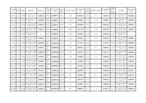
11三残儿童名册
- 格式:xls
- 大小:25.50 KB
- 文档页数:1
“三残”儿童少年资料收集要求一、丧失学习能力(智力一、二级,视力一级、听力一级)1.丧失学习能力“三残”儿童少年花名册2.残疾证复印件(持证人照片页、持证人详细信息页)3.户口簿复印件(户主页、本人页)4.残疾等级鉴定、筛查材料。
二、未入学1.未入学“三残”儿童少年花名册(注明未入学原因)2.残疾证复印件(持证人照片页、持证人详细信息页)3.户口簿复印件(户主页、本人页)三、入学(随班就读)1.随班就读“三残”儿童少年花名册(需盖学校公章)2.残疾证复印件(持证人照片页、持证人详细信息页)3.户口簿复印件(户主页、本人页)4.2016年秋、2017年春、2017年秋、2018年春计划、总结(学校层面:含工作领导小组、学校特殊教育工作现状、教师安排及要求、工作措施等几个方面,计划、总结内容要相互印证、逻辑清楚;个人层面:在教学计划、总结中有所体现,涉及特殊教育的内容用红笔标示。
需盖学校公章)5.教案或教学设计(只印装体现对“三残”儿童关爱关注的部分即可,用红笔标示,从2016年秋季学期起分学期装档。
需盖学校公章)6.活动图片。
(从2016年秋季学期起分学期装档。
需盖学校公章)7.学生部分作业或试卷。
(有批改,有批阅日期,从2016年秋季学期起分学期装档。
需盖学校公章)8.就读班级学生花名册(“三残”儿童少年用红笔标示,需盖学校公章)9.学生学籍信息表(需盖学校公章)。
四、入学(送教上门)1.送教上门“三残”儿童少年花名册(需盖学校公章)2.残疾证复印件(持证人照片页、持证人详细信息页)3.户口簿复印件(户主页、本人页)4.2016年秋、2017年春、2017年秋、2018年春计划、总结(学校层面:含工作领导小组、学校送教上门工作现状、教师安排及要求、工作措施等几个方面,计划、总结内容要相互印证、逻辑清楚;个人层面:分学期有辅导计划、总结,内容要相互印证、逻辑清楚。
需盖学校公章)5.辅导记录及辅导图片。
**镇中小学“两基”档案基本内容及装档要求A1 :组织管理B1 上级“两基”文件(工作安排、制度、措施、方案、年度工作计划、总结等)B2 学校“两基”文件(工作制度、措施、方案、机构、“两基”攻坚及巩固提高规划等)。
B3“两基”计划、总结、报告(学校“两基”年度工作计划、总结、“两基”自查工作报告)A2 :普及程度B4 控辍保学工作(计划、总结、措施(制度)、领导机构、分工安排、辍学名册及证明、责任状、家访记录、责任分配及落实资料、劝返登记表、入学监控表、其它控辍保学过程资料)B5在校生花名册;B6转入学生花名册及印证材料(印证材料顺序和名册顺序同);B7转出学生花名册及印证材料(印证材料顺序和名册顺序同);B8休学、复学、死亡名册及印证材料(顺序和名册顺序同);B9外乡外县在本校就读学生名册;B10学生学籍册。
(小学生学籍卡、中学生登记表另外专柜保存。
有学校公章,有主管部门意见和公章)B11三残儿童资料(三类残疾少年儿童名册、鉴定资料)B12 入学通知书及名册(一、七年级入学通知书、通知书发放名册)B13 复学通知书(辍学、休学后复学)A3 :办学条件文字材料、布局与规划的图纸资料)B15音体美器材台账(校产、图书、仪器的台账、分别保存在财务室、图书室和仪器保管室)B16校产统计(登记)资料(教学用房、教学辅助用房、宿舍、食堂、厕所、学校建筑和占地、球场等室外教学场地、课桌、黑板及其他教学器材和装备等统计登记资料)。
B17 教学器材装备使用记录(图书、仪器、音、体、美器材的使用过程资料。
按学年装订后存档)。
B18各类工程实施资料(学校已经实施和正在实施的教育建设项目如:“国家贫困地区义务教育工程”、“中小学危房改造工程”、“西部地区农村寄宿制学校建设工程”、省“普九工程”、“薄弱学校改造工程”等教育项目建设工程,学校自筹及其它基础设施建设工程的资料)。
A4 :教育质量B19素质教育实施资料(实施方案、措施、评估评价办法等资料)B20毕业班学生名册(有学校印章,有主管部门的意见和印章)B21毕业考试成绩册(要有体育、历史等非统考科目的成绩体现)B22毕业考试试卷;B23学校总、分课表(按学期装订,有封面,和课程标准一致)B24学科成绩及统计(按学期装订,有封面,有统计,有非统考科目)A5 :教育经费B25公用经费统计(2006-2008年学校)B26公用经费预算、结算(2007、2008年)B27办学条件改善经费投入统计(2006-2008年)A6 :师资水平B师资建设(上级主管部门和学校关于教师继续教育、骨干教师培养、师德师风建设的文件;校长岗位培训文件;其他师德建设资料)B29校长名册(名册及岗位培训合格证复印件)B30教师花名册(含代课教师名册,代课教师名册单独装订成册)B31毕业证书(复印件,和教师名册顺序相同)B32专业技术资格证书(复印件,和教师名册顺序相同)A7 :学校管理B33学校组织机构(学校各种组织机构及分工安排)B34制度建设(学校各种管理制度、措施、职责、方案等,分类装订,加封面)B35计划、总结(按学期装订,加封面)B36教学管理(各种教学工作安排、检查记录、教学奖惩兑现、学科计划总结、量化考核等资料)B37教研、课改工作B38学生养成教育(管理办法、班团队主题活动、国旗下讲话、养成教育成效资料等)B39校务日志会议记录B40安全工作(管理措施、安全预案、环境整治、安全教育等资料)B41卫生工作(措施、计划、总结、记录、活动、教育等资料)B42寄宿生管理(制度、名册、安全措施、管理员职责、记录等)B43校外租房学生管理(措施、名册、安全防范、租房协议等资料)B44“两免一补”工作(宣传工作资料、免费教科书发放名册、回收登记册、回收处理、经费补助兑现名册等资料)B45贫困生管理(管理办法、措施、名册、帮扶资料等)B46学困生管理(管理办法、措施、名册、帮教资料等)B留守儿童少年管理(管理办法、措施、名册、帮扶、人性化教育过程资料等)B48进城务工子女管理(管理办法、名册、教育过程资料等)B49返乡农民工子女管理(管理办法、名册,教育过程资料等资料)B50体育健康工作(管理办法、课程开设、活动开展、检查检测记录等资料)B51校长听课记录;(按学期为单位装订)B52部门帮扶资料(按学年为单位装订)A8:教育教学成果B53教育教学论文(按学年为单位装订)B54教师获奖资料(按学年为单位装订)B55学生获奖资料(按学年为单位装订)A9:扫盲工作B56组织管理(组织机构、分工安排、文件资料、责任书等资料)B57计划总结B58教师名册B59文半盲、丧能人员名册B60参加学习及教材发放名册B61扫盲培训通知书B62脱盲人员名册、作业、试卷B63教学过程资料(课表、作息时间、教案、图片等教学过程资料)B64抽考人员名册、试卷B65技术培训名册B66成果及典型材料(文字与图片资料)资料装档有关要求及说明:1、资料名称及分卷装盒要严格按照以上要求进行,全镇统一,各学校不得擅自更改。
一、统计范围1、市(含州,下同)直属学校一律按县(含市、区,下同)属地原则纳入统计。
2、各类开发区若能独立进行统计的,允许独立统计,但应按县属地原则汇总;若不能独立统计的,一律按县属地原则统一进行统计。
3、政府办学以外的各级各类义务教育学校按县属地原则也要纳入统计范围。
二、统计时间以每个学年度学年初统计时点为准,例如:2010~2011学年度,即2010年9月1日——2011年8月31日;每个学年初统计时点为每年的9月15日。
各统计表下的“学年度”和“填表时间”是动态的,如:各表中的“2010-2011学年度”、“2010年9月16日”,在2009-2010学年度填写时则为“2009-2010学年度”,填表时间则为“2009年9月16日”。
乡(含镇,下同)填表时,应在每个填报单位“县”后补上乡名称。
各级均应准备三个学年度统计表。
即:2010~2011学年度,2009~2010学年度,2008~2009学年度。
三、填写统计表的基本要求统计表与登记表项目内容相同的,数据要相吻合。
县、乡、学校三级均需填报统计表。
1、统计表1年龄:按照学年度计算周岁,学年度起始年份减“1”即为出生人口周岁数。
如2010-2011学年度统计时,0岁统计范围应为2009年9月1日-2010年8月31日期间出生的人数;1周岁统计范围应为2008年9月1日-2009年8月31日期间出生的人数;其他周岁照此类推。
统计以户籍为主,不唯户籍,未上户籍只要知道的也要统计。
“三残”儿童少年:应有相关单位的证明。
丧失学习能力儿童少年:是指身患多重残疾、重度智障及因其他原因长期丧失学习能力者。
这部分人应依法办理免学手续。
2、统计表2、统计表3统计本辖区范围户籍人口入学情况。
县填统计表2、3时,“本地”读书指的是户籍在本县并在本县内就读的学生;“外地”读书指的是户籍在本县而在本县以外就读的学生。
乡在填表2、3时,需填两份。
一份为本乡建档时所需表,此表中的“本地”读书指本乡户籍在本乡就读的学生;“外地”读书指本乡户籍在本乡以外地方就读的学生。
残疾人人口基础数据姓名性别残疾类别残疾等级现住址朱淑芳女肢体四级四川省威远县庆卫镇黄石板街5组504号李尚华男肢体四级四川省威远县庆卫镇黄石板街5组471号朱淑勋女多重体(二级)视力(四级)四川省威远县严陵镇白塔路720号崔淑琴女肢体四级四川省威远县山王镇华丰村2组53号董树康男肢体二级四川省威远县庆卫镇跳石河村1组2号商德良男肢体四级四川省威远县新场镇上游村10组39号缪正书男肢体二级四川省威远县严陵镇大桥街1号1幢1号唐恒男肢体四级四川省威远县越溪镇楠木村12组6号李碧仙女肢体一级四川省威远县两河镇凉山村8组10号甘秀珍女肢体三级四川省威远县高石镇大湾村1组29号王淑红女多重体(一级)智力(一级)四川省威远县镇西镇红光村8组蒋兴学男肢体四级四川省威远县黄荆沟镇联盟村1组17号曹富廷男肢体二级四川省威远县两河镇凤凰山煤矿3组45号付星语女肢体四级四川省威远县界牌镇南强村9组9号林翰奇男肢体三级四川省威远县靖和镇河湾村12组24号周淑先女肢体四级四川省威远县东联镇幺磨坝村3组刘淑芬女肢体三级四川省威远县新店镇金莲村6组44号罗桂淑女肢体四级四川省威远县严陵镇先觉村2组7号何明高男肢体一级四川省威远县铺子湾镇红星村5组57号王世成男肢体四级四川省威远县新店镇民富村9组11号张永华男肢体四级四川省威远县山王镇华丰村2组42号黄淑容女肢体一级四川省威远县镇西镇黄泥村10组7号李双云女肢体四级四川省威远县两河镇广阳村7组28号江会君女肢体四级四川省威远县严陵镇广场街11号王淑仙女肢体三级四川省威远县越溪镇吉祥村15组2号罗文礼男肢体三级四川省威远县向义镇土桥村3组邹碧容女肢体三级四川省威远县越溪镇俩母山村13组6号杨文润女肢体二级四川省威远县界牌镇花荷村16组6号杨昌明男肢体四级四川省威远县两河镇新国村4组29号黄建清男肢体四级四川省威远县小河镇平乐村4组31号杨克群女肢体四级四川省威远县新场镇西沟村8组3号唐淑芳女肢体四级四川省威远县黄荆沟镇太阳村9社6号刘银明男肢体四级四川省威远县龙会镇久安村11组19号高东美女肢体一级四川省威远县新店镇永强村19组8号饶鸿嘉男多重体(三级)智力(三级)四川省威远县严陵镇中心街204号附8号黄余瑞男肢体四级四川省威远县连界镇建设街一巷连兴路21幢1单元201号曾礼彬男肢体二级四川省威远县新店镇民富村9组19号欧建华男肢体四级四川省威远县新店镇金莲村10组18号李志成男肢体三级四川省威远县东联镇金圣寺村10组16号陈德芳女多重力(二级)肢体(三级)四川省威远县东联镇娃娃山村6组24号余桂芳女肢体一级四川省威远县严陵镇杉树坳街108号倪念华男肢体三级四川省威远县镇西镇团标村16组52号唐炳良男肢体三级四川省威远县龙会镇麻柳村11组钟炳英女肢体一级四川省威远县黄荆沟镇联盟村10组12号曾淑仙女肢体三级四川省威远县严陵镇阳岗街1号附18号郑余书女肢体二级四川省威远县龙会镇兴龙街230号龚银中男肢体四级四川省威远县镇西镇新屋村16组18号陈家宽男肢体一级四川省威远县镇西镇花祠村6组38号黄长生男肢体一级四川省威远县向义镇大山村4组22号杨秀芳女肢体四级四川省威远县黄荆沟镇太阳村5组25号王鑫男肢体二级四川省威远县严陵镇西山路35号附9号董华清男肢体一级四川省威远县黄荆沟镇刘家洞煤矿2组49号王益芳女视力四级四川省威远县铺子湾镇岐山村10组25号刘泽明男肢体三级四川省威远县铺子湾镇红星村16组26号杨忠朝男视力四级四川省威远县新店镇金莲村6组6号李多金男视力三级四川省威远县严陵镇联合村20组1号邬兴财男肢体四级四川省威远县黄荆沟镇砚台村6组37号贺淑琴女肢体四级四川省威远县向义镇水口村9组10号陈仕芬女视力四级四川省威远县庆卫镇黄石板街5组602号吴礼明男肢体四级四川省威远县向义镇大山村15组李桂仙女肢体三级四川省威远县向义镇枇杷村12组23号黄信初男视力二级四川省威远县镇西镇炉丰村4组陈利女精神二级四川省威远县严陵镇花塘村10组王自芳女视力四级四川省威远县庆卫镇庆丰村2组35号陈丽萍女智力二级四川省威远县庆卫镇庆安村4组17号蔡淑芬女肢体二级四川省威远县黄荆沟镇胜利街5组104号廖楠馨女智力二级四川省威远县严陵镇罗家坝街水岸生活小区7幢2单元1号张可欣女智力四级四川省威远县镇西镇红光村8组6号董德华男视力一级四川省威远县向义镇大山村1组董淑华女视力四级四川省威远县观英滩镇观英滩街1组779号陈敏华男肢体二级四川省威远县龙会镇新花村3组李兴金男视力三级四川省威远县龙会镇五皇村15组25号余霞女多重力(三级)言语(四级)四川省威远县严陵镇新堂村1组2号曹立成男智力四级四川省威远县连界镇李子坝村2组10号曾维仙女视力一级四川省威远县东联镇娃娃山村7组1号叶根珲男智力四级四川省威远县新场镇麻柳村4组23号熊友芳女精神三级四川省威远县界牌镇林山村5组39号李敏女视力四级四川省威远县靖和镇华兴街政府医院组86号董超男精神三级四川省威远县新店镇永强村5组41号游湘儒男多重力(二级)视力(四级)四川省威远县严陵镇东街180号刘英女精神三级四川省威远县黄荆沟镇桥湾5号5幢3单元1层1号许晓东男精神二级四川省威远县严陵镇河东街325号陈鸿男视力一级四川省威远县严陵镇公园路239号张正英女多重语(一级)听力(二级)四川省威远县龙会镇麻柳村8组4号李国英女视力二级四川省威远县严陵镇双柏村3组26号隆啸天男精神四级四川省威远县高石镇藕塘村8组16号刘淑仙女精神二级四川省威远县严陵镇新堂村2组25号徐桂平女精神三级四川省威远县靖和镇盐井村17组2号倪丙华男精神三级四川省威远县靖和镇花祠村20组9号王世勋男精神三级四川省威远县新场镇麻柳村11组9号彭梓航男智力三级四川省威远县镇西镇龙王坝村1组14号缪烁宇男智力三级四川省威远县新店镇中心街10号附14号梁峰男智力四级四川省威远县碗厂镇碧凤村7组30号李桂生男智力三级四川省威远县新店镇永红村14组5号杨学文男精神二级四川省威远县靖和镇木瓜村7组44号曾淑芳女听力三级四川省威远县高石镇陈家村7组罗华芳女视力一级四川省威远县严陵镇杉树坳街153号附3号倪碧波男精神三级四川省威远县靖和镇三望村2组13号陈释舟男精神二级四川省威远县靖和镇盐井村5组14号许国军男精神二级四川省威远县严陵镇中心街196号附4号温陈金男智力三级四川省威远县靖和镇盐井村1组15号张平男视力四级四川省威远县观英滩镇民主村15组5号陈强男智力三级四川省威远县向义镇水口村2组18号常云威男智力三级四川省威远县新店镇朝阳村7组48号魏玉莲女精神三级四川省威远县镇西镇铜锣村15组9号吴平男肢体四级四川省威远县镇西镇杨家咀村6组55号钟青女视力四级四川省威远县严陵镇付谷村12组33号朱丹女听力四级四川省威远县严陵镇人民路紫荆花园3幢3单元2楼1号龙洪梅女精神二级四川省威远县新场镇万祥村7组8号欧淑兰女视力三级四川省威远县越溪镇楠木村11组10号李德安男肢体二级四川省威远县靖和镇华场村4组21号林国成男听力一级四川省威远县严陵镇广场路190号许申贵男肢体二级四川省威远县界牌镇团结街84号梁红超男多重力(四级)肢体(四级)四川省威远县小河镇小河村2组74号夏剑波男肢体四级四川省威远县新店镇长塘村6组37号王芳女肢体三级四川省威远县高石镇石牌村2组29号邓淑群女肢体四级四川省威远县新场镇上游村10组34号兰翠英女肢体四级四川省威远县向义镇土桥村8组1号朱玉芬女肢体四级四川省威远县新店镇金莲村8组5号周溢男肢体一级四川省威远县严陵镇罗家坝街89号附3号刘付厚男肢体四级四川省威远县界牌镇贾山村7组张启光男肢体四级四川省威远县两河镇永富村3组5号甘丽女智力一级四川省威远县连界镇土河沟村11组17号赖鹏彬男精神二级四川省威远县严陵镇塔山村9组殷明仙女精神二级四川省威远县新店镇永强村18组21号肖伦社男智力三级四川省威远县新场镇新场2组5号钟秀春女精神四级四川省威远县界牌镇夏家村8组22号1史慧聪女智力四级四川省威远县山王镇双塘村9组249号王琴英女精神三级四川省威远县庆卫镇庆和村17组17号宋润芳女精神三级四川省威远县镇西镇护民村7组5号龙蓉女精神三级四川省威远县黄荆沟镇工农村7组23号罗秀英女精神三级四川省威远县严陵镇东街24号2幢26号王飞男精神三级四川省威远县严陵镇西街94号邓哲男精神三级四川省威远县严陵镇花塘路82号1幢丁丽女精神三级四川省威远县向义镇四方村7组5号胡淑仙女精神三级四川省威远县龙会镇坝上村7组43号刘炳全男智力四级四川省威远县镇西镇炉丰村7组14号朱万和男肢体四级四川省威远县庆卫镇黄石板街5组44号廖国芬女精神三级四川省威远县界牌镇中坝村12组42号范淑芳女精神三级四川省威远县严陵镇鸭子村7组5号杨寿高男精神三级四川省威远县严陵镇新义村12组卓善华男肢体三级四川省威远县龙会镇坝上村4组26号倪香桃女精神二级四川省威远县严陵镇花塘路1号1幢1号周水容女肢体四级四川省威远县龙会镇杨岭村1组23号黄八仙女肢体四级四川省威远县连界镇长寿小区14幢503号刘万财男肢体四级四川省威远县铺子湾镇双岭村5组22号俞连光男肢体三级四川省威远县镇西镇川主村17组4号杜光菊女肢体四级四川省威远县两河镇凉山村8组4号黄栋林男肢体四级四川省威远县向义镇古井村6组廖伯华男肢体四级四川省威远县黄荆沟镇坭河1组36号林群友女肢体四级四川省威远县新店镇一品村12组16号李桂兰女肢体四级四川省威远县靖和镇华场村13组4号刘德高男肢体四级四川省威远县界牌镇南强村5组13号曹淑琴女肢体四级四川省威远县靖和镇华家村9组28号甘长生男肢体四级四川省威远县严陵镇建设村11组5号王贤友男肢体二级四川省威远县连界镇荣胜村22组21号宋雨良男肢体四级四川省威远县向义镇大山村12组20号程光全男肢体一级四川省威远县小河镇立石桥街74号倪国良男肢体一级四川省威远县东联镇李家坪村10组7号罗俊芳女肢体一级四川省威远县严陵镇三胜村15组17号崔开祝男肢体三级四川省威远县观英滩镇竹塘村19组4号姚本忠男肢体四级四川省威远县观英滩镇金顶村13组31号龙德光男肢体三级四川省威远县庆卫镇庆和村1组24号夏玉贵男肢体四级四川省威远县新店镇永华村2组23号丁水和男肢体四级四川省威远县镇西镇杨家咀村4组2号刘淑芬女精神二级四川省威远县严陵镇东街51号1幢6号官键男精神三级四川省威远县镇西镇护建村2组27号郭秀玉女多重力(四级)肢体(四级)四川省威远县小河镇玉麦村8组2号胡淑芳女肢体三级四川省威远县界牌镇贾山村10组4号谢桂华女视力一级四川省威远县碗厂镇光荣村1组22号温六信男精神二级四川省威远县靖和镇华家村1组29号朱玉琼女听力三级四川省威远县新店镇长塘村12组14号曾存玉女肢体四级四川省威远县铺子湾镇龙泉村1组50号宋康男精神三级四川省威远县界牌镇四合村4组26号余芸秀女肢体三级四川省威远县严陵镇双柏村3组47号殷凤超女精神三级四川省威远县新店镇新盛街3号附37号付绍平男肢体三级四川省威远县庆卫镇黄石村13组3号余贞友男精神三级四川省威远县高石镇泡桐村5组20号贾再群女肢体四级四川省威远县碗厂镇义和村8组13号谢华金男多重力(四级)听力(四级)四川省威远县铺子湾镇双岭村3组28号李泽林男肢体四级四川省威远县黄荆沟镇凤凰村8组8号廖婧雯女精神三级四川省威远县严陵镇公园路162号4幢20号龚淑芳女肢体三级四川省威远县铺子湾镇长石村6组30号沈世杰男肢体四级四川省威远县新场镇曹胜村12组3号钟树有男多重力(四级)肢体(四级)四川省威远县东联镇娃娃山村3组2号肖玉芳女肢体四级四川省威远县庆卫镇世和村6组13号张礼付男肢体三级四川省威远县山王镇李寨村7组6号倪俊德女视力一级四川省威远县严陵镇半边街12号附5号王泽成男肢体四级四川省威远县界牌镇林山村2组54号聂其权男肢体四级四川省威远县铺子湾镇长石村12组34号孙先文男肢体四级四川省威远县连界镇五堡墩村13组18号徐树金男肢体一级四川省威远县镇西镇红林村10组23号陈家明男肢体四级四川省威远县新店镇高山村10组55号徐秀清女肢体四级四川省威远县龙会镇麻柳村19组21号刘勇男肢体三级四川省威远县向义镇塘角村9组14号宋学英女肢体三级四川省威远县新店镇民富村12组19号文淑仙女视力一级四川省威远县连界镇民新村3组21号芦一洪男多重力(一级)言语(一级)四川省威远县严陵镇平山村11组61号黄大奎男听力一级四川省威远县向义镇大山村9组6号刘德琴女肢体二级四川省威远县向义镇大山村4组20号刘泽书男多重力(一级)肢体(四级)四川省威远县铺子湾镇马道村1组36号周书明男多重力(一级)肢体(二级)四川省威远县新店镇一品村3组2号董德华男肢体四级四川省威远县新店镇张建村3组23号袁水琴女肢体一级四川省威远县黄荆沟镇砚台村10组33号杨洪章男肢体四级四川省威远县小河镇葡萄村11组15号谭淑君女精神三级四川省威远县镇西镇中心村2组26号黄波男肢体一级四川省威远县新店镇交通街2号附76号许国凤女精神二级四川省威远县新店镇石坪村5组20号刘华清女肢体二级四川省威远县碗厂镇义和村12组20号唐淑芬女肢体二级四川省威远县新场镇白胜村1组2号幸泽华女肢体四级四川省威远县越溪镇发展村2组24号吴淑英女多重体(三级)智力(三级)四川省威远县向义镇向万村1组李洪军男精神三级四川省威远县镇西镇护民村8组刘明华女肢体三级四川省威远县连界镇学府街13幢206号梁淑英女肢体四级四川省威远县新场镇卡房村10组5号艾金和男肢体三级四川省威远县黄荆沟镇工农村8组22号陈学高男肢体三级四川省威远县黄荆沟镇桥湾13组607号附68号徐梅修女多重体(三级)听力(四级)四川省威远县镇西镇新屋村4组39号卢文清男肢体三级四川省威远县镇西镇黄泥村8组28号唐超男肢体四级四川省威远县山王镇华丰村18组599号唐忠明男肢体四级四川省威远县黄荆沟镇砚台村9组20号倪念炳男肢体三级四川省威远县东联镇袁家嘴村1组李真尧男肢体三级四川省威远县新场镇上游村3组56号蒋周孚男肢体三级四川省威远县新场镇麻柳村6组13号周香睿女听力四级四川省威远县严陵镇南街33号2幢14号张珂语男多重力(三级)言语(三级)四川省威远县镇西镇护民村4组2号唐淑芬女肢体四级四川省威远县高石镇止马村3组15号胡兴碧女肢体四级四川省威远县越溪镇二河村12组8号罗香成男肢体三级四川省威远县新场镇麻柳村7组7号陈水清女肢体三级四川省威远县高石镇群建村15组27号宋永贵男肢体四级四川省威远县小河镇开元村10组4号马伯之男肢体四级四川省威远县观英滩镇竹塘村6组13号黄付才男肢体四级四川省威远县向义镇向万村11组33号彭泳杰男多重力(四级)精神(四级)四川省威远县严陵镇食丰村1组肖祥清男肢体四级四川省威远县严陵镇花塘村10组22号杨华清女肢体三级四川省威远县向义镇大山村15组27号李万良男肢体四级四川省威远县新场镇民胜村5组7号钟义华男肢体一级四川省威远县镇西镇中心村19组38号胡万云男肢体四级四川省威远县小河镇牌坊村7组33号叶应权男肢体二级四川省威远县连界镇荣胜村7组33号余淑仙女肢体一级四川省威远县高石镇农建村4组10号欧光明男肢体三级四川省威远县观英滩镇牛王村5组19号王群英女肢体四级四川省威远县黄荆沟镇坭河村10组4号官大富男肢体三级四川省威远县镇西镇中心村3组9号邓惠邻女多重语(二级)肢体(四级)四川省威远县新场镇胜利村1组1号龙珍芳女肢体三级四川省威远县铺子湾镇岐山村11组30号张晓龙男肢体二级四川省威远县龙会镇新花村10组22号辜胜辉男肢体二级四川省威远县越溪镇互相村7组10号徐小英女肢体三级四川省威远县庆卫镇世和村9组32号杨德群女视力一级四川省威远县连界镇荣胜村9组7号许桂英女肢体一级四川省威远县向义镇向家岭向义街302号附589号李道明男多重力(一级)言语(一级)四川省威远县新店镇奇龙村5组何欧义女智力二级四川省威远县新店镇永政村6组2号段修银男视力一级四川省威远县镇西镇正荣村5组6号何忠国男肢体四级四川省威远县黄荆沟镇坭河2组80号李响男肢体三级四川省威远县靖和镇华兴街2组14号倪亮男精神三级四川省威远县靖和镇高楼村14组3号陈金科男智力三级四川省威远县严陵镇三河路四川省威远县连界镇水泥住宅区7组(一级)肢体(一级)智力(一级)刘缘秋男多重崔皓翔男肢体四级四川省威远县新店镇新盛街26号附12号四川省威远县严陵镇顺城街西外段500号(一级)肢体(一级)精神(三级)吴春英女多重倪英女视力一级四川省威远县严陵镇中心街258号1幢12号邹南仙女视力三级四川省威远县观英滩镇竹塘村11组1号陈华金男视力一级四川省威远县新场镇万祥村4组5号古玉琴女肢体二级四川省威远县铺子湾镇红星村6组109号黄桂兰女肢体三级四川省威远县严陵镇建设村12组25号李成林男肢体三级四川省威远县新场镇三佛村11组陈玉芳女听力一级四川省威远县严陵镇三胜村3组8号刘忠华男肢体四级四川省威远县向义镇向万村3组2号邓绍明男肢体四级四川省威远县新场镇万祥村9组23号蒋中义男视力三级四川省威远县庆卫镇庆团村2组4号汪贵炳男视力四级四川省威远县新场镇裕河村3组7号四川省威远县铺子湾镇岐山村5组董召付男多重(一级)言语(一级)视力(二级)陈润才男肢体四级四川省威远县东联镇菜子湾村3组常渠伟男精神三级四川省威远县严陵镇塔山村7组35号巫秀文女肢体四级四川省威远县观英滩镇一碗水村9组19号杨明清女肢体四级四川省威远县龙会镇政权村2组郭桂琴女肢体二级四川省威远县新店镇中心街22号附231号。
义务教育均衡发展学校档案目录A1.普及程度与入学机会公平卷A1-B1统计登记类A1-B1-C1.0-18岁人口统计表、登记表;A1-B1-C2.新生入学通知书发放情况统计表、登记表、通知书存根(小学);分年度档案示例(下同):A1-B1-C2-1.2014-2015年度新生入学通知书发放情况统计表、登记表、通知书存根;A1-B1-C2-2.2015-2016年度新生入学通知书发放情况统计表、登记表、通知书存根;A1-B1-C2-3.2016-2017新生入学通知书发放情况统计表、登记表、通知书存根(小学);A1-B1-C3.在校生情况统计表、班级定员登记表;A1-B1-C4.义务教育证书发放统计表、登记表;A1-B1-C5.学生变动情况统计表、花名册;转出转入联系单;休学证;A1-B1-C6.巩固率统计表;A1-B1-C7.入学机会公平一览表;A1-B1-C8.质量与管理一览表;A1-B1-C9.进城务工人员随迁子女在校生统计表、花名册;A1-B1-C10.留守儿童、少年统计表、花名册;A1-B1-C11.在校三类残疾少年户口统计表、花名册;三类残疾儿童少年缓学、免学花名册;三类残疾儿童少年适龄未入学统计表;A1-B1-C12.贫困生花名册;A1-B1-C13.孤儿花名册。
A1-B2.制度与职责类A1-B2-C1.关于巩固提高普及程度(控辍保学)的规定和措施;学区划分招生工作实施方案;学籍管理制度;招生分班原则;控辍领导小组;控制中小学生辍学目标管理责任书;班主任工作目标责任状;A1-B2-C2.留守儿童教育管理办法,制度、措施、文件;A1-B2-C3.随班就读管理办法;各类残疾类别随班就读具体标准(文件);在校三类残疾儿童少年成长关爱制度;A1-B2-C4.关爱进城务工人员(务工人员)随迁子女就读制度、措施及组织机构;人132^5.学困生帮扶制度;关爱贫困生制度。
A1-B3.义务教育关爱类A1-B3-C1.关爱留守儿童组织机构;关爱留守儿童活动记录;留守儿童帮扶记录表。