通信原理公式总结
- 格式:doc
- 大小:623.00 KB
- 文档页数:6
通信原理公式
通信原理的数学公式如下:
1. 香农公式:
C = B * log2(1 + S/N)
其中,C是信道容量,B是信道带宽,S是信号的平均功率,N是噪声的功率。
2. 奈奎斯特准则:
最大传输速率 = 2B * log2(V)
其中,B是信道带宽,V是每个信号点所能表示的离散数。
3. 傅里叶变换:
X(f) = ∫ x(t)e^(-j2πft) dt
其中,X(f)表示信号在频域上的频谱,x(t)表示信号在时域上的波形。
4. 采样定理:
B >= 2fmax
其中,B是采样频率,fmax是信号的最高频率成分。
5. 时域与频域转换:
x(t) = ∑ X(f)e^(j2πft) df
其中,x(t)表示信号在时域上的波形,X(f)表示信号在频域上的频谱。
6. 误码率与信噪比关系:
P(e) ≈ Q(sqrt(2SNR))
其中,P(e)是误码率,SNR是信噪比。
这些公式在通信原理中起着重要的作用,在分析和设计通信系统时可以利用这些公式进行计算和评估。
10级通信原理内容提纲第一章 绪论1. 通信系统的组成和各部分的功能;2. 通信系统的两个主要性能要求、在模拟和数字通信系统中分别反映为哪个指标。
3. 信源信息量的有关计算● 单个符号的信息量:I=−log 2p(x) bit ● 平均每符号的信息量:211()()()()log()/M Miiii i i H x p x I x p x p x bit symbol ====-∑∑● 信源等概时平均每符号的信息量:H(x)=log 2M bit/symbol ● 整个消息的信息量:I=N·H(x)=I 1+I 2+···+I N bit 4. 比特率、符号率、频带利用率的概念,以及有关计算 ● R b =R s ×每符号所含比特数 bit/s ,对信源有R b =R s ·H(x) ● R b =R s ·log 2M bit/s ,M 个符号等概下5. 误符号率与误比特率的概念、二者关系,以及有关计算 * 说明:本课程中,“比特(bit )”有两种含义,一是信息量单位,一是二进制的“位”,应根据具体情况判断是哪种含义。
本章内容基本,要求全面掌握。
第二章 随机信号分析本章内容注重概念、结论、参数的物理意义、必要的计算推导,特定函数的付利叶变换与反变换关系。
以下ξ(t )表示随机过程。
1. ξ(t )的概率密度函数与概率分布的关系,E[ξ(t )]、D[ξ(t )]、R(t 1,t 2)的定义及简单计算,广义平稳ξ(t )的定义及判定。
2. 平稳ξ(t )的功率谱密度与R(τ)的关系。
3. 正态分布统计特性特点,一维正态分布概率密度表达式及其参数的物理意义。
4. 白噪声及带限白噪声的功率谱密度和自相关函数的有关计算和结论。
5. 窄带随机过程的统计特性结论。
6. 平稳ξ(t )通过线性系统的统计特性结论。
本章内容,重点掌握基本概念如要点1、3、5、6,并进行相应的随机信号分析。
1.信息量、熵、熵率21()log Mi ii H X P P ==-∑香农公式))(1(log 2bps N SB C += B 为基带信号带宽TB 为信号传输带宽2.1常规调幅(AM )()[1()]cos 2AM c c s t A m t f t π=+ AM 传输带宽B 2B AM = 抑制载波双边带调幅(DSB-SC )()()cos 2DSB c c s t A m t f tπ= DSB 传输带宽B 2B DSB =单边带调幅(SSB )()()()ˆcos 2sin 22cSSB c c A s t m t f t m t f t ππ=±⎡⎤⎣⎦正号保留下边带负号保留上边带,只保留DSB-SC 基带信号中的上(下)边带,B B SSB =2.2常规调幅(AM ) 非相干接收—包络检波,简单易行 AM 信号也可使用相干接收抑制载波双边带调幅(DSB-SC )、单边带调幅(SSB ) 相干接收—系统复杂,成本高,换取调制效率2.3信号功率2()P s t =222()22c c AMA A P m t =+ 22()2c DSB A P m t =信号调制效率m P P η=携带消息的已调信号功率已调信号总功率 22()50%1()AM m t m t η=≤+100%DSB SSB ηη==2.4解调增益()()o DEM iS N G S N =系统增益SYS DEM T BG G B ⎛⎫=⨯⎪⎝⎭AM 的包络检波存在为“门限效应”(判断)_SYS AM AM G η= _2DEM AM AM G η=_2DEM DSB G =_1SYS DSB G =__1DEM SSB SYS SSBG G ==2.5角度调制 信号表达式()[]cos ()c s t A t φ= ()()2c t f t t φπθ=+瞬时频率()()()1122i c d df t t f t dt dt φθππ==+相位调制(PM )调相信号表达式()()cos 2PM c c PM s t A f t k m t π=+⎡⎤⎣⎦频率调制(FM )调频信号表达式()()cos 22FM c c FM s t A f t k m t dt ππ⎡⎤=+⎣⎦⎰2.6最大相偏max max()t θθ∆= PM()max maxPM k m t θ∆= FM()max max2FMk m t dtθπ∆=⎰最大频偏()()max max maxi i c f f t f t f ∆=∆=- PM()max max12PM df k m t dt π∆=FM()max maxFM f k m t ∆=2.7角度调制调制指数与带宽max PM βθ=∆max maxmax FM f f f B β∆∆==卡森公式()max 2221T B f B D B =∆+=+ Bfmax D ∆=抗噪声性能SYS DEM T BG G B ⎛⎫=⨯⎪⎝⎭ ()22max()()SYS PMPM G m t m t β-=()22max 3()()SYS FM FM G m t m t β-=3.1均值]a [E m n a =,方差()222a n a E a m σ=-,码型功率谱为)(G T f ,信号功率谱表示为:22222()()aas T T k s ss s m k k P f G f G f T T T T σδ∞=-∞⎛⎫⎛⎫=+- ⎪ ⎪⎝⎭⎝⎭∑连续谱与频率间隔为1/Ts 的离散谱 结论:(1)双极性码均值am为0,只含有连续谱 (2)单极性码均值a m 不为0,连续谱+离散谱 (3)单极性NRZ 码,只含有一个离散谱;单极性RZ 码,含有多个离散谱双极性NRZ 码:22()sinc ()s b b P f A T fT = 双极性RZ 码:22()sin c 42b b s A T fT P f ⎛⎫= ⎪⎝⎭ 单极性NRZ 码:222()sinc ()()44b s b A T A P f fT f δ=+ 单极性RZ 码:221()sin c [1]162b b s k bb A T fT k P f f T T δ∞=-∞⎛⎫⎛⎫=+- ⎪ ⎪⎝⎭⎝⎭∑3.2带宽(1)二元传输下,RZ 码带宽为2Rb ,NRZ 码带宽为Rb(2)多元NRZ 信号MPAM 带宽为Rb/K (Rs )(3)带宽与波特速率和脉冲宽度相关接收方法与误码性能(1)引入白噪声—AWGN 信道(2)低通滤波接收与匹配滤波接收11,22s s T T ⎛⎫- ⎪⎝⎭3.3匹配滤波器 匹配滤波波形、最大信噪比的计算、最佳接收机结构()()h t cs t t =- max 02s E S N N ⎛⎫= ⎪⎝⎭判决门限的选择102s s T y y V +=等概二进制传输 平均误码率210102()24s s s s e n n y y y y P Q Q σσ⎛⎫⎛⎫--== ⎪ ⎪ ⎪⎝⎭⎝⎭匹配滤波器10()()()h t s T t s T t =---与10()()()d s t s t s t =-进行匹配e P Q =3.4 Nyquist 准则-有无码间串扰,只需检验∑∑∞-∞=∞-∞=+=+K )(H )(H K ssT Kf KR f 在是否为常数对于有限带宽低通信道(W Hz )在传输速率为Rs 时(1)W<Rs/2:肯定存在码间串扰(2)W=Rs/2:H(f)为Rs/2低通滤波响应,无码间串扰(3)W>Rs/2:总能找到某个H(f)满足无码间串扰条件重要结论(1)在无码间串扰条件下,W Hz 的基带信道每秒至多只能传输2W 个符号—Nyquist 速率(2)频带利用率2log =(/)(//)s s T TR R M Baud Hz bit s Hz B B η=传输速率或占用频带宽度升余弦(RC )滚降滤波器按02f Rs=的码率进行传输!滚降因子01α≤≤,0f 为6 dB 带宽截止频率(带宽)0)1(f W α+=频带利用率()()22log 2//11M Baud Hz bps Hz ηαα==++3.5迫零(Zero forcing )算法4.1BASK()2''1''''0''cos 20c ASK A f t s t π⎧=⎨⎩ BFSK()120cos 2,1cos 2,0n FSK n A f t a s t A f t a ππ=⎧=⎨=⎩BPSK()2cos 21cos 20c n PSK c n A f t a s t A f t a ππ=⎧=⎨-=⎩QPSK (格雷编码)最小带宽:矩形NRZ 信号带宽的一半4.2差分检测(解决BPSK 中的“不确定性反相”问题 )另一种重要解调法—差分检测(差分相干解调):比较两个相邻时隙上信号的相位,还原出绝对码序列,无需本地振荡属于非相干解调法()11cos2n n c r t a A f t π--≈()cos2n n c r t a A f tπ≈ ()()()21112n n n n y t LPF r t r t a a A --=⨯≈⎡⎤⎣⎦4.3结论:误码性能排序 QPSK/PSK>相干D(Q)PSK>非相干D(Q)PSK >相干FSK/ASK>非相干FSK/ASK (1)2PSK 与QPSK 性能最优,QPSK 频带利用率最高,但系统复杂度较高,且存在“不确定性反相” (2)D(Q)PSK 的差分检测性能与2PSK 接近(<1 dB ),且接收方法简单,无“不确定性反相”问题 (3)FSK 性能一般,非相干接收与相干接收性能接近(<1 dB),占用频带较宽,但噪声容限更大 (4)非相干ASK 适用于质量好的信道,设备简单4.4其它要点总结:1.公式:0(/)/2/41122b E N e P e e γ--≈=2244b b b A T A E R == 2222b b b A T AE R == 2.编码与波形:2DPSK 信号、QPSK 信号2DPSK :差分编码,首个波形随机设定,无实际意义 QPSK :A 方式与B 方式,用二进制序列直接编码 3.频带升余弦滤波器带宽:)1(2W0α+=f5.1抽样-带限信号m(t),最高非零频率为H f ,抽样率H s f f 2≥对低通或基带信号B f H =,B 2=s f 称为奈奎斯特频率(Nyquist frequency )带通信号抽样:[/]H n f B =2/s H f f n= 难点:判断某个大于fs 的抽样率,是否可进行正确抽样量化-均匀量化及量化噪声2/V M ∆=2212q σ∆=量化信噪比_ 6.02 4.7720lg ()q dB S n D dB N ⎛⎫≈++ ⎪⎝⎭峰值信噪比(3M ²)、平均信噪比(M ²)5.2脉冲编码调制(PCM )(1)电话信号带宽:300~3400 Hz ,抽样率为8 kHz (2)量化:8比特A 律(3)PCM 数据率:8 kHz ×8 bit=64 kbps 语音信号传输速率5.3编码规则(1)确定极性,正为“1”,负为“0”(2)确定段落,共8段,3位编码000~111(3)确定量化电平,共16电平,4位编码0000~1111设PCM 系统采用A 律13折线量化器,量化器的量化范围为[-10, 10],若输入采样值为1.22和 -0.03,求输出的二进制码组(提示:A 律13折线主要参数见下表)11281162048∆==归一化、极性码、段落码、段内码段内码的确定如某一量化电平x 落在段[x1,x2)内那么段内区间为1[0,16)xx x -∈∆对结果取整后,确定其段内码5.4PCM 传输系统的信噪比:2(/)14(1)q PCM b S N S N M P ⎛⎫= ⎪+-⎝⎭峰值与平均信噪比22_314(1)PCM pk b S M N M P ⎛⎫= ⎪+-⎝⎭平均信噪比22_14(1)PCM Avr b S M N M P ⎛⎫= ⎪+-⎝⎭ TDM 系统:语音信号传输速率N ×64 kb/s6.MSK 调制指数:5.02==s d T f h 相位路径轨迹图⎥⎦⎤⎢⎣⎡++=n n c MSK t T a f A t s ϕπ)4(2cos )( 1022/2d b f f f f R ∆==-= 相干解调误码率⎥⎦⎤⎢⎣⎡=-02N E Q P b MSKe (G)MSK 、OFDM 、CDMA/扩频(特点与应用)。
第一章 绪论模拟通信系统一般模型:数字通信系统模型:点对点的通信按时间和传递方向可以分为:单工,半双工,全双工通信。
有效性指标 可靠性指标 模拟 频宽利用率输出信噪比数字 传码率,传信率,带宽利用率 误码率,误信率参量: 公式 单位 信息量 )(log 2x P I -=bit 平均信息量/信源熵∑=-=Mi i i x P x P x H 12)(log )()(bit/符号传码率 T R B /1= B 传信率 )(x H R R B b =b/s 带宽利用率B R B =ηB/Hz 误码率P e =错误码元数/码元总数误信率P b =错误比特数/比特总数第二章 确知信号确知信号功率信号 频谱⎰--=2220000)(1T T tnf j n dt et s T C π功率谱密度2|)(|1lim )(f S Tf P T T ∞→=自相关函数dtt s t s T R T T T ⎰-∞→+=2/2)()(1lim )(ττ能量信号 频谱密度∑∞∞--=dt e t s f S ft j π2)()(能量谱密度2|)(|)(f S f G =;)()]([1τR f G F =-自相关函数⎰∞∞-+=)()()(ττt s t s R ;)()]([f G R F =τ第三章 随机过程公式备注 统计均值dxx f t t E )()()]([⎰∞∞-=ξξf (x )是x 的概率密度函数统计自相关函数)]()([)(212,1t t E t t R ξξ==参照统计均值计算方法广义平稳随机过程1. 均值为常数,与时间t 无关2.自相关函数只与时间间隔τ有关时间均值⎰-∞→-=2/2)(1limT T T dt t x T a 时间自相关函数⎰-∞→----+=2/2)()(1lim )(T T T dtt x t x T R ττ各态历经性1.-=a t E )]([ξ 2.-----=)(),(21τR t t R平稳随机过程自相关函数性质)0(R代表平均功率)(∞R代表直流功率(均值的平方))()(ττ-=R R偶函数 )0(|)(|R R ≤τ有上界2)()0(σ=∞-R R方差代表交流功率高斯随机过程:)2)(ex p(21)(22σσπa x x f -- 结论1:线性系统:输出过程的功率谱密度是输入过程的功率谱密度乘以系统频率响应模值的平方,即)(|)(|)(2f P f H f P i o =结论2:如果线性系统的输入是高斯型的,则输出也是高斯型的。
第一章 绪论模拟通信系统一般模型:数字通信系统模型:点对点的通信按时间和传递方向可以分为:单工,半双工,全双工通信。
有效性指标 可靠性指标 模拟 频宽利用率输出信噪比 数字 传码率,传信率,带宽利用率误码率,误信率 参量: 公式单位 信息量 )(log 2x P I -=bit 平均信息量/信源熵 ∑=-=Mi i i x P x P x H 12)(log )()(bit/符号 传码率 T R B /1= B 传信率 )(x H R R B b =b/s 带宽利用率 B R B =ηB/Hz 误码率 P e =错误码元数/码元总数 误信率P b =错误比特数/比特总数第二章 确知信号确知信号功率信号 频谱⎰--=2220000)(1T T tnf j n dt et s T C π功率谱密度 2|)(|1lim )(f S Tf P T T ∞→=自相关函数 dt t s t s T R T T T ⎰-∞→+=2/2)()(1lim )(ττ能量信号 频谱密度 ∑∞∞--=dt et s f S ftj π2)()(能量谱密度 2|)(|)(f S f G =;)()]([1τR f G F =-自相关函数⎰∞∞-+=)()()(ττt s t s R ;)()]([f G R F =τ第三章 随机过程公式备注统计均值dx x f t t E )()()]([⎰∞∞-=ξξf (x )是x 的概率密度函数 统计自相关函数 )]()([)(212,1t t E t t R ξξ==参照统计均值计算方法广义平稳随机过程 1. 均值为常数,与时间t 无关2. 自相关函数只与时间间隔τ有关时间均值⎰-∞→-=2/2)(1limT T T dt t x T a 时间自相关函数 ⎰-∞→----+=2/2)()(1lim )(T T T dt t x t x T R ττ各态历经性1.-=a t E )]([ξ 2.-----=)(),(21τR t t R平稳随机过程自相关函数性质)0(R代表平均功率)(∞R代表直流功率(均值的平方) )()(ττ-=R R偶函数 )0(|)(|R R ≤τ有上界2)()0(σ=∞-R R方差代表交流功率高斯随机过程:)2)(ex p(21)(22σσπa x x f -- 结论1:线性系统:输出过程的功率谱密度是输入过程的功率谱密度乘以系统频率响应模值的平方,即)(|)(|)(2f P f H fP i o =结论2:如果线性系统的输入是高斯型的,则输出也是高斯型的。
0耳目|嗫声源|点对点的通信按时间和传递方向可以分为:单工,半双工,全双工有效性指标可靠性指标模拟频宽利用率输岀信噪比数字传码率,传信率,带宽利用率误码率,误信率参量:公式单位信息量I log2 P(x)bit平均信息量/信源熵MH (x) P(X i)log2 P(X i)i 1bit/符号传码率R B 1/T B传信率R b R B H (x)b/s带宽利用率R B.P B/Hz误码率P e=错误码元数/码元总数误信率P b=错误比特数/比特总数平稳随机过程自相关函数性质R(0)代表平均功率R()代表直流功率(均值的平方)R( ) R()偶函数|R( )| R(0)有上界R(0) R( ) 2方差代表交流功率高斯随机过程:f(X)厅e)p(2 2 )结论1:线性系统:输岀过程的功率谱密度是输入过程的功率谱密度乘以系统频率响应模值的平方,即P o( f) I H (f) I2R (f)结论2 :如果线性系统的输入是高斯型的,则输岀也是高斯型的。
结论3 :一个均值为零的窄带平稳高斯过程,他的同相分量和正交分量同样是平稳高斯过程,而且均值为零,方差也相同。
此外在同一时刻上得到的同相分量和正交分量是统计独立的。
结论4 :一个均值为零、方差为2的窄带平稳高斯过程(t),其包络的一维分布是瑞利分布,相位的一维分布是均匀分布,并且就一维分布而言他们是统计独立的。
结论5:正弦波加窄带高斯噪声的包络:小信噪比时接近瑞利分布,大信噪比时接近高斯分布,一般情况下是莱斯分布。
模拟通信系统一般模型:*開制器第一章绪论*佶道嗥声原Sr 'll■ ' - e^li确知信号功率信号频谱C 1 T°2 o/+\a j2 nf°tC^ —T 2s(t)e dtT o T。
2功率谱密度1 2P(f) T im 〒丨SJf)|2自相关函数1 T /2R( ) T im〒T2s(t)s(t )dt能量信号频谱密度S(f) s(t)e j2 ft dt能量谱密度G(f) |S(f)|2;F 1[G(f)] R()自相关函数R( ) s(t)s(t );F[R()] G(f)公式备注统计均值E[ (t)] (t)f(x)dx f (x)是x的概率密度函数统计自相关函数Eg) E[ (tj &)]参照统计均值计算方法广义平稳随机过程1. 均值为常数,与时间t无关2. 自相关函数只与时间间隔有关时间均值 1 T/2a lim —x(t)dtT T T2时间自相关函数1 T/2R()何子T2x(t)x(t )dt1 f各态历经性1.E[ (t)] a 2・R(t1,t2) R()信道容量:c t Blog2(1b/s数字通信系统模型:第二章确知信号第三章随机过程第四章信道无线信道:天波、地波、视线传播。
通信公式总结来几个最基本的时延计算1发送时延=数据大小也就是整个帧的长/传输速度2传播时延= 物理线路长度/传播速度注意传播速度是指的信号一秒能跑多少KM往返时延通常是2X传播时延3处理时延=1/r x 1/(1-r/y) 也可以=1/r x 1(1-p)r是指一秒内到达r个分组y表示CPU每秒处理y个分组r/y =p是CUP的使用率1/r表示无争用期的处理时间第2个是由于CPU一次处理多个分组导致的竞争的减慢因素。
误码率 Pc=Ne(出错的位数)/N(传送的总位数)这里的出错位说的是通过纠错码纠错得到的位数注意海码分纠错和验错他们需要的码距是不一样的纠错 2d-1 其中d表示的是要纠错几位验错 d-1 d表示要检测几位接下来就是等待ARQ的公式他的最大吞吐量是 (1-p)/2tr+tf tf是发送时间 p是帧的错误率 tr是传播时严 2tp+tf 这个就是一帧的最短时间归一吞吐率(1-p)/a 这里的a是等于2tr+tf/tf tr是传播时延tf是发送时延当a=1的时候吞吐率约等于 1-p停止等待的协议利用律是(1-p)/2a+1信道利用律是tf/2tr+tf连续arq这里计算下p 就是说的帧出错率p=1-(1-p)^lf lf就是说的一个帧的有效比特非出错的再来他的协议利用律是w/2a+1信道利用率是wtf/(2trw +tf) wtf是工作时间 w是发送窗口的大小下面的2tr+tf是一帧正常发送的最小时间a还是等于2tr+tf/tf最大吞吐量是也是网络信道利用率(1-p)/tf(1+(a-1)p)归一吞吐量是(1-p)/1+(a-1)p连续ARQ比等待的好就是因为这里不一样还有连续arq 必须要满足w<= 2^n-1 的窗口才能正常工作其中n=发送的bit位个数接下来就是选择ARQ其中信道利用律为wrtf/2trwr+tf wr是接受窗口的大小协议利用率wr(1-p)/2a+1注意他的条件w=wr=2^n/2这个条件他才可以正常工作注意是2的n次方接下来是以太有 CSMA/CD以太归一的吞吐量是1/1+a(2A^-1 -1)a=传播时延 /发送时延也可以等于传播时延X传送速度/帧长这里的a和前面ARQ里的不一样只有ARQ里接受端不出错的时候才会使用此a参数因为没重传嘛要不一律是 a=2tr+tf/tf还有注意哪个是大A 就是某个站的发送成功率A=KP(1-P)^K-1这里K是站点数这里的p是发送成功=1/nAmax=(1-1/n)^n-1这里的n是节点数。
精心整理通信常识:波特率、数据传输速率与带宽的相互关系【带宽W】带宽,又叫频宽,是数据的传输能力,指单位时间内能够传输的比特数。
高带宽意味着高能力。
数字设备中带宽用bps(b/s)表示,即每秒最高可以传输的位数。
如(传【码元速率和信息速率的关系】码元速率和信息速率的关系式为:Rb=RB*log2 N。
其中,N为进制数。
对于二进制的信号,码元速率和信息速率在数值上是相等的。
【奈奎斯特定律】奈奎斯特定律描述了无噪声信道的极限速率与信道带宽的关系。
1924年,奈奎斯特(Nyquist)推导出理想低通信道下的最高码元传输速率公式:理想低通信道下的最高RB = 2W Baud。
其中,W为理想低通信道的带宽,单位是赫兹(Hz),即每赫兹带宽的理想低通信道的最高码元传输速率是每秒2个码元。
对于理想带通信道的最高码元传输速率则是:理想带通信道的最高RB= W Baud,即每赫兹带宽的理想带通信道的最高码元传输速率是每秒1个码元。
0.15,Rb与信道带宽W、信噪比S/N的关系为:Rb=W*log2(1+S/N)。
其中,Rb是可得到的链路速度,W是链路的带宽,S是平均信号功率,N是平均噪声功率,信噪比(S/N)通常用分贝(dB)表示,而分贝数=10×lg(S/N)。
香农定理应用举例:通常,支持音频电话连接的频率范围为300Hz到3300Hz,则B=3300Hz-300Hz=3000Hz,而一般链路典型的信噪比是30dB,即S/N=1000,因此我们有R=3000×log2(1001),近似等于30Kbps,是28.8Kbps调制解调器的极限,因,此如果电话网络的信噪比没有改善或不使用压缩方法,调制解调器将达不到更高的速率。
正是因为通信信道的最大传输速率与信道带宽之间存在明确关系,所以人们通RmaxRmax那么信噪比根据公式:S/N(dB)=10.lg(S/N)可得,S/N=1000。
若带宽B=3000Hz,则Rmax≈30kbps。
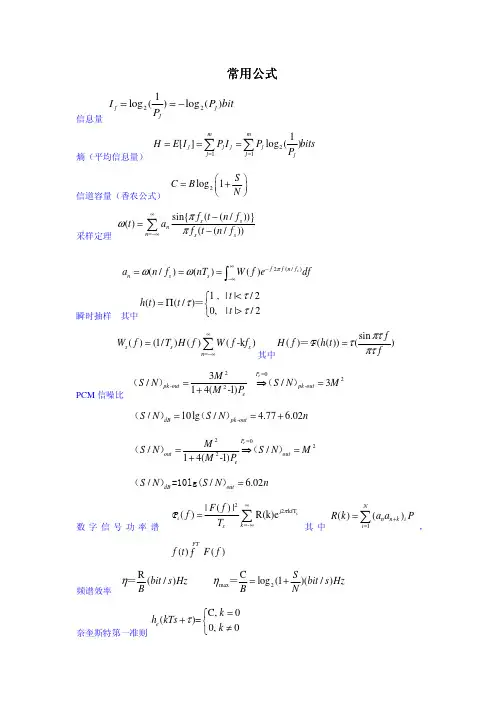
常用公式表1 基本理论、基带传输与带通传输信息量熵(平均信息量)信道容量(香农公式)采样定理瞬时抽样其中其中PCM信噪比数字信号功率谱其中,频谱效率奈奎斯特第一准则升余弦滚降滤波器奈奎斯特滤波器系统能支持的最大波特率带通信号表达式带通信号频谱带通信号频谱功率谱带通信号的平均功率带通信号的峰值功率带通信号传输无失真条件带通抽样定理已调信号波形复包络频谱功率AMDSB-SC SSB相位调制•波形复包络•瞬时相移•最大相移•相位调制指数频率调制•波形•复包络•瞬时相移•最大频偏•频率调制指数•FM/PM的功率•卡森公式表4 二进制数字调制的波形、功率谱及频谱效率已调信号波形m(t)功率谱频谱效率OOK 单极性NRZBPSK极性NRZ2FSK 单极性NRZ/多进制调制1. MPSK, QAM, QPSK, OQPSK and π/4 QPSK 的零点带宽2. MPSK, QAM, QPSK, OQPSK and π/4 QPSK 的频谱效率3. 升余弦滤波后的MPSK, QAM, QPSK, OQPSK and π/4 QPSK 的零点带宽4. 升余弦滤波后的MPSK, QAM, QPSK, OQPSK and π/4 QPSK 的绝对带宽5. 升余弦滤波后的MPSK, QAM, QPSK, OQPSK and π/4 QPSK 的频谱效率匹配滤波器应用LPF滤波器接收应用LPF滤波器接收其中MF滤波器的单位冲激响应AM(包络检波)的输出信噪比DSB-SCSSB最新文件---------------- 仅供参考--------------------已改成word文本--------------------- 方便更改。
通信常识:波特率、数据传输速率与带宽的相互关系【带宽W】带宽,又叫频宽,是数据的传输能力,指单位时间内能够传输的比特数。
高带宽意味着高能力。
数字设备中带宽用bps(b/s)表示,即每秒最高可以传输的位数。
模拟设备中带宽用Hz表示,即每秒传送的信号周期数。
通常描述带宽时省略单位,如10M实质是10M b/s。
带宽计算公式为:带宽=时钟频率*总线位数/8。
电子学上的带宽则指电路可以保持稳定工作的频率范围。
【数据传输速率Rb】数据传输速率,又称比特率,指每秒钟实际传输的比特数,是信息传输速率(传信率)的度量。
单位为“比特每秒(bps)”。
其计算公式为S=1/T。
T为传输1比特数据所花的时间。
【波特率RB】波特率,又称调制速率、传符号率(符号又称单位码元),指单位时间内载波参数变化的次数,可以以波形每秒的振荡数来衡量,是信号传输速率的度量。
单位为“波特每秒(Bps)”,不同的调制方法可以在一个码元上负载多个比特信息,所以它与比特率是不同的概念。
【码元速率和信息速率的关系】码元速率和信息速率的关系式为:Rb=RB*log2 N。
其中,N为进制数。
对于二进制的信号,码元速率和信息速率在数值上是相等的。
【奈奎斯特定律】奈奎斯特定律描述了无噪声信道的极限速率与信道带宽的关系。
1924年,奈奎斯特(Nyquist)推导出理想低通信道下的最高码元传输速率公式:理想低通信道下的最高RB = 2W Baud。
其中,W为理想低通信道的带宽,单位是赫兹(Hz),即每赫兹带宽的理想低通信道的最高码元传输速率是每秒2个码元。
对于理想带通信道的最高码元传输速率则是:理想带通信道的最高RB= W Baud,即每赫兹带宽的理想带通信道的最高码元传输速率是每秒1个码元。
符号率与信道带宽的确切关系为:RB=W(1+α)。
其中,1/1+α为频道利用率,α为低通滤波器的滚降系数,α取值为0时,频带利用率最高,但此时因波形“拖尾”而易造成码间干扰。
通信常识:波特率、数据传输速率与带宽的相互关系【带宽W】带宽,又叫频宽,是数据的传输能力,指单位时间内能够传输的比特数。
高带宽意味着高能力。
数字设备中带宽用bps〔b/s〕表示,即每秒最高可以传输的位数。
模拟设备中带宽用Hz表示,即每秒传送的信号周期数。
通常描述带宽时省略单位,如10M实质是10Mb/s。
带宽计算公式为:带宽=时钟频率*总线位数/8。
电子学上的带宽那么指电路可以保持稳定工作的频率范围。
【数据传输速率Rb】数据传输速率,又称比特率,指每秒钟实际传输的比特数,是信息传输速率〔传信率〕的度量。
单位为“比特每秒〔bps〕〞。
其计算公式为S=1/T。
T为传输1比特数据所花的时间。
【波特率RB】波特率,又称调制速率、传符号率〔符号又称单位码元〕,指单位时间内载波参数变化的次数,可以以波形每秒的振荡数来衡量,是信号传输速率的度量。
单位为“波特每秒〔Bps〕〞,不同的调制方法可以在一个码元上负载多个比特信息,所以它与比特率是不同的概念。
【码元速率和信息速率的关系】码元速率和信息速率的关系式为:Rb=RB*log2N。
其中,N为进制数。
对于二进制的信号,码元速率和信息速率在数值上是相等的。
【奈奎斯特定律】奈奎斯特定律描述了无噪声信道的极限速率与信道带宽的关系。
1924年,奈奎斯特〔Nyquist〕推导出理想低通信道下的最高码元传输速率公式:理想低通信道下的最高RB=2WBaud。
其中,W为理想低通信道的带宽,单位是赫兹〔Hz〕,即每赫兹带宽的理想低通信道的最高码元传输速率是每秒2个码元。
对于理想带通信道的最高码元传输速率那么是:理想带通信道的最高RB=WBaud,即每赫兹带宽的理想带通信道的最高码元传输速率是每秒1个码元。
符号率与信道带宽确实切关系为:RB=W(1+α)。
其中,1/1+α为频道利用率,α为低通滤波器的滚降系数,α取值为0时,频带利用率最高,但此时因波形“拖尾〞而易造成码间干扰。
它的取值一般不小于,以调解频带利用率和波形“拖尾〞之间的矛盾。
第一章 绪论模拟通信系统一般模型:数字通信系统模型:点对点的通信按时间和传递方向可以分为:单工,半双工,全双工通信。
有效性指标 可靠性指标 模拟 频宽利用率输出信噪比 数字 传码率,传信率,带宽利用率误码率,误信率参量: 公式单位 信息量 )(log 2x P I -=bit 平均信息量/信源熵 ∑=-=Mi i i x P x P x H 12)(log )()(bit/符号 传码率 T R B /1= B 传信率 )(x H R R B b =b/s 带宽利用率 B R B =ηB/Hz 误码率 P e =错误码元数/码元总数 误信率 P b =错误比特数/比特总数第二章 确知信号确知信号功率信号 频谱⎰--=2220000)(1T T tnf j n dt et s T C π功率谱密度 2|)(|1lim )(f S Tf P T T ∞→=自相关函数 dt t s t s T R T T T ⎰-∞→+=2/2)()(1lim )(ττ能量信号 频谱密度 ∑∞∞--=dt e t s f S ft j π2)()(能量谱密度2|)(|)(f S f G =;)()]([1τR f G F =-自相关函数⎰∞∞-+=)()()(ττt s t s R ;)()]([f G R F =τ第三章 随机过程公式备注统计均值 dx x f t t E )()()]([⎰∞∞-=ξξf (x )是x 的概率密度函数 统计自相关函数 )]()([)(212,1t t E t t R ξξ==参照统计均值计算方法广义平稳随机过程 1. 均值为常数,与时间t 无关2. 自相关函数只与时间间隔τ有关时间均值⎰-∞→-=2/2)(1limT T T dt t x T a 时间自相关函数 ⎰-∞→----+=2/2)()(1lim )(T T T dt t x t x T R ττ各态历经性1.-=a t E )]([ξ 2.-----=)(),(21τR t t R平稳随机过程自相关函数性质)0(R代表平均功率)(∞R代表直流功率(均值的平方) )()(ττ-=R R偶函数 )0(|)(|R R ≤τ有上界2)()0(σ=∞-R R方差代表交流功率高斯随机过程:)2)(ex p(21)(22σσπa x x f -- 结论1:线性系统:输出过程的功率谱密度是输入过程的功率谱密度乘以系统频率响应模值的平方,即)(|)(|)(2f P f H fP i o =结论2:如果线性系统的输入是高斯型的,则输出也是高斯型的。
结论3:一个均值为零的窄带平稳高斯过程,他的同相分量和正交分量同样是平稳高斯过程,而且均值为零,方差也相同。
此外在同一时刻上得到的同相分量和正交分量是统计独立的。
结论4:一个均值为零、方差为2ξσ的窄带平稳高斯过程)(t ξ,其包络的一维分布是瑞利分布,相位的一维分布是均匀分布,并且就一维分布而言他们是统计独立的。
结论5:正弦波加窄带高斯噪声的包络:小信噪比时接近瑞利分布,大信噪比时接近高斯分布,一般情况下是莱斯分布。
第四章 信道无线信道:天波、地波、视线传播。
有线信道:明线、对称电缆、同轴电缆。
信号无失真条件:1.具有线性相位(相频特性为通过原点的直线) 2.幅频响应为常数信道容量:)1(log 2nit S S B C += b/s第五章 模拟调制系统调制框图带宽BAMm AM f B 2=DSBm DSB f B 2=SSBm SSB f B =FM(直接调频法:频偏大,稳定性差))(2)1(2m mf FM f f f m B +∆=+=调频指数:m f f f m /∆=最大频偏:f ∆ 载频:c f阿姆斯特朗法,先倍频,再混频,再倍频解调抗噪声性能非相干解调(包络检波)相干解调i Si No S o N 制度增益Gi S i N o S o NGAM2)(220----+t m AAM B n 0 ----)(2t mAM B n 0--------+)()(22202t m A t m同左,最大值2/3)DS B----)(212t m DSB B n 0----)(412t m DSB B n 0412SSB----)(412t m SSB B n 0----)(1612t m SSB B n 0411FM对NBFM 和WBFM 都适用,不需同步信号,应用范围广仅适用于NBFM ,须同步信号,应用范围窄22AFMB n 0mfmfo o f n A m f n t m K A N S 0223022222/238)(3==------π mFM f f B m 223各模拟调制系统性能比较:抗噪声性能(可靠性) WBFM>DSB>SSB>VSB>AM 频带利用率(有效性) SSB>VSB>DSB=AM>FM 带宽 SSB<VSB<DSB=AM<FM第六章 数字基带传输系统常用码型 AMI 码 将1交替的变为+1和-1,0保持不变 HDB3码出现4连0时插入V 码,V 码与前一个非0脉冲极性相同,V 码必须交替出现,V 码后的传号码极性也要交替,B 码可取0,+1,-1,使以上要求全部满足。
双相码0码用01表示,1码用10表示。
奈奎斯特第一准则(无码间串扰条件):Sis sT T i H T πωπω≤=+∑||;1)2(1其中部分响应(提高频带利用率):人为的,有规律的在码元抽样时刻引入码间串扰,并在接收端判决前加以消除,从而达到改善频谱特性,压缩传输频带,并加速传输波形尾巴的衰减和降低对定时精度的要求。
时域均衡(消除码间串扰)。
横向滤波器设计:∑-=-=NNi ik ik xC y (tips :k y 等于以k x 为中心左右取共2N+1个元素镜像后分别与C -N 至C N 相乘,然后再相加。
) 设计要求(y 中只有y0=1,其余全为0):例如]010[]][[101012101210=----C C C x x x x x x x x x =[101y y y -]峰值失真:∑∞≠-∞==00||1k k ky y D均方失真:∑∞≠-∞==02221k k kyy e第九章 模拟信号的数字传输 题型:13折线法编码译码。
13折线法:不均匀分8段,每段均匀分16份。
最小量化间隔等于总体的1/2048,称为量化单位。
第1段的1份。
对于码C1 C2 C3 C4 C5 C6 C7: C1:表示电压极性;C2 C3 C4:表示段落码;确定时列表格逐次比较确定。
C4 C5 C6 C7:表示段内码,可用[16(x-段始值)/(段末值-段始值)] 取整表示。
量化电平取所属区间的中间值。
段落序号 段落码C2 C3 C4 段落范围() 1 000 0~16 2 001 16~32 3 010 32~64 4 011 64~128 5 100 128~256 6 101 256~512 7110 512~1024 8 1111024~2048第七章数字带通传输系统调制模拟调制法键控法2ASK2FSK2PSK2DPSK带宽B噪声功率2n信号功率(a为信号幅度)信噪比r非相干(包络)解调误码率P e相干解调误码率P e2ASKB s ASK R f B 222== B n 0 2/2a)2/(22n a σ24r e -re r π4-2FSKs FSK f f f B 2||122+-= s f n 202/2a)2/(22n a σ22r e -r e r π22-2PSKB s PSK R f B 222== B n 02/2a)2/(22n a σre r π2-2DPSKB s DPSK R f B 222== B n 0 2/2a)2/(22n a σ相干解调(极性比较法)P ere rπ-差分相干解调(相位比较法)P e2re -解调非相干解调(包络检波)相干解调(同步检测法)2ASK2FSK2PSK2DPS K相干解调(极性比较法)差分相干解调(相位比较法)各模拟调制系统性能比较: 频带宽度(有效性) 2ASK=2PSK=2DPSK<2FSK *越小越好 误码率(可靠性)2PSK<2DPSK(同步检测)< 2DPSK(差分相干)<2FSK(相干)<2FSK(包络)<2ASK(相干)<2ASK(包络) *越小越好第十章 数字信号的最佳接收 匹配滤波器相关: 输入信号s(t)冲击响应h(t)输出信号s o (t)最佳接收滤波器特性H(t))(t s)()(t T s t h s -= )()()()(*)()(s s o T t R d T s t s t s t h t s -=--==⎰∞∞-τττ*卷积运算s fT j e f S f H π2*)()(-=。