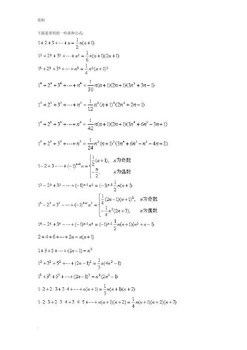
常用的一些求和公式
- 格式:doc
- 大小:132.50 KB
- 文档页数:7
数列求和公式七个方法数列求和是数学中的一个重要概念,常用于计算数列中各项之和。
数列求和公式有多种方法,下面将介绍七种常见的求和公式方法。
方法一:等差数列求和公式等差数列是指数列中每一项与前一项之差都相等的数列。
等差数列求和公式是通过将数列项数n代入公式中,计算数列中各项之和Sn。
等差数列求和公式为Sn=n(a1+an)/2,其中Sn表示数列的和,a1表示首项,an表示末项,n表示项数。
方法二:等比数列求和公式等比数列是指数列中每一项与前一项之比都相等的数列。
等比数列求和公式是通过将数列项数n代入公式中,计算数列中各项之和Sn。
等比数列求和公式为Sn=a1(1-q^n)/(1-q),其中Sn表示数列的和,a1表示首项,q表示公比,n表示项数。
方法三:斐波那契数列求和公式斐波那契数列是指数列中每一项都是前两项之和的数列。
斐波那契数列求和公式是通过将数列项数n代入公式中,计算数列中各项之和Sn。
斐波那契数列求和公式为Sn=f(n+2)-1,其中Sn表示数列的和,f表示斐波那契数列。
方法四:调和数列求和公式调和数列是指数列中每一项的倒数是一个调和级数的一项。
调和数列求和公式是通过将数列项数n代入公式中,计算数列中各项之和Sn。
调和数列求和公式为Sn=1+1/2+1/3+...+1/n,即Sn=Hn,其中Hn表示调和级数的n项和。
方法五:等差数列求和差分公式通过差分公式,我们可以得到等差数列的求和公式。
差分公式是指数列中相邻两项之差等于同一个常数d。
等差数列求和差分公式为Sn=[(a1+an)/2]n,其中Sn表示数列的和,a1表示首项,an表示末项,n表示项数。
方法六:等比数列求和差分公式通过差分公式,我们可以得到等比数列的求和公式。
差分公式是指数列中相邻两项之比等于同一个常数q。
等比数列求和差分公式为Sn=a1(1-q^n)/(1-q),其中Sn表示数列的和,a1表示首项,q表示公比,n表示项数。
方法七:等差数列求和公式(倍差法)倍差法是一种基于等差数列的求和方法。
数列求和的8种常用方法数列求和是数学中非常常见的问题,它的解法有很多种。
下面我将介绍8种常用的方法来求解数列的和,让我们一起来看看吧。
一、等差数列求和公式对于等差数列$a_n=a_1+(n-1)d$,其中$a_n$表示第n个数,$a_1$表示第一个数,d表示公差,我们可以利用等差数列求和公式求解:$S = \frac{n}{2}(a_1 + a_n) = \frac{n}{2}(2a_1 + (n-1)d)$其中S表示数列的和,n表示数列的项数。
二、等比数列求和公式对于等比数列$a_n = a_1 \cdot q^{(n-1)}$,其中$a_n$表示第n个数,$a_1$表示第一个数,q表示公比,我们可以利用等比数列求和公式求解:$S = \frac{a_1(q^n - 1)}{q - 1}$,其中q≠1或者当q=1时,$S=a_1n$其中S表示数列的和,n表示数列的项数。
三、几何级数求和公式对于几何级数$s_n = a_1 + a_2 + \dots + a_n$,其中$a_1$表示第一个数,q表示公比,我们可以利用几何级数求和公式求解:$S = \frac{a_1(q^n - 1)}{q - 1}$,其中q≠1四、等差数列-等比数列混合求和公式对于等差数列-等比数列混合数列$s_n = a_1 + a_2 + \dots + a_n$,其中$a_n = a_1 + (n-1)d$,$a_1$表示第一个数,d表示公差,我们可以利用等差数列-等比数列混合求和公式求解:$S = \frac{a_1(q^n - 1)}{q - 1} + \frac{n(n-1)d}{2}q^{(n-2)}$,其中q≠1五、反比例数列求和公式对于反比例数列$s_n = \frac{1}{a_1} + \frac{1}{a_2} + \dots + \frac{1}{a_n}$,其中$a_1$表示第一个数,我们可以利用反比例数列求和公式求解:$S = \frac{n}{a_1}$六、算术-几何级数求和公式对于算术-几何级数$s_n = a_1 + a_2 + \dots + a_n$,其中$a_n = a_1 + (n-1)d$,$a_1$表示第一个数,d表示公差$S = \frac{a_1}{1-q} + \frac{d}{(1-q)^2}$,其中q≠1七、差分数列求和公式对于差分数列$s_n = a_1 + a_2 + \dots + a_n$,其中$a_n = a_1+ (n-1)d$,$a_1$表示第一个数,d表示公差,我们可以利用差分数列求和公式求解:$S = \frac{n}{2}(2a_1 + (n-1)d)$其中S表示数列的和,n表示数列的项数。
常用的一些求和公式
在数学中,求和是一个常见的操作。
求和公式是用来计算一系列数值的总和的表达式。
下面是一些常用的求和公式:
1.自然数求和公式:
1+2+3+...+n=n(n+1)/2
2.平方数求和公式:
1²+2²+3²+...+n²=n(n+1)(2n+1)/6
3.立方数求和公式:
1³+2³+3³+...+n³=[n(n+1)/2]²
4.等差数列求和公式:
a+(a+d)+(a+2d)+...+[a+(n-1)d]=n(2a+(n-1)d)/2
5.等比数列求和公式(当r不等于1):
a + ar + ar² + ... + ar^(n-1) = (a(1-r^n))/(1-r)
6.幂级数求和公式(当,x,<1):
1+x+x²+...+x^n=(1-x^(n+1))/(1-x)
7.调和数求和公式:
1 + 1/
2 + 1/
3 + ... + 1/n ≈ ln(n) + γ,其中γ是欧拉常数8.组合数求和公式:
C(n,0)+C(n,1)+C(n,2)+...+C(n,n)=2^n
9.幂求和公式:
1^k+2^k+3^k+...+n^k≈(n^(k+1))/(k+1),其中k是一个正整数
10.质数求和公式(素数求和定理):
素数的倒数的和收敛于常数2.26
这只是一小部分常见的求和公式。
在数学中,还有许多其他的求和公式可用于计算不同种类的数列的总和。
数列求和常用方法一、公式法1、等差数列求和公式:2)1(2)(11d n n na a a n S n n -+=+= 2、等比数列求和公式:1,11)1(1,111≠⎪⎩⎪⎨⎧--=--==q q q a a q q a q na S n n n 3、2)1(321+=+⋅⋅⋅+++n n n 4、)12)(1(613212222++=+⋅⋅⋅+++n n n n 5、23333)1(21321⎥⎦⎤⎢⎣⎡+=++++n n n 例1:已知3log 1log 23-=x ,求⋅⋅⋅++⋅⋅⋅+++n x x x x 32的前n 项和.例2:设Sn =1+2+3+…+n,n ∈N*,求1)32()(++=n n S n S n f 的最大值.二、倒序相加法:如果一个数列}{n a 满足与首末两项等“距离”的两项的和相等(或等于同一常数),那么这个数列的前n 项和,可以用倒序相加法。
例3:求o o o o o 89sin 88sin 3sin 2sin 1sin 22222++⋅⋅⋅+++的值。
例4:求222222222222110108339221011++⋅⋅⋅++++++的和。
三、裂项相消法:把数列的通项拆成两项之差,在求和时中间的一些项可以互相抵消,从而求得其和。
例5:求数列⋅⋅⋅+⋅⋅⋅⨯⨯⨯,)2(1,,531,421,311n n 的前n 项和。
例6:求数列⋅⋅⋅++⋅⋅⋅++,11,,321,211n n 的前n 项和。
四、分组求和法:一个数列的通项公式是由几个等差或等比或可求和的数列的通项公式组成,求和时可用分组求和法,分别求和而后相加。
例7:求数列⋅⋅⋅+⋅⋅⋅+,212,,1616,814,4121n n 的前n 项和。
例8:求数列⋅⋅⋅-+⋅⋅⋅+++-,231,,71,41,1112n a a a n 的前n 项和。
五、并项求和法:一个数列的前n 项和中,若项与项之间能两两结合求解,则称之为并项求和。
数项级数的求和方法数项级数是指由一系列数字组成的无限数列相加的结果。
求和数项级数的方法有很多,包括公式法、变换法、分解法等等。
接下来,我将详细介绍一些常用的数项级数求和方法。
一、公式法公式法是指通过已知的公式来计算数项级数的和。
下面列举几种常见的公式法求和方法:1.1等差数列的和:等差数列的和公式为Sn=n(a+L)/2,其中n是项数,a是首项,L是末项。
1.2等比数列的和:等比数列的和公式为Sn=a(1-q^n)/(1-q),其中a是首项,q是公比,n是项数。
1.3平方数的和:平方数的和公式为Sn=n(n+1)(2n+1)/61.4立方数的和:立方数的和公式为Sn=[n(n+1)/2]^21.5斐波那契数列的和:斐波那契数列的和公式为Sn=Fn+2-1,其中Fn表示斐波那契数列的第n项。
二、变换法变换法是指通过对数项级数进行变换,从而将其转化为已知的级数,然后再求和。
常用的变换法包括部分和公式、差分法、反演法等。
2.1 部分和公式:对于一些特殊的数项级数,可以找到其部分和的公式,从而通过计算部分和来求和。
例如,对于等差数列an = a+(n-1)d,其部分和Sn = (2a+(n-1)d)n/22.2差分法:差分法是指通过计算数项级数的差分序列来找到规律,从而得到求和公式。
例如,对于一般的等差数列和,可以通过计算相邻项的差值得到一定的规律,进而得到求和公式。
2.3反演法:反演法是指通过将数项级数转化为另一种形式,然后求和。
例如,对于倒数级数1+1/2+1/3+...,可以通过将其乘以2再减去1的方式,得到一个新的序列1+1/2+1/4+...,从而得到求和公式。
三、分解法分解法是指将数项级数分解为若干个子级数,通过计算子级数的和再相加来求得原级数的和。
常用的分解法包括部分和分解、特殊级数分解、倒数级数分解等。
3.1部分和分解:对于有穷项的级数,可以将其进行部分和的分解,然后再相加得到原级数的和。
数列求和公式七个方法求和公式是数列中常用的一个工具,用于计算数列中一定数量的项的和。
在数学中,有七种不同的方法可以使用求和公式。
1.求等差数列的和:等差数列的求和公式是:Sn = (a1 + an) * n / 2,其中Sn是数列前n项和,a1是数列的首项,an是数列的末项,n是数列的项数。
这个公式的核心思想是将数列分成两部分,每部分的和都是数列的首项和末项之和的一半。
2.求等比数列的和:等比数列的求和公式是:Sn=a1*(1-r^n)/(1-r),其中Sn是数列前n 项和,a1是数列的首项,r是数列的公比,n是数列的项数。
这个公式利用了等比数列的特性,即每一项都是前一项乘以公比。
3.求等差数列的和差:等差数列的和差公式是:Sa=Sn-S(n-1),其中Sa是数列从第n-1项到第n项的和差,Sn是数列前n项和,S(n-1)是数列前n-1项和。
这个公式的思想是将数列分成两部分,分别计算它们的和,然后将后一部分的和减去前一部分的和,即可得到和差。
4.求等比数列的和差:等比数列的和差公式是:Sa=Sn/S(n-1),其中Sa是数列从第n-1项到第n项的和差,Sn是数列前n项和,S(n-1)是数列前n-1项和。
这个公式利用了等比数列的特性,即每一项都是前一项乘以公比。
5.求调和数列的和:调和数列的求和公式是:Sn = n / (1/a1 + 1/a2 + ... + 1/an),其中Sn是数列前n项和,a1,a2,...,an是数列的各项。
这个公式的思想是将数列的各项的倒数相加,然后再取它们的倒数。
6.求幂和数列的和:幂和数列的求和公式是:Sn=(a^(n+1)-1)/(a-1),其中Sn是数列前n项和,a是数列的公比,n是数列的项数。
这个公式利用了幂和数列的特性,即每一项都是公比的幂次。
7.求有限项数列的和:有限项数列的求和公式是:Sn = (n / 2) * (a1 + an),其中Sn是数列前n项和,a1是数列的首项,an是数列的末项,n是数列的项数。
下面是常用的一些求和公式:a1, a1+d, a1+2d, a1+3d, .... (d为常数)称为公差为d的等差数列.与等差数列相应的级数称为等差级数,又称算术级数.通项公式前n项和等差中项a1, a1q, a1q2, a1q3....,(q为常数)称为公比为q的等比数列.与等比数列相应的级数称为等比级数,又称几何级数.通项公式前n项和等比中项无穷递减等比级数的和更多地了解数列与级数:等差数列与等差级数(算术级数)等比数列等比数列的通项公式等比数列求和公式(1) 等比数列:a (n+1)/an=q (n∈N)。
(2) 通项公式:an=a1×q^(n-1);推广式:an=am×q^(n-m);(3) 求和公式:Sn=n*a1 (q=1)Sn=a1(1-q^n)/(1-q) =(a1-an*q)/(1-q) (q≠1)(q为比值,n为项数)(4)性质:①若 m、n、p、q∈N,且m+n=p+q,则am*an=ap*aq;②在等比数列中,依次每 k项之和仍成等比数列.③若m、n、q∈N,且m+n=2q,则am*an=aq^2(5) "G是a、b的等比中项""G^2=ab(G ≠ 0)".(6)在等比数列中,首项a1与公比q都不为零.注意:上述公式中an表示等比数列的第n项。
等比数列如果一个数列从第2项起,每一项与它的前一项的比等于同一个常数,这个数列就叫做等比数列。
这个常数叫做等比数列的公比,公比通常用字母q表示(q≠0)。
(1)等比数列的通项公式是:An=A1*q^(n-1)若通项公式变形为an=a1/q*q^n(n∈N*),当q>0时,则可把an看作自变量n的函数,点(n,an)是曲线y=a1/q*q^x上的一群孤立的点。
(2)等比数列求和公式:Sn=nA1(q=1)Sn=A1(1-q^n)/(1-q)=(a1-a1q^n)/(1-q)=(a1-an*q)/(1-q)=a1/(1-q)-a1/(1-q)*q^n ( 即A-Aq^n)(前提:q≠ 1)任意两项am,an的关系为an=am·q^(n-m)(3)从等比数列的定义、通项公式、前n项和公式可以推出:a1·an=a2·an-1=a3·an-2=…=ak·an-k+1,k∈{1,2,…,n}(4)等比中项:aq·ap=ar^2,ar则为ap,aq等比中项。
常用数列求和公式大全一、等差数列求和公式。
1. 公式。
- 对于首项为a_1,末项为a_n,项数为n的等差数列,其求和公式为S_n=(n(a_1 + a_n))/(2)。
- 若已知等差数列的首项a_1,公差为d,则其通项公式a_n=a_1+(n - 1)d,此时求和公式还可以写成S_n=na_1+(n(n - 1)d)/(2)。
2. 推导(以S_n=(n(a_1 + a_n))/(2)为例)- 设等差数列{a_n}的前n项和为S_n,即S_n=a_1+a_2+·s+a_n。
- 把上式倒过来写S_n=a_n+a_n - 1+·s+a_1。
- 将这两个式子相加得2S_n=(a_1 + a_n)+(a_2+a_n - 1)+·s+(a_n + a_1)。
- 因为在等差数列中有a_k+a_n-(k - 1)=a_1+(k - 1)d+a_1+(n - k)d = 2a_1+(n - 1)d=a_1 + a_n(k = 1,2,·s,n)。
- 所以2S_n=n(a_1 + a_n),即S_n=(n(a_1 + a_n))/(2)。
二、等比数列求和公式。
1. 公式。
- 对于首项为a_1,公比为q(q≠1),项数为n的等比数列,其求和公式为S_n=(a_1(1 - q^n))/(1 - q)。
- 当q = 1时,等比数列是常数列,S_n=na_1。
2. 推导(以q≠1为例)- 设等比数列{a_n}的前n项和为S_n=a_1+a_1q+a_1q^2+·s+a_1q^n - 1。
- 则qS_n=a_1q+a_1q^2+·s+a_1q^n - 1+a_1q^n。
- 用S_n减去qS_n得:- S_n-qS_n=a_1 - a_1q^n,即S_n(1 - q)=a_1(1 - q^n)。
- 因为q≠1,所以S_n=(a_1(1 - q^n))/(1 - q)。
数列求和公式七个方法
由普通的等差数列和等比数列求和公式,到利用递推关系求和,以及利用数列的性质等多种方法,这些都可以用来研究数列求和的问题。
在此,我们将详细介绍七种常用的数列求和方法。
一、等差数列求和法。
当数列符合等差数列的特性(即每两项之间的差值是一个常数)时,可以使用公式S=n/2*(a1+an)来求和。
其中,n是项数,a1是首项,
an是末项。
二、等比数列求和法。
在数列成等比数列(即每两项之间的比值是一个常数)时,可以利用公式S=a1*(1-q^n)/(1-q)(没有公比为1)或S=n*a1(公比为1)求和。
其中,n是项数,a1是首项,q是公比。
三、高斯求和法。
这是一种巧妙的求和方法,是德国数学家高斯在少年时期首创的。
基本的思想是将数列“对折”后相加,然后对结果进行二分。
四、递推关系求和法。
通过对数列中的关系进行递推,可以获得新的数列,然后通过求和公式或其他方法求和。
五、利用公式变换法。
将数列通过某种变换,转换成为我们能够处理的形式,然后再进行求和。
六、分部求和法。
将一个复杂的数列,通过适当的方法,拆分成若干个简单的数列,然后分别求和,再将结果进行合并。
七、利用数列的性质求和。
诸如奇偶性、交错性、单调性等数列的性质,都可以在特定的情况下用于求和。
此外,还可以对称求和、循环求和等方法。
以上就是数列求和的七种方法,掌握这些方法能让我们更灵活地解决数列求和问题。
当然,这些方法并不是孤立存在的,而是需要根据具体的数列,灵活运用和组合,才能解决实际问题。
多条件求和函数公式
多条件求和的函数公式有多种,以下提供四种常用的多条件求和的函数公式:
1.SUMIF公式:用于对满足某个条件的值进行求和。
其语法为:=SUMIF(条件
指定的区域,条件,实际求和区域)。
2.SUMIFS公式:用于对满足多个条件的值进行求和。
其语法为:SUMIFS(实际
求和区域,条件1指定的区域,条件1,条件2指定的区域,条件2…)。
3.SUMPRODUCT公式:用于对满足多个条件的值进行求和。
其语法为:
=SUMPRODUCT((条件区域1=目标值1)*(条件区域1=目标值2)值区域)。
4.DSUM公式:是一种数据库函数,用于返回数据库的某列中,满足指定条件
的数字之和。
其语法为:=DSUM(数据库区域,目标列,条件)。
使用时需保证原始数据区域与条件区域的标题一致。
下面是常用的一些求和公式:a1, a1+d, a1+2d, a1+3d, .... (d为常数)称为公差为d的等差数列.与等差数列相应的级数称为等差级数,又称算术级数. 通项公式前n项和等差中项a1, a1q, a1q2, a1q3....,(q为常数)称为公比为q的等比数列.与等比数列相应的级数称为等比级数,又称几何级数. 通项公式前n项和等比中项无穷递减等比级数的和更多地了解数列与级数:等差数列与等差级数(算术级数)等比数列等比数列的通项公式等比数列求和公式(1) 等比数列:a (n+1)/an=q (n∈N)。
(2) 通项公式:an=a1×q^(n-1);推广式:an=am×q^(n-m);(3) 求和公式:Sn=n*a1 (q=1)Sn=a1(1-q^n)/(1-q) =(a1-an*q)/(1-q) (q≠1)(q为比值,n为项数〕(4)性质:①假设m、n、p、q∈N,且m+n=p+q,那么am*an=ap*aq;②在等比数列中,依次每k项之和仍成等比数列.③假设m、n、q∈N,且m+n=2q,那么am*an=aq^2(5) "G是a、b的等比中项""G^2=ab〔G ≠ 0〕".(6)在等比数列中,首项a1与公比q都不为零.注意:上述公式中an表示等比数列的第n项。
等比数列如果一个数列从第2项起,每一项与它的前一项的比等于同一个常数,这个数列就叫做等比数列。
这个常数叫做等比数列的公比,公比通常用字母q表示(q≠0)。
〔1〕等比数列的通项公式是:An=A1*q^〔n-1〕假设通项公式变形为an=a1/q*q^n(n∈N*),当q>0时,那么可把an看作自变量n的函数,点(n,an)是曲线y=a1/q*q^x上的一群孤立的点。
〔2〕等比数列求和公式:Sn=nA1(q=1)Sn=A1(1-q^n)/(1-q)=(a1-a1q^n)/(1-q)=(a1-an*q)/(1-q)=a1/(1-q)-a1/(1-q)*q^n ( 即A-Aq^n)(前提:q≠ 1)任意两项am,an的关系为an=am·q^(n-m)〔3〕从等比数列的定义、通项公式、前n项和公式可以推出:a1·an=a2·an-1=a3·an-2=…=ak·an-k+1,k∈{1,2,…,n}〔4〕等比中项:aq·ap=ar^2,ar那么为ap,aq等比中项。
常见的求和公式
嘿,让我来给你讲讲常见的求和公式呀!首先就是等差数列求和公式,那可太重要啦!它就像是一把钥匙,能帮我们快速解开好多数字的秘密呢!公式是啥呢?就是(首项+末项)×项数÷2 呀!比如说,
1+2+3+4+5+6+7+8+9+10,首项是 1,末项是 10,项数是 10,那用这个公式就能快速算出和是(1+10)×10÷2 = 55 啦!是不是很神奇?
还有等比数列求和公式,这就像一个魔法棒,能把一些有规律的数字变得乖乖的!当公比不等于 1 时,公式是首项×(1-公比的项数次方)÷(1-
公比)。
咱举个例子啊,计算 1+2+4+8,这就是公比为 2 的等比数列呀,首项是 1,那和就是1×(1-2 的 4 次方)÷(1-2) = 15 呢!哇塞,厉害吧!
这些求和公式就像是我们数学世界里的宝藏,等着我们去挖掘和利用呢!好好去探索吧,你肯定会发现更多有趣的地方!。
数学级数求和公式整理在数学中,级数是由一系列的项相加而成的数列。
求解级数的和是数学中一个重要的问题,因为它可以应用于很多领域,如物理学、工程学、经济学等。
为了更方便地计算级数的和,数学家们整理出了一些常用的求和公式。
本文将介绍一些常见的数学级数求和公式。
一、等差数列求和公式等差数列是一种常见的数列,其每一项与前一项之间的差值都相等。
等差数列的求和公式如下:S = (n/2)(a + l)其中,S表示等差数列的和,n表示项数,a表示首项,l表示末项。
这个公式的推导过程较为简单,可以通过将等差数列反向相加得到。
二、等比数列求和公式等比数列是一种常见的数列,其每一项与前一项之间的比值都相等。
等比数列的求和公式如下:S = a(1 - r^n)/(1 - r)其中,S表示等比数列的和,a表示首项,r表示公比,n表示项数。
这个公式的推导可以通过将等比数列与其项依次相乘然后相减得到。
三、调和级数求和公式调和级数是一种特殊的级数,其每一项是倒数的和。
调和级数的求和公式如下:S = 1 + 1/2 + 1/3 + ... + 1/n ≈ ln(n) + γ其中,S表示调和级数的和,n表示项数,ln(n)表示自然对数,γ表示欧拉常数。
这个公式的推导涉及到数学分析的知识,可以使用积分的方法来证明。
四、几何级数求和公式几何级数是一种特殊的级数,其每一项与前一项之间的比值都相等。
几何级数的求和公式如下:S = a/(1 - r)其中,S表示几何级数的和,a表示首项,r表示公比。
这个公式可以通过将几何级数与其项依次相乘然后相减得到。
除了上述介绍的四种常见的级数求和公式外,还有一些更复杂的级数求和公式,如幂级数求和公式、三角级数求和公式等。
这些求和公式通常涉及到高等数学知识,超出了本文的范围。
综上所述,数学级数求和公式的整理对于数学的发展和应用至关重要。
各种级数求和公式的推导与应用都需要深入的数学知识和技巧,但掌握这些公式能够大大简化级数求和的计算过程,提高计算效率。
初中求解求和技巧初中数学中,求解求和问题是一个非常重要且常见的技巧。
在解决求和问题时,我们需要运用一些特定的技巧和公式,以便更加高效地计算和得出结果。
以下是一些初中求和的常见技巧:1. 等差数列求和公式:在等差数列中,如果已知首项a1,末项an和项数n,则可以使用以下公式求和:Sn = (a1 + an) * n / 2其中,Sn表示前n项和。
这个公式非常常用,特别是在求和连续整数、奇数或偶数时。
例如,求1 + 2 + 3 + … + 100的和,则可以使用公式:Sn = (1 + 100) * 100 / 2 = 5050。
2. 等差数列差数求和:在等差数列中,如果已知公差d,首项a1和末项an,我们可以使用以下公式求和:Sn = (n / 2) * (2 * a1 + (n - 1) * d)这个公式适用于任何等差数列,其中n表示项数。
例如,求2 + 5 + 8 + … + 50的和,已知a1 = 2,d = 3,n = (50 - 2) / 3 + 1 = 17,则可以使用公式:Sn = (17 / 2) * (2 * 2 + (17 - 1) * 3) = 459。
3. 等比数列求和公式:在等比数列中,如果已知首项a1,公比q和项数n,则可以使用以下公式求和:Sn = a1 * (q^n - 1) / (q - 1)这个公式只适用于公比q不等于1的情况。
例如,求2 + 4 + 8 + … + 2048的和,已知a1 = 2,q = 2,可以计算项数n = log2(2048/2) + 1 = 12,则可以使用公式:Sn = 2 * (2^12 - 1) / (2 - 1) = 4094。
4. 平方数求和公式:在计算平方数和时,可以使用以下公式:Sn = n * (n + 1) * (2n + 1) / 6其中,n表示平方数的最大值。
例如,求1^2 + 2^2 + 3^2 + … + 10^2的和,可以计算n = 10,则可以使用公式:Sn = 10 * (10 + 1) * (2 * 10 + 1) / 6 = 385。
下面是常用的一些求和公式:a1, a1+d, a1+2d, a1+3d, .... (d为常数)称为公差为d的等差数列.与等差数列相应的级数称为等差级数,又称算术级数. 通项公式前n项和等差中项a1, a1q, a1q2, a1q3....,(q为常数)称为公比为q的等比数列.与等比数列相应的级数称为等比级数,又称几何级数. 通项公式前n项和等比中项无穷递减等比级数的和更多地了解数列与级数:等差数列与等差级数(算术级数)等比数列等比数列的通项公式等比数列求和公式(1) 等比数列:a (n+1)/an=q (n∈N)。
(2) 通项公式:an=a1×q^(n-1);推广式:an=am×q^(n-m);(3) 求和公式:Sn=n*a1 (q=1)Sn=a1(1-q^n)/(1-q) =(a1-an*q)/(1-q) (q≠1)(q为比值,n为项数)(4)性质:①若m、n、p、q∈N,且m+n=p+q,则am*an=ap*aq;②在等比数列中,依次每k项之和仍成等比数列.③若m、n、q∈N,且m+n=2q,则am*an=aq^2(5) "G是a、b的等比中项""G^2=ab(G ≠ 0)".(6)在等比数列中,首项a1与公比q都不为零.注意:上述公式中an表示等比数列的第n项。
等比数列如果一个数列从第2项起,每一项与它的前一项的比等于同一个常数,这个数列就叫做等比数列。
这个常数叫做等比数列的公比,公比通常用字母q表示(q≠0)。
(1)等比数列的通项公式是:An=A1*q^(n-1)若通项公式变形为an=a1/q*q^n(n∈N*),当q>0时,则可把an看作自变量n的函数,点(n,an)是曲线y=a1/q*q^x上的一群孤立的点。
(2)等比数列求和公式:Sn=nA1(q=1)Sn=A1(1-q^n)/(1-q)=(a1-a1q^n)/(1-q)=(a1-an*q)/(1-q)=a1/(1-q)-a1/(1-q)*q^n ( 即A-Aq^n)(前提:q≠ 1)任意两项am,an的关系为an=am·q^(n-m)(3)从等比数列的定义、通项公式、前n项和公式可以推出:a1·an=a2·an-1=a3·an-2=…=ak·an-k+1,k∈{1,2,…,n}(4)等比中项:aq·ap=ar^2,ar则为ap,aq等比中项。
常用的一些求和公式 Company number:【0089WT-8898YT-W8CCB-BUUT-202108】下面是常用的一些求和公式:a1, a1+d, a1+2d, a1+3d, .... (d为常数)称为公差为d的等差数列.与等差数列相应的级数称为等差级数,又称算术级数. 通项公式前n项和等差中项a1, a1q, a1q2, a1q3....,(q为常数)称为公比为q的等比数列.与等比数列相应的级数称为等比级数,又称几何级数. 通项公式前n项和等比中项无穷递减等比级数的和更多地了解数列与级数:等差数列与等差级数(算术级数)等比数列等比数列的通项公式等比数列求和公式(1) 等比数列:a (n+1)/an=q (n∈N)。
(2) 通项公式:an=a1×q^(n-1);推广式:an=am×q^(n-m);(3) 求和公式:Sn=n*a1 (q=1)Sn=a1(1-q^n)/(1-q) =(a1-an*q)/(1-q) (q≠1)(q为比值,n为项数)(4)性质:①若 m、n、p、q∈N,且m+n=p+q,则am*an=ap*aq;②在等比数列中,依次每 k项之和仍成等比数列.③若m、n、q∈N,且m+n=2q,则am*an=aq^2(5) "G是a、b的等比中项""G^2=ab(G ≠ 0)".(6)在等比数列中,首项a1与公比q都不为零.注意:上述公式中an表示等比数列的第n项。
等比数列如果一个数列从第2项起,每一项与它的前一项的比等于同一个常数,这个数列就叫做等比数列。
这个常数叫做等比数列的公比,公比通常用字母q表示(q≠0)。
(1)等比数列的通项公式是:An=A1*q^(n-1)若通项公式变形为an=a1/q*q^n(n∈N*),当q>0时,则可把an看作自变量n的函数,点(n,an)是曲线y=a1/q*q^x上的一群孤立的点。
下面是常用的一些求和公式:
a1, a1+d, a1+2d, a1+3d, .... (d为常数)
称为公差为d的等差数列.与等差数列相应的级数称为等差级数,又称算术级数. 通项公式
前n项和
等差中项
a1, a1q, a1q2, a1q3....,(q为常数)
称为公比为q的等比数列.与等比数列相应的级数称为等比级数,又称几何级数. 通项公式
前n项和
等比中项
无穷递减等比级数的和
更多地了解数列与级数:等差数列与等差级数(算术级数)
等比数列
等比数列的通项公式
等比数列求和公式
(1) 等比数列:a (n+1)/an=q (n∈N)。
(2) 通项公式:an=a1×q^(n-1);
推广式:an=am×q^(n-m);
(3) 求和公式:Sn=n*a1 (q=1)
Sn=a1(1-q^n)/(1-q) =(a1-an*q)/(1-q) (q≠1)
(q为比值,n为项数)
(4)性质:
①若m、n、p、q∈N,且m+n=p+q,则am*an=ap*aq;
②在等比数列中,依次每k项之和仍成等比数列.
③若m、n、q∈N,且m+n=2q,则am*an=aq^2
(5) "G是a、b的等比中项""G^2=ab(G ≠ 0)".
(6)在等比数列中,首项a1与公比q都不为零.
注意:上述公式中an表示等比数列的第n项。
等比数列
如果一个数列从第2项起,每一项与它的前一项的比等于同一个常数,这个数列就叫做等比数列。
这个常数叫做等比数列的公比,公比通常用字母q表示(q≠0)。
(1)等比数列的通项公式是:An=A1*q^(n-1)
若通项公式变形为an=a1/q*q^n(n∈N*),当q>0时,则可把an看作自变量n的函数,点(n,an)是曲线y=a1/q*q^x上的一群孤立的点。
(2)等比数列求和公式:Sn=nA1(q=1)
Sn=A1(1-q^n)/(1-q)
=(a1-a1q^n)/(1-q)
=(a1-an*q)/(1-q)
=a1/(1-q)-a1/(1-q)*q^n ( 即A-Aq^n)
(前提:q≠ 1)
任意两项am,an的关系为an=am·q^(n-m)
(3)从等比数列的定义、通项公式、前n项和公式可以推出:a1·an=a2·an-1=a3·an-2=…=ak·an-k+1,k∈{1,2,…,n}
(4)等比中项:aq·ap=ar^2,ar则为ap,aq等比中项。
记πn=a1·a2…an,则有π2n-1=(an)2n-1,π2n+1=(an+1)2n+1
另外,一个各项均为正数的等比数列各项取同底数后构成一个等差数列;反之,以任一个正数C为底,用一个等差数列的各项做指数构造幂Can,则是等比数列。
在这个意义下,我们说:一个正项等比数列与等差数列是“同构”的。
等比中项定义:从第二项起,每一项(有穷数列和末项除外)都是它的前一项与后一项的等比中项。
(5)无穷递缩等比数列各项和公式:
无穷递缩等比数列各项和公式:对于等比数列的前n 项和,当n 无限增大时的极限,叫做这个无穷递缩数列的各项和。
[编辑本段]性质
①若m、n、p、q∈N*,且m+n=p+q,则am*an=ap*aq;
②在等比数列中,依次每k项之和仍成等比数列.
“G是a、b的等比中项”“G^2=ab(G≠0)”.
③若(an)是等比数列,公比为q1,(bn)也是等比数列,公比是q2,则
(a2n),(a3n)…是等比数列,公比为q1^2,q1^3…
(can),c是常数,(an*bn),(an/bn)是等比数列,公比为q1,q1q2,q1/q2。
(4)按原来顺序抽取间隔相等的项,仍然是等比数列。
(5)等比数列中,连续的,等长的,间隔相等的片段和为等比。
(6)若(an)为等比数列且各项为正,公比为q,则(log以a为底an的对数)成等
差,公差为log以a为底q的对数。
(7) 等比数列前n项之和Sn=A1(1-q^n)/(1-q)=A1(q^n-1)/(q-1)=(A1q^n)/(q-1)-A1/(q-1)
(8) 数列{An}是等比数列,An=pn+q,则An+K=pn+K也是等比数列,
在等比数列中,首项A1与公比q都不为零.
注意:上述公式中A^n表示A的n次方。
(6)由于首项为a1,公比为q的等比数列的通向公式可以写成an*q/a1=q^n,它的指数函数y=a^x有着密切的联系,从而可以利用指数函数的性质来研究等比数列。
求等比数列通项公式an的方法:
(1)待定系数法:已知a(n+1)=2an+3,a1=1,求an
构造等比数列a(n+1)+x=2(an+x)
a(n+1)=2an+x,∵a(n+1)=2an+3 ∴x=3
所以a(n+1)+3/an+3=2
∴{an+3}为首项为4,公比为2的等比数列,所以an+3=a1*q^(n-1)=4*2^(n-1),an=2^(n+1)-3
[编辑本段]等比数列的应用
等比数列在生活中也是常常运用的。
如:银行有一种支付利息的方式——复利。
即把前一期的利息和本金加在一起算作本金,
在计算下一期的利息,也就是人们通常说的利滚利。
按照复利计算本利和的公式:本利和=本金*(1+利率)^存期
等比数列小故事:
根据历史传说记载,国际象棋起源于古印度,至今见诸于文献最早的记录是在萨珊王朝时期用波斯文写的.据说,有位印度教宰相见国王自负虚浮,决定给他一个教训.他向国王推荐了一种在当时尚无人知晓的游戏.国王当时整天被一群溜须拍马的大臣们包围,百无聊赖,很需要通过游戏方式来排遣郁闷的心情.
国王对这种新奇的游戏很快就产生了浓厚的兴趣,高兴之余,他便问那位宰相,作为对他忠心的奖赏,他需要得到什么赏赐.宰相开口说道:请您在棋盘上的第一个格子上放1粒麦子,第二个格子上放2粒,第三个格子上放4粒,第四个格子上放8粒……即每一个次序在后的格子中放的麦粒都必须是前一个格子麦粒数目的倍数,直到最后一个格子第64格放满为止,这样我就十分满足了.“好吧!”国王哈哈大笑,慷慨地答应了宗师的这个谦卑的请求.
这位聪明的宰相到底要求的是多少麦粒呢?稍微算一下就可以得出:1+2+2^2+2^3+2^4+……+2^63=2^64-1,直接写出数字来就是18,446,744,073,709,551,615粒,这位宰相所要求的,竟是全世界在两千年内所产的小麦的总和!
如果造一个宽四米,高四米的粮仓来储存这些粮食,那么这个粮仓就要长三亿千米,可以绕地球赤道7500圈,或在日地之间打个来回。
国王哪有这么多的麦子呢?他的一句慷慨之言,成了他欠宰相西萨·班·达依尔的一笔永远也无法还清的债。
正当国王一筹莫展之际,王太子的数学教师知道了这件事,他笑着对国王说:“陛下,这个问题很简单啊,就像1+1=2一样容易,您怎么会被它难倒?”国王大怒:“难道你要我把全世界两千年产的小麦都给他?”年轻的教师说:“没有必要啊,陛下。
其实,您只要让宰相大人到粮仓去,自己数出那些麦子就可以了。
假如宰相大人一秒钟数一粒,数完18,446,
744,073,709,551,615粒麦子所需要的时间,大约是5800亿年(大家可以自己用计算器算一下!)。
就算宰相大人日夜不停地数,数到他自己魂归极乐,也只是数出了那些麦粒中极小的一部分。
这样的话,就不是陛下无法支付赏赐,而是宰相大人自己没有能力取走赏赐。
”国王恍然大悟,当下就召来宰相,将教师的方法告诉了他。
西萨·班·达依尔沉思片刻后笑道:“陛下啊,您的智慧超过了我,那些赏赐……我也只好不要了!”当然,最后宰相还是获得了很多赏赐(没有麦子)。