第三章 磁振子
- 格式:ppt
- 大小:1.47 MB
- 文档页数:42
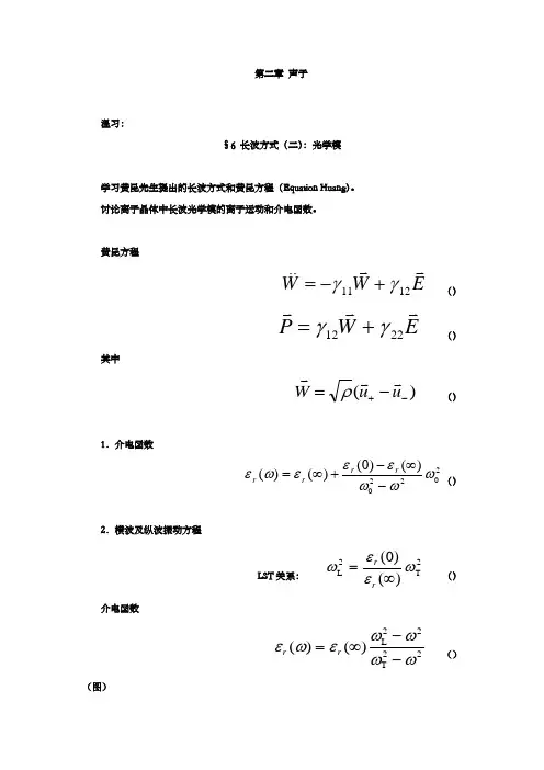
第二章 声子温习:§6 长波方式(二):光学模学习黄昆先生提出的长波方式和黄昆方程(Equation Huang )。
讨论离子晶体中长波光学模的离子运动和介电函数。
黄昆方程E W W1211γγ+-= () E W P2212γγ+= ()其中)(-+-=u u Wρ ()1.介电函数20220)()0()()(ωωωεεεωε-∞-+∞=r r r r ()2.横波及纵波振动方程LST 关系:2T 2L)()0(ωεεω∞=r r ()介电函数22T 22L )()(ωωωωεωε--∞=r r ()(图)当L T ωωω<<时,0)(<ωεr ,这表示电磁波被晶体强烈吸收,不能在晶体中传播。
强烈吸收的同时,电磁波在晶体边界上被有效反射;能够导出垂直入射的反射率公式21)(1)()(+-=ωεωεωr r R ()0)(<ωεr 时,11)(1)(1)(1)()(22=+---=+-=ωεωεωεωεωr r r r i i R§7 极化激元这是晶格振动与电磁波彼此作用的元激发。
光子与TO 声子彼此作用,形成光子与TO 声子的耦合模式,其量子称为极化激元。
这是离子晶体中的元激发。
由黄昆方程组与麦克斯韦方程组联立,对于平面波取得⎪⎪⎭⎪⎪⎬⎫=-+-=-+-=+-=-0)(0002212122200x T x x x x x y x y x W E W P E P kH E H kE ωωγγγωωεωμ()即 ⎪⎪⎭⎪⎪⎬⎫=-+∞--=∞--+-∞-=+-=-0)()]()0([0)()0(()1)((002200000x T x T x T x x x y x y x W E W P E P kH E H kE ωωεεεωεεεωεεωωεωμ由第1式解出y H 代入第2式、第4式解出x W 代入第3式,取得0)(020=+-x x P E k ωωμωε 即 0)(0220=+-x x P E k μωε和0])()]()0([)1)(([22020=+-∞-+-∞-x x T T P E ωωεεεωεε解得 0)()()]()0([)1)((022022020=-+-∞-+-∞μωεωωεεεωεεk T T 即 0)()()]()0([)(222222=-+-∞-+∞ωωωεεωεc k T T 化简 0])0([)(22222224=++-∞T Tc k c k ωωωεωε 或0])([)(22222224=++∞-∞T L c k c k ωωωεωε()取得})(4])([)({)(2122222222222T L L c k c k c k ωεωεωεεω∞-+∞±+∞∞±=即 })(4])([)({2122222222222T L L c k c k c k ωεεωεωω∞-∞+±∞+±= })2()(2)()({2122222444222T L L L c k c k c k ωωεεωεω-∞+∞+±∞+=() (利用()系数行列式为零,不能取得有效结果。
磁振子色散关系
磁振子色散关系描述了磁性材料中的磁振子在外磁场激发下的能量和波矢之间的关系。
磁振子是材料中的自旋波,它们在材料中传播并且具有一定的能量和波长。
当外加磁场作用于材料时,磁振子的能量和波矢会发生变化,这种变化可以用色散关系来描述。
磁振子色散关系可以用下面的公式来表示:
ω(q) = γH + Dq²
其中,ω(q)是磁振子的频率,q是波矢,γ是自旋-声子耦合常数,H是外磁场的大小,D是Hamiltonian中的磁性耦合常数。
这个公式描述了磁振子在外磁场下的行为,它说明了磁振子频率和波矢之间的线性关系。
当外磁场增加时,磁振子频率也会增加;当波矢增加时,磁振子频率也会增加。
磁振子色散关系在磁性材料的研究中非常重要,它可以用于解释磁性材料的性质和行为。
此外,磁振子色散关系还可以用于设计新型的磁性材料和磁存储材料,具有重要的实际应用价值。
磁振子作用
嘿,朋友们!今天咱来聊聊磁振子作用。
你说这磁振子作用啊,就好像是一群小精灵在微观世界里跳着奇妙的舞蹈。
咱先想想啊,磁铁能吸住铁钉,这大家都见过吧?这背后可就有磁振子在“捣鬼”呢!磁振子就像是小小的传令兵,它们跑来跑去,传递着磁的信息。
你看啊,这世界充满了各种各样神奇的现象,磁振子作用就是其中特别有意思的一个。
它虽然看不见摸不着,但却实实在在地影响着我们的生活。
就好比空气,你平时感觉不到它,但没了它你可就活不下去啦!
磁振子作用在很多领域都大显身手呢!在电子设备里,它们悄悄地发挥着作用,让我们的手机啊、电脑啊能正常工作。
你能想象如果没有磁振子作用,这些高科技玩意儿还能这么好用吗?那肯定不行呀!
再说说那些大型的机器设备,很多也都离不开磁振子作用呢。
它就像是一个默默奉献的幕后英雄,虽然不被大多数人所熟知,但却至关重要。
咱平时生活里也能感受到磁振子作用呢。
比如有些玩具,不就是利用磁的原理做出来的嘛。
还有啊,医院里的一些检查设备,也和磁振子作用有关系呢。
哎呀,你说这磁振子作用是不是特别神奇?它就这么在微观世界里忙忙碌碌,却给我们的生活带来了这么多的改变和便利。
有时候我就想啊,这世界上还有多少像磁振子作用这样神奇的东西等着我们去发现呢?肯定有好多好多吧!我们人类的探索之路可还长着呢。
所以啊,大家可别小看了这些小小的磁振子,它们的作用可大着呢!它们就像是一群勤劳的小蜜蜂,默默地为我们的生活酿造着甜蜜。
我们得感谢它们,也得好好研究它们,让它们能发挥出更大的作用。
反正我觉得,磁振子作用真的是太有意思啦!你们难道不这么认为吗?。
凝聚态物理专业硕士研究生培养方案(070205)一、培养目标与培养规格培养德、智、体全面发展,具有较高政治理论素养、宽厚专业基础知识,有创新意识,有一定科研工作能力并胜任普通高等院校和研究所的教学科研工作的专业技术型高级人才。
具体培养规格如下:(1)深入学习、掌握马克思主义基本原理,确立辩证唯物主义与历史唯物主义的世界观;坚持四项基本原则,热爱祖国,遵纪守法,品行端正;服从国家需要,积极为社会主义现代化建设服务;(2)在本学科上掌握坚实的基础理论和系统的专业知识;(3)掌握基本的研究方法和技能,具有从事科学研究工作和高校教学工作的能力;(4)掌握资料查询、文献检索及运用现代信息技术获取相关信息的基本方法;(5)具有较高的外语水平;(6)具有一定的计算机操作能力,能熟练运用计算机进行科学计算、论文撰写、文献检索。
(7)具有健康的体魄。
二、研究方向A.表面与界面物理;B.超导物理;C.半导体超晶格与微结构;D. 材料计算模拟与设计三、学习年限学习年限为三年,其中课程学习时间一年半,至少修满35学分;完成学位论文时间一年半。
外单位委托培养研究生与本校全日制研究生相同。
本校在职研究生学习年限为三年至四年,每年应完成1/3的教学工作量,其余时间进行学习。
四、培养方式与方法硕士生的培养,采取以导师为主,导师与指导小组集体培养相结合的方式。
培养采用系统理论学习、进行科学研究、参加学术活动和教学实践活动相结合的办法。
既要使硕士生牢固掌握基础理论和专业知识,又要培养硕士生具有从事科学研究、高校教学工作的能力。
硕士生的指导教师由学术水平较高、在研究工作中有一定成就的教授、副教授担任。
导师要教书育人,为人师表,全面关心研究生的成长,及时给予指导。
指导组应对研究生的培养质量全面负责,其主要职责是:(1)参与制定本专业研究生培养方案及研究生个人培养计划;(2)审核学位课程的命题及评分结果;(3)负责对研究生进行中期考核,对硕士学位论文质量和进展情况进行检查;(4)协助组织学位论文答辩。
磁振子的作用《神奇的磁振子》嘿,朋友们!今天咱来聊聊磁振子。
你可别小瞧这玩意儿,它的作用可大着呢!想象一下,磁振子就像是一群在磁场里欢快跳跃的小精灵。
它们呀,在各种材料里窜来窜去,传递着各种信息和能量。
就好像我们在人群中传递消息一样,一个传给一个,迅速又高效。
在磁性材料中,磁振子那可是主角呀!它们的活动直接影响着材料的磁性表现。
比如说,有些材料能被磁铁吸住,有些就不行,这可就和磁振子有着密切的关系呢。
磁振子的存在让这些材料有了独特的性质,就像每个人都有自己的个性一样。
咱再说说磁振子在信息存储方面的大功劳。
现在我们的生活中到处都是信息,手机里的照片呀、电脑里的文件呀,这些都得找个地方存起来。
磁振子就在这里发挥作用啦!它们能帮助我们更稳定、更高效地存储这些信息。
想象一下,如果没有磁振子帮忙,那我们的信息不就像没了家的孩子,到处流浪啦!而且哦,磁振子在一些新型的技术领域也崭露头角呢!比如说量子计算,那可是未来科技的热门呀。
磁振子在其中也能发挥重要作用,为实现更强大的计算能力贡献自己的力量。
这就好比给一辆跑车加上了超强的动力,跑得更快、更远。
我记得有一次,我在研究一个小实验的时候,就发现了磁振子的神奇之处。
当时我怎么都搞不明白为什么实验结果会是那样,后来经过仔细研究,才发现原来是磁振子在“捣乱”呢!从那以后,我就对磁振子更加感兴趣了,也更加深入地去了解它们。
总的来说呀,磁振子虽然小小的,但是它们的作用可不容小觑。
它们就像一群默默工作的小天使,在我们看不见的地方发挥着巨大的作用。
它们让我们的生活变得更加丰富多彩,也为科技的发展注入了强大的动力。
所以呀,我们要好好认识这些小家伙,好好利用它们的神奇力量,让我们的世界变得更加美好!。
磁 振 子摘要:文章首先介绍了磁振子的概念,然后利用海森堡模型通过霍斯坦因-普里马可夫变换求解了铁磁体中自旋波的频谱,从而给出了磁振子的能量表达式。
磁振子是自旋晶格系统的一种元激发,属于互作用系统的一种集体激发。
这里主要以铁磁体为例来讨论这种元激发。
对于自旋晶格系统,由于交换作用,这个系统的基态是磁性离子自旋排列的有序状态。
最常见的简单磁有序状态有:铁磁序、反铁磁序、铁淦氧磁序(亚铁磁序),他们分别如图1(a)、(b)、(c)所示。
我们以铁磁体为例来说明系统受微扰以后的激发态情况。
设铁磁体中某一个格点上的自旋l S ˆ因受扰动而偏离量子化轴方向,,这时自旋间的交换作用表现出如下特征:(ⅰ)l S ˆ 将带动近邻格点上的自旋,而这些自旋又将使他们的近邻自旋取向改变,于是扰动以自旋集体运动的形式传播;(ⅱ)近邻自旋对l S ˆ的作用要使它恢复原来取向以保持有序状态。
这时在晶格中将形成离子自旋相对取向的振荡,图2是其经典图像。
由于各格点上进动自旋的方位角不同,磁振子具有类似波动的特征,这个波称为自旋波。
描述自旋波的量子称为磁振子,它是代表晶格自旋相对取向振荡的量子,是一种集体激发。
这里以铁磁体为对象讨论其低激发态。
这类系统的基态是所有自旋取向都相同的态,我们以海森堡模型为基础来进行讨论。
(a )铁磁序 (b )反铁磁序(c )亚铁磁序图1 自旋-自旋互作用系统的基态1.海森堡模型自旋-自旋相互作用系统的哈密顿通常表示为ll l l l l S S J H '''⋅-=∑'ˆˆ, (1) 其中lS ˆ代表第了l 个格点上磁性离子的矢量自旋算符,∑''l l 代表求和时不计l l '=的项,l l J '是l 与l '两格点离子上电子间的交换积分。
()l l J J l l '-=' (2) 这里为简化记号令l R l =。