有理数加减乘除混合运算基础试题(含答案)
- 格式:doc
- 大小:136.89 KB
- 文档页数:6
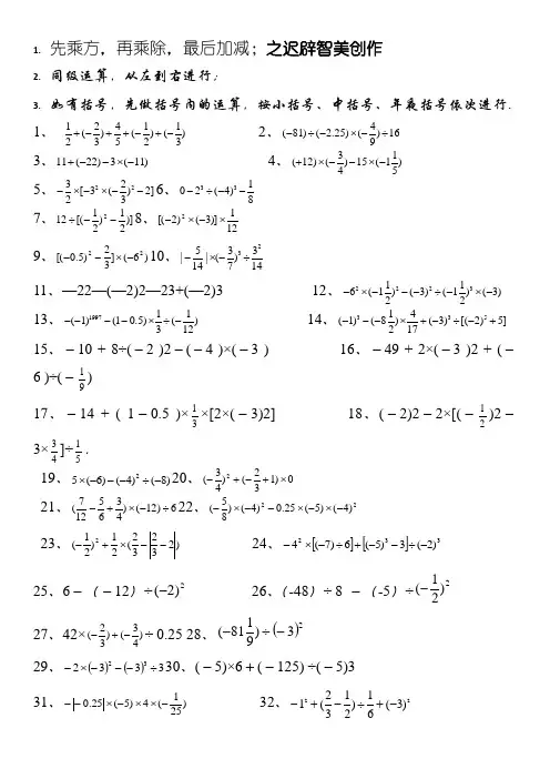
1.先乘方,再乘除,最后加减;之青柳念文创作2.同级运算,从左到右停止;3.如有括号,先做括号内的运算,按小括号、中括号、大括号依次停止.1357911、—22—(—2)2—23+(—2)3 12、13、15、-10 + 8÷(-2 )2-(-4 )×(-3 ) 16、-49 + 2×(-3 )2 + (-6 )÷(17、-14 + ( 1-0.5 )[2×(-3)2] 18、(-2)2-2×[(-2-319212325、6-(-12、(-48)÷ 8 -(-527、420.25 2829、(-5)×6+(-125) ÷(-5)3311、【基础题】计算:(1(2(3(4(1(2(3(4(1(34(5(6(7(8;(9)10(1)11+(-22)-3×(-11); (2(34;(5(6(7)-+2×+(-6)÷;(8)(1(2(34(5(6)-10+84×3;(7(81-0.5(1)(-8)×5-40;(2)()÷(-(-2);(3)-20÷5×(-3)÷15;(4)-3[-5+-2)];(5)-23÷2÷(2;(6×(-2.4)参考答案1、-1/52、-13、224、95、96、 07、-48 8、-1 9、-15 10、-15/34311、-24 12、-89 13、3 14、2 15、-2016、23 17、2 18、24 19、-28 20、9/1621、1 22、10 23、-1/12 24、104/3 25、9 26、1427、-3128、-81又1/81 29、-9 30、-2931、-1/5 32、91、【答案】(1)17;(2(3)31;(4)-112、【答案】(1)-10;(2)22;(3)-16;(43、【答案】(1)1;(2)0;(3)42;(4(5)18;(6)0;(7)-4.64;(8(9)8;(104、【答案】(1)22;(2)0;(3)-17;(4(5)(6)-95;(7)-85;(8)6 .5、【答案】(1)3;(2)1;(3)-54;(4)0;(5(6)-20;(7)-2;(86、【答案】(1)-80;(2)5.6;(3)-2;(4)16;(5)-复习有理数的乘除、乘方运算测试题一、填空题(每小题3分,共30分)1.3×(-2)=________,(-6=________.2.(-3)2的底数是________,成果是;-32的底数是________,成果是________.3=________=________;(+8)÷(-=________.4.233=________2=________.5________=1________=-162.4=________.7.-32×(-5)23=________.83600________.9.________;________10①23________222________3③32________22)3________)2二、断定题(每小题1分,共5分)11.零除以任何数都得零()12.互为相反数的两个数的积为负数()13.如果ab>0,则a>0且b>0()14.1除以一个非零数的商叫做这个数的倒数()15.(-3)5暗示5个-3相乘()三、选择题(每小题3分,共21分)16.下列说法,其中错误的有①一个数与1相乘得原数;②一个数乘以-1得原数的相反数;③0乘以任何数得0;④同号两数相乘,符号不变.A.1个B.2个C.3个D.4个17.下列各对数:①1与1;②-1与1;③a-b与b-a;④-1与-1;⑤-5与|6|,其中互为倒数的是A.①②③B.①③⑤C.①③④D.①④18.下列各题中两个式子的值相等的是A.-23与(-2)3 B.32与23C.(-2)2与-22 D.|-2|与-|-2|19.下列结论中,其中正确的个数为①0的倒数是0;②一个不等于0的数的倒数的相反数与这个数的相反数的倒数相等;③其倒数等于自身的数是±1;④若a,b互为倒数,则-ab=-1.A.4 B.3C.2 D.120.下列各式中成果大于0的是A.1-910×3 B.(1-910)×3C.1-(9×3)10 D.(1-9)10×3 21.下列说法中正确的是A.一个数的平方必为正数B.一个数的平方必小于这个数的相对值C.一个数的平方必大于这个数D.一个数的平方不成能为负数22.用迷信记数法暗示的数2.89×104,原来是A.2890 B.2890000 C.28900 D.289000四、计算题(共35分)23.(3分)(-3)×(-5)×(+1224.(3分)-6÷(+3)÷(-4)×(+2)25.(3分)-5-626.(3分)(-81)÷16)27.(3分)-22×(-328.(3分)(-1)2000200120021)200329.(3分)(-2)×(-20011-200230.(331.(332.(3分)(-2.53)33.(5分)30五、解答题(934.已知A=a+a2+a3+……+a2000(1)若a=1,求A的值.(2)若a=-1,求A的值.一、1.-6 2 2.-3 9 3 -9 3-3245103平方公里9.>>><13.×14.√15.√三、16.A 17.D 18.A 19.B 21.D 22.C四、23.-90 24.1 25.-3 2627.15 28.1 29.-200230.1 31.30 3233.-4五、34.(1)2000 (2)0。
1. 先乘方,再乘除,最后加减;之袁州冬雪创作2. 同级运算,从左到右停止;3.如有括号,先做括号内的运算,按小括号、中括号、大括号依次停止.1、12411 ()()()23523+-++-+- 2、4(81)( 2.25)()169-÷-⨯-÷ 3、11(22)3(11)+--⨯- 4、31(12)()15(1)45+⨯--⨯-5、2232[3()2]23-⨯-⨯--6、33102(4)8-÷--7、)]21)21[(122--÷8、121)]3()2[(2⨯-⨯-9、)6(]32)5.0[(22-⨯--10、23533||()14714-⨯-÷11、—22—(—2)2—23+(—2)3 12、2223116(1)(3)(1)(3)22-⨯---÷-⨯-13、199711(1)(10.5)()312----⨯÷- 14、33514(1)(8)(3)[(2)5]217---⨯+-÷-+15、-10 + 8÷(-2 )2-(-4 )×(-3 ) 16、-49 + 2×(-3 )2 + (-6 )÷(-91)17、-14 + ( 1-0.5 )×31×[2×(-3)2] 18、(-2)2-2×[(-21)2-3×43]÷51.19、)8()4()6(52-÷---⨯20、0)132()43(2⨯+-+-21、6)12()4365127(÷-⨯+-22、22)4()5(25.0)4()85(-⨯-⨯--⨯- 23、)23232(21)21(2--⨯+- 24、[][]332)2(3)5(6)7(4-÷--+÷-⨯- 25、6-(-12)÷2)2(- 26、(-48)÷ 8 -(-5)÷2)21(- 27、42×)43()32(-+-÷ 0.25 28、()23)9181(-÷-29、()()333232÷---⨯-30、(-5)×6+(-125) ÷(-5)331、)251(4)5(25.0-⨯⨯-⨯-- 32、22)3(61)2132(1-+÷-+- 1、【基础题】计算:(1)618-÷)(-)(-312⨯; (2))(-+51232⨯;(3))(-)(-49⨯+)(-60÷12; (4)23)(-×[ )+(--9532 ]. (1))(-)+(-2382⨯; (2)100÷22)(--)(-2÷)(-32; (3))(-4÷)(-)(-343⨯; (4))(-31÷231)(--3214)(-⨯.(1)36×23121)-(; (2)12.7÷)(-1980⨯; (3)6342+)(-⨯;(4))(-43×)-+(-31328;(5)1323-)(-÷)(-21; (6)320-÷34)(-81-; (7)236.15.02)-(-)(-⨯÷22)(-; (8))(-23×[2322-)(- ]; (9)[ 2253)-(-)(- ]÷)(-2;(10)16÷)(-)-(-)(-48123⨯.(1)11+(-22)-3×(-11); (2)0313243⨯⨯)-(-)(-; (3)2332-)(-;(4)23÷[ )-(-)(-423];(5))-(8743÷)(-87; (6))+()(-654360⨯;(7)-27+2×()23-+(-6)÷()231-; (8))(-)-+-(-4151275420361⨯⨯. (1))-(-258÷)(-5; (2)-33121)(--⨯;(3)223232)-(-)(-⨯⨯;(4)0132432⨯⨯)+(-)(-; (5))(-+51262⨯; (6)-10+8÷()22--4×3;(7)-51-()()[]55.24.0-⨯-; (8)()251--(1-0.5)×31;(1)(-8)×5-40; (2)(-1.2)÷(-13)-(-2);(3)-20÷5×14+5×(-3)÷15; (4)-3[-5+(1-0.2÷35)÷(-2)];(5)-23÷153×(-131)2÷(132)2; (6)-52+(1276185+-)×(-2.4) 参考答案1、-1/52、-13、224、95、96、 07、-488、-19、-15 10、-15/34311、-24 12、-89 13、3 14、2 15、-2016、23 17、2 18、24 19、-28 20、9/1621、1 22、10 23、-1/12 24、104/3 25、9 26、1427、-3128、-81又1/81 29、-9 30、-29 31、-1/5 32、91、【答案】 (1)17; (2)511; (3)31; (4)-112、【答案】 (1)-10; (2)22; (3)-16; (4)-253、【答案】 (1)1; (2)0; (3)42; (4)423; (5)18; (6)0; (7)-4.64;(8)37; (9)8; (10)-25.4、【答案】 (1)22; (2)0; (3)-17; (4)-423; (5)71;(6)-95; (7)-85;(8)6 .5、【答案】 (1)3; (2)1; (3)-54; (4)0; (5)526; (6)-20; (7)-2; (8)-67.6、【答案】(1)-80; (2)5.6; (3)-2; (4)16; (5)-516复习 有理数的乘除、乘方运算测试题一、填空题(每小题3分,共30分) 1.3×(-2)=________,(-6)×(-31)=________. 2.(-3)2的底数是________,成果是________;-32的底数是________,成果是________.3.(-61)÷(+23)=________;-493÷(-176)=________;(+8)÷(-41)=________. 4.23×(-41)3=________;(-91)÷(+34)2=________.5.(-32)×________=1;(-32)×________=-16.-65×(-2.4)×(-53)=________.7.-32×(-5)2÷(-21)3=________.8.我国台湾省的面积约为3600平方公里,用迷信记数法暗示为________. 9.+121的倒数是________;________的倒数是-54. 10.用“>”“<”填空: ①23________22②(21)2________(21)3 ③32________22④(-2)3________(-2)2二、断定题(每小题1分,共5分) 11.零除以任何数都得零( )12.互为相反数的两个数的积为负数( ) 13.如果ab >0,则a >0且b >0( )14.1除以一个非零数的商叫做这个数的倒数( ) 15.(-3)5暗示5个-3相乘( ) 三、选择题(每小题3分,共21分) 16.下列说法,其中错误的有①一个数与1相乘得原数;②一个数乘以-1得原数的相反数;③0乘以任何数得0;④同号两数相乘,符号不变.A .1个B .2个C .3个D .4个17.下列各对数:①1与1;②-1与1;③a -b 与b -a ;④-1与-1;⑤-5与|6|,其中互为倒数的是A .①②③B .①③⑤C .①③④D .①④ 18.下列各题中两个式子的值相等的是A .-23与(-2)3B .32与23C .(-2)2与 -22D .|-2|与-|-2| 19.下列结论中,其中正确的个数为①0的倒数是0;②一个不等于0的数的倒数的相反数与这个数的相反数的倒数相等;③其倒数等于自身的数是±1;④若a ,b 互为倒数,则-ab=-1.A .4B .3C .2D .1 20.下列各式中成果大于0的是 A .1-910×3 B .(1-910)×3 C .1-(9×3)10 D .(1-9)10×3 21.下列说法中正确的是 A .一个数的平方必为正数B .一个数的平方必小于这个数的相对值C .一个数的平方必大于这个数D .一个数的平方不成能为负数22.用迷信记数法暗示的数2.89×104,原来是 A .2890 B .2890000 C .28900 D .289000 四、计算题(共35分)23.(3分)(-3)×(-5)×(+12)×(-21) 24.(3分)-6÷(+3)÷(-4)×(+2) 25.(3分)-5-6÷(-3)26.(3分)(-81)÷241×91÷(-16) 27.(3分)-22×(-3)÷5428.(3分)(-1)2000×(-1)2001×(-1)2002÷(-1)200329.(3分)(-2)×(-2001)×[-21-(-21)]×1-2002 30.(3分)-)45()45(5222-÷-⨯⨯ 31.(3分)(-5)2÷5×632.(3分)(-2.5)÷(-310)×(-3) 33.(5分)30×(21-31+53-109)五、解答题(9分)34.已知A=a+a2+a3+……+a2000 (1)若a=1,求A 的值. (2)若a=-1,求A 的值.参考答案一、1.-6 2 2.-3 9 3 -9 3.-91913-32 4.-81 -161 5.-2323 6.-1.2 7.1800 8.3.6×103平方公里 9.32 -14110.> > > <二、11.× 12.× 13.× 14.√ 15.√三、16.A 17.D 18.A 19.B 20.D 21.D 22.C 四、23.-90 24.1 25.-3 26.4127.15 28.1 29.-2002 30.1 31.30 32.-4933.-4 五、34.(1)2000 (2)0。
有理数加减乘除混合运算基础试题(含答案)1. 小明去商店买了一本书,价格为15.5元。
他还买了两包饼干,每包饼干的价格分别为3.2元和2.8元。
请计算小明的总花费。
解答:小明购买书的花费为15.5元,两包饼干的总花费为3.2元 +2.8元 = 6元。
所以小明的总花费为15.5元 + 6元 = 21.5元。
2. 小红在超市买了一条围巾,价格为25.8元。
她付了一张50元的钞票,收到了零钱后她又决定买一盒巧克力,价格为8.5元。
请问小红收到了多少零钱?解答:小红付了50元的钞票,然后购买围巾的价格为25.8元,剩下的钱为50元 - 25.8元 = 24.2元。
小红再买巧克力花费了8.5元,所以最后收到的零钱为24.2元 - 8.5元 = 15.7元。
3. 某电商网站在活动期间推出了一款手机,原价为2399元。
今天是双11,该手机享受8折优惠。
请计算该手机的最终价格。
解答:该手机原价为2399元,打8折后的价格为2399元 * 0.8 = 1919.2元。
所以该手机的最终价格为1919.2元。
4. 甲和乙两个人一起合作完成了一项工程,工程的总付款为8400元。
根据他们的实际贡献,甲应得到总付款的3/5,那么乙应得到多少钱?解答:甲应得到的付款额为8400元 * 3/5 = 5040元。
乙应得到的付款额为总付款减去甲的付款额,即8400元 - 5040元 = 3360元。
所以乙应得到3360元。
5. 一家餐馆购买了10箱鸡蛋,每箱鸡蛋有36个。
餐馆决定将这些鸡蛋平均分给4个厨师,还剩下多少个鸡蛋?解答:这家餐馆购买的鸡蛋总数为10箱 * 36个/箱 = 360个鸡蛋。
如果要平均分给4个厨师,每个厨师得到的鸡蛋数量为360个鸡蛋 / 4 = 90个鸡蛋。
所以剩下的鸡蛋数量为360个鸡蛋 - 90个鸡蛋 * 4 = 360个鸡蛋 - 360个鸡蛋 = 0个鸡蛋。
总结:以上是关于有理数加减乘除混合运算的基础试题及其答案。
1. 先乘方,再乘除,最后加减;2. 同级运算,从左到右进行;3. 如有括号,先做括号内的运算,按小括号、中括号、大括号依次进行。
1、12411()()()23523+-++-+- 2、4(81)( 2.25)()169-÷-⨯-÷ 3、11(22)3(11)+--⨯- 4、31(12)()15(1)45+⨯--⨯-5、2232[3()2]23-⨯-⨯--6、33102(4)8-÷--7、)]21)21[(122--÷8、121)]3()2[(2⨯-⨯-9、)6(]32)5.0[(22-⨯--10、23533||()14714-⨯-÷ 11、—22—(—2)2—23+(—2)3 12、2223116(1)(3)(1)(3)22-⨯---÷-⨯-13、199711(1)(10.5)()312----⨯÷- 14、33514(1)(8)(3)[(2)5]217---⨯+-÷-+15、-10 + 8÷(-2 )2-(-4 )×(-3 ) 16、-49 + 2×(-3 )2 + (-6 )÷(-91)17、-14 + ( 1-0.5 )×31×[2×(-3)2] 18、(-2)2-2×[(-21)2-3×43]÷51.19、)8()4()6(52-÷---⨯20、0)132()43(2⨯+-+- 21、6)12()4365127(÷-⨯+-22、22)4()5(25.0)4()85(-⨯-⨯--⨯- 23、)23232(21)21(2--⨯+- 24、[][]332)2(3)5(6)7(4-÷--+÷-⨯- 25、6-(-12)÷2)2(- 26、(-48)÷ 8 -(-5)÷2)21(-27、42×)43()32(-+-÷ 0.25 28、()23)9181(-÷-29、()()333232÷---⨯-30、(-5)×6+(-125) ÷(-5)331、)251(4)5(25.0-⨯⨯-⨯-- 32、22)3(61)2132(1-+÷-+- 1、【基础题】计算:(1)618-÷)(-)(-312⨯; (2))(-+51232⨯; (3))(-)(-49⨯+)(-60÷12; (4)23)(-×[ )+(--9532 ]. (1))(-)+(-2382⨯; (2)100÷22)(--)(-2÷)(-32;(3))(-4÷)(-)(-343⨯; (4))(-31÷231)(--3214)(-⨯. (1)36×23121)-(; (2)12.7÷)(-1980⨯; (3)6342+)(-⨯;(4))(-43×)-+(-31328; (5)1323-)(-÷)(-21; (6)320-÷34)(-81-;(7)236.15.02)-(-)(-⨯÷22)(-; (8))(-23×[ 2322-)(- ];(9)[ 2253)-(-)(- ]÷)(-2;(10)16÷)(-)-(-)(-48123⨯. (1)11+(-22)-3×(-11); (2)0313243⨯⨯)-(-)(-;(3)2332-)(-;(4)23÷[ )-(-)(-423]; (5))-(8743÷)(-87; (6))+()(-654360⨯; (7)-27+2×()23-+(-6)÷()231-; (8))(-)-+-(-4151275420361⨯⨯. (1))-(-258÷)(-5; (2)-33121)(--⨯; (3)223232)-(-)(-⨯⨯;(4)0132432⨯⨯)+(-)(-;(5))(-+51262⨯; (6)-10+8÷()22--4×3; (7)-51-()()[]55.24.0-⨯-; (8)()251--(1-0.5)×31; (1)(-8)×5-40; (2)(-1.2)÷(-13)-(-2);(3)-20÷5×14+5×(-3)÷15; (4)-3[-5+(1-0.2÷35)÷(-2)];(5)-23÷153×(-131)2÷(132)2; (6)-52+(1276185+-)×(-2.4)参考答案1、-1/52、-13、224、95、96、 07、-488、-19、-15 10、-15/34311、-24 12、-89 13、3 14、2 15、-20 16、23 17、2 18、24 19、-28 20、9/16 21、1 22、10 23、-1/12 24、104/3 25、9 26、1427、-3128、-81又1/81 29、-9 30、-29 31、-1/5 32、91、【答案】 (1)17; (2)511; (3)31; (4)-112、【答案】 (1)-10; (2)22; (3)-16; (4)-253、【答案】 (1)1; (2)0; (3)42; (4)423; (5)18; (6)0; (7)-4.64;(8)37; (9)8; (10)-25. 4、【答案】 (1)22; (2)0; (3)-17; (4)-423; (5)71; (6)-95; (7)-85;(8)6 . 5、【答案】 (1)3; (2)1; (3)-54; (4)0; (5)526; (6)-20; (7)-2; (8)-67.6、【答案】(1)-80; (2)5.6; (3)-2; (4)16; (5)-516; (6)-2.9复习 有理数的乘除、乘方运算测试题一、填空题(每小题3分,共30分) 1.3×(-2)=________,(-6)×(-31)=________. 2.(-3)2的底数是________,结果是________;-32的底数是________,结果是________.3.(-61)÷(+23)=________;-493÷(-176)=________;(+8)÷(-41)=________. 4.23×(-41)3=________;(-91)÷(+34)2=________.5.(-32)×________=1;(-32)×________=-16.-65×(-2.4)×(-53)=________.7.-32×(-5)2÷(-21)3=________.8.我国台湾省的面积约为3600平方公里,用科学记数法暗示为________. 9.+121的倒数是________;________的倒数是-54. 10.用“>”“<”填空: ①23________22②(21)2________(21)3 ③32________22④(-2)3________(-2)2二、判断题(每小题1分,共5分) 11.零除以任何数都得零( )12.互为相反数的两个数的积为负数( ) 13.如果ab >0,则a >0且b >0( )14.1除以一个非零数的商叫做这个数的倒数( ) 15.(-3)5暗示5个-3相乘( ) 三、选择题(每小题3分,共21分) 16.下列说法,其中错误的有①一个数与1相乘得原数;②一个数乘以-1得原数的相反数;③0乘以任何数得0;④同号两数相乘,符号不变.A .1个B .2个C .3个D .4个17.下列各对数:①1与1;②-1与1;③a -b 与b -a ;④-1与-1;⑤-5与|6|,其中互为倒数的是A .①②③B .①③⑤C .①③④D .①④ 18.下列各题中两个式子的值相等的是A .-23与(-2)3B .32与23C .(-2)2与 -22D .|-2|与-|-2| 19.下列结论中,其中正确的个数为①0的倒数是0;②一个不等于0的数的倒数的相反数与这个数的相反数的倒数相等;③其倒数等于自身的数是±1;④若a ,b 互为倒数,则-ab=-1.A .4B .3C .2D .1 20.下列各式中结果大于0的是 A .1-910×3 B .(1-910)×3 C .1-(9×3)10 D .(1-9)10×3 21.下列说法中正确的是 A .一个数的平方必为正数B .一个数的平方必小于这个数的绝对值C .一个数的平方必大于这个数D .一个数的平方不成能为负数22.用科学记数法暗示的数2.89×104,原来是 A .2890 B .2890000 C .28900 D .289000 四、计算题(共35分)23.(3分)(-3)×(-5)×(+12)×(-21) 24.(3分)-6÷(+3)÷(-4)×(+2) 25.(3分)-5-6÷(-3)26.(3分)(-81)÷241×91÷(-16) 27.(3分)-22×(-3)÷5428.(3分)(-1)2000×(-1)2001×(-1)2002÷(-1)200329.(3分)(-2)×(-2001)×[-21-(-21)]×1-2002 30.(3分)-)45()45(5222-÷-⨯⨯ 31.(3分)(-5)2÷5×632.(3分)(-2.5)÷(-310)×(-3) 33.(5分)30×(21-31+53-109)五、解答题(9分)34.已知A=a+a2+a3+……+a2000 (1)若a=1,求A 的值. (2)若a=-1,求A 的值.参考答案一、1.-6 2 2.-3 9 3 -9 3.-91913-32 4.-81 -161 5.-2323 6.-1.2 7.1800 8.3.6×103平方公里 9.32 -14110.> > > <二、11.× 12.× 13.× 14.√ 15.√三、16.A 17.D 18.A 19.B 20.D 21.D 22.C 四、23.-90 24.1 25.-3 26.4127.15 28.1 29.-2002 30.1 31.30 32.-4933.-4 五、34.(1)2000 (2)0。
1. 先乘方,再乘除,最后加减;2. 同级运算,从左到右进行;3. 如有括号,先做括号内的运算,按小括号、中括号、大括号依次进行。
1、12411 ()()()23523+-++-+-2、4(81)( 2.25)()169-÷-⨯-÷3、11(22)3(11)+--⨯-4、31(12)()15(1)45+⨯--⨯-5、2232[3()2]23-⨯-⨯--6、 33102(4)8-÷--7、)]21)21[(122--÷ 8、121)]3()2[(2⨯-⨯-9、)6(]32)5.0[(22-⨯-- 10、23533||()14714-⨯-÷223 3 222113、199711(1)(10.5)()312----⨯÷- 14、33514(1)(8)(3)[(2)5]217---⨯+-÷-+15、-10 + 8÷(-2 )2 -(-4 )×(-3 ) 16、-49 + 2×(-3 )2 + (-6 )÷(-91)17、-14 + ( 1-0.5 )×31×[2×(-3)2] 18、(-2)2-2×[(-21)2-3×43]÷51.19、)8()4()6(52-÷---⨯ 20、0)132()43(2⨯+-+-35722523、)23232(21)21(2--⨯+- 24、[][]332)2(3)5(6)7(4-÷--+÷-⨯-25、6-(-12)÷2)2(- 26、(-48)÷ 8 -(-5)÷2)21(-27、42×)43()32(-+-÷ 0.25 28、()23)9181(-÷-29、()()333232÷---⨯- 30、(-5)×6+(-125) ÷(-5)331、)251(4)5(25.0-⨯⨯-⨯-- 32、22)3(61)2132(1-+÷-+-1、【基础题】计算:(1)618-÷)(-)(-312⨯; (2))(-+51232⨯;(3))(-)(-49⨯+)(-60÷12; (4)23)(-×[ )+(--9532 ].(1))(-)+(-2382⨯; (2)100÷22)(--)(-2÷)(-32;(3))(-4÷)(-)(-343⨯; (4))(-31÷231)(--3214)(-⨯.(1)36×23121)-(; (2)12.7÷)(-1980⨯;(3)6342+)(-⨯; (4))(-43×)-+(-31328;(5)1323-)(-÷)(-21; (6)320-÷34)(-81-;(7)236.15.02)-(-)(-⨯÷22)(-; (8))(-23×[ 2322-)(- ];(9)[ 2253)-(-)(- ]÷)(-2; (10)16÷)(-)-(-)(-48123⨯.(1)11+(-22)-3×(-11); (2)0313243⨯⨯)-(-)(-;(3)2332-)(-; (4)23÷[ )-(-)(-423];(5))-(8743÷)(-87; (6))+()(-654360⨯;(7)-27+2×()23-+(-6)÷()231-; (8))(-)-+-(-4151275420361⨯⨯.(1))-(-258÷)(-5; (2)-33121)(--⨯;(3)223232)-(-)(-⨯⨯; (4)0132432⨯⨯)+(-)(-;(5))(-+51262⨯; (6)-10+8÷()22--4×3;(7)-51-()()[]55.24.0-⨯-; (8)()251--(1-0.5)×31;(1)(-8)×5-40; (2)(-1.2)÷(-13)-(-2);(3)-20÷5×14+5×(-3)÷15; (4)-3[-5+(1-0.2÷35)÷(-2)];(5)-23÷153×(-131)2÷(132)2; (6)-52+(1276185+-)×(-2.4)参考答案1、-1/52、-13、224、95、96、 07、-488、-19、-15 10、-15/34311、-24 12、-89 13、3 14、2 15、-20 16、23 17、2 18、24 19、-28 20、9/16 21、1 22、10 23、-1/12 24、104/3 25、9 26、14 27、-31 28、-81又1/81 29、-9 30、-29 31、-1/5 32、91、【答案】 (1)17; (2)511; (3)31; (4)-112、【答案】 (1)-10; (2)22; (3)-16; (4)-253、【答案】 (1)1; (2)0; (3)42; (4)423; (5)18; (6)0; (7)-4.64;(8)37; (9)8; (10)-25.4、【答案】 (1)22; (2)0; (3)-17; (4)-423; (5)71; (6)-95; (7)-85;(8)6 .5、【答案】 (1)3; (2)1; (3)-54; (4)0; (5)526; (6)-20; (7)-2; (8)-67. 6、【答案】(1)-80; (2)5.6; (3)-2; (4)16; (5)-516; (6)-2.9复习 有理数的乘除、乘方运算测试题一、填空题(每小题3分,共30分) 1.3×(-2)=________,(-6)×(-31)=________. 2.(-3)2的底数是________,结果是________;-32的底数是________,结果是________.3.(-61)÷(+23)=________;-493÷(-176)=________;(+8)÷(-41)=________.4.23×(-41)3=________;(-91)÷(+34)2=________.5.(-32)×________=1;(-32)×________=-16.-65×(-2.4)×(-53)=________.7.-32×(-5)2÷(-21)3=________.8.我国台湾省的面积约为3600平方公里,用科学记数法表示为________. 9.+121的倒数是________;________的倒数是-54. 10.用“>”“<”填空: ①23________22②(21)2________(21)3③32________22④(-2)3________(-2)2二、判断题(每小题1分,共5分) 11.零除以任何数都得零( )12.互为相反数的两个数的积为负数( ) 13.如果ab >0,则a >0且b >0( )14.1除以一个非零数的商叫做这个数的倒数( )15.(-3)5表示5个-3相乘( )三、选择题(每小题3分,共21分) 16.下列说法,其中错误的有①一个数与1相乘得原数;②一个数乘以-1得原数的相反数;③0乘以任何数得0;④同号两数相乘,符号不变.A .1个B .2个C .3个D .4个17.下列各对数:①1与1;②-1与1;③a -b 与b -a ;④-1与-1;⑤-5与|6|,其中互为倒数的是A .①②③B .①③⑤C .①③④D .①④ 18.下列各题中两个式子的值相等的是A .-23与(-2)3B .32与23C .(-2)2与 -22D .|-2|与-|-2| 19.下列结论中,其中正确的个数为①0的倒数是0;②一个不等于0的数的倒数的相反数与这个数的相反数的倒数相等;③其倒数等于自身的数是±1;④若a ,b 互为倒数,则-ab=-1.A .4B .3C .2D .1 20.下列各式中结果大于0的是A .1-910×3B .(1-910)×3C .1-(9×3)10D .(1-9)10×3 21.下列说法中正确的是 A .一个数的平方必为正数B .一个数的平方必小于这个数的绝对值C .一个数的平方必大于这个数D .一个数的平方不可能为负数22.用科学记数法表示的数2.89×104,原来是A .2890B .2890000C .28900D .289000四、计算题(共35分)23.(3分)(-3)×(-5)×(+12)×(-21) 24.(3分)-6÷(+3)÷(-4)×(+2) 25.(3分)-5-6÷(-3)26.(3分)(-81)÷241×91÷(-16)27.(3分)-22×(-3)÷5428.(3分)(-1)2000×(-1)2001×(-1)2002÷(-1)200329.(3分)(-2)×(-2001)×[-21-(-21)]×1-200230.(3分)-)45()45(5222-÷-⨯⨯31.(3分)(-5)2÷5×632.(3分)(-2.5)÷(-310)×(-3)33.(5分)30×(21-31+53-109)五、解答题(9分)34.已知A=a+a 2+a 3+……+a 2000(1)若a =1,求A 的值.(2)若a =-1,求A 的值.参考答案一、1.-6 2 2.-3 9 3 -9 3.-91 913 -32 4.-81 -161 5.-23 23 6.-1.2 7.1800 8.3.6×103平方公里 9.32 -141 10.> > > < 二、11.× 12.× 13.× 14.√ 15.√三、16.A 17.D 18.A 19.B 20.D 21.D 22.C四、23.-90 24.1 25.-3 26.41 27.15 28.1 29.-2002 30.1 31.30 32.-49 33.-4 五、34.(1)2000 (2)0。
有理数的加减乘除乘方混合运算专题训练(带答案)1)+(-3)×2答案:20改写:先做除法,再乘法和乘法,最后加减。
18-3*2*(-1)-6/(-2)=202)(-3)²+1/2÷(-2/3)×(-6/5)答案:8/5改写:先做除法,再乘法和乘法,最后加减。
(-3)^2+1/2/(-2/3)*(-6/5)=8/53)(-1/2)²-(-2/3)³×(-3/4)²-2/5答案:-49/144改写:同级运算,从左到右进行。
(-1/2)^2-(-2/3)^3*(-3/4)^2-2/5=-49/1444)(-1/2)²×(-2/3)³÷(-3/4)²-2/5答案:-25/162改写:先做乘方,再做乘除法,最后加减。
(-1/2)^2*(-2/3)^3/(-3/4)^2-2/5=-25/1625)(-5)×6+(-125)÷(-5)³答案:-24改写:先做除法,再乘法和乘法,最后加减。
-5*6+(-125)/(-5)^3=-246)(-4)²÷(-2/3)³×(-3/4)²-2/5答案:-51/4改写:先做乘方,再做乘除法,最后加减。
(-4)^2/(-2/3)^3*(-3/4)^2-2/5=-51/47)(-7)÷6-(-5)÷(-12)²答案:-191/216改写:先做乘方,再做除法,最后加减。
-7/6-(-5)/(-12)^2=-191/2168)(-81)÷(-2.25)×(-1)÷16答案:9/8改写:先做乘除法,最后加减。
(-81)/(-2.25)*(-1)/16=9/89)(-1/4)²-2/3×(-6/5)³答案:-217/200改写:先做乘方,再做乘除法,最后加减。
1. 先乘方,再乘除,最后加减;2. 同级运算,从左到右进行;3. 如有括号,先做括号内的运算,按小括号、中括号、大括号依次进行。
1、12411 ()()()23523+-++-+-2、4(81)( 2.25)()169-÷-⨯-÷3、11(22)3(11)+--⨯-4、31(12)()15(1)45+⨯--⨯-5、2232[3()2]23-⨯-⨯--6、 33102(4)8-÷--7、)]21)21[(122--÷ 8、121)]3()2[(2⨯-⨯-9、)6(]32)5.0[(22-⨯-- 10、23533||()14714-⨯-÷223 3 22231113、199711(1)(10.5)()312----⨯÷- 14、33514(1)(8)(3)[(2)5]217---⨯+-÷-+15、-10 + 8÷(-2 )2 -(-4 )×(-3 ) 16、-49 + 2×(-3 )2 + (-6 )÷(-91)17、-14 + ( 1-0.5 )×31×[2×(-3)2] 18、(-2)2-2×[(-21)2-3×43]÷51.19、)8()4()6(52-÷---⨯ 20、0)132()43(2⨯+-+-35722523、)23232(21)21(2--⨯+- 24、[][]332)2(3)5(6)7(4-÷--+÷-⨯-25、6-(-12)÷2)2(- 26、(-48)÷ 8 -(-5)÷2)21(-27、42×)43()32(-+-÷ 0.25 28、()23)9181(-÷-29、()()333232÷---⨯- 30、(-5)×6+(-125) ÷(-5)331、)251(4)5(25.0-⨯⨯-⨯-- 32、22)3(61)2132(1-+÷-+-1、【基础题】计算:(1)618-÷)(-)(-312⨯; (2))(-+51232⨯;(3))(-)(-49⨯+)(-60÷12; (4)23)(-×[ )+(--9532 ].(1))(-)+(-2382⨯; (2)100÷22)(--)(-2÷)(-32;(3))(-4÷)(-)(-343⨯; (4))(-31÷231)(--3214)(-⨯.(1)36×23121)-(; (2)12.7÷)(-1980⨯;(3)6342+)(-⨯; (4))(-43×)-+(-31328;(5)1323-)(-÷)(-21; (6)320-÷34)(-81-;(7)236.15.02)-(-)(-⨯÷22)(-; (8))(-23×[ 2322-)(- ];(9)[ 2253)-(-)(- ]÷)(-2; (10)16÷)(-)-(-)(-48123⨯.(1)11+(-22)-3×(-11); (2)0313243⨯⨯)-(-)(-;(3)2332-)(-; (4)23÷[ )-(-)(-423];(5))-(8743÷)(-87; (6))+()(-654360⨯;(7)-27+2×()23-+(-6)÷()231-; (8))(-)-+-(-4151275420361⨯⨯.(1))-(-258÷)(-5; (2)-33121)(--⨯;(3)223232)-(-)(-⨯⨯; (4)0132432⨯⨯)+(-)(-;(5))(-+51262⨯; (6)-10+8÷()22--4×3;(7)-51-()()[]55.24.0-⨯-; (8)()251--(1-0.5)×31;(1)(-8)×5-40; (2)(-1.2)÷(-13)-(-2);(3)-20÷5×14+5×(-3)÷15; (4)-3[-5+(1-0.2÷35)÷(-2)];(5)-23÷153×(-131)2÷(132)2; (6)-52+(1276185+-)×(-2.4)参考答案1、-1/52、-13、224、95、96、 07、-488、-19、-15 10、-15/34311、-24 12、-89 13、3 14、2 15、-20 16、23 17、2 18、24 19、-28 20、9/16 21、1 22、10 23、-1/12 24、104/3 25、9 26、14 27、-31 28、-81又1/81 29、-9 30、-29 31、-1/5 32、91、【答案】 (1)17; (2)511; (3)31; (4)-112、【答案】 (1)-10; (2)22; (3)-16; (4)-253、【答案】 (1)1; (2)0; (3)42; (4)423; (5)18; (6)0; (7)-4.64;(8)37; (9)8; (10)-25.4、【答案】 (1)22; (2)0; (3)-17; (4)-423; (5)71; (6)-95; (7)-85;(8)6 .5、【答案】 (1)3; (2)1; (3)-54; (4)0; (5)526; (6)-20; (7)-2; (8)-67. 6、【答案】(1)-80; (2)5.6; (3)-2; (4)16; (5)-516; (6)-2.9复习 有理数的乘除、乘方运算测试题一、填空题(每小题3分,共30分) 1.3×(-2)=________,(-6)×(-31)=________. 2.(-3)2的底数是________,结果是________;-32的底数是________,结果是________.3.(-61)÷(+23)=________;-493÷(-176)=________;(+8)÷(-41)=________.4.23×(-41)3=________;(-91)÷(+34)2=________.5.(-32)×________=1;(-32)×________=-16.-65×(-2.4)×(-53)=________.7.-32×(-5)2÷(-21)3=________.8.我国台湾省的面积约为3600平方公里,用科学记数法表示为________. 9.+121的倒数是________;________的倒数是-54. 10.用“>”“<”填空: ①23________22②(21)2________(21)3③32________22④(-2)3________(-2)2二、判断题(每小题1分,共5分) 11.零除以任何数都得零( )12.互为相反数的两个数的积为负数( ) 13.如果ab >0,则a >0且b >0( )14.1除以一个非零数的商叫做这个数的倒数( )15.(-3)5表示5个-3相乘( )三、选择题(每小题3分,共21分) 16.下列说法,其中错误的有①一个数与1相乘得原数;②一个数乘以-1得原数的相反数;③0乘以任何数得0;④同号两数相乘,符号不变.A .1个B .2个C .3个D .4个17.下列各对数:①1与1;②-1与1;③a -b 与b -a ;④-1与-1;⑤-5与|6|,其中互为倒数的是A .①②③B .①③⑤C .①③④D .①④ 18.下列各题中两个式子的值相等的是A .-23与(-2)3B .32与23C .(-2)2与 -22D .|-2|与-|-2| 19.下列结论中,其中正确的个数为①0的倒数是0;②一个不等于0的数的倒数的相反数与这个数的相反数的倒数相等;③其倒数等于自身的数是±1;④若a ,b 互为倒数,则-ab=-1.A .4B .3C .2D .1 20.下列各式中结果大于0的是A .1-910×3B .(1-910)×3C .1-(9×3)10D .(1-9)10×3 21.下列说法中正确的是 A .一个数的平方必为正数B .一个数的平方必小于这个数的绝对值C .一个数的平方必大于这个数D .一个数的平方不可能为负数22.用科学记数法表示的数2.89×104,原来是A .2890B .2890000C .28900D .289000四、计算题(共35分)23.(3分)(-3)×(-5)×(+12)×(-21) 24.(3分)-6÷(+3)÷(-4)×(+2) 25.(3分)-5-6÷(-3)26.(3分)(-81)÷241×91÷(-16)27.(3分)-22×(-3)÷5428.(3分)(-1)2000×(-1)2001×(-1)2002÷(-1)200329.(3分)(-2)×(-2001)×[-21-(-21)]×1-200230.(3分)-)45()45(5222-÷-⨯⨯31.(3分)(-5)2÷5×632.(3分)(-2.5)÷(-310)×(-3)33.(5分)30×(21-31+53-109)五、解答题(9分)34.已知A=a+a 2+a 3+……+a 2000(1)若a =1,求A 的值.(2)若a =-1,求A 的值.参考答案一、1.-6 2 2.-3 9 3 -9 3.-91 913 -32 4.-81 -161 5.-23 23 6.-1.2 7.1800 8.3.6×103平方公里 9.32 -141 10.> > > < 二、11.× 12.× 13.× 14.√ 15.√三、16.A 17.D 18.A 19.B 20.D 21.D 22.C四、23.-90 24.1 25.-3 26.41 27.15 28.1 29.-2002 30.1 31.30 32.-49 33.-4 五、34.(1)2000 (2)0。
1. 先乘方,再乘除,最后加减;之蔡仲巾千创作2. 同级运算,从左到右进行;3.如有括号,先做括号内的运算,按小括号、中括号、大括号依次进行。
1、12411 ()()()23523+-++-+- 2、4(81)( 2.25)()169-÷-⨯-÷ 3、11(22)3(11)+--⨯- 4、31(12)()15(1)45+⨯--⨯-5、2232[3()2]23-⨯-⨯--6、33102(4)8-÷--7、)]21)21[(122--÷8、121)]3()2[(2⨯-⨯-9、)6(]32)5.0[(22-⨯--10、23533||()14714-⨯-÷11、—22—(—2)2—23+(—2)3 12、2223116(1)(3)(1)(3)22-⨯---÷-⨯- 13、199711(1)(10.5)()312----⨯÷- 14、33514(1)(8)(3)[(2)5]217---⨯+-÷-+ 15、-10 + 8÷(-2 )2-(-4 )×(-3 ) 16、-49 + 2×(-3 )2 + (-6 )÷(-91)17、-14 + ( 1-0.5 )×31×[2×(-3)2] 18、(-2)2-2×[(-21)2-3×43]÷51.19、)8()4()6(52-÷---⨯20、0)132()43(2⨯+-+- 21、6)12()4365127(÷-⨯+-22、22)4()5(25.0)4()85(-⨯-⨯--⨯- 23、)23232(21)21(2--⨯+- 24、[][]332)2(3)5(6)7(4-÷--+÷-⨯-25、6-(-12)÷2)2(- 26、(-48)÷ 8 -(-5)÷2)21(-27、42×)43()32(-+-÷ 0.25 28、()23)9181(-÷-29、()()333232÷---⨯-30、(-5)×6+(-125) ÷(-5)3 31、)251(4)5(25.0-⨯⨯-⨯-- 32、22)3(61)2132(1-+÷-+-1、【基础题】计算:(1)618-÷)(-)(-312⨯; (2))(-+51232⨯;(3))(-)(-49⨯+)(-60÷12; (4)23)(-×[ )+(--9532 ]. (1))(-)+(-2382⨯; (2)100÷22)(--)(-2÷)(-32; (3))(-4÷)(-)(-343⨯; (4))(-31÷231)(--3214)(-⨯. (1)36×23121)-(; (2)12.7÷)(-1980⨯; (3)6342+)(-⨯;(4))(-43×)-+(-31328; (5)1323-)(-÷)(-21; (6)320-÷34)(-81-; (7)236.15.02)-(-)(-⨯÷22)(-; (8))(-23×[2322-)(- ]; (9)[ 2253)-(-)(- ]÷)(-2;(10)16÷)(-)-(-)(-48123⨯.(1)11+(-22)-3×(-11); (2)0313243⨯⨯)-(-)(-; (3)2332-)(-;(4)23÷[ )-(-)(-423];(5))-(8743÷)(-87; (6))+()(-654360⨯;(7)-27+2×()23-+(-6)÷()231-; (8))(-)-+-(-4151275420361⨯⨯.(1))-(-258÷)(-5; (2)-33121)(--⨯; (3)223232)-(-)(-⨯⨯;(4)0132432⨯⨯)+(-)(-; (5))(-+51262⨯; (6)-10+8÷()22--4×3;(7)-51-()()[]55.24.0-⨯-; (8)()251--(1-0.5)×31;(1)(-8)×5-40; (2)(-1.2)÷(-13)-(-2);(3)-20÷5×14+5×(-3)÷15; (4)-3[-5+(1-0.2÷35)÷(-2)]; (5)-23÷153×(-131)2÷(132)2; (6)-52+(1276185+-)×(-2.4) 参考答案1、-1/52、-13、224、95、96、 07、-488、-19、-15 10、-15/34311、-24 12、-89 13、3 14、2 15、-20 16、23 17、2 18、24 19、-28 20、9/16 21、1 22、10 23、-1/12 24、104/3 25、9 26、1427、-3128、-81又1/81 29、-9 30、-29 31、-1/5 32、9 1、【答案】 (1)17; (2)511; (3)31; (4)-11 2、【答案】 (1)-10; (2)22; (3)-16; (4)-25 3、【答案】 (1)1; (2)0; (3)42; (4)423; (5)18; (6)0; (7)-4.64;(8)37; (9)8; (10)-25.4、【答案】 (1)22; (2)0; (3)-17; (4)-423; (5)71; (6)-95; (7)-85;(8)6 .5、【答案】 (1)3; (2)1; (3)-54; (4)0; (5)526; (6)-20;(7)-2; (8)-67.6、【答案】(1)-80; (2)5.6; (3)-2; (4)16; (5)-516; (6)-2.9复习 有理数的乘除、乘方运算测试题一、填空题(每小题3分,共30分) 1.3×(-2)=________,(-6)×(-31)=________. 2.(-3)2的底数是________,结果是________;-32的底数是________,结果是________.3.(-61)÷(+23)=________;-493÷(-176)=________;(+8)÷(-41)=________. 4.23×(-41)3=________;(-91)÷(+34)2=________.5.(-32)×________=1;(-32)×________=-16.-65×(-2.4)×(-53)=________.7.-32×(-5)2÷(-21)3=________.8.我国台湾省的面积约为3600平方公里,用科学记数法暗示为________. 9.+121的倒数是________;________的倒数是-54. 10.用“>”“<”填空: ①23________22②(21)2________(21)3 ③32________22④(-2)3________(-2)2二、判断题(每小题1分,共5分) 11.零除以任何数都得零( )12.互为相反数的两个数的积为负数( ) 13.如果ab >0,则a >0且b >0( )14.1除以一个非零数的商叫做这个数的倒数( ) 15.(-3)5暗示5个-3相乘( ) 三、选择题(每小题3分,共21分) 16.下列说法,其中错误的有①一个数与1相乘得原数;②一个数乘以-1得原数的相反数;③0乘以任何数得0;④同号两数相乘,符号不变.A .1个B .2个C .3个D .4个17.下列各对数:①1与1;②-1与1;③a -b 与b -a ;④-1与-1;⑤-5与|6|,其中互为倒数的是A .①②③B .①③⑤C .①③④D .①④ 18.下列各题中两个式子的值相等的是A .-23与(-2)3B .32与23C .(-2)2与 -22D .|-2|与-|-2| 19.下列结论中,其中正确的个数为①0的倒数是0;②一个不等于0的数的倒数的相反数与这个数的相反数的倒数相等;③其倒数等于自身的数是±1;④若a ,b 互为倒数,则-ab=-1.A .4B .3C .2D .1 20.下列各式中结果大于0的是 A .1-910×3 B .(1-910)×3 C .1-(9×3)10 D .(1-9)10×3 21.下列说法中正确的是 A .一个数的平方必为正数B .一个数的平方必小于这个数的绝对值C .一个数的平方必大于这个数D .一个数的平方不成能为负数22.用科学记数法暗示的数2.89×104,原来是 A .2890 B .2890000 C .28900 D .289000 四、计算题(共35分)23.(3分)(-3)×(-5)×(+12)×(-21) 24.(3分)-6÷(+3)÷(-4)×(+2) 25.(3分)-5-6÷(-3)26.(3分)(-81)÷241×91÷(-16) 27.(3分)-22×(-3)÷5428.(3分)(-1)2000×(-1)2001×(-1)2002÷(-1)200329.(3分)(-2)×(-2001)×[-21-(-21)]×1-2002 30.(3分)-)45()45(5222-÷-⨯⨯ 31.(3分)(-5)2÷5×632.(3分)(-2.5)÷(-310)×(-3) 33.(5分)30×(21-31+53-109)五、解答题(9分)34.已知A=a+a2+a3+……+a2000 (1)若a=1,求A 的值. (2)若a=-1,求A 的值.参考答案一、1.-6 2 2.-3 9 3 -9 3.-91913-32 4.-81 -161 5.-2323 6.-1.2 7.1800 8.3.6×103平方公里 9.32 -14110.> > > <二、11.× 12.× 13.× 14.√ 15.√三、16.A 17.D 18.A 19.B 20.D 21.D 22.C 四、23.-90 24.1 25.-3 26.4127.15 28.1 29.-2002 30.1 31.30 32.-4933.-4 五、34.(1)2000 (2)0。
有理数的加减乘除乘方混合运算专题训练带答案1.先进行乘方,再进行乘除,最后进行加减运算。
2.同级运算从左到右进行。
3.如果有括号,先进行括号内的运算,按照小括号、中括号、大括号的顺序进行。
1.2+(-1)+3-(-1)2.(-81)/(-2.25)*(-1)/163.11+(-22)-3*(-11)4.(12)*(-1)-15*(-1)5.-3/2*(-32*(-2/3)^2-2)6.-23/(-4)^3-1/87.12/((-11/2)^2-2)8.(-2)^2*(-3)/129.(-0.5)^2-2/3*(-62)10.-22-(-2)^2-23+(-2)^311.|-14|*(-3/7)/1412.-62*(-1/2)^2-(-3)^2/(-1/2)^3*(-3)13.(-1)^(1997)-(1-0.5)/(-1/4)14.(-1)^3-(-8)+(-3)^3/((-2)^5+5)15.-10+8/(-2)^2-(-4)*(-3)16.-49+2*(-3)^2-(-6)/(-1/9)17.-14+(1-0.5)*1/3*(2*(-3)^2)18.(-2)^2-2*((-2)^2-3*4)/519.5*(-6)-(-4)^2/(-8)20.(-3/4)^2+(-2/3+1)*821.(7/12-5/6+3/4)*(-12)/622.(-5)*(-4)^2-0.25*(-5)*(-4)^2/823.(-1)^2*(-2)24.-42*((-7)/6)+(-5)^3-3/(-2)^325.6-(-12)/(-2)^226.(-48)/8-(-5)/(-12)^227.42*(-2/3)+(-3/4)/0.2528.(-81/9)/(-3)^229.-2*((-3)^2)-((-3)^3)/330.(-5)*6+(-125)/(-5)^331.-0.25*(-5)*4*(-1/25)32.-12+((21-2)/6)+(-3)^21.18 - 6 ÷ 3Simplify: 18 - 2 = 162.3 + 22 × (-2) × (-3)Simplify: 3 + 132 = 1353.(-9) × (-4) + (-60) ÷ 12Simplify: 36 + (-5) = 314.8 + (-3) × 2 × (-2)Simplify: 8 + 12 = 205.(-4) ÷ (-3/4) × (-3)Simplify: 4 × (-3) = -126.36 × (11/22 - 3/5)Simplify: 36 × (1/2 - 3/5) = 36 × (-1/10) = -3.67.(-3)2 × [-2/3 + (-5/9)]Simplify: 9 × (-1/3) = -38.100 ÷ (-2)2 - (-2) ÷ (-2/3)Simplify: 100 ÷ 4 - 3 = 229.(-1/3) ÷ (-1/2/3) - 4 × (-1/3)2Simplify: (-1/3) ÷ (-2/3) - 4 × 1/9 = 3/2 - 4/9 = 17/1810.12.7 ÷ (-8/19) × 3Simplify: 12.7 ÷ (-24/19) = -9.962511.321/2 × 3 + 6Simplify: 160.5 × 3 + 6 = 481.512.(-) (-8 + (-5))Simplify: -(-13) = 1313.-2 - 3/2Simplify: -4.514.23 ÷ [-2 - (-4) × (5/8)] ÷ (-7/8)Simplify: 23 ÷ [-2 + 10/8] ÷ (-7/8) = 23 ÷ [-1/4] ÷ (-7/8) = -6415.-72 + 2 × (-3)2 + (-6) ÷ (-1/3)2Simplify: -72 + 18 + (-6) ÷ (1/9) = -72 + 18 - 54 = -10816.8 - (-25) ÷ (-5)Simplify: 8 - 5 = 317.(-2) × 32 - (-2 × 3)2Simplify: -64 - 36 = -10018.(-60) × (35/4 + 6)Simplify: -60 × 47/4 = -70519.(-1347/6 - 20 + 5 - 12) × (-15 × 4)Simplify: (-1347/6 - 27) × (-60) =20.-13 - 2 × (-1)3Simplify: -13 + 2 = -1121.(-3/4)2 × (-2/3 + 1) Simplify: 9/16 × 1/3 = 3/1622.6 + 22 × (-3)Simplify: 6 - 66 = -6023.-10 + 8 ÷ (-2) - 4 × 3 Simplify: -10 + 4 - 12 = -1824.-15 - [(-0.4) × (-2.5)]5 Simplify: -15 - 1 = -1625.(-8) × 5 - 40Simplify: -4026.-20 ÷ 5 × 1/4 + 5 × (-3) ÷ 15 Simplify: -4 + (-1) = -527.-23 ÷ 13 × (-11)2 ÷ (12)2 Simplify: -23/156 × 121/144 = -121/4828.(-1)25 - (1 - 0.5) × 1/3Simplify: -1 + 1/6 = -5/629.(-1.2) ÷ (-1/3) - (-2)Simplify: 3.6 + 2 = 5.630.-3[-5 + (1 - 0.2 ÷ 3/5) ÷ (-2)] Simplify: -3[-5 + (1 - 2/3)] = -3[-3/3] = 331.-2/5 + (517/8 - 6 + 12) × (-2.4) Simplify: -2/5 - 31.5 = -157/10复有理数的乘除、乘方运算测试题一、填空题(每小题3分,共30分)1.3×(-2)= -6,(-6)×(-1)= 6.2.(-3)^2的底数是3,结果是9;-3^2的底数是-3,结果是-9.3.(-)÷(+14)= -955.07,-(+8)÷(-1)= 8,(+)÷(-22)= -.4.(-1)÷(+3/14)= -22/3,(-49/3)÷(+22)= -49/66,(-2)÷(+5/3)^2= -18/25.5.(-1)×(-33)= 33,(-1)×(-53)= 53.6.-1×(-2.4)×(-6/5)= 2.88.7.-32×(-5)^2÷(-2)^3= -100.8.我国省的面积约为3.6×10^5平方公里.9.+1/14的倒数是14,-2的倒数是-1/2.10.用">" "<" 填空:① 23.22② (-2) < 3③ 32.22④ (-2)3.(-2)2二、判断题(每小题1分,共5分)11.错误,任何数除以0都是未定义。
1. 先乘方,再乘除,最后加减;之迟辟智美创作2. 同级运算,从左到右进行;3.如有括号,先做括号内的运算,按小括号、中括号、年夜括号依次进行.1、12411 ()()()23523+-++-+- 2、4(81)( 2.25)()169-÷-⨯-÷ 3、11(22)3(11)+--⨯- 4、31(12)()15(1)45+⨯--⨯-5、2232[3()2]23-⨯-⨯--6、33102(4)8-÷--7、)]21)21[(122--÷8、121)]3()2[(2⨯-⨯-9、)6(]32)5.0[(22-⨯--10、23533||()14714-⨯-÷11、—22—(—2)2—23+(—2)3 12、2223116(1)(3)(1)(3)22-⨯---÷-⨯-13、199711(1)(10.5)()312----⨯÷- 14、33514(1)(8)(3)[(2)5]217---⨯+-÷-+15、-10 + 8÷(-2 )2-(-4 )×(-3 ) 16、-49 + 2×(-3 )2 + (-6 )÷(-91)17、-14 + ( 1-0.5 )×31×[2×(-3)2] 18、(-2)2-2×[(-21)2-3×43]÷51.19、)8()4()6(52-÷---⨯20、0)132()43(2⨯+-+-21、6)12()4365127(÷-⨯+-22、22)4()5(25.0)4()85(-⨯-⨯--⨯- 23、)23232(21)21(2--⨯+- 24、[][]332)2(3)5(6)7(4-÷--+÷-⨯- 25、6-(-12)÷2)2(- 26、(-48)÷ 8 -(-5)÷2)21(-27、42×)43()32(-+-÷ 0.25 28、()23)9181(-÷-29、()()333232÷---⨯-30、(-5)×6+(-125) ÷(-5)331、)251(4)5(25.0-⨯⨯-⨯-- 32、22)3(61)2132(1-+÷-+-1、【基础题】计算:(1)618-÷)(-)(-312⨯; (2))(-+51232⨯;(3))(-)(-49⨯+)(-60÷12; (4)23)(-×[ )+(--9532 ]. (1))(-)+(-2382⨯; (2)100÷22)(--)(-2÷)(-32; (3))(-4÷)(-)(-343⨯; (4))(-31÷231)(--3214)(-⨯.(1)36×23121)-(; (2)12.7÷)(-1980⨯; (3)6342+)(-⨯;(4))(-43×)-+(-31328; (5)1323-)(-÷)(-21; (6)320-÷34)(-81-; (7)236.15.02)-(-)(-⨯÷22)(-; (8))(-23×[ 2322-)(- ]; (9)[ 2253)-(-)(- ]÷)(-2;(10)16÷)(-)-(-)(-48123⨯.(1)11+(-22)-3×(-11); (2)0313243⨯⨯)-(-)(-; (3)2332-)(-;(4)23÷[ )-(-)(-423];(5))-(8743÷)(-87; (6))+()(-654360⨯;(7)-27+2×()23-+(-6)÷()231-; (8))(-)-+-(-4151275420361⨯⨯.(1))-(-258÷)(-5; (2)-33121)(--⨯;(3)223232)-(-)(-⨯⨯;(4)0132432⨯⨯)+(-)(-; (5))(-+51262⨯; (6)-10+8÷()22--4×3;(7)-51-()()[]55.24.0-⨯-; (8)()251--(1-0.5)×31;(1)(-8)×5-40; (2)(-1.2)÷(-13)-(-2);(3)-20÷5×14+5×(-3)÷15; (4)-3[-5+(1-0.2÷35)÷(-2)];(5)-23÷153×(-131)2÷(132)2; (6)-52+(1276185+-)×(-2.4)参考谜底1、-1/52、-13、224、95、96、 07、-488、-19、-15 10、-15/34311、-24 12、-89 13、3 14、2 15、-20 16、23 17、2 18、24 19、-28 20、9/16 21、1 22、10 23、-1/12 24、104/3 25、9 26、1427、-3128、-81又1/81 29、-9 30、-29 31、-1/5 32、91、【谜底】 (1)17; (2)511; (3)31; (4)-112、【谜底】 (1)-10; (2)22; (3)-16; (4)-253、【谜底】 (1)1; (2)0; (3)42; (4)423; (5)18; (6)0; (7)-4.64;(8)37; (9)8; (10)-25.4、【谜底】 (1)22; (2)0; (3)-17; (4)-423; (5)71; (6)-95; (7)-85;(8)6 .5、【谜底】 (1)3; (2)1; (3)-54; (4)0; (5)526; (6)-20; (7)-2; (8)-67.6、【谜底】(1)-80; (2)5.6; (3)-2; (4)16; (5)-516复习 有理数的乘除、乘方运算测试题一、填空题(每小题3分,共30分) 1.3×(-2)=________,(-6)×(-31)=________. 2.(-3)2的底数是________,结果是________;-32的底数是________,结果是________.3.(-61)÷(+23)=________;-493÷(-176)=________;(+8)÷(-41)=________. 4.23×(-41)3=________;(-91)÷(+34)2=________.5.(-32)×________=1;(-32)×________=-16.-65×(-2.4)×(-53)=________.7.-32×(-5)2÷(-21)3=________.8.我国台湾省的面积约为3600平方公里,用科学记数法暗示为________. 9.+121的倒数是________;________的倒数是-54. 10.用“>”“<”填空: ①23________22②(21)2________(21)3 ③32________22④(-2)3________(-2)2二、判断题(每小题1分,共5分) 11.零除以任何数都得零( )12.互为相反数的两个数的积为负数( ) 13.如果ab >0,则a >0且b >0( )14.1除以一个非零数的商叫做这个数的倒数( ) 15.(-3)5暗示5个-3相乘( ) 三、选择题(每小题3分,共21分) 16.下列说法,其中毛病的有①一个数与1相乘得原数;②一个数乘以-1得原数的相反数;③0乘以任何数得0;④同号两数相乘,符号不变.A .1个B .2个C .3个D .4个17.下列各对数:①1与1;②-1与1;③a -b 与b -a ;④-1与-1;⑤-5与|6|,其中互为倒数的是A .①②③B .①③⑤C .①③④D .①④ 18.下列各题中两个式子的值相等的是A .-23与(-2)3B .32与23C .(-2)2与 -22D .|-2|与-|-2| 19.下列结论中,其中正确的个数为①0的倒数是0;②一个不即是0的数的倒数的相反数与这个数的相反数的倒数相等;③其倒数即是自身的数是±1;④若a ,b 互为倒数,则-ab=-1.A .4B .3C .2D .1 20.下列各式中结果年夜于0的是 A .1-910×3 B .(1-910)×3 C .1-(9×3)10 D .(1-9)10×3 21.下列说法中正确的是 A .一个数的平方必为正数B .一个数的平方必小于这个数的绝对值C .一个数的平方必年夜于这个数D .一个数的平方不成能为负数22.用科学记数法暗示的数2.89×104,原来是 A .2890 B .2890000 C .28900 D .289000 四、计算题(共35分)23.(3分)(-3)×(-5)×(+12)×(-21) 24.(3分)-6÷(+3)÷(-4)×(+2) 25.(3分)-5-6÷(-3)26.(3分)(-81)÷241×91÷(-16) 27.(3分)-22×(-3)÷5428.(3分)(-1)2000×(-1)2001×(-1)2002÷(-1)200329.(3分)(-2)×(-2001)×[-21-(-21)]×1-2002 30.(3分)-)45()45(5222-÷-⨯⨯ 31.(3分)(-5)2÷5×632.(3分)(-2.5)÷(-310)×(-3) 33.(5分)30×(21-31+53-109)五、解答题(9分)34.已知A=a+a2+a3+……+a2000 (1)若a=1,求A 的值. (2)若a=-1,求A 的值.参考谜底一、1.-6 2 2.-3 9 3 -9 3.-91913-32 4.-81 -161 5.-2323 6.-1.2 7.1800 8.3.6×103平方公里 9.32 -14110.> > > <二、11.× 12.× 13.× 14.√ 15.√三、16.A 17.D 18.A 19.B 20.D 21.D 22.C 四、23.-90 24.1 25.-3 26.4127.15 28.1 29.-2002 30.1 31.30 32.-4933.-4 五、34.(1)2000 (2)0。
有理数加减乘除混合运算基础试题(含答案)数学练(一)有理数加减法运算练一、加减法法则、运算律的复A。
同号两数相加,取相同的符号,并把绝对值相加。
例如:(–3)+(–9)=(–12),85+(+15)=100.绝对值不相等的异号两数相加,取绝对值较大的加数的符号,并用较大的绝对值减去较小的绝对值。
例如:(–45) +(+23)=–22,(–1.35)+6.35=5.一个数同相加,仍得这个数。
例如:(–9)+ 0=–9,0 +(+15)=15.B。
加法交换律:a + b = b + a,加法结合律:(a + b) + c = a + (b + c)。
例如:(–1.76)+(–19.15)+ (–8.24)=-29.15,23+(–17)+(+7)+(–13)=0.3)+(–2)+5+(–8)=–2,(–4)+(+5)=1.C。
有理数的减法可以转化为正数来进行,转化的“桥梁”是减号(正号可以省略)或是加上被减数的相反数。
例如:a–b=a+(-b)。
即(–3)–(–5)=2,3–13–(–1)+(–5)=6.D。
加减混合运算可以统一为加法运算。
即a + b–c = a + b +(-c)。
例如:(–3)–(+5)+(–4)–(–10)=–2,1–4 + 3–5=–5,2.4 + 3.5–4.6 + 3.5=4.8,3–2+5–8=–2.二、综合提高题。
A XXX their blood pressure once a day in the afternoon。
The table below XXX blood pressure was 160 units last Sunday。
What is the XXX Friday?XXXXXX blood pressure (compared to us day) +30 units -20 units +17 units +18 units -20 unitsXXX: 160 + 30 - 20 + 17 + 18 - 20 = 185 units.Math Exercise 2: XXXA。
1.先乘方,再乘除,最后加减;2.令狐采学3. 同级运算,从左到右进行;4.如有括号,先做括号内的运算,按小括号、中括号、大括号依次进行。
1、12411 ()()()23523+-++-+-2、4(81)( 2.25)()169-÷-⨯-÷ 3、11(22)3(11)+--⨯- 4、31(12)()15(1)45+⨯--⨯-5、2232[3()2]23-⨯-⨯--6、33102(4)8-÷--7、)]21)21[(122--÷8、121)]3()2[(2⨯-⨯-9、)6(]32)5.0[(22-⨯--10、23533||()14714-⨯-÷11、—22—(—2)2—23+(—2)3 12、2223116(1)(3)(1)(3)22-⨯---÷-⨯-13、199711(1)(10.5)()312----⨯÷-14、33514(1)(8)(3)[(2)5]217---⨯+-÷-+15、-10 + 8÷(-2 )2-(-4 )×(-3 ) 16、-49 + 2×(-3 )2 + (-6 )÷(-91)17、-14 + ( 1-0.5 )×31×[2×(-3)2]18、(-2)2-2×[(-21)2-3×43]÷51.19、)8()4()6(52-÷---⨯20、0)132()43(2⨯+-+- 21、6)12()4365127(÷-⨯+-22、22)4()5(25.0)4()85(-⨯-⨯--⨯-23、)23232(21)21(2--⨯+- 24、[][]332)2(3)5(6)7(4-÷--+÷-⨯-25、6-(-12)÷2)2(- 26、(-48)÷ 8 -(-5)÷2)21(- 27、42×)43()32(-+-÷ 0.25 28、()23)9181(-÷-29、()()333232÷---⨯-30、(-5)×6+(-125) ÷(-5)331、)251(4)5(25.0-⨯⨯-⨯-- 32、22)3(61)2132(1-+÷-+-1、【基础题】计算:(1)618-÷)(-)(-312⨯; (2))(-+51232⨯; (3))(-)(-49⨯+)(-60÷12; (4)23)(-×[ )+(--9532 ].(1))(-)+(-2382⨯; (2)100÷22)(--)(-2÷)(-32; (3))(-4÷)(-)(-343⨯; (4))(-31÷231)(--3214)(-⨯. (1)36×23121)-(; (2)12.7÷)(-1980⨯; (3)6342+)(-⨯;(4))(-43×)-+(-31328; (5)1323-)(-÷)(-21; (6)320-÷34)(-81-;(7)236.15.02)-(-)(-⨯÷22)(-; (8))(-23×[ 2322-)(- ];(9)[ 2253)-(-)(- ]÷)(-2;(10)16÷)(-)-(-)(-48123⨯. (1)11+(-22)-3×(-11);(2)0313243⨯⨯)-(-)(-;(3)2332-)(-;(4)23÷[ )-(-)(-423]; (5))-(8743÷)(-87; (6))+()(-654360⨯; (7)-27+2×()23-+(-6)÷()231-; (8))(-)-+-(-4151275420361⨯⨯. (1))-(-258÷)(-5; (2)-33121)(--⨯; (3)223232)-(-)(-⨯⨯;(4)0132432⨯⨯)+(-)(-;(5))(-+51262⨯; (6)-10+8÷()22--4×3; (7)-51-()()[]55.24.0-⨯-; (8)()251--(1-0.5)×31;(1)(-8)×5-40; (2)(-1.2)÷(-13)-(-2);(3)-20÷5×14+5×(-3)÷15; (4)-3[-5+(1-0.2÷35)÷(-2)];(5)-23÷153×(-131)2÷(132)2; (6)-52+(1276185+-)×(-2.4) 参考答案1、-1/52、-13、224、95、96、 07、-48 8、-1 9、-15 10、-15/34311、-24 12、-89 13、3 14、2 15、-2016、23 17、2 18、24 19、-2820、9/1621、1 22、10 23、-1/12 24、104/3 25、926、1427、-3128、-81又1/81 29、-9 30、-29 31、-1/5 32、91、【答案】 (1)17; (2)511; (3)31; (4)-112、【答案】 (1)-10; (2)22; (3)-16; (4)-253、【答案】 (1)1; (2)0; (3)42; (4)423; (5)18; (6)0; (7)-4.64; (8)37; (9)8; (10)-25.4、【答案】 (1)22; (2)0; (3)-17; (4)-423;(5)71; (6)-95; (7)-85;(8)6 .5、【答案】 (1)3; (2)1; (3)-54; (4)0; (5)526; (6)-20; (7)-2; (8)-67.6、【答案】(1)-80; (2)5.6; (3)-2; (4)16; (5)-516; (6)-2.9复习 有理数的乘除、乘方运算测试题一、填空题(每小题3分,共30分) 1.3×(-2)=________,(-6)×(-31)=________. 2.(-3)2的底数是________,结果是________;-32的底数是________,结果是________.3.(-61)÷(+23)=________;-493÷(-176)=________;(+8)÷(-41)=________. 4.23×(-41)3=________;(-91)÷(+34)2=________.5.(-32)×________=1;(-32)×________=-16.-65×(-2.4)×(-53)=________.7.-32×(-5)2÷(-21)3=________.8.我国台湾省的面积约为3600平方公里,用科学记数法表示为________. 9.+121的倒数是________;________的倒数是-54. 10.用“>”“<”填空: ①23________22②(21)2________(21)3 ③32________22④(-2)3________(-2)2二、判断题(每小题1分,共5分) 11.零除以任何数都得零( )12.互为相反数的两个数的积为负数( ) 13.如果ab >0,则a >0且b >0( )14.1除以一个非零数的商叫做这个数的倒数( ) 15.(-3)5表示5个-3相乘( ) 三、选择题(每小题3分,共21分) 16.下列说法,其中错误的有 ①一个数与1相乘得原数;②一个数乘以-1得原数的相反数;③0乘以任何数得0;④同号两数相乘,符号不变.A .1个B .2个C .3个D .4个17.下列各对数:①1与1;②-1与1;③a -b 与b -a ;④-1与-1;⑤-5与|6|,其中互为倒数的是A .①②③B .①③⑤C .①③④D .①④ 18.下列各题中两个式子的值相等的是A .-23与(-2)3B .32与23C .(-2)2与 -22D .|-2|与-|-2| 19.下列结论中,其中正确的个数为 ①0的倒数是0;②一个不等于0的数的倒数的相反数与这个数的相反数的倒数相等;③其倒数等于自身的数是±1;④若a ,b 互为倒数,则-ab=-1.A .4B .3C .2D .1 20.下列各式中结果大于0的是 A .1-910×3 B .(1-910)×3 C .1-(9×3)10 D .(1-9)10×3 21.下列说法中正确的是 A .一个数的平方必为正数B .一个数的平方必小于这个数的绝对值C .一个数的平方必大于这个数D .一个数的平方不可能为负数22.用科学记数法表示的数2.89×104,原来是 A .2890 B .2890000 C .28900 D .289000 四、计算题(共35分)23.(3分)(-3)×(-5)×(+12)×(-21) 24.(3分)-6÷(+3)÷(-4)×(+2) 25.(3分)-5-6÷(-3)26.(3分)(-81)÷241×91÷(-16) 27.(3分)-22×(-3)÷5428.(3分)(-1)2000×(-1)2001×(-1)2002÷(-1)200329.(3分)(-2)×(-2001)×[-21-(-21)]×1-2002 30.(3分)-)45()45(5222-÷-⨯⨯ 31.(3分)(-5)2÷5×632.(3分)(-2.5)÷(-310)×(-3) 33.(5分)30×(21-31+53-109)五、解答题(9分)34.已知A=a+a2+a3+……+a2000 (1)若a=1,求A 的值. (2)若a=-1,求A 的值.参考答案一、1.-6 2 2.-3 9 3 -9 3.-91913-32 4.-81 -161 5.-2323 6.-1.2 7.1800 8.3.6×103平方公里 9.32 -14110.> > > <二、11.× 12.× 13.× 14.√ 15.√三、16.A 17.D 18.A 19.B 20.D 21.D 22.C四、23.-90 24.1 25.-3 26.4127.15 28.1 29.-2002 30.1 31.30 32.-4933.-4 五、34.(1)2000 (2)0。
1. 先乘方,再乘除,最后加减;2. 同级运算,从左到右进行;3. 如有括号,先做括号内的运算,按小括号、中括号、大括号依次进行。
1、12411 ()()()23523+-++-+-2、4(81)( 2.25)()169-÷-⨯-÷3、11(22)3(11)+--⨯-4、31(12)()15(1)45+⨯--⨯-5、2232[3()2]23-⨯-⨯--6、 33102(4)8-÷--7、)]21)21[(122--÷ 8、121)]3()2[(2⨯-⨯-9、)6(]32)5.0[(22-⨯-- 10、23533||()14714-⨯-÷11、—22—(—2)2—23+(—2)3 12、2223116(1)(3)(1)(3)22-⨯---÷-⨯-13、199711(1)(10.5)()312----⨯÷- 14、33514(1)(8)(3)[(2)5]217---⨯+-÷-+15、-10 + 8÷(-2 )2 -(-4 )×(-3 ) 16、-49 + 2×(-3 )2 + (-6 )÷(-91)17、-14 + ( 1-0.5 )×31×[2×(-3)2] 18、(-2)2-2×[(-21)2-3×43]÷51.19、)8()4()6(52-÷---⨯ 20、0)132()43(2⨯+-+-21、6)12()4365127(÷-⨯+- 22、22)4()5(25.0)4()85(-⨯-⨯--⨯-23、)23232(21)21(2--⨯+- 24、[][]332)2(3)5(6)7(4-÷--+÷-⨯-25、6-(-12)÷2)2(- 26、(-48)÷ 8 -(-5)÷2)21(-27、42×)43()32(-+-÷ 0.25 28、()23)9181(-÷-29、()()333232÷---⨯- 30、(-5)×6+(-125) ÷(-5)3 31、)251(4)5(25.0-⨯⨯-⨯-- 32、22)3(61)2132(1-+÷-+- 1、【基础题】计算:(1)618-÷)(-)(-312⨯; (2))(-+51232⨯; (3))(-)(-49⨯+)(-60÷12; (4)23)(-×[ )+(--9532 ]. (1))(-)+(-2382⨯; (2)100÷22)(--)(-2÷)(-32;(3))(-4÷)(-)(-343⨯; (4))(-31÷231)(--3214)(-⨯. (1)36×23121)-(; (2)12.7÷)(-1980⨯; (3)6342+)(-⨯; (4))(-43×)-+(-31328; (5)1323-)(-÷)(-21; (6)320-÷34)(-81-;(7)236.15.02)-(-)(-⨯÷22)(-; (8))(-23×[ 2322-)(- ];(9)[ 2253)-(-)(- ]÷)(-2; (10)16÷)(-)-(-)(-48123⨯. (1)11+(-22)-3×(-11); (2)0313243⨯⨯)-(-)(-;(3)2332-)(-; (4)23÷[ )-(-)(-423]; (5))-(8743÷)(-87; (6))+()(-654360⨯; (7)-27+2×()23-+(-6)÷()231-; (8))(-)-+-(-4151275420361⨯⨯. (1))-(-258÷)(-5; (2)-33121)(--⨯; (3)223232)-(-)(-⨯⨯; (4)0132432⨯⨯)+(-)(-;(5))(-+51262⨯; (6)-10+8÷()22--4×3; (7)-51-()()[]55.24.0-⨯-; (8)()251--(1-0.5)×31;(1)(-8)×5-40; (2)(-1.2)÷(-13)-(-2);(3)-20÷5×14+5×(-3)÷15; (4)-3[-5+(1-0.2÷35)÷(-2)];(5)-23÷153×(-131)2÷(132)2; (6)-52+(1276185+-)×(-2.4)参考答案1、-1/52、-13、224、95、96、 07、-488、-19、-15 10、-15/34311、-24 12、-89 13、3 14、2 15、-20 16、23 17、2 18、24 19、-28 20、9/16 21、1 22、10 23、-1/12 24、104/3 25、9 26、14 27、-31 28、-81又1/81 29、-9 30、-29 31、-1/5 32、91、【答案】 (1)17; (2)511; (3)31; (4)-112、【答案】 (1)-10; (2)22; (3)-16; (4)-253、【答案】 (1)1; (2)0; (3)42; (4)23; (5)18; (6)0; (7)-4.64;(8)37; (9)8; (10)-25. 4、【答案】 (1)22; (2)0; (3)-17; (4)-423; (5)71; (6)-95; (7)-85;(8)6 .5、【答案】 (1)3; (2)1; (3)-54; (4)0; (5)526; (6)-20; (7)-2; (8)-67. 6、【答案】(1)-80; (2)5.6; (3)-2; (4)16; (5)-516; (6)-2.9复习 有理数的乘除、乘方运算测试题一、填空题(每小题3分,共30分) 1.3×(-2)=________,(-6)×(-31)=________. 2.(-3)2的底数是________,结果是________;-32的底数是________,结果是________.3.(-61)÷(+23)=________;-493÷(-176)=________;(+8)÷(-41)=________. 4.23×(-41)3=________;(-91)÷(+34)2=________.5.(-32)×________=1;(-32)×________=-16.-65×(-2.4)×(-53)=________.7.-32×(-5)2÷(-21)3=________.8.我国台湾省的面积约为3600平方公里,用科学记数法表示为________. 9.+121的倒数是________;________的倒数是-54. 10.用“>”“<”填空: ①23________22②(21)2________(21)3③32________22④(-2)3________(-2)2二、判断题(每小题1分,共5分) 11.零除以任何数都得零( )12.互为相反数的两个数的积为负数( ) 13.如果ab >0,则a >0且b >0( )14.1除以一个非零数的商叫做这个数的倒数( )15.(-3)5表示5个-3相乘( ) 三、选择题(每小题3分,共21分) 16.下列说法,其中错误的有①一个数与1相乘得原数;②一个数乘以-1得原数的相反数;③0乘以任何数得0;④同号两数相乘,符号不变.A .1个B .2个C .3个D .4个17.下列各对数:①1与1;②-1与1;③a -b 与b -a ;④-1与-1;⑤-5与|6|,其中互为倒数的是A .①②③B .①③⑤C .①③④D .①④ 18.下列各题中两个式子的值相等的是A .-23与(-2)3B .32与23C .(-2)2与 -22D .|-2|与-|-2| 19.下列结论中,其中正确的个数为①0的倒数是0;②一个不等于0的数的倒数的相反数与这个数的相反数的倒数相等;③其倒数等于自身的数是±1;④若a ,b 互为倒数,则-ab=-1.A .4B .3C .2D .1 20.下列各式中结果大于0的是A .1-910×3B .(1-910)×3C .1-(9×3)10D .(1-9)10×3 21.下列说法中正确的是 A .一个数的平方必为正数B .一个数的平方必小于这个数的绝对值C .一个数的平方必大于这个数D .一个数的平方不可能为负数22.用科学记数法表示的数2.89×104,原来是A .2890B .2890000C .28900D .289000 四、计算题(共35分)23.(3分)(-3)×(-5)×(+12)×(-21) 24.(3分)-6÷(+3)÷(-4)×(+2) 25.(3分)-5-6÷(-3)26.(3分)(-81)÷241×91÷(-16) 27.(3分)-22×(-3)÷5428.(3分)(-1)2000×(-1)2001×(-1)2002÷(-1)200329.(3分)(-2)×(-2001)×[-21-(-21)]×1-2002 30.(3分)-)45()45(5222-÷-⨯⨯ 31.(3分)(-5)2÷5×632.(3分)(-2.5)÷(-310)×(-3) 33.(5分)30×(21-31+53-109)五、解答题(9分) 34.已知A=a+a 2+a 3+……+a 2000(1)若a =1,求A 的值. (2)若a =-1,求A 的值.参考答案一、1.-6 2 2.-3 9 3 -9 3.-91 913 -32 4.-81 -161 5.-23 23 6.-1.2 7.1800 8.3.6×103平方公里9.32 -14110.> > > < 二、11.× 12.× 13.× 14.√ 15.√三、16.A 17.D 18.A 19.B 20.D 21.D 22.C 四、23.-90 24.1 25.-3 26.4127.15 28.1 29.-2002 30.1 31.30 32.-4933.-4 五、34.(1)2000 (2)0。
1.先乘方,再乘除,最后加减;2.同级运算,从左到右进行;3.如有括号,先做括号内的运算,按小括号、中括号、大括号依次进行。
1、12411()()()23523 2、4(81)( 2.25)()1693、11(22)3(11) 4、31(12)()15(1)455、2232[3()2]236、33102(4)87、)]21)21[(1228、121)]3()2[(29、)6(]32)5.0[(2210、23533||()14714223 322231113、199711(1)(10.5)()31214、33514(1)(8)(3)[(2)5]21715、-10 + 8÷(-2 )2-(-4 )×(-3 ) 16、-49 + 2×(-3 )2+ (-6 )÷(-91)17、-14+ ( 1-0.5 )×31×[2×(-3)2] 18、(-2)2-2×[(-21)2-3×43]÷51.19、)8()4()6(5220、0)132()43(235722523、)23232(21)21(224、332)2(3)5(6)7(425、6-(-12)÷2)2( 26、(-48)÷ 8-(-5)÷2)21(27、42×)43()32(÷ 0.25 28、23)9181(29、33323230、(-5)×6+(-125) ÷(-5)331、)251(4)5(25.0 32、22)3(61)2132(11、【基础题】计算:(1)618-÷)(-)(-312;(2))(-+51232;(3))(-)(-49+)(-60÷12;(4)23)(-×[ )+(--9532 ]. (1))(-)+(-2382;(2)100÷22)(--)(-2÷)(-32;(3))(-4÷)(-)(-343;(4))(-31÷231)(--3214)(-.(1)36×23121)-(;(2)12.7÷)(-1980;(3)6342+)(-;(4))(-43×)-+(-31328;(5)1323-)(-÷)(-21;(6)320-÷34)(-81-;(7)236.15.02)-(-)(-÷22)(-;(8))(-23×[ 2322-)(- ];(9)[ 2253)-(-)(- ]÷)(-2;(10)16÷)(-)-(-)(-48123.(1)11+(-22)-3×(-11);(2)0313243)-(-)(-;(3)2332-)(-;(4)23÷[ )-(-)(-423];(5))-(8743÷)(-87;(6))+()(-654360;(7)-27+2×23+(-6)÷231;(8))(-)-+-(-4151275420361.(1))-(-258÷)(-5;(2)-33121)(--;(3)223232)-(-)(-;(4)0132432)+(-)(-;(5))(-+51262;(6)-10+8÷22-4×3;(7)-51-55.24.0;(8)251-(1-0.5)×31;(1)(-8)×5-40;(2)(-1.2)÷(-13)-(-2);(3)-20÷5×14+5×(-3)÷15;(4)-3[-5+(1-0.2÷35)÷(-2)];(5)-23÷153×(-131)2÷(132)2;(6)-52+(1276185)×(-2.4)参考答案1、-1/52、-13、224、95、96、 07、-488、-19、-15 10、-15/343 11、-24 12、-89 13、3 14、2 15、-20 16、23 17、2 18、24 19、-28 20、9/16 21、1 22、10 23、-1/12 24、104/3 25、9 26、14 27、-31 28、-81又1/81 29、-9 30、-29 31、-1/5 32、9 1、【答案】(1)17;(2)511;(3)31;(4)-112、【答案】(1)-10;(2)22;(3)-16;(4)-253、【答案】(1)1;(2)0;(3)42;(4)423;(5)18;(6)0;(7)-4.64;(8)37;(9)8;(10)-25.4、【答案】(1)22;(2)0;(3)-17;(4)-423;(5)71;(6)-95;(7)-85;(8)6 .5、【答案】(1)3;(2)1;(3)-54;(4)0;(5)526;(6)-20;(7)-2;(8)-67.6、【答案】(1)-80;(2)5.6;(3)-2;(4)16;(5)-516;(6)-2.9复习有理数的乘除、乘方运算测试题一、填空题(每小题3分,共30分)1.3×(-2)=________,(-6)×(-31)=________.2.(-3)2的底数是________,结果是________;-32的底数是________,结果是________.3.(-61)÷(+23)=________;-493÷(-176)=________;(+8)÷(-41)=________.4.23×(-41)3=________;(-91)÷(+34)2=________.5.(-32)×________=1;(-32)×________=-16.-65×(-2.4)×(-53)=________.7.-32×(-5)2÷(-21)3=________.8.我国台湾省的面积约为3600平方公里,用科学记数法表示为________.9.+121的倒数是________;________的倒数是-54.10.用“>”“<”填空:①23________22②(21)2________(21)3③32________22④(-2)3________(-2)2二、判断题(每小题1分,共5分)11.零除以任何数都得零()12.互为相反数的两个数的积为负数()13.如果ab >0,则a >0且b >0()14.1除以一个非零数的商叫做这个数的倒数()15.(-3)5表示5个-3相乘()三、选择题(每小题3分,共21分)16.下列说法,其中错误的有①一个数与1相乘得原数;②一个数乘以-1得原数的相反数;③0乘以任何数得0;④同号两数相乘,符号不变.A .1个B .2个C .3个D .4个17.下列各对数:①1与1;②-1与1;③a -b 与b -a ;④-1与-1;⑤-5与|6|,其中互为倒数的是A .①②③B .①③⑤C .①③④D .①④18.下列各题中两个式子的值相等的是A .-23与(-2)3B .32与23C .(-2)2与-22D .|-2|与-|-2|19.下列结论中,其中正确的个数为①0的倒数是0;②一个不等于0的数的倒数的相反数与这个数的相反数的倒数相等;③其倒数等于自身的数是±1;④若a ,b 互为倒数,则-ab=-1.A .4B .3C .2D .120.下列各式中结果大于0的是A .1-910×3 B .(1-910)×3C .1-(9×3)10D .(1-9)10×321.下列说法中正确的是A .一个数的平方必为正数B .一个数的平方必小于这个数的绝对值C .一个数的平方必大于这个数D .一个数的平方不可能为负数22.用科学记数法表示的数2.89×104,原来是A .2890B .2890000C .28900D .289000四、计算题(共35分)23.(3分)(-3)×(-5)×(+12)×(-21)24.(3分)-6÷(+3)÷(-4)×(+2)25.(3分)-5-6÷(-3)26.(3分)(-81)÷241×91÷(-16)27.(3分)-22×(-3)÷5428.(3分)(-1)2000×(-1)2001×(-1)2002÷(-1)200329.(3分)(-2)×(-2001)×[-21-(-21)]×1-200230.(3分)-)45()45(522231.(3分)(-5)2÷5×6 32.(3分)(-2.5)÷(-310)×(-3)33.(5分)30×(21-31+53-109)五、解答题(9分)34.已知A=a+a 2+a 3+……+a 2000(1)若a=1,求A 的值.(2)若a=-1,求A 的值.参考答案一、1.-6 2 2.-3 9 3 -9 3.-91913-32 4.-81-1615.-23236.-1.2 7.1800 8.3.6×103平方公里9.32-14110.>>><二、11.×12.×13.×14.√15.√三、16.A 17.D 18.A 19.B 20.D 21.D 22.C 四、23.-90 24.1 25.-3 26.4127.15 28.1 29.-2002 30.1 31.30 32.-4933.-4五、34.(1)2000 (2)0。
1. 先乘方,再乘除,最后加减;2. 同级运算,从左到右进行;3. 如有括号,先做括号内的运算,按小括号、中括号、大括号依次进行。
1、12411 ()()()23523+-++-+-2、4(81)( 2.25)()169-÷-⨯-÷3、11(22)3(11)+--⨯-4、31(12)()15(1)45+⨯--⨯-5、2232[3()2]23-⨯-⨯--6、 33102(4)8-÷--7、)]21)21[(122--÷ 8、121)]3()2[(2⨯-⨯-9、)6(]32)5.0[(22-⨯-- 10、23533||()14714-⨯-÷11、—22—(—2)2—23+(—2)3 12、2223116(1)(3)(1)(3)22-⨯---÷-⨯-13、199711(1)(10.5)()312----⨯÷- 14、33514(1)(8)(3)[(2)5]217---⨯+-÷-+15、-10 + 8÷(-2 )2 -(-4 )×(-3 ) 16、-49 + 2×(-3 )2 + (-6 )÷(-91)17、-14 + ( 1-0.5 )×31×[2×(-3)2] 18、(-2)2-2×[(-21)2-3×43]÷51.19、)8()4()6(52-÷---⨯ 20、0)132()43(2⨯+-+-21、6)12()4365127(÷-⨯+- 22、22)4()5(25.0)4()85(-⨯-⨯--⨯-23、)23232(21)21(2--⨯+- 24、[][]332)2(3)5(6)7(4-÷--+÷-⨯-25、6-(-12)÷2)2(- 26、(-48)÷ 8 -(-5)÷2)21(-27、42×)43()32(-+-÷ 0.25 28、()23)9181(-÷-29、()()333232÷---⨯- 30、(-5)×6+(-125) ÷(-5)3 31、)251(4)5(25.0-⨯⨯-⨯-- 32、22)3(61)2132(1-+÷-+- 1、【基础题】计算:(1)618-÷)(-)(-312⨯; (2))(-+51232⨯; (3))(-)(-49⨯+)(-60÷12; (4)23)(-×[ )+(--9532 ]. (1))(-)+(-2382⨯; (2)100÷22)(--)(-2÷)(-32;(3))(-4÷)(-)(-343⨯; (4))(-31÷231)(--3214)(-⨯. (1)36×23121)-(; (2)12.7÷)(-1980⨯; (3)6342+)(-⨯; (4))(-43×)-+(-31328; (5)1323-)(-÷)(-21; (6)320-÷34)(-81-;(7)236.15.02)-(-)(-⨯÷22)(-; (8))(-23×[ 2322-)(- ];(9)[ 2253)-(-)(- ]÷)(-2; (10)16÷)(-)-(-)(-48123⨯. (1)11+(-22)-3×(-11); (2)0313243⨯⨯)-(-)(-;(3)2332-)(-; (4)23÷[ )-(-)(-423]; (5))-(8743÷)(-87; (6))+()(-654360⨯; (7)-27+2×()23-+(-6)÷()231-; (8))(-)-+-(-4151275420361⨯⨯. (1))-(-258÷)(-5; (2)-33121)(--⨯; (3)223232)-(-)(-⨯⨯; (4)0132432⨯⨯)+(-)(-;(5))(-+51262⨯; (6)-10+8÷()22--4×3; (7)-51-()()[]55.24.0-⨯-; (8)()251--(1-0.5)×31;(1)(-8)×5-40; (2)(-1.2)÷(-13)-(-2);(3)-20÷5×14+5×(-3)÷15; (4)-3[-5+(1-0.2÷35)÷(-2)];(5)-23÷153×(-131)2÷(132)2; (6)-52+(1276185+-)×(-2.4)参考答案1、-1/52、-13、224、95、96、 07、-488、-19、-15 10、-15/34311、-24 12、-89 13、3 14、2 15、-20 16、23 17、2 18、24 19、-28 20、9/16 21、1 22、10 23、-1/12 24、104/3 25、9 26、14 27、-31 28、-81又1/81 29、-9 30、-29 31、-1/5 32、91、【答案】 (1)17; (2)511; (3)31; (4)-112、【答案】 (1)-10; (2)22; (3)-16; (4)-253、【答案】 (1)1; (2)0; (3)42; (4)23; (5)18; (6)0; (7)-4.64;(8)37; (9)8; (10)-25. 4、【答案】 (1)22; (2)0; (3)-17; (4)-423; (5)71; (6)-95; (7)-85;(8)6 .5、【答案】 (1)3; (2)1; (3)-54; (4)0; (5)526; (6)-20; (7)-2; (8)-67. 6、【答案】(1)-80; (2)5.6; (3)-2; (4)16; (5)-516; (6)-2.9复习 有理数的乘除、乘方运算测试题一、填空题(每小题3分,共30分) 1.3×(-2)=________,(-6)×(-31)=________. 2.(-3)2的底数是________,结果是________;-32的底数是________,结果是________.3.(-61)÷(+23)=________;-493÷(-176)=________;(+8)÷(-41)=________. 4.23×(-41)3=________;(-91)÷(+34)2=________.5.(-32)×________=1;(-32)×________=-16.-65×(-2.4)×(-53)=________.7.-32×(-5)2÷(-21)3=________.8.我国台湾省的面积约为3600平方公里,用科学记数法表示为________. 9.+121的倒数是________;________的倒数是-54. 10.用“>”“<”填空: ①23________22②(21)2________(21)3③32________22④(-2)3________(-2)2二、判断题(每小题1分,共5分) 11.零除以任何数都得零( )12.互为相反数的两个数的积为负数( ) 13.如果ab >0,则a >0且b >0( )14.1除以一个非零数的商叫做这个数的倒数( )15.(-3)5表示5个-3相乘( ) 三、选择题(每小题3分,共21分) 16.下列说法,其中错误的有①一个数与1相乘得原数;②一个数乘以-1得原数的相反数;③0乘以任何数得0;④同号两数相乘,符号不变.A .1个B .2个C .3个D .4个17.下列各对数:①1与1;②-1与1;③a -b 与b -a ;④-1与-1;⑤-5与|6|,其中互为倒数的是A .①②③B .①③⑤C .①③④D .①④ 18.下列各题中两个式子的值相等的是A .-23与(-2)3B .32与23C .(-2)2与 -22D .|-2|与-|-2| 19.下列结论中,其中正确的个数为①0的倒数是0;②一个不等于0的数的倒数的相反数与这个数的相反数的倒数相等;③其倒数等于自身的数是±1;④若a ,b 互为倒数,则-ab=-1.A .4B .3C .2D .1 20.下列各式中结果大于0的是A .1-910×3B .(1-910)×3C .1-(9×3)10D .(1-9)10×3 21.下列说法中正确的是 A .一个数的平方必为正数B .一个数的平方必小于这个数的绝对值C .一个数的平方必大于这个数D .一个数的平方不可能为负数22.用科学记数法表示的数2.89×104,原来是A .2890B .2890000C .28900D .289000 四、计算题(共35分)23.(3分)(-3)×(-5)×(+12)×(-21) 24.(3分)-6÷(+3)÷(-4)×(+2) 25.(3分)-5-6÷(-3)26.(3分)(-81)÷241×91÷(-16) 27.(3分)-22×(-3)÷5428.(3分)(-1)2000×(-1)2001×(-1)2002÷(-1)200329.(3分)(-2)×(-2001)×[-21-(-21)]×1-2002 30.(3分)-)45()45(5222-÷-⨯⨯ 31.(3分)(-5)2÷5×632.(3分)(-2.5)÷(-310)×(-3) 33.(5分)30×(21-31+53-109)五、解答题(9分) 34.已知A=a+a 2+a 3+……+a 2000(1)若a =1,求A 的值. (2)若a =-1,求A 的值.参考答案一、1.-6 2 2.-3 9 3 -9 3.-91 913 -32 4.-81 -161 5.-23 23 6.-1.2 7.1800 8.3.6×103平方公里9.32 -14110.> > > < 二、11.× 12.× 13.× 14.√ 15.√三、16.A 17.D 18.A 19.B 20.D 21.D 22.C 四、23.-90 24.1 25.-3 26.4127.15 28.1 29.-2002 30.1 31.30 32.-4933.-4 五、34.(1)2000 (2)0。
有理数的加减乘除及乘方(含答案)第一篇:有理数的加减乘除及乘方(含答案)有理数的加减乘除及乘方(1)(-1)×(-5)÷[(-3)+2×(-5)];2(2)一1一(1—0.5)×4×[4一(一2)];3(3)4-(-4)+(-3);2(4)(-4)⨯(-)+30÷(-6);34(5)(+3)+(-5)-4-(-2);(6)2(7)((8)(-3)-2÷试卷第1页,总2页341134×(-)×÷; 561151111+-)÷(-); 6321816+(-1)2014. 72(9)-18÷(-3)⨯(-1)+1;12(10)(11)[1-(1-0.5×(12)(-3)×(-2(13)(-4)⨯(-)+30÷(-6);1⎛132⎫-+⎪÷(-);42⎝3721⎭1)]×[-10+(-3)2];351)÷(-1);6434422(14)-2+[(-4)-(1-3)×2];(15)-3-(-9)+8(16)(1-13+)⨯(-48)64试卷第2页,总2页答案有出入,请仔细对照后使用参考答案解:(1)原式=(一1)×(一5)÷〔9+(一10)〕= 一5 ;(2)原式= 一1一111××〔4一(一8)〕= 一1一×12= 一3.23634(3)原式=4+4-3=5 ;(4)原式=16⨯(-)+(-5)=-12+(-5)=-17.(5)(+3)+(-5)-4-(-2)=3-5-4+2 =-41134×(-)×÷ 5611511135=-×××561141=-81111(7)(+-)÷(-)632187=-27-16×+116(6)2=-3-6+9 =0(8)(-3)3-24÷=(16+(-1)2014 7111+-)×(-18)632111=(+-)×(-18)632=-27-7+1 =-33 =-1+1=0.132(10)原式=(-+)⨯(-42)3721132=⨯(-42)-⨯(-42)+⨯(-42)3721=-14+18-4 =0.111(11)原式=[1-(1-)]×(-10+9)=×(-1)=-.66654(12)原式=-(3×´)=-2.65(9)原式=-18⨯(-)⨯(-)+1答案第1页,总2页 19答案有出入,请仔细对照后使用(13)原式=30+(-11)+(-10)+12=21.(14)原式=4+4-3=5(15)原式=16⨯(-)+(-5)=-12+(-5)=-17(16)原式=-16+[16-(1-9)×2]=-16+[16-(-16)]=-16+32=16 34答案第2页,总2页第二篇:有理数加减乘除法则(1)有理数的加法法则:① 同号两数相加,取相同的符号,并把绝对值相加;② 绝对值不等的异号两数相加,取绝对值较大数的符号,并用较大的绝对值减去较小的绝对值;③ 互为相反的两个数相加得0;④ 一个数同0相加,仍得这个数.(2)有理数加法的运算律:加法的交换律:a+b=b+a;加法的结合律:(a+b)+c = a +(b +c)用加法的运算律进行简便运算的基本思路是:先把互为相反数的数相加;把同分母的分数先相加;把符号相同的数先相加;把相加得整数的数先相加.2、有理数的减法(1)有理数减法法则:减去一个数等于加上这个数的相反数.(2)有理数减法常见的错误:顾此失彼,没有顾到结果的符号;仍用小学计算的习惯,不把减法变加法;只改变运算符号,不改变减数的符号,没有把减数变成相反数.(3)有理数加减混合运算步骤:先把减法变成加法,再按有理数加法法则进行运算;3、有理数的乘法(1)有理数乘法的法则:两个有理数相乘,同号得正,异号得负,并把绝对值相乘;任何数与0相乘都得0.(2)有理数乘法的运算律:交换律:ab=ba;结合律:(ab)c=a(bc);交换律:a(b+c)=ab+ac.(3)倒数的定义:乘积是1的两个有理数互为倒数,即ab=1,那么a和b互为倒数;倒数也可以看成是把分子分母的位置颠倒过来.4、有理数的除法有理数的除法法则:除以一个数,等于乘上这个数的倒数,0不能做除数.这个法则可以把除法转化为乘法;除法法则也可以看成是:两个数相除,同号得正,异号得负,并把绝对值相除,0除以任何一个不等于0的数都等于0.5、有理数的乘法(1)有理数的乘法的定义:求几个相同因数a的运算叫做乘方,乘方是一种运算,是几个相同的因数的特殊乘法运算,记做“n a”其中a叫做底数,表示相同的因数,n叫做指数,表示相同因数的个数,它所表示的意义是n个a相乘,不是n乘以a,乘方的结果叫做幂.(2)正数的任何次方都是正数,负数的偶数次方是正数,负数的奇数次方是负数6、有理数的混合运算(1)进行有理数混合运算的关建是熟练掌握加、减、乘、除、乘方的运算法则、运算律及运算顺序.比较复杂的混合运算,一般可先根据题中的加减运算,把算式分成几段,计算时,先从每段的乘方开始,按顺序运算,有括号先算括号里的,同时要注意灵活运用运算律简化运算.(2)进行有理数的混合运算时,应注意:一是要注意运算顺序,先算高一级的运算,再算低一级的运算;二是要注意观察,灵活运用运算律进行简便运算,以提高运算速度及运算能力.第三篇:有理数加减乘除混合运算基础试题(含答案)数学练习(一)〔有理数加减法运算练习〕一、加减法法则、运算律的复习。
数 学 练 习(一)〔有理数加减法运算练习〕一、加减法法则、运算律的复习。
A .△同号两数相加,取___相同的符号_______________,并把__绝对值相加__________________________。
1、(–3)+(–9)-12 2、85+(+15)-100 3、(–361)+(–332)-665 4、(–3.5)+(–532)-961△绝对值不相等的异号两数相加,取_绝对值较大的加数的符号________________________,并用________较大的绝对值减去较小的绝对值____________ _____________. 互为__________________的两个数相加得0。
1、(–45) +(+23)-222、(–1.35)+6.35-53、412+(–2.25) 4、(–9)+7-2△ 一个数同0相加,仍得___这个数__________。
1、(–9)+ 0=___-9___________;2、0 +(+15)=____15_________。
B .加法交换律:a + b = ____b+a_______ 加法结合律:(a + b) + c = ____a+(b+c)___________1、(–1.76)+(–19.15)+ (–8.24) -29.152、23+(–17)+(+7)+(–13)3、(+ 341)+(–253)+ 543+(–852)-24、52+112+(–52)-112C .有理数的减法可以转化为__正数___来进行,转化的“桥梁”是____(正号可以省略)或是(有理数减法法则)。
_____。
△减法法则:减去一个数,等于______加上这个数的相反数_________________________。
即a –b = a + ( -b )1、(–3)–(–5)-22、341–(–143)-5 3、0–(–7)-7D .加减混合运算可以统一为____加法___运算。
数 学 练 习(一)
〔有理数加减法运算练习〕
一、加减法法则、运算律的复习。
A .△同号两数相加,取___相同的符号_______________,并把__绝对值相加__________________________。
1、(–3)+(–9) 2、85+(+15) -12 100 3、(–361)+(–33
2) 4、(–3.5)+(–532)
-66
5 -96
1
△绝对值不相等的异号两数相加,取_绝对值较大的加数的符号________________________,并用________较大的绝对值减去较小的绝对值____________ _____________. 互为__________________的两个数相加得0。
1、(–45) +(+23)
2、(–1.35)+6.35
5
-22 3、4
1
2+(–2.25) 4、(–9)+7 0
-2
△ 一个数同0相加,仍得___这个数__________。
1、(–9)+ 0=___-9___________;
2、0 +(+15)=____15_________。
B 1、(–1.76)+(–19.15)+ (–8.24) 2、23+(–17)+(+7)+(–13)
-29.15 0
3、(+ 341)+(–253)+ 543+(–852)
4、52+112+(–5
2
)
-2 11
2
C .有理数的减法可以转化为__正数___来进行,转化的“桥梁”是____(正号可以省略)或是(有理数减法法
则)。
_____。
△减法法则:减去一个数,等于______加上这个数的相反数_________________________。
1、(–3)–(–5)
2、341–(–14
3
) 3、0–(–7) 2 5
7
D .加减混合运算可以统一为____加法___
1、(–3)–(+5)+(–4)–(–10)
2、341–(+5)–(–14
3
)+(–5) -2
-5
1、 1–4 + 3–5
2、–2.4 + 3.5–4.6 + 3.5
3、 3
81–253 + 58
7–852
-5 0
-2
二、综合提高题。
1、一个病人每天下午需要测量一次血压,下表是病人星期一至星期五收缩压的变化情况,该病人上个星期日的收缩压为160单位。
请算出星期五该病人的收缩压。
160+30-20+17+18-20=185
数 学 练 习 (二)
(乘除法法则、运算律的复习)
一、乘除法法则、运算律的复习。
A.有理数的乘法法则:两数相乘,同号得_正_______,异号得____负___,并把____绝对值相乘_______________。
任何数同0相乘,都得____0__。
1、(–4)×(–9)
2、(–5
2
)×81
3、(–6)×0
4、(–253)×13
5
1、 3的倒数是______,相反数是____,绝对值是____。
2、–4的倒数是____,相反数是____,绝对值是____。
1、 -3.5的倒数是_____,相反数是____,绝对值是____。
C.多个__________的数相乘,负因数的个数是________时,积是正数;负因数的个数是________时,积是负数。
几个数相乘,如果其中有因数为0,积等于_________。
1.(–5)×8×(–7)
2.(–6)×(–5)×(–7)
3.(–12)×2.45×0×9×100
D 1、100×(0.7–103–254+ 0.03) 3、(–11)×5
2
+(–11)×953
E.有理数的除法可以转化为_______来进行,转化的“桥梁”是____________。
除法法则一:除以一个不等于0的数,等于____________________________________。
除法法则二:两数相除,同号得_____,异号得_____,并把绝对值相_______. 0除以任何一个不等于0的数,都得____.
1. (–18)÷(–9)
2. (–63)÷(7)
3. 0÷(–105)
4. 1÷(–9)
F .有理数加减乘除混合运算,无括号时,“先________,后_________”,有括号时,先算括号内的,同级运算,
从_____到______. 计算时注意符号的确定,还要灵活应用运算律使运算简便。
二、加减乘除混合运算练习。
1. 3×(–9)+7×(–9)
2. 20–15÷(–5)
3. [
65÷(–21–3
1
)+281]÷(–181)
4. 冰箱开始启动时内部温度为10℃,如果每小时冰箱内部的温度降低5℃,那么3小时后冰箱内部的温度是多少?
5.体育课全班女生进行了百米测验,达标成绩为18秒,下面是第一小组8名女生的成绩记录,其中“+
数 学 练 习(三)
(有理数的乘方)
一、填空。
1、53
中,3是________,2是 _______,幂是_________.
2、-53
的底数是______,指数是______,读作________________,计算结果是_______.
3、-54
表示___________________________.结果是________.
4、地球离太阳约有150 000 000万千米,用科学记数法表示为___________万千米.
5、近似数3.04,精确到______位,有_______个有效数字。
6、 3.78×
107
是________位数。
7、 若a 为大于1的有理数,则 a ,
a
1, a
2
三者按照从小到大的顺序列为_______________.
8、 用四舍五入法得到的近似值0.380精确到________位,48.68万精确到_________位。
10、1.8亿精确到_________位,有效数字为_______________。
11、代数式( a + 2 )
2
+ 5取得最小值时的 a 的值为___________.
12、如果有理数a ,b 满足︱a -b ︱=b -a ,︱a ︱=2,︱b ︱=1,则( a + b )3
=__________.
二、 选择。
13、一个数的平方一定是( )
A.正数
B.负数
C.非正数
D.非负数 14、下面用科学记数法表示106 000,其中正确的是( )
A.1.06×10
5
B.10.6×
10
5
C.1.06×
10
6
D.1.06×
107
15、︱x -
21︱+ ( 2y+1 )2
=0 , 则x 2+y 3的值是( ) A .83 B. 81 C. -8
1 D. -83
16、若( b+1 )
2
+3︱a -2︱=0, 则a -2b 的值是
A. -4
B.0
C.4
D.2
三、 计算。
17、-10 + 8÷( -2 )2
-(-4)×(-3)
18、-49 + 2×( -3 )
2
+ ( -6 ) ÷ ( -
9
1
)
19、有一组数:(1,1,1),(2,4,8),(3,9,27),(4,16,64),…求第100组的三个数的和。
20、一杯饮料,第一次倒去一半,第二次倒去剩下的一半,……如此倒下去,第八次后剩下的饮料是原来的几分之几?。