二次函数顶点式练习题
- 格式:doc
- 大小:95.00 KB
- 文档页数:3
顶点式专题训练(含答案解析)一、填空题(本大题共3小题,共9.0分)x2−x+3用配方法化成y=a(x−ℎ)2+k的形式是______ ;该二次函数图象的顶点坐标是1.把二次函数y=−14______ .2.将二次函数y=x2−2x化为顶点式的形式为:______ .3.把二次函数y=x2−2x−1配方成顶点式为______ .二、解答题(本大题共12小题,共96.0分)4.已知二次函数y=−2x2+8x−6,完成下列各题:(1)将函数关系式用配方法化为y=a(x+ℎ)2+k的形式,并写出它的顶点坐标、对称轴;(2)它的图象与x轴交于A,B两点,顶点为C,求S△ABC.5.已知二次函数y=−2x2+8x−4,完成下列各题:(1)将函数关系式用配方法化为y=a(x+ℎ)2+k形式,并写出它的顶点坐标、对称轴.(2)若它的图象与x轴交于A、B两点,顶点为C,求△ABC的面积.6.已知二次函数y=x2−6x+8.(1)将解析式化成顶点式;(2)写出它的开口方向、对称轴和顶点坐标;(3)x取什么值时,y随x的增大而增大;x取什么值时,y随x增大而减小.7.已知二次函数y=x2+2x−3.(1)将y=x2+2x−3用配方法化成y=a(x−ℎ)2+k的形式;(2)求该二次函数的图象的顶点坐标.8.用配方法将二次函数化成y=a(x−ℎ)2+k的形式,并写出顶点坐标和对称轴①y=2x2+6x−12②y=−0.5x2−3x+3.9.已知二次函数y=x2−6x+5.(1)将y=x2−6x+5化成y=a(x−ℎ)2+k的形式;(2)求该二次函数的图象的对称轴和顶点坐标;(3)当y>0时,求x的范围.10.已知二次函数y=2x2−8x+6.(1)把它化成y=a(x−ℎ)2+k的形式为:______ .(2)直接写出抛物线的顶点坐标:______ ;对称轴:______ .(3)求该抛物线于坐标轴的交点坐标.11.(1)解方程:12x(x−1)−(x−1)=0.(2)已知抛物线y=−2x2+8x−6,请用配方法把它化成y=a(x−ℎ)2+k的形式,并指出此抛物线的顶点坐标和对称轴.12.已知二次函数y=−12x2+x+32.(1)用配方法将此二次函数化为顶点式;(2)求出它的顶点坐标和对称轴方程.13.用配方法把二次函数y=x2−3x−4化成y=a(x−ℎ)2+k的形式,并写出该函数图象的开口方向、对称轴和顶点坐标.14.用配方法把函数y=−3x2−6x+10化成y=a(x−ℎ)2+k的形式,然后指出它的图象开口方向,对称轴,顶点坐标和最值.15.已知二次函数y=x2−4x+3.(1)将函数化成y=(x−ℎ)2+k的形式;(2)写出该函数图象的顶点坐标和对称轴.答案和解析【答案】(x+2)2+4;(−2,4)1. y=−142. y=(x−1)2−13. y=(x−1)2−24. 解:(1)y=−2x2+8x−6=−2(x2−4x+3)=−2(x2−4x+4−4+3.=−2(x−2)2+2,∴顶点坐标为(2,2),对称轴为直线x=2.(2)令−2(x−2)2+2=0解得:x1=3,x2=1.∴A(3,0),B(1,0)∴AB=3−1=2.∴C(2,2),×2×2=2.∴S△ABC=125. 解:(1)y=−2x2+8x−4=−2(x2−4x)−4=−2(x2−4x+4−4)−4=−2(x−2)2+4.所以,抛物线的顶点坐标为(2,4),对称轴为直线x=2.(2)令y=0得−2(x−2)2+4=0,(x−2)2=2,所以x−2=±√2,所以x1=2+√2,x2=2−√2.所以与x轴的交点坐标为A(2+√2,0),B(2−√2,0).×[(2+√2)−(2−√2)]×4=4√2.∴S△ABC=126. 解:(1)y=x2−6x+8=x2−6x+9−1=(x−3)2−1;(2)开口向上,对称轴是x=3,顶点坐标是(3,−1);(3)x>3时,y随x的增大而增大;x<3时,y随x增大而减小.7. 解:(1)y=x2+2x−3=x2+2x+1−1−3 =(x+1)2−4.(2)∵y=(x+1)2−4,∴该二次函数图象的顶点坐标是(−1,−4).8. 解:①y=2x2+6x−12=2(x+32)2−332,则该抛物线的顶点坐标是(−32,−332),对称轴是x=−32;②y=−0.5x2−3x+3=−12(x+3)2+152,则该抛物线的顶点坐标是(−3,152),对称轴是x=−3.9. 解:(1)y=x2−6x+5=x2−6x+9−4=(x−3)2−4;(2)∵y=(x−3)2−4,∴该二次函数图象的对称轴是直线x=3,顶点坐标是(3,−4);(3)x2−6x+5=0,x1=1,x2=5,当x<1或x>5时,y>0.10. y=2(x−2)2−2;(2,−2);x=211. 解:(1)12x(x−1)−(x−1)=0,分解因式得:(x−1)(12x−1)=0,可化为:x−1=0或12x−1=0,解得:x1=1,x2=2;(2)∵y=−2x2+8x−6=−2(x2−4x+4)+8−6=−2(x−2)2+2,∴此抛物线的顶点坐标是(2,2),对称轴为直线x=2.12. 解:(1)二次函数y=−12x2+x+32=−12(x−1)2+2;(2)∵二次函数y=−12(x−1)2+2,∴二次函数的顶点坐标为(1,2),抛物线的对称轴为x=1.13. 解:y=x2−3x−4=(x−32)2−254,则函数图象的开口方向向上,对称轴是x=32,顶点坐标(32,−254).14. 解:∵y=−3x2−6x+10=−3(x+1)2+13,∴开口向下,对称轴x=−1,顶点坐标(−1,13),最大值13.15. 解:(1)y=x2−4x+4−4+3=(x−2)2−1;(2)图象的顶点坐标是(2,−1),对称轴是:x=2.【解析】1. 解:y=−14x2−x+3=−14(x2+4x)+3=−14(x+2)2+4,∴顶点(−2,4).(x+2)2+4,(−2,4).故答案为:y=−14利用配方法先提出二次项系数,再加上一次项系数的一半的平方来凑成完全平方式,可把一般式转化为顶点式,从而得出顶点坐标.此题考查了二次函数表达式的一般式与顶点式的转换,并要求熟练掌握顶点公式.2. 解:y=x2−2x=x2−2x+1−1=(x−1)2−1,故答案为y=(x−1)2−1.利用配方法把二次函数的一般形式配成二次函数的顶点式.本题考查的是二次函数的三种形式,题目中给出的是一般形式,利用配方法可以化成顶点式.3. 解:y=x2−2x−1=(x2−2x+1)−1−1=(x−1)2−2,故选答案为y=(x−1)2−2.由于二次项系数为1,所以直接加上一次项系数的一半的平方来凑完全平方式,把一般式转化为顶点式.本题考查了二次函数的解析式有三种形式:(1)一般式:y=ax2+bx+c(a≠0,a、b、c为常数);(2)顶点式:y=a(x−ℎ)2+k;(3)交点式(与x轴):y=a(x−x1)(x−x2).4. (1)利用配方法整理成顶点式,然后写出顶点坐标和对称轴即可;(2)令y=0解关于x的一元二次方程,即可得到与x轴的交点坐标,然后利用三角形的面积公式计算即可;本题考查了二次函数的三种形式,二次函数的性质,二次函数图象与x轴的交点问题,熟练掌握配方法的操作整理成顶点式形式求出顶点坐标和对称轴更加简便.5. (1)利用配方法即可解决问题;(2)求出A、B、C三点坐标即可解决问题;本题考查抛物线与x轴的交点,二次函数的性质,三角形的面积等知识,解题的关键是灵活运用所学知识解决问题,属于中考常考题型.6. (1)利用配方法将解析式化成顶点式;(2)根据二次函数的性质解答;(3)根据抛物线的开口方向、对称轴以及二次函数的性质解答.本题考查的是二次函数的三种形式、配方法的应用以及二次函数的性质,灵活运用配方法把一般式化为顶点式是解题的关键.7. 本题考查了二次函数的性质以及二次函数的三种形式.二次函数的解析式有三种形式:①一般式:y=ax2+bx+c(a≠0,a、b、c为常数);②顶点式:y=a(x−ℎ)2+k;③交点式(与x轴):y=a(x−x1)(x−x2).(1)利用配方法先加上一次项系数的一半的平方来凑完全平方式,再把一般式转化为顶点式即可;(2)根据顶点坐标的求法,得出顶点坐标即可;8. ①②利用配方法先提出二次项系数,再加上一次项系数的一半的平方来凑成完全平方式,可把一般式转化为顶点式,从而得出顶点坐标和对称轴.此题考查了二次函数表达式的一般式与顶点式的转换,并要求熟练掌握顶点公式和对称轴公式.9. (1)利用配方法把一般式化为顶点式;(2)根据二次函数的性质解答;(3)求出x2−6x+5=0的解,解答即可.本题考查的是二次函数的三种形式、二次函数的性质,灵活运用配方法把一般式化为顶点式是解题的关键.10. 解:(1)y=2x2−8x+6=2(x2−4x+4)−8+6=2(x−2)2−2;(3)∵y=2x2−8x+6,∴当y=0时,2x2−8x+6=0,解得x1=1,x2=3,∴抛物线与x轴的交点坐标为(1,0),(3,0);当x=0时,y=6,∴抛物线与y轴的交点坐标为(0,6).故答案为y=2(x−2)2−2;(2,−2),x=2.(1)利用配方法先提出二次项系数,再加上一次项系数的一半的平方来凑完全平方式,把一般式转化为顶点式;(2)根据二次函数的性质,利用二次函数的顶点式即可求出抛物线的顶点坐标与对称轴;(3)把y=0代入y=2x2−8x+6,解方程求出x的值,从而得到抛物线与x轴的交点坐标;把x=0代入y=2x2−8x+6,求出y的值,从而得到抛物线与y轴的交点坐标.本题考查了二次函数的解析式有三种形式:(1)一般式:y=ax2+bx+c(a≠0,a、b、c为常数);(2)顶点式:y=a(x−ℎ)2+k;(3)交点式(与x轴):y=a(x−x1)(x−x2).同时考查了二次函数的性质以及抛物线与坐标轴交点坐标的求法.11. (1)先将把方程左边化为两个一次因式积的形式,然后根据两数相乘积为0,两因式至少有一个为0转化为两个一元一次方程,求出方程的解即可得到原方程的解;(2)先利用配方法提出二次项系数,加上一次项系数的一半的平方来凑完全平方式,把一般式转化为顶点式,再根据二次函数的性质即可写出抛物线的对称轴和顶点坐标.本题考查了二次函数解析式的三种形式,二次函数的性质及解一元二次方程−因式分解法,难度适中.12. (1)利用配方法将二次函数的一般式变形为顶点式,此题得解;(2)根据二次函数的顶点式,结合二次函数的性质即可得出顶点坐标以及对称轴.本题考查了二次函数的三种形式以及二次函数的性质,利用配方法将二次函数的一般式变形为顶点式是解题的关键.13. 运用配方法把二次函数的一般式化为顶点式,根据二次函数的性质解答即可.本题考查的是二次函数的三种形式,正确运用配方法把二次函数的一般式化为顶点式是解题的关键,14. (1)这个函数的二次项系数是−3,配方法变形成y=(x+ℎ)2+k的形式,配方的方法是把二次项,一次项先分为一组,提出二次项系数−3,加上一次项系数的一半,就可以变形成顶点式的形式.(2)二次函数的一般形式中的顶点式是:y=a(x−ℎ)2+k(a≠0,且a,h,k是常数),它的对称轴是x=ℎ,顶点坐标是(ℎ,k).本题主要是对抛物线一般形式中对称轴,顶点坐标的考查,是中考中经常出现的问题.15. (1)把一般式利用配方法化为顶点式即可;(2)利用顶点式求得顶点坐标和对称轴即可.此题考查二次函数的解析式的三种形式:(1)一般式:y=ax2+bx+c(a≠0,a、b、c为常数);(2)顶点式:y=a(x−ℎ)2+k;(3)交点式(与x轴):y=a(x−x1)(x−x2).。
一、 用顶点式求二次函数解析式。
例题:已知抛物线的顶点为(1,3)经过点(3,0) 解:设抛物线的解析式为k h x a y +-=2)( 把顶点(1,3)代入得:3)1(2+-=x a y 把点(3,0)代入得:03)13(2=+-a解得:43-=a ∴抛物线解析式为:3)1(432+--=x y练习1:已知抛物线的顶点为(-1,4)经过点(2,-5)2.已知抛物线y =ax 2经过点A (1,1).(1)求这个函数的解析式;3.已知二次函数的图象顶点坐标为(-2,3),且过点(1,0),求此二次函数的解析式.4.抛物线y =ax 2+bx +c 的顶点坐标为(2,4),且过原点,求抛物线的解析式.5.已知二次函数为x =4时有最小值 -3且它的图象与x 轴交点的横坐标为1,求此二次函数解析式.6.抛物线y =ax 2+bx +c 经过(0,0),(12,0)两点,其顶点的纵坐标是3,求这个抛物线的解析式.7.把抛物线y =(x -1)2沿y 轴向上或向下平移后所得抛物线经过点Q (3,0),求平移后的抛物线的解析式.8.已知二次函数m x x y +-=62的最小值为1,求m 的值.9.已知抛物线经过A (0,3),B (4,6)两点,对称轴为x=53 ,求这条抛物线的解析式;10. 若一抛物线与x 轴两个交点间的距离为8,且顶点坐标为(1, 5),则它们的解析式为 。
二、 用三个点求二次函数解析式 例题:二次函数的图象经过(-1,10),(1,4),(2,7) 解:设二次函数的解析式为:c bx axy ++=2把点(-1,10),(1,4),(2,7)代入得:⎪⎩⎪⎨⎧=++=++=+-724410c b a c b a c b a 解得:⎪⎩⎪⎨⎧=-==532c b a ∴抛物线解析式为:5322+-=x x y练习11:二次函数的图象经过(0,0),(-1,-1),(1,9)12.已知二次函数y=ax 2+bx +c ,当 x=0时,y=0;x=1时,y=2;x=-1时,y=1.求a 、b 、c ,并写出函数解析式。
可编辑二次函数顶点式练习1、二次函数y=2x 2-4的顶点坐标为________,对称轴为__________。
2、二次函数1)3(22-+-=x y 由1)1(22+--=x y 向_____平移_______个单位,再向_____平移_______个单位得到。
3、抛物线3)2(32-+=x y 可由抛物线2)2(32++=x y 向 平移个单位得到. 4、将抛物线2)3(652+-=x y 向右平移3个单位,再向上平移2个单位,得到的抛物线是 。
5、把抛物线1)1(2---=x y 向 平移 个单位,再向_____平移_______个单位得到抛物线3)2(2-+-=x y .6、抛物线21(4)72y x =+-的顶点坐标是 ,对称轴是直线 ,它的开口向 ,在对称轴的左侧,即当x< 时,y 随x 的增大而 ;在对称轴的右侧,即当x> 时,y 随x 的增大而 ;当x= 时,y 的值最 ,最 值是 。
7、将抛物线y=3x 2向左平移6个单位,再向下平移7个单位所得新抛物线的解析式为 。
8、 若一抛物线形状与y =-5x 2+2相同,顶点坐标是(4,-2),则其解析式是__________________.9、两个数的和为8,则这两个数的积最大可以为 ,若设其中一个数为x ,积为y ,则y 与x 的函数表达式为 .10、一根长为100m 的铁丝围成一个矩形的框子,要想使铁丝框的面积最大, 边长分别为 .11、若两个数的差为3,若其中较大的数为x ,则它们的积y 与x 的函数表达式为 ,它有最 值,即当x= 时,y= .12、边长为12cm 的正方形铁片,中间剪去一个边长为x 的小正方形铁片,剩下的四方框铁片的面积y (cm2)与x (cm )之间的函数表达式为 .13、等边三角形的边长2x 与面积y 之间的函数表达式为 .14、 二次函数y =x 2的图象向右平移3个单位,得到新的图象的函数表达式是( )A. y =x 2+3B. y =x 2-3C. y =(x+3)2D. y =(x -3)215、二次函数y =-(x -1)2+3图像的顶点坐标是( )A. (-1,3)B. (1,3)C. (-1,-3)D. (1,-3)16、 二次函数y =x 2+x -6的图象与x 轴交点的横坐标是( )A. 2和-3B. -2和3C. 2和3D. -2和-3 17、二次函数2y ax =的图像开口向___,对称轴是____,顶点坐标是____,图像有最___点,x ___时,y 随x 的增大而增大,x ___时,y 随x 的增大而减小。
二次函数顶点式的练习题一、填空题1. 已知二次函数的顶点为(3,2),则该二次函数的顶点式为______。
2. 二次函数y = x^2 + 4x + 5的顶点坐标是______。
3. 二次函数y = (x 1)^2 + 3的顶点坐标是______。
4. 已知二次函数的顶点式为y = a(x + 3)^2 4,其中a为常数,则该函数的对称轴是______。
5. 二次函数y = 2(x 2)^2 + 8的开口方向是______。
二、选择题1. 下列二次函数中,顶点坐标为(0,0)的是()。
A. y = x^2 1B. y = 2x^2C. y = x^2D. y = x^2 + 12. 已知二次函数的顶点式为y = a(x h)^2 + k,下列说法正确的是()。
A. 当a > 0时,函数开口向上B. 当a < 0时,函数开口向上C. 当h > 0时,对称轴在y轴右侧D. 当k > 0时,顶点在x轴上方3. 二次函数y = (x + 2)^2 3的图像沿x轴向右平移3个单位,得到的函数解析式为()。
A. y = (x 1)^2 3B. y = (x + 5)^2 3C. y = (x + 2)^2 + 3D. y = (x 2)^2 3三、解答题1. 已知二次函数的顶点式为y = 2(x 3)^2 + 7,求该函数的对称轴、开口方向和顶点坐标。
2. 将二次函数y = x^2 4x + 3化为顶点式,并求出顶点坐标。
3. 已知二次函数的图像经过点(1,3)和(3,3),且顶点在x 轴上,求该二次函数的顶点式。
4. 已知二次函数的图像开口向上,顶点坐标为(2,5),且经过点(0,1),求该二次函数的顶点式。
5. 将二次函数y = x^2 + 6x + 9的图像沿x轴翻折,再沿y轴翻折,得到的函数解析式是什么?并求出新的顶点坐标。
四、应用题2. 一运动员在水平地面上进行跳远训练,其跳跃的轨迹可以看作是一个开口向下的二次函数。
已知函数()412-+=xy.(1)该抛物线经过怎样的平移能经过原点.(2)画出该函数图象,并根据图象回答:当x取何值时,函数值大于0;当x取何值时,函数值小于0.1、二次函数khx ay+-=2)(的图像和2axy=的图像之间的关系。
2.二次函数y=a(x-h)2+k的性质:问题一:将一般式转化为顶点式试将下列函数转化为顶点式,并说出其对称轴,顶点坐标。
《(1)262y x x =-- (2)2124y x x =--+ (3)2961y x x =-+问题二:顶点坐标公式将2y ax bx c =++转化为顶点式:22222222222424y ax bx cb c a x x a a b b b c a x a a a a b ac b a x a a =++⎛⎫=++ ⎪⎝⎭⎡⎤⎛⎫⎛⎫=+⋅+-+⎢⎥⎪ ⎪⎝⎭⎝⎭⎢⎥⎣⎦-⎛⎫=++⎪⎝⎭22,24,24y ax bx c bx ab ac b a a =++=-⎛⎫-- ⎪⎝⎭因此,二次函数的图像是一条抛物线,它的对称轴是直线顶点是利用顶点坐标公式填写下列表格:问题三:y=a(x-2)(x+3)与x轴的交点坐标是,二次函数图象的顶点坐标,对称轴,开口方向。
例1当x= 时,二次函数y=x2+2x-2有最小值.例2、若抛物线y=-x2+4x+k的最大值为3,则k=【试一试:1、函数21262y x x=+-的顶点坐标为,当x= 时,y取最值为.与坐标轴的交点坐标,分析增减性,用5点作图法完成作图。
2、当x为实数时,代数式x2-2x-3的最小值是,此时x= .3、求二次函数62+--=x x y 的图象与x 轴和y 轴的交点坐标五、课后练习:1、抛物线y=2x 2-4x+3的顶点坐标是2、二次函数y=x 2+2x-3的图象的对称轴是直线3、抛物线y=-3x 2+1的顶点坐标是4、二次函数y=-(x+1)2-2的图象开口向 ,对称轴为 ,顶点坐标为6、抛物线y=-2x 2-4x+1的顶点关于x 轴对称的点的坐标为 #7、二次函数y=ax 2-2x+1的图象经过点(1,2),则其图象的开口方向8、函数y=-x 2+2x-3的对称轴是 ,有最 值,且最值为9、已知二次函数y=-x 2+2x+c 2的对称轴和x 轴相交于点(m ,0),则m 的值为10、抛物线y=2x 2-bx+3的对称轴是直线x=1,则b 的值为 11、二次函数y=x 2-2x+3的最小值是12、二次函数y=mx 2-4x+1有最小值-3,则m 等于 13、将抛物线y=x 2-2向左平移3个单位,所得抛物线的函数表达式为14、在平面直角坐标系中,将二次函数y=(x-2)2+2的图象向左平移2个单位,所得图象对应的函数解析式为 15、将抛物线y=x 2+x 向下平移2个单位,所得抛物线的表达式是16、把抛物线y=x 2+bx+c 的图象向右平移3个单位,再向下平移2个单位,所得图象的解析式为y=x 2-2x+3,则b 的值为 17、已知二次函数y=x 2+2mx+2,当x >2时,y 的值随x 值的增大而增大,则实数m 的取值范围是 .8、二次函数c bx x y ++=2的图象沿x 轴向左平移2个单位,再沿y 轴向上平移3个单位,得到的图象的函数解析式为122+-=x x y ,则b 与c 分别等于( )。
数学试卷一、填空题(共50小题;共250分)1. 请写出一个开口向下,并且过坐标原点的抛物线的表达式,y=.2. 写出一个开口向下,顶点在第一象限的二次函数的表达式 .3. 若抛物线y=ax2+bx+c的顶点是A(2,1),且经过点B(1,0),则抛物线的函数关系式为.4. 抛物线的顶点在原点,且过点(3,−27),则这条抛物线的解析式为.5. 二次函数y=−x2−2x+1化成y=a(x−ℎ)2+k的形式是.x2+3形状相同,开口方向相反,顶点坐标是(−5,0).根据以上6. 已知一抛物线与抛物线y=−13特点,试写出该抛物线的表达式为.7. 如图,已知二次函数y=x2+bx+c的图象经过点(−1,0),(1,−2),当y随x的增大而增大时,x的取值范围是.8. 若把函数y=x2+6x+5化为y=(x−m)2+k的形式,其中m,k为常数,则k−m=.9. 已知抛物线与x轴交点的横坐标分别为3,1;与y轴交点的纵坐标为6,则二次函数的关系式是.10. 请写出一个开口向上,对称轴为直线x=2,且与y轴的交点坐标为(0,3)的抛物线对应的函数表达式:.11. 若二次函数的图象开口向下,且经过(2,−3)点.符合条件的一个二次函数的解析式为.12. 若把二次函数y=x2+6x+2化为y=(x−ℎ)2+k的形式,其中ℎ,k为常数,则ℎ+k=.13. 将二次函数y=x2−2x−5化为y=a(x−ℎ)2+k的形式为y=.14. 抛物线的顶点坐标为(1,−2),且过点(2,3),则函数的关系式:.15. 如果二次函数y=x2+bx+c配方后为y=(x−2)2+1,那么c的值为.16. 若抛物线y=ax2经过点(−3,4),则这函数的解析式是.17. 如图,在平面直角坐标系xOy中,点O是边长为2的正方形ABCD的中心.写出一个函数y=x2+c,使它的图象与正方形ABCD有公共点,这个函数的表达式为.18. 有一个二次函数的图象,三位同学分别说出了它的一些特点:甲:对称轴为直线x=2;乙:与x轴两个交点的横坐标都是整数;丙:与y轴交点的纵坐标也是整数,且以这三个点为顶点的三角形面积为3.请你写出满足上述全部特点的一个二次函数解析式.19. 已知二次函数的图象开口向下,且其图象顶点位于第一象限内,请写出一个满足上述条件的二次函数解析式为(表示为y=a(x+m)2+k的形式).20. 把二次函数y=x2−12x化为形如y=a(x−ℎ)2+k的形式:.21. 二次函数y=x2+bx+c的图象经过点(2,11)和点(−1,−7),则它的解析式为.22. 将二次函数y=x2−2x化为顶点式的形式为:.x2+3的图象形状相同,但开口方向不同,顶点坐标是(4,5)的抛物线的解析23. 形状与y=−12式.24. 用配方法将二次函数y=4x2−24x+26写y=a(x−ℎ)2+k的形式是.25. 将二次函数y=x2−4x+5化成y=(x−ℎ)2+k的形式,则y=.x2−2x+1写成y=a(x−ℎ)2+k的形式,结果为.26. 用配方法将y=1327. 若把函数y=x2−2x−3化为y=(x−m)2+k的形式,其中m,k为常数,则m+k=.28. 将y=2x2−12x−12变为y=a(x−m)2+n的形式,则m⋅n=.29. 若抛物线y=ax2+bx+c与x轴的一个交点为A(3,0),与y轴的交点为B(0,3),对称轴为直线x=1,则该抛物线对应的函数表达式为.30. 将函数y=x2−2x+3写成y=a(x−ℎ)2+k的形式为.31. 请写出一个图象的对称轴是直线x=1,且经过(0,1)点的二次函数的表达式:.32. 将抛物线y=x2−6x+5化为y=a(x−ℎ)2+k的形式为.33. 将函数y=x2−2x+4化为y=a(x−ℎ)2+k的形式为.34. 已知二次函数y=x2+bx+c的图象经过点A(−1,0),B(1,−2),该图象与x轴的另一交点为C,则AC的长为.35. 把二次函数的表达式y=x2−4x+6化为y=a(x−ℎ)2+k的形式,那么ℎ+k=.36. 抛物线y=−x2+bx+c的图象如图所示,则此抛物线的解析式为.37. 已知二次函数y=x2+bx+c,当x=2时,y=0;当x=−1时,y=3,则这个二次函数的解析式为.x2+3x+3化成y=a(x+m)2+k的形式为.38. 把二次函数y=−1439. 二次函数的图象的顶点坐标是(−2,3),它与y轴的交点坐标是(0,−3).40. 将y=(2x−1)(x+2)+1化成y=a(x−ℎ)2+k的形式为.41. 二次函数y=x2−2x+6化为y=(x−m)2+k的形式,则m+k=.42. 将二次函数y=x2−4x+9化成y=a(x−ℎ)2+k的形式.时,y=0,则这个二次函43. 一个二次函数,当自变量x=0时,函数值y=−1,当x=−2与12数的解析式是.44. 将二次函数y=x2−4x+5化为y=(x−ℎ)2+k的形式,那么ℎ+k=.45. 已知二次函数y=−x2+2x−3,用配方法化为y=a(x−ℎ)2+k的形式为.46. 若将二次函数y=x2−2x+3配方为y=a(x−ℎ)2+k的形式,则y=.47. 若把二次函数y=x2−2x+3化为y=(x−m)2+k的形式,其中m,k为常数,则m+k=.48. 抛物线y=ax2+bx+c(a≠0)经过点(1,2)和(−1,−6)两点,则a+c=.x2+6x−17配方成y=a(x+ℎ)2+k的形式是.49. 把y=−1250. 设抛物线y=ax2+bx+c(a≠0)过A(0,2),B(4,3),C三点,其中点C在直线x=2上,且点C到抛物线对称轴的距离等于1,则抛物线对应的函数表达式为.答案第一部分1. −x 2+2x (答案不唯一 )2. y =−3(x −2)2+3 (不唯一)3. y =−x 2+4x −3【解析】设抛物线的解析式为 y =a (x −2)2+1,将 B (1,0) 代入 y =a (x −2)2+1 得,a =−1,函数解析式为 y =−(x −2)2+1,展开得 y =−x 2+4x −3.4. y =−3x 25. y =−(x +1)2+26. y =13(x +5)27. x ≥12【解析】解析:依题意,有{0=(−1)2−b +c,−2=1+b +c,解得 {b =−1,c =−2,∴y =x 2−x −2,对称轴为 x =12,∴ 当 x ≥12 时,y 随 x 的增大而增大.8. −19. y =2x 2−8x +610. y =x 2−4x +3(答案不唯一)11. y =−x 2−2x +5(答案不唯一)【解析】由题意得,二次函数的图象开口向下,且经过 (2,−3) 点, y =−x 2−2x +5 符合要求.但答案不唯一.12. −1013. (x −1)2−614. y =5(x −1)2−215. 516. y =49x 217. 答案不惟一,如 y =x 2.(说明:写成 y =x 2+c 的形式时,c 的取值范围是 −2≤c ≤1)18. y =(x −1)(x −3),y =−(x −1)(x −3),y =15(x +1)(x −5),y =−15(x +1)(x −5) 写出其中一个即可19. y =−(x −1)2+1(答案不唯一)20. y =(x −6)2−3621. y =x 2+5x −322. y =(x −1)2−123. y =12(x −4)2+524. y =4(x −3)2−1025. (x −2)2+126. y =13(x −3)2−2 27. −328. −90【解析】y=2x 2−12x −12=2(x 2−6x +9)−30=2(x −3)2−30.所以 m =3,n =−30.29. y =−x 2+2x +330. y =(x −1)2+231. y =x 2−2x +1(答案不唯一)32. y =(x −3)2−433. y =(x −1)2+334. 3【解析】提示:解析式为 y =x 2−x −2 .35. 436. y =−x 2+2x +337. y =x 2−2x38. y =−14(x −6)2+1239. y =−32(x +2)2+340. y =2(x +34)2−17841. 642. y =(x −2)2+543. y =x 2+32x −1 44. 345. y =−(x −1)2−246. (x −1)2+247. 3【解析】y =x 2−2x +3=(x −1)2+2,∴m =1,k =2.∴m +k =3.48. −249. y =−12(x −6)2+150. y =18x 2−14x +2 或 y =−18x 2+34x +2【解析】∵A (0,2),B (4,3),C 三点在抛物线上,∴c =2,16a +4b +2=3,又 ∵ 点 C 在直线 x =2 上,且点 C 到抛物线对称轴的距离等于 1, ∴ 对称轴为直线 x =1 或 x =3,当对称轴为直线 x =1 时,{−b 2a =1,16a +4b +2=3. 解得 {a =18,b =−14. ∴y =18x 2−14x +2, 当对称轴为直线 x =3 时,{−b 2a =3,16a +4b +2=3. 解得 {a =−18,b =34. ∴y =−18x 2+34x +2.。
二次函数顶点式和一般式课前检测:在同一坐标系内,函数y =kx 2和y =kx -2(k ≠0)的图象大致如图( )函数y=a (x -h )2+k (顶点式)的图像和性质1. 抛物线y=(x+1)2+2的顶点坐标是_________,对称轴是________2. 将抛物线y= -(x -2)2向右平移2个单位,再向下平移1个单位,得到的解析式是________3.抛物线()3-1212+-=x y ,开口向 ,对称轴 ,顶点坐标是 ,当x _____时,y 随x 的增大而增大;当x _____时,y 随x 的增大而减小;当x _____时,函数y 有_____值,这个值是_______。
4.已知A(−1,y1),B(2,y2)是抛物线y=−(x+2)2+1上的两点,则y1,y2的大小关系( )A. y1>y2B. y1≥y2C. y1<y2D. y1≤y25.对于抛物线()31212++-=x y ,下列结论:①抛物线的开口向下 ②对称轴为直线x =1 ③顶点坐标为(—1,3) ④x >1时,y 随x 的增大而减小,其中正确的个数为( ) A 、 1个 B 、2个 C 、 3个 D 、 4个根据顶点、对称轴求抛物线解析式1.把抛物线y=-2(x -1)2向上平移k 个单位使所得的抛物线经过点(-2,-10).求k 的值.2.抛物线的顶点为(1,2),且形状与y=x2相同,开口向上,求抛物线的解析式。
3.抛物线的顶点为(2,-3),且经过(1,-1),求抛物线的解析式。
4.已知二次函数y=x2+bx+c的图象向左平移2个单位,再向上平移3个单位,得到二次函数y=(x-1)2+2.(1)求b,c的值;(2)当1≤x≤4时,求二次函数y=x2+bx+c的最大值和最小值.5.已知二次函数y=(x+m)2+k的顶点为(1,−4)(1)求二次函数的解析式及图象与x轴交于A. B两点的坐标。
(2)将二次函数的图象沿x轴翻折,得到一个新的抛物线,求新抛物线的解析式。
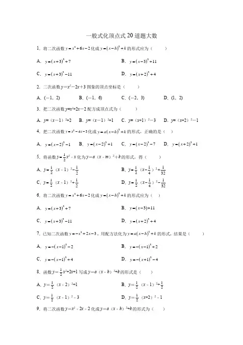
一般式化顶点式20道题大数1.将二次函数262y x x =+-化成()2y x h k =-+的形式应为( )A .()237y x =++B .()2311y x =-+C .()2311y x =+-D .()224y x =++2.二次函数y =x 2-2x +3图象的顶点坐标是( )A .(-1,2)B .(-1,6)C .(-2,3)D .(1,2) 3.把二次函数y =x 2+2x -2配方成顶点式为( )A .y =(x -1)2+2B .y =(x -1)2+1C .y =(x +1)2-3D .y =(x +2)2-1 4.把二次函数243y x x =--化成()2y a x h k =-+的形式,正确的是( )A .()221y x =--B .()221y x =-+C .()227y x =--D .()221y x =++ 5.将函数y 12=x 2﹣x 化为y =a (x ﹣m )2+k 的形式,得( )A .y 12=(x ﹣1)212- B .y 12=(x 14-)2132+C .y 12=(x ﹣1)212+D .y 12=(x 14-)2132-6.将二次函数262y x x =+-化成()2y x h k =-+的形式应为( )A .()237y x =++B .()311y x =-+C .()2311y x =+-D .()224y x =++7.已知二次函数223y x x =-+-,用配方法化为()2y a x h k =-+的形式,结果是( )A .()212y x =---B .()212y x =--+C .()214y x =--+D .()214y x =-+-8.函数y =12x 2+2x +1写成y =a (x ﹣h )2+k 的形式是( )A .y =12(x ﹣2)2+1 B .y =12(x ﹣1)2+12C .y =12(x ﹣1)2﹣3D .y =12(x +2)2﹣19.将二次函数y =x 2﹣2x ﹣2化成y =a (x ﹣h )2+k 的形式为( )A .y =(x ﹣2)2﹣2B .y =(x ﹣1)2﹣3C .y =(x ﹣1)2﹣2D .y =(x ﹣2)2﹣3 10.将函数221y x x =--配方后得到的结果是( )A .()211y x =--B .()212y x =--C .()211y x =---D .()212y x =-+ 11.把二次函数223y x x =-+化为顶点式,结果正确的是( )A .2(1)4y x =-+B .2y (x 1)4=+-C .2(1)2y x =++D .2(1)2y x =-+12.求二次函数223y x x =--图象的顶点坐标和对称轴.13.对于抛物线243y x x =++.(1)求抛物线与坐标轴的交点坐标;(2)求抛物线的顶点坐标;14.已知二次函数223y x x =--.(1)将223y x x =--化成2()y a x h k =-+的形式;(2)写出该二次函数图象的顶点坐标.15.已知抛物线2441y x x =--.(1)求它的对称轴和顶点坐标;(2)写出一种将它平移成抛物线24y x =的方法.16.求抛物线2231y x x =-+的顶点和对称轴.17.利用配方法把二次函数y =﹣x 2+4x +1化成y =a (x ﹣h )2+k 的形式.18.已知二次函数y =﹣x 2+2x+3.(1)写出这个二次函数的开口方向、对称轴、顶点坐标和最大值;(2)求出这个抛物线与坐标轴的交点坐标.19.已知二次函数2y x 4x 3=-+.()1用配方法将其化为2y a(x h)k =-+的形式;()2在所给的平面直角坐标系xOy 中,画出它的图象.20.在平面直角坐标系中,已知一个二次函数的图象经过()1,1、()0,4-、()2,4三点. (1)求抛物线的解析式;(2)求抛物线的对称轴和顶点坐标.参考答案:1.C【解析】【分析】利用配方法把二次函数的一般式化为顶点式,判断即可.【详解】解:y=x2+6x-2=x2+6x+9-9-2=(x+3)2-11,故选:C.【点睛】本题考查的是二次函数的三种形式,掌握利用配方法把二次函数的一般式化为顶点式的一般步骤是解题的关键.2.D【解析】【分析】将二次函数配方成顶点式后即可确定其顶点坐标.【详解】解:把y=x2-2x+3化为顶点式为y=(x-1)2+2,所以二次函数y=x2-2x+3的图象顶点坐标为(1,2).故选:D.【点睛】本题考查了二次函数的性质,化成顶点解析式确定二次函数的顶点坐标是解决二次函数的有关题目的关键.3.C【解析】【分析】根据配方法的步骤完成即可.【详解】222y x x x x x22(2+1)12(+1)3【点睛】本题考查了二次函数的图象与性质、配方法的应用,关键是配方.4.C【解析】【分析】利用配方法把原式化为24443,y x x再写成顶点式即可得到答案.【详解】解:243y x x=--24443x x227,x故选C【点睛】本题考查的是把抛物线的一般式化为顶点式,掌握“利用配方的方法把一般式化为顶点式”是解本题的关键.5.A【解析】【分析】利用配方法先提出二次项系数,再加上一次项系数的一半的平方来凑完全平方式,把一般式转化为顶点式.【详解】解:y=12x2-x=12(x2-2x+1)-12=12(x-1)2-12,故选:A.【点睛】本题考查了二次函数的解析式的顶点式.熟练掌握配方法是解题的关键.6.C【解析】【分析】运用配方法把一般式化为顶点式即可.解:y =x 2+6x -2=x 2+6x +9-9-2=(x +3)2-11,故选:C .【点睛】本题考查的是二次函数的三种形式,正确运用配方法把一般式化为顶点式是解题的关键. 7.A【解析】【分析】利用配方法先提出二次项系数,再加上一次项系数的一半的平方来凑完全平方式,把一般式转化为顶点式.【详解】解:y =-x 2+2x -3=-(x 2-2x +1)+1-3=-(x -1)2-2,故选:A .【点睛】本题考查了二次函数解析式的三种形式:(1)一般式:y =ax 2+bx +c (a ≠0,a 、b 、c 为常数);(2)顶点式:y =a (x -h )2+k ;(3)交点式(与x 轴):y =a (x -x 1)(x -x 2).8.D【解析】【分析】把函数解析式配方即可.【详解】 配方得:221121(2)122y x x x =++=+- 故选:D .【点睛】本题考查了用配方法把二次函数的一般式化为顶点式,这是二次函数学习中常用到的变形,务必掌握.9.B【解析】【分析】利用配方法整理即可得解.【详解】解:y =x 2-2x -2=x 2-2x +1-3=(x -1)2-3,所以,y =(x -1)2-3.故选:B .【点睛】此题考查了配方法,熟练掌握因式分解的方法是解本题的关键.10.B【解析】【分析】根据配方法把二次函数的一般式化为顶点式即可.【详解】解:y =x 2-2x -1=x 2-2x +1-1-1=(x -1)2-2,故选:B .【点睛】本题考查了二次函数的三种形式,掌握用配方法把一般式化为顶点式是解题的关键. 11.D【解析】【分析】根据式子的特点,利用完全平方公式变形即可.【详解】解:22223212(1)2y x x x x x =-+=-++=-+,故选:D .【点睛】此题主要考查了化二次函数一般式为顶点式,正确应用完全平方公式是解题关键. 12.顶点坐标为:(1,-4),对称轴为x =1.【解析】【分析】把二次函数一般式化为顶点式,即可得到顶点坐标与对称轴.【详解】解:∵223y x x =--,把二次函数化为顶点式为:22214(1)4y x x x =-+-=--;∵顶点坐标为:(1,-4),∵对称轴为x =1.【点睛】本题考查了二次函数的性质,解题的关键是熟练把二次函数的一般式化为顶点式. 13.(1)与x 轴交点的坐标为:()1,0,()3,0,与y 轴交点的坐标为()0,3;(2)()2,1-【解析】【分析】(1)令0y =,得出关于x 的一元二次方程,解方程,求出x 的值即为抛物线与x 轴的交点坐标;(2)将解析式由一般式转化成顶点式,从而得出抛物线的顶点坐标.【详解】(1)令0y =,则2430x x -+=,解得11x =,23x =,所以该抛物线与x 轴交点的坐标为:()1,0,3,0,令0x =,则3y =,所以该抛物线与y 轴交点的坐标为()0,3.(2)由抛物线2243(2)1y x x x =-+=--则该抛物线的顶点坐标是()2,1-.【点睛】本题考查二次函数的基本定义,掌握二次函数的性质是解题的关键.14.(1)2(1)4y x =--,(2)(14),-,【解析】【分析】(1)利用配方法化成顶点式即可;(2)根据顶点式写出顶点坐标即可.【详解】解:(1)223y x x =--,2214y x x =-+-,2(1)4y x =--;(2)∵二次函数顶点式为2(1)4y x =--,∵二次函数图象的顶点坐标为(14),-.【点睛】本题考查了用配方法把二次函数解析式化为顶点式,解题关键是熟练运用配方法进行转化,明确顶点式的意义.15.(1)对称轴为12x = ,顶点坐标为1,22⎛⎫- ⎪⎝⎭;(2)先向左平移12 个单位,再向上平移2个单位(答案不唯一).【解析】【分析】(1)利用配方法将抛物线 解析式化为顶点式,即可求解;(2)将抛物线2441y x x =--先向左平移12 个单位,再向上平移2个单位,即可求解【详解】 解:(1)∵221441422⎛⎫=--=-- ⎪⎝⎭y x x x ∵抛物线的对称轴为12x = ,顶点坐标为1,22⎛⎫- ⎪⎝⎭; (2)可将抛物线2441y x x =--先向左平移12 个单位,再向上平移2个单位,可得到抛物线24y x =.【点睛】本题主要考查了二次函数的对称轴,顶点坐标,以及抛物线的平移,熟练掌握二次函数的解析式是解题的关键.16.顶点坐标为31,48⎛⎫- ⎪⎝⎭,对称轴是34x =. 【解析】【分析】将抛物线解析式配方为顶点式,可求顶点坐标和对称轴.【详解】解:∵2231231248y x x x ⎛⎫=-+=-- ⎪⎝⎭, ∵抛物线2231y x x =-+的顶点坐标为3148⎛⎫- ⎪⎝⎭,,对称轴是34x =. 【点睛】本题考查了二次函数的三种形式的转化,二次函数的性质,是基础题,熟练掌握配方法是以及二次函数的性质是解题的关键.17.2(2)5y x =--+【解析】【分析】根据常数项是一次项系数一半的平方,利用配方法把二次函数241y x x =--+配成2(44)14y x x =--+++的形式,整理之后就可以化成2()y a x h k =-+的形式.【详解】解:241y x x =--+2=(44)14x x ++-+-()225x =--+ 所以把二次函数241y x x =--+化成2()y a x h k =-+的形式为:2(2)5y x =--+.【点睛】本题考查的是二次函数的一般式转化成顶点式,属于概念题型.解题的关键在于熟练掌握配方法的运用以及熟记顶点式的函数表达式.18.(1)见解析;(2) 与x 轴的交点坐标是(﹣1,0),(3,0),与y 轴的交点坐标是(0,3).【解析】【分析】(1)根据二次项系数确定开口方向,根据顶点坐标公式确定顶点坐标和对称轴. (2)当y =0时,﹣x 2+2x +3=0,解方程可求得与x 轴的交点为(﹣1,0),(3,0);当x =0时,y =3,即求得与y 轴的交点坐标为(0,3).【详解】解:∵y =﹣x 2+2x+3=﹣(x ﹣1)2+4∵开口方向向下,对称轴x =1,顶点坐标是(1,4)当x =1时,y 有最大值是4;(2)∵当y =0时,﹣x 2+2x+3=0,解得x 1=﹣1,x 2=3当x =0时,y =3∵抛物线与x 轴的交点坐标是(﹣1,0),(3,0),与y 轴的交点坐标是(0,3).故答案为(1)见解析;(2) 与x 轴的交点坐标是(﹣1,0),(3,0),与y 轴的交点坐标是(0,3).【点睛】本题考查二次函数的性质,解题的关键是利用解析式求坐标轴的交点以及顶点坐标公式. 19.(1)2(x 2)1--;(2)见解析.【解析】【分析】(1)利用配方法把二次函数解析式化成顶点式即可;(2)利用描点法画出二次函数图象即可.【详解】解:()21y x 4x 3=-+=222x 4x 223-+-+=2(x 2)1--()22y (x 2)1=--,∴顶点坐标为()2,1-,对称轴方程为x 2=.函数二次函数2y x 4x 3=-+的开口向上,顶点坐标为()2,1-,与x 轴的交点为()3,0,()1,0, ∴其图象为:故答案为(1)2(x 2)1--;(2)见解析.【点睛】本题考查二次函数的配方法,用描点法画二次函数的图象,掌握配方法是解题的关键. 20.(1)y=-x 2+6x -4;(2)x=3;(3,5).【解析】【分析】(1)设该二次函数的解析式为()2y ax bx c a 0=++≠,利用待定系数法求a ,b ,c 的值,得到二次函数的解析式即可;(2)利用配方法将二次函数的解析式变成顶点式,即可求出对称轴和顶点坐标.【详解】解:(1)设该二次函数的解析式为()2y ax bx c a 0=++≠由这个二次函数过()0,4-,可知:c 4=-,再由二次函数的图象经过()1,1、()2,4,得:{a b 414a 2b 44+-=+-=解这个方程组,得{a 1b 6=-=,所以,所求的二次函数的解析式为2y x 6x 4=-+-.(2)二次函数的解析式为2y x 6x 4=-+-=()235x --+ . ∴该抛物线的对称轴是:直线x 3=该图象的顶点坐标是:()3,5.故答案为(1)y=-x 2+6x -4;(2)x=3;(3,5).【点睛】本题考查了用待定系数法求函数解析式的方法,关键是利用待定系数法求a,b,c的值和对称轴和顶点公式求法解答.。
数学试卷一、填空题(共50小题;共250分)1.请写出一个开口向下,并且过坐标原点的抛物线的表达式,y=.2.写出一个开口向下,顶点在第一象限的二次函数的表达式.3.若抛物线y=ax2+bx+c的顶点是A(2,1),且经过点B(1,0),则抛物线的函数关系式为.4.抛物线的顶点在原点,且过点(3,−27),则这条抛物线的解析式为.5.二次函数y=−x2−2x+1化成y=a(x−ℎ)2+k的形式是.6.已知一抛物线与抛物线y=−1x2+3形状相同,开口方向相反,顶点坐标是3(−5,0).根据以上特点,试写出该抛物线的表达式为.7.如图,已知二次函数y=x2+bx+c的图象经过点(−1,0),(1,−2),当y随x的增大而增大时,x的取值范围是.8.若把函数y=x2+6x+5化为y=(x−m)2+k的形式,其中m,k为常数,则k−m=.9.已知抛物线与x轴交点的横坐标分别为3,1;与y轴交点的纵坐标为6,则二次函数的关系式是.10.请写出一个开口向上,对称轴为直线x=2,且与y轴的交点坐标为(0,3)的抛物线对应的函数表达式:.11.若二次函数的图象开口向下,且经过(2,−3)点.符合条件的一个二次函数的解析式为.12.若把二次函数y=x2+6x+2化为y=(x−ℎ)2+k的形式,其中ℎ,k为常数,则ℎ+k=.13.将二次函数y=x2−2x−5化为y=a(x−ℎ)2+k的形式为y=.14.抛物线的顶点坐标为(1,−2),且过点(2,3),则函数的关系式:.15.如果二次函数y=x2+bx+c配方后为y=(x−2)2+1,那么c的值为.16.若抛物线y=ax2经过点(−3,4),则这函数的解析式是.17.如图,在平面直角坐标系xOy中,点O是边长为2的正方形ABCD的中心.写出一个函数y=x2+c,使它的图象与正方形ABCD有公共点,这个函数的表达式为.18.有一个二次函数的图象,三位同学分别说出了它的一些特点:甲:对称轴为直线x=2;乙:与x轴两个交点的横坐标都是整数;丙:与y轴交点的纵坐标也是整数,且以这三个点为顶点的三角形面积为3.请你写出满足上述全部特点的一个二次函数解析式.19.已知二次函数的图象开口向下,且其图象顶点位于第一象限内,请写出一个满足上述条件的二次函数解析式为(表示为y= a(x+m)2+k的形式).20.把二次函数y=x2−12x化为形如y=a(x−ℎ)2+k的形式:.21.二次函数y=x2+bx+c的图象经过点(2,11)和点(−1,−7),则它的解析式为.22.将二次函数y=x2−2x化为顶点式的形式为:.23.形状与y=−1x2+3的图象形状相同,但开口方向不同,顶点坐标是(4,5)2的抛物线的解析式.24.用配方法将二次函数y=4x2−24x+26写y=a(x−ℎ)2+k的形式是.25.将二次函数y=x2−4x+5化成y=(x−ℎ)2+k的形式,则y=.26.用配方法将y=1x2−2x+1写成y=a(x−ℎ)2+k的形式,结果3为.27.若把函数y=x2−2x−3化为y=(x−m)2+k的形式,其中m,k为常数,则m+k=.28.将y=2x2−12x−12变为y=a(x−m)2+n的形式,则m⋅n=.29.若抛物线y=ax2+bx+c与x轴的一个交点为A(3,0),与y轴的交点为B(0,3),对称轴为直线x=1,则该抛物线对应的函数表达式为.30.将函数y=x2−2x+3写成y=a(x−ℎ)2+k的形式为.31.请写出一个图象的对称轴是直线x=1,且经过(0,1)点的二次函数的表达式:.32.将抛物线y=x2−6x+5化为y=a(x−ℎ)2+k的形式为.33.将函数y=x2−2x+4化为y=a(x−ℎ)2+k的形式为.34.已知二次函数y=x2+bx+c的图象经过点A(−1,0),B(1,−2),该图象与x轴的另一交点为C,则AC的长为.35.把二次函数的表达式y=x2−4x+6化为y=a(x−ℎ)2+k的形式,那么ℎ+k=.36.抛物线y=−x2+bx+c的图象如图所示,则此抛物线的解析式为.37.已知二次函数y=x2+bx+c,当x=2时,y=0;当x=−1时,y=3,则这个二次函数的解析式为.38.把二次函数y=−1x2+3x+3化成y=a(x+m)2+k的形式4为.39.二次函数的图象的顶点坐标是(−2,3),它与y轴的交点坐标是(0,−3).40.将y=(2x−1)(x+2)+1化成y=a(x−ℎ)2+k的形式为.41.二次函数y=x2−2x+6化为y=(x−m)2+k的形式,则m+k=.42.将二次函数y=x2−4x+9化成y=a(x−ℎ)2+k的形式.43.一个二次函数,当自变量x=0时,函数值y=−1,当x=−2与1时,2 y=0,则这个二次函数的解析式是.44.将二次函数y=x2−4x+5化为y=(x−ℎ)2+k的形式,那么ℎ+k=.45.已知二次函数y=−x2+2x−3,用配方法化为y=a(x−ℎ)2+k的形式为.46.若将二次函数y=x2−2x+3配方为y=a(x−ℎ)2+k的形式,则y=.47.若把二次函数y=x2−2x+3化为y=(x−m)2+k的形式,其中m,k为常数,则m+k=.48.抛物线y=ax2+bx+c(a≠0)经过点(1,2)和(−1,−6)两点,则a+c=.49.把y=−1x2+6x−17配方成y=a(x+ℎ)2+k的形式是.250.设抛物线y=ax2+bx+c(a≠0)过A(0,2),B(4,3),C三点,其中点C在直线x=2上,且点C到抛物线对称轴的距离等于1,则抛物线对应的函数表达式为.答案第一部分1.−x2+2x(答案不唯一)2.y=−3(x−2)2+3(不唯一)3.y=−x2+4x−3【解析】设抛物线的解析式为y=a(x−2)2+1,将B(1,0)代入y=a(x−2)2+1得,a=−1,函数解析式为y=−(x−2)2+1,展开得y=−x2+4x−3.4.y=−3x25.y=−(x+1)2+26.y=1(x+5)237.x≥12【解析】解析:依题意,有解得{b=−1,c=−2,∴y=x2−x−2,对称轴为x=12,时,y随x的增大而增大.∴当x≥128.−19.y=2x2−8x+610.y=x2−4x+3(答案不唯一)11.y=−x2−2x+5(答案不唯一)【解析】由题意得,二次函数的图象开口向下,且经过(2,−3)点,y=−x2−2x+5符合要求.但答案不唯一.12.−1013.(x−1)2−614.y=5(x−1)2−215.516.y=49x217.答案不惟一,如y=x2.(说明:写成y=x2+c的形式时,c的取值范围是−2≤c≤1)18.y=(x−1)(x−3),y=−(x−1)(x−3),y=15(x+1)(x−5),y=−15(x+1)(x−5)写出其中一个即可19.y=−(x−1)2+1(答案不唯一)20.y=(x−6)2−3621.y=x2+5x−322.y=(x−1)2−123.y=12(x−4)2+524.y=4(x−3)2−1025.(x−2)2+126.y=13(x−3)2−227.−328.−90【解析】y=2x2−12x−12=2(x2−6x+9)−30=2(x−3)2−30.所以m=3,n=−30.29.y=−x2+2x+330.y=(x−1)2+231.y=x2−2x+1(答案不唯一)32.y=(x−3)2−433.y=(x−1)2+334.3【解析】提示:解析式为y=x2−x−2.35.436.y=−x2+2x+337.y=x2−2x38.y=−14(x−6)2+1239.y=−32(x+2)2+340. y =2(x +34)2−17841. 642. y =(x −2)2+543. y =x 2+32x −1 44. 345. y =−(x −1)2−246. (x −1)2+247. 3【解析】y =x 2−2x +3=(x −1)2+2,∴m =1,k =2.∴m +k =3.48. −249. y =−12(x −6)2+1 50. y =18x 2−14x +2 或 y =−18x 2+34x +2 【解析】∵A (0,2),B (4,3),C 三点在抛物线上,∴c =2,16a +4b +2=3,又 ∵ 点 C 在直线 x =2 上,且点 C 到抛物线对称轴的距离等于 1, ∴ 对称轴为直线 x =1 或 x =3,当对称轴为直线 x =1 时,{−b 2a =1,16a +4b +2=3. 解得 {a =18,b =−14. ∴y =18x 2−14x +2, 当对称轴为直线 x =3 时,{−b 2a =3,16a +4b +2=3. 解得 {a =−18,b =34. ∴y =−18x 2+34x +2.。
二次函数一般式化为顶点式的例题.
当将二次函数的一般式`f(x) = ax^2 + bx + c` 化为顶点式`f(x) = a(x - h)^2 + k` 时,需要将函数的形式转化为完全平方的形式。
下面给出一个例题来说明具体的步骤:
将二次函数`f(x) = 2x^2 - 4x + 3` 化为顶点式。
步骤1:将x 的一次项系数 b 用平方项的形式表示。
这里 b = -4,我们希望将其表示为(x - h)^2 的形式。
`(x - h)^2 = x^2 - 2hx + h^2`
步骤2:根据步骤1,需要找到h 的值。
我们可以通过公式`-b/(2a)` 来求得h。
h = -(-4) / (2*2) = 1
步骤3:将h 的值代入步骤 1 中,得到完全平方的形式。
`(x - 1)^2 = x^2 - 2x + 1`
步骤4:将步骤 3 中得到的表达式代入函数中,并将多余的常数项重新整理。
原函数:f(x) = 2x^2 - 4x + 3
= 2(x^2 - 2x) + 3
= 2(x^2 - 2x + 1 - 1) + 3
= 2((x - 1)^2 - 1) + 3
= 2(x - 1)^2 - 2 + 3
= 2(x - 1)^2 + 1
因此,将二次函数`f(x) = 2x^2 - 4x + 3` 化为顶点式得到`f(x) = 2(x - 1)^2 + 1`。
通过将二次函数从一般式化为顶点式,我们可以更清晰地看到函数的顶点位置和开口方向,方便进行图像的分析和计算。
顶点式练习题1.已知点(a ,8)在二次函数y=ax 2的图象上,则a 的值是( )A .2B .﹣2C .±2D .±2.抛物线y=223)( x +4顶点坐标是( )A .(3,4)B .(﹣3,4)C .(3,﹣4)D .(2,4)3.对于函数y=﹣2(x ﹣m )2的图象,下列说法不正确的是( )A .开口向下B .对称轴是x=mC .最大值为0D .与y 轴不相交4..对于抛物线y=﹣(x+1)2+3,下列结论:①抛物线的开口向下;②对称轴为直线x=1;③顶点坐标为(﹣1,3);④x >1时,y 随x 的增大而减小,其中正确结论的个数为( )A .1B .2C .3D .45.抛物线y=2x 2﹣3的顶点在( )A .第一象限B .第二象限C .x 轴上D .y 轴上6.抛物线y=2(x+3)2+5的顶点坐标是( )A .(3,5)B .(﹣3,5)C .(3,﹣5)D .(﹣3,﹣5)7.下列抛物线中,顶点坐标是(﹣2,0)的是( )A .y=x 2+2B .y=x 2﹣2C .y=(x+2)2D .y=(x ﹣2)28.下列关于抛物线y=﹣x 2+2的说法正确的是( )A .抛物线开口向上B .顶点坐标为(﹣1,2)C .在对称轴的右侧,y 随x 的增大而增大D .抛物线与x 轴有两个交点9.已知抛物线y=ax2(a>0)过A(﹣2,y1)、B(1,y2)两点,则下列关系式一定正确的是()A.y1>0>y2B.y2>0>y1C.y1>y2>0 D.y2>y1>010.将二次函数y=x2的图象向下平移一个单位,则平移以后的二次函数的解析式为()A.y=x2﹣1 B.y=x2+1 C.y=(x﹣1)2D.y=(x+1)211.将抛物线y=4x2向上平移3个单位,再向左平移2个单位,所得抛物线的表达式为()A.y=4(x+2)2+3 B.y=4(x+2)2﹣3 C.y=4(x﹣2)2+3 D.y=4(x﹣2)2﹣312.当ab>0时,y=ax2与y=ax+b的图象大致是()A. B.C.D.13.若正比例函数y=mx(m≠0),y随x的增大而减小,则它和二次函数y=mx2+m的图象大致是()A.B.C.D.14.将二次函数y=(x﹣2)2+3的图象先向右平移1个单位,再向下平移2个单位,所得二次函数的解析式为.15.二次函数y=ax2(a>0)的图象经过点(1,y1)、(2,y2),则y1y216.若二次函数y=ax2的图象经过点(﹣1,2),则二次函数y=ax2的解析式是.17.已知函数y=﹣(x﹣1)2图象上两点A(2,y1),B(a,y2),其中a>2,则y1与y2的大小关系是y1y2(填“<”、“>”或“=”)18.函数的图象是抛物线,则m= .19.如果抛物线y=(m﹣1)x2的开口向上,那么m的取值范围是.20.二次函数y=x2+1的最小值是.21.如图所示四个二次函数的图象中,分别对应的是①y=ax2;②y=bx2;③y=cx2;④y=dx2.则a、b、c、d的大小关系为.。
二次函数定义、顶点式1.下列函数中,是二次函数的有______________ ①y=1-2x 2;②y=21x ;③y=x(1-x);④y=(1-2x)(1+2x). 2.关于函数y=3x 2的性质表述正确的一项是( ) A.无论x 为任何实数,y 的值总为正 B.当x 值增大时,y 的值也增大 C.它的图象关于y 轴对称 D.它的图象在第一、三象限内3.已知点(-1,y 1),(2,y 2),(-3,y 3)都在函数y=x 2的图象上,则( ) A.y 1<y 2<y 3 B.y 1<y 3<y 2C.y 3<y 2<y 1D.y 2<y 1<y 34.设A(-2,y 1),B(1,y 2),C(2,y 3)是抛物线y=-(x+1)2+a 上的三点,则y 1,y 2,y 3的大小关系为( ) A.y 1>y 2>y 3 B.y 1>y 3>y 2 C.y 3>y 2>y 1D.y 3>y 1>y 25.分别求出符合下列条件的抛物线y=ax 2的解析式: (1)经过点(-3,2);_______________________(2)与y=31x 2开口大小相同,方向相反.___________________6.求符合下列条件的抛物线y=ax 2-1的函数关系式: (1)通过点(-3,2)_______________ (2)与y=12x 2的开口大小相同,方向相反_______________(3)当x 的值由0增加到2时,函数值减少4_________________7.已知a ≠0,在同一直角坐标系中,函数y=ax 与y=ax 2的图象有可能是( )8.下列四个二次函数:①y=x 2,②y=-2x 2,③y=21x 2,④y=3x 2,其中抛物线开口从大到小的排列顺序是_______________9.如图,四个二次函数的图象中,分别对应的是:①y=ax 2;②y=bx 2;③y=cx 2;④y=dx 2,则a 、b 、c 、d 的大小关系为( ) A.a >b >c >d B.a >b >d >c C.b >a >c >d D.b >a >d >c9题11题10.若二次函数y=m m mx -2的图象开口向下,则m=____11.已知二次函数y=2x 2的图象如图所示,将x 轴沿y 轴向上平移2个单位长度后与抛物线交于A,B 两点,则△AOB 的面积为________. 12.抛物线y=4x 2-1与y 轴的交点坐标是_________,与x 轴的交点坐标是_____.13.抛物线y=21(x+3)2的顶点坐标是______,对称轴是_________14.抛物线y=-41x 2+1,y=-41(x+1)2与抛物线y=-41(x 2+1)的_____相同,_____不同.15.已知抛物线y=-2(x+1)2-3,如果y 随x 的增大而减小,那么x 的取值范围是______. 16.抛物线2)1(-=x y 沿y 轴方向向上或向下平移后,经过点(3,0),则所得抛物线的解析式为 .17.若将抛物线y=x 2向右平移2个单位,再向上平移3个单位,则所得抛物线的解析式为___________________,顶点坐标是______. 18.如图,在平面直角坐标系中,抛物线所表示的函数解析式为y=-2(x-h)2+k ,则下列结论正确的是( )18题19题A.h>0,k>0B.h<0,k>0C.h<0,k<0D.h>0,k<019.如图,把抛物线y=x 2沿直线y=x 平移2个单位后,其顶点在直线上的A 处,则平移后抛物线的解析式是____________ 20.说出下列抛物线的开口方向、对称轴及顶点:21.已知抛物线),,0()(2是常数n m a n m x a y ≠++=开口向下,顶点在第二象限,则a 0,m 0,n 0(填“>”“=”、“<”). 22.若直线3y x m =+经过第一、三、四象限,则抛物线2()1y x m =-+的顶点必在_________象限23.在图中抛物线2)(m x a y +=与直线m ax y +=可能是( )24.抛物线n m x y ++=2)(向上平移2个单位,再向左平移4个单位,得到抛物线2x y =,则m =______,n =______25.已知抛物线y=mx 2+n 向下平移2个单位后得到的函数图像是y=3x 2-1,则m=______n=_______.26.若点A(2,m)在函数y=x 2-1的图象上,则点A 关于x 轴的对称点的坐标是_____.27.二次函数y=ax 2与直线y=2x-1的图象交于点P(1,m).(1)写出二次函数的表达式,并指出x 取何值时,该表达式的y 随x 的增大而增大?(2)指出抛物线的顶点坐标和对称轴.28.已知二次函数y=ax 2(a ≠0)与一次函数y=kx-2的图象相交于A 、B 两点,如图所示,其中A(-1,-1),求△OAB 的面积.29.把二次函数y=a(x-h)2+k 的图象先向左平移2个单位,再向上平移4个单位,得到二次函数y=21(x+1)2-1的图象. (1)试确定a ,h ,k 的值;(2)指出二次函数y=a(x-h)2+k 的开口方向,对称轴和顶点坐标.30.在直角坐标平面内,二次函数图象的顶点为A(1,-4),且过点B(3,0)(1)求该二次函数的解析式; (2)将该二次函数图象向右平移几个单位,可使平移后所得的图象经过坐标原点?并直接写出平移后所得图象与x 轴的另一个交点的坐标.31.已知抛物线y=-(x-m)2+1与x 轴的交点为A ,B(B 在A 的右边),与y 轴的交点为C.(1)写出m=1时与抛物线有关的三个正确结论; (2)当点B 在原点的右边,点C 在原点下方时,是否存在△BOC 为等腰三角形的情形?若存在,求出m 的值;若不存在,请说明理由.32、已知二次函数()212--=x y ,(1)当32≤≤x 时,求函数的最值.(2)当30≤≤x 时,求函数的最值.33.已知一条抛物线的开口方向和大小与抛物线2x y =都相同,对称轴与抛物线2)2(+=x y 相同,且顶点的纵坐标为-1.(1)求这条抛物线的解析式;(2)求这条抛物线与1+=x y 的两交点坐标及这两点的距离.34.如图12,一位篮球运动员跳起投篮,球沿抛物线213.55y x =-+运行,然后准确落入篮框内.已知篮框的中心离地面的距离为3.05米.(1)球在空中运行的最大高度为多少米?(2)如果该运动员跳投时,球出手离地面的高度为2.25米,请问他距离篮框中心的水平距离是多少?35.如图所示,抛物线2)(m x y --=的顶点为A ,直线l :m x y 33-=与y 轴的交点为B ,其中0>m .(1)写出抛物线对称轴及顶点A 的坐标(用含m 的代数式表示); (2)证明点A 在直线l 上,并求出OAB ∠的度数; (3)动点Q 在抛物线对称轴上,问抛物线上是否存在点P ,使以P 、Q 、A 为顶点的三角形与OAB ∆全等?若存在,求出m 的值,并写出所有符合上述条件的P 点坐标;若不存在,说明理由.。
二次函数专题训练
1、请写出一个二次函数以(2, 3)为顶点,且开口向上.____________.
2、二次函数 y =(x -1)2+2,当 x =____时,y 有最小值 y= 。
.
3、函数 y =12
(x -1)2+3,当 x ____时,函数值 y 随 x 的增大而增大. 4、 函数y=21(x+3)2-2的图象可由函数y=2
1x 2的图象向 平移3个单位,再向 平移2个单
位得到.
5.已知抛物线的顶点坐标为()2,1,且抛物线过点()3,0,则抛物线的关系式是 。
6.如图所示,抛物线顶点坐标是P (1,3),则函数y 随自变量x 的增大而减小的x 的取值范围是( )
A 、 x>3
B 、x<3
C 、x>1
D 、x<1
7.已知函数()3232
+--=x y . 确定下列抛物线的开口方向、对称轴和顶点坐标;
当x= 时,抛物线有最 值,是 .
当x 时,y 随x 的增大而增大;当x 时,y 随x 的增大而减小.
求出该抛物线与x 轴的交点坐标及两交点间距离;
求出该抛物线与y 轴的交点坐标;
若图象与x 轴的交点为A 、B 和与y 轴的交点C ,求△ABC 的面积;
该函数图象可由2
3x y -=的图象经过怎样的平移得到的
该抛物线经过怎样的平移能经过原点.
※8..如图是二次函数y=a (x+1)2+2图象的一部分,该图在y 轴右侧与x 轴交点的坐标是 _________ .
9.根据图像求二次函数的解析式.
※10.抛物线y =(x -1)2+n 与x 轴交于A 、B 两点, 与y 轴负半轴交于C (0,-3)。
(1) 求抛物线的解析式;
(2)点P 为对称轴右侧抛物线上一点,以BP 为斜边作等腰直角三角形,直角顶点M 落在对称轴上,求P 点、M 点的坐标。
M y x P
O C B A。