2018年考研数学二试题及答案解析
- 格式:pdf
- 大小:905.18 KB
- 文档页数:14
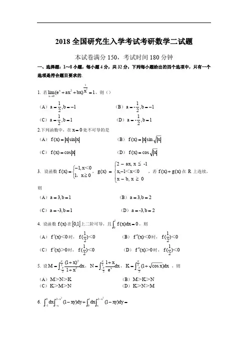
2018年全国硕士研究生入学统一考试数学二试题及答案解析一、选择题:1~8小题,每小题4分,共32分。
下列每题给出的四个选项中,只有一个选项是符合题目要求的.(1)2120lim()1,x x x e ax bx →++=若则()(A)112a b ==-,(B)1,12a b =-=-(C)1,12a b ==(D)1,12a b =-=【答案】(B )【解析】220012lim lim 2=x x x x e ax bx eax bx xe e →→++-++=原式00122lim lim 220101=11.2xx x x e axe a x b e e a →→-++=-===-因为分母的极限是为,要使此极限等于常数,则分子的极限比为,则则原式所以(2)下列函数中,在0x =处不可导的是()(A)()sin f x x x =(B)()f x x =(C)()cos f x x =(D)()f x =【答案】(D )【解析】根据导数的定义:(A )00sin lim lim 0,x x x x x xx x →→⋅==可导;(B)00lim 0,x x →→==可导;(C )2001cos 12lim lim 0,x x xx x x →→--==可导;(D)000122lim lim ,x x x xx x →→→-==极限不存在,故选D 。
(3)2,11,0(),(),10,()()1,0,0ax x x f x g x x x f x g x R x x b x -≤-⎧-<⎧⎪==-<<+⎨⎨≥⎩⎪-≥⎩设函数若在上连续,则()(A)3,1a b ==(B)3,2a b ==(C)3,1a b =-=(D)3,2a b =-=【解析】10121()()()11010(1)1(0)1lim ()2lim ()1x x ax x F x f x g x x x x b x F a F bF x F x a a b b ++→-→-+-≤-⎧⎪=+=-+-<<⎨⎪-+≥⎩-=+=-=-=-令因为函数连续,故极限值等于函数值1+=-2=-31-=-1=2(4)10()[0,1]()0,f x f x dx =⎰设函数在上二阶可导,且则()(A)1()0,(02f x f '<<当时(B)1()0,(02f x f ''<<当时(C)1()0,()02f x f '><当时(D)1()0,()02f x f ''><当时【答案】(D )【解析】2111()11()()()(,2222!22f f x f f x x x ξξ'''=+-+-介于之间,故1111220000120111()11()10=()()(((2222!222!2()11()0()0,(0..2!22f f f x dx f f x dx x dx f x dx f f x x dx f D ξξξ'''''=+-+-=+-''''>⇒-><⎰⎰⎰⎰⎰由于所以,应选(5)设()(2222222211,,1,1x x x M dx N dx K dx x e ππππππ---++===++⎰⎰⎰则()(A)M N K>>(B)M K N >>(C)K M N>>(D)K N M>>【答案】(C)【解析】22222222222(1)122=(1.111x x x x M dx dx dx x x x πππππππ---+++==+=+++⎰⎰⎰22222111(0)11x x x x x e x N dx dx M e e πππππ--+++<≠⇒<⇒=<=<⎰⎰2222=11K dx dx Mπππππ-->==⎰⎰(,K M N >>故应选C 。
2018考研数学二真题及答案解析今年的考研数学二科目中,涉及了多个不同的数学领域,包括代数、概率论、数理统计等等。
以下是对2018考研数学二真题及答案进行详细解析。
【第一题】已知函数f(x)=ax^2+bx+c(x∈R)的图像经过点P(2, 3),且在点x=1处的切线方程为y=3x+c1,求a, b, c。
解析:首先,由题意可知,点 (2, 3) 在函数曲线上,则有 f(2) =a(2)^2 + b(2) + c = 3。
解方程得到:4a + 2b + c = 3。
(1)接着,题目还给出了在点 x = 1 处的切线方程为 y = 3x + c1,这说明函数在点 (1, 3+c1) 处的斜率等于切线的斜率,即 f'(1) = 3。
对函数 f(x) 进行求导得到:f'(x) = 2ax + b。
带入 x = 1,得到 2a + b = 3。
(2)综合方程 (1) 和方程 (2),我们可以解得 a = 1, b = 1, c = -1。
因此,函数 f(x) 的表达式为 f(x) = x^2 + x - 1。
【第二题】假设某学校的学生人数为 N,每个学生中会有80%的人使用微信,而在使用微信的学生中,会有70%的人添加了学校微信公众号。
现在已知学校微信公众号的关注人数为10000人,求学生总数N。
解析:设学生总数为 N,使用微信的学生人数为 0.8N,而添加了学校微信公众号的学生人数为 0.7(0.8N) = 0.56N。
根据题意,已知学校微信公众号的关注人数为10000人,代入上述得到的表达式可得:0.56N = 10000。
解方程得到:N = 10000/0.56 ≈ 17857。
因此,学生总数 N 约为 17857人。
【第三题】设事件A和事件B为两个相互独立的事件,且已知P(A) = 0.6,P(B') = 0.3,求 P(A ∪ B)。
解析:首先,已知 P(B') = 0.3,即事件B的补事件发生的概率为0.3,则事件B发生的概率为1-0.3 = 0.7。
2018年考研数学二真题及答案解析1.若()212lim 1→++=xx x e ax bx,则A.1,12==-a b B.1,12=-=-a b C.1,12==a b D.1,12=-=a b 【答案】B 【解析】()()()22022002ln lim21limlim22201lim x x x xx x x e ax be ax bxe ax b xeax bxx x x x x e ax bx e ee→→→++++++++→=++===02lim 02x x e ax b x →++⇒=()00lim 20112lim 022xx x x e ax b b e ax b a x →→⎧++==-⎧⎪⎪⇒⇒⎨⎨++=-⎪⎪=⎩⎩2.下列函数中,在0=x 处不可导的是A.()sin f x x x = B.()sin f x x =C.()cos f x x = D.()f x =【答案】D 【解析】A 可导:()()()()-000sin sin sin sin 0lim lim 0,0lim lim 0x x x x x x x x x x x xf f x x x x--+++→→→→⋅⋅''=====B 可导:()()-0000sin sin 0lim lim 0,0lim lim 0x x x x x x f f x x--+++→→→→-⋅⋅''=====C 可导:()()22000011cos 1cos 1220lim lim 0,0lim lim 0x x x x x x x x f f x x x x--++-+→→→→----''=====D 不可导:——印校园考研一、选择题:1~8小题,每小题4分,共32分,下列每小题给出的四个选项中,只有一项符合题目要求的,请将所选项前的字母填在答.题.纸.指定位置上.()()()()()00011-11220lim lim ,0lim lim 2200x x x x x x f f x x f f --++-+→→→→+---''====-''≠3.设函数()()2,11,,,10,1,0,0ax x x f x g x x x x x b x -≤-⎧<⎧⎪==-<<⎨⎨≥⎩⎪-≥⎩-若()()f x g x +在R 上连续,则A.3,1==a bB.3,2==a bC.3,1=-=a bD.3,2=-=a b 【答案】D 【解析】()()()()()()()()()()()()()()()()0000111111lim lim lim 101lim lim lim 1112lim lim lim 121lim lim lim 11221x x x x x x x x x x x x f x g x f x g x f x g x f x g x b b b f x g x f x g x a a f x g x f x g x a ---+++---+++→→→→→→→-→-→-→-→-→-+=+=-+=-⎡⎤⎣⎦+=+=-⇒-=-⇒=⎡⎤⎣⎦+=+=-++=+⎡⎤⎣⎦+=+=--=-⇒-=+⇒⎡⎤⎣⎦3a =-4..设函数()f x 在[]0,1上二阶可导,且()100,f x dx =⎰则A.当()0'<f x 时,102⎛⎫<⎪⎝⎭f B.当()0''<f x 时,102⎛⎫<⎪⎝⎭f C.当()0'>f x 时,102⎛⎫< ⎪⎝⎭f D.当()0''>f x 时,102⎛⎫<⎪⎝⎭f 【答案】D 【解析】A 错误:()()()11000,10111,2,022f x f x dx dx f x x f x ⎛⎫'===-< ⎪⎛⎫=-+-+= ⎝⎝⎭⎪⎭⎰⎰B 错误:()()()100212111111,033243120,20,f x dx dx f x x ff x x ⎛⎫''==⎛⎫=-+-+=-+=-< ⎪⎝⎭=> ⎪⎝⎭⎰⎰C 错误:()()()1100111,0220,10,2f x d f x x x f x dx f x ⎛⎫=-⎛⎫'-===> ⎪⎝⎭= ⎪⎝⎭⎰⎰D 正确:方法1:由()0f x ''>可知函数是凸函数,故由凸函数图像性质即可得出102f ⎛⎫< ⎪⎝⎭方法2:21112200011111()()()()()(),22222111111()()()()()()()()()02222221()0,()0.2f x f f x f x x f x dx f f x f x dx f f x dx f x f ξξξξ'''=+-+-'''''=+-+-=+-=''><⎰⎰⎰介于和之间,又故5.设()(2222222211,,1,1ππππππ---++===++⎰⎰⎰x x xM dx N dx K dx x e 则A.>>M N KB.>>M K NC.>>K M ND.>>K N M【答案】C【解析】222222(1)11,11,22()1,(0)0,()10,()0;()0221,()01N<M,C22x xx x M dx dx x x K M f x x e f f x e x f x x f x x x f x e ππππππππππ--=+=+⎡⎤∈-+≥>⎢⎣⎦'=+-==-⎡⎤⎡⎤''∈<∈->⎢⎥⎢⎥⎣⎦⎣⎦+⎡⎤∈-≤≤⎢⎥⎣⎦⎰⎰时,所以令当时,当时,所以时,有,从可有,由比较定理得故选6.()()222121011x x xx dx xy dy dx xy dy -----+-=⎰⎰⎰⎰A.53 B.56C.73D.76【答案】C 【解析】如图,22212107(1)(1)(1)3x x D xxDDdxxy dy dxxy dy xy dxdy dxdy S -----+-=-===⎰⎰⎰⎰⎰⎰⎰⎰.7.下列矩阵中,与矩阵110011001⎛⎫⎪⎪⎪⎝⎭相似的为A.111011001-⎛⎫⎪⎪⎪⎝⎭B.101011001-⎛⎫⎪⎪⎪⎝⎭C.111010001-⎛⎫⎪⎪⎪⎝⎭D.101010001-⎛⎫⎪⎪⎪⎝⎭【答案】A【解析】方法一:排除法令110011001Q⎡⎤⎢⎥=⎢⎥⎢⎥⎣⎦,特征值为1,1,1,()2r E Q-=选项A:令111011001A-⎡⎤⎢⎥=⎢⎥⎢⎥⎣⎦,A的特征值为1,1,1,()0110012000r E A r-⎡⎤⎢⎥-=-=⎢⎥⎢⎥⎣⎦选项B:令101011001B-⎡⎤⎢⎥=⎢⎥⎢⎥⎣⎦,B的特征值为1,1,1,()0010011000r E B r⎡⎤⎢⎥-=-=⎢⎥⎢⎥⎣⎦选项C:令111010001C-⎡⎤⎢⎥=⎢⎥⎢⎥⎣⎦,C的特征值为1,1,1,()0110001000r E C r-⎡⎤⎢⎥-==⎢⎥⎢⎥⎣⎦选项B:令101010001D-⎡⎤⎢⎥=⎢⎥⎢⎥⎣⎦,D的特征值为1,1,1,()0010001000r E D r⎡⎤⎢⎥-==⎢⎥⎢⎥⎣⎦若矩阵Q 与J 相似,则矩阵E Q -与E J -相似,从而()()r E Q r E J -=-,故选(A )方法二:构造法(利用初等矩阵的性质)令110010001P ⎡⎤⎢⎥=⎢⎥⎢⎥⎣⎦,1110010001P --⎡⎤⎢⎥=⎢⎥⎢⎥⎣⎦1110111011011001001P P --⎡⎤⎡⎤⎢⎥⎢⎥=⎢⎥⎢⎥⎢⎥⎢⎥⎣⎦⎣⎦,所以110111011011001001-⎡⎤⎡⎤⎢⎥⎢⎥⎢⎥⎢⎥⎢⎥⎢⎥⎣⎦⎣⎦与相似故选(A )8.设,A B 为n 阶矩阵,记()r X 为矩阵X 的秩,(,)X Y 表示分块矩阵,则A.()().r A AB r A = B.()().r A BA r A =C.()max{()()}.r A B r A r B =, D.()().TTr A B r A B =【答案】(A )【解析】(,)(,)[(,)]()r E B n r A AB r A E B r A =⇒==故选(A )二、填空题:9-14小题,每小题4分,共24分,请将答案写在答题纸...指定位置上.9.2lim [arctan(1)arctan ]x x x x →+∞+-=____________.【答案】1【解析】原式221lim 1,(,1)1x xx x εε→+∞=∈++拉格朗日中值定理.10.曲线22ln y x x =+在其拐点处的切线方程是__________________.【答案】43y x =-【解析】22ln y x x =+,定义域为{0}x x >,2'2y x x =+,22''2y x=-,令''0y =,则01x =±,由于0x >,故01x =,故拐点为(1,1),0'()4y x =,则过拐点(1,1)的切线方程为14(1)y x -=-即43y x =-.11.25143dx x x +∞=-+⎰________________________.【答案】1ln 22【解析】25143dx x x +∞=-+⎰51(3)(1)dx x x +∞--⎰5111()231dx x x +∞=---⎰513ln21x x +∞-=-1353lim ln ln 2151x x x →+∞--=---1ln 22=12.曲线33cos sin x t y t⎧=⎪⎨=⎪⎩,在4t π=对应点处的曲率为______________.【答案】23【解析】22sin cos 'tan 3cos (sin )t ty t t t -==--,4'1t y π==-,2244sec 1''3cos sin 3cos sin t t y t t t t π=-==-,4''323()2t y π===,3322242''233(1')(11)y k y ===++.13.设函数(,)z z x y =由方程1ln z z exy -+=确定,则1(2,)2zx ∂=∂____________.【答案】14【解析】根据题意,得1z(2,)12=,对方程两边同时对x 偏导数并讲点代入,得1(2,)2zx ∂=∂14.14.设A 为3阶矩阵,123,,ααα为线性无关的向量组.若11232A αααα=++,2232A ααα=+,323A ααα=-+,则A 的实特征值为_______________.【答案】2【解析】123123123200(,,)(,,)(,,)111121A A A A ααααααααα⎡⎤⎢⎥==-⎢⎥⎢⎥⎣⎦123,,ααα 线性无关,()123,,P ααα∴=可逆,1200111121P AP B-⎡⎤⎢⎥∴=-=⎢⎥⎢⎥⎣⎦A B ∴与相似,特征值相等()()22230E B λλλλ-=--+=⇒实特征值2λ=三、解答题:15—23小题,共94分.请将解答写在答题纸...指定位置上.解答应写出文字说明、证明过程或演算步骤.15.(本题满分10分)求不定积分2arctan ⎰xe.【答案】32211(tan (1)23x x e arc e C--+【解析】()2222223221arctan 211(arctan )2111(arctan )21=(arctan )211=(arctan 123x x x xx x x x x x x x e e e e e e e C ==⋅+-=----+⎰⎰原式x x ,22,1,ln(1)x t e t x t ==+=+3222322(1)211(1)1)2133xxx t t dt t dt t t C e C t t +=⋅=+=++=-++⎰⎰故原式32211((1)23x x e arc e C=--+16.(本题满分10分)已知连续函数()f x 满足20()()xxf t dt tf x t dt ax +-=⎰⎰.(I )求()f x ;(II )若()f x 在区间[0,1]上的平均值为1,求a 的值。
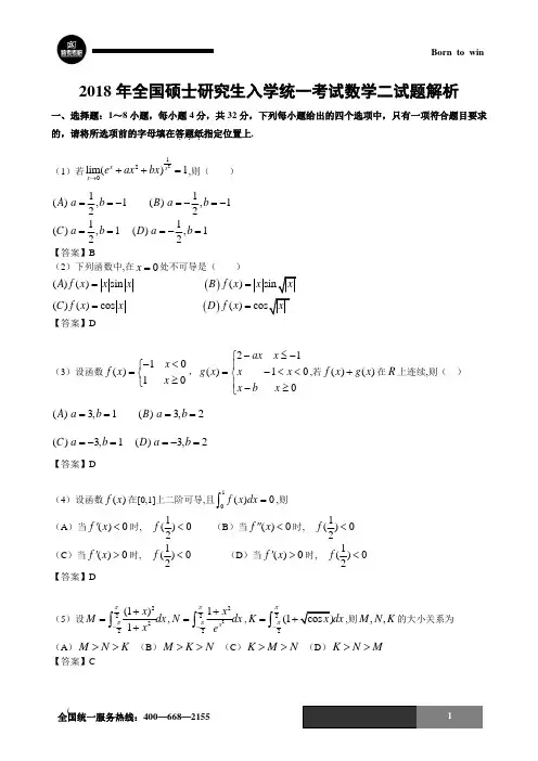
(全国统一服务热线:400—668—21551Born to win2018年全国硕士研究生入学统一考试数学二试题解析一、选择题:1~8小题,每小题4分,共32分,下列每小题给出的四个选项中,只有一项符合题目要求的,请将所选项前的字母填在答题纸...指定位置上. (1)若212lim()1xx x e ax bx →++=,则( )()A 1,12a b ==- ()B 1,12a b =-=-()C 1,12a b == ()D 1,12a b =-=【答案】B(2)下列函数中,在0x =处不可导是( )()()()()sin ()()()cos ()A f x x x B f x x xC f x xD f x x====【答案】D(3)设函数10()10x f x x -<⎧=⎨≥⎩,21()100ax x g x xx x b x -≤-⎧⎪=-<<⎨⎪-≥⎩,若()()f x g x +在R 上连续,则( ) ()A 3,1a b == ()B 3,2a b == ()C 3,1a b =-= ()D 3,2a b =-=【答案】D(4)设函数()f x 在[0,1]上二阶可导,且1()0f x dx =⎰,则(A )当()0f x '<时, 1()02f < (B )当()0f x ''<时, 1()02f < (C )当()0f x '>时, 1()02f < (D )当()0f x '>时, 1()02f <【答案】D(5)设2222(1)1x M dx x ππ-+=+⎰,22221x x N dx e ππ-+=⎰,22(1cos )K x dx ππ-=+⎰,则,,M N K 的大小关系为 (A )M N K >> (B )M K N >> (C )K M N >> (D )K N M >>【答案】C2 2全国统一服务热线:400—668—2155Born to win!精勤求学 自强不息(6)222121(1)(1)x x xxdx xy dy dx xy dy -----+-=⎰⎰⎰⎰(A )53(B )56(C )73(D )76【答案】C(7)下列矩阵中,与矩阵110011001⎛⎫ ⎪ ⎪ ⎪⎝⎭相似的为 111()011001A -⎛⎫ ⎪ ⎪ ⎪⎝⎭101()011001B -⎛⎫ ⎪ ⎪ ⎪⎝⎭111()010001C -⎛⎫ ⎪ ⎪ ⎪⎝⎭101()010001D -⎛⎫⎪ ⎪⎪⎝⎭【答案】A(8)设,A B 为n 阶矩阵,记()r X 为矩阵X 的秩,()X Y 表示分块矩阵,则(A )()()r A AB r A = (B )()()r A BA r A = (C )()max{(),()}r A B r A r B = (D )()()T T r A B r A B =【答案】A二、填空题:9-14小题,每小题4分,共24分,请将答案写在答题纸...指定位置上. (9) 2lim [arctan(1)arctan ]x x x x →+∞+-=_______(10) 曲线22ln y x x =+在其拐点处的切线方程是______ (11)25143dx x x +∞=-+⎰_______(12) 曲线33cos sin x ty t⎧=⎪⎨=⎪⎩在4t π=对应点的曲率为 (13)设函数(,)z z x y =由方程1ln z z exy -+=确定,则1(2,)2______zx∂=∂(14)设A 为3阶矩阵,123,,ααα为线性无关的向量组,若(全国统一服务热线:400—668—21553Born to win11232233232,2,A A A αααααααααα=++=+=-+,则A 的实特征值为【答案】2三、解答题:15—23小题,共94分.请将解答写在答题纸...指定位置上.解答应写出文字说明、证明过程或演算步骤.(15)(本题满分10分)求不定积分21x xe e dx -⎰(16)(本题满分10分)已知连续函数()f x 满足20()()xxf t dt tf x t dt ax +-=⎰⎰,(1)求()f x ,(2) 若()f x 在区间[0,1]上的平均值为1,求a 的值(17)(本题满分10分)设平面区域D 由曲线sin ,(02)1cos ,x t t t y t π=-⎧≤≤⎨=-⎩与x 轴围成,计算二重积分(2)Dx y dxdy +⎰⎰(18)(本题满分10分)已知常数ln21k ≥-.证明2(1)(ln 2ln 1)0x x x k x --+-≥(19)(本题满分10分)将长为2m 的铁丝分成三段,依次围成圆、正方形与正三角形,三个图形的面积之和是否存在最小值?若存在,求出最小值。
2018全国研究生入学考试考研数学二试题本试卷满分150,考试时间180分钟一、选择题:1~8小题,每小题4分,共32分,下列每小题给出的四个选项中,只有一个选项是符合题目要求的.1.若1)(lim 212=++→x bx ax e xx ,则()(A )1,21-==b a (B )1,21--==b a (C )1,21==b a (D )1,21-==b a 2.下列函数中,在0=x 处不可导的是(A )x x x f sin )(=(B )x x x f sin )(=(C )xx f cos )(=(D )xx f cos)(=3.设函数⎩⎨⎧≥-=010,1)(x x x f ,<,⎪⎩⎪⎨⎧≥--≤-=0,01,1-,2)(x b x x x x ax x g <<,若)()(x g x f +在R 上连续,则(A )1,3==b a (B )2,3==b a (C )1,3-==b a (D )2,3-==b a 4.设函数)(x f 在[]1,0上二阶可导,且⎰=10)(dx x f ,则(A )0)(<x f '时,0)21(<f (B )0)(<x f ''时,0)21(<f (C )0)(>x f '时,0)21(<f (D )0)(>x f ''时,0)21(<f 5.设dx x x M ⎰-++=22221)1(ππ,dx e xN x ⎰-+=221ππ,dx x K ⎰-+=22)cos 1(ππ,则 (A )KN M >>(B )N K M >>(C )NM K >>(D )MN K >>6.=-+-⎰⎰⎰⎰----dy xy dx dy xy dx x xx x1201222)1()1((A )35(B )65(C )37(D )677.下列矩阵中,与矩阵⎪⎪⎪⎭⎫ ⎝⎛100110011相似的为(A )⎪⎪⎪⎭⎫⎝⎛1001101-11(B )⎪⎪⎪⎭⎫⎝⎛1001101-01(C )⎪⎪⎪⎭⎫ ⎝⎛1000101-11(D )⎪⎪⎪⎭⎫ ⎝⎛1000101-018.设A ,B 为n 阶矩阵,记)(x r 为矩阵X 的秩,)(Y X 表示分块矩阵,则(A ))() (A r AB A r =(B ))() (A r BA A r =(C ){})(),(max ) (B r A r B A r =(D ))() (TTB A r B A r =二、填空题:9~14小题,每小题4分,共24分. 9.]arctan )1[arctan(lim 2x x x x -++∞→=。
2018年考研数学二真题答案解析本文针对2018年考研数学二真题进行详细解析,旨在帮助考生更
好地理解和掌握考试内容。
以下将根据各个题目的顺序逐一进行解析。
第一题:(填空题)
这道题共有多个空格需要填写,我们依次来看每个空格的解答方法。
(略)
通过上述的解析,我们可以得出第一题的完整解答如下:
(略)
第二题:(选择题)
这道题为选择题,共有4个选项,我们来逐一分析每个选项的正确
与否。
(略)
通过上述的解析,我们可以得出第二题的正确答案为C选项。
第三题:(解答题)
这道题需要考生进行详细解答,我们来按步骤分析解答过程。
(略)
通过上述的解析,我们可以得出第三题的完整解答如下:
(略)
......
依此类推,我们将继续解析第四题、第五题以及后续的题目。
总结:
本文对2018年考研数学二真题进行了逐题解析,旨在帮助考生更好地了解每题的解答思路和答案。
通过阅读本文,考生可以更全面地掌握考试内容,并为备考提供参考。
希望考生能够针对每道题目进行形成逻辑思维和解答能力的训练,以取得更好的考试成绩。
注意:本文中所提供的答案仅供参考,未必是唯一正确的解答。
在实际考试中,考生应根据自己的理解和计算能力进行解答,并注意合理的时间分配。
祝愿所有考生在考试中取得优异的成绩!。
2018考研数学二真题及答案解析2018考研数学二真题及答案解析2018年考研数学二真题是考研数学科目中的重要一环。
对于考生来说,熟悉并掌握真题及答案解析是备考的关键。
本文将对2018年考研数学二真题进行解析,帮助考生更好地备考。
第一部分:选择题选择题是考研数学二真题中的重要组成部分。
2018年考研数学二选择题主要涉及到概率、统计、线性代数、高等数学等知识点。
下面我们就对其中一道选择题进行解析。
题目:设随机变量X的概率密度为f(x)={cx^2, 0<x<10, 其他}其中c为常数,则P(X<1/2)的值为()A. 1/6B. 1/8C. 1/10D. 1/12解析:根据题目中给出的概率密度函数,我们可以求出c的值。
由于概率密度函数的积分等于1,我们可以得到∫[0,1]cx^2dx=1。
解这个积分方程,得到c=6。
接下来,我们需要求解P(X<1/2)。
由于X的概率密度函数在0<x<1之间为cx^2,我们可以通过求解积分∫[0,1/2]cx^2dx来得到P(X<1/2)的值。
计算∫[0,1/2]cx^2dx,得到P(X<1/2)=∫[0,1/2]6x^2dx=6/8=3/4。
所以,P(X<1/2)的值为3/4,答案选项为D。
第二部分:填空题填空题是考研数学二真题中的另一个重要组成部分。
2018年考研数学二填空题主要涉及到微积分、概率、统计等知识点。
下面我们就对其中一道填空题进行解析。
题目:设X1,X2,...,Xn为来自总体X的一个样本,其概率密度为f(x)={c(1-x^2), -1<x<10, 其他}其中c为常数,若X1,X2,...,Xn相互独立,则c的值为________。
解析:根据题目中给出的概率密度函数,我们可以求出c的值。
由于概率密度函数的积分等于1,我们可以得到∫[-1,1]c(1-x^2)dx=1。
解这个积分方程,得到c=3/4。
2018考研数二真题答案(正文开始)2018考研数二真题答案一、选择题部分1. A2. B3. D4. C5. A6. D7. C8. B9. D 10. C11. B 12. A 13. D 14. C 15. B 16. D 17. A 18. C 19. D 20. B二、计算题部分21. 设正方体的边长为x。
则从正方体底面上任一点到正对面上的点的距离为2x。
根据题意,有:2x = 12 => x = 6则正方体的体积为 V = x^3 = 6^3 = 21622. 记事件A为甲同学物理考试及格,事件B为甲同学数学考试及格,事件C为甲同学英语考试及格。
根据题意,有:P(A) = 0.9P(B) = 0.8P(C) = 0.7P(A∩B) = 0.4P(A∩C) = 0.5P(B∩C) = 0.6根据两两事件的交集关系,有:P(A∩B∩C) = P(A) + P(B) + P(C) - (P(A∩B) + P(A∩C) + P(B∩C)) = 0.9 + 0.8 + 0.7 - (0.4 + 0.5 + 0.6) = 1.3所以甲同学三门课程都及格的概率为1.3。
三、解答题部分23. 解:设随机变量X为硬币朝上的次数。
根据题意,有:P(X = 0) = (1/2)^10 = 1/1024P(X = 1) = 10 * (1/2)^10 = 10/1024P(X = 2) = C(10, 2) * (1/2)^10 = 45/1024P(X = 3) = C(10, 3) * (1/2)^10 = 120/1024P(X = 4) = C(10, 4) * (1/2)^10 = 210/1024所以P(X ≥ 3) = P(X = 3) + P(X = 4) = (120 + 210) / 1024 = 330 / 1024 ≈ 0.32224. 解:根据题意,A、B交换座位等价于把A、B按照某种顺序排列在一起。