为__________________________.2.函数xye z =的全微分为___________________________.3.曲面2242y x z -=在点()4,1,2处的切平面方程为_____________________________________.三.计算题〔5分⨯6〕1.设k j b k j i a32,2+=-+=,求.b a ⨯2.设22uv v u z -=,而y x v y x u sin ,cos ==,求.,y z x z ∂∂∂∂ 3.已知隐函数()y x z z ,=由233=+xyz x 确定,求.,yz x z ∂∂∂∂ 4.如图,求球面22224a z y x =++与圆柱面ax y x 222=+〔0>a 〕所围的几何体的体积. 四.应用题〔10分⨯2〕 1.试用二重积分计算由x y x y 2,==和4=x 所围图形的面积.试卷2参考答案一.选择题 CBABA CCDBA. 二.填空题1.211212+=-=-z y x . 2.()xdy ydx exy+.3.488=--z y x .4.()∑∞=-021n n n x . 5.3x y =. 三.计算题1.k j i238+-.2.()()()y y x y y y y x yz y y y y x x z 3333223cos sin cos sin cos sin ,sin cos cos sin +++-=∂∂-=∂∂ . 3.22,z xy xz y z z xy yz x z +-=∂∂+-=∂∂. 4.⎪⎭⎫ ⎝⎛-3223323πa . 5.x xe C eC y --+=221.四.应用题 1.316. 2. 00221x t v gt x ++-=. 《高等数学》试卷3〔下〕一、选择题〔本题共10小题,每题3分,共30分〕 2、设a=i+2j-k,b=2j+3k,则a 与b 的向量积为〔 〕 A 、i-j+2k B 、8i-j+2k C 、8i-3j+2k D 、8i-3i+k 3、点P 〔-1、-2、1〕到平面x+2y-2z-5=0的距离为〔 〕 A 、2 B 、3 C 、4 D 、5 4、函数z=xsiny 在点〔1,4π〕处的两个偏导数分别为〔 〕 A 、,22,22 B 、,2222- C 、22-22- D 、22-,225、设x 2+y 2+z 2=2Rx,则yzx z ∂∂∂∂,分别为〔 〕 A 、z y z R x --, B 、z y z R x ---, C 、zyz R x ,-- D 、zyz R x ,- 6、设圆心在原点,半径为R,面密度为22y x +=μ的薄板的质量为〔 〕〔面积A=2R π〕A 、R 2AB 、2R 2AC 、3R 2AD 、A R 221 7、级数∑∞=-1)1(n nnn x 的收敛半径为〔 〕A 、2B 、21C 、1D 、3 8、cosx 的麦克劳林级数为〔 〕A 、∑∞=-0)1(n n)!2(2n x n B 、∑∞=-1)1(n n )!2(2n x n C 、∑∞=-0)1(n n )!2(2n x n D 、∑∞=-0)1(n n)!12(12--n x n二、填空题〔本题共5小题,每题4分,共20分〕 1、直线L 1:x=y=z 与直线L 2:的夹角为z y x =-+=-1321___________. 直线L 3:之间的夹角为与平面062321221=-+=-+=-z y x zy x ____________. 2、〔0.98〕2.03的近似值为________,sin100的近似值为___________. 3、二重积分⎰⎰≤+Dy x D d 的值为1:,22σ___________. 4、幂级数的收敛半径为∑∞=0!n nx n __________,∑∞=0!n nn x 的收敛半径为__________. 三、计算题〔本题共6小题,每小题5分,共30分〕2、求曲线x=t,y=t 2,z=t 3在点〔1,1,1〕处的切线与法平面方程.3、计算⎰⎰===Dx y x y D ,xyd 围成及由直线其中2,1σ.4、问级数∑∞=-11sin )1(n n?,?n 收敛则是条件收敛还是绝对若收敛收敛吗 5、将函数f<x>=e 3x 展成麦克劳林级数四、应用题〔本题共2小题,每题10分,共20分〕 1、求表面积为a 2而体积最大的长方体体积.参考答案一、选择题1、D2、C3、C4、A5、B6、D7、C8、A9、B 10,A 二、填空题 1、218arcsin,182cosar 2、0.96,0.17365 3、л 4、0,+∞ 5、ycx cey x 11,22-== 三、计算题2、解:因为x=t,y=t 2,z=t 3, 所以x t =1,y t =2t,z t =3t 2, 所以x t |t=1=1, y t |t=1=2, z t |t=1=3 故切线方程为:312111-=-=-z y x 法平面方程为:〔x-1〕+2<y-1>+3<z-1>=0 即x+2y+3z=63、解:因为D 由直线y=1,x=2,y=x 围成, 所以 D :1≤y ≤2y ≤x ≤2 故:⎰⎰⎰⎰⎰=-==212132811)22(][dy y y dy xydx xyd yDσ4、解:这是交错级数,因为。
高等数学下册试题库一、选择题(每题4分,共20分)1. 已知A (1,0,2), B (1,2,1)是空间两点,向量 的模是:( A ) A )5 B ) 3 C ) 6 D )9解 AB ={1-1,2-0,1-2}={0,2,-1},||=5)1(20222=-++. 2. 设a ={1,-1,3}, b ={2,-1,2},求c =3a -2b 是:( B )A ){-1,1,5}.B ) {-1,-1,5}.C ) {1,-1,5}.D ){-1,-1,6}.解 (1) c =3a -2b =3{1,-1,3}-2{2,-1,2}={3-4,-3+2,9-4}={-1,-1,5}.3. 设a ={1,-1,3}, b ={2, 1, -2},求用标准基i , j , k 表示向量c=a-b ; ( A ) A )-i -2j +5k B )-i -j +3k C )-i -j +5k D )-2i -j +5k解c ={-1,-2,5}=-i -2j +5k .4. 求两平面032=--+z y x 和052=+++z y x 的夹角是:(C )A )2πB )4πC )3π D )π 解 由公式(6-21)有21112)1(211)1(1221cos 2222222121=++⋅-++⨯-+⨯+⨯=⋅⋅=n n n n α,因此,所求夹角321arccos πα==.5. 求平行于z 轴,且过点)1,0,1(1M 和)1,1,2(2-M 的平面方程.是:(D ) A )2x+3y=5=0 B )x-y+1=0 C )x+y+1=0 D )01=-+y x .解 由于平面平行于z 轴,因此可设这平面的方程为因为平面过1M 、2M 两点,所以有解得D B D A -=-=,,以此代入所设方程并约去)0(≠D D ,便得到所求的平面方程6.微分方程()043='-'+''y y y x y xy 的阶数是( D )。
高等数学(2)试题答案以及复习要点汇总一. 选择题 (每题3分,共15分)1. 设(,)f x y 具有一阶连续偏导数,若23(,)f x x x =,224(,)2x f x x x x =-,则2(,)y f x x = [ A ](A) 3x x + ; (B) 2422x x + ; (C) 25x x + ; (D) 222x x + 。
解:选A 。
23(,)f x x x = 两边对 x 求导:222(,)(,)23x y f x x f x x x x +⋅=,将 224(,)2x f x x x x =- 代入得 242222(,)3y x x xf x x x -+= ,故 23(,)y f x x x x =+ 。
2.已知()()dy y x x by dx x y axy 22233sin 1cos +++-为某二元函数的全微分,则a 和b 的值分别为 [ C ] (A) –2和2; (B) –3和3; (C)2和–2; (D) 3和–3;解:选C 。
x y axy yPxy x by x Q cos 236cos 22-=∂∂=+=∂∂ 2,2=-=a b3. 设∑为曲面z =2-(x 2+y 2)在xoy 平面上方的部分,则⎰⎰∑=zdS I =[ D ]()⎰⎰-+-2202220412)(rrdr r r d A πθ;()()⎰⎰+-22220412rdr r r d B πθ; ()()⎰⎰-22202rdr r d C πθ;()()⎰⎰+-22220412rdr r r d D πθ。
解:选D 。
()⎰⎰+-=22220412rdr r r d I πθ 。
4. 设有直线410:30x y z L x y --+=⎧⎨+-=⎩,曲面222z x y z =-+在点(1,1,1)处的切平面∏,则2直线L 与平面∏的位置关系是: [ C ] (A) L ⊂∏; (B) //L ∏; (C) L ⊥∏; (D) L 与∏斜交 。
高等数学下册试题及答案解析一、填空题(每小题3 分,共计 24 分)1、 z=log a ( x 2y 2) (a0)的定义域为 D=.ln( x 2 y 2 )dxdy2、二重积分 |x| | y| 1的符号为.3、由曲线y ln x及直线xy e 1, y1所围图形的面积用二重积分表示为,其值为.x (t ) (x ),y(t)4、设曲线 L 的参数方程表示为则弧长元素 ds.5、设曲面∑为 x2y29介于 z0 及 z3间的部分的外侧,则(x 2 y 2 1)ds.dyyy6、微分方程 dxtanx 的通解为.x7、方程 y(4 )4 y 0的通解为.18、级数 n 1 n( n1)的和为.二、选择题(每小题2 分,共计 16 分)1、二元函数zf ( x, y) 在 (x 0 , y 0 ) 处可微的充分条件是()(A ) f ( x, y) 在 ( x 0, y 0) 处连续;( B) f x( x, y), f y( x, y)在( x 0, y 0 )的某邻域内存在;zf x ( x 0 , y 0 ) x f y ( x 0 , y 0 ) y当( x)2( C )limz f x (x 0 , y 0 ) xf y ( x 0 , y 0 ) y 0x 0 ( x)2( y)2( D )y 0.u yf ( x)xf ( y),f2、设y x 其中 具有二阶连续导数,则( A )xy ; ( B ) x; (C) y;(D)0 .2 ( y)时,是无穷小;2u2ux2y2x y 等于(): x2y2z2IzdV3、设1, z0,则三重积分等于()2d 2d13sin cos dr(A )4r0 0;2dd12sin dr(B ) 0 r;22d1r 3sin cosdrd(C ) 0;2d1r 3sin cos drd(D ) 0.4、球面 x2y 2z 24a 2 与柱面 x 2y 22ax所围成的立体体积 V= ()42d2a cos4a2r 2dr( A );42 d2a cos 4a 2 r 2 drr ( B );82 d2 a cos 4a 2r2drr( C );2d2 a cos4a 2 r 2 drr( D )2.5、设有界闭区域 D 由分段光滑曲线 L 所围成, L 取正向,函数 P( x, y), Q (x, y) 在 D 上具有一阶连续偏导数,则Pdx Qdy( )L( P Q) dxdy(A ) Dyx ;( B ) ( P Q)dxdy(C ) Dxy ; (D )6、下列说法中错误的是()DDQ P()dxdyyx;(QP)dxdyxy.( A ) 方程xy2 y x 2 y 0是三阶微分方程;y dy x dyy sin x(B ) 方程 dxdx是一阶微分方程;( C ) 方程 ( x22xy 3 ) dx ( y 2 3x 2 y 2)dy 0 是全微分方程;dy 1 2y( D ) 方程 dx xx2 是伯努利方程 .7、已知曲线 y y( x)经过原点,且在原点处的切线与直线2xy 6平行,而y(x)满足微分方程y 2 y 5y,则曲线的方程为y ()( A ) e xsin 2x ;( B ) e x(sin 2xcos 2x) ;( C ) e x(cos 2 xsin 2 x) ;( D ) e xsin 2x .lim nu n 0, 则 n 1 u n8、设 n ( )( A )收敛; ( B )发散; ( C )不一定;( D )绝对收敛 .三、求解下列问题(共计 15 分)1、( 7 分)设f , g均为连续可微函数 .uu , uf ( x , xy ), vg ( xxy ) ,求 xy .u( x,t )x tu ,ux f (z)dzt四、求解下列问题(共计 15分).22y 2 dy1、计算Idx ex.( 7 分)I(x 2 y 2 )dV是由x2y22z, z 1及 z2所围成的空间闭区域( 8分).2、计算,其中Ixdy ydxL22五、 ( 13 分)计算 xy,其中 L 是xoy面上的任一条无重点且分段光滑不经过原点O (0,0)的封闭曲线的逆时针方向 .f ( x) f ( y)x, y, f ( x) 满足方程f (x y)六、 ( 9 分)设对任意 1 f ( x) f ( y) ,且 f (0) 存在,求 f ( x) .( 1)n ( x2) 2n1七、( 8 分)求级数 n 12n 1 的收敛区间 .高等数学(下册)试卷(二)一、填空题(每小题 3 分,共计 24 分)zz1、设 2sin( x2y 3z)x 2 y 3z ,则 xy.39 xylimxy x 02、y.I2 2 x f ( x, y)dydxxI3、设,交换积分次序后,.lim 1 3f ( x 2 y 2 )d4、设 f (u) 为可微函数,且f (0)tt.0, 则x 2 y 2 t 25、设 L 为取正向的圆周x 2y24,则曲线积分y( ye x1)dx (2 ye x x)dyL.6、设A( x2yz) i ( y2xz) j (z2xy) k,则 div A.7、通解为yc 1e xc 2e2 x的微分方程是.f ( x)1,x0 xa n8、设1, ,则它的 Fourier 展开式中的 .二、选择题(每小题 2 分,共计16分).f ( x, y)xy 2 , x 2 y 2 0x 2 y 41、设函数0,x 2y 2),则在点( 0, 0)处( ( A )连续且偏导数存在;( C )不连续但偏导数存在;2、设u(x, y)在平面有界区域2u2ux y及 x2则()( B )连续但偏导数不存在; (D )不连续且偏导数不存在 .D 上具有二阶连续偏导数,且满足2uy 2,( A )最大值点和最小值点必定都在 D 的内部;( B )最大值点和最小值点必定都在 D 的边界上; ( C )最大值点在 D 的内部,最小值点在 D 的边界上; ( D )最小值点在 D 的内部,最大值点在 D 的边界上 .D : ( x 2) 2 ( y 1) 21,若 I 1( x y) 2 dI 2( x y)3 d3、设平面区域D,D则有( )(A )I 1I2; (B ) I 1 I 2 ;(C ) I 1I 2 ; (D )不能比较 .是由曲面zxy, y x, x 1及 z所围成的空间区域,则xy 2 z 3 dxdydz4、设=()1111(A )361; (B )362; (C )363; (D )364.x (t)5、设f ( x, y)在曲线弧 L 上有定义且连续, L 的参数方程为y(t) (t),其中(t ), (t ) 在 [ ,]上具有一阶连续导数,且2(t )2(t ), 则曲线积分f ( x, y)dsL()f ( (t), (t))dt(B)f ( (t ), (t))2(t )2(t) dt(A);; (C)f ( (t ), (t ))2(t ) 2(t )dt; (D)f ( (t ), (t ))dt.6、设是取外侧的单位球面 x 2 y 2 z 21, 则曲面积分xdydz ydzdx zdxdy=()(A)0 ; (B)2; (C); (D)4.7、下列方程中,设y 1, y2是它的解,可以推知(A) y p(x) y q( x) 0 ;(B)y(C) yp(x) y q( x) y f (x) ; (D)a ny 1y2 也是它的解的方程是( )p(x) y q(x) y 0 ;yp( x) y q(x) 0 .8、设级数 n 1 为一交错级数,则( ) (A) 该级数必收敛; (B) 该级数必发散;(C) 该级数可能收敛也可能发散;(D) 若a n0 ( n0),则必收敛.三、求解下列问题(共计 15 分)1、( 8 分)求函数uln( xy2z 2 )在点 A ( 0, 1,0)沿 A 指向点 B ( 3, -2, 2)的方向的方向导数 .2、( 7 分)求函数f ( x, y)x 2 y(4 x y) 在由直线 x y6, y 0, x 0 所围成的闭区域D 上的最大值和最小值 .四、求解下列问题(共计15 分)dvI31、( 7 分)计算(1 x y z),其中是由x0, y 0, z 0 及 xy z 1所围成的立体域 .2、( 8 分)设f (x)为连续函数,定义 F (t )[ z 2f ( x 2 y 2 )]dv,( x, y, z) | 0 z h, x2y2t2dF其中,求dt.五、求解下列问题( 15 分) 1、( 8 分)求I(e x sin y my)dx (e x cos y m)dy,其中 L 是从 A ( a , 0)经yax x2L到O (0, 0)的弧 .Ix 2 dydz y 2 dzdx z 2 dxdy是 x2y2z 2 (0 z a) 的外侧 .2、( 7 分)计算,其中六、( 15 分)设函数( x)具有连续的二阶导数,并使曲线积分[ 3 (x) 2(x) xe 2x ] ydx( x)dyL与路径无关,求函数( x).高等数学(下册)试卷(三)一、填空题(每小题3 分,共计 24 分)uyz t2dtue1、设xz, 则z.2、函数 f (x, y)xy sin( x 2y) 在点( 0, 0)处沿 l(1,2) 的方向导数f (0,0)l=.x2y 2, zIf ( x, y, z) dv3、设为曲面z1 0所围成的立体,如果将三重积分化为先对 z再对 y最后对 x三次积分,则 I=.lim1f (x, y)d22224、设f ( x, y)为连续函数,则It 0 tD,其中D : xyt .( x 2y 2 )dsL : x 2y 2a25、 L,其中.6、设是一空间有界区域,其边界曲面是由有限块分片光滑的曲面所组成,如果函数P(x, y, z) , Q ( x, y, z) , R(x, y, z) 在上具有一阶连续偏导数,则三重积分与第二型曲面积分之间有关系式:, 该关系式称为 公式 .7、微分方程y6 y 9 yx26x9 的特解可设为 y *.( 1) n 18、若级数 n 1np发散,则 p.二、选择题(每小题 2 分,共计 16 分)f ( x a, b)f (a x, b)lim1、设 f x (a, b) 存在,则 x 0x=( )1(A ) f x(a,b);( B ) 0;( C ) 2 f x(a,b);( D )2f x(a,b).2、设zx y 2 ,结论正确的是()2z2z2z 2z( A )x yy x; ( B )x yy x;2 z2 z( C )x yy x; ( D )3、若f ( x, y)为关于 x的奇函数,积分域2z2zx y y x.D 关于 y轴对称,对称部分记为D 1, D2 ,f ( x, y)在D 上连f ( x, y)d续,则D()f (x, y) df ( x, y)df ( x, y)d(A )0;( B )2 D 1;( C )4 D 1; (D)2 D 2.: x2y2z2R 2 ,则( x 2 y 2 )dxdydz4、设=( )8 R 54 R5 8 R516 R 5(A )3; (B )3; (C ) 15 ; (D ) 15 .5、设在xoy面内有一分布着质量的曲线L ,在点( x, y)处的线密度为( x, y) ,则曲线弧 L 的重心的 x坐标 x为()1 x ( x, y)ds1x ( x, y)dx(A) x =M; (B ) x =MLL;x ( x, y)ds1xds( C ) x= L;( D ) x =ML, 其中 M 为曲线弧 L的质量 .6、设为柱面 x2y 21和 x0, y 0, z1在第一卦限所围成部分的外侧,则曲面积分y 2 zdxdy xzdydz x 2 ydxdz=( )5( A ) 0; (B ) 4; (C )24; (D ) 4.7、方程y2 yf ( x)的特解可设为( )( A ) A ,若 f ( x) 1; ( B ) Ae x,若f (x)e x ; ( C ) Ax4Bx3Cx 2DxE ,若 f ( x) x 22x ;( D ) x( Asin 5x B cos5x) ,若 f (x)sin 5x .f (x)1,x 010 x,则它的 Fourier 展开式中的a n等于(8、设)2 [1 ( 1) n ]14( A )n; ( B )0; ( C ) n ; ( D ) n.y f (x, t),t确定的 x, y的函数,其中f , F具有一阶连续偏三、 (12分)设为由方程 F (x, y, t) 0 dydx .导数,求四、 (8分)在椭圆x 24y 24上求一点,使其到直线2x 3y 6 0的距离最短 .五、 (8分)求圆柱面x 2 y 22y被锥面zx 2y 2和平面z 0 割下部分的面积A .Ixyzdxdy为球面 x2y 2 z 2 1 的 x 0, y部分六、(12分)计算,其中的外侧 .df (cos x) 1 sin 2 x七、 ( 10 分)设d (cos x),求 f (x) .八、( 10 分)将函数f ( x) ln(1 xx 2x 3 )展开成x 的幂级数 .高等数学(下册)试卷(四)一、填空题(每小题 3 分,共计 24 分)1、由方程xyzx2y2z22所确定的隐函数z z(x, y)在点( 1, 0,-1)处的全微分dz.2、椭球面 x22 y23z26在点( 1,1, 1 )处的切平面方程是.x 2, yI(1 x 2 )dxdy3、设 D 是由曲线 yx2所围成,则二重积分D.4、设是由 x2y24, z 0, z4所围成的立体域,则三重积分I( x 2y 2 )dv=.5、设是曲面zx 2 y 2 介于z 0, z 1之间的部分,则曲面积分I(x 2y 2 )ds.x 2 dsx2y 2z 2a 26、 xy z 0.7、已知曲线 yy( x) 上点 M(0,4) 处的切线垂直于直线 x 2 y 5 0 ,且 y( x)满足微分方程 y 2yy,则此曲线的方程是 .8、设f (x)是周期 T= 2的函数,则f ( x)的 Fourier 系数为.二、选择题(每小题 2 分,共计 16 分)zarcsinyxy1、函数x的定义域是( )( A ) (x, y) | x y , x 0 ; (B ) ( x, y) | x y , x 0 ;( C )(x, y) | xy 0, x 0(x, y) | x y0, x 0 ;( D ) (x, y) | x 0, y 0( x, y) | x 0, y 0 .2、已知曲面 z4 x 2y 2 在点 P 处的切平面平行于平面2x 2 y z 1 0,则点 P 的坐标是( )( A )( 1,-1, 2); ( B )( -1, 1, 2);( C )( 1, 1,2); (D )( -1, -1, 2) .3、若积分域 D 是由曲线yx 2 及y2 x 2f (x, y)d所围成,则 D=()12 x21x2(A ) 1dx x21yf ( x, y)dy( B ) 1dx 2 x 2 ;2 x 21f (x, y)dy;( C )dy2 yf ( x, y) dx;( D ) x 2dy1 f ( x, y)dx .4、设1: x2y 2z 2R 2, z 0;2: x2 y2z 2R 2, x 0, y 0, z 0,则有()( A )xdv 4 xdv( B )ydv4ydv12;12;( C )xyzdv4 xyzdv( D )zdv4zdv12;12.5、设 为由曲面zx2y 2及平面 z 1所围成的立体的表面,则曲面积分( x2y 2 )ds =( )122( A )2; (B ) 2; (C )2; (D )0 .6、设是球面 x2y 2z 2a 2 表面外侧,则曲面积分x 3 dydz y 3 dzdx z 3 dxdy=( )12a 312a 54 a 5(A )5;(B )5;(C )5; (D )k7、一曲线过点 (e,1),且在此曲线上任一点 M ( x, y) 的法线斜率()12a 55.x ln x xy ln x ,则此曲线方程为yx x ln(ln x)yx x ln xee( A );(B );yx ln(ln x)( C )yex x ln(ln x) ;e( D ).( n 1) x n8、幂级数 n 1的收敛区间为()( A )( -1, 1); (B )(,); ( C )( -1, 1); ( D ) [-1 , 1].uyf ( x) xg( y)三、(10分)已知函数yx ,其中f , g具有二阶连续导数,求2u 2 ux yx 2x y的值 .四、(10分)证明:曲面xyzc 3 (c0)上任意点处的切平面与三坐标面所围成立体的体积为一定值 .五、(14分)求抛物面z 4 x 2y 2 的切平面,使得与该抛物面间并介于柱面( x 1)2y21内部的部分的体积为最小 .I(e x sin y y)dx (e x cos y x)dy2六、(10分)计算 L,其中L为y4 x由A(2,0)至B(-2,0)的那一弧段.y2 y y 2 七、(8分)求解微分方程1 =0 .x n八、(8分)求幂级数n 1n的和函数S( x).高等数学(下册)试卷(五)一、填空题(每小题 3 分,共计 24 分)1、设zf (x, y) 是由方程 zy x xez y x所确定的二元函数,则dz.x 2 y 2z 2 3x 02、曲线2x 3y 5z 4 0在点(1,1,1)处的切线方程是 .是由 x2y2z21,则三重积分e z dv3、设=.a y4、设f ( x)为连续函数,a, m是常数且 a 0 ,将二次积分dye m(a x)f ( x)dx化为定积分为.Pdx Qdy与积分路径L( AB)无关的充要条件为5、曲线积分 L(AB).6、设 为 za 2 x 2 y 2 ,则 ( x 2 y 2z 2 ) ds.7、方程y3y e 2 x 的通解为.a nb n(a n b n ).8、设级数 n 1 收敛, n 1 发散,则级数 n 1必是二、选择题(每小题 2 分,共计 16 分)x 2 y ,(x, y) (0,0)f ( x, y)x 2 y 21、设0,( x, y)(0,0),在点(0,0)处,下列结论()成立 .(A)有极限,且极限不为 0;(B)不连续; (C)f x(0,0)f y (0,0) 0 ;(D)可微 .2、设函数(A)2f2zf ( x, y) 有 y 2,且 f ( x,0) 1, f y( x,0) x,则 f ( x, y) =()1 xy y 2; (B)1xy y 2; (C) 1 x 2yy2 ;(D)1x 2 y y 2 .3、设D: 1 x2y 24, f在 D 上连续,则f ( x 2 y 2 ) dD在极坐标系中等于()22rf (r )dr2 22)dr1rf (r(A);(B)1;2 [2r 2f (r )dr1r 2f ( r )dr ]2 [2rf (r 2 )dr1rf (r 2 )dr ](C); (D).4、设是由x0, y 0, z 0 及 x 2y z1所围成,则三重积分xf ( x, y, z)dv ( )1 1 yx 2 ydx12 dz(A)111 x2 yxf ( x, y, z)dy;dxdyxf ( x, y, z)dz(B);11 x1 x2 ydx2dyxf ( x, y, z)dz(C);11 dy1dx xf (x, y, z)dz(D) 0.5、设是由x0, y 0, z 0, x 1y1, z 1所围立体表面的外侧,则曲面积分xdydz ydzdxzdxdy ( )(A) 0;(B) 1; (C) 3;(D) 2.6、以下四结论正确的是()(x2 y2 z2 ) dv 4 a 5 (A)x2 y 2 z2 a23 ;x2 y 2 z2 ds 4 a 4 ;(B) x2 y2 z2 a2( x2 y2 z2 )dxdy 4 a 4 (C)x2 y 2 z2 a2外侧;(D)以上三结论均错误 .7、设g ( x)具有一阶连续导数,g(0)1.并设曲线积分yg ( x) tan xdx g( x)dyL与积分路径( , )g( x) dy ( )4 4 yg( x) tan xdx无关,则(0,0 )2 2 2 2(A) 2 ;(B) 2 ;(C)8 ;(D)8 .( 1) n 18、级数n 1 2n 1 的和等于()(A) 2/3;(B) 1/3;(C) 1;(D) 3/2.三、求解下列问题(共计15分)u u u1、(8分)设ux yz ,, 求x y z .u f ( x,y)(7分)设y z,f具有连续偏导数,求du.四、求解下列问题(共计15分)I af (x) bf ( y) d2 y 2 R 21、(8分)计算D f (x) f ( y),其中D : x .I ( x y z 1) dv(7分)计算,其中 : x2 y 2 z2 R 2 .五、(15分)确定常数,使得在右半平面x0 上,2 xy( x 4 y 2 ) dx x 2 ( x 4y 2 ) dyu( x, y) .L与积分路径无关,并求其一个原函数1 xf ( x)x)3六、 (8分)将函数(1 展开为 x的幂级数 .七、 (7分)求解方程y6y9y.高等数学(下册)试卷(六)一、单选题(共 15 分,每小题 3 分)1.设函数 f ( x, y) 在 P( x 0 , y 0 )的两个偏导 f x ( x 0 , y 0 ) , f y( x 0, y 0)都存在,则( )A .f ( x, y)在 P 连续B .f (x, y)在 P 可微lim f ( x, y 0 ) lim f ( x 0 , y) C . x x 0及 y y 02.若zy ln x ,则dz等于( y ln x ln y y ln x ln yA. x yC . y ln x ln ydxy ln x ln y dyxlim f ( x, y)都存在D . ( x, y ) ( x 0 , y 0 ) 存在).B.y ln xln yxy ln x ln yy ln x ln xD.dxdyxy是圆柱面 x2y 22x 及平面 z 0, z1所围成的区域,则f (x, y, z) dxdydz (3.设).A.2d2 cos1f (r cos , r sin , z)dzB.2d2cos rdr 1f (r cos , r sin , z)dz0 dr0 02d2 cos12cos x rdr1C.rdrf (r cos , r sin , z)dzD . df (r cos , r sin , z)dz2a n (x 1)n1 处收敛,则此级数在 x2 处( 4. 4.若 n 1 在 x).A . 条件收敛B . 绝对收敛C . 发散D . 敛散性不能确定x y z 25.曲线 z x 2y 2在点( 1,1, 2)处的一个切线方向向量为( ) .A. ( -1, 3, 4)B. ( 3, -1, 4)C. ( -1, 0, 3)D. ( 3, 0,-1)二、填空题(共 15 分,每小题 3 分)edxln xIf ( x, y)dyI2.交 换 1的积分次序后, _____________________ .z23.设u2xy,则 u 在点M ( 2, 1,1)处的梯度为.e xx nn! ,则 xe x4. 已知 n 0. 5. 函数zx 3y 3 3x 2 3y 2 的极小值点是.三、解答题(共 54 分,每小题 6--7 分)z y arctanyzzy .1.(本小题满分 6 分)设x , 求 x,2.(本小题满分 6 分)求椭球面2x 23y2z29 的平行于平面 2x 3y 2z 1的切平面方程,并求切点处的法线方程r1 r 3 r3. (本小题满分 7 分)求函数z x 2y 2 在点 (1,2) 处沿向量l 2i2 j方向的方向导数 .1f ( x)3的幂级数,并求收敛域 .4. (本小题满分 7 分)将x展开成x5.(本小题满分 7 分)求由方程2x 2 2y 2 z 2 8yz z 8 0 所确定的隐函数 z z(x, y)的极值 .(x 2y 2 )d , D 由曲线 x1 y2 , y1, y 16.(本小题满分 7 分)计算二重积分 D及 x2 围成 .xy 2 dy x 2 ydx22 2Lxa向) .xydxdydz是由柱面 x2y21 及平面 z 1, x 0, y所围成8. (本小题满分 7 分)计算 ,其中且在第一卦限内的区域 ..四、综合题(共 16 分,每小题 8 分)u n ,v n(u n v n )21.(本小题满分 8 分)设级数 n 1n 1都收敛,证明级数 n 1收敛 .f2xf ( x, y) 在 R 2内具有一阶连续偏导数,且x2.(本小题满分 8 分)设函数,证明曲线积分2xydx f ( x, y)dyt 恒有L与路径无关.若对任意的( t ,1)f ( x, y) dy(1, t )f ( x, y)dy2xydx2xydx(0,0)(0,0),求f ( x, y)的表达式.高等数学(下册)试卷(一)参考答案一、 1、当 0 a 1时,x 2y 21;当a 1 时, x 2 y 2 1 ;1 e 1 yddye ydx;3222、负号;3、 D24、(t )(t )dt ;y;Cxsin5、 180 ;6、 x;7、yC 1 cos 2x C 2 sin 2x C 3 e 2 x C 4 e2 x ;8、 1;二、 1、 D ; 2、 D ; 3、C ; 4、B ; 5、D ; 6、 B ; 7、 A ; 8、C ;uf 1 yf 2uxg (xxy )三、 1、xy;;uf (x t)f (x t )uf (xt) f (x t )2、xt;;22e y2dy 2 y y 2dx2y2dy 1 (1 e 4)dxdyeye2四、1、 0x; 柱面坐标22 23dz 22 dr 23dz 14I0 ddrrd 2 1 2 r1r32、2;五、令Py ,QxPy 2 x 2Qx 2y 2 x 2y 2 则 y ( x 2y 2 )2x , ( x, y) (0,0) ;P , Q于是①当 L 所围成的区域 D 中不含 O ( 0, 0)时,yx在 D 内连续 .所以由 Green 公式得:P , QI=0 ;②当 L 所围成的区域 D 中含 O ( 0,0)时, yx在 D 内除 O ( 0,0)外都连续,此时作曲线l为 x2y22( 01),逆时针方向,并假设D * 为 L 及 l 所围成区域,则ILl l L l Green 公式 (QP) dxdy 2lD *xy x 2 y 22六、由所给条件易得:f (0)2 f (0) f (0)1f 2( 0)f (x)lim f ( xx) f ( x) 又x 0xlim1 f2 ( x)f ( x)f ( x) f (x)x x 01f ( x) f (0)即1f 2 ( x)arctan f ( x) f ( 0) xc 即 又 f (0) 0 即 c k , k Zf (x) f ( x)f ( x)lim 1 f ( x) f ( x)= x 0 xf ( 0)f (0)[1 f 2 ( x)]f ( x) tan[ f (0) x c] f ( x) tan( f (0)x)( 1) nt 2n1七、令x 2 t,考虑级数n 12n 1t 2 n3lim 2n 3 t 2t 2 n 1n2n 1当 t 21即t1时,亦即 1x3时所给级数绝对收敛;当t 1即 x3 或 x 1 时,原级数发散;当t1即 x1时,级数n( 1) n 11 12n 1 收敛;(1) n 11收敛;当 t 1 即 x 3 时,级数 n 12n级数的半径为 R=1,收敛区间为 [1, 3].高等数学(下册)试卷(二)参考答案2y42dyf ( x, y)dxdy一、 1、 1; 2、-1/6 ; 3、y / 22 y / 2f ( x, y)dx2 f (0);4、3;5、 8; 6、2(x y z); 7、yy2 y;8、 0;二、 1、C ; 2、B ; 3、A ; 4、D ; 5、C ; 6、 D ; 7、B ; 8、C ;三、 1、函数uln( xux AxuAyxuz Ax而 l ABuul Axy 2 z 2 )在点 A ( 1,0, 1)处可微,且1 (1,0,1)y 2z 21/ 2;1y (1,0 ,1)y 2z 2y 2z 2;1z(1,0 ,1)1/ 2y 2z 2 y 2z 2l 2 2 1(2, 2,1), ( ,, ),故在 A 点沿 l AB方向导数为:所以33 3uA cosuAcosAcos + y+ z1 2 0 ( 2 1 1 1/ 2.2 3 ) 2 33 f x 2xy(4 x y) xy( 1) 0f y x 2 (4 x 2 y)得 D 内的驻点为M 0 (2,1),且 f (2,1)4,2、由又 f (0, y) 0, f (x,0) 0而当xy 6, x 0, y0 时, f ( x, y) 2x 312 x 2(0 x 6)令(2 x 312x 2 ) 0 得 x 10, x 2 4于是相应y 16, y 2 且 f (0,6) 0, f (4,2)64.17/180 x 1: 0y x 1四、 1、的联立不等式组为0 z 1 x ydz11 x1 x yIdxdy 0(1x yz)3所以11 1 x [112dxxy) 2]dy0 0(1 41 1 13 x )dx 1ln 252(4 216x 12、在柱面坐标系中2t ht21 32[hf ( r ) rr ] drF (t )ddr [ z 2f ( r 2)] rdzh3所以dF 2 [hf (t 2)t 1h 3t ] 2 ht[ f (t 2 ) 1 h 2 ]dt3 3五、 1、连接 OA ,由 Green 公式得:。
一.选择题(3分⨯10)1.点1M ()1,3,2到点()4,7,22M 的距离=21M M ( ).A.3B.4C.5D.62.向量j i b k j i a+=++-=2,2.则有( ).A.a ∥bB.a ⊥bC.3,π=b aD.4,π=b a3.函数1122222-++--=y x y x y 的定义域是( ).A.(){}21,22≤+≤y x y x B.(){}21,22<+<y x y xC.(){}21,22≤+<y xy x D (){}21,22<+≤y x y x4.两个向量a 与b垂直的充要条件是( ).A.0=⋅b aB.0 =⨯b aC.0 =-b aD.0 =+b a5.函数xy y x z 333-+=的极小值是( ). A.2 B.2- C.1 D.1- 6.设y x z sin =.则⎪⎭⎫ ⎝⎛∂∂4,1πyz =( ).A.22 B.22- C.2 D.2- 7.若p 级数∑∞=11n pn收敛.则( ). A.p 1< B.1≤p C.1>p D.1≥p8.幂级数∑∞=1n nn x 的收敛域为( ).A.[]1,1- B ()1,1- C.[)1,1- D.(]1,1-9.幂级数nn x ∑∞=⎪⎭⎫⎝⎛02在收敛域内的和函数是( ).A.x -11 B.x -22 C.x -12 D.x-2110.微分方程0ln =-'y y y x 的通解为( ).A.xce y = B.xe y = C.xcxe y = D.cxe y =二.填空题(4分⨯5)1.一平面过点()3,0,0A 且垂直于直线AB .其中点()1,1,2-B .则此平面方程为______________________.2.函数()xy z sin =的全微分是______________________________.3.设13323+--=xy xy y x z .则=∂∂∂yx z2_____________________________. 4.x+21的麦克劳林级数是___________________________. 5.微分方程044=+'+''y y y 的通解为_________________________________. 三.计算题(5分⨯6)1.设v e z usin =.而y x v xy u +==,.求.,yz x z ∂∂∂∂ 2.已知隐函数()y x z z ,=由方程05242222=-+-+-z x z y x 确定.求.,yz x z ∂∂∂∂ 3.计算σd y x D⎰⎰+22sin .其中22224:ππ≤+≤y x D . 4.如图.求两个半径相等的直交圆柱面所围成的立体的体积(R 为半径).5.求微分方程xey y 23=-'在00==x y条件下的特解.四.应用题(10分⨯2)1.要用铁板做一个体积为23m 的有盖长方体水箱.问长、宽、高各取怎样的尺寸时.才能使用料最省?2..曲线()x f y =上任何一点的切线斜率等于自原点到该切点的连线斜率的2倍.且曲线过点⎪⎭⎫ ⎝⎛31,1.求此曲线方程试卷1参考答案一.选择题 CBCAD ACCBD 二.填空题1.0622=+--z y x .2.()()xdy ydx xy +cos .3.19622--y y x .4.()n n n n x ∑∞=+-0121.5.()xe x C C y 221-+= .三.计算题 1.()()[]y x y x y e xzxy +++=∂∂cos sin .()()[]y x y x x e y z xy +++=∂∂cos sin . 2.12,12+=∂∂+-=∂∂z yy z z x x z . 3.⎰⎰=⋅πππρρρϕ202sin d d 26π-.4.3316R . 5.x xe ey 23-=.四.应用题1.长、宽、高均为m 32时.用料最省.2..312x y =《高数》试卷2(下)一.选择题(3分⨯10)1.点()1,3,41M .()2,1,72M 的距离=21M M ( ). A.12 B.13 C.14 D.152.设两平面方程分别为0122=++-z y x 和05=++-y x .则两平面的夹角为( ). A.6π B.4π C.3π D.2π 3.函数()22arcsin yx z +=的定义域为( ).A.(){}10,22≤+≤y x y x B.(){}10,22<+<y x y x C.()⎭⎬⎫⎩⎨⎧≤+≤20,22πy x y x D.()⎭⎬⎫⎩⎨⎧<+<20,22πy x y x 4.点()1,2,1--P 到平面0522=--+z y x 的距离为( ). A.3 B.4 C.5 D.6 5.函数22232y x xy z --=的极大值为( ). A.0 B.1 C.1- D.21 6.设223y xy x z ++=.则()=∂∂2,1xz ( ).A.6B.7C.8D.9 7.若几何级数∑∞=0n nar是收敛的.则( ).A.1≤rB. 1≥rC.1<rD.1≤r8.幂级数()nn xn ∑∞=+01的收敛域为( ).A.[]1,1-B.[)1,1-C.(]1,1-D. ()1,1-9.级数∑∞=14sin n n na是( ). A.条件收敛 B.绝对收敛 C.发散 D.不能确定二.填空题(4分⨯5)1.直线l 过点()1,2,2-A 且与直线⎪⎩⎪⎨⎧-==+=t z t y t x 213平行.则直线l 的方程为__________________________.2.函数xye z =的全微分为___________________________.3.曲面2242y x z -=在点()4,1,2处的切平面方程为_____________________________________.4.211x+的麦克劳林级数是______________________. 三.计算题(5分⨯6)1.设k j b k j i a32,2+=-+=.求.b a ⨯2.设22uv v u z -=.而y x v y x u sin ,cos ==.求.,y z x z ∂∂∂∂ 3.已知隐函数()y x z z ,=由233=+xyz x 确定.求.,yz x z ∂∂∂∂ 4.如图.求球面22224a z y x =++与圆柱面ax y x 222=+(0>a )所围的几何体的体积.四.应用题(10分⨯2) 1.试用二重积分计算由x y x y 2,==和4=x 所围图形的面积.试卷2参考答案一.选择题 CBABA CCDBA. 二.填空题 1.211212+=-=-z y x . 2.()xdy ydx exy+.3.488=--z y x .4.()∑∞=-021n n nx .5.3x y =. 三.计算题1.k j i238+-.2.()()()y y x y y y y x yz y y y y x x z 3333223cos sin cos sin cos sin ,sin cos cos sin +++-=∂∂-=∂∂ . 3.22,z xy xz y z z xy yz x z +-=∂∂+-=∂∂. 4.⎪⎭⎫ ⎝⎛-3223323πa . 四.应用题 1.316.《高等数学》试卷3(下)一、选择题(本题共10小题.每题3分.共30分) 1、二阶行列式 2 -3 的值为( )4 5A 、10B 、20C 、24D 、222、设a=i+2j-k,b=2j+3k.则a 与b 的向量积为( ) A 、i-j+2k B 、8i-j+2k C 、8i-3j+2k D 、8i-3i+k3、点P (-1、-2、1)到平面x+2y-2z-5=0的距离为( ) A 、2 B 、3 C 、4 D 、54、函数z=xsiny 在点(1.4π)处的两个偏导数分别为( )A 、,22 ,22 B 、,2222- C 、22- 22- D 、22- ,22 5、设x 2+y 2+z 2=2Rx.则yzx z ∂∂∂∂,分别为( ) A 、z y z R x --, B 、z y z R x ---, C 、zyz R x ,-- D 、zyz R x ,- 6、设圆心在原点.半径为R.面密度为22y x +=μ的薄板的质量为( )(面积A=2R π)A 、R 2AB 、2R 2AC 、3R 2A D 、A R 221 7、级数∑∞=-1)1(n nnn x 的收敛半径为( )A 、2B 、21C 、1D 、3 8、cosx 的麦克劳林级数为( )A 、∑∞=-0)1(n n)!2(2n x n B 、∑∞=-1)1(n n )!2(2n x n C 、∑∞=-0)1(n n )!2(2n x n D 、∑∞=-0)1(n n)!12(12--n x n9、微分方程(y``)4+(y`)5+y`+2=0的阶数是( ) A 、一阶 B 、二阶 C 、三阶 D 、四阶 10、微分方程y``+3y`+2y=0的特征根为( ) A 、-2.-1 B 、2.1 C 、-2.1 D 、1.-2 二、填空题(本题共5小题.每题4分.共20分) 1、直线L 1:x=y=z 与直线L 2:的夹角为z y x =-+=-1321___________。
《高等数学》试卷1(下)一.选择题(3分10)1.点M12,3,1到点M22,7,4的距离M1M2().A.3B.4C.5D.62.向量ai2jk,b2ij,则有().A.a∥bB.a⊥bC. a,bD.3 a,b43.函数122y2xy的定义域是().22xy12y2y22A.x,y1x2B.x,y1x22y2y22C.x,y1x2Dx,y1x24.两个向量a与b垂直的充要条件是().A.ab0B.ab0C.ab0D.ab0335.函数zxy3xy 的极小值是().A.2B.2C.1D.16.设zxsiny,则zy 1, 4=().A.22B.22C.2D.27.若p级数n1 1 pn收敛,则().A.p1B.p1C.p1D.p18.幂级数n1nxn的收敛域为().A.1,1B1,1C.1,1D.1,19.幂级数nx02n在收敛域内的和函数是().1221A.B.C.D.1x2x1x2x 10.微分方程xyylny0的通解为().A. xyceB.xyeC.xycxeD. ycxe二.填空题(4分5)1.一平面过点A0,0,3且垂直于直线AB,其中点B2,1,1,则此平面方程为______________________.2.函数zsinxy的全微分是______________________________.3yxy3xy2 3.设zx31,则2zxy_____________________________.1的麦克劳林级数是___________________________.4.2x三.计算题(5分6)zzu sin,而uxy,vxy,求,.1.设zevxyzz2yzxz222.已知隐函数zzx,y由方程x24250确定,求,.xy22 3.计算sinxyd,其中24222 D:xy.D4.求两个半径相等的直交圆柱面所围成的立体的体积(R为半径).四.应用题(10分2)1.要用铁板做一个体积为23m的有盖长方体水箱,问长、宽、高各取怎样的尺寸时,才能使用料最省?.试卷1参考答案一.选择题CBCADACCBD二.填空题1.2xy2z60.2.cosxyydxxdy.2yy23.6x91.4.n0n1n12nx.11.y2x CCxe1.2三.计算题zxyzxy4.eysinxycosxy,exsinxycosxy.xy5.zx2zx1,zy2zy1.6.22dsind26.7.1633R.8.y3xe2ex.四.应用题5.长、宽、高均为m32时,用料最省.126.yx.3《高数》试卷2(下)一.选择题(3分10)2.点M14,3,1,M27,1,2的距离M1M2().A.12B.13C.14D.153.设两平面方程分别为x2y2z10和xy50,则两平面的夹角为().A.B.C.D.64324.函数22zarcsinxy的定义域为().2y2y22A.x,y0x1B.x,y0x1C. 2y2x,y0xD.2 x,y0x 2y225.点P1,2,1到平面x2y2z50的距离为().A.3B.4C.5D.66.函数222z2xy3xy的极大值为().A.0B.1C.1D. 1 212.设z 23xyy2zx,则1,2x().A.6B.7C.8D.913.若几何级数nar是收敛的,则(). n0A.r1B.r1C.r1D.r114.幂级数nn1x的收敛域为().n0A.1,1B.1,1C.1,1D.1,115.级数sinnn1n a4 是().A.条件收敛B.绝对收敛C.发散D.不能确定二.填空题(4分5)x3t9.直线l过点A2,2,1且与直线yt 平行,则直线l的方程为__________________________.z12t10.函数xyze的全微分为___________________________.11.曲面242z2xy在点2,1,4处的切平面方程为_____________________________________.三.计算题(5分6)7.设ai2jk,b2j3k,求ab.8.设zz 2zu,而uxcosy,vxsiny,求,.2vuvxyzz3xyz9.已知隐函数zzx,y由x32确定,求,.xy10.如图,求球面2y2z24a22 2x与圆柱面xy2ax(a0)所围的几何体的体积.四.应用题(10分2)16.试用二重积分计算由yx ,y2x 和x4所围图形的面积.试卷2参考答案一.选择题CBABACCDBA. 二.填空题 12.x 2y2z 112 1 . xy13.eydxxdy.14.8x8y z4.15.1n0nx 2n. 16.3 yx. 三.计算题11.8i3j2k.z 2z 333312.3xsinycosycosysiny,2xsinycosysinycosyxsinycosy .xy zyzzxz 13.2,2xxyzyxyz. 14. 3232 a.323 15. 2xxCeyCe21.四.应用题17. 16 3.12xgtvtx.2.002《高等数学》试卷3(下)一、选择题(本题共10小题,每题3分,共30分) 2、设a=i+2j-k,b=2j+3k ,则a 与b 的向量积为() A 、i-j+2k B 、8i-j+2k C 、8i-3j+2k D 、8i-3i+k3、点P (-1、-2、1)到平面x+2y-2z-5=0的距离为() A 、2B 、3C 、4D 、54、函数z=xsiny 在点(1,)处的两个偏导数分别为() 42A 、,22 2,2 B 、,22 2C 、2 22 2D 、2 22 2, 5、设x 2+y 2+z 2=2Rx ,则2+y 2+z 2=2Rx ,则z x z,分别为()yA 、x R z yx ,B 、 z z R yxRy ,C 、,D 、 zzzx z R , y z 6、设圆心在原点,半径为R ,面密度为2y 2 x 的薄板的质量为()(面积A= 2 R )1A 、R2AB 、2R 2AC 、3R 2AD 、RA22n xn7、级数(1)的收敛半径为()nn1A 、2B 、1 2C 、1D 、38、cosx 的麦克劳林级数为()A 、 ( n0 n 1) ( 2n x 2n)!B 、 (1) n1n 2n x (2n)! C 、 n 0 ( 1) n 2n x (2n)!D 、 n 0 ( 1) n ( 2n x 2n 1 1)!二、填空题(本题共5小题,每题4分,共20分)___________。
高等数学下考试题库(附答案)一、选择题(每题5分,共25分)1. 设函数f(x)在区间[a, b]上单调递增,且f(a) = 1,f(b) = 2,则下列不等式成立的是:A. f(x) ≥ 1,a ≤ x ≤ bB. f(x) ≤ 2,a ≤ x ≤ bC. f(x) ≥ f(a),a ≤ x ≤ bD. f(x) ≤ f(b),a ≤ x ≤ b答案:C2. 设函数f(x) = x^3 - 3x,其导函数f'(x) =3x^2 - 3,则f'(x)的符号变化点为:A. x = -1 和 x = 1B. x = 0 和 x = 2C. x = -1 和 x = 1D. x = 0 和 x = 1答案:A3. 下列关于极限的叙述正确的是:A. 当x → 0时,sinx → 0B. 当x → ∞时,e^x → ∞C. 当x → -∞时,|x| → ∞D. 当x → a时,x^2 → a^2答案:B4. 设函数f(x) = (x - 1)^2,则f(x)的极值点为:A. x = 1B. x = -1C. x = 0D. x = 2答案:A5. 下列关于积分计算的叙述正确的是:A. 定积分与不定积分具有相同的计算法则B. 定积分的计算结果为数值,不定积分的计算结果为函数C. 被积函数为偶函数时,定积分的计算结果为非负数D. 被积函数为奇函数时,定积分的计算结果为0答案:D二、填空题(每题5分,共25分)1. 设函数f(x) = x^3 - 3x,其导函数为f'(x) = ______。
答案:3x^2 - 32. 函数y = e^x的导数为y' = ______。
答案:e^x3. 定积分$$ ∫_{ a }^{ b }$$f(x)dx的定义为f(x)在[a, b]上的______。
答案:面积4. 设函数f(x) = x^2,则f(x)的极值点为______。
答案:x = 05. 设函数f(x) = sinx,则f(x)的周期为______。
《高等数学》试卷1(下)一.选择题(3分⨯10)1.点1M ()1,3,2到点()4,7,22M 的距离=21M M ( ).A.3B.4C.5D.62.向量j i b k j i a ρρρρρϖϖ+=++-=2,2,则有( ).A.a ρ∥b ρB.a ρ⊥b ρC.3,π=b a ρρD.4,π=b a ρρ3.函数1122222-++--=y x y x y 的定义域是( ).A.(){}21,22≤+≤y x y x B.(){}21,22<+<y x y xC.(){}21,22≤+<y xy x D (){}21,22<+≤y x y x4.两个向量a ρ与b ρ垂直的充要条件是( ).A.0=⋅b a ρρB.0ρρρ=⨯b aC.0ρρρ=-b aD.0ρρρ=+b a5.函数xy y x z 333-+=的极小值是( ). A.2 B.2- C.1 D.1- 6.设y x z sin =,则⎪⎭⎫ ⎝⎛∂∂4,1πyz =( ).A.22B.22-C.2D.2-7.若p 级数∑∞=11n p n 收敛,则( ). A.p 1< B.1≤p C.1>p D.1≥p8.幂级数∑∞=1n nnx 的收敛域为( ).A.[]1,1- B ()1,1- C.[)1,1- D.(]1,1-9.幂级数nn x ∑∞=⎪⎭⎫⎝⎛02在收敛域内的和函数是( ).A.x -11 B.x -22 C.x -12 D.x-21 10.微分方程0ln =-'y y y x 的通解为( ).A.xce y = B.xe y = C.xcxe y = D.cxe y =二.填空题(4分⨯5)1.一平面过点()3,0,0A 且垂直于直线AB ,其中点()1,1,2-B ,则此平面方程为______________________.2.函数()xy z sin =的全微分是______________________________.3.设13323+--=xy xy y x z ,则=∂∂∂yx z2_____________________________. 4.x+21的麦克劳林级数是___________________________. 三.计算题(5分⨯6)1.设v e z usin =,而y x v xy u +==,,求.,yz x z ∂∂∂∂ 2.已知隐函数()y x z z ,=由方程05242222=-+-+-z x z y x 确定,求.,yz x z ∂∂∂∂ 3.计算σd y x D⎰⎰+22sin ,其中22224:ππ≤+≤y x D . 4.求两个半径相等的直交圆柱面所围成的立体的体积(R 为半径).四.应用题(10分⨯2)1.要用铁板做一个体积为23m 的有盖长方体水箱,问长、宽、高各取怎样的尺寸时,才能使用料最省? .试卷1参考答案一.选择题 CBCAD ACCBD 二.填空题1.0622=+--z y x .2.()()xdy ydx xy +cos .3.19622--y y x .4.()n n n n x ∑∞=+-0121.5.()xe x C C y 221-+= .三.计算题 1.()()[]y x y x y e xzxy +++=∂∂cos sin ,()()[]y x y x x e y z xy +++=∂∂cos sin . 2.12,12+=∂∂+-=∂∂z yy z z x x z . 3.⎰⎰=⋅πππρρρϕ202sin d d 26π-.4.3316R . 5.x xe ey 23-=.四.应用题1.长、宽、高均为m 32时,用料最省.2..312x y =《高数》试卷2(下)一.选择题(3分⨯10)1.点()1,3,41M ,()2,1,72M 的距离=21M M ( ). A.12 B.13 C.14 D.152.设两平面方程分别为0122=++-z y x 和05=++-y x ,则两平面的夹角为( ). A.6π B.4π C.3π D.2π 3.函数()22arcsin yx z +=的定义域为( ).A.(){}10,22≤+≤y x y x B.(){}10,22<+<y x y xC.()⎭⎬⎫⎩⎨⎧≤+≤20,22πy x y x D.()⎭⎬⎫⎩⎨⎧<+<20,22πy x y x 4.点()1,2,1--P 到平面0522=--+z y x 的距离为( ). A.3 B.4 C.5 D.6 5.函数22232y x xy z --=的极大值为( ).A.0B.1C.1-D.21 6.设223y xy x z ++=,则()=∂∂2,1xz ( ).A.6B.7C.8D.9 7.若几何级数∑∞=0n nar是收敛的,则( ).A.1≤rB. 1≥rC.1<rD.1≤r8.幂级数()nn xn ∑∞=+01的收敛域为( ).A.[]1,1-B.[)1,1-C.(]1,1-D. ()1,1- 9.级数∑∞=14sin n n na是( ). A.条件收敛 B.绝对收敛 C.发散 D.不能确定二.填空题(4分⨯5)1.直线l 过点()1,2,2-A 且与直线⎪⎩⎪⎨⎧-==+=t z t y t x 213平行,则直线l 的方程为__________________________.2.函数xye z =的全微分为___________________________.3.曲面2242y x z -=在点()4,1,2处的切平面方程为_____________________________________.三.计算题(5分⨯6)1.设k j b k j i a ρρρρρρρ32,2+=-+=,求.b a ρρ⨯2.设22uv v u z -=,而y x v y x u sin ,cos ==,求.,y z x z ∂∂∂∂ 3.已知隐函数()y x z z ,=由233=+xyz x 确定,求.,yz x z ∂∂∂∂ 4.如图,求球面22224a z y x =++与圆柱面ax y x 222=+(0>a )所围的几何体的体积.四.应用题(10分⨯2) 1.试用二重积分计算由x y x y 2,==和4=x 所围图形的面积.试卷2参考答案一.选择题 CBABA CCDBA. 二.填空题 1.211212+=-=-z y x . 2.()xdy ydx exy+.3.488=--z y x .4.()∑∞=-021n n nx .5.3x y =. 三.计算题1.k j i ρρρ238+-.2.()()()y y x y y y y x yz y y y y x x z 3333223cos sin cos sin cos sin ,sin cos cos sin +++-=∂∂-=∂∂ . 3.22,z xy xz y z z xy yz x z +-=∂∂+-=∂∂. 4.⎪⎭⎫ ⎝⎛-3223323πa . 5.x xe C eC y --+=221.四.应用题1.316. 2. 00221x t v gt x ++-=.《高等数学》试卷3(下)一、选择题(本题共10小题,每题3分,共30分) 2、设a=i+2j-k,b=2j+3k ,则a 与b 的向量积为( ) A 、i-j+2k B 、8i-j+2k C 、8i-3j+2k D 、8i-3i+k 3、点P (-1、-2、1)到平面x+2y-2z-5=0的距离为( ) A 、2 B 、3 C 、4 D 、5 4、函数z=xsiny 在点(1,4π)处的两个偏导数分别为( ) A 、,22 ,22 B 、,2222- C 、22- 22- D 、22-,225、设x 2+y 2+z 2=2Rx ,则yzx z ∂∂∂∂,分别为( ) A 、z y z R x --, B 、z y z R x ---, C 、zyz R x ,-- D 、zyz R x ,- 6、设圆心在原点,半径为R ,面密度为22y x +=μ的薄板的质量为( )(面积A=2R π)A 、R 2AB 、2R 2AC 、3R 2AD 、A R 221 7、级数∑∞=-1)1(n nnn x 的收敛半径为( )A 、2B 、21C 、1D 、3 8、cosx 的麦克劳林级数为( )A 、∑∞=-0)1(n n)!2(2n x n B 、∑∞=-1)1(n n )!2(2n x n C 、∑∞=-0)1(n n )!2(2n x n D 、∑∞=-0)1(n n)!12(12--n x n二、填空题(本题共5小题,每题4分,共20分) 1、直线L 1:x=y=z 与直线L 2:的夹角为z y x =-+=-1321___________。
直线L 3:之间的夹角为与平面062321221=-+=-+=-z y x zy x ____________。
2、(0.98)2.03的近似值为________,sin100的近似值为___________。
3、二重积分⎰⎰≤+Dy xD d 的值为1:,22σ___________。
4、幂级数的收敛半径为∑∞=0!n nx n __________,∑∞=0!n nn x 的收敛半径为__________。
三、计算题(本题共6小题,每小题5分,共30分)2、求曲线x=t,y=t 2,z=t 3在点(1,1,1)处的切线及法平面方程.3、计算⎰⎰===Dx y x y D ,xyd 围成及由直线其中2,1σ.4、问级数∑∞=-11sin )1(n n?,?n收敛则是条件收敛还是绝对若收敛收敛吗5、将函数f(x)=e 3x 展成麦克劳林级数四、应用题(本题共2小题,每题10分,共20分) 1、求表面积为a 2而体积最大的长方体体积。
参考答案一、选择题1、D2、C3、C4、A5、B6、D7、C8、A9、B 10,A 二、填空题 1、218arcsin,182cosar 2、0.96,0.17365 3、л 4、0,+∞ 5、ycx cey x 11,22-== 三、计算题2、解:因为x=t,y=t 2,z=t 3, 所以x t =1,y t =2t,z t =3t 2,所以x t |t=1=1, y t |t=1=2, z t |t=1=3 故切线方程为:312111-=-=-z y x 法平面方程为:(x-1)+2(y-1)+3(z-1)=0 即x+2y+3z=63、解:因为D 由直线y=1,x=2,y=x 围成, 所以 D :1≤y ≤2y ≤x ≤2 故:⎰⎰⎰⎰⎰=-==212132811)22(][dy y y dy xydx xyd yDσ4、解:这是交错级数,因为。