附录相关系数r的计算公式的推导.doc
- 格式:doc
- 大小:113.52 KB
- 文档页数:2
相关系数r的计算公式是什么
相关系数是最早由统计学家卡尔·皮尔逊设计的统计指标,是研究变量之间线性相关程度的量,一般用字母r表示。
由于研究对象的不同,相关系数有多种定义方式,较为常用的是皮尔逊相关系数。
1相关系数缺点
需要指出的是,相关系数有一个明显的缺点,即它接近于1的程度与数据组数n相关,这容易给人一种假象。
因为,当n较小时,相关系数的波动较大,对有些样本相关系数的绝对值易接近于1;当n较大时,相关系数的绝对值容易偏小。
特别是当n=2时,相关系数的绝对值总为1。
因此在样本容量n较小时,我们仅凭相关系数较大就判定变量x与y之间有密切的线性关系是不妥当的。
2相关系数公式
定义式
ρXY=Cov(X,Y)/√[D(X)]√[D(Y)]
公式描述:公式中Cov(X,Y)为X,Y的协方差,D(X)、D(Y)分别为X、Y的方差。
公式
若Y=a+bX,则有:
令E(X) = μ,D(X) = σ
则E(Y) = bμ + a,D(Y) = bσ
E(XY) = E(aX + bX) = aμ + b(σ + μ) Cov(X,Y) = E(XY) − E(X)E(Y) = bσ。
相关系数计算公式
一、概念
相关系数(correlation coefficient),又称作相关系数,是衡量
两个变量之间相互关系紧密程度的一种统计量,其取值范围位于-1与1
之间。
它是由两个变量的协方差(covariance)除以它们各自的标准差(standard deviation)得到的。
二、定义
相关系数(correlation coefficient)的定义为:
设X和Y是有关联的两个随机变量,其均值分别为μX和μY,标准
差分别为σX和σY,协方差为rXY,其相关系数定义为:
rXY=r(X,Y)=frac{r_{XY}}{sigma_X sigma_Y}=frac{E[left(X-mu_X ight)(Y-mu_Y)]}{sigma_X sigma_Y}
三、性质
1.当相关系数rXY取值为1时,说明X、Y呈完全正相关,此时,当
X增大时,Y也增大;
2.当相关系数rXY取值为0时,说明X、Y之间没有显著的相关关系;
3.当相关系数rXY取值为-1时,说明X、Y呈完全负相关,此时,当
X增大时,Y减小;
4.相关系数rXY取值越大,表明X、Y之间相关关系越紧密;
5.相关系数rXY有有效范围,即[-1,1];
6.相关系数rXY是一致的,不受X、Y变量变化的时间顺序而改变;
7.相关系数rXY取值只反映X、Y变量的线性关系,而对于非线性关系,其取值不符合实际情况;
8.相关系数rXY只衡量两变量之间的线性相关性,但不能揭示它们之间的因果关系。
四、公式
相关系数rXY的计算公式是:。
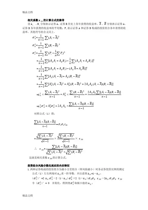
相关系数r AB 的计算公式的推导设A i 、B i 分别表示证券A 、证券B 历史上各年获得的收益率;A 、B 分别表示证券A 、证券B 各年获得的收益率的平均数;P i 表示证券A 和证券B 构成的投资组合各年获得的收益率,其他符号的含义同上。
2A σ=11-n 2)(∑-A A i 2B σ=11-n )(B B i -∑2 2P σ=11-n 2)1(∑∑-i iP n P =2)](1)[(11i B i A iB i A B A A A n B A A A n +-+-∑∑ =2)]()[(11B A A A B A A A n B A i B i A +-+-∑ =2)]()([11B B A A A A n i B i A -+--∑ =)])((2)()([112222B B A A A A B B A A A A n i i B A i B i A --+-+--∑ =A 2A×221)(BiAn A A +--∑×1)])([(21)(2---+--∑∑n B B A A A A n B B i i B A i=A 1)])([(22222---⨯++∑n B B A AA A A i iB A B B A A σσ对照公式(1)得:=1)(2--∑n A Ai×1)(2--∑n B Bi× r AB∴ r AB =∑∑∑-⨯---22)()()])([(B B A A B B A A iiii这就是相关系数r AB 的计算公式。
投资组合风险分散化效应的内在特征1.两种证券构成的投资组合为最小方差组合(即风险最小)时各证券投资比例的测定公式(1)左右两端对A A 求一阶导数,并注意到A B =1—A A :(2P σ)′=2 A A 2A σ-2 (1-A A )2B σ+2 (1-A A )B A σσ r AB -2A A B A σσ r AB 令 (2P σ)′= 0 并简化,得到使2P σ取极小值的A A :ABB A iir n B B A A σσ=---∑1)])([(A A =ABB A B A ABB A B r r σσσσσσσ2222-+- … …………………………………(3) 式中, 0≤A A ≤1,否则公式(3)无意义。
相关系数r的两个公式相关系数是反映两个变量之间相关程度的统计量,常用于统计学和数据分析中。
它的计算方式有两个公式:皮尔逊相关系数公式和斯皮尔曼等级相关系数公式。
下面将详细介绍这两个公式的定义和应用。
首先,我们来看皮尔逊相关系数公式。
皮尔逊相关系数是衡量两个变量之间线性相关程度的指标,取值范围在-1到1之间。
计算公式如下:r = Σ[(X - X̄) * (Y - Ȳ)] / [√(Σ(X - X̄)^2) *√(Σ(Y - Ȳ)^2)]其中,X和Y分别表示两个变量的观测值,X̄和Ȳ分别表示两个变量的平均值。
Σ表示对所有观测值进行求和运算。
斯皮尔曼等级相关系数是衡量两个变量之间的单调相关程度的指标,适用于两个变量不符合线性关系的情况。
计算公式如下:r = 1 - [6 * Σ(D^2)] / [n * (n^2 - 1)]其中,D表示两个变量的等级差,n表示样本容量。
Σ表示对所有等级差进行求和运算。
皮尔逊相关系数和斯皮尔曼等级相关系数的应用非常广泛。
在社会科学研究中,可以用于衡量两个变量之间的联系程度,如收入和教育水平、幸福感和社交关系等。
在金融领域,可以用于研究股票之间的相关性,从而进行投资组合的优化和风险控制。
此外,相关系数还可以用于预测和回归分析。
通过计算两个变量之间的相关系数,可以了解它们之间的关系强度,并基于该关系建立预测模型或回归方程。
通过分析相关系数,我们可以预测变量之间的趋势,并根据预测结果做出合理的决策。
总之,相关系数是一种重要的统计指标,能够帮助我们了解两个变量之间的关系强度和趋势。
无论是在科研领域还是实际应用中,都需要掌握相关系数的计算公式和应用方法,以提高数据分析的准确性和有效性。
希望本文的介绍对相关系数的理解和应用有所帮助。
相关系数r2的计算公式相关系数(Coefficient of correlation)是用来衡量两个变量之间关系强度和方向的统计指标。
一般用符号“r”表示,其取值范围在-1到1之间。
如果r为正值,表示两个变量正相关;如果r为负值,表示两个变量负相关;如果r的绝对值接近于0,则表示两个变量之间无明显的线性关系。
相关系数的计算公式主要包括Pearson相关系数、Spearman相关系数和Kendall相关系数。
下面将分别介绍。
1. Pearson相关系数(r)Pearson相关系数,也称为线性相关系数,用于衡量两个连续变量之间的线性关系强度。
Pearson相关系数的计算公式为:r = Σ((X_i - X̅) * (Y_i - Ȳ)) / sqrt(Σ(X_i - X̅)² *Σ(Y_i - Ȳ)²)其中,X_i和Y_i分别表示X和Y的观察值,X̅和Ȳ分别表示X和Y的平均值。
2. Spearman相关系数(ρ)Spearman相关系数用于衡量两个变量之间的单调关系强度,不仅仅局限于线性关系。
Spearman相关系数的计算公式为:ρ=1-6Σd²/(n(n²-1))其中,d表示两个变量对应观察值的秩次差,n表示样本个数。
3. Kendall相关系数(τ)Kendall相关系数也用于衡量两个变量之间的单调关系强度,与Spearman相关系数类似,但其计算方式略有不同。
Kendall相关系数的计算公式为:τ=(P-Q)/(P+Q)其中,P表示在一对观察值中具有相同顺序的对数,Q表示在一对观察值中具有不同顺序的对数。
需要注意的是,公式中的相关系数r、ρ和τ的取值范围都在-1到1之间。
当相关系数接近于1时,表示两个变量之间关系越强;当相关系数接近于0时,表示两个变量之间关系越弱;当相关系数接近于-1时,表示两个变量之间关系越强并呈负相关。
相关系数的意义在于帮助我们理解变量之间的关系强弱和方向,从而为进一步分析和预测提供依据。
相关系数r AB 的计算公式的推导设A i 、B i 分别表示证券A 、证券B 历史上各年获得的收益率;A 、B 分别表示证券A 、证券B 各年获得的收益率的平均数;P i 表示证券A 和证券B 构成的投资组合各年获得的收益率,其他符号的含义同上。
2A σ=11-n 2)(∑-A A i2B σ=11-n )(B B i-∑22P σ=11-n 2)1(∑∑-ii P nP=2)](1)[(11i B i Ai B i A B A A A nB A A A n +-+-∑∑=2)]()[(11B A A A B A A A n B A i B i A+-+-∑=2)]()([11B B A A A A n i B i A-+--∑=)])((2)()([112222B B A A A A B B A A A An i i B A i B i A--+-+--∑ =A2A×221)(BiAn A A +--∑×1)])([(21)(2---+--∑∑n B B A A A A n B B i i B A i=A 1)])([(22222---⨯++∑n B B A A A A A i iBA BBAAσσ对照公式(1)得:=1)(2--∑n A A i ×1)(2--∑n B B i × r AB∴ r AB =∑∑∑-⨯---22)()()])([(B BA AB B A A iii i这就是相关系数r AB 的计算公式。
投资组合风险分散化效应的内在特征1.两种证券构成的投资组合为最小方差组合(即风险最小)时各证券投资比例的测定公式(1)左右两端对A A 求一阶导数,并注意到A B =1—A A :(2P σ)′=2 A A 2A σ-2 (1-A A )2B σ+2 (1-A A )B A σσ r AB -2A A B A σσ r AB 令 (2P σ)′= 0 并简化,得到使2P σ取极小值的A A :ABB A i ir n B B A Aσσ=---∑1)])([(A A =ABB A BAAB B A B r r σσσσσσσ2222-+- ... (3)式中, 0≤A A ≤1,否则公式(3)无意义。
相关系数r AB 的计算公式的推导设A i 、B i 分别表示证券A 、证券B 历史上各年获得的收益率;A 、B 分别表示证券A 、证券B 各年获得的收益率的平均数;P i 表示证券A 和证券B 构成的投资组合各年获得的收益率,其他符号的含义同上。
2A σ=11-n 2)(∑-A A i 2B σ=11-n )(B B i -∑2 2P σ=11-n 2)1(∑∑-i iP n P =2)](1)[(11i B i A iB i A B A A A n B A A A n +-+-∑∑ =2)]()[(11B A A A B A A A n B A i B i A +-+-∑ =2)]()([11B B A A A A n i B i A -+--∑ =)])((2)()([112222B B A A A A B B A A A A n i i B A i B i A --+-+--∑ =A 2A×221)(BiAn A A +--∑×1)])([(21)(2---+--∑∑n B B A A A A n B B i i B A i=A 1)])([(22222---⨯++∑n B B A A A A A i iBA BBAA σσ对照公式(1)得:=1)(2--∑n A A i×1)(2--∑n B B i× r AB∴ r AB =∑∑∑-⨯---22)()()])([(B B A A B B A A iiii这就是相关系数r AB 的计算公式。
投资组合风险分散化效应的内在特征1.两种证券构成的投资组合为最小方差组合(即风险最小)时各证券投资比例的测定公式(1)左右两端对A A 求一阶导数,并注意到A B =1—A A :(2P σ)′=2 A A 2A σ-2 (1-A A )2B σ+2 (1-A A )B A σσ r AB -2A A B A σσ r AB 令 (2P σ)′= 0 并简化,得到使2P σ取极小值的A A :ABB Aiir n B B A A σσ=---∑1)])([(A A =ABB A B A ABB A B r r σσσσσσσ2222-+- … …………………………………(3) 式中, 0≤A A ≤1,否则公式(3)无意义。
财务管理相关系数r的计算公式好的,以下是为您生成的文章:财务管理中,相关系数 r 这个概念就像是一个神秘的密码,解开了就能让我们更清晰地洞察财务数据之间的关系。
它的计算公式就像是一把神奇的钥匙,能帮助我们打开财务世界的大门。
先来说说相关系数 r 到底是个啥。
打个比方,假如你有两个朋友,一个朋友每次出去玩都花很多钱,另一个朋友却很节省。
你可能会好奇,这两个人的花钱习惯有没有什么关联?这就是相关系数要研究的事儿。
相关系数 r 就是用来衡量两个变量之间线性关系的紧密程度和方向的。
那相关系数 r 的计算公式是咋来的呢?这得从一堆数学推导说起。
公式是:r = [∑(Xi - X 均)(Yi - Y 均)] / [√∑(Xi - X 均)² √∑(Yi - Y 均)²] 。
看起来是不是有点头疼?别慌,咱们慢慢拆解。
比如说,有一组股票 A 和股票 B 的收益率数据。
股票 A 的收益率分别是10%、20%、15%、25%、30%,股票B 的收益率是8%、18%、12%、22%、28%。
咱们来算算它们的相关系数。
首先,得算出股票 A 的平均收益率 X 均,就是把这几个数加起来除以 5 ,(10% + 20% + 15% + 25% + 30%)÷ 5 = 20% 。
同样,算出股票 B 的平均收益率 Y 均,(8% + 18% + 12% + 22% + 28%)÷ 5 = 18% 。
然后,对于每一个数据点,比如股票 A 的第一个数据 10% ,我们用它减去平均收益率 20% ,得到 -10% ,股票 B 的第一个数据 8% 减去平均收益率18% ,得到-10% 。
接着把这两个差值相乘,以此类推,把所有的数据点都这么处理,然后把这些乘积加起来,这就是∑(Xi - X 均)(Yi - Y 均) 。
再分别算出∑(Xi - X 均)²和∑(Yi - Y 均)²,开平方后相乘,最后用前面算出来的∑(Xi - X 均)(Yi - Y 均) 除以这个乘积,就得到了相关系数 r 。
财务成本管理相关系数r的公式在咱们财务成本管理的领域里,相关系数r 可是个相当重要的概念。
它就像是财务世界里的一把神奇钥匙,能帮我们解锁很多复杂的问题。
先来说说相关系数 r 的公式吧,它一般表示为:r = [Σ(X - X)(Y - Ȳ)] / [sqrt(Σ(X - X)²) × sqrt(Σ(Y - Ȳ)²)] 。
看起来是不是有点复杂?别担心,咱们慢慢拆解。
我想起之前在给学生们讲解这个公式的时候,有个特别有趣的事儿。
有个学生,咱们就叫他小李吧,他瞪着这个公式,眼睛都快直了。
然后一脸困惑地问我:“老师,这一堆符号看着就头疼,到底怎么用啊?”我笑着跟他说:“别着急,咱们一点点来。
”咱们先看分子部分,Σ(X - X)(Y - Ȳ) ,这其实就是计算 X 和 Y 的协方差。
比如说,我们有一组股票 A 的价格数据和另一组股票 B 的价格数据,X 就是股票 A 的价格,Y 就是股票 B 的价格,X是股票 A 价格的平均值,Ȳ是股票 B 价格的平均值。
通过计算每一个 X 与X的差值,乘以对应的 Y 与Ȳ 的差值,再把这些乘积加起来,就能得到协方差啦。
再看分母,sqrt(Σ(X - X)²) 这是计算 X 的标准差,sqrt(Σ(Y - Ȳ)²) 是计算 Y 的标准差。
标准差反映的是数据的离散程度。
把这两部分结合起来,相关系数 r 的取值就在 -1 到 1 之间。
当 r 接近 1 时,说明两个变量正相关程度很高,就像夏天的气温和冰淇淋的销量,气温越高,冰淇淋卖得越多;当 r 接近 -1 时,表明负相关程度高,比如雨伞的销量和天气晴朗的日子,晴天越多,雨伞卖得越少;要是 r 接近 0 ,那这两个变量就没啥明显的线性关系。
就像之前我观察到的一个小现象,在一个商场里,某种品牌服装的销售额和同商场里咖啡店的客流量。
一开始我以为它们之间可能没什么关系,但通过收集数据计算相关系数,发现 r 的值很接近 0 ,果然它们之间没有明显的线性关联。
r相关系数公式在我们学习统计学和数学的过程中,r 相关系数公式可是个相当重要的家伙!咱们先来说说这 r 相关系数公式到底是啥。
简单来讲,它就是用来衡量两个变量之间线性关系紧密程度的一个指标。
公式看起来可能有点复杂:r = [Σ((x - x)(y - y))] / [√(Σ(x - x)²Σ(y - y)²)] 。
这里的 x 和 y 就是我们要研究的两个变量的值,x和y分别是它们的平均值。
为了让大家更好地理解这个公式,我给大家讲讲我曾经的一段经历。
有一次,我带着学生们做一个关于学生身高和体重关系的小研究。
我们收集了全班同学的身高和体重数据,然后准备用 r 相关系数公式来看看这两者之间的关系到底怎么样。
当时同学们那叫一个兴奋,叽叽喳喳地讨论着。
有的说:“肯定是越高越重啦!”有的则怀疑:“不一定吧,说不定有例外呢。
”我看着他们那好奇又急切的样子,心里觉得特别有趣。
我们把数据一个个认真地记录下来,然后开始计算平均值。
这过程中,有的同学粗心算错了,急得抓耳挠腮,旁边的小伙伴赶紧帮忙检查。
算到后面用公式的时候,大家一开始都有点懵,看着那些符号和算式,眼睛都直了。
我就耐心地一步一步带着他们,告诉他们先算什么,再算什么。
终于,当我们算出 r 相关系数的时候,同学们都瞪大眼睛盯着那个数字。
结果发现,身高和体重之间还真有比较强的正相关关系。
这时候,大家都恍然大悟似的,“哦!原来是这样!”那种通过努力探索得到答案的满足感,真是让人难忘。
再回到这个 r 相关系数公式,它不仅仅能在我们刚才说的身高体重这种日常生活中的例子里用,在很多科学研究、经济分析里都大有用处呢。
比如说,研究气温和用电量的关系,或者股票价格和公司业绩的关系等等。
而且哦,理解和运用好这个公式,还能帮助我们在做数据分析的时候更加准确和有说服力。
不会出现那种“凭感觉”“大概是”这样模糊的结论。
总之,r 相关系数公式虽然看起来有点复杂,但只要我们多动手、多实践,就能发现它的妙处,用它来揭示很多隐藏在数据背后的有趣关系。
相关系数r方的计算公式在统计学中,相关系数 r 方可是个相当重要的概念呢!它能帮助我们了解两个变量之间线性关系的紧密程度。
相关系数 r 方的计算公式是:r 方 = (相关系数 r)的平方。
相关系数 r 的计算公式稍微有点复杂,它是通过对两个变量的观测值进行一系列计算得出的。
简单来说,就是用来衡量两个变量之间线性相关程度的一个数值。
咱们先来说说相关系数 r 方到底有啥用。
比如说,在研究学生的学习时间和考试成绩的关系时,通过计算相关系数 r 方,就能知道学习时间对考试成绩的影响到底有多大。
如果 r 方的值接近 1,那就说明学习时间和考试成绩之间有很强的线性关系;要是 r 方的值接近 0,那这两者之间的线性关系就比较弱啦。
我记得有一次,我给学生们讲相关系数 r 方的时候,有个学生就特别迷糊。
他皱着眉头问我:“老师,这东西这么复杂,到底在生活中有啥用啊?”我当时就笑了,给他举了个例子。
我说:“假设你特别喜欢打篮球,你想知道自己每天练习投篮的时间和投篮命中率之间的关系。
通过计算相关系数 r 方,就能清楚地知道你多花时间练习投篮,是不是真的能让你的命中率大幅提高。
如果 r 方的值很大,那说明你的努力很有效果;要是 r 方的值很小,可能你就得找找其他提高命中率的方法啦。
”这个学生听了之后,眼睛一下子亮了起来,好像终于明白了这个概念的意义。
再比如说,在医学研究中,研究人员想知道某种药物的剂量和治疗效果之间的关系,也会用到相关系数 r 方。
还有在经济领域,分析消费支出和收入之间的关系,相关系数 r 方也能派上大用场。
在实际计算相关系数 r 方的时候,要先收集两个变量的观测数据,然后根据公式进行计算。
这可需要细心和耐心哦,一个小错误都可能导致结果不准确。
总之,相关系数 r 方虽然计算起来可能有点麻烦,但它在各个领域的数据分析中都起着至关重要的作用。
只要我们掌握了它,就能更好地理解事物之间的关系,做出更准确的判断和决策。
相关系数r的计算公式例题在数据科学中,相关系数是一种量化两个变量间相对关系的统计指标,可以用来判断两个变量之间的联系是相关还是无关。
相关系数是一个介于-1到1之间的实数值,它表示和某个变量相关的另一个变量值的变化方向和幅度。
如果两个变量相关,则其相关系数将越接近于1;如果完全无关,相关系数则为0;如果两者存在负相关,则其相关系数为负数。
在计算相关系数之前,我们需要定义两个变量X和Y,表示其数据。
相关系数的计算公式为:r = (x-x)(y-y) /(Σ(x-x)(y-y))其中,x, x 代表变量X的原始数据和平均值; y, y 代表变量Y的原始数据和平均值;Σ表示求和符号;√表示求平方根符号。
举个例子,让我们来计算两组数据(X和Y)之间的相关系数: X:8, 10, 12, 14, 16Y:2, 3, 4, 5, 6首先,需要计算X和Y的平均值:x = (8 + 10 + 12 + 14 + 16) / 5 = 12y = (2 + 3 + 4 + 5 + 6) / 5 = 4然后,可以使用计算公式计算相关系数:r = (x-x)(y-y) /(Σ(x-x)(y-y))= [ (8-12) x (2-4) + (10-12) x (3-4) + (12-12) x (4-4) + (14-12) x (5-4) + (16-12) x (6-4) ] /[ (8-12) x (2-4) + (10-12)x (3-4) + (12-12) x (4-4) + (14-12) x (5-4) + (16-12) x (6-4) ] = [ -8 x (-2) + (-2) x (-1) + (0) x (0) + (2) x (1) + (4) x (2) ] /[ 16 x 4 + 4 x 1 + 0 x 0 + 4 x 1 + 16 x 4 ]= [ 16 + 2 + 0 + 2 + 8 ] /[ 64 + 4 + 0 + 4 + 64 ]= 26 /132= 0.83因此,计算结果显示,X和Y之间的相关系数为0.83。
相关系数数学公式好的,以下是为您生成的文章:咱先来说说相关系数这个事儿啊。
相关系数呢,其实就是用来衡量两个变量之间线性关系强度和方向的一个指标。
这公式看起来有点复杂,不过别担心,咱们慢慢捋一捋。
就拿我教过的一个学生小明来说吧。
小明特别喜欢研究数学和物理的关系,有一次他做了个实验,记录了每次物理考试成绩和数学考试成绩。
他就想看看这俩学科的成绩之间有没有啥关联。
这相关系数的数学公式啊,是 r = [Σ((X - X)(Y - Ȳ))] / [sqrt(Σ(X - X)²) × sqrt(Σ(Y - Ȳ)²)] 。
这里面的 X 和 Y 就是咱们要研究的两个变量的值,X和Ȳ 分别是它们的平均值。
咱们回到小明的例子。
他把每次的数学成绩当作 X,物理成绩当作Y 。
先算出数学成绩的平均值X和物理成绩的平均值Ȳ 。
然后一项一项地去算 (X - X) 和 (Y - Ȳ) 。
这过程可有点繁琐,小明一开始还弄混了,算错了好几回。
比如说,有一次数学考了 85 分,平均是 80 分,那 (X - X) 就是 5 。
物理考了 70 分,平均 65 分,那 (Y - Ȳ) 就是 5 。
就这样,把每次考试成绩都这么算一遍。
再把这些算出来的 (X - X)(Y - Ȳ) 加起来,得到Σ((X - X)(Y - Ȳ)) 。
同时还要算出Σ(X - X)²和Σ(Y - Ȳ)²,这俩再分别开平方。
最后按照公式一除,就能得到相关系数 r 啦。
经过一番努力,小明终于算出来了。
结果发现相关系数挺接近1 的,这说明数学成绩和物理成绩之间有比较强的正相关关系,也就是数学成绩好的话,物理成绩大概率也不错。
通过这个例子,咱们能看出来,相关系数数学公式虽然看起来有点头疼,但真用起来,能帮咱们发现很多有趣的关系呢。
在实际生活中,相关系数的用处可多了去了。
比如说研究身高和体重的关系,学习时间和成绩的关系,甚至是气温和用电量的关系等等。
线性回归方程中的相关系数rr=∑(Xi-X的平均数)(Yi-Y平均数)/根号下[∑(Xi-X平均数)^2*∑(Yi-Y平均数)^2]R2就是相关系数的平方,R在一元线性方程就直接是因变量自变量的相关系数,多元则是复相关系数判定系数R^2也叫拟合优度、可决系数。
表达式是:R^2=ESS/TSS=1-RSS/TSS该统计量越接近于1,模型的拟合优度越高。
问题:在应用过程中发现,如果在模型中增加一个解释变量,R2往往增大这就给人一个错觉:要使得模型拟合得好,只要增加解释变量即可。
——但是,现实情况往往是,由增加解释变量个数引起的R2的增大与拟合好坏无关,R2需调整。
这就有了调整的拟合优度:R1^2=1-(RSS/(n-k-1))/(TSS/(n-1))在样本容量一定的情况下,增加解释变量必定使得自由度减少,所以调整的思路是:将残差平方和与总离差平方和分别除以各自的自由度,以剔除变量个数对拟合优度的影响:其中:n-k-1为残差平方和的自由度,n-1为总体平方和的自由度。
总是来说,调整的判定系数比起判定系数,除去了因为变量个数增加对判定结果的影响。
R = R接近于1表明Y与X1,X2 ,…,Xk之间的线性关系程度密切;R接近于0表明Y与X1,X2 ,…,Xk之间的线性关系程度不密切相关系数就是线性相关度的大小,1为(100%)绝对正相关,0为0%,-1为(100%)绝对负相关相关系数绝对值越靠近1,线性相关性质越好,根据数据描点画出来的函数-自变量图线越趋近于一条平直线,拟合的直线与描点所得图线也更相近。
如果其绝对值越靠近0,那么就说明线性相关性越差,根据数据点描出的图线和拟合曲线相差越远(当相关系数太小时,本来拟合就已经没有意义,如果强行拟合一条直线,再把数据点在同一坐标纸上画出来,可以发现大部分的点偏离这条直线很远,所以用这个直线来拟合是会出现很大误差的或者说是根本错误的)。
分为一元线性回归和多元线性回归线性回归方程中,回归系数的含义一元:Y^=bX+a b表示X每变动(增加或减少)1个单位,Y平均变动(增加或减少)b各单位多元:Y^=b1X1+b2X2+b3X3+a 在其他变量不变的情况下,某变量变动1单位,引起y平均变动量以b2为例:b2表示在X1、X3(在其他变量不变的情况下)不变得情况下,X2每变动1单位,y平均变动b2单位就一个reg来说y=a+bx+ea+bx的误差称为explained sum of squaree的误差是不能解释的是residual sum of square总误差就是TSS所以TSS=RSS+ESS判定系数也叫拟合优度、可决系数。
样本相关系数r公式简化推导样本相关系数r的公式如下所示:![r=\frac{\sum_{i=1}^{n}(x_i-\overline{x})(y_i-\overline{y})}{\sqrt{\sum_{i =1}^{n}(x_i-\overline{x})^2}\sqrt{\sum_{i=1}^{n}(y_i-\overline{y})^2}}}其中,n为样本个数,xi和yi分别为第i个样本的x和y取值,x̄和ȳ分别为x和y的样本均值。
公式的推导可以分为以下三步:1. 将样本相关系数的计算公式转化为协方差和方差的形式r = cov(x,y) / (s(x)*s(y))其中,cov(x,y)表示x和y的协方差,s(x)和s(y)分别表示x和y的样本标准差。
根据定义,x和y的样本协方差cov(x,y)可以表示为:cov(x,y) = sum((xi - x̄) * (yi - ȳ)) / (n-1)其中,n为样本个数,xi和yi分别为第i个样本的x和y取值,x̄和ȳ分别为x和y的样本均值。
样本标准差s(x)和s(y)可以表示为:s(x) = sqrt(sum((xi - x̄)^2) / (n-1))s(y) = sqrt(sum((yi - ȳ)^2) / (n-1))2. 将式子中的(x-x̄)和(y-ȳ)展开,化简公式r = sum((xi - x̄)*(yi - ȳ)) / sqrt(sum((xi - x̄)^2)*sum((yi - ȳ)^2))将上式分子展开,得到:r = ( sum(xi*yi) - sum(xi*ȳ) - sum(x̄*yi) + n*x̄ȳ ) / sqrt( sum(xi^2) - n*x̄^2 ) * sqrt( sum(yi^2) - n*ȳ^2 )3. 化简后公式进行一些组合变化和展开可以得到样本相关系数的化简公式:r = [ n*sum(xi*yi) - sum(xi)*sum(yi) ] / [ sqrt( n*sum(xi^2) - (sum(xi))^2 ) * sqrt( n*sum(yi^2) - (sum(yi))^2 ) ]这就是样本相关系数r的简化版公式。
相
关 系 数 r
AB 的
计
算
公
式
的
推
导
设 A i 、 B i 分别表示证券 A 、证券 B 历史上各年获得的收益率;
A 、
B 分别表示证券 A 、证券
B 各
年获得的收益率的平均数; P i 表示证券 A 和证券 B 构成的投资组合各年获得的收益率,其他符号的含义
同上。
2
=
1A
n 1
2
=
1B
n 1
2 1
P
=
1
n =
1 n 1
=
1 n 1
=
1 n 1
=
1 n 1
=A
2
A ×
=A
2
2 A A
( A i A) 2
(B i B) 2
(P i 1
P i ) 2
n
1
[( A A A i A B B i ) ( A A A i
A B B i )]2
n
[( A A A i A B B i ) (A A A A B B)] 2
[ A A ( A i A) A B (B i B)] 2
[ 2 ( A i
) 2 2 ( B i B ) 2 2 A A A B (
A i
)( B )] A A A A B A B i
( A i A) 2
A B 2
× ( B i B) 2
2A A A B
[( A i
A)( B i B)]
n 1
n 1
n 1
2
2
2A A A B
[( A i
A)( B i B)] A B
B
n 1
对照公式( 1)得:
( A i
A) 2
(B i B) 2
=
×
n
× r AB
n
1 1
∴ r AB =
[( A i A)( B i B)] ( A i A)2
(B i B) 2
这就是相关系数 r AB 的计算公式。
投资组合风险分散化效应的内在特征
1. 两种证券构成的投资组合为最小方差组合(即风险最小)时各证券投资比例的测定
公式( 1)左右两端对 A A 求一阶导数,并注意到
A B =1—A A :
2
2
2
A B r AB
( P )′=2A A A -2(1 -A A )
B + 2 (1 - A A ) A B r AB -2A A 令 (
P 2
)′=0
并简化,得到使
P 2
取极小值的 A A :
2
B r
AB
A A =
B
A
(
3)
2 2 2
A B r
AB
A
B
式中,0 ≤ A A ≤ 1, 否则公式( 3)无意义。
由于使 ( P2)′=0的 A A 值只有一个,所以据公式(3)计算出的 A A使P2为最小值。
以上分析清楚地说明:对于证券 A 和证券 B,只要它们的系数r AB适当小( r AB 的“上限”的计算,本文以下将进行分析),由证券 A 和证券 B 构成的投资组合中,当投资于风险较大的证券 B 的资金比例
不超过按公式( 3)计算的( 1— A A),会比将全部资金投资于风险较小的证券 A 的方差(风险)还要小;只要投资于证券 B 的资金在( 1— A A)的比例范围内,随着投资于证券 B 的资金比例逐渐增大,投资组
合的方差(风险)会逐渐减少;当投资于证券 B 的资金比例等于( 1—A A)时,投资组合的方差(风险)最小。
这种结果有悖于人们的直觉,揭示了风险分散化效应的内在特征。
按公式(3)计算出的证券 A 和证券 B 的投资比例构成的投资组合称为最小方差组合,它是证券 A 和证券 B 的各种投资组合中方差(亦即风险)最小的投资组合。