中国特级教师高考复习方法指导综合复习版
- 格式:doc
- 大小:610.50 KB
- 文档页数:12
特级教师赵岩松在线辅导高考化学复习实录主持人:各位网友大家好。
高考复习已经进入关键阶段,为了帮助广大考生更好的复习备考,新浪网教育频道与精华听课网联合邀请各科名师作客新浪嘉宾聊天室,每天为大家进行在线辅导,解答您在复习中遇到的问题。
今天我们邀请的是北京四中化学特级教师赵岩松老师为大家在线解答在高考化学复习中遇到的问题。
赵老师您好。
赵岩松:你好,各位网友大家好。
主持人:距离高考还有40多天,请赵老师为大家介绍一下这段时间应该怎么复习化学这门课程?赵岩松:同学们,距离高考只有40多天了,同学们都想积极的知道这段时间究竟应该干些什么,因为最近高三的学生很多人都在问我这个问题,根据我们的经验,通过你做一模的试题,二模试卷今天有的区已经开始了,你通过几个区的模拟题,首先要查到自己在化学知识上的不足,这一点我看了一下海淀、西城、东城三个区的化学一模题,我的感觉是,出的都是比较基本的。
今天我在《晚报》上看到,有些专家介绍的也同样是这样,基础是最为重要的,我是这样认为的,假如在高考中把基础分都拿到,我的定论是,要上大本是基本没有问题的,也就是说高考出题有很强的科学性,而且也不是没有根据的出题,实际上70—75%的试题都是比较基本的题目,可是现在我们发现,有些区出的题目非常基本,不是很难,或者难题非常少,同学们答完以后也感觉到这题不算难,可是会感到,第一,时间不够,第二,基础的题分数拿不到,这也不只是化学一科的问题,数学、物理也同样,我跟这些老师交流的时候,也有相同的感觉,这也是多年的经验了,这就说明北京的考生基础不够牢固,所以同样的年度,我们北京的录取分数线比其他的省要低,北京的考生有时不太注意这个问题。
其次,化学需要背很多的东西,需要先理解再记忆,而我听到一些同学的说法使我感觉有些意外,很多同学都问我,“老师,怎么样才能花最少的力气把有机化学和有机化学背下来?”我听了以后暗暗有点觉得好笑,就像是要天上掉馅饼一样。
湛江一中2006—2007学年度第一学期期中考试高二级理科基础试题考试时间:120分钟 满分:150分1.考虑到金属电阻与温度的关系,下图中能较正确地反映通过小灯泡的电流I 与灯泡两端的电压U 之间的变化关系的是2.电场中有一点P ,下列哪些说法是正确的A .若放在P 点的试探电荷的电量减半,则P 点的场强减半。
B .若P 点没有试探电荷,则P 点的场强为零。
C .P 点的场强越大,则同一试探电荷在P 点受到的电场力越大。
D .P 点的场强方向为试探电荷在该点的受力方向。
3.用毛皮摩擦过的硬橡胶棒靠近一个用丝线悬挂的塑料小球,如果小球被推开,则小球 A .必带负电 B .必带正电 C .必不带负电 D .带电、不带电都有可能 4.关于欧姆定律的下列理解中,正确的是A .由R=U/I 知道,一段导体的电阻跟它两端的电压成正比,跟通过它的电流强度成反比B .由I=U/R 知道,通过一段导体的电流强度跟加在它两端的电压成正比.C .由电阻的I -U 图像可知,电流变化相同时,电压变化较小的图像所对应的电阻阻值较大D .通过导体的电流越大,导体的电阻就越小5.一灯泡标明“220V 100W”,关于它的判断不正确的是 A .这个灯泡消耗的电功率总是100WB .当电压为220V 时,它消耗的功率是100WC .当它正常发光时,它消耗的功率是100WD .只有在额定电压下,用电器的实际功率才等于其额定功率6.如图用伏安法测电阻时,如果不知道待测电阻的大概值时, 为了选择正确的电路以减少误差,可将电压表一个接头分别在a 、b 两点接触一下,如果安培表读数没有显著变化,则P 应接在( )处,如果伏特表读数没有显著变化,则P 应接在 ( )处。
A .a bB . b aC .b bD .a a7.一条粗细均匀的电阻丝电阻为R ,其横截面直径为d ,若将它拉制成直径为d/10的均匀细电阻丝,其电阻变为A .10000RB .1000RC .100RD .R/1008.用电器工作电压为24V ,允许通过的电流为0.5安,现要把它接在36V 的电源上,应串联( )欧的电阻才能正常使用。
特级教师高考复习方法指导三角函数三角函数是高中数学中的重要内容,也是高考考试中经常涉及的知识点。
为了帮助特级教师进行高考复习,以下是一些建议的指导方法。
1.系统学习基本概念:首先,特级教师应该对三角函数的基本概念进行系统学习。
了解正弦、余弦、正切等基本三角函数的定义和性质,掌握它们的图像、周期、对称性和变化规律等。
2.熟悉基本公式:特级教师应该熟悉三角函数的基本公式。
这包括和差化积公式、倍角公式、半角公式等。
掌握这些公式可以帮助特级教师解决一些复杂的三角函数问题。
3.理解三角函数的几何意义:特级教师应该理解三角函数的几何意义。
例如,正弦函数对应一个圆的y坐标,而余弦函数对应同一个圆的x坐标。
这样的理解可以帮助特级教师更好地解决几何中的问题。
4.学会绘制函数图像:特级教师应该掌握三角函数图像的绘制方法。
可以通过手工绘图和使用计算机软件进行练习。
绘制函数图像可以帮助特级教师更直观地理解函数的性质和特点。
5.善于利用恒等变换:特级教师应该善于利用恒等变换来解决问题。
恒等变换是指一些等式或不等式,通过对等式或不等式两侧同时进行变换而得到的等价关系。
善于利用恒等变换可以简化问题的求解过程。
7.多做练习题:特级教师在复习三角函数时,应该多做一些练习题。
练习题可以帮助特级教师巩固知识点,提高解题能力。
选择不同难度的题目进行练习,可以帮助特级教师逐渐提高解题水平。
8.注重知识的应用:特级教师应该注重将三角函数的知识应用到实际问题中。
通过解决实际问题,特级教师可以更深入地理解三角函数的应用价值。
可以通过寻找一些与三角函数相关的实际问题,并尝试求解这些问题来提高应用能力。
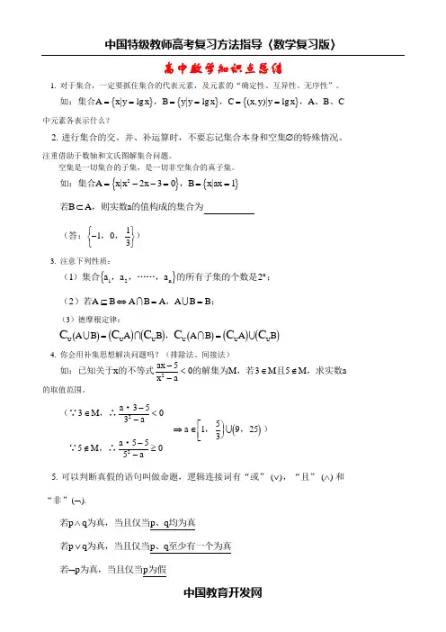
高中数学知识点总结1. 对于集合,一定要抓住集合的代表元素,及元素的“确定性、互异性、无序性”。
{}{}{}如:集合,,,、、A x y x B y y x C x y y x A B C ======|lg |lg (,)|lg 中元素各表示什么?2. 进行集合的交、并、补运算时,不要忘记集合本身和空集的特殊情况。
∅ 注重借助于数轴和文氏图解集合问题。
空集是一切集合的子集,是一切非空集合的真子集。
{}{}如:集合,A x x x B x ax =--===||22301 若,则实数的值构成的集合为B A a ⊂(答:,,)-⎧⎨⎩⎫⎬⎭1013 3. 注意下列性质:{}()集合,,……,的所有子集的个数是;1212a a a n n ()若,;2A B A B A A B B ⊆⇔== (3)德摩根定律:()()()()()()C C C C C C U U U U U U A B A B A B A B ==,4. 你会用补集思想解决问题吗?(排除法、间接法) 如:已知关于的不等式的解集为,若且,求实数x ax x aM M M a --<∈∉50352的取值范围。
()(∵,∴·∵,∴·,,)335305555015392522∈--<∉--≥⇒∈⎡⎣⎢⎫⎭⎪M a a M a aa5. 可以判断真假的语句叫做命题,逻辑连接词有“或”,“且”和()()∨∧“非”().⌝若为真,当且仅当、均为真p q p q ∧若为真,当且仅当、至少有一个为真p q p q ∨ 若为真,当且仅当为假⌝p p6. 命题的四种形式及其相互关系是什么? (互为逆否关系的命题是等价命题。
)原命题与逆否命题同真、同假;逆命题与否命题同真同假。
7. 对映射的概念了解吗?映射f :A →B ,是否注意到A 中元素的任意性和B 中与之对应元素的唯一性,哪几种对应能构成映射?(一对一,多对一,允许B 中有元素无原象。
厦门一中名师指导高考最后冲刺阶段复习策略生物:多看勤思精练林木青,厦门一中高级教师,连续3年把关高三生物教学。
离高考只有20天了,对生物科来说,此阶段是基础知识复习和应试技巧提升的关键时期。
生物的知识点多且零散,容易回生,所以在高考冲刺阶段里,每天必须保证一定复习时间。
策略是:多看、勤思、精练。
有些考生总是难以走出“越基础越易出错”的怪圈,原因在于:轻课本重资料,轻基础重难题。
冲刺阶段,考生仍要静下心来把课本知识梳理一遍,加强和巩固对教材知识的理解掌握,及时解决有疑问的知识点。
首先,全面厘清并记忆学科知识点(包括16个实验)。
比较有效的方法是熟悉各册课本的目录,精读课本中黑体字、各章节的前言以及“本章小结”。
其次,把握重点,抓主干,建网络。
纵观近几年生物高考试题,必修本重点内容主要集中在细胞的组成结构及生命历程、细胞代谢、遗传与变异、生命活动的调节、生态等主干知识章节中,选修第三册内容(新课程区)主要考查基因工程、细胞工程和胚胎工程等。
这些知识点需要优先掌握。
主干知识复习要条理化、网络化,如复习时可以尝试以细胞减数分裂为基础,以“中心法则”为主线,以遗传规律为重点,对“遗传与变异”部分的内容构建知识网络。
将以往的习题进行整理,尤其是大型考试题,着重“看透”错题,之后有目的地精选一些习题进行针对性训练,最忌盲目大量做题打题海战。
还应加强理综应试训练。
考生进入考场往往有一点紧张,所以做选择题的时候一定要给自己足够的时间(至少 5-8分钟)。
而后面三道大题一定要留足 25-30分钟以上的时间。
一般来说,遇到一个题目若思考了3-5分钟仍然理不清解题思路,应暂时放弃,即使这个题目的分值很高。
化学:定期训练保持紧张钟灿富,厦门一中化学特级教师。
享受国务院特殊津贴专家,国家级骨干教师。
福建省、厦门市两级化学高中新课程实验指导组副组长。
厦门市拔尖人才,厦门市首届杰出教师。
盖斯定律、化学平衡常数、难溶物的溶解平衡以及探究实验等,这些新课程增加的内容及一些年年都考的热点,可能就是今年高考会出现的点,是冲刺阶段复习的重中之重。
【复习方法】特级教师王寿沂在线辅导高考语文复习主持人:各位网友大家好!高考复习已经进入关键阶段,为了帮助广大考生更好的复习备考,新浪网教育频道与精华听课网邀请各科名师作客新浪嘉宾聊天室,每天为大家进行在线辅导,解答您在复习中遇到的问题。
今天我们邀请到的是北京十一学校语文高级教师王寿沂老师为大家在线解答在高考语文复习中遇到的问题。
王老师你好!王寿沂:大家好!主持人:现在离高考还有39天了,请您谈谈现在怎么复习语文课程。
王寿沂:我觉得一定要从实际出发,知识点、能力点固然都要巩固,但是要讲求效率,从习惯上找分、方法上找分,要从感悟的品质上找分。
所谓感悟就是敏锐的感知和理性的把握,这些东西提上去之后才能有效果。
所以建议考生把各个区的一模的练习对了的和错了的要概括整理,找出自己的得失,这样才能更好地应对今后的二模,甚至于高考。
网友:怎样提高语文的阅读理解能力?王寿沂:语文的阅读能力要避免失分,失分的原因有三个:一是答不准;二是答不全;三是答不透。
必须要细看提干,筛选信息,理清脉络,由表及里去进行思考。
同时要注意语言的转换当中,比如说由具体转换为抽象,由喻体转换为本体,由反面转换为正面(或者相反)。
还要注意文字的概括和组织。
另外一个重要的办法就是研究命题和答案,现在我们已经做了很多题,现在要研究考官的命题和答案,特别是评分标准。
也就是说,文章的亮点就是考官的设题点,也就是考生的得分点。
这样我们就可以看出来所有的答案都可以从原文中找到。
有一个学生的经验是要想办法使自己的答案尽量接近原答案。
通过这样的努力,就可以提高我们现代文阅读的水平。
网友:文言文和诗词鉴赏题应该从何入手?王寿沂:对于文言文,第一,要注意牵引已有的知识去解决疑难;第二,对一个词有多个意向的时候,要根据上下文确定意向;第三,要注意古今词语的区别;第四,要熟悉用作比较的刻意语句。
建议考生,我们能够把一些词语放在句中之后,把这个陌生的句子翻译一下,翻译之后,你看词性有没有变化,如果词性变化了,古今义一定不同。
02、待定系数法确定变量间的函数关系,设出某些未知系数,然后根据所给条件来确定这些未知系数的方法叫待定系数法,其理论依据是多项式恒等,也就是利用了多项式f(x)≡g(x)的充要条件是:对于一个任意的a 值,都有f(a)≡g(a);或者两个多项式各同类项的系数对应相等。
待定系数法解题的关键是依据已知,正确列出等式或方程。
1A. 52, -2 B. -52, 2 C.52, 2 D. -52,-2【简解】由f(x)=x2+m求出f-1(x)=2x-2m,比较系数易求,选C;2、二次不等式ax2+bx+2>0的解集是(-12,13),则a+b的值是_____。
A. 10B. -10C. 14D. -14【简解】:由不等式解集(-12,13),可知-12、13是方程ax 2+bx +2=0的两根,代入两根,列出关于系数a 、b 的方程组,易求得a +b ,选D ;3、在(1-x 3)(1+x )10的展开式中,x 5的系数是_____。
A. -297B.-252C. 297D. 207【简解】分析x 5的系数由C5与(-1)C 2两项组成,相加后得x 5的系数,选D ; 4。
56代入两根得:497120-++-=⎨⎩()m n mn 解得:n =⎨⎩1或n =⎨⎩5 ∴ y =5431122x x x +++或者y =x x x 224351+++此题也可由解集(-1,7)而设(y +1)(y -7)≤0,即y 2-6y -7≤0,然后与不等式①比较系数而得:m n mn +=-=-⎧⎨⎩6127,解出m 、n 而求得函数式y 。
【注】 在所求函数式中有两个系数m 、n 需要确定,首先用“判别式法”处理函数值域问题,得到了含参数m 、n 的关于y 的一元二次不等式,且知道了它的解集,求参数m 、n 。
两种方法可以求解,一是视m 、n :将y c b a a ⎧⎨⎪⎩⎪已知条件,将其转换成表达式。
1990年高考作文篇一:1990年全国高考作文题中国特级教师高考复习方法指导〈语文复习版〉高考优秀作文1990年全国高考作文题一.阅读下面材料,在文中a,B两处应分别有表现小姑娘此时表情或动作的描述性文字,请填入题后的方格内.(4分)要求:1.符合两个小姑娘此时的心态及上下文所提供的情景.2.语句通顺,上下连贯.3.不少于5个字,不超过15个字.一对孪生小姑娘走进玫瑰园,不多久,其中一个小姑娘a“妈妈,这是个坏地方!”“为什么呢,我的孩子?”“因为这里的每朵花下面都有刺。
”不一会儿,另一个小姑娘B“妈妈,这是个好地方!”“为什么呢,我的孩子?”10分)要求:1..字.自拟题目,展开议论。
不少于600字。
(40分)中国教育开发网篇二:高考材料作文素材90例20XX年高考材料作文素材90例一、名人材料1、商鞅五十金徙木商鞅任秦孝公之相,欲为新法。
为了取信于民,商鞅立三丈之木于国都市南门,招募百姓有能把此木搬到北门的,给予十金。
百姓对这种做法感到奇怪,没有敢搬这块木头的。
然后,商鞅又布告国人,能搬者给予五十金。
有个大胆的人终于扛走了这块木头,商鞅马上就给了他五十金,以表不欺。
这一做法,终于使老百姓确信新法是可信的,从而使新法顺利地推行实施。
提示:人无信则不立,法无信则不行,过无信则不兴。
要讲诚信。
2、康熙向敌人敬杯酒康熙大帝在位执政60年之际,特举行“千叟宴”以示庆贺。
宴会上,康熙敬了三杯酒:第一杯敬孝庄太皇太后,感谢孝庄辅佐他登上皇位,一统江山;第二杯敬众位大臣及天下万民,感谢众臣齐心协力尽忠朝廷,万民俯首农桑,天下昌盛;当康熙端起第三杯酒时说:“这杯酒敬给我的敌人,吴三桂、郑经、葛尔丹还有鰲拜。
”众大臣目瞪口呆,康熙接着说:“是他们逼着朕建立了丰功伟绩,没有他们,就没有今天的朕,我感谢他们。
”提示:对手在警醒我们,对手也在成就我们。
少林寺有一位高僧的墓碑上只有八个字:“天下对手成就武僧”。
压力。
忧患意识。
安徽省黄山市休宁海阳中学2006届高三高考模拟卷理科综合能力测试第Ⅰ卷(选择题共126分)本卷共21小题,共126分一、(本题共13题,每小题6分,每小题只有一个正确选项)1 Array 23456、(2003上海)在医院中,为酸中毒病人输液不应采用()A.0.9%氯化钠溶液B.0.9%氯化铵溶液C.1.25%碳酸氢钠溶液D.5%葡萄糖溶液7、(2004上海)设N A为阿佛加德罗常数,下列叙述中正确的是()A.46 g NO2和N2O4混合气体中含有原子数为4N AB.标准状况下22.4 L H2中含中子数为2N AC .1L 1mol/L 醋酸溶液中离子总数为2N AD .1molMg 与足量O 2或N 2反应生成MgO 或Mg 3N 2均失去2N A 个电子8、(2004甘肃)在25℃、101kPa 下,1g 甲醇燃烧生成CO 2和液态水时放热22.68kJ ,下列热化学方程式正确的是 ( )A .CH 3OH (l )+23O 2(g ) CO 2(g )+2H 2O (l ) △H=+725.8 kJ/molB .2CH 3OH (l )+3O 2(g ) 2CO 2(g )+4H 2O (l ) △H=-1452 kJ/mol910 )111213 (二、本题共8小题,每小题6分,共48分。
在每小题给出的四个选项中,有的小题只有一个选项正确,有的小题有多个选项正确。
全部选对的得6分,选不全的得3分,有选错或不答的得0分。
14、(2004江苏高考)下列说法正确的是c(A )α射线与γ射线都是电磁波(D )β射线为原子的核外电子电离后形成的电子流(C )用加温、加压或改变其化学状态的方法都不能改变原子核衰变的半衰期 (D )原子核经过衰变生成新核,则新核的质量总等于原核的质量15、(2004广西高考)下列说法哪些是正确的:ADA.水的体积很难被压缩,这是分子间存在斥力的宏观表现B.气体总是很容易充满容器,这是分子间存在斥力的宏观表现C.两个相同的半球壳吻合接触,中间抽成真空(马德堡半球),用力很难拉开,这是分子间存在吸引力的宏观表现D.用力拉铁棒的两端,铁棒没有断,这是分子间存在吸引力的宏观表现16、(2004北京)如图,一简谐横波在x轴上传播,轴上a、b两点相距12m。
高三知识点梳理好用的教辅高三学生面临着一场艰苦的战斗——高考。
在这个关键的时期,很多学生都会选择使用教辅材料来巩固知识,提高复习效率。
但是市面上的教辅材料种类繁多,质量良莠不齐,令人眼花缭乱。
因此,本文将为大家介绍一些高三知识点梳理好用的教辅,希望对同学们有所帮助。
一、《理综总复习指南》这是一本针对高考理综科目的综合梳理教辅,包含了生物、化学、物理三门科目的重点知识点和难点分析。
该教辅以图文并茂的方式呈现,简洁明了,帮助学生快速理解和记忆。
同时,每个章节都包含了高考真题以及详细的解析,帮助学生了解考试趋势和命题规律。
二、《语文备考指南》语文备考对于提高综合素养和语言表达能力具有重要作用。
该教辅以经典文本为基础,通过解析文本的结构、主题、情感等要素,帮助学生深入理解文本内涵。
此外,该教辅还提供了大量的写作技巧和范文,帮助学生在作文和应用文写作方面取得突破。
三、《数学思维拓展训练》数学作为一门重要的理科科目,对于高三学生来说往往是难以逾越的一道坎。
该教辅主要针对数学思维拓展和解题能力提升进行训练,通过大量的例题和思维导图,帮助学生建立起数学知识的框架。
同时,该教辅还提供了高难度的拓展题目,帮助学生应对高考中的挑战。
四、《英语阅读突破技巧》英语阅读是高考英语的重要组成部分,而且对于提高词汇量、阅读理解能力以及语法运用都有很大的帮助。
该教辅通过对高考真题的分析和解析,总结出一些解题技巧和注意事项,帮助学生更好地应对阅读理解题。
同时,该教辅还提供了大量的英语阅读材料,帮助学生提高阅读速度和理解力。
五、《历史知识点梳理》历史是一门需要背诵和理解并重的学科,也是高考文科的重要科目之一。
该教辅以时间轴的形式,将历史知识点按照时间顺序进行梳理,帮助学生理清知识的脉络。
同时,该教辅还提供了大量的历史事件和人物的解析和分析,帮助学生更好地理解历史和培养历史思维能力。
六、《地理重难点透视》地理作为一门融合了自然和人文要素的学科,需要学生进行大量的记忆和理解。
特级教师沈献章在线辅导高考语文复习实录[主持人]:各位网友大家好!中国教育在线高考名师在线辅导活动,现在开始。
今天我们邀请的的是中国人民大学附属中学沈献章老师。
沈老师,你好。
首先请您介绍一下今年语文考试的一些变化。
[沈老师]:亲爱的同学们,你们好,你们辛苦了!今年的高考的变化比去年相比有三点,第一是标点符号的使用今年将进行主要考查,标点的考查主要有两点,一种是放在第一卷,第一大题的语基的这块,以单向选择的方式进行独立考查。
比如1993年、1994年、1995、1997年都是这种题型,就是句中标点符号的判断。
另一种考试方式,是放在第二卷第六大题的语音应用板块,与修改病句结合起来进行考查。
它会把标点符号、词语、语法结合起来进行考查,或者以填空的方式进行考查。
比如1992、1996、1997、1998年全国高考题就是以这种方式进行考查的。
标点符号的范围应该锁定在高中语文第三册附录里面的标点符号的使用方法,就是173到174面。
这里面有其他点号,其中有句末短号,句号、问号、叹号,四种句内点号,逗号、顿号、分号、冒号和九种标号,包括引号、连接号、说明号和专明号等。
鉴于今年是回复考试的第一年,难度不会太大,我认为标点符号的考查可能性比较大的应该放在第一卷第一大题语基这块,以单向选择的方式进行独立考查。
今年高考变化的第二点,在使用词语方面扩大了使用词语的范围,比如熟语,答题分五类,第一是成语,就是我们常用的。
第二是谚语,谚语是群众当中广为流传的,非常简便,具有特定意义和内容的固定形式的内容和短语,比如三个臭皮匠赛个诸葛亮,好马不吃回头草,枪打出头鸟。
第三是格言,格言是广为沿用的,富有劝戒性的短语。
比如虚心使人进步,骄傲使人落后。
第四惯用语。
这是一种比较定型化的具有抽象整体意义的词语,比如踢皮球,碰锭子,泼冷水,强驻港,钻空子等。
第五,歇后语,这是广大群众喜文乐道的,诙谐性的语言。
比如肉包子打狗去无回等等,关于手语主要是以这五种情况为主。
数学高考综合能力题选讲 1集合与简易逻辑100080 北京中国人民大学附中题型预测《考试说明》中,对于集合、充要条件已做出明确的要求 .高考中,对于这一部分的考查,主要集中在:(1)集合本身的性质和运算;(2)集合语言和集合思想的运用;(3)充分 条件和必要条件的判定•范例选讲例1命题甲:x 2或y 3 ;命题乙:x y 5,则()A. 甲是乙的充分非必要条件;B. 甲是乙的必要非充分条件;C. 甲是乙的充要条件;D. 甲既不是乙的充分条件,也不是乙的必要条件 .讲解 为了进行判断,首先需要构造两个命题:甲 =>乙;乙=> 甲.但是,这两个命题都是否定性的命题,正面入手较为困难 .考虑到原命题与 逆否命题的等价性,可以转化为判断其逆否命题是否正确 .“甲=>乙”即“ x 2 或 y 3 ” => “ x y 5 ”其逆否命题为:“ x y 5 ” => “ x 2且y 3 ” 显然不正确.同理,可判断命题“乙=> 甲”为真命题. 故选择B.点评 本题虽然看上去是一个基本的不等量关系,但实质逻辑性很强,容 易选错,解本题的关键:一是从反面入手,利用原命题与逆否命题的等价性,二 是要对逻辑联结词“或” “且”深刻理解与领悟.(1)求 A B ;梁丽平 例2已知集合A tt 使 xx 2 2tx 4t 3 0 R 2B tt 使 xx 2tx 2t 0,其中x,t 均为实数.(2) 讲解 设m 为实数,gm m " (1)集合A 实际上是: '3,求 M mg m A B .0恒成立的所有实数t 的使得 2 x 2tx 4t 3 集合.故令1 (2t)1 2 4( 4t 3) 0, 解得 : 3 t 1.集合 B 实际上是:使得方程 x 2 2tx 2t 0有解的所有实数 t 的集合. 故令2 2t 2 4 ( 2t) 0,解得:t 0或t2所以, A 3, 1,B ,2 0, A B 3, 2 .(2) 设g m u ,则问题(2) 可转化为: 已知函数u g m 的值域(u 3 ,2 ) ,求其定义域.令3 m 2 3 2,可解得: 1 m 0或 0 m1 .所以, M = m 1 m 0或 0 m 1 .点评 学习数学,需要全面的理解概念,正确地进行表述、判断和推理,这 就离不开对逻辑知识的掌握和运用•而集合作为近、现代数学的重要基础,集合 语言、集合思想也已经渗透到数学的方方面面.集合和简易逻辑,是学习、掌握 和使用数学语言的基础.本题以集合和逻辑为背景,主要考查对数学符号语言的 阅读、理解以及迁移转化的能力.1. (1985年全国高考)设a,b 是两个实数,A={(x,y) | x=n,y=na+b,n 是整数},B={(x,y) | x=,m,y=3m 2+15,m 是整数},C={(x,y) | x 2+y 2< 144}是平面 XOY 内的点集合.讨论是否存在a 和b 使得(1) A B ( 表示空集);(2) (a,b)€ C 同时成立.1 l(1) 设 是方程x 丄 2的一个根,用列举法表示集合M .若在M 中 x任取两个数,求其和为零的概率.(2) 设复数w M z ,求证:M w M z(1993年全国高考)已知关于x 的实系数二次方程x 2 + ax +b =0有两个实2. ( 2001年上海高考)对任意一个非零复数z,定义集合.. 2n 1 ..M z ww z ,n N数根证明(I )如果| | < 2,| | < 2,那么2| a | < 4 + b且| b | < 4 ;(II)如果2| a | < 4 + b 且| b | < 4 ,那么| | < 2 , | | < 2 . [答案与提示:1•不存在• 2.M — li^^li.—li,— 1i ,在2 2 2 21其中任取两数,其和为零的概率为 1 * 3;证明略.3•略.]3。
童嘉森老师个人简介:童嘉森老师是北京市第八十中学数学特级教师,现任八十中学教科研室主任、数学教师。
童嘉森老师1974年1月参加教育工作,至今从教已有35年。
35年来他先后担任过班主任、年级主任、学校团委书记、主抓教学的副校长等工作。
童嘉森老师对数学学科具有系统的理论基础知识和丰富的教学经验,教学中注重学生基础知识、基本概念、基本方法的形成和落实,善于启发学生的思维,调动学生的学习积极性,从教35年来教学成绩显著。
所教学生谢治平获1996年全国数学联赛北京赛区重点中学高中组一等奖;施海夏获1998年全国高考北京市理科状元。
35年来他在完成教育、教学工作的同时先后参加了《高中数学题库》、《高中数学知识应用问题》、《学习目标检测》(高一、高二、高三数学)、《高考综合科目备考与题解》、《走向优等生》、《龙门高考复习(数学)》、《2004全国普通高考复习指导3+x数学》、《数学阅读与欣赏》、等书的编写,并担任《高中数学复习精粹与练习》、《最新中学生数理化公式学习手册》、《乐学易考》、《巨人金榜高考》等书的主编。
多年来数十篇论文发表在《中学生数学》、《高三数、理、化》、《中学数学杂志》、《中小学数学教学》、《中学数学研究》、《中学数学杂志》、《朝阳教育研究》、《中国教育报》等报刊、杂志上。
著述近90万字。
其中“圆锥曲线的位置关系”一文被《中华优秀科技论文》(教育卷)选录。
论文“比较法在数学教学中的运用”编入《中国改革开放研究成果录》一书中。
“价值百万美圆的数学题”一文被《香港现代教学论坛杂志》录用。
92年参加全国教育科学“八五”计划国家教委和北京市教委重点课题《中学各科德育研究》,97年参加全国“九五”教育科学国家重点课题《高师、中小学数学建模理论、实践与跨世纪数学教育改革》的研究。
并担任子课题《中学数学建模理论与中学教学实践》的组长。
2001年主持研究北京市和朝阳区“十五”课题《中学生数学阅读能力培养的研究》被评为朝阳区“十五”优秀科研成果,童嘉森老师在教学中还十分注重培养青年教师的成长,多年来和他签约的徒弟有二十多名,其中有些青年教师已经成长为市、区骨干教师,在指导和培养青年教师课堂教学方面有显著的成绩。
高考临近,一位特级教师给考生的30条建议高考的脚步越来越近了,考试前夕往往是学生心理变化较大时期。
临考前如何复习?如何预防考前焦虑?……厦门市教育局副局长、特级教师任勇结合多年指导学生迎考的经验和体会,给出了30条建议。
这么有用的信息,转给即将参加2015年高考的考生们吧。
关于考前动力1.挖掘潜能。
不管你现在情况怎样,你都要相信自己还有巨大的潜能。
从开始复习到高考往前赶超50名的大有人在,赶超80名也是完全有可能的,人在关键时刻的进步是惊人的。
2.坚定意志。
严格地讲,高考其实就看谁笑到最后,你能坚持到最后,你就能笑到最后。
而坚持到最后,就要求你必须具有坚定的意志。
全力以赴,坚定你的意志;知难而进,磨砺你的意志;战胜惰性,提升你的意志;苦中作乐,优化你的意志。
3.调好心态。
高考不仅仅是知识和智力的竞争,更是心理的竞争。
心态决定着你的成败,努力去寻找你最近的不良心态,并努力去改变,用积极的心态促使你考试成功。
4.把握自我。
复习时紧跟老师踏踏实实地复习没有错,但也不能完全忘了自我的存在。
要有自我意识,“我”如何适应老师的要求,如何根据自己的特点搞好最后阶段的复习,我如何在“合奏”的前提下灵活处理好“独奏”等。
5.战胜自我。
把握自我,十分重要。
但战胜自我,更为重要。
面对迎考复习的艰辛,面对解题的繁难,面对竞争的压力,面对多变的情绪,只有“战胜自我”,才能“天宽地阔”。
关于临考前的复习6.每日做题。
考前要养精蓄锐,并不是说整天休息。
相反,我以为每日还是要做些题的,不要让自己手生,要让自己保持对问题的敏感,形成模式识别能力。
当然,做题的数量不能多,难度不能大。
7.一次成功。
面对一道题(最好选陌生的中档题),用心去做,看看能否一下就理出思路,一做就成功。
一份试卷,若没能一次成功地解决几道题,就往往会因考试时间不够而造成“隐性失分”。
8.讲求规范。
每年高考,都会有不少考生因答题不规范而丢分,非常可惜。
考生要找几道有评分标准的考题,认真做完整,再对照评分标准,看看是否答题严密、规范、恰到好处。
高一打好基础,高二关键转折,高三实现飞跃!特级教师教你这样学如果说高中生活是一场马拉松长跑的话,那么高一便是兴奋的起点,高二算是难熬的中段,高三则是最后的冲刺。
高一高二是打基础的阶段,基础越扎实越有厚积薄发的资本,才能冲得越高!与初中相比,高中的学习有一些新的特点:①知识量大;②学科内容深,学科知识的抽象概括性强,需要掌握大量的科学概念、公式、定理、定律;③综合性、系统性强,要理解或解决一个问题,往往需要综合运用各学科知识。
高中生每天要学的内容很多,如果不分先后顺序和轻重缓急,就会手忙脚乱、丢三落四,本来能学好的东西也学不好,这就需要制定一个学习计划,每天运用计划促进学习目标的实现,磨炼意志力,养成良好的学习习惯并且提高学习效率,减少时间浪费。
每个同学的具体情况不同,学习计划也应该因人而异,但在制定计划时应注意以下几点:黄金时间来记忆同学们应该抓住记忆效果最佳的时间段来安排记忆,提高效率。
一般而言,早上6:00—7:00头脑清醒,记忆效果比较好,上午、下午都有课程安排学习比较紧张,中午休息30—50分钟可以缓解疲劳,以便下午有充沛的精力学习。
而每天如果不能保证7—8小时睡眠,记忆效果也会降低。
尊重自己生物钟由于生理条件和生活环境、习惯的不同,人们的生活节律和最佳感觉也往往不尽相同。
有的人的学习最佳时间在上午,有的人在下午,还有的同学感觉晚上学习效率最高。
在了解了自己的最佳学习时段之后,按照它来安排自己的学习和休息。
将最重要的事情放在最佳感觉时间去做,就会取得事半功倍的效果。
学习要有时间限制为了提高效率,在制定计划时,要适当给自己“压力”,对每一科目的预习和复习要做到三限制:即限定时间、限定速度、限定准确率。
这种目标明确,有压力的学习,可以使注意力高度集中,提高复习效率。
同时,每学习完一部分时,都有一种轻松感、愉悦感,会更充满信心地复习下去。
对照计划反省计划一旦制定,就要雷打不动地完成,如有完不成的,也应立即在次日加倍补上。
高考备考指导复习学习方案精选(10篇)高考备考指导复习学习方案精选篇1一、领导重视1.校长亲自挂帅,统筹指导各项工作。
2.针对毕业班的迎考复习工作制定了《__高中高考激励办法》,制定高考年级总目标和班级目标,制定奖励机制,从质检一到全市的二模考试,直到高考,根据《激励办法》对表现突出的班级、教师、学科组进行表扬和奖励,充分调动全体教师的工作积极性。
3.对教师的人文关怀,为教师解除后顾之忧,使每一位教师都能全身心地投入到教学工作中。
二、教学研究活动确保一轮复习质量。
以《课程标准》为依据,以课本为依托,全面复习,强化基础,提高能力。
1.参加上级教科研部门组织的各种培训,组织校本培训,并对教师进行相应考核。
2.到其他先进学校取经,与联合体业务交流,举行赛课活动。
3.坚持每周二下午的集体备课。
4.周五的同课异构听评课活动,强调由“重教法轻学法”向“教法学法并举”的转变。
5.通过各种教研活动,充分发挥团队力量,研究教材,研究新课程标准,研究去年课标省份的考试大纲,研究近三年课标省份的高考试卷,并写出试卷分析。
6.组织各种考试,出题、考试、阅卷、试卷讲评,狠抓各个环节的落实。
每次考后,都要针对全年级各学科、各班的成绩进行质量分析,找出差距,制定整改措施。
对有潜力的学生承包给相应的任课教师,即确定各科的“推拉对象”。
7.各学科自行组织限时训练、纠错训练和强化训练。
8、多渠道采集高考信息。
①充分发挥互联网的作用,勤于并善于搜索各种高考信息②积极参与全国各地组织的高考信息研讨会,广泛搜集、分析、传播高考信息,把握方向。
请进各地专家指导我们复习工作。
③组织上届高三与本届高三备考经验交流会,总结经验,吸取教训。
三、教育管理工作1.召开考前200天全体师生大会,表扬成绩突出的学生和教师。
2.开展“三大步励志教育”,每天早中晚学生齐声朗读三遍励志信,每周各班召开励志主题班会,实行“全员导师育人制”,每位老师包保10名左右学生,从学习、思想、生活等各方面关心学生,激励学生,给学生以动力和自信,争取使每一位学生都能在各个方面实现快速提高。
3 , . s, , ,07、等价转化法等价转化是把未知解的问题转化到在已有知识范围内可解的问题的一种重要的思想方法。
通过不断的转化,把不熟悉、不规范、复杂的问题转化为熟悉、规范甚至模式法、简单的问题。
历年高考,等价转化思想无处不见,我们要不断培养和训练自觉的转化意识,将有利于强化解决数学问题中的应变能力,提高思维能力和技能、技巧。
转化有等价转化与非等价转化。
等价转化要求转化过程中前因后果是充分必要的,才保证转化后的结果仍为原问题的结果。
非等价转化其过程是充分或必要的,要对结论进行必要的修正(如无理方程化有理方程要求验根),它能给人带来思维的闪光点,找到解决问题的突破口。
我们在应用时一定要注意转化的等价性与非等价性的不同要求,实施等价转化时确保其等价性,保证逻辑上的正确。
著名的数学家,莫斯科大学教授 C.A.雅洁卡娅曾在一次向数学奥林匹克参赛者发表《什么叫解题》的演讲时提出:“解题就是把要解题转化为已经解过的题”。
数学的解题过程,就是从未知向已知、从复杂到简单的化归转换过程。
等价转化思想方法的特点是具有灵活性和多样性。
在应用等价转化的思想方法去解决数学问题时,没有一个统一的模式去进行。
它可以在数与数、形与形、数与形之间进行转换;它可以在宏观上进行等价转化,如在分析和解决实际问题的过程中,普通语言向数学语言的翻译;它可以在符号系统内部实施转换,即所说的恒等变形。
消去法、换元法、数形结合法、求值求范围问题等等,都体现了等价转化思想,我们更是经常在函数、方程、不等式之间进行等价转化。
可以说,等价转化是将恒等变形在代数式方面的形变上升到保持命题的真假不变。
由于其多样性和灵活性,我们要合理地设计好转化的途径和方法,避免死搬硬套题型。
在数学操作中实施等价转化时,我们要遵循熟悉化、简单化、直观化、标准化的原则,即把我们遇到的问题,通过转化变成我们比较熟悉的问题来处理;或者将较为繁琐、复杂的问题,变成比较简单的问题,比如从超越式到代数式、从无理式到有理式、从分式到整式…等;或者比较难以解决、比较抽象的问题,转化为比较直观的问题,以便准确把握问题的求解过程,比如数形结合法;或者从非标准型向标准型进行转化。