附A包化学试剂清单即参数
- 格式:doc
- 大小:172.00 KB
- 文档页数:4
化学用品及试剂清单序货物名称数量生产厂家型号规格单价( 元)合价(元)已到号数量1烧杯20 只四川150mL342烧杯8 只四川1000mL3容量瓶10 只北京玻璃250mL(A级)65仪器厂4容量瓶10 只北京玻璃1000mL(A级)12120仪器厂5称量瓶10 只江苏60mm34 6μm孔滤膜 5 盒上海50mm,水系1890 7玻璃蒸发皿20 只上海90mm290 8平底蒸馏烧瓶 2 套四川500mL1020 9棕色试剂瓶10 只湖南1000mL64 10棕色试剂瓶10 只湖南500mL41 11棕色试剂瓶10 只湖南250mL3412容量瓶10 只北京玻璃500mL(A级)92仪器厂13无分度吸管10 支天津玻璃50mL(A级 )117仪器厂14酸式滴定管 6 支天津玻璃25mL(A级 )仪器厂15具塞锥形瓶8 只北京玻璃300mL17136仪器厂16玻璃砂芯滤器3天津玻璃G-3 号,砂芯1236仪器厂滤斗17移液管6天津玻璃10mL(A级 )仪器厂18刻度吸管12上海10mL(A级 )784 19秒表 1 只上海50414814820细口玻璃瓶 ( 底 2 只湖南5L1836部有放液口 )21细口玻璃瓶 ( 底 2 只湖南10L3672部有放液口 )22细口玻璃瓶 ( 底 2 只天津玻璃20L62124部有放液口 )仪器厂23量筒 5 只天津玻璃1000mL 仪器厂24量筒 5 只天津玻璃500mL20100仪器厂25量筒10 只天津玻璃100mL73仪器厂序货物名称数量生产厂家型号规格单价( 元)合价已到号( 元 )数量2627塑料桶 2 只广东直径约 50cm255028塑料盆 3 只广东直径约 55cm175129电炉 2 只上海800W306030可调电炉 1 只天津2000W656531PV采样瓶20 只北京500mL24032PV采样瓶10 只广东1212033载玻片 1 盒扬州50*1 盒5534长滴管 ( 带胶10 支湖南18cm9头)35塑料采样篮 3 个广东185436扁嘴无齿镊子 2 个广东25cm61237钟型口具塞瓶50 只北京玻璃250mL17850仪器厂38玻璃管湖南101539刻度刻管10 支天津玻璃1mL(A级)58仪器厂40刻度刻管10 支天津玻璃2mL(A级)58仪器厂41刻度刻管10 支天津玻璃5mL(A级)66仪器厂42玻璃滤斗10 只湖南直径约 60mm19 43中速定量滤纸10 盒杭州9cm157 44瓷蒸发皿10 只唐山10~11cm,150mL23 45玻璃棉上海500g/ 包4446干燥器 4 只湖南大号 30cm90360 47坩埚20 只唐山30mL26 48坩埚夹 3 只广东30cm92749不锈钢托盘 4 只广东长方形2392 40cm*60cm50纱布一卷桂林51无分度吸管10 支天津玻璃25mL(A级)88仪器厂52玻璃珠湖南5353塑料篮10 只广东15150 54酒精灯 2 个湖南150mL55橡皮塞打孔器一套北京56滤斗架 4 个山东 4 孔14565712 孔 50mL5试管架8 个山东架,12 孔 25mL3132架序货物名称数量生产厂家型号规格单价( 元)合价已到号( 元 )数量58试管架8 个山东1512059长柄药匙20 个天津24060抽滤装置 4 套上海1000mL (连滤3001200斗)61抽滤瓶 2 个四川255062具塞比色管 5 盒天津玻璃25mL×1281405仪器厂63具塞比色管10 盒50mL×1298980 64具塞比色管 3 盒天津玻璃100mL× 12142426仪器厂65试剂瓶10 只湖南1000mL680 66试剂瓶20 只湖南500mL480 67试剂瓶20 只湖南250mL66 68洗耳球16 只北京大 / 中348 69硅胶1kg青岛500g1616 70白色瓷板 5 只唐山 6 孔71容量瓶10 只天津玻璃100mL(A级 )79仪器厂72容量瓶10 只天津玻璃500mL(A级 )14140仪器厂73暴氧器 1 只广东74水勺 2 只广东不锈钢短柄20cm75刻度吸管10 支天津玻璃(A 级)66仪器厂76刻度吸管10 支77三角瓶20 只78滴管瓶10 只79容量瓶(白/棕20 只色)80定碘烧瓶50 只小计天津玻璃(A 级)770仪器厂300mL70湖南125mL24北京玻璃200mL(A级 )136仪器厂北京玻璃250mL(A级 )211050仪器厂10128试剂序货物名称数量生产厂家型号规格单价(元)合价已到号( 元)数量1高锰酸钾2天津500g20402氢氧化钠8广州500g3盐酸3广州2500mL22664硫酸3广州2500mL25755硫酸锰1汕头500g6磷酸2广州500mL1020对- 氨基苯磺酰2上海国药AR100g24487胺N-(1- 萘基 )- 乙2上海国药10g45908二胺二盐酸盐9亚硝酸钠1广州500g无水草酸钠 ( 优2上海国药100g489610级纯 )11硫酸铝铵2上海国药500g183612氨水10广东安铺500mL55013过硫酸钾2天津500g14抗坏血酸2上海25g1915钼酸铵1天津500g17017016酒石酸锑钾1天津500g4040磷酸二氢钾 ( 优3天津500g288417级纯 )18酚酞2天津25g51019酒石酸钾钠1天津250g353520硫酸锌3天津500g21碘化钾5上海500g14572522碘化汞1汕头100g11811823氯化铵2天津500g71424磷酸氢二钾3湖南500g123625磷酸氢二钠3天津500g1442七水合磷酸氢3天津500g144226二钠27七水合硫酸镁2天津500g81628无水氯化钙2广州500g1529六水合氯化铁1天津500g1515亚硫酸钠1广州250g88 31琼脂2广州250g2550 32谷氨酸1上海100g1515 33乙酸1广州500mL1111序货物名称数量生产厂家型号规格单价(元)合价已到号( 元)数量34MFC培养基1500g20020035品红亚硫酸钠1500g200200培养基36淀粉1天津250g1010 37甲醇2广州500mL896 38硫酸铝钾5天津500g735 39氨基磺酸2上海25g23 40氯钼酸钾1上海1g370370 41氯化钴1天津100g4343 42氯化钠2天津500g11 43硝酸银2上海100g300600 44铬酸钾指示剂2天津500g408045硝酸钾 ( 优级1天津500g 纯 )46过氧化氢2上海500mL1365 47乙醇 95%10天津500mL66048重铬酸钾 ( 基1天津100g3030准 )49邻菲啰啉2天津5g1020 50硫酸亚铁铵6天津500g45 51硫酸银2上海100g16032052邻苯二甲酸氢2杭州500g2244钾53PH试纸5杭州1~148 54PH试纸5杭州~955PH试纸5杭州~56新洁而灭3南昌500mL41257十二水磷酸氢5广州500g840二钠58冷凝管夹10余姚77059比色皿10江苏20mm770 60医用手套10桂林大/中各 5个220 61中速滤纸20杭州12cm10200 62中速滤纸10杭州18cm176 63紫外线光管10江阴30W40400小计。
常用试剂配方1、1M pH8.5或pH8.0 Tris-HCl1L:800ml H2O中加121.1g Tris,用HCl调pH 8.5定容至1升或用HCl调pH 8.0定容至1升,灭菌。
2、0.5M pH8.0 EDTA1L:800ml H2O中加186.1g EDTANa2·2H2O,用NaOH调pH 8.0后定容至1升(在加有EDTA二钠盐的悬浊液中加入适量氢氧化钠,同时搅拌,直至溶液澄清,此时溶液pH约为8)。
3、20% SDS2L:在2L热水中缓慢加入400g SDS,边加边搅拌,溶解后放置热地方保存。
4、5M NaCl1L:750ml H2O中加292.2g NaCl,溶解后定容至1升,灭菌。
5、缓冲液“S”100 mM Tris·Cl pH8.5100 mM NaCl50 mM EDTA pH8.02% SDS6、10xTE1L:800ml H2O 中加12.11g Tris,3.72 gEDTANa2 ·2H2O,用HCl调pH 8.0,定容,灭菌。
7、50xTAE1L:500ml H2O 中加242g Tris,溶解后加100ml 0.5M pH8.0 EDTA和57.1ml冰乙酸,定容。
8、蛋白酶K溶液用20mM pH8.0Tris·Cl,2mMCaCl2的缓冲液配制浓度为10μg/μl的蛋白酶K溶液或用超纯水配制成相同的浓度。
9、RNAase用水溶解RNAase,终浓度为10mg/ml,煮沸20min,缓慢冷却,分装,-20℃下保存。
10、3M pH5.2 NaAc1L:600ml H2O 中加408.24g NaAc·3H2O, 溶解后, 用冰乙酸调pH 5.2,定容灭菌。
11、5M KAc1L:600ml H2O 中加490.8g KAc·3H2O, 溶解后, 定容灭菌。
12、Loadind-Buffer(琼脂糖电泳)200ml:100ml H2O 中加80g蔗糖和0.5g溴酚蓝,定容,分装后4℃保存。
基本性质:甲醇(Methanol,CH3OH)是结构最为简单的饱和一元醇,CAS号为67-56-1或170082-17-4。
因在干馏木材中首次发现,故又称“木醇”或“木精”。
是无色有酒精气味易挥发的液体。
人口服中毒最低剂量约为100mg/kg体重,经口摄入0.3~1g/kg可致死。
用于制造甲醛和农药等,并用作有机物的萃取剂和酒精的变性剂等。
成品通常由一氧化碳与氢气反应制得。
储存条件:储存于阴凉、通风良好的专用库房内,远离火种、热源。
库温不宜超过37℃,保持容器密封。
应与氧化剂、酸类、碱金属等分开存放,切忌混储。
操作要求:通风橱内操作,甲醇通过皮肤接触、眼晴接触、吞咽或呼吸进入人体呼吸系统保护:在日常操作中配备实验服与口罩,皮肤保护:配备使用丁基和丁腈橡胶手套。
基本性质:乙醇,有机化合物,俗称酒精,是最常见的一元醇。
在常温常压下是一种易燃、易挥发的无色透明液体,低毒性,纯液体不可直接饮用;具有特殊香味,并略带刺激;微甘,并伴有刺激的辛辣滋味。
易燃,其蒸气能与空气形成爆炸性混合物,能与水以任意比互溶。
能与氯仿、乙醚、甲醇、丙酮和其他多数有机溶剂混溶。
储存条件:储存于阴凉、通风的地方。
远离火种、热源。
库温不宜超过37℃。
保持容器密封。
应与氧化剂、酸类、碱金属、胺类等分开存放,切忌混储。
储区应备有泄漏应急处理设备和合适的收容材料。
盛于既有塑料塞又有螺旋盖的棕色细口瓶里,置于阴凉处。
操作要求:酒精浓度过高易刺激皮肤,操作过程中应佩戴一次性手套。
基本性质:一种有机化合物,正丙醇的同分异构体,别名二甲基甲醇、2-丙醇,行业中也作IPA。
它是。
无色透明液体,有似乙醇和丙酮混合物的气味。
溶于水,也溶于醇、醚、苯、氯仿等多数有机溶剂。
异丙醇是重要的化工产品和原料。
主要用于制药、化妆品、塑料、香料、涂料等。
异丙醇容易产生过氧化物,使用前有时需作鉴定。
方法是:取0.5mL 异丙醇,加入1mL10%碘化钾溶液和0.5mL 1:5的稀盐酸及几滴淀粉溶液,振摇1分钟,若显蓝色或蓝黑色即证明有过氧化物。
常用试剂及配置方法(一)化学成分定性反应试剂1、5%α-萘酚试剂α-萘酚5g,加乙醇100ml溶解,如不澄清,可过滤,装棕色瓶备用;2、费林(Fehling)试剂甲液:6.92g硫酸铜结晶、溶于100ml水中。
乙液:34.6g酒石酸钾钠的结晶、10g氢氧化钠共溶于100ml水中,贮藏于带橡皮塞的试剂瓶中。
使用时取甲、乙二液等量混合。
3、10%盐酸盐酸27ml,加蒸馏水使成100ml。
4、10%氧氧化钠氢氧化钠10g,加蒸馏水使成100ml。
5、苦味酸钠试纸取滤纸条浸入苦味酸饱和水溶液中,浸透后取出晾干,再浸入10%碳酸钠水溶液中,迅速取出,晾干即得。
6、普鲁土蓝试剂(1)10%氢氧化钾试液氢氧化钾6.5g,加蒸馏水使成100ml。
(2)10%硫酸亚铁水溶液取硫酸亚铁结晶8g。
加新沸过的冷蒸馏水使成250ml。
应临用时新鲜配制。
(3)10%盐酸溶液。
(4)5%三氯化铁溶液三氯化铁5g,加适量的蒸馏水使溶解成100ml。
7、1%三氯化铁试剂三氯化铁1g,加蒸馏水使溶解成100ml。
8、1%氢氧化钠试液氢氧化钠1g,加蒸馏水使成100ml。
9、1%醋酸镁甲醇液醋酸镁1g,加甲醇100ml。
10、1%三氯化铝乙醇液三氯化铝1g,溶解于100ml乙醇中。
11、0.9%氯化钠溶液氯化钠0.09g,加水100ml。
12、1.8%氯化钠溶液氯化钠1.8g,加水100ml。
13、2%红细胞生理盐水混悬液兔血10ml,放在盛有玻璃珠的三角烧瓶中,振摇10分钟,除去纤维蛋白,把脱纤维血倒在离心管中,加生理盐水混匀后,离心,使血细胞下沉,反复2~3次,至生理盐水不再显红色,取以上红细胞2ml,加生理盐水100ml,稀释成2%的红细胞混悬液(本液须置冰相保存,存期2~3天)。
14、0.15%三氯化铁-冰醋酸溶液1%三氯化铁溶液0.5ml,加冰醋酸100ml。
15、醋酸铅试液取醋酸铅9.5g,加新煮沸过的冷蒸馏水使成100ml。
化验室化学试剂分类清单汇总1 2 3 4 5 6 7 8化学品危险性类别危规号规格数量包装类别月使用量储存地点使用地点化学名俗名类别是否剧毒/易制毒/腐蚀品盐酸 HCI 8.1 腐蚀品 81013 500ml 16瓶Ⅰ 50000ml2 硫酸 H2SO4 8.1 腐蚀品 81007 500ml 12瓶Ⅰ 60000ml3 冰乙酸CH3COOH 无水乙酸8.1 腐蚀品81601 500ml 15瓶Ⅲ 10000ml4 甲酸HCOOH 蚁酸8.1 腐蚀品81101 500ml 1瓶Ⅱ 1000ml5 硝酸HNO3 硝镪水8.1 腐蚀品81002 500ml 5瓶Ⅰ 1000ml6 无水乙醇 CH3CH2OH 无水酒精 3.1 易制爆 32061 500ml 4瓶Ⅲ 1500ml7 甲醇 CH3OH 木精 6.1 可燃/有毒 32050 500ml 2瓶Ⅰ 500ml8 氢氧化钠 NaOH 烧碱 8.2 腐蚀品 95001 500g 11瓶Ⅰ 8000g9 氯化钠 NaCL 食盐否 null 500g 2瓶Ⅲ 500g 四氯化碳腐蚀品 500ml 1瓶Ⅰ 1000ml过氧化氢 H2O2 双氧水 5.2 易制爆 81067 500ml 5瓶Ⅱ 500ml 高锰酸钾 KMnO4 过锰酸钾 4.1 易制毒/易制爆 51048 500g 1瓶Ⅱ 50g二水合氯化亚锡SnCl2·2H26.1 有毒/腐蚀品 null 500g 1瓶Ⅰ 停用碘 I2 8.3 低毒/腐蚀品 21005 250g 3瓶Ⅱ 750g碘化钾 KI 8.2 否 82002 500g 2瓶Ⅱ 200g异丙醇 CH3CH2CH2CH丁醇 3.1 易燃液体 33552 500ml 3瓶Ⅱ 停用邻苯二甲酸二丁酯 6.1 有毒品 61853 500g 1瓶Ⅱ 100g1 2 3 4 5 6 7 8化学品危险性类别危规号规格数量包装类别月使用量储存地点使用地点化学名俗名类别是否剧毒/易制/腐蚀品四硼酸钠 6.1 有毒/弱酸性 null 500g 4瓶Ⅲ19 凡士林石油脂否 500g 2瓶Ⅲ 5g 20 硫酸钾 K2SO4 否 61519 500g 1瓶Ⅲ 停用 21 磷酸二氢钾 KH2PO4 磷酸一钾否 93002 500g 1瓶Ⅲ 50g 22 氯化钡 BaCl2 6.1 剧毒品 61021 500g 1瓶Ⅰ 停用 23 三水合醋酸钠 C2H3NaO2.3(H2O) 三水合乙酸钠否 null 500g 2瓶Ⅲ 停用24 EDTA C10H14N2Na2O8·2H2O 乙二胺四乙酸二钠8.2 否null 250g 4瓶Ⅲ 700g 25 邻菲罗啉 C12H8N2.H2O 1,10-菲罗啉否null 5g 3瓶Ⅲ 100g抗坏血酸 C6H8O6 维生素C 否 null 25g 3瓶Ⅲ 100g变色硅胶否 null 4瓶Ⅲ 500g淀粉 (C6H10O5)n 芡粉否 null 500g 2瓶Ⅲ 100g邻苯二甲酸氢钾 HOOCC6H4CO苯二钾酸氢钾 8.2 腐蚀品 82002 100g 4瓶Ⅱ 100g硝酸银 AgNO3 5.1 易制爆 51063 100g 1瓶Ⅰ 200g硫酸汞 HgSO4 硫酸高汞 6.1 助燃/剧毒 61030 100g 1瓶Ⅰ 100g 氯化钠(基准) NaCl 食盐否 null 100g 2瓶Ⅲ 100g1 2 3 4 5 6 7 8化学品危险性类别危规号规格数量包装类别月使用量储存地点使用地点化学名俗名类别是否剧毒/易制毒/腐蚀品氯化铵 NH4Cl 电盐、盐精、低毒 null 500g 8瓶Ⅱ 4000g34 三乙醇胺(HOCH2CH2)3N 氨基三乙醇否 null 500ml 1瓶Ⅱ 500ml 35 无砷锌粒 Zn 否 null 500g 6瓶Ⅲ 200g/6月 36 氢氧化钾KOH 苛性钾腐蚀品95002 500g 1瓶Ⅰ 1000g 37 重铬酸钾K2Cr2O7 红矾钾 6.1 有潜在致癌危险性 51520 500g 1瓶Ⅰ 1000g 38 百里香酚酞 C28H20O4 百里酚酞否 null 25g 1瓶Ⅲ 250g 39 酚酞 C31H32N2O13S XO指示剂否 null 25g 1瓶Ⅲ 500g溴酚蓝 C19H10Br4O四溴苯酚磺酞否 null 5g 1瓶Ⅲ 50g溴甲酚绿 C21H14Br4O四溴间甲酚磺酰酞否 null 10g 1瓶Ⅲ 50g氨水NH3 氢氧化氨8.2 中等毒/腐蚀品82503 500ml 10瓶Ⅲ 70000ml磺基水杨酸 HO3SC6H3-2-(OH)CO2H·2-羟基-5-磺基苯甲酸否 null 500g 5瓶Ⅲ 500g无水碳酸钠 Na2CO3 纯碱/苏打否 null 500g 3瓶Ⅲ 1000g硫代硫酸钠 Na2S2O3 大苏打否 null 500g 8瓶Ⅲ1 2 3 4 5 6 7 8化学品危险类别危规号规格数量包装类别月使用量储存地点使用地点商品名化学名俗名类别是否剧毒/易制毒/腐蚀品硫酸亚铁铵 FeSO4(NH4)2摩尔盐.硫酸亚铁否 null 500g 1瓶Ⅲ 2000g47 盐酸羟胺 H4ClNO 羟基氯化铵否 null 500g 1瓶Ⅲ 1000g 48 甲基红C15H15N3O2 否null 100g 2瓶Ⅲ 49 甲基橙C14H14N3NaO3S 否 null 100g 4瓶Ⅲ 50 五氧化二碘 I2O5 碘酐;五氧化碘;氧化碘否 null 100g 无Ⅲ 停用 51 硫酸银 Ag2SO4 易制毒null 100g 2 Ⅲ 100g 52 酚酞 C20H14O4 否null 100g 2 Ⅲ 100g 53 铬黑T C20H12N3O7SNa 否null 100g 2 Ⅲ 100g 54 锌 Zn 否null 500g 1 Ⅲ 100g 55 三氯甲烷 CHCl3 哥罗芳,三氯化碳,氯仿否null 500ml 1 Ⅲ 500g 56 液体石蜡石蜡油、白色油、矿物油57 否null 500ml 1 Ⅲ 500ml 57 基准重铬酸钾 K2Cr2O7 有毒(T)刺激物(xi)N)100g 2 Ⅲ 100g1 2 3 4 5 6化学品危险类别危规号规格数量包装类别月使用量储存地点使用地点化学名俗名类别是否剧毒/易制毒品/腐铬酸钾 KCrO4 有毒(T) 刺激物(Xi)(N) 100g 1 Ⅲ 100g59 丙三醇 C3H8O3 甘油500ml 1 Ⅲ 停用 60 吡啶 C5H5N 氮杂苯易燃停用 61 柠檬酸 C6H8O7 枸橼酸、2-羟基丙烷-1,2,3-三羧酸刺激皮肤和眼睛500ml 3 Ⅲ 500ml 62 钼酸钠Na2MoO4·2H2O 低毒500g 4 Ⅲ 500g 63 无水亚硫酸钠 Na2SO3 硫氧null 500g 2 Ⅲ 500g 亚硫酸氢钠 NaHSO酸式亚硫酸钠,无停用六次甲基四胺 C6H12N4 乌洛托品,六亚无停用基准邻苯二甲酸KHC8H4O4 苯二甲酸氢钾、酞酸氢钾对眼睛,皮肤有害null 100g 4 Ⅲ 100g硫脲 CHN2S 无停用碳酸钠 NaCO3 苏打、纯碱、洗涤碱,碱(生活100g 4 Ⅲ 100g1 2 3 4 5 6 7 8化学品危险性类别危规号规格数量包装类别月使用量储存地点使用地点化学名俗名类别是否剧毒/易制毒品/腐硫氰酸铵 NHSCN 对皮肤,呼吸系统有害500g 2 Ⅲ 1000g70 氯化亚铜 CuCl 氯化铜500g 10 Ⅲ 8000g 71 乙二胺四乙酸C10H16N2O8 四乙酸二氨基乙烯,托立龙,无停用72 乙二胺C2H8N2 可燃性,腐蚀性无停用 73 乙酸 CH3COOH 醋酸腐蚀性 500ml 2 1000ml 74 焦性没食子酸 C6H6O3 焦倍酸、连苯三酚、焦倍酚吸入、皮肤接触及吞食有害 100g 10 500g 75 硫酸钙CaSO4 500g 停用草酸 H2C2O4 (无水) CH2O4·2H2O二水) 腐蚀性 500g 1 停用硫酸铜 CuSO胆矾有毒,具刺激性无停用靛蓝二磺酸钠 C16H10N2Na2S2 100g 100g氧化锌 ZnO 无停用硫酸亚铁 FeSO4.7H2O 500g 2碘化汞 HgI2 碘化高汞、二碘化汞极毒无停用1 2 3 4 5 6 7 8化学品危险性类别危规号规格数量包装类别月使用量储存地点使用地点化学名俗名类是否剧毒/易制毒品/腐蚀品无水氯化钙 CaCl无停用溴百里香粉C27H28Br2O5S 溴麝香草酚蓝;溴百里酚蓝;3',3''-二溴100g 2 Ⅲ 100g84 氯化钴 CoCl2 有毒,具刺激性,具致敏性500g 1 Ⅲ 100g 85 乙酸酐 C 4H6O3 醋酸酐,乙酐,醋酐,无水醋酸腐蚀性无停用 86 溴化钾 KBr 无停用 87 溴酸钾 KBrO3 无停用 88 亚硝酸钾 KNO2 无停用 89 酒石酸钾钠 C4O6H4KNa 罗氏盐;罗谢尔盐无停用酒石酸 CH6O6 500g 5 2000g喹啉 CH7N 苯并吡啶、氮杂萘 500ml 3 500ml硫酸汞 HgSO4 剧毒品 100g 100g磷酸氢二钾 KHPO4 磷酸二钾、磷酸一500g 200g氯化钾 KCl 500g 100g焦磷酸钠 Na4P2O7 刺激眼睛、呼吸系统和皮肤 500g 500g1 2 3 4 5 6 7 8化学品危险性类别危规号规格数量包装类别月使用量储存地点使用地点化学名俗名类别是否剧毒/易制毒品/偏钒酸钠 NaVO水钒钠,穆水钒钠有毒,刺激性 100g 2 200g97 碳化钙CaC2 乙炔钙,电石遇湿易燃无停用98 尿素CH4N2O 有毒 500g 1 50g 99 过硫酸钾 K2S2O8 氧化性,刺激性无停用 100 酒石酸锑钾 C8H4K2O12Sb2 500g 2 200g 101 次甲基蓝C16H18ClN3S.3H2O 四甲基蓝;盐基湖蓝;碱性亚甲天蓝 100g 2 100g 102 乙酸铵 CH3COONH4醋酸铵无停用钼酸铵 H8MoN2O4四钼酸铵;钼酸二铵;特种钼酸500g 4 2000g硼砂Na2B4O7·10H500g 3 50g硫酸铁(SO4)3 无停用卡氏试剂 500ml 10 1000ml硫酸肼H4N2·H2SO4 500g 1 10g1 2 3 4 5 6 7 8化学品危险性类别危规号规格数量包装类别月使用量储存地点使用地点化学名俗名类别是否剧毒/易制毒品/四苯硼钠H20BNa 500g 5 1000g109 缩二脲 C2H5N3O2 双缩脲,氨基甲酰脲,氨缩脲 500g 1 100g 110 丙酮 C3H6O 阿西通,醋酮,二甲酮,2-丙酮 500ml 20 5000g 111 氨水 NH4OH 刺激性气味,吸入皮肤接触有害 500ml 40 10000g 112 甲醛 HCHO 刺激性气味,吸入皮肤接触有害 500g 无停用乙酸锌 CH6O4Zn 醋酸锌,无水乙酸,无水醋酸锌 500g 40 2000g。
初中化学实验药品清单篇一:化学实验室仪器药品清单化学实验室仪器药品清单柜号:1名称数量单位规格备注硫酸15 瓶500ml 盐酸11 瓶500ml 硝酸 4 瓶500ml 磷酸 1 瓶500ml 氢氧化钾 3 瓶500g 氢氧化钠7 瓶500g 氢氧化钙13 瓶250g 钠石灰 2 瓶500g 氢氧化钡 1 瓶500g 氨水12 瓶500ml 柜号:2名称数量单位规格备注碘化钾 3 瓶500g 碘化钠1 瓶100g、500g 溴化钠3 瓶500g 溴化钾2 瓶500g 氯化铵8 瓶500g 氯化钠 4 瓶500g 氯化铜 1 瓶500g 氯化钡 4 瓶500g 氯化铝 1 瓶250g 氯化钾 1 瓶500g 氯化钙 4 瓶500g 氯化钴 3 瓶500g 氯酸钾 4 瓶500g 高锰酸钾10 瓶500g 重铬酸钾 3 瓶100g、500g 重铬酸铵1 瓶100g 硝酸钠2 瓶250g、500g 硝酸钾8 瓶500g 硝酸银9 瓶100g 硝酸铜 1 瓶100g 硝酸汞 1 瓶100g 硝酸铵 1 瓶500g 硝酸钙 1 瓶100g 柜号:3名称数量单位规格备注硫酸铜15 瓶500g 硫酸铝钾 2 瓶500g 硫酸铵10 瓶500g硫酸铝 3 瓶500g 硫代硫酸钠 2 瓶500g 硫酸亚铁 3 瓶100g、500g 硫酸钠 4 瓶500g 亚硫酸钠 4 瓶500g 硫酸锌 1 瓶500g 硫酸镁 2 瓶500g 硫化亚铁 3 瓶500g 硫化钠 1 瓶100g、500g 硫酸汞 1 瓶100g 硫酸亚铁铵 2 瓶500g 碳酸钙 3 瓶500g 大理石 6 瓶500g 碳酸钾 3 瓶500g 碳酸钠8 瓶500g 碳酸氢钠10 瓶500g 碱式碳酸铜 3 瓶500g 碳酸铜 1 瓶500g 碳酸氢铵 1 瓶500g 硅酸钠 2 瓶500g 柜号:4名称数量单位规格备注硫 1 瓶25g 碘 1 瓶25g 单质溴 1 瓶500g 铜片 2 瓶500g 铝片 1 瓶100g 铝粉2 瓶100g、50g 镁条4 袋250g 锌粒2 瓶100g、500g 还原铁粉 1 瓶500g 铅粉 2 瓶500g 汞 1 瓶250g 过氧化氢 1 瓶500ml 氧化铋 1 瓶250g 氧化钙 1 瓶500g 氧化铁 2 瓶500g 氧化铜 6 瓶500g 铂金丝棒 2 套钠 1 瓶500g 钾 1 瓶500g柜号:5名称数量单位规格备注石蕊6 瓶10g、25g 酚酞4 瓶25g 甲基橙 1 瓶25g 碱性品红 1 瓶25g 石蕊试纸15 袋红色石蕊试纸10 袋淀粉碘化钾试纸 5 袋阳离子交换树脂 1 瓶500g 柜号:6名称数量单位规格备注硫氰酸钾 1 瓶500g 硫氰化钾 1 瓶100g 硫氰化铵 1 瓶100g 铁氰化钾 1 瓶100g 柜号:7名称数量单位规格备注葡萄糖 5 瓶500g 蔗糖 3 瓶500g 可溶性淀粉 3 瓶100g 硬脂酸 2 瓶100g、500g 乙酸钠7 瓶100g、500g 乙酸钙 2 瓶500g 乙酸铅 1 瓶100g 甲醛溶液 4 瓶500ml 乙醛 4 瓶500ml 苯酚 5 瓶500g 甲酸 2 瓶500ml 乙酸 3 瓶500ml 四氯化碳 4 瓶500ml 1、2-二氯乙烷 2 瓶500ml 三氯甲烷 1 瓶500ml 溴乙烷 2 瓶500ml 乙酸乙酯 1 瓶100ml 碳化钙 1 瓶500ml 二甲苯 2 瓶500ml 苯 3 瓶500ml 石蜡 2 袋250g 乙醇24 瓶500ml 无水乙醇10 瓶500ml 丙三醇 1 瓶500ml名称数量单位规格备注贮气装置 5 套坩埚45 个蒸发皿12 个研钵18 个点滴板 3 个干燥器13 个钟罩 2 个贮液器 1 个柜号:9名称数量单位规格备注原电池实验器23 套丁达尔现象实验器25 套电泳演示器 4 套电解质溶液导电演示器 3 套水电解实验器 1 套高中演示电表 1 个学生电源 1 个立式隔膜电解槽 2 套光化学演示器 2 套试管瓶子清洗器 1 套高中化学演示实验材料 3 套初中化学演示实验材料 2 套高中分组实验材料24 套初中化学实验材料26 套柜号:10名称数量单位规格备注托盘天平25 个电子天平1 个分子结构模型29 套柜号:11名称数量单位规格备注多用电表52 个塑料多用滴管和井穴板22 套试管1300 个硬质玻璃管12 个烧瓶125 个柜号:12名称数量单位规格备注洗瓶26 个灌肠器3 个名称数量单位规格备注干燥器7 个冷凝管6 个酸式滴定管21 个碱式滴定管32 个u型管10 个牛角管 5 个t型管10 个y型管 6 个移液管15 个柜号:14名称数量单位规格备注石棉网100 个洗耳球8 个试管刷38 个坩埚钳22 个燃烧匙30 个镊子19 个试管夹80 个虑纸800 张玻璃管450 根玻璃棒200 根方座支架10 个打孔器8 套柜号:15 名称数量单位规格备注金属矿物、金属及合金1 套合成高分子材料标本1 套矿物、岩石、化石标本1 套酒精喷灯5 个煤油喷灯2 个水浴锅1 个三角架6 个投影用化学仪器 1 套长颈漏斗9 个分液漏斗36 个手摇钻孔器1 套离心沉淀器 1 套打孔器夹板2 个名称数量单位规格备注凡士林 2 瓶实验防护屏12 张气体摩尔体积模型3 套柜号:17名称数量单位规格备注棕色广口瓶23 个棕色细口瓶140 个柜号:18名称数量单位规格备注细口瓶519 个柜号:19 名称数量单位规格备注广口瓶162 个柜号:20 名称数量单位规格备注量筒76 个量杯 5 个柜号:21名称数量单位规格备注容量瓶19 个柜号:22 名称数量单位规格备注锥形瓶10 个柜号:23 名称数量单位规格备注烧杯481 个柜号:24名称数量单位规格备注漏斗50 个保温漏斗 1 个柜号:25名称数量单位规格备注酒精灯20 个柜号:26名称数量单位规格备注试管架8 个柜号:27名称数量单位规格备注集气瓶193 个玻璃片30 个名称数量单位规格备注升华管 2 套二氧化氮球25 套石棉绒100 克脱脂棉 1 袋工具箱 1 套防毒口罩 4 个温度计50 个酸度计 1 个比重计 6 个数字测温计 1 个柜号:其它名称数量单位规格备注仪器车2 辆石英钟1 个耐酸手套 2 双简易急救箱 1 套橡皮塞若干个铁架台若干个篇二:罕伯岱学校初中化学实验所需药品目录篇三:2014中考实验化学仪器药品清单2014中考化学实验用品清单A类实验操作练习题1.化学变化中的现象实验用品:大理石(或石灰石,盛放在广口瓶中)、稀盐酸(1:3,盛放在细口瓶中)、1%氢氧化钠溶液(盛放在细口瓶中,用橡胶塞)、10%硫酸铜溶液(盛放在滴瓶中)、试管(15 mm×150mm,2支)、试管架、试管夹、酒精灯、药匙、镊子、纸片、火柴、试管刷、废液缸(带过滤网)、污物杯、抹布。
实验室化学试剂配置清单
1. 引言
本文档旨在提供实验室化学试剂配置清单,以帮助实验室人员准确、安全地配置所需的化学试剂。
2. 配置清单
下面是常见化学试剂的配置清单,包括试剂名称、浓度、配制方法和注意事项:
2.1 氯化铁溶液
- 试剂名称:氯化铁(FeCl3)
- 浓度:10%(质量浓度)
- 配制方法:将20g的氯化铁溶解在200ml的去离子水中,搅拌至溶解完全。
- 注意事项:使用时需戴防护手套,避免接触皮肤和眼睛。
2.2 硫酸溶液
- 试剂名称:硫酸(H2SO4)
- 浓度:1M
- 配制方法:向800ml的去离子水中慢慢加入160ml的浓硫酸,搅拌均匀后,体积定容至1L。
- 注意事项:配制过程需小心操作,避免溅出。
2.3 碳酸氢钠溶液
- 试剂名称:碳酸氢钠(NaHCO3)
- 浓度:0.1M
- 配制方法:向800ml的去离子水中慢慢加入5.8g的碳酸氢钠,搅拌均匀后,体积定容至1L。
- 注意事项:可溶液产生二氧化碳气体,需在通风橱下操作。
2.4 硝酸银溶液
- 试剂名称:硝酸银(AgNO3)
- 浓度:0.01M(滴定用)
- 配制方法:将1.708g的硝酸银溶解在800ml的去离子水中,
搅拌均匀后,体积定容至1L。
- 注意事项:避免接触有机物及皮肤,避免光照。
3. 结论
本文档提供了实验室常见化学试剂的配置清单,方便实验室人员按照正确的方法配制所需的试剂。
在配置试剂时,请严格按照配制方法和注意事项操作,确保安全性和准确性。
(完整版)常用化学试剂清单
常用化学试剂清单
液体试剂:
高氯酸、硝酸、吡啶、苯、无水乙醇、丙酮、浓硫酸、浓盐酸、乙醚、
乙酸乙酯、石油醚、环己烷、乙酸乙酯、甲酸、丙酮、三氯甲烷、
乙酸酐、正丁醇、液体白腊、硝酸、冰醋酸、磷酸、甲醇、无水甲醇、无水乙醇、乙腈、过氧化氢、甲酸乙酯、甲苯、甲醛、乙醛、邻苯
二酚
固体试剂:
酚酞、甲基红、亚甲蓝、甲基橙、结晶紫、荧光素、高锰酸钾、铬黑
T、氨水、碳酸钠、碳酸氢钠、氢氧化钠2- 萘酚、氧化钙、硼砂、氢
氧化钡、氯化钠、碘、碘化钾、碘化铋钾、三氯化铁、硝酸银、EDTA-2Na、水杨酸、硫酸亚铁、三氯化锑、亚硝酸钠、重铬酸钾、硫酸铜、硝酸
铅、硫酸钾、醋酸按、醋酸钠、糊精、硼酸、碘。
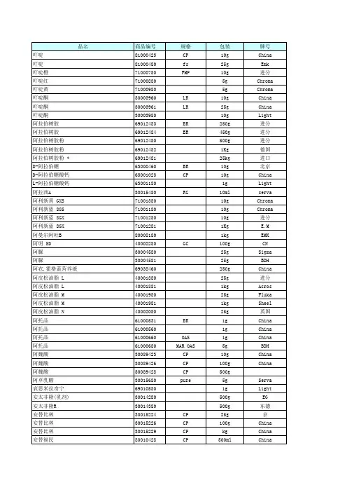
附:A包化学试剂清单即参数
序号名称规格试剂等级数量(瓶)生产厂家
1 三乙醇胺500 AR 5 广东西陇
2 氨水2500 AR 12 广东西陇
3 三乙胺500 AR 3 广东西陇
4 碘化钾500 AR 6 广东西陇
5 氯化钡500 AR 3 广东西陇
6 氯化钠500 AR 10 广东西陇
7 硝酸钴100 AR 3 广东西陇
8 乙二醇500 AR 4 广东西陇
9 对氯甲苯100 AR 2 国药
10 十二烷基苯磺酸钠250 AR 2 西陇
11 四正丁基溴化铵25 AR 2 国药
12 乙二醛500 AR 2 广东西陇
13 水杨醛250 AR 3 国药
14 氯乙酸500 AR 5 广东西陇
15 酒石酸钾钠500 AR 2 广东西陇
16 对甲苯磺酰氯250 AR 2 国药
17 蔗糖500 AR 5 广东西陇
18 氯化铵500 AR 6 广东西陇
19 无水乙醇500 AR 100 广东西陇
20 硝酸钾500 AR 5 广东西陇
21 氯酸钾500 AR 5 广东西陇
22 硫酸铵500 AR 3 广东西陇
23 氢氧化钾500 AR 4 广东西陇
24 硫代硫酸钠(无水) 500 AR 3 国药
25 碳酸氢钠500 AR 6 广东西陇
26 溴500 AR 3 广东西陇
27 四氢呋喃500 AR 6 广东西陇
28 溴代正丁烷500 AR 5 国药
29 苯500 AR 10 广东西陇
30 磷酸二氢钾500 AR 3 广东西陇
31 磷酸二氢钠500 AR 3 广东西陇
32 环已烷500 AR 15 国药
33 二氨基硫脲250 AR 2 国药
34 三氟乙酸100 AR 3 国药
35 原甲酸三乙酯500 AR 1 国药
36 苯肼100 AR 2 国药
37 十二醇500 AR 3 国药
38 十八醇500 AR 3 广东西陇
39 薄层层析硅胶500 AR 2 国药
40 苯胺500 AR 5 广东西陇
41 硬脂酸500 AR 2 广东西陇
42 升华硫500 AR 2 广东西陇
43 双氧水500 AR 20 国药
44 氯磺酸250 AR 2 广东西陇B包玻璃低值易耗品清单及参数
氮气、氩气钢质无缝气瓶参数:
C包清单及参数。