有理数的混合运算练习题
- 格式:doc
- 大小:122.50 KB
- 文档页数:2
有理数的混合运算练习题(含答案)(大综合17套)有理数混合运算练习题及答案 第1套同步练习(满分100分)1.计算题:(10′×5=50′)(1)3.28-4.76+121-43;(2)2.75-261-343+132;(3)42÷(-121)-143÷(-0.125);(4)(-48) ÷82-(-25) ÷(-6)2; (5)-52+(1276185+-)×(-2.4).2.计算题:(10′×5=50′)(1)-23÷153×(-131)2÷(132)2;(2)-14-(2-0.5)×31×[(21)2-(21)3];(3)-121×[1-3×(-32)2]-( 41)2×(-2)3÷(-43)3(4)(0.12+0.32) ÷101[-22+(-3)2-321×78];(5)-6.24×32+31.2×(-2)3+(-0.51) ×624.【素质优化训练】1.填空题:(1)如是0,0>>cbb a ,那么ac 0;如果0,0<<cbb a ,那么ac 0;(2)若042=-++++c c b a ,则abc=; -a 2b 2c 2=;(3)已知a ,b 互为相反数,c ,d 互为倒数,x 的绝对值等于2,那么x 2-(a+b)+cdx=.2.计算:(1)-32-;)3(18)52()5(223--÷--⨯-(2){1+[3)43(41--]×(-2)4}÷(-5.043101--);(3)5-3×{-2+4×[-3×(-2)2-(-4) ÷(-1)3]-7}.【生活实际运用】甲用1000元人民币购买了一手股票,随即他将这手股票转卖给乙,获利10%,而后乙又将这手股票反卖给甲,但乙损失了10%.最后甲按乙卖给甲的价格的九折将这手股票卖给了乙,在上述股票交易中( )A .甲刚好亏盈平衡;B .甲盈利1元;C .甲盈利9元;D .甲亏本1.1元.参考答案【同步达纲练习】1.(1)-0.73 (2)-121; (3)-14; (4)-181; (5)-2.9 2.(1)-351 (2)-1161; (3)- 5437; (4)1; (5)-624.【素质优化训练】1.(1)>,>; (2)24,-576; (3)2或6.[提示:∵x =2 ∴x 2=4,x=±2].2.(1)-31; (2)-8;2719(3)224【生活实际运用】 B有理数的四则混合运算练习 第2套◆warmup知识点 有理数的混合运算(一)1.计算:(1)(-8)×5-40=_____;(2)(-1.2)÷(-13)-(-2)=______. 2.计算:(1)-4÷4×14=_____;(2)-212÷114×(-4)=______. 3.当||a a=1,则a____0;若||a a =-1,则a______0.4.(教材变式题)若a<b<0,那么下列式子成立的是( ) A .1a <1b B .ab<1 C .a b <1 D .ab>15.下列各数互为倒数的是()A.-0.13和-13100B.-525和-275C.-111和-11 D.-414和4116.(体验探究题)完成下列计算过程:(-25)÷113-(-112+15)解:原式=(-25)÷43-(-1-12+15)=(-25)×()+1+12-15=____+1+52 10 -=_______.◆Exersising7.(1)若-1<a<0,则a______1a;(2)当a>1,则a_______1a;(3)若0<a≤1,则a______1a.8.a,b互为相反数,c,d互为倒数,m的绝对值为2,则||4a bm++2m2-3cd值是()A.1 B.5 C.11 D.与a,b,c,d值无关9.下列运算正确的个数为()(1)(+34)+(-434)+(-6)=-10 (2)(-56)+1+(-16)=0(3)0.25+(-0.75)+(-314)+34=-3(4)1+(-3)+5+(-7)+9+(-1)=4A.3个 B.4个 C.2个 D.1个10.a,b为有理数,在数轴上的位置如右上图所示,则()A.1a>1b>1 B.1a>1>-1bC.1>-1a>1bD.1>1a>1b11.计算:(1)-20÷5×14+5×(-3)÷15 (2)-3[-5+(1-0.2÷35)÷(-2)]-1ob a(3)[124÷(-114)]×(-56)÷(-316)-0.25÷14◆Updating 12.(经典题)对1,2,3,4可作运算(1+2+3)×4=24,现有有理数3,4,-6,10,请运用加,减,乘,除法则写出三种不同的计算算式,使其结果为24. (1)____________ (2)____________ (3)____________ 答案: 课堂测控1.(1)-80 (2)535 2.(1)-14(2)8 3.>,< 4.D 5.C 6.34,-310,1[总结反思]先乘除,后加减,有括号先算括号内的.课后测控 7.(1)> (2)> (3)≤ 8.B 9.B 10.B11.解:(1)原式=-20×15×14+5×(-3)×115=-1-1=-2 (2)原式=124×(-45)×(-56)×(-619)-14÷14=124×(-419)-1=-1114-1=-11114(3)原式=-3[-5+(1-15×53)÷(-2)]=-3[-5+23×(-12)]=-3[-5-13]=15+1=16[解题技巧]除法转化为乘法,先乘除,后加减,有括号先算括号内的. 拓展测控 12.解:(1)4-(-6)÷3×10 (2)(10-6+4)×3 (3)(10-4)×3-(-6)[解题思路]运用加,减,乘除四种运算拼凑得24点.有理数的混合运算习题 第3套一.选择题1. 计算3(25)-⨯=( )A.1000B.-1000C.30D.-302. 计算2223(23)-⨯--⨯=( )A.0B.-54C.-72D.-183. 计算11(5)()555⨯-÷-⨯=A.1B.25C.-5D.354. 下列式子中正确的是( )A.4232(2)(2)-<-<- B. 342(2)2(2)-<-<- C. 4322(2)(2)-<-<-D. 234(2)(3)2-<-<-5. 422(2)-÷-的结果是( )A.4B.-4C.2D.-26. 如果210,(3)0a b -=+=,那么1ba+的值是( ) A.-2 B.-3C.-4D.4二.填空题1.有理数的运算顺序是先算 ,再算 ,最算 ;如果有括号,那么先算 。
有理数混合运算100题(含答案解析)1.-(-3)2×22.1/2+(-2/3)+4/5+(-11/2)+(-3)3.(-1.5)+4(1/4)+2.75+(-5 1/2)4.-8×(-5)-635.4-5×(-1/2)3/26.(-2)+(-5/56)-(-4.9)-0.67.(10)2÷5×(-2/5)8.(-5)3×(-3/5)29.5×(-6)-(-4)2÷(-8)10.2 1/472×(-6)÷(-2)11.(-16-50+3/5)÷(-2)12.(-6)×8-(-2)3-(-4)2×513.(-1)2+1×(2-2/233)-214.--(1-0.5)×1/315.-3/2×[-32×(-2/3)2-2]16.(-3/4)2+(-2/3+1)×2-9/1617.-14-(1-0.5)×1/3×[2-(-3)2]18.(-81)÷(2.25)×(-4/9)÷1619.-52-[-4+(1-0.2×1/5)÷(-2)]20.(-5)×(-3/6)+(-7)×(-3/6)+12×(-3/6777)21.(-5/8)×(16)-0.25×(-5)×(64)22.(-3)2-(11/29)×(-6)÷(-3)23.(-1/6-20/3+4/5-12/7)×(-15×4)24.(-18/7)×3/7×(-2.4)25.2÷(-7)×(7)÷(-51/7)26.(-47/8)-(-5/2)+(-4/4)-3/827.[151]÷(-11/2-14÷1/5+3/2)28.(-16-50+3/5)÷(-2)29.1 5/(-5)×(-5/13)30.(-0.5)-(-31/4)+6.75-5 2/331.-29-(-13)×2×(-13)-7×0.34+5.6×(-4)+(-32)÷(-8)-3 3/100-0.34×7+3×2130.计算:(-13)×(-134)×1/13×(-1/67)= 2136.731.删除该段落,因为它没有内容。
有理数的混合运算(一)填空4.23-17-(+23)=______.5.-7-9+(-13)=______.6.-11+|12-(39-8)|=______.7.-9-|5-(9-45)|=______.8.-5.6+4.7-|-3.8-3.8|=______.9.-|-0.2|+[0.6-(0.8-5.4)]=______.12.9.53-8-(2-|-11.64+1.53-1.36|)=______.13.73.17-(812.03-|219.83+518|)=______.36.38×(-7)+5[(-2)3(-32)-(-22)]-38×339÷(-3)38=______.48.(-2)×{(-3)×[(-5)+2×(0.3-0.3)÷83-3]+4}=______.112.413-74-(-5+26).116.-84-(16-3)+7.118.-0.182+3.105-(0.318-6.065).119.-2.9+[1.7-(7+3.7-2.1)].121.34.23-[194.6-(5.77-5.4)].125.23.6+[3.9-(17.8-4.8+15.4)].134.(-3)2÷2.5.135.(-2.52)×(-4).136.(-32)÷(-2)2.173.(-1)2×5+(-1)×52-12×5+(-1×5)2.174.(-2)(-3)(-36)+(-1)20×63.178.(-32)÷(3×2)×(-3-2).180.3×(-2)2+(-2×3)2+(-2+3)2.188.2+42×(-8)×16÷32.190.[5.78+3.51-(0.7)2]÷(0.2)3×11.191.(1.25)4÷(0.125)4×0.0036-(0.6)2.194.(-42×26+132×2)÷(-3)7×(-3)5.195.(3-9)4×23×(-0.125)2.201.741×[(-30)2-(-402)]3÷(1250)2.211.[(-5)3+3.4×2-2×4+53]2.213.(24-5.1×3-3×5+33)2.234.(-5)×(-3)×(-4)2+(-2)3×(-8)×(-3)-(-12)×3÷24.240.-18-23×[(-4)3÷(-43)+0.2×8+(-3)2÷(-32)].(四)用符号“>”,“<”,“≥”,“≤”,“=”之一填空241.当两个数和的绝对值______这两个数差的绝对值时,这两个数同号.242.一个正数与一个负数差的绝对值______这两个数绝对值的和.243.一个正数与一个负数和的绝对值______这两个数绝对值的差.244.一个正数与一个负数差的绝对值______这两个数绝对值的差.245.一个正数与一个负数和的绝对值______这两个数绝对值的和.246.当两个数和的绝对值______这两个数差的绝对值时,这两个数异号.247.当两数和的绝对值______这两个数差的绝对值时,这两个数至少有一个是零.248.当两数和的绝对值______这两个数的绝对值之和时,这两个数可以是任意的有理数.249.当两数差的绝对值______这两个数的绝对值之和时,这两个数可以是任意的有理数.250.当两个数和的绝对值______这两个数绝对值的差时,这两个数可以是任意的有理数.251.当两个数差的绝对值______这两个数绝对值的差时,这两个数可以是任意的有理数.252.欲使两个数的绝对值的和等于这两个数的和的绝对值,这两个数必须是怎样的数?253.欲使两个数和的绝对值不小于这两个数的差的绝对值,这两个数必须是怎样的数?254.欲使两数和的绝对值不大于这两数差的绝对值,这两个数必须是怎样的数?255.欲使两数和的绝对值不小于这两个数的绝对值的和,这两个数必须是怎样的数?256.一个盛有水的圆柱形水桶,其底面半径为1.6分米①.现将一个半径为1.2分米的铁球沉没在桶内水面下,问桶内水面升高多少分米?(列综合算式计算,球的体积公式为,其中V表示体积,R表示球的半径)257.一个盛有水的长方体状容器,它的底面是边长为2.4分米的正方形,现将一个半径是1.2分米的铁球放在容器内,正好铁球体积的1/3在水面下,问放入铁球后,水面升高了多少分米?(列综合算式计算,球的体积公式为V表示体积,R表示球的半径,π取3.14。
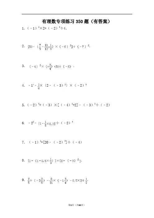
有理数专项练习350题(有答案)1.(﹣1)2×2+(﹣2)3÷4.2..3..4.﹣14﹣×〔2﹣(﹣3)2〕×(﹣2)35.(﹣2)3+(﹣3)×[(﹣4)2+2]﹣(﹣3)2÷(﹣2)6. ﹣22﹣÷(﹣2)37.(﹣1)2+[20﹣(﹣2)3]÷(﹣4)8..9..10.11..12.18×()﹣(﹣24)×()13..14.15. ﹣32﹣(﹣3)2×(﹣2)﹣[(﹣2)×(﹣1)]216. [2832003+(﹣283)2003﹣10]×(﹣2)÷×(﹣1)2002 17.18. ﹣14﹣(1﹣)÷3×|3﹣(﹣3)2|.19.(﹣2)2+{6﹣(﹣3)×2}÷4﹣5÷×20.21.﹣32÷3+(﹣)×12﹣(﹣1)2010;22..;23.;24.;25..26.27..28.;29.;30.31. .32..;33.﹣32+(﹣3)2+(﹣5)2×(﹣)﹣0.32÷|﹣0.9|.34.(﹣2×5)3﹣(﹣1)×(﹣)2﹣(﹣)2.35.1×﹣(﹣)×2+(﹣)÷136. ﹣22+(﹣2)4×()3﹣|0.28|÷(﹣)237.(﹣+)×18+3.95×6﹣1.45×6..38.39..40. [(﹣1)2005+(﹣﹣)×24]÷|﹣32+5|.41.[2﹣(+﹣)×24]÷5×(﹣1)200942. ﹣14﹣[﹣2+(1﹣0.2÷)×(﹣3)].43.44..45. ﹣5+[﹣﹣(1﹣0.2÷)×(﹣3)2]46. ﹣10+8÷(﹣2)2﹣(﹣4)×(﹣3);;47.48.3×(﹣1)10+(﹣22)×|(﹣2)3|÷4÷2﹣|(﹣3)2|÷(﹣3)2×(﹣1)11;49. ;.50.51. [1]×24]÷(﹣5);52. (﹣10)+8×(﹣2)2﹣(﹣4)×(﹣3);53. ﹣0.252÷(﹣0.5)3+(﹣)×(﹣1)10;54. ﹣3×(﹣)2﹣4×(1﹣)﹣8÷()2;55.(﹣2)3﹣1×(﹣)﹣(﹣2)×(﹣1)×(﹣4).;56.;57.58. ﹣24+|6﹣10|﹣3×(﹣1)2009.59. |﹣1.3|+;60. (﹣13)+(+12)+(﹣7)+(+38);;61.62.(+163)﹣[(+63)+(﹣259)+(﹣41)].;63.;64..65.66.﹣22﹣(﹣22)+(﹣2)2+(﹣2)3﹣3267. 22+(﹣4)+(﹣2)+4;68.(﹣8)+(+0.25)﹣(﹣9)+(﹣);;69.70. (﹣)÷(﹣﹣);71. ﹣9÷;72. ﹣14﹣×[2﹣(﹣3)2].73.74.75.76.﹣14×[﹣32×﹣2]×(﹣).77.﹣32﹣(﹣3)2+32×(﹣1)2006;78..79..80.81.82. 33×(﹣2)2﹣(﹣3)3×(﹣2)383.84..85.(﹣3)÷(﹣1)×0.75×|﹣2|÷|﹣3|.86.﹣1+3﹣5+7﹣9+11﹣…﹣1997+1999;87. 11+12﹣13﹣14+15+16﹣17﹣18+…+99+100;88.1991×1999﹣1990×2000;89. 4726342+472 6352﹣472 633×472 635﹣472 634×472 636;90.91.1+4+7+ (244)1+92.93. 1.94.﹣22﹣(﹣1)2001×(﹣)÷+(﹣3)295.;96.97.98. ﹣5﹣22÷[(﹣)2+3×(﹣)]÷(﹣22)99.(﹣3)+(+2)﹣(+2)﹣(﹣7);100.﹣23÷×;101.[﹣+﹣﹣(﹣)]×(﹣36);102.(+)÷(﹣)﹣×(﹣1);103.﹣14﹣(1﹣0.5)××[2﹣(﹣3)2].104.(2﹣3+1)÷(﹣1).105.+++…+.106.﹣14+〔1﹣(1﹣0.5×)〕×|2﹣(﹣3)2|.107.108.﹣12008﹣[5×(﹣2)﹣(﹣4)2÷(﹣8)] 109.110.;111.[2﹣(﹣3)2]×[(﹣1)2008﹣(1﹣0.5×)] 112.113. 0﹣21114.115.116.﹣23÷×(﹣)2+(﹣0.8)×5×(﹣)117.﹣32+5×(﹣)﹣(﹣4)2÷(﹣8)118.;119..120.﹣16;﹣121.122.﹣0.252÷÷(﹣1)100+(1+2﹣3.75)×12123.124.125. 2﹣3﹣5+(﹣3)25﹣(﹣+﹣)÷126.127. ﹣22+(﹣3)×[(﹣4)2+(﹣2)3]﹣(﹣3)2÷(﹣2)128.(﹣5)﹣(+3)+(﹣9)﹣(﹣7)+;129. 10﹣23+32﹣17﹣21+45;130.(﹣3)+(+2)﹣(+2)﹣(﹣7);131.﹣9.2﹣(7.1)﹣(﹣3)+6+(+2.9);132. 3.6+41.8﹣12﹣11﹣51;133..134. [212﹣(38+16﹣34)×24]÷5×(﹣1)2001 135.136.;137.()×(﹣36).138.(﹣20)+(+3)﹣(﹣5)﹣(+7);139.(+6)+(﹣5)﹣(﹣4)+(+2)+(﹣1)﹣(+1);140.﹣13×﹣0.34×+×(﹣13)﹣×0.34;141.(﹣)×(﹣0.25)×(﹣5)×(﹣4)3;142.(﹣3)3÷2×+4﹣2×(﹣);143.﹣16﹣(0.5﹣)÷×[﹣2﹣(﹣3)3]﹣|﹣0.52|.144.0﹣14﹣(﹣1)+(﹣1.95)3×0.5×0﹣|﹣5|+5.145..146.1+.147.;148..149.150. [53﹣4×(﹣5)2﹣(﹣1)10]÷(﹣24﹣24+24).151.﹣32+27÷(﹣3)2﹣(﹣)2×|﹣22|﹣(﹣1)2007152.;153..154. [47﹣(18.75﹣1÷)×2]÷0.46155.156.(﹣105)×﹣178×6.67﹣7.67×(﹣178)157.﹣(﹣23)﹣(+59)+(﹣35)+|﹣5﹣32|;158. 1﹣[(﹣5)2×﹣0.8]÷2×(﹣1+).159.﹣÷×(﹣0.6)×+(﹣2)3160. 4﹣(﹣2)2﹣32÷(﹣1)2009+0×(﹣2)5.161.162.(﹣5)×(﹣0.75)﹣(﹣5)×0.125+(﹣5)×(﹣0.125).163.﹣20+(﹣18)﹣12+10;164.;165.;166.﹣2.5×17×(﹣4)×(﹣0.1);167. 33.1﹣10.7﹣(﹣22.9)﹣;168.(﹣36)÷4﹣5×(﹣1.2);169.;170..171.172..173.174.175..176. [﹣21×(﹣1)3+6÷×3﹣52]×.177.178.﹣32﹣50÷(﹣5)2﹣1;179..180. 0﹣3+(﹣)﹣(﹣22)﹣5÷(﹣);181. 10÷[﹣(﹣1+1)]×6;182. 18+32÷(﹣2)3﹣(﹣4)2×5;183.﹣7×(﹣)+19×(﹣)﹣5×(﹣).184. 8﹣2×(﹣3)2+[(﹣2)×3]2185.186. 3×(﹣4)+28÷(﹣7);187.﹣14+×[32﹣(﹣3)2];188. (﹣10)+8×(﹣3)2﹣(﹣4)×(﹣3).189.(﹣2)3﹣2×(﹣3)+|2﹣5|﹣(﹣1)2010 189. 48×(﹣+﹣)191. (+7)+(﹣8)﹣(+3)﹣(﹣4);192.﹣1﹣2÷(﹣)×(﹣3);193.﹣36×(﹣﹣);194.﹣13﹣(1﹣0.5)××[2﹣(﹣3)2];195.(﹣0.25)×1.25×(﹣4)×(﹣8);196.(﹣1)10×2+(﹣2)3÷4.197. ﹣(﹣3)2﹣[3+0.4×(﹣1)]÷(﹣2).198. ;199. ;200.;201. 3﹣(﹣2)×(﹣1)﹣8÷(﹣)2×|3+1|.202.﹣24÷42﹣(﹣2)3×(﹣0.5)2+(﹣)2×(﹣32)203.﹣32+×(﹣3)3÷(﹣1)25.204.205.﹣14﹣(1﹣)÷3×|3﹣(﹣3)2|;206. ﹣1100﹣(1﹣0.5)×[3﹣(﹣3)2].207.(﹣2)3﹣|﹣9|﹣()÷(﹣).208.﹣22+(﹣3)÷﹣(﹣3)2÷(﹣2)209.[15.25﹣13﹣(﹣14.75)]×(﹣0.125)÷210.()÷211.212.﹣12+[+8×(﹣3)]×0﹣(﹣5)2213. +6÷(﹣2)+(﹣4)×214.215.216.217.﹣9+5×(﹣6)﹣(﹣4)2÷(﹣8);218. .219.(﹣10)2﹣5×(﹣2×3)2+23×10.220.221. ﹣22﹣32÷[(﹣2)3﹣(﹣1)2]222.(+10)+(﹣11.5)+(﹣10)﹣(+4.5);223.(﹣81)÷×÷(﹣16);224.﹣32﹣[﹣5﹣0.2÷×(﹣2)2];225. 24×(﹣﹣)+(﹣)2÷(﹣).226..227.228.[(﹣3)2÷×﹣6]÷[﹣(﹣1)2006].229. ﹣14﹣(﹣2)3×5+0.25÷(﹣)2.230.(﹣20)+(+3)﹣(﹣5)﹣(+7);231. |﹣|+|﹣|+|﹣|﹣|﹣|;232.(﹣5)×6+(﹣125)÷(﹣5);233.+(﹣)﹣(﹣)+;234.(﹣﹣+)×4;235.﹣18÷(﹣3)2+5×(﹣)3﹣(﹣15)÷5.236..237.238. ﹣22﹣(1﹣×0.2)÷(﹣2)3239.240.(﹣2)2+(﹣1﹣3)÷(﹣)+|﹣|×(﹣24)241. (﹣1)2009+(﹣5)×|(﹣2)3+2|﹣(﹣4)2÷(﹣).242.(﹣÷.243.﹣4﹣28﹣(﹣29)+(﹣24)244.245.246.247.248.249.(﹣2)4×(﹣5)+[(﹣3)3+(﹣2)4×(﹣1)9] 250. (﹣)+(﹣);251. 5﹣(8﹣9);252.﹣9×0.375﹣9×0.625;253. 9×(﹣)÷9×(﹣);254.﹣72+2×(﹣3)2﹣(﹣6)÷(﹣)2;255.﹣32﹣[32﹣(﹣2)2]×[2﹣(1﹣)].256.﹣16+23+(﹣17)﹣(﹣7);257.(﹣)+(﹣)﹣(﹣)﹣(+)﹣(﹣)258.(﹣+﹣)×(﹣16)259.﹣14+(1﹣0.5)××〔2﹣(﹣3)2〕260.﹣20+(﹣14)﹣(﹣18)+|﹣13|;261. ﹣32×[(1﹣7)÷6]3+75÷(﹣5)2;262.﹣3×23﹣(﹣3×2)2+(﹣23×3);263.÷(﹣2)﹣÷(﹣1)﹣0.5÷2×;264. (﹣10)2+[(﹣2)2﹣(3+32)×2];265. [÷(﹣)+0.4×(﹣)2]×(﹣1)5.266.(1﹣+)×(﹣48)267.﹣12﹣(﹣10)÷×2+(﹣4)3268. |﹣|÷|﹣|﹣×(﹣4)2269. ﹣1﹣[2﹣(1﹣×0.5)]×[32﹣(﹣2)2] 270271.272.273.274.275.﹣32﹣[(﹣2)2﹣(1﹣×)÷(﹣2)].276.277.278.279.280.281.282.283.(﹣8)÷[(﹣)×(﹣)÷(﹣2)];284.(﹣36)×(﹣+﹣);285.(﹣)2÷(﹣)2÷|﹣6|2×(﹣)2286. |﹣1|+|﹣|+|﹣|+…+||287.20﹣3×[23﹣2×(﹣3)]﹣(﹣1)2007288. 25﹣3×[32+2×(﹣3)]+5;289..290.×(﹣1)+×(﹣2)+×(﹣50)﹣×(﹣20)291. .292. ﹣23﹣(﹣3)2×(﹣1)2﹣(﹣1)3293.294. (﹣3)2÷3﹣12×(﹣+﹣)295. (+﹣)×12+12÷(+);296. 5÷(﹣2﹣2)×6.297.(﹣++)×(﹣12);298.(﹣2)2+(﹣2)÷(﹣)+|﹣|×(﹣24).299.(+﹣)÷(﹣)300.﹣42÷(﹣2)2+12÷(﹣)×3301.﹣0.52+(﹣)2﹣|﹣22﹣4|﹣(﹣1)3×()3÷(﹣)4 302. {[3÷(﹣)+0.4×(﹣)2]÷(﹣)﹣20}×(﹣1)2005 303.(﹣32)﹣[5﹣(+3)+(﹣5)+(﹣2)]304. 25×﹣(﹣25)×+25×(﹣)305.306. (﹣2)2﹣|﹣7|+3﹣2×(﹣);307. ﹣36×(﹣﹣);308. ﹣16﹣(1﹣0.5)××[2﹣(﹣3)2];309.(﹣3)2008×﹣12008﹣(﹣1)2008.310.311. 0.25×(﹣2)3﹣[4÷(﹣)2+1].;312.313. .314. ..315.316. 5×(﹣6)﹣(﹣4)2÷(﹣8);317. (3.9﹣1.45)2÷(﹣0.125)+49.34;318. (﹣1)5﹣[﹣3×(﹣)2﹣(﹣1)÷(﹣2)2].319.(﹣3)3﹣[(2﹣1.5)3÷2×(﹣8)2+×(﹣)2﹣()3].320. 20+(﹣12)﹣(﹣18)321. 23×10+(﹣2)×(﹣5)2322.323.324.325. .326.﹣0.5+(﹣15)﹣(﹣17)﹣|﹣12|;327.[﹣22+(﹣2)3]﹣(﹣2)×(﹣3);328.()÷();329.;330.﹣14+[1﹣(1﹣0.5×2)]÷|2﹣(﹣3)2|;331. [(﹣3)2﹣22﹣(﹣5)2]××(﹣2)4.332. 4×(﹣3)2﹣13+(﹣)﹣|﹣43|;333. ﹣32﹣[(﹣2)2﹣(1﹣×)÷(﹣2)].334. (﹣11)×+(+5)×+(﹣137)÷5+(+113)÷5;335. ﹣8﹣[﹣7+(1﹣×0.6)÷(﹣3)].;336.337.﹣(﹣1)2005+4÷(﹣2)﹣|﹣12|.338. (﹣4)2×(﹣2)÷[(﹣2)3﹣(﹣4)].339.340. ;341. ﹣(﹣0.75)+;342. (﹣1)3×103×;343. 0÷.344.345. ﹣0.252÷+(+﹣3.75)×24 347.348.;349.(﹣1)2006+;350.;351.﹣4.037×12+7.537×12﹣36×().有理数混合参考答案(供参考):1.原式=1×2+(﹣8)÷4=2+(﹣2)=0.2.原式=[50﹣(﹣+)×36]÷49=[50﹣(×36﹣×36+×36)]÷49=[50﹣(28﹣33+6)]÷49=(50﹣1)÷49=49÷49=1.3.原式=16×=12+(﹣5)=74.原式=﹣1﹣×(2﹣9)×(﹣8)=﹣1﹣=﹣.5.原式=﹣8+(﹣3)×18﹣9÷(﹣2)=﹣8﹣54﹣9÷(﹣2)=﹣62+4.5=﹣57.5.6. 原式=﹣4﹣÷(﹣8)=﹣4+=﹣37. (﹣1)2+[20﹣(﹣2)3]÷(﹣4)=1+[20﹣(﹣8)]÷(﹣4)=1+28×(﹣)=1﹣7=﹣6.8.原式=[1﹣(1﹣)]×[2﹣9]=[1﹣]×(﹣7)=×(﹣7)=﹣.9.原式=×(﹣)﹣×(﹣)﹣2=﹣+﹣2=﹣2=﹣1.10.原式=(+﹣)×(﹣48)=﹣(×48+×48﹣×48)=﹣(8+36﹣4)=﹣40.11.原式=1.25×(﹣8)﹣[(﹣4)÷()+1]﹣1=﹣10﹣[(﹣4)×+1]﹣1=﹣10+8﹣1=﹣3.12.原式=[18×﹣18×]﹣[(﹣24)×+(﹣24)×]=(9﹣6)﹣[(﹣8)+(﹣3)]=3﹣(﹣11)=14.13.原式=﹣×[﹣9×﹣8]+1=﹣×(﹣12)+1=18+1=19.原式=﹣3+6﹣8+9=4;14.15. 原式=﹣9﹣9×(﹣2)﹣[(﹣2)×1]²=﹣9+18-4=516.原式=﹣10×(﹣2)×5×1=100.17.原式=﹣3﹣[﹣5+(1﹣)×(﹣)=﹣3﹣[﹣5﹣]=﹣3+5+=18. ﹣14﹣(1﹣)÷3×|3﹣(﹣3)2|=﹣1﹣÷3×|3﹣9|=﹣1﹣××6=﹣1﹣1=﹣2.19.原式=4+[6+6]÷4﹣5××=4+3﹣4=3. 20.原式=21.原式=﹣9÷3+(﹣)×12﹣1=﹣6; 22.原式===﹣.23.原式=﹣+﹣=3﹣6=﹣3; 24.原式=﹣×﹣8×=﹣2﹣4=﹣6;25. 原式=×(﹣36)=﹣1;26.原式=﹣9×﹣[25×(﹣)+60×﹣2]=﹣3﹣(﹣15+15﹣2)=﹣3+2=﹣127.原式=8﹣8÷(﹣4)×(﹣2)+0=8﹣4=4.28.原式=[﹣×4×6]÷5×(﹣1)=[﹣(﹣5)]÷5×(﹣1)=.29. 原式=﹣++﹣=﹣++﹣=﹣2; 30.原式=﹣×(﹣36)=718;31.原式={1﹣[﹣(﹣)]×16}÷[﹣﹣﹣]=[1﹣(+)×16]÷[﹣﹣﹣]=[1﹣1-41]÷(﹣2) =-41×(﹣)=81. 32.原式=;33.原式=﹣9+9+25×()﹣0.09÷0.9=﹣9+9+(﹣20)﹣0.1=﹣20﹣0.1=﹣20.134.原式=﹣1000﹣(﹣)×﹣100=﹣1099.35.原式=×+×﹣×=×(+﹣)=×()=.36. 原式=﹣4+16×﹣0.28=﹣4+2﹣28=﹣3037.原式=(﹣+)×18+(3.95﹣1.45)×6=17.38.原式=.39.原式=﹣16×(﹣2)÷(﹣1)+(+﹣)×24=﹣32+×24+×24﹣×24=﹣32+27+32﹣18=9.40. [(﹣1)2005+(﹣﹣)×24]÷|﹣32+5|=[﹣1+×24]÷|﹣4|=4÷4=141.原式==××(﹣1)=﹣.42. 原式=﹣1﹣[﹣2+×(﹣3)]=﹣1﹣[﹣2﹣2]=﹣1+4=3.43.原式=21×23×32×34×43×45×54×56×65×67=44.=﹣﹣8×=﹣﹣=﹣545. 原式=﹣5﹣﹣(1﹣×)×9=﹣5﹣(1﹣)×9=﹣5﹣6=﹣11.46. 原式=﹣10+8÷4﹣12=﹣10+2﹣12=﹣20.47.原式=(﹣﹣)×(﹣)=(﹣)×(﹣)=3.48. 原式=3+(﹣4)×8÷4÷2﹣9÷9×(﹣1)=3﹣4+1=0.49. 原式=64﹣{81﹣[﹣+×(﹣4)]÷(﹣3)}=64﹣{81﹣3}=64﹣77=﹣13.50. 原式=×(﹣)﹣×(﹣)﹣××=﹣+﹣=. 51. 原式=(1315﹣15+4﹣14)×(﹣)=(1315﹣25)×(﹣)=41310; 52. 原式=﹣10+32﹣12=10; 53. 原式=﹣÷(﹣)+()=﹣=;54. 原式=﹣3×﹣4×﹣8×=﹣﹣18=﹣20; 55.原式=﹣8+×+8=﹣8++8=.56. 原式=﹣++××1=﹣++=;57. 原式=﹣27×4﹣4×()=﹣=0;58. 原式=﹣16+4﹣3×(﹣1)=﹣12+3=﹣9. 59. 原式=1.3+0=1.3;60. 原式=﹣13+12﹣7+38=﹣20+50=30; 61.原式=[﹣3+3.5]+[﹣2﹣]=0﹣3=﹣3; 62. 原式=163﹣[63﹣259﹣41]=163+237=400.63. 原式=﹣(﹣0.04+0.04)+(8﹣9×1)×=﹣1×=﹣; 64. 原式=(﹣3×﹣4×+1×)÷|2×﹣|×2=(﹣﹣+)÷||×2=﹣×4×2=﹣4;65.原式=×16×1﹣()=1﹣(﹣9+56﹣90)=1+9﹣56+90=44.66.原式=﹣4+4+4﹣8﹣9=﹣13.67.原式=22﹣4﹣2+4=20;68.原式=(﹣8)++9﹣=1;69. 原式=(+﹣)×(﹣24)﹣8=(﹣32)﹣3+66﹣8=23;70. 原式=(﹣)÷(﹣﹣)=1;71. 原式=(﹣9)××(﹣)×(﹣4)=﹣;72. 原式=(﹣1)﹣×(2﹣9)=.73.原式=﹣÷(﹣+)=﹣÷=﹣74.原式=(﹣2)÷(×)×+5=(﹣2)÷×+5=﹣2×32×+5=﹣48+5=﹣43.75.原式=(﹣2)×9×(﹣1)﹣12÷[3﹣1]=18﹣12÷2=18﹣6=12.76.原式=﹣1×[﹣9×﹣2]×(﹣)=﹣1×(﹣4﹣2)×(﹣)=﹣6×=﹣9.77. 原式=﹣9﹣9+9×1=﹣9;78. 原式=﹣24×+(﹣8)=﹣1﹣8=﹣9.79.原式=﹣8×8﹣8×+64=﹣1.80. 原式=×36﹣×36+×36=28﹣30+27=25.81. 原式=﹣5﹣4=﹣9.82. 原式=27×4﹣(﹣27)×(﹣8)=27×(4﹣8)=﹣108.83. 原式=(1﹣)×(2﹣9)=×(﹣7)=.84.=1+2(﹣+﹣…﹣)=1+2(﹣)=.85.原式=3××××=1.86.原式=(﹣1+3)+(﹣5+7)+(﹣9+11)+…+(﹣1997+1999)=2××=1000;87.原式=(11﹣13)+(12﹣14)+(15﹣17)+…+(95﹣97)+(96﹣98)+(99+100)=﹣2×+199=﹣88+199=111;88.原式=(1990+1)(2000﹣1)﹣1990×2000=1990×2000﹣1990+2000﹣1﹣1990×2000=10﹣1=9;89.原式=4726342+4726352﹣(472634﹣1)×(472634+1)﹣(472635﹣1)(472635+1)=4726342+4726352﹣4726342+1﹣4726352+1=2;90.原式=×(1﹣+﹣+…+﹣)=×(1﹣)=×=;91.根据题意可知第n项就是a n=1+3(n﹣1),即有244=1+3(n﹣1),∴n=82,∴一共有82个数,又∵1+244=245,4+241=245…,∴原式=(1+244)×82÷2=10045;92. 设原式=m,那么3m=3+m﹣,∴2m=3﹣,∴m=;93. 原式=﹣+﹣+﹣=(1+)﹣(+)+(+)﹣(+)+(+)﹣(+) =1+﹣﹣+…﹣﹣=1﹣=.94.原式=﹣4﹣(﹣1)×(﹣)×6+9=﹣4﹣1+9=4.95. 原式=+﹣﹣=﹣=96. 原式=﹣+﹣(﹣8﹣1)=﹣+﹣×(﹣9)=+3=97.原式=5×+7×﹣12×=(5+7﹣12)×=0.98. 原式=﹣5﹣4÷[﹣]÷(﹣4)=﹣5﹣4÷(﹣2)÷(﹣4)=﹣5﹣(﹣2)÷(﹣4)=﹣5﹣=﹣5.99.原式=﹣3+2﹣2+7=(﹣3﹣2)+(2+7)=﹣6+10=4;100.原式=﹣8××=﹣8;。
有理数的混合运算练习题及答案有理数的混合运算练习题及答案有理数是数学中的一个重要概念,它包括整数和分数。
有理数的运算是数学中的基础知识,掌握有理数的混合运算对于学习数学是至关重要的。
在本文中,我将为大家提供一些有理数的混合运算练习题及答案,希望能帮助大家巩固对有理数运算的理解。
题目一:计算下列各题的结果。
1. (-3) + 5 - (-2) - 42. 2/3 × (-1/4) ÷ 2/53. 1/2 + (-3/4) - (-1/3)4. (-5) × 2/3 ÷ (-1/4)5. (-2/3) + (-1/2) - (-5/6)答案一:1. (-3) + 5 - (-2) - 4 = -3 + 5 + 2 - 4 = 02. 2/3 × (-1/4) ÷ 2/5 = -1/6 ÷ 2/5 = -5/123. 1/2 + (-3/4) - (-1/3) = 1/2 - 3/4 + 1/3 = -1/124. (-5) × 2/3 ÷ (-1/4) = -5 × 2/3 ÷ (-1/4) = 405. (-2/3) + (-1/2) - (-5/6) = -2/3 - 1/2 + 5/6 = 1/6题目二:将下列各题转化为带分数的形式。
1. (-15) ÷ (-4)2. 17 ÷ (-3)3. (-21) ÷ 54. 25 ÷ (-8)答案二:1. (-15) ÷ (-4) = 3 3/42. 17 ÷ (-3) = -5 2/33. (-21) ÷ 5 = -4 1/54. 25 ÷ (-8) = -3 1/8题目三:计算下列各题的绝对值。
1. |-6|2. |-2/3|3. |4 - 7|4. |(-5) × (-3)|答案三:1. |-6| = 62. |-2/3| = 2/33. |4 - 7| = 34. |(-5) × (-3)| = 15题目四:计算下列各题的相反数。
有理数的混合运算(一)填空4.23-17-(+23)=______.5.-7-9+(-13)=______.6.-11+|12-(39-8)|=______.7.-9-|5-(9-45)|=______.8.-5.6+4.7-|-3.8-3.8|=______.9.-|-0.2|+[0.6-(0.8-5.4)]=______.12.9.53-8-(2-|-11.64+1.53-1.36|)=______.13.73.17-(812.03-|219.83+518|)=______.36.38×(-7)+5[(-2)3(-32)-(-22)]-38×339÷(-3)38=______.48.(-2)×{(-3)×[(-5)+2×(0.3-0.3)÷83-3]+4}=______.112.413-74-(-5+26).116.-84-(16-3)+7.118.-0.182+3.105-(0.318-6.065).119.-2.9+[1.7-(7+3.7-2.1)].121.34.23-[194.6-(5.77-5.4)].125.23.6+[3.9-(17.8-4.8+15.4)].134.(-3)2÷2.5.135.(-2.52)×(-4).136.(-32)÷(-2)2.173.(-1)2×5+(-1)×52-12×5+(-1×5)2.174.(-2)(-3)(-36)+(-1)20×63.178.(-32)÷(3×2)×(-3-2).180.3×(-2)2+(-2×3)2+(-2+3)2.188.2+42×(-8)×16÷32.190.[5.78+3.51-(0.7)2]÷(0.2)3×11.191.(1.25)4÷(0.125)4×0.0036-(0.6)2.194.(-42×26+132×2)÷(-3)7×(-3)5.195.(3-9)4×23×(-0.125)2.201.741×[(-30)2-(-402)]3÷(1250)2.211.[(-5)3+3.4×2-2×4+53]2.213.(24-5.1×3-3×5+33)2.234.(-5)×(-3)×(-4)2+(-2)3×(-8)×(-3)-(-12)×3÷24.240.-18-23×[(-4)3÷(-43)+0.2×8+(-3)2÷(-32)].(四)用符号“>”,“<”,“≥”,“≤”,“=”之一填空241.当两个数和的绝对值______这两个数差的绝对值时,这两个数同号.242.一个正数与一个负数差的绝对值______这两个数绝对值的和.243.一个正数与一个负数和的绝对值______这两个数绝对值的差.244.一个正数与一个负数差的绝对值______这两个数绝对值的差.245.一个正数与一个负数和的绝对值______这两个数绝对值的和.246.当两个数和的绝对值______这两个数差的绝对值时,这两个数异号.247.当两数和的绝对值______这两个数差的绝对值时,这两个数至少有一个是零.248.当两数和的绝对值______这两个数的绝对值之和时,这两个数可以是任意的有理数.249.当两数差的绝对值______这两个数的绝对值之和时,这两个数可以是任意的有理数.250.当两个数和的绝对值______这两个数绝对值的差时,这两个数可以是任意的有理数.251.当两个数差的绝对值______这两个数绝对值的差时,这两个数可以是任意的有理数.252.欲使两个数的绝对值的和等于这两个数的和的绝对值,这两个数必须是怎样的数?253.欲使两个数和的绝对值不小于这两个数的差的绝对值,这两个数必须是怎样的数?254.欲使两数和的绝对值不大于这两数差的绝对值,这两个数必须是怎样的数?255.欲使两数和的绝对值不小于这两个数的绝对值的和,这两个数必须是怎样的数?256.一个盛有水的圆柱形水桶,其底面半径为1.6分米①.现将一个半径为1.2分米的铁球沉没在桶内水面下,问桶内水面升高多少分米?(列综合算式计算,球的体积公式为,其中V表示体积,R表示球的半径)257.一个盛有水的长方体状容器,它的底面是边长为2.4分米的正方形,现将一个半径是1.2分米的铁球放在容器内,正好铁球体积的1/3在水面下,问放入铁球后,水面升高了多少分米?(列综合算式计算,球的体积公式为V表示体积,R表示球的半径,π取3.14。