中国历史朝代元对照表及各朝代皇帝
- 格式:doc
- 大小:143.00 KB
- 文档页数:11
历史朝代公元对照表及各朝代皇帝Modified by JACK on the afternoon of December 26, 2020中国历史朝代公元对照表及各朝代皇帝附注:1、商朝在约公元前14世纪盘庚迁都于殷,此后商也成为殷。
2、从西周前771开始公元前841年(西周共和元年)为中国历史确切纪年的开始。
3、春秋时代简称春秋,前770年-前476年(另一说,前770年-前403年),属于东周的一个时期,春秋时代周王的势力减弱,诸侯群雄纷争,齐桓公、晋文公、宋襄公、秦穆公、楚庄王相继称霸,史称“春秋五霸”。
(一说是齐桓公、晋文公、楚庄王、吴王阖闾、越王勾践)。
春秋时期之后是战国时期。
4、战国时代主要有秦、魏、韩、赵、楚、燕、齐等国。
5、西汉时期包括王莽建立的“新”王朝(公元8年—23年)。
王莽时期,爆发大规模的农民起义,建立了农民政权。
公元23年,新王莽政权灭亡。
公元25年,东汉王朝建立。
6、十六国这时期,在我国北方,先后存在过一些封建政权,其中有:汉(前赵)、成(成汉)、前凉、后赵(魏)、前燕、前秦、后燕、后秦、西秦、后凉、南凉、北凉、南燕、西凉、北燕、夏等国,历史上叫做“十六国”。
7、十国这时期,除后梁、后唐、后晋、后汉、后周外,还先后存在过一些封建政权,其中有:吴、前蜀、吴越、楚、闽、南汉、荆南(南平)、后蜀、南唐、北汉等国,历史上叫做“十国”朝代之历史评价中国最强大的朝代——唐朝中国最腐朽的朝代——明朝中国政治最清明的朝代——清朝(相对而言)中国人性最自由的朝代——唐朝、西汉中国疆土最广袤的朝代——元朝中国科技最鼎盛的朝代——清朝、西汉中国文化最繁荣的朝代——东周列国(春秋战国时代)、唐朝、宋朝、清朝中国最具改革思想的朝代——宋朝中国最因循守旧的朝代——明朝中国出好皇帝最多的朝代——清朝中国政治最黑暗的朝代——明朝中国最崇尚武力的朝代——春秋战国时代、元朝中国忠臣最多的朝代——宋朝中国酷刑最猖獗的朝代——商朝中国少数民族最和睦的朝代——清朝中国最大气磅礴的朝代——春秋战国时代、三国时代中国最动荡的朝代——东周列国;三国时代;魏晋南北朝;五代十国;宋、辽、西夏、蒙古、金争霸时代中国文化最束缚的时代——秦朝、清朝对中国5000年统一稳定贡献最大的朝代——秦朝、西汉、隋朝、元朝。
历史朝代公元对照表及各朝代皇帝Company Document number:WTUT-WT88Y-W8BBGB-BWYTT-19998中国历史朝代公元对照表及各朝代皇帝附注:1、商朝在约公元前14世纪盘庚迁都于殷,此后商也成为殷。
2、从西周前771开始公元前841年(西周共和元年)为中国历史确切纪年的开始。
3、春秋时代简称春秋,前770年-前476年(另一说,前770年-前403年),属于东周的一个时期,春秋时代周王的势力减弱,诸侯群雄纷争,齐桓公、晋文公、宋襄公、秦穆公、楚庄王相继称霸,史称“春秋五霸”。
(一说是齐桓公、晋文公、楚庄王、吴王阖闾、越王勾践)。
春秋时期之后是战国时期。
4、战国时代主要有秦、魏、韩、赵、楚、燕、齐等国。
5、西汉时期包括王莽建立的“新”王朝(公元8年—23年)。
王莽时期,爆发大规模的农民起义,建立了农民政权。
公元23年,新王莽政权灭亡。
公元25年,东汉王朝建立。
6、十六国这时期,在我国北方,先后存在过一些封建政权,其中有:汉(前赵)、成(成汉)、前凉、后赵(魏)、前燕、前秦、后燕、后秦、西秦、后凉、南凉、北凉、南燕、西凉、北燕、夏等国,历史上叫做“十六国”。
7、十国这时期,除后梁、后唐、后晋、后汉、后周外,还先后存在过一些封建政权,其中有:吴、前蜀、吴越、楚、闽、南汉、荆南(南平)、后蜀、南唐、北汉等国,历史上叫做“十国”朝代之历史评价中国最强大的朝代——唐朝中国最腐朽的朝代——明朝中国政治最清明的朝代——清朝(相对而言)中国人性最自由的朝代——唐朝、西汉中国疆土最广袤的朝代——元朝中国科技最鼎盛的朝代——清朝、西汉中国文化最繁荣的朝代——东周列国(春秋战国时代)、唐朝、宋朝、清朝中国最具改革思想的朝代——宋朝中国最因循守旧的朝代——明朝中国出好皇帝最多的朝代——清朝中国政治最黑暗的朝代——明朝中国最崇尚武力的朝代——春秋战国时代、元朝中国忠臣最多的朝代——宋朝中国酷刑最猖獗的朝代——商朝中国少数民族最和睦的朝代——清朝中国最大气磅礴的朝代——春秋战国时代、三国时代中国最动荡的朝代——东周列国;三国时代;魏晋南北朝;五代十国;宋、辽、西夏、蒙古、金争霸时代中国文化最束缚的时代——秦朝、清朝对中国5000年统一稳定贡献最大的朝代——秦朝、西汉、隋朝、元朝。
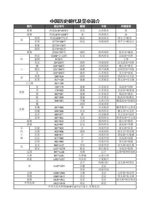
精选文档中国历史朝代顺序表及开国皇帝朝代起讫年代都城今地统治民族开国皇帝三皇五帝:“三皇“指伏羲、燧人、神农,“五帝”指黄帝、颛顼、帝喾、唐尧、虞舜夏朝①约前2146-1675 年安邑山西夏县华夏族禹商朝约前1675-1029 年亳河南商丘华夏族汤西约前1029-771年镐京陕西西安华夏族文王姬昌周朝春秋前770-476 年洛邑河南洛阳华夏族平王姬宜臼东战国前475-221 年华夏族先秦国君世系表秦朝前221-207 年来源:中国历史朝代咸阳陕西咸阳华夏族秦国历代国君始皇帝嬴政秦朝历代皇帝西汉前206-公元8年长安陕西西安汉族太祖刘邦②西汉皇帝列表新朝③9-23 年长安陕西西安汉族王莽汉朝玄汉23年2月~25年9月宛城洛阳长安河南南阳河南洛阳山西西安汉族更始帝刘玄东汉25-220 年洛阳河南洛阳汉族光武帝刘秀东汉皇帝列表曹魏220-265 年洛阳河南洛阳汉族魏文帝曹丕三国蜀汉221-263 年成都四川成都汉族汉昭烈帝刘备孙吴222-280 年建业江苏南京汉族吴大帝孙权精选文档后周951-960汴河南开封汉族周太祖郭威前蜀891-925成都四川成都汉族高祖王建后蜀925-965成都四川成都汉族高祖孟知祥杨吴892-937扬州江苏扬州汉族太祖杨行密南唐937-975金陵江苏南京汉族烈祖李昪吴越893-978杭州浙江杭州汉族武肃王钱鏐闽国893-945长乐福建福州汉族太祖王审知马楚896-951长沙湖南长沙汉族武穆王马殷南汉905-971兴王府广东广州汉族高祖刘龑南平907-963荆州湖北荆州汉族武信王咼季兴北汉951-979太原山西太原沙陀族世祖刘崇宋朝北宋960-1127开封河南开封汉族太祖赵匡胤宋朝皇帝列表南宋1127-1279临安浙江杭州汉族高宗赵构宋朝皇帝列表辽国907-1125皇都辽宁契丹族太祖耶律阿保机大理937-1254太和城云南大理白族太祖段思平西夏1032-1227兴庆府宁夏银川党项族景帝李兀昊金朝1115-1234会宁阿城(黑)女真族金太祖阿骨打都京中汴北京河南开封元朝1206-1368大都北京家古族元世祖忽必烈元朝皇帝列表明朝1368-1644北京北京汉族明太祖朱元璋明朝皇帝列表备注:①根据最新的夏商周断代工程的结论,夏朝应是公元前2070年〜公元前1600年,商朝是公元前1600年到公元前公元前1600年〜公元前1046年,西周是公元前1046年〜公元前771年。
中国历朝历代皇帝顺序及略记华夏族(黄帝)--4000多年前尧舜禹夏朝--约公元前22世纪-公元前17世纪商朝--约公元前17世纪初-公元前1046世纪周朝--约公元前1046世纪-公元前256年,分为西周,东周,东周又分为春秋,战国秦朝--公元前221-元前206年秦王(赢政)统一六国,之后项羽和刘邦为争夺帝位,进行了四年的楚汉战争。
西汉--公元前206年-公元25年,汉高祖(刘邦)->汉文帝(刘恒)->汉景帝(刘启)->汉武帝(刘彻) 东汉--公元25-220年(汉光武帝)刘秀三国--公元220-280 年刘备、曹操、孙权争夺天下晋朝--公元265-420年分为西晋,东晋南北朝--公元386-581年隋朝--公元581-公元618年隋文帝(杨坚)唐朝--公元618-907年李渊->唐太宗(李世民)->唐玄宗(李隆基)五代--公元907-960年后梁、后唐、后晋、后汉、后周五个朝代宋朝--公元960-1279 年,北宋宋太祖(赵匡胤)南宋(赵构)(公元1127-1279年)。
元朝--1271年-1368年,元世祖(忽必烈)是成吉思汗的孙子。
明朝--公元1368-1644年,朱元璋即明太祖。
清朝--公元1644-1911年顺治->康熙->雍正->乾隆->嘉庆->道光->咸丰->同治->光绪->宣统速记口诀:夏商和西周,东周分两段,春秋和战国,一统秦两汉,三分魏蜀吴,二晋前后延,南北朝并列,隋唐五代传,宋元明清后,皇朝至此完。
汉朝皇帝的排列顺序(不包括王莽建立的新朝)西汉王朝(公元前206年-公元8年),始于汉高祖刘邦,终于孺子婴,共12帝。
①汉高祖刘邦,字季,号沛公,谥号高皇帝,庙号高祖。
沛郡丰邑中阳里(现属江苏省徐州市丰县)人氏。
生于周赧王五十九年即公元前二五六年二月初八日。
他在兄弟四人中排行第三。
性情豁达大度, 知人善任。
中国朝代时间表&中国各朝代名称的来历朝代时间定都地址皇帝夏朝:约前2146-1675年安邑山西夏县禹商朝:约前1675-1029年亳河南商丘汤周朝:西周:约前1029-771年镐京陕西西安周武王姬发东周:前770-256年洛邑河南洛阳周平王姬宜臼春秋:前770-476年战国:前475-221年秦朝:前221-207年咸阳陕西咸阳始皇帝嬴政汉朝:西汉:前206-公元8年长安陕西西安汉高祖刘邦新朝:9-23年王莽东汉:25-220年洛阳河南洛阳汉光武帝刘秀三国:曹魏:220-265年洛阳河南洛阳魏文帝曹丕蜀汉:221-263年成都四川成都汉昭烈帝刘备孙吴:222-280年建业江苏南京吴大帝孙权晋朝:西晋:265-316 洛阳河南洛阳晋武帝司马炎东晋:317-420 建康江苏南京晋元帝司马睿十六国304-439南北朝:南朝:宋:420-479 建康江苏南京宋武帝刘裕齐:479-502 建康江苏南京齐高帝萧道成梁:502-557 建康江苏南京梁武帝萧衍陈:557-589 建康江苏南京陈武帝陈霸先北朝:北魏:386-534 平城山西大同魏道武帝拓跋珪洛阳河南洛阳东魏:534-550 邺河北临漳魏孝静帝元善见西魏:535-556 长安陕西西安魏文帝元宝炬北齐:550-577 邺河北临漳齐文宣帝高洋北周:557-581 长安陕西西安周孝闵帝宇文觉隋朝:581-618 大兴陕西西安隋文帝杨坚唐朝:618-907 长安陕西西安唐高祖李渊五代十国:后梁:907-923 汴河南开封梁太祖朱晃后唐:923-936 洛阳河南洛阳唐庄宗李存勖后晋:936-947 汴河南开封晋高祖石敬瑭后汉:947-950 汴河南开封汉高祖刘暠后周:951-960 汴河南开封周太祖郭威宋朝:北宋:960-1127 开封河南开封宋太祖赵匡胤南宋:1127-1279 临安浙江杭州宋高宗赵构辽国:907-1125 皇都辽宁辽国耶律阿保机大理:937-1254 太和城云南大理西夏:1032-1227 兴庆府宁夏银川金国:1115-1234 会宁阿城(黑) 金太祖阿骨打中都北京开封河南开封元朝:1206-1368 大都北京元世祖忽必烈明朝:1368-1644 北京北京明太祖朱元璋清朝:1616-1911 北京北京清世祖福临中华民国:1911-1949 南京中华人民共和国:1949- 北京中国朝代歌夏商与西周,东周分两段。
中国历史朝代公元对照表及各朝代皇帝
1、商朝在约公元前14世纪盘庚迁都于殷,此后商也成为殷。
2、从西周前771开始公元前841年(西周共和元年)为中国历史确切纪年的开始。
3、春秋时代简称春秋,前770年-前476年(另一说,前770年-前403年),属于东周的一个时期,春秋时代周王的势力减弱,诸侯群雄纷争,齐桓公、晋文公、宋襄公、秦穆公、
践)
4
5
6(成汉)
7
“
朝代之历史评价
中国最强大的朝代——唐朝
中国最腐朽的朝代——明朝
中国政治最清明的朝代——清朝(相对而言)
中国人性最自由的朝代——唐朝、西汉
中国疆土最广袤的朝代——元朝
中国科技最鼎盛的朝代——清朝、西汉
中国文化最繁荣的朝代——东周列国(春秋战国时代)、唐朝、宋朝、清朝。
中国历史朝代顺序
中国朝代顺序表:
夏朝、商朝、西周、东周(春秋、战国)、秦朝、西汉、新朝、东汉、三国(曹魏、蜀汉、东吴)、西晋、(东晋、五胡十六国)、南北朝【南朝(宋、齐、梁、陈);北朝(东魏、西魏、北齐、北周)】隋朝、唐朝、五代十国(后梁、后唐、后晋、后汉、后周;南吴、前蜀、吴越、楚、闽、南汉、荆南、后蜀、南唐、北汉)、宋(北宋、南宋)、辽、西夏、金、元朝、明朝、清朝;
中国朝代顺序表简易口诀举例如下:
1、黄虞夏商周,春秋战国秦,两汉三国晋,晋后南北分,隋唐五代宋,元明清及民。
2、夏商西周继,春秋战国承。
秦后西东汉,三国西东晋。
两晋南北朝,隋唐大一统。
五代和十国,宋辽与夏金。
元明清三代,中国疆土定。
3、黄夏商周春战秦,汉后三国接两晋。
南北二朝隋唐五,宋元明清依次轮。
4、三皇五帝始,尧舜禹相传;夏商与西周,东周分两段;春秋和战国,一统秦两汉;三分魏蜀吴,二晋前后沿;南北朝并立,隋唐五代传;宋元明清后,皇朝至此完。
5、唐尧虞舜夏商周,春秋战国乱悠悠,秦汉三国晋统一,南朝北朝是对头,隋唐五代又十国,宋元明清帝王休。
6、五帝夏商两周秦,西汉东汉三国晋。
凉燕赵,夏汉秦,北继胡,南承晋。
隋唐两宋夏辽金,蒙元明清中华
中国历史朝代顺序表及开国皇帝。
中国历史朝代顺序表、年表(完整珍藏版)蚂蚁侃名著18-05-3116:351、夏朝,起讫年代:约公元前2146-1675年,都城:安邑,现今地于山西夏县,统治民族:华夏族,开国皇帝:禹2、商朝,起讫年代:约公元前1675-1029年,都城:毫,现今地于河南商丘,统治民族:华夏族,开国皇帝:汤3、西周,起讫年代:约公元前1029-771年,都城:镐京,现今地于陕西西安,统治民族:华夏族,开国皇帝:周文王姬昌4、东周春秋、战国,起讫年代:约公元前770-221年,都城:洛邑,现今地于河南洛阳,统治民族:华夏族,开国皇帝:周平王姬宜臼5、秦朝,起讫年代:约公元前221-207年,都城:咸阳,现今地于陕西咸阳,统治民族:华夏族,开国皇帝:始皇帝嬴政秦朝疆域6、西汉,起讫年代:约公元前206-公元8年,都城:长安,现今地于陕西西安,统治民族:汉族,开国皇帝:高祖刘邦7、新朝,起讫年代:公元9-23年,都城:长安,现今地于陕西西安,统治民族:汉族,开国皇帝:王莽8、东汉,起讫年代:公元25-220年,都城:洛阳,现今地于河南洛阳,统治民族:汉族,开国皇帝:光武帝刘秀9、曹魏,起讫年代:公元220-265年,都城:洛阳,现今地于河南洛阳,统治民族:汉族,开国皇帝:魏文帝曹丕10、蜀汉,起讫年代:公元221-263年,都城:成都,现今地于四川成都,统治民族:汉族,开国皇帝:汉昭烈帝刘备11、孙吴,起讫年代:公元222-280年,都城:建业,现今地于江苏南京,统治民族:汉族,开国皇帝:吴大帝孙权魏、蜀、吴三国12、西晋,起讫年代:公元265-316年,都城:洛阳,现今地于河南洛阳,统治民族:汉族,开国皇帝:晋武帝司马炎13、东晋,起讫年代:公元317-420年,都城:建康,现今地于江苏南京,统治民族:汉族,开国皇帝:晋元帝司马睿14、前赵、汉赵,起讫年代:公元304-329年,都城:长安,现今地于陕西西安,统治民族:匈奴族,开国皇帝:高祖光文皇帝刘渊15、成汉,起讫年代:公元306-347年,都城:成都,现今地于四川成都,统治民族:巴氐族,开国皇帝:太宗武皇帝李雄16、前凉,起讫年代:公元314-363年,都城:姑臧,现今地于甘肃武威,统治民族:汉族,开国皇帝:高祖明王张寔17、后赵,起讫年代:公元319-351年,都城:襄国,现今地于河北邢台,统治民族:羯族,开国皇帝:高祖明皇帝石勒18、前燕,起讫年代:公元337-370年,都城:龙城,现今地于辽宁朝阳,统治民族:鲜卑族,开国皇帝:太祖文明皇帝慕容皝19、前秦,起讫年代:公元351-394年,都城:长安,现今地于陕西西安,统治民族:氐族,开国皇帝:世宗明皇帝符建20、后秦,起讫年代:公元384-417年,都城:长安,现今地于陕西西安,统治民族:羌族,开国皇帝:太祖武昭皇帝姚苌21、后燕,起讫年代:公元384-407年,都城:中山,现今地于河北定州,统治民族:鲜卑族,开国皇帝:世祖成武皇帝慕容垂22、西秦,起讫年代:公元385-431年,都城:苑川,现今地于甘肃榆中,统治民族:鲜卑族,开国皇帝:烈祖宣烈王乞伏国仁23、后凉,起讫年代:公元386-403年,都城:略阳,现今地于甘肃平凉,统治民族:氐族,开国皇帝:太祖懿武皇帝吕光24、南凉,起讫年代:公元397-414年,都城:西平,现今地于青海南宁,统治民族:鲜卑族,开国皇帝:烈祖武王拓跋乌孤25、南燕,起讫年代:公元398-410年,都城:广固,现今地于山东益都,统治民族:鲜卑族,开国皇帝:世宗献武皇帝慕容德26、西凉,起讫年代:公元407-421年,都城:酒泉,现今地于甘肃酒泉,统治民族:汉族,开国皇帝:太祖昭武王李暠27、胡夏,起讫年代:公元407-431年,都城:统万城,现今地于陕西靖边,统治民族:匈奴,开国皇帝:世祖烈武皇帝赫连勃勃28、北燕,起讫年代:公元407-436年,都城:和龙,现今地于辽宁朝阳,统治民族:高句丽,开国皇帝:燕惠懿帝高云29、北凉,起讫年代:公元397-439年,都城:张掖,现今地于甘肃张掖,统治民族:卢水胡,开国皇帝:太祖武宣王沮渠蒙逊东晋十六国30、南朝*宋,起讫年代:公元420-479年,都城:建康,现今地于江苏南京,统治民族:汉族,开国皇帝:宋武帝刘裕31、南朝*齐,起讫年代:公元479-502年,都城:建康,现今地于江苏南京,统治民族:汉族,开国皇帝:齐高帝萧道成32、南朝*梁,起讫年代:公元502-557年,都城:建康,现今地于江苏南京,统治民族:汉族,开国皇帝:梁武帝萧涎33、南朝*陈,起讫年代:公元557-589年,都城:建康,现今地于江苏南京,统治民族:汉族,开国皇帝:陈武帝陈霸先34、北朝*北魏,起讫年代:公元386-534年,都城:洛阳,现今地于河南洛阳,统治民族:鲜卑族,开国皇帝:魏道武帝拓跋珪35、北朝*东魏,起讫年代:公元534-550年,都城:邺,现今地于河北临漳,统治民族:鲜卑族,开国皇帝:魏孝静帝元善见36、北朝*西魏,起讫年代:公元535-556年,都城:长安,现今地于陕西西安,统治民族:鲜卑族,开国皇帝:魏文帝元宝炬37、北朝*北齐,起讫年代:公元550-577年,都城:邺,现今地于河北临漳,统治民族:鲜卑族,开国皇帝:齐文宣帝高洋38、北朝*北周,起讫年代:公元557-581年,都城:长安,现今地于陕西西安,统治民族:鲜卑族,开国皇帝:周孝闵帝宇文觉北齐、北周、南陈39、隋朝,起讫年代:公元581-618年,都城:大兴,现今地于陕西西安,统治民族:汉族,开国皇帝:隋文帝杨坚40、唐朝,起讫年代:公元618-907年,都城:长安,现今地于陕西西安,统治民族:汉族,开国皇帝:唐高祖李渊41、后梁,起讫年代:公元907-923年,都城:汴,现今地于河南开封,统治民族:汉族,开国皇帝:梁太祖朱晃42、后唐,起讫年代:公元923-936年,都城:洛阳,现今地于河南洛阳,统治民族:汉族,开国皇帝:唐庄宗李存勖43、后晋,起讫年代:公元936-947年,都城:汴,现今地于河南开封,统治民族:汉族,开国皇帝:晋高祖石敬瑭44、后汉,起讫年代:公元947-950年,都城:汴,现今地于河南开封,统治民族:汉族,开国皇帝:汉高祖刘暠45、后周,起讫年代:公元951-960年,都城:汴,现今地于河南开封,统治民族:汉族,开国皇帝:周太祖郭威46、前蜀,起讫年代:公元891-925年,都城:成都,现今地于四川成都,统治民族:汉族,开国皇帝:高祖王建47、后蜀,起讫年代:公元925-965年,都城:成都,现今地于四川成都,统治民族:汉族,开国皇帝:高祖孟知祥48、杨吴,起讫年代:公元892-937年,都城:扬州,现今地于江苏扬州,统治民族:汉族,开国皇帝:太祖杨行密49、南唐,起讫年代:公元937-975年,都城:金陵,现今地于江苏南京,统治民族:汉族,开国皇帝:烈祖李昇50、吴越,起讫年代:公元893-978年,都城:杭州,现今地于浙江杭州,统治民族:汉族,开国皇帝:武肃王钱繆51、闽国,起讫年代:公元893-945年,都城:长乐,现今地于福建福州,统治民族:汉族,开国皇帝:太祖王审知52、马楚,起讫年代:公元896-951年,都城:长沙,现今地于湖南长沙,统治民族:汉族,开国皇帝:武穆王马殷53、南汉,起讫年代:公元905-971年,都城:兴王府,现今地于广东广州,统治民族:汉族,开国皇帝:高祖刘龑54、南平,起讫年代:公元907-963年,都城:荆州,现今地于湖北荆州,统治民族:汉族,开国皇帝:武信王高季兴55、北汉,起讫年代:公元951-979年,都城:太原,现今地于山西太原,统治民族:汉族,开国皇帝:世祖刘崇五代十国56、北宋,起讫年代:公元960-1127年,都城:开封,现今地于河南开封,统治民族:汉族,开国皇帝:太祖赵匡胤57、南宋,起讫年代:公元1127-1279年,都城:临安,现今地于浙江临安,统治民族:汉族,开国皇帝:高宗赵构58、辽国,起讫年代:公元907-1125年,都城:皇都,现今地于辽宁,统治民族:契丹族,开国皇帝:太祖耶律阿宝机59、大理,起讫年代:公元937-1254年,都城:太和城,现今地于云南大理,统治民族:白族,开国皇帝:太祖段思平60、西夏,起讫年代:公元1032-1227年,都城:兴庆府,现今地于宁夏银川,统治民族:党项族,开国皇帝:景帝李元昊61、金,起讫年代:公元1115-1234年,都城:开封,现今地于河南开封,统治民族:女真族,开国皇帝:金太祖阿骨打62、元朝,起讫年代:公元1206-1368年,都城:大都,现今地于北京,统治民族:蒙古族,开国皇帝:元世祖忽必烈63、明朝,起讫年代:公元1368-1644年,都城:北京,现今地于北京,统治民族:汉族,开国皇帝:明太祖朱元璋64、清朝,起讫年代:公元1616-1911年,都城:北京,现今地于北京,统治民族:满族,开国皇帝:清太宗皇太极清朝版图。
历史朝代顺序表及皇帝以下是中国历史朝代的顺序表和一些知名的皇帝:1. 夏朝(约公元前2070年-公元前1600年)传说中的三代:夏、商、周2. 商朝(约公元前1600年-公元前1046年)商朝的末代君主:商纣王3. 周朝(公元前1046年-公元前256年)西周(约公元前1046年-公元前771年)周文王、周武王、周成王东周(公元前770年-公元前256年)春秋时期的诸侯国君主,如齐桓公、晋文公、楚庄王等4. 秦朝(公元前221年-公元前206年)秦始皇:嬴政5. 汉朝(公元前202年-公元220年)西汉(公元前202年-公元8年,公元23年-公元25年)汉高祖:刘邦新朝/王莽篡汉(公元8年-公元23年)东汉(公元25年-公元220年)汉光武帝:刘秀(刘备、刘表、刘璋等蜀汉、东吴的刘姓皇帝均为汉光武帝的后人)6. 魏晋南北朝时期(220年-589年)魏国(曹魏)曹操、曹丕、曹叡蜀国(刘备)刘备、刘禅吴国(孙权)孙权、孙亮东晋(东晋)司马睿南朝:南庙(刘宋)刘裕、刘义隆南梁(梁朝)萧道成、萧衍南陈(陈朝)陈霸先、陈文帝7. 隋朝(581年-618年)隋文帝:杨坚隋炀帝:杨广8. 唐朝(618年-907年)高宗、中宗、睿宗、玄宗、肃宗、代宗、德宗、顺宗、宪宗、穆宗、敬宗、文宗、武宗、宣宗、忠宗、顺宗、哀宗、昭宗9. 五代十国(907年-960年)唐末:后梁(朱温)、后唐(李存勖)、后晋(石敬瑭)、后汉(刘知远)、后周(郭威)10. 北宋(960年-1127年)宋太祖:赵匡胤宋太宗:赵光义宋真宗:赵恒11. 南宋(1127年-1279年)宋高宗:赵构宋孝宗:赵昚12. 元朝(1271年-1368年)元世祖:忽必烈元成宗:元英宗13. 明朝(1368年-1644年)明太祖:朱棣明成祖:朱棣明宣宗:朱瞻基明英宗:朱祁钰明代宗:朱祁镇明思宗:朱由检14. 清朝(1644年-1912年)清世祖:努尔哈赤清世祖:皇太极清圣祖:顺治帝清世宗:康熙帝清高宗:雍正帝清仁宗:乾隆帝清宣宗:嘉庆帝清文宗:道光帝清穆宗:咸丰帝清德宗:同治帝清宣统帝请注意,以上列举的是中国历史上一些重要朝代的皇帝,这个列表并不全面,还有很多朝代和皇帝没有被提到。
中国历朝历代皇帝顺序及略记华夏族(黄帝)--4000多年前尧舜禹夏朝--约公元前22世纪-公元前17世纪商朝--约公元前17世纪初-公元前1046世纪周朝--约公元前1046世纪-公元前256年,分为西周,东周,东周又分为春秋,战国秦朝--公元前221-元前206年秦王(赢政)统一六国,之后项羽和刘邦为争夺帝位,进行了四年的楚汉战争。
西汉--公元前206年-公元25年,汉高祖(刘邦)->汉文帝(刘恒)->汉景帝(刘启)->汉武帝(刘彻) 东汉--公元25-220年(汉光武帝)刘秀三国--公元220-280 年刘备、曹操、孙权争夺天下晋朝--公元265-420年分为西晋,东晋南北朝--公元386-581年隋朝--公元581-公元618年隋文帝(杨坚)唐朝--公元618-907年李渊->唐太宗(李世民)->唐玄宗(李隆基)五代--公元907-960年后梁、后唐、后晋、后汉、后周五个朝代宋朝--公元960-1279 年,北宋宋太祖(赵匡胤)南宋(赵构)(公元1127-1279年)。
元朝--1271年-1368年,元世祖(忽必烈)是成吉思汗的孙子。
明朝--公元1368-1644年,朱元璋即明太祖。
清朝--公元1644-1911年顺治->康熙->雍正->乾隆->嘉庆->道光->咸丰->同治->光绪->宣统速记口诀:夏商和西周,东周分两段,春秋和战国,一统秦两汉,三分魏蜀吴,二晋前后延,南北朝并列,隋唐五代传,宋元明清后,皇朝至此完。
汉朝皇帝的排列顺序(不包括王莽建立的新朝)西汉王朝(公元前206年-公元8年),始于汉高祖刘邦,终于孺子婴,共12帝。
①汉高祖刘邦,字季,号沛公,谥号高皇帝,庙号高祖。
沛郡丰邑中阳里(现属江苏省徐州市丰县)人氏。
生于周赧王五十九年即公元前二五六年二月初八日。
他在兄弟四人中排行第三。
性情豁达大度, 知人善任。
中国历史历代王朝表
中国历史历代王朝表如下:
夏朝:约公元前22世纪-公元前17世纪
商朝:约公元前17世纪初-公元前11世纪
周朝:约公元前11世纪-公元前256年,分为西周、东周,东周又分为春秋、战国
秦朝:公元前221-公元前206年
西楚:公元前206年-公元前202年,仅传1位
西汉:公元前206年-公元25年,历14帝
新朝:公元9年-公元23年,历1帝
东汉:公元25年-公元220年,历14帝
三国:公元220年-公元280年,刘备、曹操、孙权争夺天下
晋朝:公元265年-公元420年,分为西晋、东晋
南北朝:公元420年-公元589年,分为南朝四朝、北朝五朝
隋朝:公元581年-公元618年,历3帝
唐朝:公元618年-公元907年,历21帝
五代:公元907年-公元960年,历14帝
十国:公元907年-公元979年,历40帝
北宋:公元960年-公元1127年,历9帝
南宋:公元1127年-公元1279年,历9帝
辽朝:公元916年-公元1125年,历9帝金朝:公元1115年-公元1234年,历10帝西夏:公元1038年-公元1227年,历10帝元朝:公元1271年-公元1368年,历11帝明朝:公元1368年-公元1644年,历16帝清朝:公元1644年-公元1912年,历10帝。
中国历史朝代顺序以及各皇帝顺序黄帝尧舜禹约170万-4000年前夏约公元前21世纪-约公元前16世纪商约公元16世纪-约公元前1066周西周约公元前1066-公元前771东周公元前770-公元前256春秋时代公元前770-公元前476战国时代公元前475-公元前221秦公元前221-公元前206秦始皇、秦二世汉西汉公元前206-公元23汉高祖刘邦、惠帝刘盈、文帝刘恒、景帝刘启、汉武帝刘彻、昭帝刘弗陵、宣帝刘询、元帝刘奭、成帝刘骜、哀帝刘欣、平帝刘衍、孺子婴新朝公元9-23年王莽公孙述刘盆子东汉25-220光武帝刘秀、明帝刘庄、章帝刘炟、和帝刘肇、殇帝刘隆、安帝刘祜、顺帝刘保、冲帝刘炳、质帝刘缵、桓帝刘志、灵帝刘宏、少帝刘辩、献帝刘协三国魏220-265文帝曹丕、明帝曹睿、齐王曹芳、高贵乡公曹髦、元帝曹奂蜀汉221-263昭烈帝刘备、后主刘禅吴222-280大帝孙权、会稽王孙亮、景帝孙休、末帝孙皓晋西晋265-316武帝司马炎、惠帝司马衷、怀帝司马炽、愍帝司马邺东晋317-420元帝司马睿、明帝司马绍、成帝司马衍、康帝司马岳、穆帝司马聃、哀帝司马丕、海西公司马奕、简文帝司马昱、孝武帝司马曜、安帝司马德宗、恭帝司马德文十六国304-439汉(前赵)刘渊、刘曜北凉沮渠蒙逊,凡二主夏赫连勃勃,凡三主前燕慕容皝,凡三主后燕慕容垂,凡五主南燕慕容德,西秦乞伏国仁,凡四主南凉秃发乌孤,凡三主后赵石勒,凡七主成汉李雄,凡三主前秦苻洪,凡七主后凉吕光,凡四主后秦姚苌,凡二主前凉张重华,凡五主西凉李诇,凡二主北燕冯跋,凡二主南朝宋420-479武帝刘裕、少帝刘义符、文帝刘义隆、孝武帝刘骏、前废帝刘子业、明帝刘彧、后废帝刘昱、顺帝刘准齐479-502高帝萧道成、武帝萧赜、郁林王萧昭业、海帝王萧昭文、明帝萧鸾、东昏侯萧宝卷、和帝萧宝融梁502-557武帝萧衍、简文帝萧纲、元帝萧绎、敬帝萧方智陈557-589武帝陈霸先、文帝陈倩、废帝陈伯宗、宣帝陈顼、后主北朝北魏386-534道武帝拓跋珪、明元帝拓跋嗣、太武帝拓跋焘、南安王拓跋余、文成帝拓跋浚、献文帝拓跋弘(浚)、孝文帝元宏、宣武帝元恪、孝明帝元诩、孝庄帝元子攸、长文王元晔、节闵帝元恭、安定王元朗、孝武帝元修东魏534-550孝静帝元善见西魏535-557文帝元宝炬、废帝元钦、恭帝元廓北齐550-577文宣帝高洋、废帝高殷、孝昭帝高演、武成帝高湛、后主高纬、幼主高桓北周557-581孝闵帝宇文觉、明帝宇文毓、武帝宇文邕、宣帝宇文赟、静帝宇文阐隋581-618文帝杨坚、炀帝杨广、恭帝杨侑唐618-907高祖李渊、太宗李世民、高宗李治、则天皇帝武曌、中宗李显(哲)、睿宗李旦、玄宗李隆基、肃宗李亨、代宗李豫、德宗李适、顺宗李诵、宪宗李纯、穆宗李恒、敬宗李湛、文宗李昂、武宗李炎、宣宗李忱、懿宗李漼、僖宗李儇<俨>、昭宗李晔(敏、杰)、昭宣帝(哀帝)李祝<祚>五代十国后梁907-923太祖朱晃(又名温、全忠)、末帝朱瑱后唐923-936庄宗(李存勖) 、明宗(李亶)、闵宗(李从厚)、末帝(李从珂) 后晋936-946高祖(石敬塘) 、出帝(石重贵)后汉947-950高祖(刘暠,本名刘知远) 、隐帝(刘承佑)后周951-960太祖(郭威) 、世宗(柴荣)、恭帝(柴宗训)十国902-979吴太祖杨行密、烈祖杨渥、高宗杨隆演、杨溥南唐烈祖李昪、元宗李璟、后主李煜吴越武肃王钱鏐、文穆王钱元瓘、忠献王钱佐、忠逊王钱倧、忠懿王钱俶闽忠懿王王审知、嗣王王延翰、惠宗王鏻、康宗王昶、景宗王曦、天德帝王延政南汉高祖刘(龙字下面天)、殇帝刘玢、中宗刘晟、后主刘(金字边一个长)楚武穆王马殷、衡阳王马希声、文昭王马希范、废王马希广、恭孝王马希萼、马希崇荆南武兴王高季兴、文献王高从诲、贞懿王高保融、高保勖、高继冲前蜀高祖王建、后主王衍后蜀高祖孟知祥、后主孟昶北汉世祖刘旻、睿宗刘承钧、少主刘继恩、英武帝刘继元宋北宋960-1127太祖赵匡胤、太宗赵炅、真宗赵恒、仁宗赵祯、英宗赵曙、神宗赵顼、哲宗赵煦、徽宗赵佶、钦宗赵桓南宋1127-1279高宗赵构、孝宗赵眘、光宗赵敦、宁宗赵扩、理宗赵昀、度宗赵禥、恭帝赵显、端宗赵昰、卫王赵昺辽 907-1125西夏 1032-1227金 1115-1234元1279-1368太祖(孛儿只斤铁木真)成吉思汗、拖雷(监国)、太宗(窝阔台)、乃马真后(称制)、定宗(贵由)、海迷失后(称制)、宪宗(蒙哥)、世祖(忽必烈)、成宗(铁穆耳)、武宗(海山)、仁宗(爱育黎拔力八达)、英宗(硕德八剌)、泰定帝(也孙铁木儿)、天顺帝(阿速吉八)、文宗(图帖睦尔)、明宗(和世)、宁宗(懿璘质班)、顺帝(妥懽帖睦尔)明1368-1644太祖朱元璋、惠帝朱允炆、成祖朱棣、仁宗朱高炽、宣宗朱瞻基、英宗朱祁镇、代宗(景帝)朱祁钰、宪宗朱见深、孝宗朱佑樘、武宗朱厚照、世宗朱厚熜、穆宗朱载垕、神宗朱翊钧、光宗朱常洛、熹宗朱由校、思宗朱由检清朝1644-1911太祖爱新觉罗努尔哈赤、太宗皇太极、世祖(顺治帝)福临、圣祖(康熙帝)玄烨、世宗(雍正帝)胤禛、高宗(乾隆帝)弘历、仁宗(嘉庆帝)颙琰、宣宗(道光帝)旻宁、文宗(咸丰帝)奕詝、穆宗(同治帝)载淳德宗(光绪帝)载湉、末帝(宣统帝)溥仪中华民国 1912-1949!。
中国历史朝代顺序表及开国皇帝备注:①根据最新的夏商周断代工程的结论,夏朝应是公元前2070年~公元前1600年,商朝是公元前1600年到公元前公元前1600年~公元前1046年,西周是公元前1046年~公元前771年。
当然夏商周断代工程被人讽刺是“系统性编造历史”,“一群老混蛋最后找到的最大的证据是几片远古篱笆遗址”。
②需要说明的是,汉高祖既非刘邦的庙号,也非谥号。
作为汉朝开国皇帝,刘邦的庙号为“太祖”,谥号为“高皇帝”。
但自汉武帝时代的史学家司马迁开始,称刘邦为“高祖”,后世多沿用之,因此史称“太祖高皇帝”、“汉高帝”或“汉高祖”。
③王莽既无庙号也无谥号,虽然自称新朝皇帝,但后来刘姓君主并没有对王莽进行追封,所以王莽也是封建王朝进行之中唯一一个没有追封庙号的君主,但王莽在位时为前代多个皇帝追封庙号,庙号也从他这一代开始泛滥。
元末农民起义韩宋政权小明王韩林儿为多位前朝皇帝追封。
④“前秦”既然是在秦朝的后边,为什么不叫“后秦”而叫“前秦”?前秦的“前”是指其在十六国中是前,十六国里有两个秦,氐族苻健的前秦和羌族姚苌的后秦。
后秦是反前秦建立的,也自称秦,故以前后秦区分。
“前秦”是中国历史上第一个统一北方的非汉民族政权,且像孙功达《氐族研究》所称,还是“最早尝试由少数民族来统一全国”的历史政权。
“先秦”通常指秦始皇建立的秦朝之前,特指春秋、战国时期。
⑤五胡十六国(公元304年~公元439年),以匈奴、羯、鲜卑、羌及氐为主的五胡在中国北方范围内相继建立的国家,而北魏史学家崔鸿以其中十六个国家撰写了《十六国春秋》(五凉、四燕、三秦、二赵、一成、一夏):成汉(巴氐)、前赵(匈奴)、后赵(羯)、前凉、前燕(鲜卑)、前秦(氐)、后燕(鲜卑)、后秦(羌)、西秦(鲜卑)、后凉、南凉(鲜卑)、西凉(氐)、北凉(卢水胡)、南燕(鲜卑)、北燕及夏国(匈奴),于是后世史学家称这时期为“五胡十六国”。
实际上这一时期国家数目远多于16个。
中国古代朝代和帝王的排列表一、秦朝(公元前221~公元前207年)秦始皇:嬴政(前259年农历十二月初三—前210年),嬴姓,赵氏,名政,又名赵正(政)、秦政,或称祖龙,秦庄襄王之子。
中国历史上著名的政治家、战略家、改革家,首位完成华夏大一统的铁腕政治人物,也是古今中外第一个称皇帝的君主。
秦二世:胡亥(公元前230年-公元前207年),嬴姓,赵氏,名胡亥,秦始皇第十八子,公子扶苏之弟,秦朝第二位皇帝,即秦二世,亦称二世皇帝,公元前210年―公元前207年在位。
秦三世:子婴(公元前206年-公元前206),即秦三世,嬴姓,名子婴或婴,秦朝最后一位统治者,在位46天。
初称皇帝,后改称秦王,史称秦王子婴。
二、西汉(公元前202~公元8年)汉高祖(刘邦)→汉惠帝(刘盈)→(吕后)→汉文帝(刘恒)→汉景帝(刘启)→汉武帝(刘彻)→汉昭帝(刘弗陵)→汉宣帝(刘询)→汉元帝(刘奭)→汉成帝(刘骜)→汉哀帝(刘欣)→汉平帝(刘衎)→孺子婴(刘婴)三、东汉(公元25~公元220年)汉光武帝(刘秀)→汉明帝(刘庄)→汉章帝(刘炟)→汉和帝(刘肇)→汉殇帝(刘隆)→汉安帝(刘祜)→汉少帝(刘懿)→汉顺帝(刘保)→汉冲帝(刘炳)→汉质帝(刘缵)→汉桓帝(刘志)→汉灵帝(刘宏)→汉少帝(刘辨)→汉献帝(刘协)四、三国(一)魏国:220~265魏文帝(曹丕)→魏明帝(曹睿)→魏齐王(曹芳)→高贵乡公(曹髦)→魏元帝(曹奂)(二)蜀国:221~263昭烈帝(刘备)→后主(刘禅)(三)吴国:222~280吴大帝(孙权)→会稽王(孙亮)→景帝(孙休)→末帝(孙浩)五、两晋南北朝(一)西晋:265~317晋武帝(司马炎)→晋惠帝(司马衷)→晋怀帝(司马炽)→晋愍帝(司马邺)(二)东晋:317~420晋元帝(司马睿)→晋明帝(司马绍)→晋成帝(司马衍)→晋康帝(司马岳)→晋穆帝(司马聃)→晋哀帝(司马丕)→西海公(司马奕)→简文帝(司马昱)→晋孝武帝(司马曜)→晋安帝(司马德宗)→晋恭帝(司马德文)(三)南朝1.宋:420~479宋武帝(刘裕)→宋少帝(刘义符)→宋文帝(刘义隆)→宋孝武帝(刘骏)→前废帝(刘子业)→宋明帝(刘彧)→后废帝(刘昱)→宋顺帝(刘准)2.齐:479~502齐高帝(萧道成)→齐武帝(萧赜)→郁林王(萧昭业)→海陵王(萧昭文)→齐明帝(萧鸾)→东昏侯(萧宝卷)→齐和帝(萧宝融)3.梁:502~557梁武帝(萧衍)→简文帝(萧纲)→豫章王(萧栋)→武陵王(萧纪)→梁元帝(萧绎)→贞阳侯(萧渊明)→梁敬帝(萧方智)4.陈:557~589陈武帝(陈霸先)→陈文帝(陈蒨)→陈废帝(陈伯宗)→陈宣帝(陈顼)→陈后主(陈叔宝)(四)北朝(386~581)1.北魏:386~534北魏道武帝(拓跋珪)→明元帝(拓跋嗣)→太武帝(拓跋焘)→南安王(拓跋余)→文成帝(拓跋濬)→献帝(拓跋弘)→北魏孝文帝(元宏)→宣武帝(元恪)→孝明帝(元诩)→孝庄帝(元子攸)→长广王(元晔)→节闵帝(元恭)→废帝(元朗)→孝武帝(元修)2.东魏:534~550东魏孝静帝(元善见)3.西魏:535~556西魏文帝(元宝炬)→西魏废帝(元钦)→西魏恭帝(元廓)4.北齐:550~577齐文宣帝(高洋)→废帝(高殷)→孝昭帝(高演)→武成帝(高湛)→后主(高纬)→幼主(高恒)5.北周:557~581孝闵帝(宇文觉)→明帝(宇文毓)→武帝(宇文邕)→宣帝(宇文赟)→静帝(宇文阐)六、隋(581~618)隋文帝(杨坚)→隋炀帝(杨广)→隋恭帝(杨侑)七、唐(618~907)唐高祖(李渊)→唐太宗(李世民)→唐高宗(李治)→唐中宗(李显)→唐睿宗(李旦)→(武则天)→唐中宗(李显)→唐睿宗(李旦)→唐玄宗(李隆基)→唐肃宗(李亨)→唐代宗(李豫)→唐德宗(李适)→唐顺宗(李诵)→唐宪宗(李纯)→唐穆宗(李恒)→唐敬宗(李湛)→唐文宗(李昂)→唐武宗(李炎)→唐宣宗(李忱)→唐懿宗(李漼)→唐僖宗(李儇)→唐昭宗(李晔)→唐哀帝(李柷)八、五代十国(907~960)(一)五代(907~960)1.后梁:907~923后梁太祖(朱温)→后梁末帝(朱友贞)2.后唐:923~936后唐庄宗(李存勖)→后唐明宗(李嗣源)→后唐愍帝(李从厚)→后唐末帝(李从珂)3.后晋:936~947后晋高祖(石敬塘)→后出帝(石重贵)4.后汉:947~950后汉高祖(刘知远)→后汉隐帝(刘承佑)5.后周:950~960后周太祖(郭威)→后周世宗(柴荣)→后周恭帝(柴宗训)(二)十国(902~979)1.南吴:902~937武帝(杨行密)→景帝(杨渥)→宣帝(杨隆演)→睿帝(杨溥)2.南唐:937~975烈宗(李昪)→元宗(李璟)→后主(李煜)3.前蜀:907~925高祖(王建)→蜀后主/通正公(王衍)4.后蜀:934~966孟知祥后蜀高祖(934年~934年在位,共七个月)后蜀开创者↓孟昶后蜀后主(934年~965年在位)孟知祥第三子5.吴越:907~978太祖(钱镠)→世宗(钱元瓘)→成宗(钱弘佐)→忠逊王(钱倧)→忠懿王(钱弘掓)6.南楚:907~951马殷楚武穆王(897年~930年在位)楚国的开创者↓马希声楚衡阳王(930年~932年在位)马殷次子↓马希范楚文昭王(932年~947年在位)马殷四子↓马希广楚废王(947年~950年在位)马殷之子(950年被其兄马希萼所弑杀)↓马希萼楚恭孝王(950年~951年在位)马殷之子7.闽:909~945王审知闽太祖(909年~925年在位)闽的开国者↓王延翰闽废帝(925年~927年在位)王审知长子(927年被其弟弑杀)↓王延钧闽太宗(927年~935年在位)王审知次子(927年弑杀其兄王延翰继位)↓王继鹏闽康宗(935年~939年在位)王延钧之子(被其叔父所杀)王延羲闽景宗(939年~944年在位)王审知子子(弑杀其侄王继鹏继位)↓朱文进闽武帝(944年~945年在位)王审知部将↓王延恭闽和帝(943年~945年在位)王审知之子(943年自立为王)8.南汉:917~971刘龑南汉高祖(917年~941年在位)南汉的开创者↓刘玢南汉殇帝(941年~943年在位)刘龑第三子↓刘弘熙南汉中宗(943年~958年在位)刘龑子↓刘继兴南汉后主9.南平:924~963南平武信王(高季兴)→文献王(高从诲)→贞懿王(高宝融)→贞安王(高宝莇)→德仁王(高继冲)10.北汉:951~979刘崇北汉世祖(951年~954年在位)北汉的开创者,五代后汉刘知远的弟弟刘钧北汉睿宗(954年~968年在位)刘崇次子↓刘继恩北汉平帝(968年7月~968年9月在位)刘钧养子↓刘继元北汉英武帝九、宋辽西夏金(一)北宋(960~1127)宋太祖(赵匡胤)→宋太宗(赵匡义)→宋真宗(赵恒)→宋仁宗(赵祯)→宋英宗(赵曙)→宋神宗(赵顼)→宋哲宗(赵煦)→宋徽宗(赵佶)→宋钦宗(赵桓)(二)辽(916~1125)辽太祖(耶律阿保机)→太宗(耶律德光)→世宗(耶律阮)→穆宗(耶律璟)→景宗(耶律贤)→圣宗(耶律隆绪)→兴宗(耶律宗真)→道宗(耶律洪基)→天祚帝(耶律延禧)西辽(1124~1218)西辽德宗(耶律大石)→感天后(萧塔不烟)→仁宗(耶律夷列)→承天后(耶律普速完)→末帝(耶律直鲁古)→屈出律(西辽乃蛮部太阳汗之子)(三)西夏(1038~1227)景宗(李元昊)→毅宗(李谅祚)→惠宗(李秉常)→崇宗(李乾顺)→仁宗(李仁孝)→桓宗(李纯佑)→襄宗(李安全)→神宗(李遵顼)→献宗(李德旺)→末帝(李睍)(四)南宋(1127~1279)宋高宗(赵构)→宋孝宗(赵昚)→宋光宗(赵惇)→宋宁宗(赵扩)→宋理宗(赵昀)→宋度宗(赵禥)→宋恭宗(赵显)→宋端宗(赵昰)→宋怀宗(赵昺)(五)金(1115~1234)金太祖(完颜阿骨打)→太宗(完颜吴乞买)→熙宗(完颜)→海陵王(完颜亮)→世宗(完颜雍)→章宗(完颜璟)→卫绍王(完颜永济)→宣宗(完颜珣)→哀宗(完颜守绪)→末帝(完颜承麟)十、元朝(1271~1368)太祖(孛儿只斤•铁木真)→太宗(孛儿只斤•窝阔台)→定宗(孛儿只斤•贵由)→宪宗(孛儿只斤•蒙哥)→世祖(孛儿只斤•忽必烈)→成宗(孛儿只斤•铁穆耳)→武宗(孛儿只斤•海山)→仁宗(孛儿只斤•爱育黎拔力八达)→英宗(孛儿只斤•硕德八刺)→泰定帝(孛儿只斤•也孙铁木儿)→天顺帝(孛儿只斤•阿速吉八)→文宗(孛儿只斤•图帖睦儿)→宁宗(孛儿只斤·懿璘质班)→顺帝(孛儿只斤·妥懽帖睦尔)十一、明朝(1368~1644)明太祖(洪武,朱元璋)→惠帝(建文,朱允炆)→成祖(永乐,朱棣)→仁宗(洪熙,朱高炽)→宣宗(宣德,朱瞻基)→英宗(正统,朱祁镇)→明代宗(景泰,朱祁钰)→英宗(天顺,朱祁镇)→宪宗(成化,朱见深)→孝宗(弘治,朱佑樘)→武宗(正德,朱厚照)→世宗(嘉靖,朱厚熜)→穆宗(隆庆,朱载垕)→神宗(万历,朱翊钧)→光宗(泰昌,朱常洛)→熹宗(天启,朱由校)→思宗(崇祯,朱由检)十二、清朝(1644~1912)清文帝(爱新觉罗•皇太极)→世祖(顺治,爱新觉罗•福临)→圣祖(康熙,爱新觉罗•玄烨)→世宗(雍正,爱新觉罗•胤禛)→高宗(乾隆,爱新觉罗•弘历)→仁宗(嘉庆,爱新觉罗•颙琰)→宣宗(道光,爱新觉罗·旻宁)→文宗(咸丰,爱新觉罗·奕詝)→穆宗(同治,爱新觉罗·载淳)→德宗(光绪,爱新觉罗·载湉)→清废帝(宣统,爱新觉罗•溥仪)。
中国历史朝代公元对照表及各朝代皇帝
附注:
1、商朝在约公元前14世纪盘庚迁都于殷,此后商也成为殷。
2、从西周前771开始公元前841年(西周共和元年)为中国历史确切纪年的开始。
3、春秋时代简称春秋,前770年-前476年(另一说,前770年-前403年),属于东周的一个时期,春秋时代周王的势力减弱,诸侯群雄纷争,齐桓公、晋文公、宋襄公、秦穆公、楚庄王相继称霸,史称“春秋五霸”。
(一说是齐桓公、晋文公、楚庄王、吴王阖闾、越王勾践)。
春秋时期之后是战国时期。
4、战国时代主要有秦、魏、韩、赵、楚、燕、齐等国。
5、西汉时期包括王莽建立的“新”王朝(公元8年—23年)。
王莽时期,爆发大规模的农民起义,建立了农民政权。
公元23年,新王莽政权灭亡。
公元25年,东汉王朝建立。
6、十六国这时期,在我国北方,先后存在过一些封建政权,其中有:汉(前赵)、成(成汉)、前凉、后赵(魏)、前燕、前秦、后燕、后秦、西秦、后凉、南凉、北凉、南燕、西凉、北燕、夏等国,历史上叫做“十六国”。
7、十国这时期,除后梁、后唐、后晋、后汉、后周外,还先后存在过一些封建政权,其中有:吴、前蜀、吴越、楚、闽、南汉、荆南(南平)、后蜀、南唐、北汉等国,历史上叫做“十国”
朝代之历史评价
中国最强大的朝代——唐朝
中国最腐朽的朝代——明朝
中国政治最清明的朝代——清朝(相对而言)
中国人性最自由的朝代——唐朝、西汉
中国疆土最广袤的朝代——元朝
中国科技最鼎盛的朝代——清朝、西汉
中国文化最繁荣的朝代——东周列国(春秋战国时代)、唐朝、宋朝、清朝
中国最具改革思想的朝代——宋朝
中国最因循守旧的朝代——明朝
中国出好皇帝最多的朝代——清朝
中国政治最黑暗的朝代——明朝
中国最崇尚武力的朝代——春秋战国时代、元朝
中国忠臣最多的朝代——宋朝
中国酷刑最猖獗的朝代——商朝
中国少数民族最和睦的朝代——清朝
中国最大气磅礴的朝代——春秋战国时代、三国时代
中国最动荡的朝代——东周列国;三国时代;魏晋南北朝;五代十国;宋、辽、西夏、蒙古、金争霸时代
中国文化最束缚的时代——秦朝、清朝
对中国5000年统一稳定贡献最大的朝代——秦朝、西汉、隋朝、元朝。