微积分(上)A层期末考试卷A
- 格式:doc
- 大小:219.00 KB
- 文档页数:7
上 海 商 学 院经管类《高等数学》第一章测试题(A)班级 姓名 学号 成绩一. 选择题:(每小题2分,共2'×10=20分)1. 函数()44ln -+=x x y 的定义域是( )。
A. {}4>x xB. {}4->x xC. {}4-≥x xD. {}4≥x x 2. 数列n x : ,101,0,81,0,61,0,41,0,21 ,0---( )。
A. 发散 B. 收敛于0 C. 收敛于1- D. 收敛于13. 下面说法中正确的是( )。
A. 函数在0x 处无定义,则在这一点必无极限B. 函数在0x 处有定义,则在这一点必有极限C. 若函数在0x 处有定义且有极限,则其极限值必为该点函数值D. 在确定函数在点0x 处的极限时,对函数在点0x 是否有定义不作要求4. 下列变量在给定的变化过程中为无穷小量的是( )。
A.()012→-x xB.()01→-x x xC.()()1112→-x xD.()112→--x x5. 下列命题中正确的是( )。
A. 无界变量必是无穷大B. 无穷大是一个很大的数C. 无穷大的倒数是无穷小D. 无穷小是一个很小的数 6. 下列等式中成立的是( )。
A. 133sin lim=∞→x x x B. 11sin lim 0=→x x x C. 1sin lim =-→ππx x x D. 11sin lim =∞→xx x 7. 下列函数中当0→x 时,与无穷小量x 相比是高阶无穷小的是( )。
A. x sin B. 2x x +C. xD. x cos 1-8. 下列函数在0=x 处不连续的是( )。
A. 0,sin 0,)(⎪⎩⎪⎨⎧>≤=x x x x e x f x B. 0,10,sin )(⎪⎩⎪⎨⎧=≠=x x x x x f C. 0,00,1cos )(2⎪⎩⎪⎨⎧=≠=x x x x x f D. 0,00,)(41⎪⎩⎪⎨⎧=≠=-x x e x f x 9. 要使函数()2cos 1xx x f -=在0=x 处连续,则要求补充定义()=0f ( )。
上海大学2013 ~ 2014学年冬季学期《微积分A2》(A 卷)答案一、单项选择题 (5小题, 每小题3分, 共15分)1. 设sin x x 为()f x 的一个原函数, 且常数0a ≠, 则()d f ax x a =⎰( A ). A .3sin ax C a x + B .2sin ax C a x + C .sin ax C ax + D .sin axC x+2. 设直线3210,:21030x y z L x y z +++=⎧⎨--+=⎩及平面π:4220x y z -+-=, 则直线L ( C ).A .平行于πB .在π上C .垂直于πD .与π斜交 3. 设()f x 是区间[0,1]上连续函数, 且10()d 2f x x =⎰, 则π220(cos )sin 2d f x x x =⎰( B ). A .1B .2C .3D .44. 曲线211ln 42y x x =-自1x =至e x =之间的一段弧的弧长s =( C ). A .21(e 2)4+ B .21(1e )4- C .21(e 1)4+ D .21(e 1)4- 5. 设向量,a b 满足a b a b -=+, 则必有( D ). A .0a b -=B .0a b +=C .0a b ⨯=D .0a b ⋅=二、填空题 (5小题, 每小题3分, 共15分)6.20d sin()d d x x t t x -=⎰2sin x .7. 由不等式23x y x ≤≤及2x ≤所确定的平面图形的面积为1712.8. 设()1a b c ⋅⨯=, 则()[()()]b c c a a b +⋅+⨯+=2.9.=1arcsin Cx-+.10. 曲线2224,x y z y z ⎧++=⎨=⎩在yOz 平面上的投影曲线是,(0,y z y x =⎧≤⎨=⎩.三、计算题 (4小题, 每小题6分, 共24分)11. (6分)计算.x解:2d 2tx t t t = ---------------------(3分) .C C =-=- ---------------------(2+1分)12. (6分) 计算22ln(4)d .x x x+⎰ 解: 222ln(4)d ln(4)1d x x x x x ⎛⎫=- ⎪⎝++⎭⎰⎰ ---------------------(2分) 22ln(4)12d 4x x x x x x ⎡⎤+=--⋅⎢⎥+⎣⎦⎰ ---------------------(2分)22ln(4)1d 212x x x x +⎛⎫=-+ ⎪⎝⎭⎛⎫+ ⎪⎝⎭⎰ ---------------------(1分) 2ln(4)arctan .2x x C x +=-++ ---------------------(1分)13. (6分)计算20x ⎰.解:220x x =⎰⎰---------------------(2分)111(1x tt t -=-====-⎰---------------------(2分)111t t --=-⎰⎰π02=- ---------------------(1+1分)π2=.。
一、计算下列各题:(每小题4分,共36分)1.求极限)0(21lim 1>++++∞→p nn p pp p n 。
2.求2cos ()x t x f x e dt =⎰的导数。
3.求由曲线3y x =-,1x =,2x =,0y =所围成的图形面积。
4.计算广义积分20x x e dx +∞-⎰。
厦门大学《微积分I 》课程期末试卷试卷类型:(理工类A 卷) 考试日期 2015.1.215.计算定积分120sin 2x x dx π⎡⎤⎛⎫⎢ ⎪⎢⎝⎭⎢⎣⎰。
6.求方程2x ydy dx +=的通解。
7.求不定积分2(1)(1)xdx x x ++⎰。
8.求方程1y y x x'-=的通解。
9.已知11y =,21y x =+,231y x =+都是微分方程2222x y xy y '''-+=的解,求此方程的通解。
二、计算下列各题:(每小题5分,共30分)1. 求极限20)(02sin limx dt e x x t x x ⎰-→⋅。
2.计算22sin 2cos x x dx x ππ-⎤⎥+⎦⎰。
3.设函数)(x y y =由方程1cos 020322=+⎰⎰dt t dt e x y t 决定,求dxdy 。
4. 求微分方程32y y ''=满足初始条件00|1,|1x x y y =='==的特解。
5.求曲线⎰=x t t x f 0d sin )(相应于π≤≤x 0的一段弧的长度。
6. 设物体作直线运动,已知其瞬时速度2()(/)v t t =米秒,其受到与运动方向相反的阻力()5()F t v t =(牛顿),求物体在时间间隔[]0,1(单位秒)内克服阻力所作的功。
三、计算下列各题:(每小题6分,共24分)1.求微分方程32()()1dy x x y x x y dx++-+=-的通解。
2.设0>a ,求直线231aa x y +-=与x 轴,y 轴所围三角形绕直线a x =旋转一周所得旋转体的体积。
微积分试题 (A 卷)一. 填空题 (每空2分,共20分)1.已知则对于,总存在δ>0,使得当,)(lim 1A x f x =+→0>∀ε时,恒有│ƒ(x )─A│< ε。
2.已知,则a = ,b =2235lim 2=-++∞→n bn an n 。
3.若当时,α与β 是等价无穷小量,则 。
0x x →=-→ββα0limx x 4.若f (x )在点x = a 处连续,则 。
=→)(lim x f ax 5.的连续区间是 。
)ln(arcsin )(x x f =6.设函数y =ƒ(x )在x 0点可导,则______________。
=-+→hx f h x f h )()3(lim0007.曲线y = x 2+2x -5上点M 处的切线斜率为6,则点M 的坐标为 。
8. 。
='⎰))((dx x f x d 9.设总收益函数和总成本函数分别为,,则当利润最大时产2224Q Q R -=52+=Q C 量是。
Q 二. 单项选择题 (每小题2分,共18分)1.若数列{x n }在a 的ε 邻域(a -ε,a +ε)内有无穷多个点,则()。
(A) 数列{x n }必有极限,但不一定等于a (B) 数列{x n }极限存在,且一定等于a(C) 数列{x n }的极限不一定存在 (D) 数列{x n }的极限一定不存在2.设则为函数的( )。
11)(-=x arctg x f 1=x )(x f(A) 可去间断点(B) 跳跃间断点 (C) 无穷型间断点(D) 连续点3.( )。
=+-∞→13)11(lim x x x(A) 1 (B) ∞(C)(D) 2e 3e4.对需求函数,需求价格弹性。
当价格( )时,5p eQ -=5pE d -==p 需求量减少的幅度小于价格提高的幅度。
(A) 3 (B) 5 (C) 6(D) 105.假设在点的某邻域内(可以除外)存)(),(0)(lim ,0)(lim 0x g x f x g x f x x x x ''==→→得0x 0x 在,又a 是常数,则下列结论正确的是( )。
一元微积分A (上)08~09一、填空题(每题4分,共32分)1、若)()(00x f x x f -∆+与x ∆2sin 为0→∆x 时的等价无穷小,则=')(0x f ;2、曲线⎪⎩⎪⎨⎧-=-=3232tt y t t x 在2=t 处的切线方程为 ; 3、)1ln(2)cos(sin 1lim 20x x x +-→的值等于 ; 4、)tan ln(2x x y +=,=dy dx ;5、曲线x e y 2-=的拐点的横坐标是 ;6、函数x e x f =)(的带佩亚诺型余项的n 阶麦克劳林展式为 ;7、函数⎪⎩⎪⎨⎧≥+<-=0cos 01)(22x x x a x x e x f x 在),(+∞-∞上连续,则a = ;8、0→x 时,若取x 为基本无穷小,2cos 1x -是 阶无穷小。
二、试解下列各题(每题6分,共30分) 1、求极限12x x 13x 53x lim +∞→⎪⎭⎫ ⎝⎛-+。
2、设函数)(x y y =由方程1=-x xe y 确定,求022=x dx y d 。
3、求函数11+-=x x y 的n 阶导数的一般表达式。
4、求极限2sin 1)1cos(ln lim 1x x x π--→。
5、设x x y )sin 1(+=,求π=x dx dy三、(8分)求函数2)4ln(2x x y -=的单调区间。
四、(10分)在半径为R 的球内,求体积最大的内接圆柱体的高。
五、(6分)设函数⎪⎩⎪⎨⎧=≠=0001arctan )(2x x x x x f ,讨论)(x f '在x =0处的连续性。
六、(6分)设函数nn x x x f 211lim)(++=+∞→,求函数)(x f 的间断点,并说明类型。
七、(4分)设函数)(x f 在],[+∞a 可导,)(lim x x f +∞→存在,b x f ='+∞→)(lim x ,求证:0=b 。
微积分考试题库(附答案)85考试试卷(⼀)⼀、填空1.设c b a,,为单位向量,且满⾜0=++c b a ,则a c c b b a ?+?+?= 2.xx e 10lim +→= ,xx e 10lim -→=,xx e 1lim →=3.设211)(x x F -=',且当1=x 时,π23)1(=F ,则=)(x F4.设=)(x f ?dt t x 2sin 0,则)(x f '=5.?>+≤+=0,0,1)(x b ax x e x f x 在x =0处可导,则=a ,=b⼆、选择1.曲线==-0122z y x 绕x 轴旋转⼀周所得曲⾯⽅程为()。
(A )12222=+-z y x ;(B )122222=--z y x ;(C )12222=--z y x ;(D )122222=+-z y x2.2)11(lim xx x x -∞→-+=()。
(A )1(B )21e (C )0 (D )1-e3.设函数)(x f 具有连续的导数,则=+'?dx x f x f x )]()([()(A )c x xf +)(;(B )c x f x +')(;(C )c x f x +'+)(;(D )c x f x ++)( 4.设)(x f 在],[b a 上连续,则在],[b a 上⾄少有⼀点ξ,使得()(A )0)(='ξf (B )ab a f b f f --=')()()(ξ86(C )0)(=ξf (D )ab dxx f a bf -=?)()(ξ5.设函数x x a y 3sin 31sin +=在x =3π处取得极值,则=a ()(A )0 (B )1 (C )2 (D )3 三、计算题1.求与两条直线??+=+==211t z t y x 及112211-=+=+z y x 都平⾏且过点(3,-2,1)的平⾯⽅程。
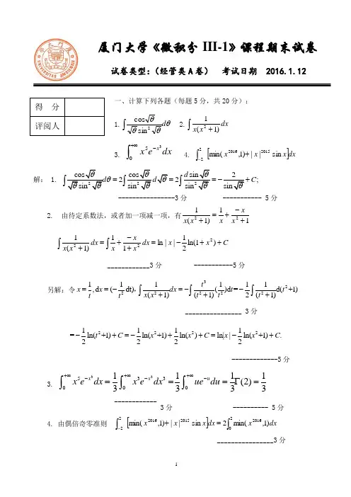
一、计算下列各题(每题5分,共20分):1.θθθθd⎰2sincos2.⎰+dxxx)1(123.dxex x⎰+∞-534.[]dx xxx sin||)1,min(2015201622+⎰-解: 1. 22;Cθ===+----------------3分 ----------- 5分2. 由待定系数法,或者加一项减一项,有11)1(122+-+=+xxxxx⎰⎰++-=+-+=+Cxxdxxxxdxxx)1ln(21||ln11)1(1222------------3分 -----------5分另解:令211,d(dt)x xt t==-,3222221111()d=d(+1)(1)(1)2(1)tdx t tx x t t t=--+++⎰⎰⎰---------------- 3分22221111=ln(+1)ln(+1)ln()ln||ln(+1).2222t C x x C x x C-+=-++=-+-------------5分3.335330001111(2)3333x x ux e dx x e dx ue du+∞+∞+∞---===Γ=⎰⎰⎰------------3分 ---------- 5分4. 由偶倍奇零准则[]⎰⎰=+-220162015201622)1,min(2sin||)1,min(dxxdxxxx----------------3分厦门大学《微积分III-1》课程期末试卷试卷类型:(经管类A卷)考试日期 2016.1.1220174036210212016=⎥⎦⎤⎢⎣⎡+=⎰⎰dx dx x ---------------- 5分二、求下列各式的极限(每题6分,共12分):1. x x xx x -++-+→)1ln(2131lim32.n →∞解: 1. 分时,当2..................).........(1310223x o x x x x +-+=+→ 分2..................).........(2112122x o x x x +-+=+ 分1..................).........(2)1ln(22x o x x x +-=+分1.......1)(21)(]211[)3))(32(31(213311lim )1ln(2131lim 22222030=+-+-+--⨯+⨯+=-++-+→→x o x x o x x x x xx x x x x ∑=∞→∞→+=++n k n nn nkn n n n n 13...........................).........1ln(1lim )2()2)(1(ln lim .2分⎰+=12..................................................)1ln(分dx x分1................................................12ln 2-= ∑⎰=∞→∞→--=+=+=++n k n nn dx x n k n n n n n 11012ln 23ln 3)2ln()2ln(1lim )3()22)(12(ln lim三、(10分)设⎰>-=21221,)ln()(x x dt t x x x f , 对任意固定的2221(1+),ln()x x x x t dt ∈∞-⎰,瑕积分是否收敛?若收敛,求()f x '.解: 令2,d d u x t u t =-=- ,则有212()ln d ,1x f x xu u x -=>⎰........................4分对(1+),0x u ∀∈∞=,是瑕积分21ln d x u u -⎰ 的瑕点,因为++00ln lim lim 01u u uu →→==,...1分又21x u -⎰收敛,根据反常积分比较判别法的极限形式,得210ln d x u u -⎰收敛.......1分2122224220()ln d (1)(ln(1)1)()(ln(1)1)x f x xu u x x x x x x -==---=---⎰,则323()(42)(ln(1)1)2f x x x x x '=---+..............................................................................4分。
微积分考试试题一、 填空题(每题2分⨯10=20分)1、函数245)(x x f --=的定义域是 .2、 设3)(-=x x f ,则=)]1([f f .3、 =---∞→13926lim 22n n n n .4、 x xx 5sin 3sin lim 0→ .5、 =-∞→x x x )431(lim .6、 =')(arccos x .7、 函数y x =,则=dy .8、 函数x e y tan =的导数为 .9、 0sin lim x xx →= .10、 微积分的创始人是: .二 选择题(每题2分⨯5=10分)1、 x x f arcsin 1)(=是( ).A 偶函数B 奇函数C 单调函数D 有界函数2、 若,21)(lim 0=→x ax f x 则 ,)(lim 0=→x bx f x ( ). (ab 0≠)A a b2 B ab 21C 2abD b a23、 函数⎪⎩⎪⎨⎧=≠=00sin )(x a x xxx f ,)(x f 在x=0处连续, 则a=( ).A 0B 1C 2D 不存在4、设曲线)(x f y =在0x x =处切线是水平的,则当0→x 时,)()(0x f x f -较之0x x -为( )无穷小。
A 同阶B 等价C 低阶D 高阶5、 设函数(),()u x v x 在x 可导,则( )A []u v u v '''+=+B []u v u v '''-=+C []u v u v '''⨯=+D []u v u v '''÷=+三、计算题(每小题6分,共24分)1、已知x x f 2sec 8)(tan -=,求)(x f2、求极限12253lim 323+-+∞→x x x x x 3、求极限xx x x 3sin tan lim 0-→ 4、求极限x x x 1)41(lim -→ 四、计算题(每小题8分,共24分)1、求x e x y 12-=的导数2、设)(x y y =由隐函数e xy e y +=确定,求y '3、求211dx x +⎰五、应用题(每小题8分,共16分)1、 某厂生产某种产品所需要成本为()5200()C Q Q =+元,销售后得到总收入为2()100.01()R Q Q Q =-元,问该厂每批生产多少件产品才能使利润最大?2、 某工厂需要修建一个容积为4立方米的正方柱体(即池底为正方形)无盖水池,池底与池壁的材料相同,问池底边长和池高分别为多少时,用料最省?六、 证明题(6分)证明方程e x x =+2332至少有一个正根。
诚信应考,考试作弊将带来严重后果!华南理工大学期末考试《 微积分(上) 》试卷A(试卷号:2013.1.10 时间120分钟,总分100)注意事项:1. 考前请将密封线内填写清楚;2. 所有答案请直接答在试卷上( 密封线装订区内、草稿纸上答题均无效); 3.考试形式:闭卷;一、填空题(每小题4分,20分)1.写出数列{}n x 以常数a 为极限的N ε-定义: 对所有0ε>,存在0N >,当n N >时n a ε-<2.设()()112f f '==,则()()22011lim x f x f x→+-= 83.方程1yy xe =+确定了隐函数()y y x =,则dy =1yye dx xe- 4.设()f x ,且()31x f t dt x -=⎰,则()7f =1125.2=2π二、计算下列各题(每小题5分,共15分)6、设数列{}n x 满足:10x π<<,且()1sin 1,2,n n x x n +==。
证明:lim n n x →∞存在,并求出此极限解 因为10x π<<,所以210sin 12x x π<=<<,设01,1k x k <<>,则10sin 1k k x x +<=<由数学归纳法得01,1n x n <<>,从而数列{}n x 有界;又1sin 0n n n n x x x x +-=-<,从而数列{}n x 是一个单调减少的有界数列。
根据单调有界准则lim n n x →∞存在,设lim n n x l →∞=。
则1lim lim sin lim n n n n n n x x x l +→∞→∞→∞===,即sin l l =,得0l =,即lim 0n n x →∞=7、求极限22011lim sin x x x →⎛⎫-⎪⎝⎭解 原式222222400sin sin lim lim sin x x x x x x x x x →→--==(等价无穷小替换)3330000sin sin sin sin sin lim lim lim 2lim x x x x x x x x x x x x x x x x x x x →→→→+-+--⎛⎫=⋅=⋅= ⎪⎝⎭32000sin cos 1sin 12lim2lim 2lim 363x x x x x x x x x x →→→---====- 8、求极限()()()222lim 12n n nnn n n n →∞⎛⎫+++ ⎪⎪+++⎝⎭解()()()2222221111lim lim 1212111n n n nn n n n n n n n n n →∞→∞⎛⎫⎪⎛⎫ ⎪+++=+++ ⎪⎪ ⎪+++⎛⎫⎛⎫⎛⎫⎝⎭+++ ⎪ ⎪ ⎪ ⎪⎝⎭⎝⎭⎝⎭⎝⎭()11221001111111lim 121211n n k dx n x x k n →∞=---====-=++⎛⎫+ ⎪⎝⎭∑⎰ 三、 解答下列各题(每小题5分,共20分) 9、已知sin y x=,求dy dx解 ()()211ln ln 2ln 3ln ln sin 36y x x x x =--+++ 从而211111cos 23263sin y x x y x x x x'=-⋅++-+ ()()211cot sin 3233x y x x x x x ⎛' =-++ -+⎝ 10、设()2sin cos f x x x x =,求()()20130y解 ()21sin 22f x x x =,由莱布尼茨公式 ()()()()()()()()20132012201120132120132012sin 220132sin 22sin 222f x x x x x x ⋅⎡⎤=+⋅⋅+⋅⋅⎢⎥⎣⎦()()()()20112013201100201320122013201220110sin 22sin 2222x x f x x π==⋅⎡⋅⎤⎡⎤⎛⎫=⋅=⋅⋅+ ⎪⎢⎥⎢⎥⎣⎦⎝⎭⎣⎦ 20112010201020132012112sin 5032201320122sin 201320122222πππ⋅⎛⎫⎛⎫=⋅⋅⋅-=⋅⋅⋅-=-⋅⋅ ⎪ ⎪⎝⎭⎝⎭11、设()y y x =由参数方程()2ln 1arctan x x y t t⎧=+⎪⎨=-⎪⎩确定,求dy dx解 222221,1111dx t dy t dt t dt t t==-=+++,从而2221122dydy t t t dt dx dx t t dt+==⋅=+ 12、写出()xf x xe =带有拉格朗日型余项的n 阶麦克劳林公式解 ()()()()()1,12x x x x x xf x e xe x e f x e x e x e '''=+=+=++=+从而发现()()()n x fx n x e =+,()()()()11n x x x f x e n x e n x e +=++=++()()()()()00,01,02,,0n f f f f n '''====,由公式()()()()()()()()()2100001!2!!1!n n n n f f f f f x f x x x x n n ξ+'''=++++++得()()()32111,2!1!1!xn n n x xe x x x e x n n ξξξ+++=+++++-+在0与x 之间。
一、 选择题 (选出每小题的正确选项,每小题2分,共计10分)1.1lim 2xx -→=_________。
(A ) —∞ (B ) +∞ (C ) 0 (D ) 不存在 2.当0x →时,()x xf x x+=的极限为 _________。
(A ) 0 (B ) 1 (C )2 (D) 不存在 3. 下列极限存在,则成立的是_________。
0()()()lim ()x f a x f a A f a x -∆→+∆-'=∆0()(0)()lim (0)x f tx f B tf x→-'= 0000()()()lim 2()t f x t f x t C f x t →+--'= 0()()()lim ()x f x f a D f a a x →-'=-4. 设f (x )有二阶连续导数,且()0()(0)0,lim1,0()_______x f x f f f x x→'''==则是的。
(A ) 极小值 (B )极大值( C )拐点 (D) 不是极值点也不是拐点 5.若()(),f x g x ''=则下列各式 成立。
()()()0A f x x φ-=()()()B f x x C φ-=()()()C d f x d x φ=⎰⎰()()()d dD f x dx x dx dx dxφ=⎰⎰ 二、 填空题(每小题3分,共18分)1. 设0(2)()0(0)0,lim1sin x f x f x x f x→===-在处可导,且,那么曲线()y f x =在原点处的切线方程是__________。
2.函数()f x =[0,3]上满足罗尔定理,则定理中的ξ= 。
3.设1(),()ln f x f x dx x'=⎰的一个原函数是那么 . 4.设(),xf x xe -=那么2阶导函数 ()___f x x ''=在点取得极_____值。
四川大学期末考试试题(闭卷)(2020——2021学年第 1 学期)A卷课程号:201137050 课序号:课程名称:微积分(Ⅰ)-1 任课教师:成绩:试卷编号:(1)n+-与轴所围成区域的面积x试卷编号:20202021(I)-1-四川大学学年微积分期末试题参考答案(315)一、填空题每小题分,共分3221111.3 2.1 3.3 4.arctan ln(1)3665.131x x x x C y x y x --+++=+=-;;;;;.(832)二、计算题每小题分,共分222021(121.lim.cos x x x x x e→-+--求极限 2224422421111cos 1()1()()2!4!2!2!2x x x x x o x e x o x -=-++=-+-+解因为,,12244211(1)1()28x x x o x =+=+-+ ……………….. 3分2244211101~cos ~2812xx x x x e x -→+---所以当时,,……………….. 6分404138lim .1212x xx →==--因此,原式 ……………….. 8分23332.()(1)sin ()sin d ().x f x x e x f x x x f x ππ-=++⎰设,求33()sin d sin ]A f x x x x ππππ-=-⎰解设,两边同乘并在区间,上积分,得23363()sind (1)sin d sin d x f x x x xe x x A x x ππππππ---=++⎰⎰⎰ ……….. 4分由奇偶性得662605315sin d 4sin d 4I 4.64228A x x x x πππππ-====⋅⋅⋅⋅=⎰⎰2335()(1)sin .8x f x x e x π=++所以 …………….. 8分3.()(0)()1[()()]sin d .f x f f f x f x x x ππ''''==+⎰已知连续,且,求积分的值()sin d ()sin d ()sin d sin d ()f x x x f x x x f x x x x f x ππππ'''=+=+⎰⎰⎰⎰解由分部积分公式原式00()sin d [()sin |()cos d ]f x x x f x x f x x x πππ''=+-⎰⎰()sin d ()cos d f x x x f x x x ππ'=-⎰⎰ …………….. 4分()sin d cos d ()f x x x x f x ππ=-⎰⎰00()sin d [cos ()|()sin d ]f x x x x f x f x x x πππ=-+⎰⎰…………….. 6分2= …………….. 8分22(12)4.()cos (0).f x x x f =设,求222211()cos cos 222f x x x x x x ==+解首先, …………….. 2分 由莱布尼茨公式(12)22(12)2(12)111()(cos 2)(cos 2)222f x x x x x x =+=⋅(12)21(11)2(10)12121[(cos 2)(cos 2)2(cos 2)20]2x x C x x C x =⋅+⋅+⋅+……….. 6分 (12)2(10)1201(0)(cos 2)2|2x f C x ==⋅⋅所以10100662cos(210)|662.2x x π==⋅⋅+⋅=-⋅ …………….. 8分(1020)三、解答题每小题分,共分220()()1.()0lim1lim(0)x ax x t f x t d tf x f x x b b xxa b →→-===≠⎰设函数在处可导,且,若,求,的值.()lim1 0()~.x f x x f x x x→=→解知,当时,因此 22222220011()()()()22x x x t f x t d t f x t d x t f u du -=---=⎰⎰⎰ ……….. 4分224001110()~224x x x f u du udu x →=⎰⎰所以,当时,,从而2204()1lim4x x t f x t d tx →-=⎰14.4a b ∴==, …………….. 10分 232.()1(1)0().23nnx x x f x x n n=-+-++-=讨论方程为正整数有几个实根0()0.0x f x x ≤>>解易知当时,,无实根故就讨论即可. 212221(1) 21()10.1k k x n k f x x x xx--+'=-=-+-+-=-<+当时,()(0)1()f x f f =+∞=-∞严格单减,,,.由零点存在定理知原方程有唯一实根 …………….. 6分 22211(2) 2()10 1.1k k x n k f x x x xx x--'==-+-+=-==+当时,令,得01()0() 1()0()x f x f x x f x f x ''<<<>>当时,,严格单减;当时,,严格单增.11111(1)(11)()()02322212f k k k=-+-++-+>--而,2.n k =因此当时原方程无实根 …………….. 10分(1020)四、应用题每小题分,共分sin 1.(02).1cos x t t t x y tπ=-⎧≤≤⎨=-⎩求由曲线与轴所围成区域的面积解 区域的面积20d A y x π=⎰…………….. 2分20(1cos )d(sin )t t t π=--⎰22244200(1cos )d 4sin d 16sin d 2tt t t u u πππ=-==⎰⎰⎰ ………….. 8分31163422ππ=⋅⋅⋅= …………….. 10分2.(110)(021).(1)0(2)(3)02.A B AB z AB AB z z z ===设空间有两点,,,,,求经过且与坐标面垂直的平面方程;求经过的直线方程;将直线绕轴旋转一周,求介于面与之间的旋转体体积(1)(001).()n M x y z =解 平面的法矢量,,设所求平面上任意一点为,,,则1111101[]020.x y z AM AB n x y ---==+-=,,,即平面方程为…………….. 3分11(2).111x y zAB --==-由两点式知经过的直线方程为…………….. 6分 22222(3)11.[02]()()((1)(1))2(1).AB x z y z z z A z x y z z z πππ=-=+=+=-++=+由直线的方程知:,故在区间,上任取一点,做垂直于轴的截面,面积为222028()d 2(1)d .3V A z z z z ππ==+=⎰⎰因此旋转体的体积为…………….. 10分(162713)五、证明题第小题分,第小题分,共分120121.()[0]()d 0(1)(0)()0(2)()cos d 0(0)()()0.f x C f x x f f x x x f f πππξπξηηπηη∈=∈==∈==⎰⎰设函数,,满足,证明:存在,,使得;若同时还满足,则存在不同的,,,使得0(1)()()(0)0()0(0)xF x f t d t F F ππξ===⎰证明令,则,,由罗尔定理知,在,内至少存在,()0()0.F f ξξ'==使得,即 …………….. 3分 00(2)0()cos cos ()[cos ()]sin ()sin ()f x xd x xd F x xF x xF x d x xF x d xπππππ===+=⎰⎰⎰⎰同时(1)(0)()sin 0()0.F F ξπξξξ∈==由知存在,,使得,即12[0][](0)ξξππηη在区间,,,上分别由罗尔定理即得:在,内存在两个不同的点,, 12()()0.f f ηη==使得 …………….. 6分11112.{}1 2.lim !.(1)n n n n n n a a a a n n a n a e-→∞-==≥=+设数列满足:,,证明111211111111!(1)!(1)!(1)!(1)!(2)!(2)!n n n n n a n a n a n n a n n n a ----+==+=++------证明111+1(1)!(2)!1!n n ==+++-- …………….. 3分 111+1()(1)!(2)!1!!e e e n n n n ξ+++=-→→∞--由泰勒公式知, …………….. 5分 11lim !lim.111+1(1)!(2)!1!n n n n a en n →∞→∞∴==+++-- …………….. 7分。
85考试试卷(一)一、填空1.设c b a,,为单位向量,且满足0=++c b a ,则a c c b b a ⋅+⋅+⋅=2.xx e 10lim +→= ,xx e 10lim -→=,xx e 1lim →=3.设211)(x x F -=',且当1=x 时,π23)1(=F ,则=)(x F4.设=)(x f ⎰dt t x 2sin 0,则)(x f '=5.⎩⎨⎧>+≤+=0,0,1)(x b ax x e x f x 在x =0处可导,则=a ,=b二、选择1.曲线⎩⎨⎧==-0122z y x 绕x 轴旋转一周所得曲面方程为( )。
(A )12222=+-z y x ; (B )122222=--z y x ;(C )12222=--z y x ; (D )122222=+-z y x2.2)11(lim xx x x -∞→-+=( )。
(A )1(B )21e (C )0 (D )1-e3.设函数)(x f 具有连续的导数,则=+'⎰dx x f x f x )]()([( ) (A )c x xf +)(; (B )c x f x +')(; (C )c x f x +'+)(; (D )c x f x ++)(4.设)(x f 在],[b a 上连续,则在],[b a 上至少有一点ξ,使得( ) (A )0)(='ξf (B )ab a f b f f --=')()()(ξ86(C )0)(=ξf (D )ab dxx f a bf -=⎰)()(ξ5.设函数x x a y 3sin 31sin +=在x =3π处取得极值,则=a ( ) (A )0 (B )1 (C )2 (D )3 三、计算题1. 求与两条直线⎪⎩⎪⎨⎧+=+==211t z t y x 及112211-=+=+z y x 都平行且过点(3,-2,1)的平面方程。
浙江工商大学2014/2015学年第一学期期末考试卷A
课程名称:微积分(上)A 层 考试方式: 闭 卷 完成时限: 120分钟 班级名称: 学 号: 姓 名:___________
一、填空题(每小题3分,共15分)
1.函数()1,1f x x
=+则()()f f x 的定义域是 . 2.点0=x 为函数e ,0,()ln(1),10
x x f x x x -⎧>=⎨+-<≤⎩的第 类间断点.
3.若函数x y sin =,则=)2015(y .
4.()sin 2d 3x = .
二、选择题(每小题3分,共15分)
1.当0→x 时,与x 等价的无穷小是( ).
A.x x +3 1-
C.)1e sin(-x
D.x cos 1-
2.下列函数中,在点0=x 处可导的是( ).
A.||)(x x x f =
B.|sin |)(x x f =
C.⎪⎩⎪⎨⎧=≠=0,0,0,1sin )(x x x x x f
D.⎩⎨⎧>≤+=0,
,0,1)(2x x x x x f 3. 设()x f x x =,则其导数为( ).
A. x x x f =')(
B. x x x f x ln )(='
C. )1(ln )(+='x x x f x
D. 1)(-='x x x f 4.设)(x f 的导数在a x =处连续,又1)(lim
-=-'→a x x f a x ,则( ). A.a x =是)(x f 的极小值点
B.a x =是)(x f 的极大值点
C.))(,(a f a 是曲线)(x f 的拐点
D.a x =不是)(x f 的极值点,))(,(a f a 也不是曲线)(x f 的拐点
5.下列等式中,正确的是( ).
A.)(d )(x f x x f ⎰='
B.)()(d x f x f ⎰=
C.)(d )(d d x f x x f x ⎰=
D.)(d )(d x f x x f ⎰=
三、计算题(写出必要的解题步骤,每小题6分,共48分)
1.求极限()()1sin 0lim 12x x f x →-,其中()()00,02f f '==,当0x ≠时()0f x ≠.
2
1
e
lim
2 0x x
x
x++
-→.
2.求极限
)
1
ln(
3.设y =,求()0y '.
4.设)1(x f x y =,且f 具有二阶导数,求22d d x
y .
5.已知)(x y y =是由方程2
2e 0y x y x +-=所确定的隐函数,求曲线)(x y y =在点(2,0)处的切线方程.
四、应用题(每小题9分,共18分)
1.设某产品的需求函数为4
122
P Q -= (Q 为产量,P 为价格).问: (1) 价格为多少时,总收益最大?
(2) 当6=P 时,若价格上涨%2,总收益将如何变化?
2.假设函数)(x f 有如下结论:
(a) 0)(lim =∞+→x f x , 1)(lim =∞-→x x f x , 2])([lim =-∞-→x x f x , ∞=→)(lim 2x f x ; (b) 定义域为()(,2)2,-∞⋃+∞;
(c) 当)1,0(∈x 时,0)(<'x f ,否则0)(>'x f (2≠x );
(d) 当)2,2
1(∈x 时,0)(>''x f ,否则0)(<''x f (2≠x ); (e) 45)0(=f ,43)21(=f ,21)1(=f ,0)4
7(=-f . 则: (1) 函数曲线的拐点是: ;
(2) 当=x 时,函数取得极大值;
(3) 函数图形的渐近线是 ; (4) 绘出)(x f y =的描述性图形.
五、证明题(4分)
设函数)(x f 在]2,1[上连续,在)2,1(内可导,且0)2()1(==f f ,试证:在区间)2,1(内至少
存在一点ξ,使得ξ
ξξ)()(f f ='.。