最新人教版八年级数学下册第十六章测试题
- 格式:doc
- 大小:55.50 KB
- 文档页数:5
最新人教版八年级数学下册检测考试第十六章检测卷时间:120分钟 满分:120分一、选择题(每小题3分,共30分) 1.要使二次根式x -3有意义,则x 的取值范围是( )A .x =3B .x >3C .x ≤3D .x ≥32.下列二次根式中,不能与3合并的是( )A .2 3 B.12 C.18 D.273.下列式子为最简二次根式的是( )A. 5B.12C.a 2D.1a 4.下列计算正确的是( )A .53-23=2B .22×32=62 C.3+23=3 D .33÷3=35.化简28-2(2+4)得( )A .-2 B.2-4 C .-4 D .82-46.估计32×12+20的运算结果应在( ) A .6到7之间 B .7到8之间 C .8到9之间 D .9到10之间7.若k ,m ,n 都是整数,且135=k 15,450=15m ,180=6n ,则下列关于k ,m ,n 的大小关系,正确的是( )A .k <m =nB .m =n <kC .m <n <kD .m <k <n8.已知x +y =3+2,xy =6,则x 2+y 2的值为( )A .5B .3C .2D .19.设M =⎝⎛⎭⎫1ab-a b ·ab ,其中a =3,b =2,则M 的值为( ) A .2 B .-2 C .1 D .-1 10.已知a2a +2a 2+18a =10,则a 等于( ) A .4 B .±2 C .2 D .±4二、填空题(每小题3分,共24分)11.计算:(1)(27)2=________; (2)18-212=________. 12.如果两个最简二次根式3a -1与2a +3能合并,那么a =________. 13.如果x ,y 为实数,且满足|x -3|+y +3=0,那么⎝⎛⎭⎫x y 2018的值是________.14.已知x=5-12,则x2+x+1=________.15.若一个三角形的一边长为a,这条边上的高为63,其面积与一个边长为32的正方形的面积相等,则a=________.16.实数a在数轴上的位置如图所示,化简|a-1|+(a-2)2=________.17.如果实数m满足(m-2)2=m+1,且0<m<3,那么m的值为________.18.已知16-x2-4-x2=22,则16-x2+4-x2=________.三、解答题(共66分)19.(16分)计算下列各题:(1)(48+20)-(12-5);(2)20+5(2+5);(3)48÷3-215×30+(22+3)2;(4)(2-3)2017(2+3)2018-|-3|-(-2)0.20.(6分)已知y=2x-3+3-2x-4,计算x-y2的值.21.(10分)(1)已知x=2+1,求x+1-x2x-1的值;。
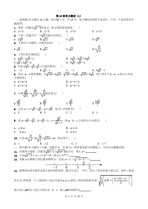
第16章单元测试(1)一、选择题(本大题共10小题,每小题4分,共40分;每小题给出的四个选项中,只有一个选项是符合题意的)1.要使二次根式x-3有意义,则x的取值范围是( )A.x=3 B.x>3 C.x≤3 D.x≥32.下列二次根式中,与3不能合并的是( )A.2 3 B.12 C.18 D.273.下列式子为最简二次根式的是( )A. 5B.12C.a2D.1 a4.下列计算正确的是( )A. 53-23=2 B.22×32=62C.3+23=3 D.33÷3=35.化简28-2(2+4)的结果为( )A.-2 B.2-4 C.-4 D.82-46.若k,m,n都是整数,且135=k15,450=15m,180=6n,则下列关于k,m,n的大小关系,正确的是( )A.k<m=n B.m=n<kC.m<n<k D.m<k<n7.计算912÷5412×36的结果为( )A.312B.36C.33D.3348.已知x+y=3+2,xy=6,则x2+y2的值为( )A.5 B.3 C.2 D.19.设a=6-2,b=3-1,c=23+1,则a,b,c之间的大小关系是( )A.c>b>a B.a>c>b C. b>a>c D.a>b>c10.已知a 2a+2a2+18a=10,则a等于( )A.4 B.±2 C.2 D.±4二、填空题(本大题共4小题,每题5分,共20分;将答案直接写在横线上,不必写出解题过程) 11.如果两个最简二次根式3a-1与2a+3能合并,那么a=________.12.已知x+2+(x-y+3)2=0,则(x+y)2018=________.13.实数a在数轴上的位置如图所示,化简|a-1|+(a-2)2=________.14.我国南宋著名数学家秦九韶在他的著作《数书九章》一书中,给出了著名的秦九韶公式,也叫三斜求积公式,即如果一个三角形的三边长分别为a,b,c,则该三角形的面积为S15.计算:(1)3(2-3)-24-|6-3|;(2)(5-3+2)(5-3-2).16.因为12+1=2,且1<2<2,所以12+1的整数部分为1;因为22+2=6,且2<6<3,所以22+2的整数部分为2;因为32+3=12,且3<12<4,所以32+3的整数部分为3……以此类推,n 2+n (n 为正整数)的整数部分是多少?请说明理由.四、(本大题共2小题,每小题8分,满分16分) 17.已知x =3+1,求式子x 2-2x +3的值.18.已知x =2-1,y =2+1,求y x +x y的值.19.已知x ,y 为实数,y =x 2-4+4-x 2+1x -2,求3x +4y 的值.20.先化简,再求值:64⎛⎛- ⎝⎝,其中x =6+5,y =6- 5.六、(本题满分12分)21.已知长方形的长a =1232,宽b =1318.(1)求长方形的周长;(2)求与长方形等面积的正方形的周长,并比较与长方形周长的大小关系.七、(本题满分12分)22.已知实数a ,b 满足|2017-a |+a -2018=a .(1)a 的取值范围是________,化简:|2017-a |=________;(2)小明同学求得a -20172的值为2019,你认为他的答案正确吗?为什么?八、(本题满分14分) 23.观察下列各式:1+112+122=1+11-12=32;1+122+132=1+12-13=76;1+132+142=1+13-14=1312.(1)请你根据上面三个等式提供的信息,猜想:1+142+152=__________________;(2)请你按照上面每个等式反映的规律,写出用n(n为正整数)表示的等式,并验证;(3)利用上述规律计算:5049+164.参考答案1.D2. C3. A4. D5. A6. D7. B8. A9. D 10. C 11. 4 12. 1 13. 1 14.315415.解:(1)原式=6-3-26-(3-6)=6-3-26-3+6=-6.(2)原式=(5-3)2-(2)2=5-215+3-2=6-215.16.解:n 2+n (n 为正整数)的整数部分为n .理由如下:n 2<n 2+n <(n +1)2,即n <n 2+n <n +1,故n 2+n 的整数部分为n .17.解:x 2-2x +3=(x -1)2+2.( 4分)∵x =3+1,∴原式=(3+1-1)2+2=(3)2+2=5.18.解:∵x =2-1,y =2+1,∴x +y =22,xy =1.∴y x +x y =(x +y )2-2xy xy=(22)2-2×1=6.19.解:由题意得⎩⎪⎨⎪⎧x 2-4≥0,4-x 2≥0,x -2≠0,解得x =-2,∴y =1x -2=-14,∴3x +4y =3×(-2)+4×14⎛⎫- ⎪⎝⎭=-7.20.解:∵x =6+5>0,y =6-5>0,∴原式=(6xy +3xy )-(4xy +6xy )=-xy =-(6+5)(6-5)=-1.21.解:(1)2(a +b)=2×=2×(22+2)=6 2.故长方形的周长为6 2.(2)4ab =41232×1318=422×2=4×2=8.因为62>8,所以长方形的周长大. 22.解:(1)a ≥2018 a -2017(2)她的答案不正确.理由如下:∵|2017-a |+a -2018=a ,∴a -2017+a -2018=a ,∴a -2018=2017,∴a -2018=20172,∴a -20172=2018. 23.解:(1)1+14-15=2120(2)1+1n 2+1(n +1)2=n (n +1)+1n (n +1).验证:等式左边=n 2(n +1)2+(n +1)2+n 2n 2(n +1)2=n 4+2n 2(n +1)+(n +1)2n 2(n +1)2=(n 2+n +1)2n 2(n +1)2=n 2+n +1n (n +1)=n (n +1)+1n (n +1)=等式右边. (3)原式=1+149+164=1+172+182=5756.第16章单元测试(2)(时间:45分钟 分数:100分)一、选择题(每小题2分,共20分) 1.下列式子一定是二次根式的是( )A .2--xB .xC .22+xD .22-x 2.若b b -=-3)3(2,则( )A .b>3B .b<3C .b ≥3D .b ≤3 3.若13-m 有意义,则m 能取的最小整数值是( )A .m=0B .m=1C .m=2D .m=34.若x<0,则xx x 2-的结果是( )A .0B .—2C .0或—2D .2 5.下列二次根式中属于最简二次根式的是( ) A .14 B .48 C .baD .44+a 6.如果)6(6-=-∙x x x x ,那么( )A .x ≥0B .x ≥6C .0≤x ≤6D .x 为一切实数 7.小明的作业本上有以下四题: ①24416a a =;②a a a 25105=⨯; ③a aa a a=∙=112;④a a a =-23。
人教版八年级数学下册第十六章综合测试卷一、选择题(每题3分,共30分) 1.下列各式是二次根式的是( ) A.√-7 B.√mC.√a 2+1D.√332.二次根式√1-x 在实数范围内有意义,则实数x 的取值范围在数轴上表示为( )3.下列二次根式中,是最简二次根式的是( ) A.√2B.√12C.√12D.√94.若两个最简二次根式√5b 与√3+2b 能够合并,则b 的值为( ) A.-1B.13C.0D.15.[2023·湘西]下列运算正确的是( ) A.√(-3)2=3 B.(3a )2=6a 2C.3+√2=3√2D.(a +b )2=a 2+b 26.(母题:教材P19复习题T8)若√75n 是整数,则正整数n 的最小值是( ) A.2B.3C.4D.57.估计√48×√12+√32×2的值在数轴上最可能表示的点是( )A.AB.BC.CD.D8.已知一等腰三角形的周长为12√5,其中一边长为2√5,则这个等腰三角形的腰长为( ) A.2√5B.5√5C.2√5或5√5D.无法确定9.[2023·人大附中月考]若x =√3+1,y =√3-1,则x -y +xy 的值为( ) A.2B.2√3C.4D.010.(母题:教材P11习题T12)如图,在长方形ABCD 中无重叠地放入面积分别为8和16的两张正方形纸片,则图中空白部分的面积为()A.8√2-8B.8√3-12C.4-2√2D.8√2-2二、填空题(每题3分,共24分)11.从-√2,√3,√6中任意选择两个数,分别填在算式(□+○)2÷√2里面的“□”与“○”中,计算该算式的结果是.(只需写出一种结果)12.若y=√2x-3+√3-2x+1,则x-y=.13.计算(√5-2)2 024(√5+2)2 025的结果是.14.在△ABC中,a,b,c为三角形的三边长,化简√(a-b+c)2-2|c-a-b|=.15.实数a,b在数轴上对应点的位置如图所示,化简√a2-√b2+√(a-b)2的结果是.16.若a+4√2=(m+n√2)2,当a,m,n均为正整数时,a的值为.17.对于任意的正数a,b定义运算“★”:a★b={√a+√b(a<b),√a-√b(a≥b),则(3★2)×(8★12)的运算结果为.18.某动物园利用杠杆原理称象:如图,在点P处挂一根质地均匀且足够长的钢梁(呈水平状态),将装有大象的铁笼和弹簧秤(秤的重力忽略不计)分别悬挂在钢梁的点A,B处,当钢梁保持水平时,弹簧秤读数为k(N).若铁笼固定不动,移动弹簧秤使BP扩大到原来的n(n>1)倍,且钢梁保持水平,则弹簧秤读数为(N)(用含n,k的代数式表示).三、解答题(19题16分,其余每题10分,共66分)19.(母题:教材P19复习题T3)计算:(1)(√6+√8)×√3÷3√2;(2)(-12)-1-√12+(1-√2)0-|√3-2|;(3)(√6-4√12+3√8)÷2√2;(4)(1+√3)(√2-√6)-(2√2-1)2.20.[2023·宜昌]先化简,再求值:a 2-4a+4a2-4÷a-2a2+2a+3,其中a=√3-3.21.已知等式|a-2 023|+√a-2024=a成立,求a-2 0232的值.22.[2023·北京四中期中]求√3+√5+√3-√5的值.解:设x=√3+√5+√3-√5,两边平方得x2=(√3+√5)2+(√3-√5)2+2√(3+√5)(3-√5),即x2=3+√5+3-√5+4,x2=10,∴x=±√10.∵√3+√5+√3-√5>0,∴√3+√5+√3-√5=√10.请利用上述方法求√4+√7+√4-√7的值.23.拦河坝的横断面是梯形,如图,其上底是√8m,下底是√32m,高是√3m.(1)求横断面的面积;(2)若用300 m3的土,可修多长的拦河坝?24.阅读下列材料,解答后面的问题:在二次根式的学习中,我们不仅要关注二次根式本身的性质、运算,还要关注与分式、不等式相结合的一些运算.如:①要使二次根式√a -2有意义,则需满足a -2≥0,解得a ≥2. ②化简√1+1n 2+1(n+1)2(n >0),则需计算1+1n 2+1(n+1)2. ∵1+1n 2+1(n+1)2=n 2(n+1)2+(n+1)2+n 2n 2(n+1)2=n 2(n+1)2+n 2+2n+1+n 2n 2(n+1)2=n 2(n+1)2+2n 2+2n+1n 2(n+1)2=n 2(n+1)2+2n (n+1)+1n 2(n+1)2=[n (n+1)+1]2n 2(n+1)2,∴√1+1n 2+1(n+1)2=√[n (n+1)+1]2n 2(n+1)2=n (n+1)+1n (n+1)=1+1n (n+1)=1+1n -1n+1.(1)根据二次根式的性质,要使√a+23-a=√a+2√3-a成立,求a 的取值范围.(2)利用①中的提示,解答:已知b =√a -2+√2-a +1,求a +b 的值.(3)利用②中的结论,计算:√1+112+122+√1+122+132+√1+132+142+…+√1+12 0242+12 0252.第十六章综合答案一、1.C 2.C 3.A4.D 【点拨】由题意得5b =3+2b ,解得b =1.5.A6.B7.D 【点拨】√48×√12+√32×2=4√3×√22+√62×2=2√6+√6=3√6,∵49<54<64,∴7<3√6<8,∴式子的值在数轴上最可能表示的点是D ,故选D.8.B 【点拨】当腰长为2√5时,底边长为12√5-2√5-2√5=8√5,此时2√5+2√5<8√5,无法构成三角形;当底边长为2√5时,腰长为(12√5-2√5)÷2=5√5,此时2√5+5√5>5√5,能构成三角形.故选B.9.C 【点拨】把x =√3+1,y =√3-1代入得x -y +xy =√3+1-√3+1+(√3+1)(√3-1)=2+3-1=4,故C 正确.10.A 【点拨】根据已知条件可以求出长方形ABCD 的长和宽,从而求出长方形ABCD 的面积,即可求出空白部分的面积.二、11.52√2-2√3(答案不唯一) 12.23 13.√5+2 14.-a -3b +3c 【点拨】∵a ,b ,c 为三角形的三边长,∴a +c >b ,a +b >c ,即a -b +c >0,c -a -b <0.∴√(a -b +c )2-2|c -a -b |=(a -b +c )+2(c -a -b )=-a -3b +3c .15.-2a 【点拨】由题中数轴可以看出,a <0,b >0,∴a -b <0.∴√a 2-√b 2+√(a -b )2=-a -b +[-(a -b )]=-a -b -a +b =-2a .16.9或6 【点拨】∵a +4√2=(m +n √2)2=m 2+2n 2+2√2mn ,∴a =m 2+2n 2, 2mn =4.∵m ,n 均为正整数,∴m =1,n =2或m =2,n =1.当m =1,n =2时,a =12+2×22=9;当m =2,n =1时,a =22+2×12=6,∴a 的值为9或6.17.2 【点拨】∵3★2=√3-√2,8★12=√8+√12=2√2+2√3,∴(3★2)×(8★12)=(√3-√2)(2√2+2√3)=2(√3-√2)(√3+√2)=2. 18.kn三、19.【解】(1)原式=(3√2+2√6)÷3√2=1+23 √3.(2)原式=-2-2√3+1-(2-√3)=-2-2√3+1-2+√3=-3-√3. (3)原式=(√6-2√2+6√2)×√24=√32-1+3=√32+2.(4)原式=√2(1+√3)(1-√3)-(8-4√2+1)=√2×(1-3)-8+4√2-1=-2√2-8+4√2-1=2√2-9. 20.【解】原式=(a -2)2(a+2)(a -2)·a (a+2)a -2+3=a -2a+2·a (a+2)a -2+3=a +3.当a =√3-3时,原式=√3-3+3=√3. 21.【解】由题意得a -2 024≥0,∴a ≥2 024.原等式变形为a -2 023+√a -2 024=a . 整理,得√a -2 024=2 023.两边平方,得a -2 024=2 0232,∴a -2 0232=2 024.22.【解】设x =√4+√7+√4-√7,两边平方得x 2=(√4+√7)2+(√4-√7)2+2√4+√7·√4-√7, 即x 2=4+√7+4-√7+6,x 2=14, ∴x =±√14.∵√4+√7+√4-√7>0,∴√4+√7+√4-√7=√14.23.【解】(1)12(√8+√32)×√3=12(2√2+4√2)×√3=12×6√2×√3=3√6(m 2). 答:横断面的面积为3√6 m 2. (2)3√6=√6=√6√6×√6=100√66=50√63(m ). 答:可修50√63m 长的拦河坝. 24.【解】(1)由题意,得{a +2≥0,3-a >0,∴-2≤a <3.(2)由题意,得{a -2≥0,2-a ≥0,∴a =2,∴b =√2-2+√2-2+1=0+0+1=1, ∴a +b =2+1=3.(3)原式=(1+11-12)+(1+12-13)+(1+13-14)+…+(1+12 024- 12 025)=1×2 024+1-12 025=2 0242 0242 025.。
第十六章 二次根式一、单选题1.下列二次根式中,属于最简二次根式的是( )A B C D22得( ). A .2 B .44x -+C .-2D .44x -3有意义,a 的取值范围是( ) A .0a ≠B .且0a ≠C .2a >-. 或0a ≠D .2a ≥- 且0a ≠ 4.下列各式属于最简二次根式的有( )A B C D 5.下列运算正确的是( )A B )C =±3D .6( ) A .4至5之间B .5至6之间C .6至7之间D .7至8之间 7.下列运算正确的是( )A 5±B 2=-C =D .8.下列代数式能作为二次根式被开方数的是( )A .3﹣πB .aC .a 2+1D .2x+49.若x ≤0,则化简|1﹣x |﹣ 的结果是( )A .1﹣2xB .2x ﹣1C .﹣1D .110.我国南宋著名数学家秦九韶在他的著作《数书九章》一书中,给出了著名的秦九韶公式,也叫三斜求积公式,即如果一个三角形的三边长分别为a ,b ,c ,则该三角形的面积为S=△ABC 的三边长分别为1,2△ABC 的面积为( )A .1B .2C .3D .4二、填空题11.计算 的结果是_____.122(3)0b +=,则M (a ,b )点的坐标为________.13.若实数m 、n 满足|m ﹣0,且m 、n 恰好是Rt △ABC 的两条边长,则△ABC 的周长是_____.14.分母有理化:=_________.三、解答题15.化简计算:(1(22(1+-.16.已知:实数a ,b ﹣|a ﹣b|.17,等的式子,其实我1==.以上这种化简的步骤叫做分母有理化. (1(249++.答案1.C2.A3.D4.B5.D6.B7.C8.C9.D 10.A 11.12.(1,-3)13.12或14.215.(1)6;(2)+6 16.2a-3b+317.(1(2)3.。
人教版八年级数学下册第十六章测试卷及答案一.选择题(共10小题,每小题3分,共30分)1.在下列各式中,不是二次根式的有( )同号,且A.3个 B.2个 C.1个 D.0个2.( )A.3-2+1 B.3+2-1 C.3+2+1 D.3-2-13. 下列式子中,为最简二次根式的是( )A4. 下列计算错误的是( )A BC D5.下列计算正确的是( )A.32=6 B.(-25)3=-85C.(-2a2)2=2a4 D6.若实数a,b满足ab>0,则化简( )A7.( )A.5和6之间 B.6和7之间C.7和8之间 D.8和9之间8.若x<0,( )A.0 B.-2 C.0或2 D.29.已知a,b,c为△ABC的三边长,|b-c|=0,则△ABC的形状是( ) A.等腰三角形B.等边三角形C.直角三角形D.等腰直角三角形10. 已知实数x,y满足:y( )A..5二.填空题(共8小题,每小题3分,共24分)11.计算_______.12. 已知a <2,_________.13.如图是一个简单的数值运算程序,当输入x ,则输出的值为________.输入x →→输出14.在△ABC 中,a,b,c 为三角形的三边长,化简2|c -a -b|=________.15.x 的取值范围是________.16.实数a,b 在数轴上对应点的位置如图所示,______.17.某动物园利用杠杆原理称象:如图,在点P 处挂一根质地均匀且足够长的钢梁(呈水平状态),将装有大象的铁笼和弹簧秤(秤的重力忽略不计)分别悬挂在钢梁的点A,B 处,当钢梁保持水平时,弹簧秤读数为k(N).若铁笼固定不动,移动弹簧秤使BP 扩大到原来的n(n >1)倍,且钢梁保持水平,则弹簧秤读数为________(N)(用含n,k 的代数式表示).18.已知三角形的三边长分别为a,b,c,求其面积问题,中外数学家曾经进行过深入研究,古希腊的几何学家海伦给出求其面积的海伦公式S 其中p =a +b +c 2;我国南宋时期数学家秦九韶曾提出利用三角形的三边求其面积的秦九韶公式S 若一个三角形的三边长分别为2,3,4,则其面积是________.三.解答题(共7小题, 66分)19.(8分) 计算下列各式:;20.(8分) 先化简,再求值:a 2-b 2a ÷(a -2ab -b 2a ),其中a 2,b 2.21.(8分) 已知x 2,求(9+2-2)x +4的值.22.(8分) 已知实数a,b 满足(4a -b +11)20,求1的值.23.(10分)如图,用两个边长均为的小正方形拼成一个大的正方形.(1)求大正方形的边长;(2)沿此大正方形边的方向能否剪出一张长.宽之比为4∶3,且面积为720 cm 2的长方形纸片?若能,试求出剪出的长方形纸片的长与宽;若不能,试说明理由.24.(10分) 先阅读材料,再回答问题:已知x1,求x2+2x-1的值.计算此题时,若将x1直接代入,则运算非常麻烦.仔细观察代数式,发现由x1,得x+1所以(x+1)2=3.整理,得x2+2x=2.再代入求值会非常简便.解答过程如下:解:由x1,得x+1∴(x+1)2=3.整理,得x2+2x=2,∴x2+2x-1=2-1=1.请仿照上述方法解答下面的题目:已知x2,求6-2x2+8x的值.25.(14分) (1)用"="">""<"填空:4++16________2+5________2(2)由(1)中各式猜想m+n与,并说明理由.(3)请利用上述结论解决下面问题:某园林设计师要对园林的一个区域进行设计改造,将该区域用篱笆围成长方形的花圃,如图所示,花圃恰好可以借用一段墙体,为了围成面积为200 m2的花圃,所用的篱笆至少为多少米?参考答案1-5BABCD 6-10ABDBD12. 2-a14. -a -3b +3c15. x>216. -2a 17.k n19. 解:(1)原式=2=5;(2)原式=20.解:原式=(a +b)(a -b)a ÷a 2-2ab +b 2a =(a +b)(a -b)a ·a(a -b)2=a +b a -b .当a 2,b 2时,21. 解:原式=(9+2)2-2)+4=(9+--1+4=81-80-1+4=422. 解:由题意得{4a -b +11=013b -4a -3=0解得{a =14b =12.则1==14×14×223. 解:(1)30(cm)(2)不能,理由如下:设长方形纸片的长为4x cm,宽为3x cm,则4x·3x =720,解得x =∴4x =30,∴不能剪出符合要求的长方形纸片24. 解:由x 2,得x -2∴(x -2)2=5.整理,得x 2-4x =1,∴6-2x 2+8x =6-2(x 2-4x)=6-2×1=4.25. 解:(1)>;>;=(2)m 理由如下:当m≥0,n≥0时2≥0,∴2-2≥0.∴m -∴m (3)设花圃平行于墙的一边长为a m,垂直于墙的一边长为b m,则a >0,b >0,ab =200.根据(2)中的结论可得a 2×20=40,∴所用的篱笆至少为40 m.。
人教版八年级数学下册第十六章达标检测卷一、选择题(每题3分,共30分)1.下列的式子一定是二次根式的是()A.a B.3a C.-a D.a22.若二次根式x-5有意义,则x的取值范围在数轴上表示正确的是()3.下列二次根式中,最简二次根式是()A.25aB.a2+b2C.a2 D.0.54.下列计算正确的是()A.53-23=2 B.22×32=6 2 C.3+23=3 D.33÷3=35.下列根式:①18;②2;③32;④3,化为最简二次根式后,被开方数相同的是()A.①和②B.②和③C.③和④D.①和④6.11的整数部分是x,小数部分是y,则y(x+11)的值为()A.3-11 B.9-311 C.-2 D.27.已知a=3+22,b=3-22,则a2b-ab2的值为()A.1 B.17 C.4 2 D.-4 2 8.已知a,b,c为△ABC的三边长,且a2-2ab+b2+|b-c|=0,则△ABC的形状是()A.等腰三角形B.等边三角形C.直角三角形D.等腰直角三角形9.已知x,y为实数,且3x+4+y2-6y+9=0.若axy-3x=y,则实数a的值为()A.14B.-14C.74D.-7410.已知实数x,y满足:y=x2-16+16-x2+24x-4,则xy+13的值为()A.0 B.37 C.13 D.5 二、填空题(每题3分,共30分)11.计算:24-323=________.12.若最简二次根式3a-1与2a+3可以合并,则a的值为________.13.已知x-1x=6,则x2+1x2=________.14.当x=5-1时,代数式x2+2x+3的值是________.15.三角形的三边长分别为3,m,5,化简(2-m)2-(m-8)2=________.16.已知x,y为实数,且y=x2-9-9-x2+4,则x-y的值为________.17.实数a,b在数轴上的位置如图所示,化简a2-b2+(a-b)2的结果是________.(第17题)18.若实数m满足(m-2)2=m+1,且0<m<3,则m的值为________.19.若xy>0,则二次根式x-yx2化简的结果为________.20.观察下列式子:1+112+122=112;1+122+132=116;1+132+142=1112;……根据此规律,若1+1a2+1b2=1190,则a2+b2的值为________.三、解答题(21题12分,26,27题每题10分,其余每题7分,共60分) 21.计算:(1)(6+8)×3÷32;(2)48÷3-12×12+24;(3)(3+25)2-(4+5)(4-5);(4)⎝ ⎛⎭⎪⎫-12-1-12+(1-2)0-|3-2|.22.先化简,再求值:a 2-b 2a ÷⎝ ⎛⎭⎪⎫a -2ab -b 2a ,其中a =5+2,b =5-2.23.已知a ,b ,c 是△ABC 的三边长,化简:(a +b +c )2-(b +c -a )2+(c -b -a )2.24.已知a+b=-2,ab=12,求ba+ab的值.25.观察下列各式:①2-25=85=225;②3-310=2710=3310;③4-417=6417=44 17.(1)根据你发现的规律填空:5-526=________=________;(2)猜想n-nn2+1(n≥2,n为自然数)等于什么?并通过计算证实你的猜想.26.如图,有一张边长为6 2 cm的正方形纸板,现将该纸板的四个角剪掉,制作一个有底无盖的长方体盒子,剪掉的四个角是面积相等的小正方形,且小正方形的边长为 2 cm.求:(1)剪掉四个角后,制作长方体盒子的纸板的面积;(2)长方体盒子的体积.(第26题)27.阅读材料:小明在学习完二次根式后,发现一些式子可以写成另一个式子的平方,如3+22=(1+2)2.善于思考的小明进行了如下探索:设a+b2=(m+n2)2(其中a,b,m,n均为正整数),则有a+b2=m2+2n2+2mn2,故a=m2+2n2,b=2mn.这样小明就找到了把类似a+b2的式子化为完全平方式的方法.请你仿照小明的方法探索并解决下列问题:(1)当a,b,m,n均为正整数时,若a+b3=(m+n3)2,用含m,n的式子分别表示a,b,得:a=________,b=________;(2)利用所探索的结论,找一组正整数a,b,m,n填空:________+________3=(________+________3)2;(3)若a+43=(m+n3)2,且a,m,n均为正整数,求a的值.答案一、1.D 2.B 3.B 4.D 5.A 6.D 7.C8.B 点拨:原等式可化为|a -b |+|b -c |=0,∴a -b =0且b -c =0,∴a =b =c ,即△ABC 是等边三角形. 9.A 10.D 二、11. 612.4 点拨:∵最简二次根式3a -1与2a +3可以合并,∴它们的被开方数相同,即3a -1=2a +3,解得a =4.13.8 点拨:x 2+1x 2=x 2+1x 2-2+2=⎝ ⎛⎭⎪⎫x -1x 2+2=(6)2+2=6+2=8.14.715.2m -10 点拨:∵三角形的三边长分别为3,m ,5,∴2<m <8,∴2-m <0,m -8<0,∴(2-m )2-(m -8)2=m -2-(8-m )=2m -10.16.-1或-7 点拨:由二次根式有意义,得⎩⎨⎧x 2-9≥0,9-x 2≥0,解得x 2=9,∴x =±3,∴y =4,∴x -y =-1或-7.17.-2a 点拨:由题中数轴可以看出,a <0,b >0,所以a -b <0,所以a 2-b 2+(a -b )2=-a -b +[-(a -b )]=-a -b -a +b =-2a . 18.1219.--y 点拨:由题意知x <0,y <0,所以x-yx 2=--y .解此类题要注意二次根式的隐含条件:被开方数是非负数. 20.181三、21.解:(1)原式=(32+26)÷32=1+23 3.(2)原式=43÷3-12×12+2 6 =4-6+2 6=4+ 6.(3)原式=9+125+20-(16-5) =29+125-11=18+12 5.(4)原式=-2-23+1-(2-3) =-2-23+1-2+ 3=-3- 3.22.解:原式=(a+b)(a-b)a÷a2-2ab+b2a=(a+b)(a-b)a·a(a-b)2=a+b a-b ,当a=5+2,b=5-2时,原式=5+2+5-25+2-5+2=254=52.23.解:∵a,b,c是△ABC的三边长,∴a+b+c>0,b+c-a>0,c-b-a<0,∴原式=a+b+c-(b+c-a)+(a+b-c)=3a+b-c.24.解:由题意,知a<0,b<0,所以原式=aba2+abb2=aba2+abb2=ab-a+ab -b =-(a+b)abab=-(-2)×1212=2 2.点拨:此题易出现以下错误:原式=ba+ab=a+bab=-212=-2 2.出错的原因在于忽视了隐含条件,进而导致在解答过程中进行了非等价变形.事实上,由a+b=-2,ab=12,可知a<0,b<0,所以将ba+ab变形成ba+ab是不成立的.25.解:(1)12526;5526(2)猜想:n-nn2+1=nnn2+1.验证如下:当n≥2,n为自然数时,n-nn2+1=n3+nn2+1-nn2+1=n3n2+1=nnn2+1.26.解:(1)纸板的面积为:(62)2-4×(2)2=64(cm2).(2)长方体盒子的体积为:(62-22)(62-22)×2=322(cm3).27.解:(1)m2+3n2;2mn(2)答案不唯一,如:12;6;3;1(3)由b=2mn,得4=2mn,则mn=2.因为a,m,n均为正整数,所以mn=1×2或mn=2×1,即m=1,n=2或m=2,n=1.当m=1,n=2时,a=m2+3n2=12+3×22=13;当m=2,n=1时,a=m2+3n2=22+3×12=7.因此a的值为13或7.。
人教版八年级数学下册第十六章卷(附答案)一、选择题1.如果有意义,那么x的取值范围是()A.x>1B.x≥1C.x≤1D.x<12.的相反数是()A.﹣B.C.﹣D.3.下列根式中属最简二次根式的是()A.B.C.D.4.下列计算错误的是()A.B.C.D.5.下列二次根式中与的被开方数相同的是()A.B.C.D.6.若是整数,则正整数n的最小值是()A.2B.3C.4D.57.设,a在两个相邻整数之间,则这两个整数是()A.1和2B.2和3C.3和4D.4和58.已知a<b,则化简二次根式的正确结果是()A.B.C.D.9.若x=﹣3,则等于()A.﹣1B.1C.3D.﹣310.已知,则的值为()A.B.8C.D.6二、填空题11.已知a=,则代数式a2﹣1的值为.12.若,则m﹣n的值为.13.计算:=.14.比较大小:﹣3﹣2.15.如果最简二次根式与的被开方数相同,那么a=.16.与的关系是.17.观察下列各式:①;②=3;③,…请用含n(n≥1)的式子写出你猜想的规律:.三、解答题18.计算:(1);(2);(3);(4).19.当x=﹣1时,求代数式x2+2x+2的值.20.先化简,再求值:(﹣)÷,其中x=2.21.解方程组,并求的值.22.若实数x,y满足y=++2,求的值.23.阅读下面问题:;;.试求:(1)的值;(2)(n为正整数)的值.(3)计算:.答案1.B.2.A.3.A.4.D.5.D.6.B.7.C.8.A.9.B.10.C.11.1.12.4.13.3.14.<.15.1.16.解:∵=,∴的关系是相等.17.解:从①②③三个式子中,我们可以发现计算出的等号后面的系数为等号前面的根号里的整数加分数的分子,根号里的还是原来的分数,即=(n+1).18.解:(1)原式=2﹣﹣2﹣=﹣3;(2)原式=2××=;(3)原式=(2)2﹣()2=12﹣6=6;(4)原式=(8﹣9)÷=﹣÷=﹣=﹣.19.解:原式=x2+2x+1+1=(x+1)2+1,当x=﹣1时,原式=()2+1=3 20.解:原式=•=当x=2时,原式=.21.解:,①×2﹣②得,y=,代入①得,3x+6×=10,解得x=.故==.故答案为:.22.解:由题意,得1﹣x≥0,1﹣x≤0,解得x=1,当x=1时,y=2.当x=1,y=2时,=.23.解:(1)===﹣;(2)===﹣;(3)原式=﹣1+﹣+﹣+…+﹣+﹣=﹣1=10﹣1=9.。
八年级数学下册第十六章《二次根式》测试题-人教版(含答案)一.选择题(每小题 3 分,共 30 分)1.代数式24x -在实数范围内有意义,则 x 的取值范围是()A .x ≥2B .x ≠2C .x >2D .x ≤2 2.化简16的结果为( ) A .2 B .-4 C .4D .±43. 下列二次根式是最简二次根式的是()A .13B . 8C . 14D .12 4. 下列计算正确的是( ) A .822-= B .(25)(25)1-+= C 945 D 22=5. 设 x 、y 为实数,且 y =45x -5x - |y − x | 的值是( )A .1B .9C .4D .56.2(21)a -=1-2a ,则()A .a >12B . a <12C . a ≥12D . a ≤127. 已知 ab <02a b 后的结果为()A .bB .-bC .b -D .-b -8. 化简二次根式-1a a-后的结果是( )A aB a -C aD a -9. 已知110a a +,则1a a-等于( ) A .±6 B 6 C 6 D 610.已知 a 、b 、c 为互不相等的有理数,满足2(2)(2)(2)b a c +=++, 则符合条件的a 、b 、c 共有( )A .0 组B .1 组C .2 组D .4 组二、填空题(每小题 3 分,共 18 分)11. 18_________,2(27)=__________43__________.13. 在实数范围内分解因式x 3-5x =________________. 14. 已知 x =5-1,则 x ²+2x -7=___________. 15. 已知实数 a 、b 在数轴上对应的点的位置如图所示,化简:2a + |a + b | +| −a +2|-2(2)b -=___________. 16.设12211112a =++,22211123a =++,32211134a =++,……,22111(1)n a n n =+++, 其中n 为正整数,则n a 的值为_______________.三、解答题(共 8 题,共 72 分) 17.(8 分)计算: (1) 118288-+; (2) 11(6)2()|32|2--⨯-+-; (3) 231(32)31+---; (4) 20202021(23)(23)-+.18. (8分)先化简,再求值: 3142y xx y x y +-+,其中 x =4,y =19.19.(8 分)如图,已知长方形内两相邻正方形的面积分别为 2 和 6,求长方形内阴影部分的面积S.20. (8分)已知实数23+的整数部分为x,小数部分为y,求224x yx y+-+的值.21. (8分)已知x3+1,y31,求:(1)代数式xy的值; (2)代数式x3+x2y+xy2+y3的值.22. (10分)(1) 已知:a32,b3+2,求代数式a2b-ab2 的值;(2)运用乘法公式计算:①2+.(32)(23)(32)(2233);②2(3)已知实数x、y满足x2+10x4y-=-25 ,则(x+y)2021的值是多少?23. (10分)743+743+7212+由于4+3=7,4×3=12, 即4)²+3)²=74×312 743+7212+22(4)243(3)+⨯+2(43)+=23.请解答下列问题:(1)423+________526-=__________;(2)进一步研究发现: 2m n ±的化简, 只要我们找到两个正数 a 、b (a > b ), 使 a +b =m ,ab =n ,即22)a b m +=ab n =2m n ±___________; (3)322+526+7212+9220+11230+13242+15256+17272+请写出化简过程).24.(12分)对于任意正实数a、b,均有2()a b≥0,∴a-ab b≥0,∴a+b≥ab当且仅当a=b时,等号成立. 结论:在a+b≥ab a、b均为正实数)中,若ab为定值p,只有当a=b时,a+b有最小值p根据上述内容,回答下列问题:(1)初步探究:若n>0,只有当n=_______ 时,n+1n有最小值;(2)深入思考:下列一组图是由 4 个全等的矩形围成的大正方形,中空部分是小正方形,矩形的长和宽分别为a、b . 试利用大正方形与四个矩形的面积的大小关系,验证a+b≥ab并指出等号成立时的条件;(3)拓宽延伸:如图,已知A(-6,0),B(0,-8),点P是第一象限内的一个动点,过P 点向坐标轴作垂线,分别交x轴和y轴于C、D两点,矩形OCPD的面积始终为 48,求四边形ABCD面积的最小值以及此时P点的坐标.……ABC yD O Px参考答案一.选择题(每小题 3 分,共 30 分)1.代数式24x -在实数范围内有意义,则 x 的取值范围是()A .x ≥2B .x ≠2C .x >2D .x ≤2 【答案】A .2.化简16的结果为( ) A .2 B .-4 C .4 D .±4【答案】C .3. 下列二次根式是最简二次根式的是()A .13B . 8C . 14D .12 【答案】C .4. 下列计算正确的是( ) A .822-= B .(25)(25)1-+= C 945 D 22=【答案】A .5. 设 x 、y 为实数,且 y =45x -5x - |y − x | 的值是( )A .1B .9C .4D .5【答案】A .6.2(21)a -=1-2a ,则()A .a >12B . a <12C . a ≥12D . a ≤12【答案】D .7. 已知 ab <02a b 后的结果为()A .bB .-bC .b -D .-b -【答案】B .8. 化简二次根式-1a a-后的结果是( )A aB a -C aD a -【答案】B . 9. 已知110a a +,则1a a-等于( ) A .±6 B 6 C 6 D 6【答案】D . 提示:2211()()4a a aa-=+-=10-4=6,∴1a a-=±6.10.已知 a 、b 、c 为互不相等的有理数,满足2(2)(2)(2)b a c +=++, 则符合条件的a 、b 、c 共有( )A .0 组B .1 组C .2 组D .4 组【答案】A . 提示:由已知等式,得b 2+22b =ac +(a +c )2,∵a 、b 、c 为有理数, 比较上述等式的两边,得:b 2=ac ,2b =a +c .由2b =a +c ,得4b 2=(a +c )2,把b 2=ac 代入,得4ac =(a +c )2,∴(a -c )2=0, ∴a =c ,与题设a ≠c 不符,故选A .二、填空题(每小题 3 分,共 18 分)11. 计算:18=_________,2(27)=__________,43=__________. 【答案】32, 28,233.12. 若45n 是整数,则正整数 n 的最小值为___________. 【答案】5.13. 在实数范围内分解因式x 3-5x =________________.【答案】x (x +5)(x -5). 提示:原式=x (x 2-5)=x (x +5)(x -5). 14. 已知 x =5-1,则 x ²+2x -7=___________.【答案】-3. 提示:移项得:x +1=5,两边平方,得 x 2+2x +1=5,∴x 2+2x =4, 则x ²+2x -7=4-7=-3.15. 已知实数 a 、b 在数轴上对应的点的位置如图所示,化简:2a + |a + b | +| −a +2|-2(2)b -=___________.【答案】-3a . 提示: 由数轴,知a <b <0,∴a +b <0,-a +2>0,b -2<0, ∴原式=|a |+|a + b | +| −a +2|-|b -2|=-a -(a +b )+(-a +2)+(b -2)=-3a .16.设12211112a =++,22211123a =++,32211134a =++,……,22111(1)n a n n =+++, 其中n 为正整数,则n a 的值为_______________.【答案】1+1(1)n n +. 提示:22222222(1)(1)(1)(1)n n n n n a n n n n +++=+++=222222(1)(1)(1)n n n n n n +++++=22222(1)221(1)n n n n n n +++++=2222(1)2(1)1(1)n n n n n n +++++=222[(1)1](1)n n n n +++,∴a n =(1)1(1)n n n n +++=1+1(1)n n +.三、解答题(共 8 题,共 72 分) 17.(8 分)计算: 118288 (2) 11(6)2()32|2--+; (3) 231(32)31+- (4) 20202021(23)23). 【答案】(1)原式=2124711247 (2)原式=-32+(23=-3(3)原式=(3-34)2(31)(31)(31)+-+7-3423+=7-3235-3(4)原式=20202020(23)(23)(23)=2020(23)(23)-23.18. (8分)先化简,再求值: 3142y xy x ++,其中 x =4,y =19. 122x y x y 132x y当x =4,y =19114329=1+1=2.19.(8 分)如图,已知长方形内两相邻正方形的面积分别为 2 和 6, 求长方形内阴影部分的面积S .【答案】依题意,AM 2,DM =CD 6AD 26 ∴长方形ABCD 626, 则S 626-2-6=3 2. 方法2:S =AM ·AB -22·62=3 2.20. (8分)已知实数23+ 的整数部分为x ,小数部分为y ,求224x yx y +-+ 的值.23+23,∴023+1,∴x =0,y =23∴ 224x y x y +-+02(23)02(23)4+---+2(23)4234--++2(23)23-233-233-21. (8分)已知x 3+1,y 31,求:(1)代数式xy 的值; (2)代数式x 3+x 2y +xy 2+y 3的值. 【答案】(1) xy =33-1)=3-1=2. (2) x +y =31)+31)=3原式=x 2(x +y )+y 2(x +y )=(x +y )(x 2+y 2)=(x +y )[(x +y )2-2xy ] =332-2×2]=3-4)=322. (10分)(1) 已知: a 32,b 3+2,求代数式 a 2b -ab 2 的值; 【答案】a -b =-4,ab =332)=3-4=-1, ∴原式=ab (a -b )=-1×(-4)=4.(2)运用乘法公式计算:①2(2233); ②2(32)(23)(32)+. 【答案】①原式=8+627=35+6②原式=4-3+(3-62)=1+5-66-6(3)已知实数 x 、y 满足 x 2+10x 4y -=-25 ,则(x +y )2021的值是多少? 【答案】由已知条件,得 (x +5)24y -0,∵(x +5)2≥04y -0,∴(x +5)2=04y -0, ∴x =-5,y =4,∴(x +y )2021=(-5+4)2021=-1.23. (10分)743+743+7212+由于4+3=7,4×3=12, 即4)²+3)²=74×312 743+7212+22(4)243(3)+⨯+2(43)+=23.请解答下列问题:(2)进一步研究发现: 2m n ±的化简, 只要我们找到两个正数 a 、b (a > b ), 使 a +b =m ,ab =n ,即22)a b m +=ab n =2m n ±___________; (3)322+526+7212+9220+11230+13242+15256+17272+请写出化简过程).【答案】42331+52632-2m n ±2a b ab +±2()a b ±a b(3)∵32221+52632+721243+ 21+32+43+54+98+ =21)+32)+43+54+…+98) =-191+3=2.24.(12分)对于任意正实数 a 、b ,均有2()a b ≥0,∴a -ab b ≥0,∴a +b ≥ab 当且仅当 a =b 时,等号成立. 结论:在 a +b ≥ab a 、b 均为正实数)中,若 ab 为定 值p ,只有当a =b 时,a +b 有最小值p 根据上述内容,回答下列问题: (1)初步探究:若 n >0,只有当 n =_______ 时,n +1n有最小值; (2)深入思考:下列一组图是由 4 个全等的矩形围成的大正方形,中空部分是小正方形, 矩形的长和宽分别为 a 、b . 试利用大正方形与四个矩形的面积的大小关系,验证 a +b ≥ab 并指出等号成立时的条件;(3)拓宽延伸:如图,已知 A (-6,0),B (0,-8),点 P 是第一象限内的一个动点,过 P 点向坐标轴作垂线,分别交 x 轴和 y 轴于 C 、D 两点,矩形 OCPD 的面积始终为 48, 求四边形 ABCD 面积的最小值以及此时 P 点的坐标.【答案】(1) n =1. 提示: 根据a +b ≥ab 112n n nn+≥⋅当且仅当n =1n时成立,此时n =1.……ABCy DOP x(2) 大正方形的边长为a+b,中空小正方形的边长为b-a,由图形的面积,得:(a+b)2-4ab=(b-a)2≥0,∴(a+b)2-4ab≥0,∴(a+b)2≥4ab,则a+b≥ab显然,只有当a=b时,上述各式中等号成立.(3) 设P(x,y),则OC=x,OD=y,xy=48.∵A(-6,0),B(0,-8),∴OA=6,OB=8,∴四边形ABCD的面积为S=12AC·BE=12(x+6)(y+8)=12(xy+8x+6y+48)=12(48+8x+6y+48)=4x+3y+48≥43x y⋅+48=3xy48=348⨯48=96.取等号时,4x=3y,又xy=48,∴x=6,y=8,∴P(6,8).∴四边形ABCD面积的最小值为96,此时P点的坐标为P(6,8).。
人教版八年级下册数学第16章测试题(附答案)姓名:__________ 班级:__________考号:__________一、单选题(共12题;共36分)1.下列各式中,是二次根式的有()① ;② ;③ ;④ ;⑤ (x≤3);⑥(x>0);⑦ ;⑧ ;⑨ ;⑩ .A. 4个B. 5个C. 6个D. 7个2.下列计算正确的是()A. + =B. ﹣=C. × =6D. ÷ =43.下列式子中正确的是()A. B.C. D.4.下列计算中正确的是()A. B. C. D.5.化简二次根式得()A. ﹣5B. 5C. ±5D. 306.下列二次根式中属于最简二次根式的是()A. B. C. D.7.下列计算正确的是()A. =xB. =C. =2D. =x8.如果=1﹣2a,则()A. a<B. a≤C. a>D. a≥9.下列二次根式中最简根式是()A. B. C. D.10.下列各式计算正确的是()A. +=B. 3+=3C. 3﹣=2D. =-11.要使二次根式有意义,则x的取值范围是()A. xB. xC. xD. x12.如果最简根式与是同类二次根式,那么使有意义的x的取值范围是()A. x≤10B. x≥10C. x<10D. x>10二、填空题(共8题;共16分)13.若一个数与是同类二次根式,则这个数可以是________.14.函数y= 中,自变量x的取值范是________ .15.在△ABC中,BC边上的高h= cm,它的面积恰好等于边长为cm的正方形的面积,则BC的长为________.16.当a________时,在实数范围内一有意义.17.计算的结果是________18.计算=________.19.等式中的括号应填入________20.若实数x,y,m满足等式,则m+4的算术平方根为________.三、解答题(共3题;共15分)21.站在水平高度为h米的地方看到可见的水平距离为d米,它们近似地符号公式为。
人教版八年级下册数学第十六章《二次根式》单元测试题(含答案)一、 选择题(本大题共10小题,每小题2分,共20分)1. 下列式子一定是二次根式的是( ) A. 2--x B. x C. 22+x D. 22-x2. 二次根式13)3(2++m m 的值是( ) A. 23 B. 32 C.22 D. 0 3. 若13-m 有意义,则m 能取的最小整数值是( )A. m =0B. m =1C. m =2D. m =34. 若x < 0,则xx x 2-的结果是( ) A. 0 B. -2 C. 0或-2 D. 25. 下列二次根式中属于最简二次根式的是( ) A. 14 B. 48 C. b a D. 44+a6. 如果)6(6-=-•x x x x ,那么( )A. 0≥xB. 6≥xC. 60≤≤xD. x 为一切实数 7. 小明的作业本上有以下四题: ①24416a a =;②a a a 25105=⨯;③a a a a a=•=112;④a a a =-23。
做错的题是( )A. ①B. ②C. ③D. ④ 8. 化简6151+的结果是( ) A. 3011 B. 33030 C. 30330 D. 11309. 若最简二次根式a +1与a 24-的被开方数相同,则a 的值为( ) A. 43-=a B. 34=a C. 1=a D. 1-=a10. 若n 75是整数,则正整数n 的最小值是( )A. 2B. 3C. 4D. 5二、 填空题(本大题共10小题,每小题3分,共30分)11. 若b b -=-332)(,则b 的取值范围是___________。
12. 2)52(-=__________。
13. 若m < 0,则332m m m ++=_______________。
14. 231-与23+的关系是____________。
15. 若35-=x ,则562++x x 的值为___________________。
人教版八年级下册数学第十六章测试卷一、选择题(每小题3分,共30分)1.下列计算正确的是( )A .532=+B .2553=-C .3226=⨯D .326=÷2.如果a 为任意实数, 下列各式中一定有意义的是( )AB CD 3.下列式子中,属于最简二次根式的是( )A .9B .7C .20D .31 4.下列二次根式,不能与12合并的是( )A .48B .18C .311D .-755.下列计算正确的是( )A =B 1==C .(21-+=D=6.已知ab <0,则b a 2化简后为( )A .b aB . b a -C .b a -D .b a --7.在△ABC 中,BC =,BC 上的高为cm ,则△ABC 的面积为( )A . 2B .cm 2C . 2D .28.( )ABCD9.|3﹣y |=0( )A .9B .C .D .﹣910.实数a 在数轴上的位置如图所示,则错误!未找到引用源。
化简后为( )A . 7B . -7C . 错误!未找到引用源。
D .无法确定第10题图二、填空题(每小题3分,共30分)11.当6-=x 时,二次根式73x -的值为12.小红说:“因为4=2,所以4不是二次根式.”你认为小红的说法对吗?________ (填对或错)13.若代数式2-x x有意义,则x 的取值范围是_____________ 14.已知y =44x x -+-+3,则(y ﹣x )2017= .15.当a = 时,最简二次根式2a -与102a -是同类二次根式;16.把1m m--根号外的因式移到根号内,则得 . 17.如图所示的数轴上,点B 与点C 关于点A 对称,A 、B 两点对应的实数是3和-1,则点C 所对应的实数是 .第17题图18.已知a 、b 、c 是△ABC ()2940a b --=,则第三边c 的取值范围是____________.19.已知a ,b 18a b +=a +b = .20. 2 2 6 22 10 ⋅⋅⋅、、、、 (第n 个数). 三、解答题(共60分)21.(6分)化简(1(2)60061243--22.(6分)(1)(2)先化简,在求值:22()a b ab b a a a--÷-,其中1a =,1b =.23.(6分)求值: (1)已知a =21,b =41,求b a b --ba b +的值.(2)已知x =251-,求x 2-x +5的值.24.(6分)x 为偶数,求(1+x .25.(8分)一个三角形的三边长分别为,54.(1)求它的周长(要求结果化简);(2)请你给出一个适当的x 的值,使它的周长为整数,并求出此时三角形周长的值.26.(8分)在一块边长为m 的正方形土地中,修建了一个边长为m 的正方形养鱼池,问:剩余部分的面积是多少?27.(10分)我们知道:任意一个有理数与无理数的和为无理数,任意一个不为零的有理数与一个无理数的积为无理数,而零与无理数的积为零.由此可得:如果ax +b =0,其中a 、b 为有理数,x 为无理数,那么a =0且b =0.运用上述知识,解决下列问题:(1)如果032)2(=++-b a ,其中a 、b 为有理数,那么a = ,b = ; (2)如果5)21()22(=--+b a ,其中a 、b 为有理数,求2a b +的值.28.(10分)小明在学习二次根式后,发现一些含根号的式子可以写成另一个含根号的式子的平方,如(231+=+,善于思考的小明进行了如下探索:设(2a m +=+,(其中a 、b 、m 、n 均为正整数)则有2222a m n +=+222,2a m n b mn ∴=+=这样,小明找到了把部分a +. 请你仿照小明的方法探索并解决问题:(1)当a 、b 、m 、n 均为正整数时,若(2a m +=+,用含m 、n 的式子分别表示a 、b 得,a = ,b =(2)若(2a m +=+且a 、b 、m 、n 均为正整数,求a 的值.参考答案1.C2.C3.B【解析】最简二次根式是指不能继续化简的二次根式,A 、原式=3;B 为最简二次根式;C 、原式=25;D 、原式=334.B【解析】本题首先将所有的二次根式的化简,如果化简后被开方数相同,则能够进行合并.3212=;3448=;2318= 5.A .【解析】A ==B ==;故该选项错误;C 、(2451+=-=-,故该选项错误;D 212==;故该选项错误.故选A . 6.B【解析】根据题意可得:a <0,b >0,则原式=a .7.C【解析】由三角形面积公式得11422ABC S BC h ==⨯==△(cm 2). 8.B【解析】二次根式的乘除法运算属于同级运算,按照从左到右的运算顺序运算即可. 9.C【解析】根据非负数的性质列出算式,分别求出x 、y 的值,根据二次根式的性质计算即可. 解:由题意得,x ﹣12=0,3﹣y =0,解得,x =12,y =3, 则﹣=2﹣=,故选:C . 10.A 【解析】二次根式的性质为:⎩⎨⎧≤-≥=)0()0(2a a a a a a ,根据数轴可得:a -4 0,a -11 0,则原式=114-+-a a =a -4+11-a =7.11.5. 【解析】当6x =-时,()73736255x -=--==.12.错【解析】二次根式是指含有的式子.13.x ≥0且x ≠2【解析】二次根式的被开方数为非负数,分式的分母不为零.根据性质可得:x ≥0且x -2≠0,解得:x ≥0且x ≠2. 14.﹣1【解析】直接利用二次根式有意义的条件得出x ,y 的值,进而代入求出答案. 解:∵y =++3,∴x =4,y =3,则(y ﹣x )2017=(3﹣4)2017=﹣1. 故答案为:﹣1. 15.4.【解析】根据同类二次根式的定义可得,a -2=10-2a ,解得a =4. 故答案为:4. 16.m -【解析】根据题意可得:m <0,所以211()()m m m m--=--=- 17.23+1.【解析】解:设点C 所对应的实数是x .则有x (-1),解得x =1. 18.5<c <13【解析】根据题意可得:a -9=0,b -4=0,解得:a =9,b =4,则a -b <c <a +b ,即5<c <13. 19.10.==,x 、y 都是正整数,是同类二次根式, ∴28a b ==⎧⎨⎩或82b a ==⎧⎨⎩, ∴a +b =10.20【解析】的倍数,的1倍,依此类推,第n21.(1)-1;(2 【解析】(1)利用平方差公式计算;(2)先将各式化简成最简二次根式,然后合并同类二次根式即可. 解:(1)原式=223-2)()( =2-3 =-1 (2)60061243--= 61066166-- =6)10616(-- =6625-22.(12【解析】(1)先根据绝对值、负整数指数幂、二次根式等知识点分别进行计算,最后进行加减运算即可.(2)先化简分式,再把a 、b 的值代入化简的式子即可求值. 解:(1)原式=34-+1.(2)原式=222a b a ab b a a--+÷=2()a b aa ab -⨯- =1a b-把1a =,1b =代入上式得:12=.23.(1)2;(2)7+【解析】(1)首先根据二次根式的计算法则将所求的二次根式进行化简,然后将a 和b 的值代入化简后的式子进行计算;(2)首先根据二次根式的化简法则将x 进行化简,然后将x 的值代入所求的代数式进行计算. 解:(1)原式=))(()()(b a b a b a b b a b +---+=b a b ab b ab -+-+=b a b -2.当a =21,b =41时, 原式=4121412-⨯=2. (2)∵x =-251-=4525-+=25+.∴=x 2-x +5=(5+2)2-(5+2)+5=5+45+4-5-2+5=7+45. 24.6a ≥0,b >0时才能成立. 因此得到9-x ≥0且x -6>0,即6<x ≤9,又因为x 为偶数,所以x =8.解:由题意得9060x x -≥⎧⎨->⎩,即96x x ≤⎧⎨>⎩ ∴6<x ≤9 ∵x 为偶数 ∴x =8∴原式=(1+x=(1+x=(1+x∴当x =86.25.(1(2)当x =20或当x 等)【解析】把三角形的三边长相加,即为三角形的周长.再运用运用二次根式的加减运算,先化为最简二次根式,再将被开方数相同的二次根式进行合并解:(1)周长=+54;(2)当x =2025=(或当x =455=等)262.【解析】解:22-====m 2).答:剩余部分的面积是m 2.27.(1)a=2,b=-3;(2)5 3 -.【解析】(1),b是有理数,则a﹣2,+3都是有理数,根据如果ax+b=0,其中a、b为有理数,x为无理数,那么a=0且b=0.即可确定(2)首先把已知的式子化成ax+b=0,(其中a、b为有理数,x为无理数)的形式,根据a=0,b=0即可求解.解:(1)2,﹣3;(2)整理,得(a+b)2+(2a﹣b﹣5)=0.∵a、b为有理数,∴250a ba b+=⎧⎨--=⎩,解得:5353ab⎧=⎪⎪⎨⎪=-⎪⎩,∴523a b+=-.第11 页共11 页。
八年级(下)数学单元检测题(第十六章 分式)一、选择题(每小题3分,共30分)1.下列式子是分式的是( B )A .2xB .x 2C .πx D .2y x + 2.下列各式计算正确的是(C )A .11--=b a b aB .ab b a b 2=C .()0,≠=a ma na m nD .am a n m n ++= 3.下列各分式中,最简分式是( A )A .()()y x y x +-73B .n m n m +-22C .2222ab b a b a +-D .22222yxy x y x +-- 4.化简2293m m m --的结果是( B ) A.3+m m B.3+-m m C 。
3-m m D 。
m m -3 5.若把分式xy y x +中的x 和y 都扩大2倍,那么分式的值( C ) A .扩大2倍 B .不变 C .缩小2倍 D .缩小4倍6.若分式方程xa x a x +-=+-321有增根,则a 的值是( D ) A .1 B .0 C .—1 D .—27.已知432c b a ==,则cb a +的值是( D ) A .54 B. 47 C.1 D 。
45 8.一艘轮船在静水中的最大航速为30千米/时,它沿江以最大航速顺流航行100千米所用时间,与以最大航速逆流航行60千米所用时间相等,江水的流速为多少?设江水的流速为x 千米/时,则可列方程( A )A .x x -=+306030100B .306030100-=+x x C .x x +=-306030100 D .306030100+=-x x 9.某学校学生进行急行军训练,预计行60千米的路程在下午5时到达,后来由于把速度加快20% ,结果于下午4时到达,求原计划行军的速度。
设原计划行军的速度为xkm/h ,,则可列方程( D )A .1%206060++=x x B. 1%206060-+=x x C 。
2023年八年级数学下册第十六章《二次根式》综合测试卷1.下列各式是二次根式的是()A.-7B.m C.a 2+1D.332.若式子x +1+x -2在实数范围内有意义,则x 的取值范围是()A.x >-1B.x ≥-1C.x ≥-1且x ≠0D.x ≤-13.下列二次根式中,是最简二次根式的是()A.2B.12C.12D.94.4.下列运算正确的是()A.2+3=5B.30=0C.(-2a )3=-8a 3D.a 6÷a 3=a 25.化简二次根式(-5)2×3的结果为()A.-53B.53C.±53 D.30×3的值在()A.4和5之间B.5和6之间C.6和7之间D.7和8之间7.估计5+2×10的值应在()A.5和6之间B.6和7之间C.7和8之间D.8和9之间8.若x <0,则x -x 2x 的结果是()A.0B.-2C.0或2D.29.已知a ,b ,c 为△ABC 的三边长,且a 2-2ab +b 2+|b -c |=0,则△ABC 的形状是()A.等腰三角形B.等边三角形C.直角三角形D.等腰直角三角形10.如图,长方形内有两个相邻的正方形,其面积分别为2和8,则图中阴影部分的面积为()A.2B.2C.22D.6二、填空题(每题3分,共24分)11.比较大小:35________27(填“>”“<”或“=”).12.计算:24-323=________.13.比较:5-12________12(填“>”“=”或“<”).14.实数a 在数轴上对应的点的位置如图所示,则(a -4)2+(a -11)2化简后为________.15.【2022·贺州】若实数m ,n 满足|m -n -5|+2m +n -4=0,则3m +n =________.16.△ABC 的面积S =12cm 2,底边a =23cm,则底边上的高为__________.17.已知a ≠0,b ≠0且a <b ,化简-a 3b 的结果是__________.18.已知三角形的三边长分别为a ,b ,c ,求其面积问题,中外数学家曾经进行过深入研究,古希腊的几何学家海伦给出求其面积的海伦公式S =p (p -a )(p -b )(p -c ),其中p =a +b +c 2;我国南宋时期数学家秦九韶曾提出利用三角形的三边求其面积的秦九韶公式S 的三边长分别为2,3,4,则其面积是________.三、解答题(19题16分,其余每题10分,共66分)19.计算:(1)(6+8)×3÷32;-12+(1-2)0-|3-2|;(3)(6-412+38)÷22;(4)(1+3)(2-6)-(22-1)2.20.先化简,再求值:23x 9x +y 2x y 3-21x -5x =12,y =4.21.已知等式|a -2023|+a -2024=a 成立,求a -20232的值.22.已知一个长方形花坛与一个圆形花坛的面积相等,长方形花坛的长为140πm,宽为35πm,求这个圆形花坛的半径.23.【跨学科题】据研究,高空抛物下落的时间t(单位:s)和高度h(单位:m)近似满足公式t=h5 (不考虑风速的影响).(1)求从40m高空抛物到落地的时间.(2)小明说从80m高空抛物到落地时间是(1)中所求时间的2倍,他的说法正确吗?如果不正确,请说明理由.(3)已知高空坠落物体动能(单位:焦耳)=10×物体质量×高度,某质量为0.05kg的鸡蛋经过6s后落在地上,这个鸡蛋产生的动能是多少?你能得到什么启示?(注:杀伤无防护人体只需要65焦耳的动能)24.我们学习了二次根式,那么所有的非负数都可以看成是一个数的平方,如3=(3)2,5=(5)2,下面我们观察:(2-1)2=(2)2-2×1×2+12=2-22+1=3-22;反之,3-22=2-22+1=(2-1)2,∴3-22=(2-1)2,∴3-22=2-1.(1)化简3+2 2.(2)化简4+2 3.(3)化简4-12.(4)若a±2b=m±n,则m,n与a,b的关系是什么?并说明理由.答案一、1.C2.C 3.A 4.C 5.B 6.D 7.B 8.D 9.B 10.B 二、11.>12.613.>14.715.716.43cm17.-a -ab点拨:∵a ≠0,b ≠0,∴-a 3b >0,a 3b <0.∴a ,b 异号.又∵a <b ,∴a <0,b >0.∴-a 3b =-a -ab .18.3154三、19.解:(1)原式=(32+26)÷32=1+233;(2)原式=-2-23+1-(2-3)=-2-23+1-2+3=-3-3;6-412+3×24=32-1+3=32+2;(4)原式=2×(1+3)×(1-3)-(8-42+1)=2×(1-3)-8+42-1=-22-8+42-1=22-9.20.解:原式=2x x +xy -x x +5xy=x x +6xy .当x =12,y =4时,原式=1212+612×4=24+62=2524.21.解:由题意得a -2024≥0,∴a ≥2024.原等式变形为a -2023+a -2024=a .整理,得a -2024=2023.两边平方,得a -2024=20232,∴a -20232=2024.22.解:长方形花坛的面积为140π×35π=70π(m 2),∴圆形花坛的面积为70πm 2.设圆形花坛的面积为S m 2,半径为r m,则S =πr 2,即70π=πr 2,∴r=70ππ=70.故这个圆形花坛的半径为70m. 23.解:(1)由题意知h=40m,∴t=h5=405=8=22(s).(2)不正确.理由如下:当h=80m时,t=805=16=4(s).∵4≠2×22,∴不正确.(3)当t=6s时,6=h5,∴h=180m.∴鸡蛋产生的动能为10×0.05×180=90(焦耳).启示:严禁高空抛物.24.解:(1)3+22=(2+1)2=2+1.(2)4+23=(3+1)2=3+1.(3)4-12=4-23=(3-1)2=3-1.+n=a,=b.理由:把a±2b=m±n两边平方,得a±2b=m+n±2mn,+n=a,=b.。
第十六章检测题
(时间:120分钟 满分:120分)
一、选择题(每小题3分,共30分)
1.二次根式2-x 有意义,则x 的取值范围是( D ) A .x >2 B .x <2 C .x ≥2 D .x ≤2
2.(2016·自贡)下列根式中,不是最简二次根式的是( B ) A.10 B.8 C. 6 D. 2 3.下列计算结果正确的是( D )
A.3+4=7 B .35-5=3 C.2×5=10 D.18÷2=3 4.如果a +a 2
-6a +9=3成立,那么实数ɑ的取值范围是( B ) A .a ≤0 B .a ≤3 C .a ≥-3 D .a ≥3 5.估计32×
1
2
+20的运算结果应在( C ) A .6到7之间 B .7到8之间 C .8到9之间 D .9到10之间 6.1
2
x 4x +6x x
9
-4x x 的值一定是( B ) A .正数 B .非正数 C .非负数 D .负数 7.化简9x 2
-6x +1-(3x -5)2
,结果是( D ) A .6x -6 B .-6x +6 C .-4 D .4
8.若k ,m ,n 都是整数,且135=k 15,450=15m ,180=6n ,则下列关于k ,m ,n 的大小关系,正确的是( D )
A .k <m =n
B .m =n >k
C .m <n <k
D .m <k <n 9. 下列选项错误的是( C )
A.3-2的倒数是3+ 2
B.x 2
-x 一定是非负数 C .若x <2,则(x -1)2
=1-x D .当x <0时,
-2
x
在实数范围内有意义
10.如图,数轴上A ,B 两点对应的实数分别是1和3,若A 点关于B 点的对称点为点C ,则点C 所对应的实数为( A )
A .23-1
B .1+ 3
C .2+ 3
D .23+1 二、填空题(每小题3分,共24分)
11.如果两个最简二次根式3a -1与2a +3能合并,那么a =__4__. 12.计算:(1)(2016·潍坊)3(3+27)=__12__; (2)(2016·天津)(5+3)(5-3)=__2__.
13.若x ,y 为实数,且满足|x -3|+y +3=0,则(x y
)2018
的值是__1__.
14.已知实数a ,b 在数轴上对应的位置如图所示,则a 2
+2ab +b 2
-b 2
=__-a __.
错误! 错误!
,第17题图)
15.已知50n 是整数,则正整数n 的最小值为__2__.
16.在实数范围内分解因式:(1)x 3-5x =__x (x +5)(x -5)__;(2)m 2
-23m +3=__(m -3)2
__.
17.有一个密码系统,其原理如图所示,输出的值为3时,则输入的x =__22__. 18.若xy >0,则化简二次根式x -y
x
2的结果为__--y __. 三、解答题(共66分) 19.(12分)计算: (1)48÷3-
12×12+24; (2)(318+1
6
72-41
8
)÷42; 解:(1)4+ 6 (2)9
4
(3)(2-3)98
(2+3)99
-2|-32
|-(2)0
. 解:1
20.(5分)解方程:(3+1)(3-1)x =72-18. 解:x =32
2
21.(10分)(1)已知x =
5-12,y =5+12,求y x +x
y
的值; 解:∵x +y =252=5,xy =5-14=1,∴y x +x y =y 2
+x 2
xy =(x +y )2
-2xy xy =
(5)2
-2×1
1=3
(2)已知x ,y 是实数,且y <x -2+2-x +14
,化简:y 2-4y +4-(x -2+2)2
.
解:由已知得⎩
⎪⎨⎪⎧x -2≥0,2-x ≥0,∴x =2,∴y <x -2+2-x +14=14,即y <1
4<2,则y -2<0,
∴y 2-4y +4-(x -2+2)2=(y -2)2-(2-2+2)2=|y -2|-(2)2
=2-y -2=-y
22.(10分)先化简,再求值:
(1)[x +2x (x -1)-1x -1]·x
x -1,其中x =2+1;
解:原式=2
(x -1)2,将x =
2+1代入得,原式=1
(2)a 2-1a -1-a 2+2a +1a 2+a -1a
,其中a =-1- 3.
解:∵a +1=-3<0,∴原式=a +1+a +1a (a +1)-1a =a +1=-3
23.(7分)先化简,再求值:2a -a 2
-4a +4,其中a = 3.小刚的解法如下:2a -a 2
-4a +4=2a -(a -2)2
=2a -(a -2)=2a -a +2=a +2,当a =3时,2a -a 2
-4a +4=3+2.小刚的解法对吗?若不对,请改正.
<0,∴原式=2a +a -2=3a -2=33-2
24.(10分)已知长方形的长a =1232,宽b =1
318.
(1)求长方形的周长;
(2)求与长方形等面积的正方形的周长,并比较与长方形周长的大小关系. 解:(1)2(a +b )=2×(
1232+1
3
18)=62,∴长方形周长为62 (2)4×ab =4×1232×1
318=4×22×2=8,∵62>8,∴长方形周长大
25.(12分)观察下列各式及其验证过程: 22
3=2+2
3,验证:223=23
3=23
-2+2
22
-1=2(22
-1)+2
22
-1=2+23; 3
38
=3+3
8
,验证:338
=338
=33
-3+3
32
-1
=3(32
-1)+3
32
-1
=3+38
. (1)按照上述两个等式及其验证过程的基本思路,猜想4
4
15
的变形结果,并进行验证; (2)针对上述各式反映的规律,写出用n(n 为任意自然数,且n ≥2)表示的等式,并给出证明.
解:(1)猜想:4415
=4+415
,验证:4415
=43
15
=43
-4+4
42
-1
=4(42
-1)+4
42
-1=
4+4
15
(2)n
n n 2
-1=n +n n 2-1,证明:n n
n 2
-1
=n
3
n 2
-1
=n 3
-n +n
n 2
-1
=。