高等固体物理4(高级教育)
- 格式:ppt
- 大小:3.64 MB
- 文档页数:50
高等固体物理学
高等固体物理学是研究物质的结构和性质的分支学科。
在这一领
域中,研究的对象是材料的晶体结构、电子结构以及它们在宏观和微
观层面上的物理性质。
在高等固体物理学中,晶体结构是一个非常重要的概念。
晶体是
由原子、分子或离子在周期性排列的模式中组成的。
这种排列方式决
定了晶体的物理性质。
晶体的晶格参数、晶体的空间群、晶体的空间
分组、晶体的晶格动力学,这些都是从晶体结构中获得的信息。
电子结构是高等固体物理学的另一个重要的研究领域。
电子结构
描述了电子在晶体中的分布方式。
通过研究电子结构,可以确定材料
的电导率、磁性以及光学性质。
一般来说,具有多余电子的物质是导体;带有缺电子的是半导体,而没有多余电子或缺电子的是绝缘体。
因此,研究电子结构可以为材料在各种应用中提供指导意义。
在高等固体物理学中还有一个非常重要的课题,那就是物理性质。
各种物理性质,如热容、热导率、电阻率、电荷输运,都取决于材料
的电子结构和晶体结构。
通过对这些性质的研究,可以理解材料在各
种条件下的行为,这对于研究材料的应用具有重要的意义。
总之,高等固体物理学在研究物质的结构和性质方面具有非常重
要的地位。
它为我们提供了深入了解和利用材料的基础平台。
只有深
入地了解物质的基本特性,才能更好地从中挖掘出各种实际应用。
固体物理书籍推荐固体物理作为物理专业的一门基础课程,对以后从事物理科研有着重要的意义。
根据我的了解,给大家推荐一些书。
中文书籍:1、黄昆原著韩汝琦改编,《固体物理学》,高等教育出版社,1988.2、阎守胜著,《固体物理基础》(第二版),北京大学出版社,2003.3、陆栋、蒋平、徐至中著,《固体物理学》,上海科学技术出版社,2003.另外中文书籍还有:谢希德、方俊鑫著,《固体物理学》,上海科学技术出版社,1961方俊鑫、陆栋著,《固体物理学》(上下册),上海科学技术出版社,1980.蒋平、徐至中著,《固体物理简明教程》(第二版),复旦大学出版社,2007.顾秉林、王喜坤著,《固体物理学》,清华大学出版社,1989徐毓龙、阎西林著,《固体物理》,西安电子科技大学出版社,1990朱建国、郑文琛、郑家贵、孙小松、王洪涛著,《固体物理学》,高等教育出版社,2005陈长乐著,《固体物理学》(第二版),高等教育出版社,2007王矜奉著,《固体物理教程》(第三版),山东大学.2003.吴代鸣著,《固体物理习题详解》,吉林人民出版社,1983.黄波、聂承昌著《固体物理学问题和习题》,国防工业出版社,1988.徐至中著,《固体物理学习题解答》,上海科学技术文献出版社,1989.王矜奉著,《固体物理概念题和习题指导》,山东大学.2001.张永德主编,《固体物理及物理量测量》(物理学大题典⑦) ,科学出版社,2005. 英文书籍1、Charles Kittel ,《Introduction to Solid State Physics》(8th Ed),John Wiley and Sons, Inc., 2004.2、Neil W.Ashcroft and N David Mermin, 《Solid State Physics》,Holt Rinehart & Winston,1976.3、G. Grosso and G. P. Parravicini ,《Solid state physics 》,Academic Press ,2000.4、J. R. Hook and H. E. Hall,《Solid State Physics》(2nd,Ed), Wiley,1995.英文书籍还有:Philip Phillips,《Advanced Solid State Physics》,Westview Press,2002.S Doniach and EH Sondheimer,《Green's functions for solid state physicists》,Imperial College Press,1998.Max Wagner,《Unitary transformations in solid state physics》,Elsevier Science Ltd,1986Yuri M. Galperin,《Introduction to Modern Solid State Physics》,lecture note。
高等固体物理学固体物理作为凝聚态物理学中最大的分支,以固体特别是原子排列具有周期性结构的晶体为对象,基本任务是从微观上解释固体物质的宏观物理性质、构成物质的各种粒子的运动形态及其相互关系,是物理学中内容极丰富、应用极广泛的分支学科。
最近几十年来,由于新的实验条件和技术以前所未有的速度发展和进步,新材料不断涌现,因此不断开拓出固体物理新的研究领域。
同时,固体物理学的成就和实验手段对电子技术、计算技术以至整个信息产业、化学物理、催化学科、生命科学、地学等的影响日益增长,正在形成许多新的交叉学科。
对于经济和社会乃至人类日常生活具有革命性的影响。
本书对固体物理前沿的许多重要课题给出了简明的介绍,以清晰的教学方式提供了该领域已经得到很好确立的基础的背景材料。
把导论性的介绍与不断更新的高等论题成功地整合在一起,相关领域的研究生与高水平的研究人员将会从中受益并引起广泛的兴趣。
而对于希望对当代固体物理巨大的挑战得到一些概览的其他领域的学者也很有价值。
全书内容共分16章:1.导言;2.无相互作用电子气;3.BornOppenheimer近似;4.二次量子化;5.HatreeFock近似;6.相互作用电子气;7.金属中的局域磁矩;8.局域磁矩的淬火:近藤问题;9.屏蔽与等离子体激元;10.玻色化;11.电子-晶格相互作用;12.金属中的超导电性;13.无序:定域与例外;14.量子相变;15.量子Hall效应及其它拓扑态;16.强耦合电子:莫特性(Mottness)。
本书把传统主题与现代进展有机地结合在一起的写作风格是其它书籍很少见到的。
它的内容清新、广泛,行文清晰,且容易理解,是高等固体物理学的一部很有价值的参考书。
固体物理教学⼤纲课程名称固体物理课程性质专业必修课《固体物理》教学⼤纲⼀、课程名称:固体物理⼆、课程性质:专业必修课三、课程教学⽬的:(⼀)课程⽬标:通过固体物理学课程的学习,使学⽣树⽴起晶体内原⼦、电⼦等微观粒⼦运动的物理图像及其有关模型,掌握晶体内微观粒⼦的运动规律及其与晶体宏观性能的物理联系,深刻理解晶体宏观性能的微观物理本质,为进⼀步学习和研究固体物理学各种专门问题及相关领域的内容建⽴初步的理论基础。
(⼆)教学⽬标:第⼀章晶体结构【教学⽬标】通过本章的教学,使学⽣了解晶格结构的实例、⾮晶态和准晶态的特征;理解和掌握晶体结构的周期性特征及其描述⽅法;理解和掌握晶体结构的对称性特征及其描述⽅法;理解和掌握倒格⼦的定义及其与正格⼦的关系;熟悉有关晶体结构的基本分析与计算。
借助于多媒体展⽰,使学⽣建⽴起晶体结构特征的直观图像。
第⼆章晶体的结合【教学⽬标】通过本章的教学,使学⽣了解晶体结合⼒的⼀般性质;掌握晶体的结合类型与特征;理解元素和化合物晶体结合的规律性;掌握离⼦晶体的结合能、体积弹性模量的计算;掌握范德⽡⽿斯晶体的结合能、体积弹性模量的计算。
在教学中,能够使学⽣认识到吸引与排斥的⽭盾的差别和对⽴统⼀是认识与理解固体的结合规律与性质的关键,培养学⽣的辩证思维能⼒。
第三章晶格振动与晶体的热学性质【教学⽬标】通过本章的教学,能够使学⽣理解简谐近似、格波概念、声⼦概念;理解玻恩-卡曼边界条件;了解三维格波的⼀般规律、晶格振动的⾮简谐效应;了解确定晶格振动谱的实验⽅法;掌握⼀维单原⼦、双原⼦晶格振动的格波解与⾊散关系;掌握晶格振动模式密度的计算⽅法;理解晶格热容量的量⼦理论、掌握爱因斯坦模型与德拜模型;理解格林爱森近似、掌握晶格状态⽅程。
结合例题分析和习题训练,提⾼学⽣分析问题和解决问题的能⼒。
第四章能带理论【教学⽬标】通过本章的教学,使学⽣能够了解晶体能带理论的基本假设和处理问题的基本思路;理解布洛赫定理及其推论的证明,掌握晶体能带的基本特征;熟悉克龙尼克—潘纳模型的求解与结论;熟悉布⾥渊区、费⽶⾯等基本概念;了解平⾯波⽅法、赝势⽅法;掌握近⾃由电⼦近似⽅法及其结论;掌握紧束缚近似⽅法的运⽤;掌握能态密度的计算⽅法。
固体物理课程教学大纲一、引言固体物理是物理学的重要分支之一,研究物质的结构、性质和相互作用。
本课程的教学旨在帮助学生建立对固体物理的基础理论和实践技能的深入理解。
通过学习本课程,学生将能够掌握固体物理的核心概念、实验技术和解决实际问题的能力。
二、课程目标1. 掌握固体物理的基础知识和理论框架;2. 熟悉固体的晶体结构和缺陷状况;3. 理解固体的电学、磁学和光学性质;4. 学习固体材料的力学行为和热传导特性;5. 培养工程实践中解决固体物理问题的能力。
三、教学内容与安排1. 第一章:晶体结构- 1.1 原子与晶体结构基本概念- 1.2 晶体的晶格结构- 1.3 晶体缺陷与点阵缺陷- 1.4 晶体的形貌与表面结构2. 第二章:固体的电学性质- 2.1 电导现象与欧姆定律- 2.2 半导体与导体- 2.3 极化与介电材料- 2.4 超导电性3. 第三章:固体的磁学性质- 3.1 磁介质与磁性材料- 3.2 磁场与磁化强度- 3.3 磁性材料的磁性行为- 3.4 磁性材料的应用与技术4. 第四章:固体的光学性质- 4.1 光的传播与折射- 4.2 光与固体材料的相互作用 - 4.3 固体的吸收与发射- 4.4 材料的光学性质与应用5. 第五章:固体的力学行为- 5.1 弹性与塑性行为- 5.2 多晶体的力学行为- 5.3 固体的蠕变现象- 5.4 特殊力学性质与应用6. 第六章:固体的热传导特性- 6.1 热传导基本原理- 6.2 热电材料与热电效应- 6.3 热导率的测量与表征- 6.4 热传导的现象与应用四、教学方法与手段1. 授课方式:采用讲授与互动相结合的方式进行课堂教学;2. 实验教学:通过实验教学,让学生更好地理解课程的概念与原理;3. 论文阅读:引导学生阅读相关领域的研究论文,拓宽知识面;4. 课程设计项目:组织学生进行课程设计项目,提高实际问题解决能力;5. 网络资源利用:推荐学生利用网络资源深入学习与研究。
固体物理课程教学大纲一、课程目标本课程旨在帮助学生全面理解和掌握固体物理学的基本概念、原理和方法,培养学生在实际问题中运用固体物理知识进行分析和解决问题的能力。
二、课程内容1. 固体物理学的基本概念1.1 固体物质的结构特点1.2 离子晶体、金属晶体和共价晶体的结构及其特征1.3 各种晶格结构的几何和物理性质2. 固体物理的热学性质2.1 热传导及固体的热导率2.2 固体的热膨胀及其应用2.3 热容与固体热力学性质2.4 固体的热导电和热辐射现象及其应用3. 固体物理的电学性质3.1 电导率与导体的性质3.2 半导体物理学基础3.3 超导体的基本原理和应用3.4 介电材料的特性和应用4. 固体物理的光学性质4.1 固体的吸收、散射和透射4.2 衍射和干涉现象及其应用4.3 光导纤维和光波导的原理和应用5. 固体物理的量子力学性质5.1 电子能带理论和晶体中的能带结构5.2 固体中的声子和声子态密度5.3 固体中的磁性和费米液体理论6. 固体物理的其他专题6.1 固体中的输运现象与能带理论6.2 固体材料的结构调控与性能优化6.3 纳米材料与纳米结构的物理特性6.4 固体物理在材料科学和工程中的应用三、教学方法1. 理论授课:通过演示、图例和实例解释固体物理学的基本概念和原理,让学生掌握科学的基本理论知识。
2. 实验教学:设计相关的实验,让学生亲自操作、观察和分析实验现象,培养学生实验动手和思维的能力。
3. 讨论与互动:组织学生讨论、合作和演示,提升学生的团队合作和表达能力。
4. 综合案例分析:引导学生关注固体物理学在实际问题中的应用,进行实际案例分析和解决方案的探讨。
四、考核方式1. 平时表现:包括课堂参与、作业提交和实验报告等。
2. 学术论文:要求学生完成一篇固体物理学相关的学术论文,包括文献综述、实验设计和数据分析等。
3. 期末考试:通过笔试形式考察学生对固体物理学知识的掌握程度和应用能力。
固体物理参考书目通用教材(近期的和有较大影响的)1.阎守胜,固体物理基础*北大出版社 20002.陈长乐,国体物理学西北工大出版社 19983.黄昆,韩汝琦,国体物理学高等教育出版社 1988第1版,(根据黄昆,国体物理学人民教育出版社 1966版扩充改编)4.方俊鑫,陆栋,国体物理学(上,下两册)上海科技出版社 1980,1981 (根据谢希德,方俊鑫,国体物理学 1965版扩充改编)5.顾秉林,王喜坤,固体物理学*清华大学出版社 19906. 王矜奉,固体物理教程(4版)山东大学出版社 2004 (1999年初版)6.Kittel C. Introduction to Solid State Physics, 8th ed.John Wiley ﹠ Sons Inc.,2005 (作者是在固体物理研究领域有过重要贡献的美国加州大学Bekeley分校物理学教授,该书1953年首次出版后受到广泛重视,后于1956,1966,1971,1976,1986,1996,年不断修订再版,成为大学固体物理的标准教材之一,2005年是第8版。
我国曾先后翻译出版了1956年的第2版和1976年的第5版。
)中译本:固体物理导论(原著8版)化学工业出版社,20057. Busch G. Schade H. 固体物理学讲义高等教育出版社 1987(原文为德文,瑞士联邦技术学院教材,1972)8.M A Omar Elementary Solid State Physics: Principle and Applications中译本:固体物理学基础北京师范大学出版社 19879.H E Hall Solid State Physics John Wiley ﹠ Sons Ltd 1974(英国曼彻斯特大学教材)中译本:固体物理学高等教育出版社 198310.N W Ashcroft, N D Mermin Solid State Physics, * 1976(美国康乃尔大学教材,是公认的固体物理权威著作)更深入的教材1.冯端,金国钧,凝聚态物理学(上卷)高等教育出版社 20032.J Callaway, Quanyum Theory of The Solid State 1976中译本:固体量子理论科学出版社 19843. O Madelung, Introduction to Solid State Theory Springer 19784. J M Ziman, Principles of the Theory of Solid Cambridge University Press 19725.William Jones, Norman H March, Theoretical Solid State Physics,Vol 1: The equilibrium properties of perfect crystalline solidVol 2;The non-equilibrium properties and DisorderJohn Wiley ﹠ Sons Ltd 19737. 李正中固体理论高等教育出版社 19858.冯端,金国钧,凝聚态物理新论上海科技出版社 1992相关教材和参考读物1.H M Rosenberg The Solid State Oxford Press 19832. 拉顿,约翰威尔逊固体物理基础天津科学技术出版社 1984 3.吕世骥范印哲固体物理教程北大出版社 19904.陈洗. 国体物理基础华中工学院出版社 19865.李延福. 国体物理学青海人民出版社 19856.苟清泉. 国体物理学简明教程人民教育出版社 19787.黄波,聂承昌. 固体物理学问题和习题国防工业出版社 1988 8.刘有之等. 固体物理学习指导,高等教育出版社 19889.陈金富国体物理学学习参考书高等教育出版社 198610.王矜奉等固体物理概念题和习题指导山东大学出版社 200111. 沈以赴,固体物理基础教程化学工业出版社, 200512. 徐婉棠,吴英凯. 固体物理学. 北京师范大学出版社,199113. 蒋平,徐至中. 固体物理简明教程. 复旦大学出版社, 2000 14. A J Dekker, Solid State Physics, 1957中译本:德克尔国体物理学科学出版社 196515. 房晓勇等. 固体物理学. 哈尔滨工业大学出版社 2003。
《固体物理》课程教学大纲一、课程基本信息课程编号:13103104课程类别:专业核心课程适应专业:材料物理总学时:64学时总学分:3学分课程简介:固体物理学是研究固体的结构及其组成粒子之间相互作用与运动规律的学科,也是材料物理的重要基础课程。
固体物理学研究的对象是由大量粒子组成的复杂系统。
这些大量粒子之间存在着复杂的相互作用,但同时也包含了丰富的物理现象。
对于这种复杂的系统,人们必须作近似处理,找出描述某种现象的物理本质。
这对学生的抽象、假设、创造力的培养是非常重要的。
授课教材:《固体物理学》,黄昆、韩汝琦,高等教育出版社,1988,1996年获国家科学技术进步二等奖、全国第二届优秀教材特奖参考书目:[1]《固体物理引论》,基特耳著、万纾民等译,人民教育出版社,1962年。
[2]《固体物理学》,H.E.Hall,刘志远等译,高等教育出版社,1983年。
[3]《固体物理学》,谢希德等,上海科学技术出版社,1961年。
[4]《固体物理学》,顾秉林、王喜坤,清华大学出版社,1989年。
[5]《固体物理》,徐毓龙、阎西林,西安电子科技大学出版社,1990年。
[6]《固体物理学》,陈长乐,西北工业大学出版社出版,2000年。
二、课程教育目标固体物理学是物理学中的重要分支,本课程是材料物理学的基础理论课,是物理专业及其相近专业非常重要的基础课、必修课。
课程强调对固体物理学的科学方法、物理图象的理解。
学生通过本课程的学习要求掌握固体物理学的基本概念、基本模型和方法,了解它们在各类技术中的应用,为进一步学习专业课,为毕业后从事科研和高新技术工作打下坚实的基础。
三、教学内容与要求第一章晶体结构教学重点:晶体结构,空间点阵,倒移点阵晶向、晶面指数教学难点:倒格子,晶体对称操作教学时数:10学时教学内容:一些晶格的实例,晶格的周期性,晶向、晶面和它们的标志,倒格子,晶体的宏观对称性。
教学方式:课堂讲授教学要求:(1)掌握晶体的空间点阵,晶体基矢的表达,倒易点阵,晶面、晶向的概念以及正点阵和倒移点阵的关系。
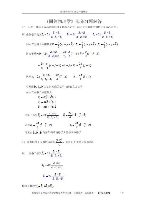
《固体物理学》部分习题解答1.3 证明:体心立方晶格的倒格子是面心立方;面心立方晶格的倒格子是体心立方 。
解 由倒格子定义2311232a a b a a a π⨯=⋅⨯ 3121232a a b a a a π⨯=⋅⨯ 1231232a a b a a a π⨯=⋅⨯体心立方格子原胞基矢123(),(),()222a a a a i j k a i j k a i j k =-++=-+=-+倒格子基矢231123022()()22a a a ab i j k i j k a a a v ππ⨯==⋅-+⨯+-⋅⨯202()()4a i j k i j k v π=⋅-+⨯+-2()j k a π=+ 同理31212322()a a b i k a a a aππ⨯==+⋅⨯32()b i j a π=+ 可见由123,,b b b为基矢构成的格子为面心立方格子 面心立方格子原胞基矢123()/2()/2()/2a a j k a a k i a a i j =+=+=+倒格子基矢2311232a a b a a a π⨯=⋅⨯ 12()b i j k a π=-++ 同理22()b i j k a π=-+ 32()b i j k a π=-+可见由123,,b b b为基矢构成的格子为体心立方格子1.4 证明倒格子原胞的体积为03(2)v π,其中0v 为正格子原胞体积证 倒格子基矢2311232a a b a a a π⨯=⋅⨯3121232a a b a a a π⨯=⋅⨯1231232a a b a a a π⨯=⋅⨯倒格子体积*0123()v b b b =⋅⨯3*23311230(2)()()()v a a a a a a v π=⨯⋅⨯⨯⨯ 3*00(2)v v π=1.5 证明:倒格子矢量112233G hb h b h b =++垂直于密勒指数为123()h h h 的晶面系。
《固体物理》复习大纲一、考试的基本要求固体物理学作为研究半导体、金属、绝缘体等固体材料的微观结构、物理性质,以及构成物质的各种粒子的运动规律的学科,是研究凝聚态物理和材料学科相关课题的基础知识。
本科目的考试内容包括晶体结构、晶格振动、金属电子论、能带理论等,考察考生对固体物理学的基本概念、基本原理和基本方法的理解和掌握程度以及利用固体物理基础知识分析和解决相关领域问题的能力。
二、考试方式和考试时间闭卷考试,总分150,考试时间为3小时。
三、参考书目(仅供参考)《固体物理学》,黄昆著韩汝琦编,高等教育出版社1998年版四、试题类型:主要包括填空题、选择题、简答题、计算题等类型,并根据每年的考试要求做相应调整。
五、考试内容及要求第一部分晶体结构理解单晶、准晶和非晶材料原子排列在结构上的差别;掌握原胞、基矢的概念,清楚晶面和晶向的表示,了解对称性;了解简单的晶体结构以及二维和三维晶格的分类;掌握倒易点阵和布里渊区的概念,能够熟练得出倒格子矢量和布里渊区;了解X射线衍射条件、基元的几何结构因子及原子形状因子。
第二部分固体的结合熟悉固体结合的基本形式,共价晶体,金属晶体,分子晶体与离子晶体,范德瓦尔斯结合,氢键,马德隆常数;掌握典型离子晶体基本特点,离子晶体的结合能,弹性模量;理解共价键基本特征,典型例子轨道杂化;熟悉金属结合。
第三部分晶格振动与晶体的热学性质熟练掌握一维链的振动(单原子链、双原子链)、声学支、光学支、色散关系;掌握格波、简正坐标、声子、声子振动态密度、长波近似等概念;熟练掌握固体热容的爱因斯坦模型、德拜模型;了解非简谐效应——热膨胀、热传导;了解中子的非弹性散射测声子能谱。
第四部分能带理论深刻理解布洛赫定理;理解并熟练掌握近自由电子近似模型;理解并熟练掌握紧束缚近似模型;深刻理解费密面、能态密度和能带的特点;了解电子表面态与晶体内部电子态的区别。
第五部分晶体中电子在电场和磁场中的运动理解并熟练掌握在恒定电场作用下固体中电子的运动;能够用能带论解释金属、半导体和绝缘体,掌握空穴的概念;理解并熟练掌握在恒定磁场下固体中电子的运动;了解回旋共振、德·哈斯-范·阿尔芬效应。
《固体物理学》教学大纲课程代码:NANA3012课程名称:固体物理学英文名称:Solid State Physics课程性质:专业核心课学分/学时:4/72考核方式:闭卷考试开课学期:5适用专业:纳米器件技术先修课程:量子力学,大学物理后续课程:光电器件技术开课单位:纳米学院选用教材:《固体物理学》;作者:黄昆原著;韩汝琦改编;出版社:高等教育出版社一、课程目标通过本课程的理论教学和实验训练,使学生具备下列能力:1.掌握固体物理学中的基本概念,能够在科学论文阅读和科学实验中辨识出其应用的固体物理学基本概念。
(支撑毕业要求指标点1-1)2.能根据固体物理学中的基本概念和定理,对固体中常见的物理现象进行分析和定量化求解。
(支撑毕业要求指标点1-2)3. 能根据固体物理学中的基本概念和定理,对固体状态的纳米材料的关键物理性能指标进行评价,进而对纳米科技领域的复杂物理问题进行预测与模拟。
(支撑毕业要求指标点2-1)二、教学内容主要包含四部分:固体的晶体结构及晶体结合;固体的晶格振动;固体的电子结构。
1. 固体的晶体结构的主要内容包括:布拉伐格子,晶体系统分类,晶面及晶向,倒格矢,布里渊区,X光衍射,晶体的结合类型,不同类型的晶体结合中的力及势能特征等。
要求学生:(1)能理解并熟练掌握晶体结构及晶体结合的基本概念;(2)掌握晶面及晶向的相关计算,掌握晶体结合能的相关定理及公式的应用及计算;(3)掌握X光衍射的实验原理,会解释纳米结构的X光衍射图谱。
2. 固体的晶格振动的主要内容包括:一维单原子链的简谐振动,一维双原子链的简谐振动,声子,声子振动的色散关系,声学声子与光学声子,表面声子激元等要求学生:(1)能理解并熟练掌握晶格振动的基本概念,特别是声子;(2)掌握一维单原子链及一维双原子链简谐振动的色散关系的推导;(3)掌握表面声子激元的实验原理,会解释纳米结构的表面声子激元光谱。
3. 固体的电子结构的主要内容包括:布洛赫定理,费米能级,费米面,能带及能带结构,自由电子模型,表面等离激元等要求学生:(1)能理解并熟练掌握固体电子结构的基本概念,特别是费米能级和能带结构;(2)掌握布洛赫定理的推导,费米能级的相关计算;(3)掌握表面等离激元的实验原理,会解释纳米结构的表面等离激元光谱。
固体物理参考书目通用教材(近期的和有较大影响的)1.阎守胜,固体物理基础*北大出版社 20002.陈长乐,国体物理学西北工大出版社 19983.黄昆,韩汝琦,国体物理学高等教育出版社 1988第1版,(根据黄昆,国体物理学人民教育出版社 1966版扩充改编)4.方俊鑫,陆栋,国体物理学(上,下两册)上海科技出版社 1980,1981 (根据谢希德,方俊鑫,国体物理学 1965版扩充改编)5.顾秉林,王喜坤,固体物理学*清华大学出版社 19906. 王矜奉,固体物理教程(4版)山东大学出版社 2004 (1999年初版)6.Kittel C. Introduction to Solid State Physics, 8th ed.John Wiley ﹠ Sons Inc.,2005 (作者是在固体物理研究领域有过重要贡献的美国加州大学Bekeley分校物理学教授,该书1953年首次出版后受到广泛重视,后于1956,1966,1971,1976,1986,1996,年不断修订再版,成为大学固体物理的标准教材之一,2005年是第8版。
我国曾先后翻译出版了1956年的第2版和1976年的第5版。
)中译本:固体物理导论(原著8版)化学工业出版社,20057. Busch G. Schade H. 固体物理学讲义高等教育出版社 1987(原文为德文,瑞士联邦技术学院教材,1972)8.M A Omar Elementary Solid State Physics: Principle and Applications中译本:固体物理学基础北京师范大学出版社 19879.H E Hall Solid State Physics John Wiley ﹠ Sons Ltd 1974(英国曼彻斯特大学教材)中译本:固体物理学高等教育出版社 198310.N W Ashcroft, N D Mermin Solid State Physics, * 1976(美国康乃尔大学教材,是公认的固体物理权威著作)更深入的教材1.冯端,金国钧,凝聚态物理学(上卷)高等教育出版社 20032.J Callaway, Quanyum Theory of The Solid State 1976中译本:固体量子理论科学出版社 19843. O Madelung, Introduction to Solid State Theory Springer 19784. J M Ziman, Principles of the Theory of Solid Cambridge University Press 19725.William Jones, Norman H March, Theoretical Solid State Physics,Vol 1: The equilibrium properties of perfect crystalline solidVol 2;The non-equilibrium properties and DisorderJohn Wiley ﹠ Sons Ltd 19737. 李正中固体理论高等教育出版社 19858.冯端,金国钧,凝聚态物理新论上海科技出版社 1992相关教材和参考读物1.H M Rosenberg The Solid State Oxford Press 19832. 拉顿,约翰威尔逊固体物理基础天津科学技术出版社 1984 3.吕世骥范印哲固体物理教程北大出版社 19904.陈洗. 国体物理基础华中工学院出版社 19865.李延福. 国体物理学青海人民出版社 19856.苟清泉. 国体物理学简明教程人民教育出版社 19787.黄波,聂承昌. 固体物理学问题和习题国防工业出版社 1988 8.刘有之等. 固体物理学习指导,高等教育出版社 19889.陈金富国体物理学学习参考书高等教育出版社 198610.王矜奉等固体物理概念题和习题指导山东大学出版社 200111. 沈以赴,固体物理基础教程化学工业出版社, 200512. 徐婉棠,吴英凯. 固体物理学. 北京师范大学出版社,199113. 蒋平,徐至中. 固体物理简明教程. 复旦大学出版社, 2000 14. A J Dekker, Solid State Physics, 1957中译本:德克尔国体物理学科学出版社 196515. 房晓勇等. 固体物理学. 哈尔滨工业大学出版社 2003。