常用函数图像集锦
- 格式:doc
- 大小:639.00 KB
- 文档页数:7
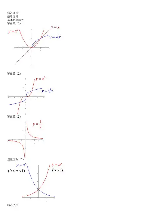
函数图形基本初等函数幂函数(1)幂函数(2)幂函数(3)指数函数(1)指数函数(2)指数函数(3)对数函数(1)对数函数(2)三角函数(1)三角函数(2)三角函数(3)三角函数(4)三角函数(5)反三角函数(1)反三角函数(2)反三角函数(3)反三角函数(4)反三角函数(5)反三角函数(6)反三角函数(7)反三角函数(8)双曲函数(1)双曲函数(2)双曲函数(3)双曲函数(4)双曲函数(5)双曲函数(6)双曲函数(7)反双曲函数(1)反双曲函数(2)反双曲函数(3)反双曲函数(4)反双曲函数(5)反双曲函数(6)y=sin(1/x) (1)y=sin(1/x) (2)y=sin(1/x) (3)y=sin(1/x) (4)y = [1/x](1)y = [1/x](2)y=21/xy=21/x (2)y=xsin(1/x)y=arctan(1/x)y=e1/xy=sinx (x>∞)绝对值函数y = |x|符号函数y = sgnx取整函数y= [x]极限的几何解释(1)极限的几何解释(2)极限的几何解释(3)极限的性质(1) (局部保号性)极限的性质(2) (局部保号性)极限的性质(3) (不等式性质)极限的性质(4) (局部有界性)极限的性质(5) (局部有界性)两个重要极限y=sinx/x (1)y=sinx/x (2)limsinx/x的一般形式y=(1+1/x)^x (1)y=(1+1/x)^x (2)lim(1+1/x)^x 的一般形式(1)lim(1+1/x)^x 的一般形式(2)lim(1+1/x)^x 的一般形式(3)e的值(1)e的值(2)等价无穷小(x>0)sinx等价于xarcsinx等价于xtanx等价于xarctanx等价于x1cosx等价于x^2/2sinx等价于x数列的极限的几何解释海涅定理渐近线水平渐近线铅直渐近线y=(x+1)/(x1)y=sinx/x (x>∞)夹逼定理(1)夹逼定理(2)数列的夹逼性(1)数列的夹逼性(2)。
函数图形 基本初等函数 幂函数(1)幂函数(2)幂函数(3)指数函数(1)指数函数(2)指数函数(3)对数函数(1)对数函数(2)三角函数(1)三角函数(2)三角函数(3)三角函数(4)三角函数(5)反三角函数(1)反三角函数(2)反三角函数(3)反三角函数(4)反三角函数(5)反三角函数(6)反三角函数(7)反三角函数(8)双曲函数(1)双曲函数(2)双曲函数(3)双曲函数(4)双曲函数(5)双曲函数(6)双曲函数(7)反双曲函数(1)反双曲函数(2)反双曲函数(3)反双曲函数(4)反双曲函数(5)反双曲函数(6)y=sin(1/x) (1)y=sin(1/x) (2)y=sin(1/x) (3)y=sin(1/x) (4)y = [1/x](1)y = [1/x](2)y=21/xy=21/x (2)y=xsin(1/x)y=arctan(1/x)y=e1/xy=sinx (x->∞)绝对值函数 y = |x|符号函数 y = sgnx取整函数 y= [x]极限的几何解释(1)极限的几何解释(2)极限的几何解释(3)极限的性质 (1) (局部保号性)极限的性质 (2) (局部保号性)极限的性质 (3) (不等式性质) 极限的性质 (4) (局部有界性) 极限的性质 (5) (局部有界性)两个重要极限y=sinx/x (1)y=sinx/x (2)limsinx/x 的一般形式y=(1+1/x)^x (1)y=(1+1/x)^x (2)lim(1+1/x)^x 的一般形式(1)lim(1+1/x)^x 的一般形式(2)lim(1+1/x)^x 的一般形式(3)e 的值(1)e 的值(2)等价无穷小(x->0)sinx 等价于xarcsinx等价于xtanx等价于xarctanx 等价于x 1-cosx 等价于x^2/2sinx 等价于x数列的极限的几何解释海涅定理渐近线水平渐近线铅直渐近线实用标准文案精彩文档y=(x+1)/(x-1)y=sinx/x (x->∞)夹逼定理(1) 夹逼定理(2) 数列的夹逼性 (1) 数列的夹逼性 (2)。
函数图形基本初等函数幂函数(1)指数函数(1)幂函数(2)幂函数(3)指数函数(2)指数函数(3)对数函数(1)对数函数(2)三角函数(1)三角函数(2)三角函数(3)三角函数(5)反三角函数(1)反三角函数(2)反三角函数(3)反三角函数(4)反三角函数(7)反三角函数(5)反三角函数(6)反三角函数(8)双曲函数(1)双曲函数(2)双曲函数(3)双曲函数(4)双曲函数(5)双曲函数(6)双曲函数(7)反双曲函数(1)反双曲函数(2)反双曲函数(3)反双曲函数(5)反双曲函数(6)y=sin(1/x) (1) y=sin(1/x) (2)y=sin(1/x) (4) y = [1/x](1)y = [1/x](2)y=21/xy=21/x (2)y=xsin(1/x)y=arctan(1/x)y=e1/xy=sinx (x->∞)绝对值函数y = |x|符号函数y = sgnx取整函数y= [x]极限的几何解释(1)极限的几何解释(2)极限的几何解释(3)极限的性质(1) (局部保号性) 极限的性质(2) (局部保号性)极限的性质(3) (不等式性质) 极限的性质(4) (局部有界性) 极限的性质(5) (局部有界性)两个重要极限y=sinx/x (1)y=sinx/x (2) limsinx/x的一般形式y=(1+1/x)^x (1)y=(1+1/x)^x (2)lim(1+1/x)^x 的一般形式(1) lim(1+1/x)^x 的一般形式(2)lim(1+1/x)^x 的一般形式(3)e的值(1)e的值(2)等价无穷小(x->0)sinx等价于xarcsinx等价于xtanx等价于xarctanx等价于x1-cosx等价于x^2/2 sinx等价于x数列的极限的几何解释海涅定理铅直渐近线渐近线水平渐近线y=(x+1)/(x-1) y=sinx/x (x->∞) 夹逼定理(1)夹逼定理(2)数列的夹逼性(2) 数列的夹逼性(1)。
常见奇、偶函数及图像一、奇函数奇函数是指满足 $f(x) = f(x)$ 的函数。
在直角坐标系中,奇函数的图像关于原点对称。
下面列举几个常见的奇函数:1. 正弦函数:$f(x) = \sin x$图像特点:周期性、波动性,在每个周期内,函数值在 1 和1 之间波动。
图像示例:见附图 1。
2. 正切函数:$f(x) = \tan x$图像特点:周期性、斜率逐渐增大,在每个周期内,函数值在正负无穷大之间波动。
图像示例:见附图 2。
3. 奇数次幂函数:$f(x) = x^n$(n 为奇数)图像特点:过原点,随着 n 的增大,图像越来越陡峭。
图像示例:见附图 3。
二、偶函数偶函数是指满足 $f(x) = f(x)$ 的函数。
在直角坐标系中,偶函数的图像关于 y 轴对称。
下面列举几个常见的偶函数:1. 余弦函数:$f(x) = \cos x$图像特点:周期性、波动性,在每个周期内,函数值在 1 和1 之间波动。
图像示例:见附图 4。
2. 指数函数:$f(x) = e^x$ 和 $f(x) = e^{x}$图像特点:指数增长或衰减,随着 x 的增大,函数值迅速增大或减小。
图像示例:见附图 5。
3. 偶数次幂函数:$f(x) = x^n$(n 为偶数)图像特点:过 y 轴,随着 n 的增大,图像越来越宽。
图像示例:见附图 6。
三、图像示例附图 1:正弦函数图像附图 2:正切函数图像附图 3:奇数次幂函数图像附图 4:余弦函数图像附图 5:指数函数图像附图 6:偶数次幂函数图像常见奇、偶函数及图像一、奇函数奇函数是指满足 $f(x) = f(x)$ 的函数。
在直角坐标系中,奇函数的图像关于原点对称。
下面列举几个常见的奇函数:1. 正弦函数:$f(x) = \sin x$图像特点:周期性、波动性,在每个周期内,函数值在 1 和1 之间波动。
图像示例:见附图 1。
2. 正切函数:$f(x) = \tan x$图像特点:周期性、斜率逐渐增大,在每个周期内,函数值在正负无穷大之间波动。
函数图像总结函数图像总结函数图像总结一基本函数图像1y=kx(x≠0)2y=kx+b(k≠0)3y4yax2bxc(a0)5yxa6yxk(k0)xk(k0)7yax(a 0,a1)x8ylogax(a0,a1)二抽象图像平移f(x)f(x+1)f(x)f(x-1)f(x)f(x)+1f(x)f(x)-1f(x)f(2x)f(x)2f(x) f(x)f(2x+2)y=f(-x)变成y=f(-x+2)练习:cosxcos2xcos2xcos(2x+4)cosxcos2x+4三图像的变换1f(x)f(|x|)保留y轴右边的,左边关于右边y轴对称2f(x)|f(x)|保留x轴上方的,下方关于x轴对称3f(x)f(-x)y轴对称4f(x)-f(x)x轴对称5f(x)-f(-x)原点对称6f(x)f(|x+1|)先根据1方法变成f(|x|),在向左平移一个单位得到f(|x+1|)7f(x)f(|x|+1)先向左平移一个单位得到f(x+1),再根据1方法变成f(|x|+1)8f(x)与f1(x)的图象关于直线yx对称联想点(x,y),(y,x)9f(x)与f(2ax)的图象关于点(a,0)对称egf(x)= 2x与g(x)=-2x关于对称一、函数yf(x)与函数yf(x)的图象关系函数yf(x)的图象是由yf(x)的图象经沿y轴翻折180°而得到的(即关于y轴对称)。
注意它与函数yf(x)满足f(x)f(x)的图象是不同的,前者代表两个函数,后者表示函数yf(x)本身是关于y轴对称的。
(二)伸缩变换及其应用:函数yaf(bx)的图像可以看作是由函数yf(x)的图像先将横坐标伸长(|b|<1)或缩短(|b|>1)到原来的1倍,再把纵坐标伸长(|a|>1)或缩短(|a|<1)到原来的|a|倍即可得到。
如:|b|1的图像x1要求:1会画y=|x+1|y=-2会画f(x)=lg|x|以及f(x)=|lgx|3会画f(x)=|lg|x+1||以及f(x)=x2-4|x|+5f(x)=|x2-2x-3|二1由图像可知f(x+1)为偶函数对称轴为2由图像可知f(x+1)为奇函数关于点(,)对称Eg、对a,bR,记max{a,b}=(A)0(B) a,ab,函数f(x)=max{|x+1|,|x-2|}(xR)的最小值是b,a<b13(C)(D)3901(选讲)1、yf(x)绕原点顺时针方向旋转;yf(x)12、yf(x);yf (x)绕原点逆时针方向旋转9000yQP(a,b)(yf(x)yQ1xP1(b,a)(yf1(x))P(a,b)(yf(x)0P1(b,a)1(yf(x))0(乙)x(甲)(图五)0说明:关于绕原点旋转180的变换实际上就是关于原点对称的问题。
函数图形基本初等函数幂函数(1)幂函数(2)幂函数(3)指数函数(1)指数函数(2)指数函数(3)对数函数(1)对数函数(2)三角函数(1)三角函数(2)三角函数(3)三角函数(4)三角函数(5)反三角函数(1)反三角函数(2)反三角函数(3)反三角函数(4)反三角函数(5)反三角函数(6)反三角函数(7)反三角函数(8)双曲函数(1)双曲函数(2)双曲函数(3)双曲函数(4)双曲函数(5)双曲函数(6)双曲函数(7)反双曲函数(1)反双曲函数(2)反双曲函数(3)反双曲函数(4)反双曲函数(5)反双曲函数(6)y=sin(1/x) (1)y=sin(1/x) (2)y=sin(1/x) (3)y=sin(1/x) (4)y = [1/x](1)y = [1/x](2)y=21/xy=21/x (2)y=xsin(1/x)y=arctan(1/x)y=e1/xy=sinx (x->∞)绝对值函数 y = |x|符号函数 y = sgnx取整函数 y= [x]极限的几何解释 (1)极限的几何解释 (2)极限的几何解释 (3)极限的性质 (1) (局部保号性)极限的性质 (2) (局部保号性)极限的性质 (3) (不等式性质)极限的性质 (4) (局部有界性)极限的性质 (5) (局部有界性)两个重要极限y=sinx/x (1)y=sinx/x (2)limsinx/x的一般形式y=(1+1/x)^x (1)y=(1+1/x)^x (2)lim(1+1/x)^x 的一般形式(1)lim(1+1/x)^x 的一般形式(2)lim(1+1/x)^x 的一般形式(3)e的值(1)e的值(2)等价无穷小(x->0)sinx等价于xarcsinx等价于xtanx等价于xarctanx等价于x1-cosx等价于x^2/2sinx等价于x数列的极限的几何解释海涅定理渐近线水平渐近线铅直渐近线y=(x+1)/(x-1)y=sinx/x (x->∞)夹逼定理(1)夹逼定理(2)数列的夹逼性 (1)数列的夹逼性 (2)pi 是派的意思(如果你没有切换到公式版本)^是次方的意思,$是公式的标记符,切换到公式版(安装mathplayer)就看不到$了1.诱导公式sin(-a)=-sin(a)cos(-a)=cos(a)$sin(pi/2-a)=cos(a)$$cos(pi/2-a)=sin(a)$$sin(pi/2+a)=cos(a)$ $cos(pi/2+a)=-sin(a)$ $sin(pi-a)=sin(a)$ $cos(pi-a)=-cos(a)$ $sin(pi+a)=-sin(a)$ $cos(pi+a)=-cos(a)$2.两角和与差的三角函数$sin(a+b)=sin(a)cos(b)+cos(α)sin(b)$$cos(a+b)=cos(a)cos(b)-sin(a)sin(b)$$sin(a-b)=sin(a)cos(b)-cos(a)sin(b)$$cos(a-b)=cos(a)cos(b)+sin(a)sin(b)$$tan(a+b)=(tan(a)+tan(b))/(1-tan(a)tan(b))$ $tan(a-b)=(tan(a)-tan(b))/(1+tan(a)tan(b))$3.和差化积公式$sin(a)+sin(b)=2sin((a+b)/2)cos((a-b)/2)$ $sin(a)−sin(b)=2cos((a+b)/2)sin((a-b)/2)$ $cos(a)+cos(b)=2cos((a+b)/2)cos((a-b)/2)$ $cos(a)-cos(b)=-2sin((a+b)/2)sin((a-b)/2)$4.积化和差公式 (上面公式反过来就得到了)$sin(a)sin(b)=-1/2*[cos(a+b)-cos(a-b)]$$cos(a)cos(b)=1/2*[cos(a+b)+cos(a-b)]$$sin(a)cos(b)=1/2*[sin(a+b)+sin(a-b)]$5.二倍角公式$sin(2a)=2sin(a)cos(a)$$cos(2a)=cos^2(a)-sin^2(a)=2cos^2(a)-1=1-2sin^2(a)$ 6.半角公式$sin^2(a/2)=(1-cos(a))/2$$cos^2(a/2)=(1+cos(a))/2$$tan(a/2)=(1-cos(a))/sin(a)=sin(a)/(1+cos(a))$7.万能公式$sin(a)= (2tan(a/2))/(1+tan^2(a/2))$$cos(a)= (1-tan^2(a/2))/(1+tan^2(a/2))$$tan(a)= (2tan(a/2))/(1-tan^2(a/2))$8.其它公式(推导出来的)$a*sin(a)+b*cos(a)=sqrt(a^2+b^2)sin(a+c)$ 其中 $tan(c)=b/a$ $a*sin(a)-b*cos(a)=sqrt(a^2+b^2)cos(a-c)$ 其中 $tan(c)=a/b$$1+sin(a)=(sin(a/2)+cos(a/2))^2$$1-sin(a)=(sin(a/2)-cos(a/2))^2$其他非重点$csc(a)=1/sin(a)$$sec(a)=1/cos(a)$1 三角函数的定义三角形中的定义图1 在直角三角形中定义三角函数的示意图在直角三角形ABC,如下定义六个三角函数:正弦函数余弦函数正切函数余切函数正割函数余割函数直角坐标系中的定义。
函数图形基本初等函数幂函数(1)幂函数(2)幂函数(3)指数函数(1)指数函数(2)指数函数(3)对数函数(1)对数函数(2)三角函数(1)三角函数(2)三角函数(3)三角函数(4)三角函数(5)反三角函数(1)反三角函数(2)反三角函数(3)反三角函数(4)反三角函数(5)反三角函数(6)反三角函数(7)反三角函数(8)双曲函数(1)双曲函数(2)双曲函数(3)双曲函数(4)双曲函数(5)双曲函数(6)双曲函数(7)反双曲函数(1)反双曲函数(2)反双曲函数(3)反双曲函数(4)反双曲函数(5)反双曲函数(6)y=sin(1/x) (1)y=sin(1/x) (2)y=sin(1/x) (3)y=sin(1/x) (4)y = [1/x](1)y = [1/x](2)y=21/xy=21/x (2)y=xsin(1/x)y=arctan(1/x)y=e1/xy=sinx (x>∞)绝对值函数 y = |x|符号函数 y = sgnx取整函数 y= [x]极限的几何解释 (1)极限的几何解释 (2)极限的几何解释 (3)极限的性质 (1) (局部保号性)极限的性质 (2) (局部保号性)极限的性质 (3) (不等式性质)极限的性质 (4) (局部有界性)极限的性质 (5) (局部有界性)两个重要极限y=sinx/x (1)y=sinx/x (2)limsinx/x的一般形式y=(1+1/x)^x (1)y=(1+1/x)^x (2)lim(1+1/x)^x 的一般形式(1)lim(1+1/x)^x 的一般形式(2)lim(1+1/x)^x 的一般形式(3)e的值(1)e的值(2)等价无穷小(x>0)sinx等价于xarcsinx等价于xtanx等价于xarctanx等价于x1cosx等价于x^2/2 sinx等价于x数列的极限的几何解释海涅定理渐近线水平渐近线铅直渐近线y=(x+1)/(x1)y=sinx/x (x>∞)夹逼定理(1)夹逼定理(2)数列的夹逼性 (1)数列的夹逼性 (2)。
经典数学函数图像(大全)1. 一次函数图像一次函数图像是一条直线,其一般形式为 y = mx + b,其中 m是斜率,b 是 y 轴截距。
当 m > 0 时,直线向上倾斜;当 m < 0 时,直线向下倾斜。
2. 二次函数图像二次函数图像是一个抛物线,其一般形式为 y = ax^2 + bx + c,其中 a、b、c 是常数。
当 a > 0 时,抛物线开口向上;当 a < 0 时,抛物线开口向下。
3. 三角函数图像三角函数图像包括正弦函数、余弦函数和正切函数。
正弦函数图像是一条波动曲线,余弦函数图像与正弦函数图像相似,但相位差为π/2。
正切函数图像是一条周期性振荡的曲线。
4. 指数函数图像指数函数图像是一条上升或下降的曲线,其一般形式为 y = a^x,其中 a 是底数,x 是指数。
当 a > 1 时,曲线上升;当 0 < a < 1 时,曲线下降。
5. 对数函数图像对数函数图像是一条上升或下降的曲线,其一般形式为 y =log_a(x),其中 a 是底数,x 是真数。
当 a > 1 时,曲线上升;当0 < a < 1 时,曲线下降。
6. 双曲函数图像双曲函数图像包括双曲正弦函数、双曲余弦函数和双曲正切函数。
双曲正弦函数和双曲余弦函数图像都是上升或下降的曲线,而双曲正切函数图像是一条周期性振荡的曲线。
7. 幂函数图像幂函数图像是一条上升或下降的曲线,其一般形式为 y = x^n,其中 n 是指数。
当 n > 0 时,曲线上升;当 n < 0 时,曲线下降。
8. 反比例函数图像反比例函数图像是一条双曲线,其一般形式为 y = k/x,其中 k是常数。
当 k > 0 时,曲线位于第一和第三象限;当 k < 0 时,曲线位于第二和第四象限。
经典数学函数图像(大全)3. 反三角函数图像反三角函数是三角函数的反函数,包括反正弦函数、反余弦函数和反正切函数。
函数图形基本初等函数幂函数(1)幂函数(2)幂函数(3)指数函数(1)指数函数(2)指数函数(3)对数函数(1)对数函数(2)三角函数(1)三角函数(2)三角函数(3)三角函数(4)三角函数(5)反三角函数(1)反三角函数(2)反三角函数(3)反三角函数(4)反三角函数(5)反三角函数(6)反三角函数(7)反三角函数(8)双曲函数(1)双曲函数(2)双曲函数(3)双曲函数(4)双曲函数(5)双曲函数(6)双曲函数(7)反双曲函数(4)反双曲函数(1)反双曲函数(2)反双曲函数(3)反双曲函数(5)反双曲函数(6)y=sin(1/x) (1) y=sin(1/x) (2)y=sin(1/x) (3) y=sin(1/x) (4) y = [1/x](1) y = [1/x](2)y=21/xy=21/x (2)y=xsin(1/x)y=arctan(1/x)y=e1/xy=sinx (x->∞)绝对值函数y = |x| 符号函数y = sgnx 取整函数y= [x]极限的几何解释(1)极限的几何解释(2)极限的几何解释(3)极限的性质(1) (局部保号性)极限的性质(2) (局部保号性)极限的性质(3) (不等式性质)极限的性质(4) (局部有界性)极限的性质(5) (局部有界性)两个重要极限y=sinx/x (1)y=sinx/x (2)limsinx/x的一般形式y=(1+1/x)^x (1)y=(1+1/x)^x (2)lim(1+1/x)^x 的一般形式(1) lim(1+1/x)^x 的一般形式(2) lim(1+1/x)^x 的一般形式(3)e的值(1)e的值(2)等价无穷小(x->0)sinx等价于xarcsinx等价于xtanx等价于xarctanx等价于x1-cosx等价于x^2/2sinx等价于x数列的极限的几何解释海涅定理渐近线水平渐近线铅直渐近线y=(x+1)/(x-1)y=sinx/x (x->∞) 夹逼定理(1)夹逼定理(2) 数列的夹逼性(1) 数列的夹逼性(2)。
函数图形 基本初等函数 幂函数(1)幂函数(2)幂函数(3)指数函数(1)指数函数(2)指数函数(3)对数函数(1)对数函数(2)三角函数(1)三角函数(2)三角函数(3)三角函数(4)三角函数(5)反三角函数(1)反三角函数(2)反三角函数(3)反三角函数(4)反三角函数(5)反三角函数(6)反三角函数(7)反三角函数(8)双曲函数(1)双曲函数(2)双曲函数(3)双曲函数(4)双曲函数(5)双曲函数(6)反双曲函数(1)反双曲函数(2)反双曲函数(3)反双曲函数(4)反双曲函数(5)反双曲函数(6)y=sin(1/x) (1)y=sin(1/x) (2)y=sin(1/x) (3)y = [1/x](1) y = [1/x](2)y=21/xy=21/x (2)y=xsin(1/x)y=arctan(1/x)y=e1/xy=sinx (x->∞)绝对值函数 y = |x|符号函数 y = sgnx取整函数 y= [x]极限的几何解释(1)极限的几何解释(2)极限的几何解释(3)极限的性质 (1) (局部保号性)极限的性质 (2) (局部保号性)极限的性质 (3) (不等式性质)极限的性质 (4) (局部有界性)极限的性质 (5) (局部有界性)两个重要极限y=sinx/x (1)y=sinx/x (2)limsinx/x 的一般形式y=(1+1/x)^x (1)y=(1+1/x)^x (2)lim(1+1/x)^x 的一般形式(1)lim(1+1/x)^x 的一般形式(2)lim(1+1/x)^x 的一般形式(3)e 的值(1)e 的值(2)等价无穷小(x->0)sinx 等价于xtanx等价于xarctanx等价于x1-cosx等价于x^2/2数列的极限的几何解释海涅定理渐近线水平渐近线铅直渐近线y=(x+1)/(x-1)y=sinx/x (x->∞)夹逼定理(1)夹逼定理(2)数列的夹逼性 (1)数列的夹逼性(2)。
常用函数图像集锦
数学教师在编辑教案、学案、试卷等教学资料时,经常会用到函数图像,由于WORD并没有提供针对性的功能,所以绘制函数图像还是非常困难的。
本人安装了一个名叫《TTch office 图像工具软件》的图像工具,使在WORD文档中绘制函数图像变得轻而易举。
下面是用该工具绘制的一些常用函数图像,与大家共享:
一、三角函数与反三角函数
x
二、幂函数
三、指数函数和对数函数
x y
四、原函数与反函数图像对照
五、图像变换(以三角函数为例)
y y = sin(x +φ) (φ=π/4,0,-π/4)
六、分段函数
注:《TTch office 图像工具软件》登录淘宝,搜索店铺——“图像工具推广站”可找到,其中有详细功能说明。
精品文档考试教学资料施工组织设计方案。
高中13种函数图像汇总函数图像是数学教学中的重要知识点,在高中阶段,学生要掌握常见的13种函数图像的概念、性质、特征,本文将对13种函数图像进行汇总,为学生深入学习提供参考。
一、直线函数图像直线函数的图像是一条直线,它的函数表达式为y=kx+b,其中k是斜率,b是y轴截距,如果k=0,则表示水平线;如果b=0,则表示垂直线。
二、平方函数图像平方函数的图像是一个U型函数曲线,它的函数表达式为y=x^2。
正定平方函数的图像会向上钝化,而负定平方函数的图像会向下钝化,当x=0时,y取得最大值。
三、立方函数图像立方函数的图像是一条U型函数曲线,它的函数表达式为y=x^3,正定立方函数的图像会向上钝化,而负定立方函数的图像会向下钝化,当x=0时,y取得最大值。
四、正弦函数图像正弦函数的图像是一条具有一定周期的曲线,它的函数表达式为y=A*sin(Bx+C),其中A表示振幅,B表示周期,C表示初相。
五、余弦函数图像余弦函数的图像与正弦函数的图像大致相同,它的函数表达式为y=A*cos(Bx+C),其中A表示振幅,B表示周期,C表示初相。
六、指数函数图像指数函数的图像是一条上升或下降的曲线,它的函数表达式为y=A*B^x,其中A是振幅,B是指数,当B>1时,图像会向上钝化;当B<1时,图像会向下钝化。
七、反指数函数图像反指数函数的图像是一条上升或下降的曲线,它的函数表达式为y=A*B^(-x),其中A是振幅,B是指数,当B>1时,图像会向上钝化;当B<1时,图像会向下钝化。
八、对数函数图像对数函数的图像是一条上升曲线,它的函数表达式为y=A*ln (x),A表示振幅,此时x的取值范围是大于0的正数。
九、反对数函数图像反对数函数的图像也是一条上升曲线,它的函数表达式为y=A*ln(1/x),A表示振幅,此时x的取值范围是大于0的正数。
十、双曲线函数图像双曲线的图像是一条上升或下降的曲线,它的函数表达式为y=A*sinh(Bx+C),其中A表示振幅,B表示周期,C表示初相。
常用函数图像集锦
数学教师在编辑教案、学案、试卷等教学资料时,经常会用到函数图像,由于WORD并没有提供针对性的功能,所以绘制函数图像还是非常困难的。
本人安装了一个名叫《TTch office 图像工具软件》的图像工具,使在WORD文档中绘制函数图像变得轻而易举。
下面是用该工具绘制的一些常用函数图像,与大家共享:
一、三角函数与反三角函数
x
二、幂函数
三、指数函数和对数函数
x y
四、原函数与反函数图像对照
五、图像变换(以三角函数为例)
y y = sin(x +φ) (φ=π/4,0,-
六、分段函数
注:《TTch office 图像工具软件》登录淘宝,搜索店铺——“图像工具推广站”可找到,其中有详细功能说明。
常用函数图像集锦
数学教师在编辑教案、学案、试卷等教学资料时,经常会用到函数图像,由于WORD并没有提供针对性的功能,所以绘制函数图像还是非常困难的。
本人安装了一个名叫《TTch office 图像工具软件》的图像工具,使在WORD文档中绘制函数图像变得轻而易举。
下面是用该工具绘制的一些常用函数图像,与大家共享:
一、三角函数与反三角函数
x
二、幂函数
三、指数函数和对数函数
x y
四、原函数与反函数图像对照
五、图像变换(以三角函数为例)
y y = sin(x +φ) (φ=π/4,0,-π/4)
六、分段函数
注:《TTch office 图像工具软件》登录淘宝,搜索店铺——“图像工具推广站”可找到,其中有详细功能说明。