《三角恒等变换》综合检测1
- 格式:doc
- 大小:266.00 KB
- 文档页数:3
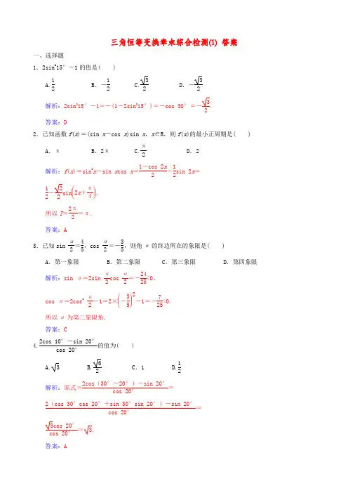
三角恒等变换章末综合检测(1) 答案一、选择题1.2sin 215°-1的值是( )A.12 B .-12 C.32 D .-32 解析:2sin 215°-1=-(1-2sin 215°)=-cos 30°=-32. 答案:D2.已知函数f (x )=(sin x -cos x )sin x ,x ∈R ,则f (x )的最小正周期是( )A .πB .2π C.π2 D .2解析:f (x )=sin 2x -sin x cos x =1-cos 2x 2-12sin 2x =12-22sin ⎝ ⎛⎭⎪⎫2x +π4,所以T =2π2=π.答案:A3.已知sin α2=45,cos α2=-35,则角α的终边所在的象限是( )A .第一象限B .第二象限C .第三象限D .第四象限 解析:sin α=2sin α2cos α2=-2425<0,cos α=2cos 2 α2-1=2³⎝ ⎛⎭⎪⎫-352-1=-725<0. 所以α为第三象限角. 答案:C 4.2cos 10°-sin 20°cos 20°的值为( )A. 3B.62 C .1 D.12解析:原式=2cos (30°-20°)-sin 20°cos 20°=2(cos 30°cos 20°+sin 30°sin 20°)-sin 20°cos 20°=3cos 20°cos 20°= 3.答案:A5.在△ABC 中,C =120°,tan A +tan B =233,则tan A tan B 的值为( )A.14B.13C.12D.53 解析:△ABC 中,C =120°,得A +B =60°, 所以(tan A +tan B )=tan(A +B )(1-tan A tan B )= 3(1-tan A tan B )=233.所以tan A tan B =13.答案:B6.已知sin α2=45, cos α2=-35,则sin α等于( )A.625 B .-2425 C .-1225 D .-625解析:sin α=2sin α2cos α2=2³45³⎝ ⎛⎭⎪⎫-35=-2425.答案:B7.若θ∈⎝⎛⎭⎪⎫0,π2,sin θ-cos θ=22,则cos 2θ等于( )A.32 B .-32 C .±32 D .±12解析:因为sin θ-cos θ=22, 所以(sin θ-cos θ)2=12,即1-2sin θcos θ=12,所以sin 2θ=12.因为θ∈⎝ ⎛⎭⎪⎫0,π2,sin θ >cos θ,所以θ∈⎝ ⎛⎭⎪⎫π4,π2, 所以2θ∈⎝⎛⎭⎪⎫π2,π,所以cos 2θ=-1-sin 22θ=-32. 答案:B8.已知sin α-cos α=-52,则tan α+1tan α的值为( ) A .-5 B .-6 C .-7 D .-8 解析:将方程sin α-cos α=-52两边平方,可得1-sin 2α=54,即sin 2α=-14,则 tan α+1tan α=tan 2+1tan α=⎝ ⎛⎭⎪⎫sin αcos α2+1sin αcos α=2sin 2α=2-14=-8.答案:D9.已知cos ⎝⎛⎭⎪⎫x +π6=35,x ∈(0,π),则sin x 的值为( )A.-43-310 B.43-310 C.12 D.32解析:由cos ⎝⎛⎭⎪⎫x +π6=35,且0<x <π,得0<x +π6<π2,所以sin ⎝⎛⎭⎪⎫x +π6=45,所以sin x =sin ⎣⎢⎡⎦⎥⎤⎝ ⎛⎭⎪⎫x +π6-π6=sin ⎝ ⎛⎭⎪⎫x +π6cos π6-cos ⎝ ⎛⎭⎪⎫x +π6sin π6=45³32-35³12=43-310.答案:B10.在△ABC 中,cos A =55,cos B =31010,则△ABC 的形状是( ) A .锐角三角形 B .钝角三角形 C .直角三角形 D .等边三角形 解析:因为cos A =55,所以sin A =255. 同理sin B =1010. 因为cos C =-cos(A +B )=-cos A cos B +sin A sin B = -55³31010+255³1010=-5050<0, 所以C 为钝角. 答案:B11.函数y =sin x +cos x +2⎝ ⎛⎭⎪⎫x ∈⎣⎢⎡⎦⎥⎤0,π2的最小值是( )A .2- 2B .2+ 2C .3D .1 解析:由y =2sin ⎝⎛⎭⎪⎫x +π4+2,且0≤x ≤π2,所以π4≤x +π4≤34π,所以22≤sin ⎝⎛⎭⎪⎫x +π4≤1,所以3≤y ≤2+2. 答案:C12.(2014²天津卷)已知函数f (x )=3sin ωx +cos ωx (ω>0),x ∈R.在曲线y =f (x )与直线y =1的交点中,若相邻交点距离的最小值为π3,则f (x )的最小正周期为( )A.π2 B.2π3C .πD .2π 解析:由题意得函数f (x )=2sin ⎝⎛⎭⎪⎫ωx +π6(ω>0),又曲线y =f (x )与直线y =1相邻交点距离的最小值是π3,由正弦函数的图象知,ωx +π6=π6和ωx+π6=5π6对应的x 的值相差π3,即2π3ω=π3,解得ω=2,所以f (x )的最小正周期是T =2πω=π. 答案:C 二、填空题13.若sin θ2-2cos θ2=0,则tan θ=________.解析:由sin θ2-2cos θ2=0,得tan θ2=2.所以tan θ=2tanθ21-tan 2θ2=2³21-22=-43.答案:-4314.已知向量a =(4,3),b =(sin α,cos α),且a ⊥b ,那么tan 2α=________.解析:因为a ⊥b ,所以a ²b =0, 所以4sin α+3cos α=0,所以tan α=-34,所以tan 2α=2tan α1-tan 2α=2³⎝ ⎛⎭⎪⎫-341-⎝ ⎛⎭⎪⎫-342=-247. 答案:-24715.(2015²重庆卷改编)若tan α=2tan π5,则cos ⎝⎛⎭⎪⎫α-3π10sin ⎝⎛⎭⎪⎫α-π5=________.解析:因为cos ⎝ ⎛⎭⎪⎫α-3π10=cos ⎝ ⎛⎭⎪⎫α+π5-π2=sin ⎝ ⎛⎭⎪⎫α+π5,所以原式=sin ⎝⎛⎭⎪⎫α+π5sin ⎝ ⎛⎭⎪⎫α-π5=sin αcos π5+cos αsin π5sin αcos π5-cos αsin π5=tan α+tanπ5tan α-tanπ5. 又因为tan α=2tan π5,所以原式=2tan π5+tanπ52tan π5-tanπ5=3.答案:316.已知A ,B ,C 皆为锐角,且tan A =1,tan B =2,tan C =3,则A +B +C 的值为________.解析:因为tan(A +B )=tan A +tan B 1-tan A tan B =1+21-2=-3<0,①又0<A <π2,0<B <π2,所以0<A +B <π,②由①②知,π2<A +B <π,又tan[(A +B )+C ]=tan (A +B )+tan C 1-tan (A +B )tan C =-3+31-(-3)³3=0,又因为0<C <π2,所以π2<A +B +C <32π,所以A +B +C =π. 答案:π 三、解答题17.已知sin ⎝ ⎛⎭⎪⎫α-π4=7210,cos 2α=725,求sin α及tan ⎝⎛⎭⎪⎫α+π3. 解:因为sin ⎝ ⎛⎭⎪⎫α-π4=22(sin α-cos α)=7210,所以sin α-cos α=75.①因为cos 2α=cos 2α-sin 2α=(cos α-sin α) (cos α+sin α)=-75(cos α+sin α),所以cos α+sin α=-15.②由①②得:sin α=35,cos α=-45.所以tan α=-34.所以tan ⎝ ⎛⎭⎪⎫α+π3=tan α+31-3tan α=3-341+334=48-25311. 所以sin α=35,tan ⎝⎛⎭⎪⎫α+π3=48-25311. 18.在斜△ABC 中,sin A =-cos B cos C 且tan B tan C =1-3,求角A .解:在三角形中,有A +B +C =π, 所以sin A =sin(B +C ).所以-cos B cos C =sin B cos C +cos B sin C . 上式两边同时除以cos B cos C ,得tan B +tan C =-1.又tan(B +C )=tan B +tan C 1-tan B tan C =-11-(1-3)=-33=-tan A .所以tan A =33. 又0<A <π,所以A =π6.19.已知f (x )=2cos2ωx 2+3sin ωx +a 的图象上相邻两对称轴的距离为π2.(1)若x ∈R,求f (x )的递增区间;(2)若x ∈⎣⎢⎡⎦⎥⎤0,π2时,f (x )的最大值为4,求a 的值. 解:由f (x )=2cos 2 ωx 2+3sin ωx +a =3sin ωx +cos ωx +a +1=2sin ⎝⎛⎭⎪⎫ωx +π6+a +1. 因为f (x )的图象上相邻对称轴的距离为π2,故T 2=π2⇒T =π⇒ω=2πT=2, 所以f (x )=2sin ⎝⎛⎭⎪⎫2x +π6+a +1.(1)由-π2+2k π≤2x +π6≤π2+2k π(k ∈Z),解得-π3+k π≤x ≤π6+k π(k ∈Z),所以f (x )的递增区间为⎣⎢⎡⎦⎥⎤-π3+k π,π6+k π(k ∈Z).(2)若x ∈⎣⎢⎡⎦⎥⎤0,π2,则π6≤2x +π6≤7π6,所以-12≤sin ⎝ ⎛⎭⎪⎫2x +π6≤1,所以f (x )max =2+a +1=4, 所以a =1.20.已知向量m =(sin A ,cos A ),n =(3,-1)且m ²n =1,且A 为锐角.(1)求角A 的大小;(2)求函数f (x )=cos 2x +4cos A sin x (x ∈R)的值域.解:(1)由题意得m²n =3sin A -cos A =2sin ⎝ ⎛⎭⎪⎫A -π6=1,sin ⎝⎛⎭⎪⎫A -π6=12.由A 为锐角得A -π6=π6,所以A =π3.(2)由(1)知cos A =12,所以f (x )=cos 2x +2sin x =1-2sin 2x +2sin x = -2⎝⎛⎭⎪⎫sin x -122+32. 因为x ∈R,所以sin x ∈[-1,1],因此,当sin x =12时,f (x )有最大值32,当sin x =-1时,f (x )有最小值-3,所以所求函数f (x )的值域为⎣⎢⎡⎦⎥⎤-3,32.21.设向量a =(sin x ,cos x ),b =(cos x ,cos x ),x ∈R ,函数f (x )=a ²(a +b ).(1)求函数f (x )的最大值与最小正周期;(2)求使不等式f (x )≥32成立的x 的取值范围.解:(1)因为f (x )=a ²(a +b )=a ²a +a ²b =sin 2x +cos 2x +sin x cos x +cos 2x =1+12sin 2x +12(cos2x +1)=32+22sin ⎝⎛⎭⎪⎫2x +π4,所以f (x )的最大值为32+22,最小正周期T =2π2=π.(2)由(1)知f (x )≥32⇔32+22sin ⎝ ⎛⎭⎪⎫2x +π4≥32⇔sin ⎝⎛⎭⎪⎫2x +π4≥0⇔2k π≤2x +π4≤2k π+π⇔k π-π8≤x ≤k π+3π8(k ∈Z).所以使f (x )≥32成立的x 的取值范围是⎩⎨⎧⎭⎬⎫x ⎪⎪⎪k π-π8≤x ≤k π+3π8,k ∈Z .22.(2014²福建卷)已知函数f (x )=2cos x (sin x +cos x ).(1)求f ⎝ ⎛⎭⎪⎫5π4的值;(2)求函数f (x )的最小正周期及单调递增区间.解:法一:(1)f ⎝⎛⎭⎪⎫5π4=2cos 5π4⎝ ⎛⎭⎪⎫sin 5π4+cos 5π4=-2cos π4⎝⎛⎭⎪⎫-sin π4-cos π4=2.(2)因为f (x )=2sin x cos x +2cos 2x =sin 2x +cos 2x +1=2sin ⎝ ⎛⎭⎪⎫2x +π4+1,所以T =2π2=π,故函数f (x )的最小正周期为π.由2k π-π2≤2x +π4≤2k π+π2,k ∈Z ,得k π-3π8≤x ≤k π+π8,k ∈Z.所以f (x )的单调递增区间为⎣⎢⎡⎦⎥⎤k π-3π8,k π+π8,k ∈Z.法二:f (x )=2sin x cos x +2cos 2x = sin 2x +cos 2x +1=2sin ⎝ ⎛⎭⎪⎫2x +π4+1. (1)f ⎝⎛⎭⎪⎫5π4=2sin 11π4+1=2sin π4+1=2.(2)因为T =2π2=π,所以函数f (x )的最小正周期为π.由2k π-π2≤2x +π4≤2k π+π2,k ∈Z ,得k π-3π8≤x ≤k π+π8,k ∈Z.所以f (x )的单调递增区间为⎣⎢⎡⎦⎥⎤k π-3π8,k π+π8,k ∈Z.。
第三章三角恒等变换综合检测题本试卷分第I 卷选择题和第U 卷非选择题两部分,满分150分,时间120 分钟。
第I 卷(选择题共60分)一、选择题(本大题共12个小题,每小题 5分,共60分,在每小题给出的四个选项中 只有一个是符合题目要求的 )n 3 41 .已知 0v av 2v 3<n 又 sin a= 5, cos (a+ ®= — 5,贝V sin ()B . 0 或 2424 C.25 24 D . ±25 [答案]Cn 3 4[解析]•/ 0v av 2 v 3v n 且 sin a= 5, COS ( a+ 3 = — 54 n3 3• cos a= 5 , 2< a+ 3v ㊁ n, • sin( a+ 3 = ±5,=sin( a+ 3cos a — cos( a+ 3)sin a才< 3v n ••• sin 3> 0•故排除 A , B , D.4 3 4⑵由 cos( a+ 3)= — 5及 Sin a= 3可得 sin 3= §(1 + cos 3)代入 sin 2 3+ cos 2 3= 1 中可解得 cos37 n=—1或一25,再结合2<仟n 可求sin 32.若sin Bv 0, cos2 0v 0,则在(0,2 内)B 的取值范围是()3 n3=0.sin3=- 5x 4-又氏才,n j, • sin 3> 0,故 sin 3= 24当 sin( a+ 3 =,sin 3= sin [( a+ a[点评](1)可用排除法求解,T=器53 245 = 25;A . n< 0< 25 nB.5T <e< ¥3 nC.y <e< 2 nD.严< 0<孕4 4[答案]B[解析]2 2 2•/ cos2 e< 0, • 1 —2sin < 0,即sin e>2或sin < —"2,又已知sin < 0, •— 1 < sin e<—亠2,2由正弦曲线得满足条件的e取值为54n<e< ¥3. 函数y= sin2x+ cos2x的图象,可由函数y= sin2x —cos2x的图象()A .向左平移f个单位得到B .向右平移f个单位得到8c.向左平移n个单位得到4D .向右平移4个单位得到[答案]C[解析]y= sin2x+ cos2x= , 2sin(2x+J=2si n2(x +》_ n _ ny= sin2x—cos2x= 2sin(2x—4)= . 2sin2(x—§)n n n其中x+8=(x+ 4)—8n•••将y= sin2x—cos2x的图象向左平移:个单位可得y= sin2x+ cos2x的图象.44. 下列各式中,值为~2的是()A . 2sin 15 cos15 °2 2B. cos 15。
三角恒等变换综合练习一、单选题1.sin11cos19cos11cos71︒︒+︒︒的值为()A.32B.12C.132+D.312【答案】B【分析】化成标准的两角和的展开式,合并为一个角即可求得答案.【详解】解:sin11cos19cos11cos71︒︒+︒︒sin11cos19cos11sin19=︒︒+︒︒()1sin1119sin302=︒+︒=︒=.故选:B.【点睛】应用三角公式化简求值的策略(1)首先要记住公式的结构特征和符号变化规律.例如两角差的余弦公式可简记为:“同名相乘,符号反”. (2)注意与同角三角函数基本关系、诱导公式的综合应用.(3)注意配方法、因式分解和整体代换思想的应用.2.若4cos5θ=-,θ是第三象限的角,则1tan21tan2θθ-=+()A.12B.12-C.35D.-2【答案】D 【分析】根据4cos 5θ=-,θ是第三象限的角,先利用半角公式求得tan 2θ,然后代入1tan 21tan 2θθ-+求解. 【详解】因为θ为第三象限角, 所以2θ可能为二、四象限角,所以tan 32θ===-, 所以1tan 1322131tan 2θθ-+==--+.故选:D.3.已知1sin cos 3αα+=,则sin 2α的值是( ).A .89B .89- CD.【答案】B【分析】已知条件平方后,利用sin 22sin cos ααα=,直接计算结果.【详解】 ∵1sin cos 3αα+=,平方得,)(21sin cos 9αα+=,∴)()(221sin 2sin cos cos 9αααα++=,∴82sin cos 9αα=-,∴8sin29α=-.故选:B4.在ABC 中,若sin sin()sin 2C B A A +-=,则ABC 的形状不可能是()A .等腰三角形B .直角三角形C .等腰直角三角形D .三个角都不相等的锐角三角形【答案】D【分析】由诱导公式化sin sin()C A B =+,由两角和与差的正弦公式和二倍角公式变形后可判断.【详解】由已知可得sin()sin()2sin cos A B A B A A +--=⋅,∴2sin cos 2sin cos B A A A ⋅=⋅,∴cos 0A =或sin sin B A =,∴2A π=或A B =,∴ABC 可能是等腰三角形、直角三角形或等腰直角三角形,故选:D .5.若1sin 63πα⎛⎫-=⎪⎝⎭,则2cos 23πα⎛⎫+ ⎪⎝⎭等于( ). A .79- B .13- C .13 D .79【答案】A【分析】 根据1sin 63πα⎛⎫-= ⎪⎝⎭,利用诱导公式得到cos 3πα⎛⎫+ ⎪⎝⎭,再由2cos 2cos 233ππαα⎛⎫⎛⎫⎛⎫+=+ ⎪ ⎪ ⎪⎝⎭⎝⎭⎝⎭,利用二倍角公式求解.【详解】 因为1sin sin 6233πππαα⎛⎫⎛⎫⎛⎫-=-+= ⎪ ⎪ ⎪⎝⎭⎝⎭⎝⎭, 所以1cos 33πα⎛⎫+= ⎪⎝⎭, 所以227cos 2cos 22cos 13339πππααα⎛⎫⎛⎫⎛⎫⎛⎫+=+=+-=-⎪ ⎪ ⎪ ⎪⎝⎭⎝⎭⎝⎭⎝⎭, 故选:A6.已知()()21cos 022x f x x ωωω=-+>,则下列说法错误的是( ) A .若()f x 在()0,π内单调,则203ω<≤B .若()f x 在()0,π内无零点,则106ω<≤C .若()y f x =的最小正周期为π,则2ω=D .若2ω=时,直线2π3x =-是函数()f x 图象的一条对称轴 【答案】C【分析】 利用二倍角的余弦公式可得()πsin 6f x x ω⎛⎫=-⎪⎝⎭,根据正弦函数的单调区间可得πππ62ω-≤,解不等式可判断A ;在()0,π内无零点,只需ππ06ω-≤,解不等式即可判断B ;利用2T πω=可判断C ;令()ππ2π62x k k -=+∈Z ,解方程即可判断D. 【详解】()()211πcos 0cos sin 2226x f x x x x x ωωωωωω⎛⎫=-+>=-=- ⎪⎝⎭, 对于A ,若()f x 在()0,π内单调,则πππ62ω-≤,解得23ω≤,故203ω<≤,A 正确; 对于B ,由0πx <<,得ππππ666x ωω-<-<-,若()f x 在()0,π内无零点, 则ππ06ω-≤,解得1π6ω≤,故106ω<≤,B 正确; 对于C ,若()y f x =的最小正周期为π,则()f x 的最小正周期为2π, 因此2π2πω=,所以1ω=,C 错误; 对于D ,()πsin 26f x x ⎛⎫=- ⎪⎝⎭,令()ππ2π62x k k -=+∈Z ,则()1ππ23x k k =+∈Z , 当2k =-时,得()f x 的图象的一条对称轴为直线2π3x =-,D 正确; 故选:C二、多选题7.在ABC 中,角A ,B ,C 所对的边分别为a ,b ,c ,内切圆半径为r .若3c =,cos2sin 22A B C -=,则下列结论正确的是( )A .1tan tan 223AB = B .tan 2C ≥C .6a b +=D .2r ≤【答案】ACD【分析】利用三角形內角和以及诱导公式可判断A 正确;利用基本不等式判断B 错误;利用和角正弦公式以及正弦定理可得C 正确;利用基本不等式可得D 正确.【详解】由题设cos 2sin cos()2sin 2sin 2cos 2222222222A B C A B A B A B A B ππ---⎡⎤⎛⎫⎛⎫=⇒-==-+=+ ⎪ ⎪⎢⎥⎝⎭⎝⎭⎣⎦得coscos sin sin 2cos cos sin sin 22222222A B A B A B A B ⎛⎫+=- ⎪⎝⎭, 所以3sin sin 22A B =cos cos 22A B 1tan tan 223A B =,所以A 正确; 所以123tan tan 2233A B +≥= 1211tan tan ()133322tan tan tan()2222tan tan tan tan tan tan tan 2222222A B C A B A B A B A B A B A B ππ---++==-====≤++++B 错误; 由cos2sin 22A B C -=得2cos sin 4sin cos 2222A B A B C C -+=, 所以sin cos cos sin sin cos cos sin 2sin 22222222A B A B A B A B A B A B A B A B C +-+-+-+-++-=()()所以sin sin 2sin A B C +=,即26a b c +==,所以C 正确; 如图,由1tan tan 223A B =,得133r r x x ⋅=-,所以2(3)334x x r -=≤(32x =取等号),所以3r ≤D 正确. 故选:ACD .8.若()cos 13tan101α︒+=,则α的一个可能值为( ) A .130︒B .220°C .40°D .320︒ 【答案】CD【分析】利用同角三角函数关系和诱导公式,以及辅助角公式和二倍角正弦公式化简已知等式,可得cos cos40α=︒,即可得出答案.【详解】 解:cos (13)1α+︒=,cos 13tan10α∴+︒1sin1013cos10=︒︒cos103sin10=︒+︒()cos10cos102sin 10302sin 40︒︒==︒+︒︒()cos 9080sin802sin 402sin 40︒-︒︒==︒︒ 2sin 40cos 40cos 402sin 40︒︒==︒︒, α的一个可能值为40︒,又()()cos320cos 36040cos 40cos 40=-=-=,故320︒也是一个可能值. 故选:CD .【点睛】 关键点睛:本题解题的关键是利用同角三角函数关系和诱导公式,以及辅助角公式和二倍角正弦公式进行化简,能得出cos cos40α=︒即可求解.三、填空题9.cos(α-35°)cos(α+25°)+sin(α-35°)sin(α+25°)=________. 【答案】12 【分析】 根据两角差的余弦公式进行化简、运算,即可求解 【详解】由cos(35)cos(25)sin(35)sin(25)cos[(35)(25)]αααααα-++-+=--+ 1cos(60)cos602=-==. 故答案为:12. 10.已知tan 2α=,则cos2=α__.【答案】35【分析】利用余弦的倍角公式和三角函数的基本关系式,即可求解.【详解】 由tan 2α=,又由22222222cos sin cos 2cos sin cos sin 1tan 1431tan 145ααααααααα--===-++-=-==+. 故答案为:35.四、解答题11.设a =sin x cos x ,b =sin x +cos x .(1)求a ,b 的关系式;(2)若x ∈(0,2π),求y =sin x cos x +sin x +cos x 的最大值. 【答案】(1)b 2=1+2a ;(2)122+【分析】(1)将b =sin x +cos x 两边平方可得结果;(2)转化为关于b 的二次函数可求得结果.【详解】(1)∵b =sin x +cos x ,∴b 2=(sin x +cos x )2=1+2sin x cos x =1+2a ;(2)由(1)21(1)2a b =-,因为x ∈(0,2π),所以)4b x π=+∈. 所以y =a +b =2211(1)(1)122b b b -+=+-,∴b 时,y =sin x cos x +sin x +cos x 的最大值为12+【点睛】 关键点点睛:转化为关于b 的二次函数求解是解题关键.12.已知02a π<<,02πβ<<,4sin 5α,5cos()13αβ+=. (1)求cos β的值;(2)求2sin sin 2cos 21ααα+-的值. 【答案】(1)6365;(2)54-. 【分析】(1)由已知利用同角三角函数基本关系式可求cos α,sin()αβ+的值,进而根据()βαβα=+-,利用两角差的余弦函数公式即可求解.(2)利用二倍角公式可求sin 2α,cos2α的值,进而即可代入求解.【详解】(1)因为02πα<<,4sin 5α所以3cos 5α==又因为02πβ<<,5cos()13αβ+=所以12sin()13αβ+==所以[]cos cos ()ββαα=+- cos()cos sin()sin βααβαα=+++53124135135=⨯+⨯ 6365= (2)因为3cos 5α=,4sin 5α 所以4324sin 22sin cos 25525ααα==⨯⨯= 2237cos 22cos 12()1525αα=-=⨯-=- 所以22424()sin sin 255257cos 214125ααα++==---- 【点睛】本题主要考查了同角三角函数基本关系式,两角差的余弦函数公式,二倍角公式在三角函数化简求值中的应用,考查了计算能力和转化思想.。
考点过关检测15 三角恒等变换(1)一、单项选择题1.[2022·广东顺德模拟]cos1875°=( ) A.6-22 B.2+64 C.2-64 D.6-242.若点M (-32,12)在角α的终边上,则tan2α=( ) A.33B .-33C.3D .- 33.已知cos θ=-13(θ∈(0,π)),则cos ⎝ ⎛⎭⎪⎫3π2-θ=( )A .-223B .-13C.223D.134.[2022·江苏东海月考]计算:2sin10°-cos20°sin20°=( )A .-1B .-2C .-2D .- 35.[2022·辽宁实验中学月考]已知cos α=-53,则sin ⎝ ⎛⎭⎪⎫3π2+2α=( ) A .-19B.19C .-23D.236.[2022·福建永安三中月考]已知α的终边在第四象限,若sin α=-45,则sin ⎝⎛⎭⎪⎫α+π4=( ) A .-210B.210C .-7210D.72107.已知sin ⎝ ⎛⎭⎪⎫π2+α=12,-π2<α<0,则cos ⎝ ⎛⎭⎪⎫α-π3的值是( )A.12B .-12 C.23D .1 8.[2022·河北邯郸模拟]若sin ⎝ ⎛⎭⎪⎫π2-2α=-45,则cos4α的值为( ) A.425B.725C.35D.31509.[2021·新高考Ⅰ卷]若tan θ=-2,则sin θ()1+sin2θsin θ+cos θ=( )A .-65B.-25C.25D.6510.已知sin α+cos α=52,且α∈⎝ ⎛⎭⎪⎫π4,π2,则cos α-sin α=( ) A.32B .-32 C .±32D.12二、多项选择题11.[2022·山东实验中学月考]下列式子正确的是( ) A .sin15°+cos15°=62B .cos75°=6+24C .23tan15°+tan 215°=1D .tan12°+tan33°+tan12°tan33°=112.已知θ∈(0,π),sin θ+cos θ=15,则下列结论正确的是( )A .θ∈⎝ ⎛⎭⎪⎫π2,πB .cos θ=-35C .tan θ=-34D .sin θ-cos θ=75三、填空题13.[2022·福建福州模拟]已知tan(π-α)=-34,则sin2α的值为________.14.[2022·湖南师大附中月考]已知sin(π+α)=23sin ⎝ ⎛⎭⎪⎫π2+α,则tan ⎝ ⎛⎭⎪⎫α-π3的值为________.15.[2022·广东湛江月考]已知x ∈⎝⎛⎭⎪⎫0,π2,2sin2x =3sin x ,则cos2x =________.16.[2022·浙江丽水模拟]已知角α的顶点与原点O 重合,始边与x 轴的非负半轴重合,它的终边过点P (-55,255),则tan α=________,sin ⎝⎛⎭⎪⎫α+π4=________.考点过关检测15 三角恒等变换(1)1.答案:D解析:cos1875°=cos(360°×5+75°)=cos75°=cos(45°+30°)=cos45°cos30°-sin45°sin30°=22×32-22×12=6-24. 2.答案:D解析:由已知tan α=12-32=-33,所以tan2α=2tan α1-tan 2α=2×⎝⎛⎭⎪⎫-331-⎝⎛⎭⎪⎫-332=- 3.3.答案:A解析:因为cos θ=-13(θ∈(0,π)),所以sin θ=1-cos 2θ=223,故cos ⎝⎛⎭⎪⎫3π2-θ=-sin θ=-223.4.答案:D 解析:2sin10°-cos20°sin20°=2sin 30°-20°-cos20°sin20°=2⎝ ⎛⎭⎪⎫12cos20°-32sin20°-cos20°sin20°=-3sin20°sin20°=- 3.5.答案:A 解析:sin ⎝⎛⎭⎪⎫3π2+2α=-cos2α=1-2cos 2α=1-2×59=-19.6.答案:A解析:α的终边在第四象限,sin α=-45,所以cos α=1-⎝ ⎛⎭⎪⎫-452=35, 则sin ⎝ ⎛⎭⎪⎫α+π4=22()sin α+cos α=22×⎝ ⎛⎭⎪⎫-45+35=-210. 7.答案:B解析:由sin ⎝ ⎛⎭⎪⎫π2+α=12可得cos α=12,因为-π2<α<0,所以sin α=-1-cos 2α=-1-⎝ ⎛⎭⎪⎫122=-32,所以cos ⎝ ⎛⎭⎪⎫α-π3=cos αcos π3+sin αsin π3=12×12-32×32=-12.8.答案:B解析:由sin ⎝ ⎛⎭⎪⎫π2-2α=-45,得cos2α=-45,则cos4α=2cos 22α-1=2×⎝ ⎛⎭⎪⎫-452-1=725. 9.答案:C解析:将式子进行齐次化处理得:sin θ()1+sin2θsin θ+cos θ=sin θ()sin 2θ+cos 2θ+2sin θcos θsin θ+cos θ=sin θ()sin θ+cos θ=sin θ()sin θ+cos θsin 2θ+cos 2θ=tan 2θ+tan θ1+tan 2θ=4-21+4=25.故选C. 10.答案:B解析:∵(sin α+cos α)2=1+2sin αcos α=54,∴2sin αcos α=14,∵(cos α-sin α)2=1-2sin αcos α=1-14=34,∴cos α-sin α=±32,又∵α∈⎝ ⎛⎭⎪⎫π4,π2,∴0<cos α<sin α,即cos α-sin α=-32.故选B. 11.答案:ACD解析:因为sin15°=sin(45°-30°)=sin45°cos30°-cos45°sin30°=6-24, cos15°=cos(45°-30°)=cos45°cos30°+sin45°sin30°=6+24, 所以sin15°+cos15°=62,所以A 正确, 因为cos75°=cos(45°+30°)=cos45°cos30°-sin45°sin30°=6-24,所以B 错误,因为tan15°=tan(45°-30°)=1-tan30°1+tan30°=1-331+33=2-3,所以23tan15°+tan 215°=23×(2-3)+(2-3)2=1,所以C 正确; 因为tan45°=tan(33°+12°)=tan33°+tan12°1-tan33°tan12°=1,所以tan33°+tan12°=1-tan33°tan12°,所以tan12°+tan33°+tan12°tan33°=1,所以D 正确. 12.答案:ABD解析:∵sin θ+cos θ=15 ①,∴(sin θ+cos θ)2=⎝ ⎛⎭⎪⎫152,即sin 2θ+2sin θcos θ+cos 2θ=125,∴2sin θcos θ=-2425.∵θ∈(0,π),∴sin θ>0,cos θ<0,∴θ∈⎝ ⎛⎭⎪⎫π2,π,故A 正确.(sin θ-cos θ)2=1-2sin θcos θ=4925,∴sin θ-cos θ=75 ②,故D 正确.①+②得sin θ=45,①-②得cos θ=-35,故B 正确.tan θ=sin θcos θ=45-35=-43,故C 错误.13.答案:2425解析:因tan(π-α)=-34,则tan α=34,sin2α=2sin αcos α=2sin αcos αsin 2α+cos 2α=2tan αtan 2α+1=2·34⎝ ⎛⎭⎪⎫342+1=2425. 14.答案:335解析:由题意知,-sin α=23cos α,则tan α=-23,所以tan ⎝ ⎛⎭⎪⎫α-π3=tan α-31+3tan α=-331-6=335. 15.答案:18解析:因为x ∈⎝⎛⎭⎪⎫0,π2,所以sin x ≠0,因此由2sin2x =3sin x ⇒4sin x cos x =3sin x ⇒cos x =34,所以cos2x =2cos 2x -1=2×⎝ ⎛⎭⎪⎫342-1=18.16.答案:-21010解析:由三角函数定义知:tan α=255-55=-2;|OP |=⎝ ⎛⎭⎪⎫-552+⎝ ⎛⎭⎪⎫2552=1,则sin α=255,cos α=-55, sin ⎝ ⎛⎭⎪⎫α+π4=sin αcos π4+cos αsin π4=255·22-55·22=1010.。
三角恒等变换(测试题及答案)三角恒等变换测试题第I卷一、选择题(本大题共12个小题,每小题5分,共60分)1.求cos24cos36-cos66cos54的值。
A。
0.B。
1/2.C。
1/4.D。
1/82.已知tan(α+β)=3,tan(α-β)=5,则tan(2α)的值为:A。
1/2.B。
2/3.C。
3/4.D。
4/53.函数y=sin(x)+cos(x)的最小正周期为:A。
π。
B。
2π。
C。
4π。
D。
π/24.已知等腰三角形顶角的余弦值等于4/5,则这个三角形底角的正弦值为:A。
3/5.B。
4/5.C。
5/6.D。
5/45.α,β都是锐角,且sin(α)=1/3,cos(α+β)=-1/2,则sin(β)的值是:A。
-2/3.B。
-1/3.C。
1/3.D。
2/36.已知-x<π/3且cos(-x)=-√3/2,则cos(2x)的值是:A。
-7/24.B。
-1/8.C。
1/8.D。
7/247.函数y=sin(x)+cos(x)的值域是:A。
[0,1]。
B。
[-1,1]。
C。
[-1/2,1/2]。
D。
[1/2,√2]8.将y=2sin(2x)的图像向左平移π/4个单位,得到y=3sin(2x)-cos(2x)的图像,只需将y=2sin(2x)的图像:A。
向右平移π/4个单位。
B。
向左平移π/4个单位C。
向右平移π/2个单位。
D。
向左平移π/2个单位9.已知等腰三角形顶角的正弦值等于4/5,则这个三角形底角的余弦值为:A。
3/5.B。
4/5.C。
5/6.D。
5/410.函数y=sin(x)+3cos(2x)的图像的一条对称轴方程是:A。
x=π/4.B。
x=π/6.C。
x=π/2.D。
x=π/3二、填空题(本大题共4小题,每小题5分,共20分.请把答案填在题中的横线上)11.已知α,β为锐角,cosα=1/10,cosβ=1/5,则α+β的值为__ π/6 __。
12.在△ABC中,已知tanA,tanB是方程3x^2-7x+2=0的两个实根,则tanC=__ 1/2 __。
三角恒等变换综合测试题(时间:120分钟 满分:150分)一、选择题(本大题共12小题,每小题5分,共60分.在每小题给出的四个选项中,只有一项是符合题目要求的)1.⎝⎛⎭⎫cos π12-sin π12⎝⎛⎭⎫cos π12+sin π12=( ) A .-32 B .-12 C .12D .32 2.sin45°cos15°+cos225°sin15°的值为( )A .-32B .-12C .12D .323.tan15°+1tan 15°=( )A .2B .2+ 3C .4D .4334.在△ABC 中,tan A tan B =tan A +tan B +1,则C =( ) A .45° B .135° C .150° D .30°5.已知θ是锐角,那么下列各值中,sin θ+cos θ能取得的值是( )A .43B .34C .53D .126.函数y =sin ⎝⎛⎭⎫2x +π3cos ⎝⎛⎭⎫x -π6+cos ⎝⎛⎭⎫2x +π3sin ⎝⎛⎭⎫π6-x 的图象的一条对称轴方程是( ) A .x =π4 B .x =π2 C .x =π D .x =3π27.函数y =2sin x (sin x +cos x )的最大值为( ) A .2+1 B .2-1 C . 2 D .2 8.已知tan2θ=-22,π<2θ<2π,则tan θ的值为( )A . 2B .-22C .2D .2或-229.已知cos ⎝⎛⎭⎫π6-α=13,则cos ⎝⎛⎭⎫2π3+2α的值是( ) A .-79 B .-13 C .13 D .7910.已知sin (45°+α)=55,则sin2α=( )A .-45B .-35C .35D .4511.函数y =sin x -cos x 的图象可以看成是由函数y =sin x +cos x 的图象平移得到的.下列所述平移方法正确的是( )A .向左平移π2个单位B .向右平移π4个单位C .向右平移π2个单位D .向左平移π4个单位12.已知cos (α-β)=35,sin β=-513,且α∈⎝⎛⎭⎫0,π2,β∈⎝⎛⎭⎫-π2,0,则sin α=( ) A .3365 B .6365 C .-3365 D .-6365二、填空题(本大题共4小题,每小题5分,共20分.把答案填在题中横线上)13.方程sin x +3cos x -a =0有解,则实数a 的取值范围是________. 14.3tan 15°+13-tan 15°的值是________.15.已知α是第三象限角且sin α=-2425,则tan α2=________.16.设α为第四象限的角,若513sin 3sin =αα,则α2tan =________. 三、解答题(本大题共6小题,共70分.解答应写出文字说明,证明过程或演算步骤)17.(10分)已知tan α,tan β是方程6x 2-5x +1=0的两根,且0<α<π2,π<β<3π2.求:tan (α+β)及α+β的值.18.(12分)求值:1sin 10°-3sin 80°.19.(12分)在△ABC 中,sin (A -B )=15,sin C =35,求证:tan A =2tan B .20.(12分)求函数y =7-4sin x cos x +4cos 2x -4cos 4x 的最大值与最小值. 21.(12分)已知函数f (x )=cos ⎝⎛⎭⎫π3+x cos ⎝⎛⎭⎫π3-x ,g (x )=12sin2x -14. (1)求函数f (x )的最小正周期;(2)求函数h (x )=f (x )-g (x )的最大值,并求使h (x )取得最大值的x 的集合. 22.(12分)已知函数f (x )=2sin 2⎝⎛⎭⎫π4+x -3cos2x . (1)求f (x )的周期和单调递增区间;(2)若关于x 的方程f (x )-m =2在x ∈⎣⎡⎦⎤π4,π2上有解,求实数m 的取值范围.第三章 三角恒等变换综合测试题答案一、选择题1.D 2.C 3.C 4.A 5.A 6.C 7.A 8.B 9.D 10.B 11.C 12.A 提示:1.⎝⎛⎭⎫cos π12-sin π12⎝⎛⎭⎫cos π12+sin π12=cos 2π12-sin 2π12=cos π6=32. 2.原式=sin45°cos15°-cos45°sin15°=sin30°=12.3.原式=sin 15°cos 15°+cos 15°sin 15°=1sin 15°cos 15°=2sin 30°=4.4.由题意得tan A +tan B =-1+tan A tan B ,所以tan (A +B )=tan A +tan B1-tan A tan B =-1,所以A +B =135°,C =45°.5.因为0<θ<π2,所以θ+π4∈⎝⎛⎭⎫π4,34π,所以22<sin ⎝⎛⎭⎫θ+π4≤1,又sin θ+cos θ=2sin ⎝⎛⎭⎫θ+π4,1<sin θ+cos θ≤2. 6.y =sin ⎝⎛⎭⎫2x +π3cos ⎝⎛⎭⎫x -π6+cos ⎝⎛⎭⎫2x +π3sin ⎝⎛⎭⎫π6-x =sin ⎝⎛⎭⎫2x +π3+π6-x =sin ⎝⎛⎭⎫π2+x =cos x . 7.y =2sin 2x +2sin x cos x =sin2x +1-cos2x =2sin ⎝⎛⎭⎫2x -π4+1,所以y max =2+1. 8.因为π<2θ<2π,所以π2<θ<π,则tan θ<0,tan2θ=2tan θ1-tan 2θ=-22,化简得2tan 2θ-tan θ-2=0,解得tan θ=-22或tan θ=2(舍去),所以tan θ=-22.9.cos ⎝⎛⎭⎫2π3+2α=-cos ⎝⎛⎭⎫π3-2α=-cos ⎣⎡⎦⎤2⎝⎛⎭⎫π6-α=-⎣⎡⎦⎤2cos 2⎝⎛⎭⎫π6-α-1=79. 10.sin (α+45°)=22(sin α+cos α)·=55,所以sin α+cos α=105,两端平方得1+sin2α=25,所以sin2α=-35. 11.由于y =sin x +cos x =2sin ⎝⎛⎭⎫x +π4,y =sin x -cos x =2sin ⎝⎛⎭⎫x -π4=2sin ⎣⎡⎦⎤⎝⎛⎭⎫x -π2+π4,那么函数y =sin x -cos x的图象可以看成是由函数y =sin x +cos x 的图象向右平移π2个单位得到的.12.由于α∈⎝⎛⎭⎫0,π2,β∈⎝⎛⎭⎫-π2,0,因此α-β∈(0,π),又由于cos (α-β)=35>0,因此α-β∈(0,π2),sin (α-β)=45且cos β=1213,sin α=sin (α-β+β)=sin (α-β)cos β+cos (α-β)sin β=45×1213+35×⎝⎛⎭⎫-513=3365. 二、填空题13.[-2,2] 14.1 15.-43 16.-43提示:13.因为a =sin x +3cos x =2sin ⎝⎛⎭⎫x +π3,所以-2≤a ≤2. 14.因为3-tan 15°1+3tan 15°=tan 60°-tan 15°1+tan 60°tan 15°=tan45°=1,所以3tan 15°+13-tan 15°=1.15.因为α是第三象限角,sin α=-2425,所以cos α=-725,所以tan α2=sin α1+cos α=-24251-725=-43.16.()513sin sin 2cos cos 2sin sin 2sin sin 3sin =+=+=αααααααααα, 所以2α2cos +α2cos =513,即2α2cos -1+α2cos =58, 所以α2cos =54.因为2πk -2π<α<2πk ,k ∈Z ,所以4πk -π<2α<4πk ,又因为α2cos =54>0,所以2α为第四象限的角.所以αα2cos 12sin 2--==-53,所以α2tan =-43.三、解答题17.解:因为tan α、tan β为方程6x 2-5x +1=0的两根,所以tan α+tan β=56,tan αtan β=16,所以tan (α+β)=tan α+tan β1-tan αtan β=561-16=1,因为0<α<π2,π<β<3π2,所以π<α+β<2π,所以α+β=5π4.18.解:原式=1sin 10°-3cos 10°=cos 10°-3sin 10°sin 10°cos 10°=2⎝⎛⎭⎫12cos 10°-32sin 10°12sin 20°=20sin )10sin 30cos 10cos 30(sin 4-=4sin 30°-10°sin 20°=4sin 20°sin 20°=4.19.解:因为A +B +C =π,所以C =π-(A +B ),所以sin C =sin (A +B )=35,所以sin A cos B +cos A sin B =35,①又sin (A -B )=sin A cos B -cos A sin B =15,②由①②联立得⎩⎨⎧sin A cos B =25③cos A sin B =15④③÷④得sin A cos Bcos A sin B=2,所以tan A =2tan B .20.解:y =7-4sin x cos x +4cos 2x -4cos 4x =7-2sin2x +4cos 2x (1-cos 2x ) =7-2sin2x +4cos 2x sin 2x =7-2sin2x +sin 22x =(1-sin2x )2+6, 当sin2x =1时,y min =6;当sin2x =-1时,y max =10.21.解:(1)因为f (x )=cos ⎝⎛⎭⎫π3+x cos ⎝⎛⎭⎫π3-x =⎝⎛⎭⎫12cos x -32sin x ⎝⎛⎭⎫12cos x +32sin x =14cos 2x -34sin 2x =1+cos 2x 8-3-3cos 2x 8=12cos2x -14, 所以f (x )的最小正周期为2π2=π;(2)h (x )=f (x )-g (x )=12cos2x -12sin2x =22cos ⎝⎛⎭⎫2x +π4, 当2x +π4=2k π(k ∈Z )时,h (x )取得最大值22,此时,对应的x 的集合为⎩⎨⎧⎭⎬⎫x ⎪⎪x =kx -π8,k ∈Z . 22.解:(1)f (x )=2sin 2⎝⎛⎭⎫π4+x -3cos2x =1-cos ⎝⎛⎭⎫π2+2x -3cos2x =1+sin2x -3cos2x =2sin ⎝⎛⎭⎫2x -π3+1, 周期T =π;2k π-π2≤2x -π3≤2k π+π2,解得单调递增区间为⎣⎡⎦⎤k π-π12,k π+5π12(k ∈Z ); (2)x ∈⎣⎡⎦⎤π4,π2,所以2x -π3∈⎣⎡⎦⎤π6,2π3,sin ⎝⎛⎭⎫2x -π3∈⎣⎡⎦⎤12,1, 所以f (x )的值域为[2,3],而f (x )=m +2,所以m +2∈[2,3],即m ∈[0,1].。
题一函数f (x )=sin x (cos x -sin x )的最小正周期是( ) A.π4 B. π2C. πD. 2π 答案:注意公式选用同类题一题面:函数y =2cos x (sin x +cos x )的最大值和最小正周期分别是( ) A .2,π B.2+1,π C .2,2πD.2+1,2π答案:B. 详解:y =2cos x sin x +2cos 2x =sin 2x +cos 2x +1=2sin ⎝ ⎛⎭⎪⎫2x +π4+1,所以当2x +π4=2k π+π2(k ∈Z ),即x =k π+π8(k ∈Z )时取得最大值2+1,最小正周期T =2π2=π.同类题二 题面:函数f (x )=cos ⎝ ⎛⎭⎪⎫-x 2+sin ⎝ ⎛⎭⎪⎫π-x 2,x ∈R . 求f (x )的最小正周期;答案:4π.详解:f (x )=cos ⎝⎛⎭⎪⎫-x 2+sin ⎝⎛⎭⎪⎫π-x 2=sin x 2+cos x 2=2sin ⎝ ⎛⎭⎪⎫x 2+π4.∴f (x )的最小正周期T =2π12=4π.题二题面:设θ为第二象限角,若π1tan()42θ+=,则sin cos θθ+=______.答案:同类题一题面:若tan θ+1tan θ=4,则sin 2θ=()A.15 B.14 C.13 D.12答案:D. 详解:∵tan θ+1tan θ=4,∴sin θcos θ+cos θsin θ=4,∴sin2θ+cos2θcos θsin θ=4,即2sin 2θ=4,∴sin 2θ=1 2.同类题二题面:已知tan θ=2,则sin⎝⎛⎭⎪⎫π2+θ-cos π-θsin⎝⎛⎭⎪⎫π2-θ-sin π-θ=()A.2 B.-2C.0 D.2 3答案:B. 详解:原式=cos θ+cos θcos θ-sin θ=21-tan θ=21-2=-2.题一题面:在△ABC中,若2cos B sin A=sin C,则△ABC的形状一定是( )A. 等腰直角三角形B. 直角三角形C. 等腰三角形D.等边三角形答案:C同类题一题面:已知△ABC 的内角A ,B ,C 所对的边分别为a ,b ,c ,a =80,b =100,A =30°,则此三角形( )A .一定是锐角三角形B .一定是直角三角形C .一定是钝角三角形D .可能是直角三角形,也可能是锐角三角形答案:C. 详解:依题意得a sin A =b sin B ,sin B =b sin A a =100sin 30°80=58,12<58<32,因此30°<B <60°,或120°<B <150°.若30°<B <60°,则C =180°-(B +30°)>90°,此时△ABC 是钝角三角形;若120°<B <150°,此时△ABC 仍是钝角三角形.因此,此三角形一定是钝角三角形,选C.同类题二 题面:在三角形ABC 中,若cos ⎝ ⎛⎭⎪⎫π2+A sin ⎝ ⎛⎭⎪⎫32π+B tan (C -π)<0,求证:三角形ABC 为钝角三角形. 答案:见详解.详解:若cos ⎝ ⎛⎭⎪⎫π2+A sin ⎝ ⎛⎭⎪⎫32π+B tan (C -π)<0,则(-sin A )(-cos B )tan C <0, 即sin A cos B tan C <0,∵在△ABC 中,0<A <π,0<B <π,0<C <π, ∴sin A >0,⎩⎨⎧ cos B <0,tan C >0或⎩⎨⎧tan C <0,cos B >0,∴B 为钝角或C 为钝角,故△ABC 为钝角三角形.题二题面:设π,2Zkkα≠∈,sin tancos cotTαααα+=+,则( )A. T < 0B. T ≤ 0C. T > 0D. T的值可正可负答案:同类题一题面:三角形ABC是锐角三角形,若角θ终边上一点P的坐标为(sin A-cos B,cosA-sin C),则sin θ|sin θ|+cos θ|cos θ|+tan θ|tan θ|的值是()A.1 B.-1C.3 D.4答案:B.详解:因为三角形ABC是锐角三角形,所以A+B>90°,即A>90°-B,则sin A>sin(90°-B)=cos B,sin A-cos B>0,同理cos A-sin C<0,所以点P在第四象限,sin θ|sin θ|+cos θ|cos θ|+tan θ|tan θ|=-1+1-1=-1,故选B.同类题二题面:已知α为第二象限角,则cos α1+tan2α+sin α1+1tan2α=________.答案:0. 详解:原式=cos α1+sin2αcos2α+sin α1+cos2αsin2α=cos α1cos2α+sin α1sin2α=cos α1-cos α+sin α1sin α=0.题三题面:求值:oo o o tan 20tan 4020tan 40++.答案: 3同类题一题面:若α+β=3π4,则(1-tan α)(1-tan β)的值是________. 答案:2. 详解:-1=tan 3π4=tan(α+β)=tan α+tan β1-tan αtan β,∴tan αtan β-1=tan α+tan β. ∴1-tan α-tan β+tan αtan β=2, 即(1-tan α)(1-tan β)=2.同类题二 题面:若tan α=lg(10a ),tan β=lg ⎝ ⎛⎭⎪⎫1a ,且α+β=π4,则实数a 的值为( )A .1B.110 C .1或110D .1或10答案:C. 详解:tan(α+β)=1⇒tan α+tan β1-tan αtan β=lg 10a +lg ⎝ ⎛⎭⎪⎫1a 1-lg 10a ·lg ⎝ ⎛⎭⎪⎫1a =1⇒lg 2a +lg a =0,所以lg a =0或lg a =-1,即a =1或110.题四题面:设当x θ=时,函数f (x )=sin x -2cos x 取得最大值,则cos θ=______答案:5-同类题一 题面:当函数y =sin x -3cos x (0≤x <2π)取得最大值时,x =________. 答案:56π. 详解:利用正弦函数的性质求解. ∵y =sin x -3cos x (0≤x <2π), ∴y =2sin ⎝ ⎛⎭⎪⎫x -π3(0≤x <2π).由0≤x <2π知,-π3≤x -π3<5π3,∴当y 取得最大值时,x -π3=π2,即x =56π.同类题二 题面:函数f (x )=sin x -cos ⎝ ⎛⎭⎪⎫x +π6的值域为( )A .[-2,2]B .[-3,3]C .[-1,1] D.⎣⎢⎡⎦⎥⎤-32,32答案:[-3,3]. 详解:将函数化为y =A sin(ωx +φ)的形式后求解.∵f (x )=sin x -cos ⎝ ⎛⎭⎪⎫x +π6=sin x -cos x cos π6+sin x sin π6=sin x -32cos x +12sin x =3⎝ ⎛⎭⎪⎫32sin x -12cos x=3sin ⎝ ⎛⎭⎪⎫x -π6(x ∈R ),∴f (x )的值域为[-3,3].题五 题面:已知1sin cos ()1sin cos x xf x x x+-=++,(1)计算f (x )+ f (-x )的值; (2)判断函数f (x )的奇偶性.答案:同类题一题面:已知sin(2α+β)=3sin β,设tan α=x ,tan β=y ,记y =f (x ). (1)求证:tan(α+β)=2tan α; (2)求f (x )的解析式. 答案: (1)略. (2) f (x )=x1+2x 2详解:(1)证明:由sin(2α+β)=3sin β, 得sin [(α+β)+α]=3sin [(α+β)-α],即sin(α+β)cos α+cos(α+β)sin α=3sin(α+β)cos α-3cos(α+β)sin α, ∴sin(α+β)cos α=2cos(α+β)sin α. ∴tan(α+β)=2tan α.(2)由(1)得tan α+tan β1-tan αtan β=2tan α,即x +y1-xy=2x ,∴y =x 1+2x 2,即f (x )=x1+2x 2.同类题二题面:已知函数f (x )=sin ⎝ ⎛⎭⎪⎫x +7π4+cos ⎝ ⎛⎭⎪⎫x -3π4,x ∈R .(1)求f (x )的最小正周期和最小值;(2)已知cos(β-α)=45,cos(β+α)=-45,0<α<β≤π2,求证:[f (β)]2-2=0. 答案:(1)-2.(2)略. 详解:(1)∵f (x )=sin ⎝ ⎛⎭⎪⎫x +7π4-2π+cos ⎝ ⎛⎭⎪⎫x -π4-π2=sin ⎝ ⎛⎭⎪⎫x -π4+sin ⎝ ⎛⎭⎪⎫x -π4=2sin ⎝ ⎛⎭⎪⎫x -π4,∴T =2π,f (x )的最小值为-2.(2)证明:由已知得cos βcos α+sin βsin α=45, cos βcos α-sin βsin α=-45. 两式相加得2cos βcos α=0.∵0<α<β≤π2,∴β=π2.∴[f (β)]2-2=4sin 2π4-2=0.题一题面:在△ABC 中,若tan A +tan B +tan C >0,则△ABC 是( )A .直角三角形B .钝角三角形C .锐角三角形D .形状不确定答案:C同类题一题面:在△ABC 中a ,b ,c 分别为内角A ,B ,C 的对边,且2a sin A =(2b +c )sin B +(2c +b )sin C .(1)求A 的大小;(2)若sin B +sin C =1,试判断△ABC 的形状. 答案:(1) A =120°.(2)等腰的钝角三角形. 详解:(1)由已知,根据正弦定理得2a 2=(2b +c )·b +(2c +b )c ,即a 2=b 2+c 2+bc . 由余弦定理得a 2=b 2+c 2-2bc cos A , 故cos A =-12,∵0<A <180°,∴A =120°. (2)由(1)得sin 2A =sin 2B +sin 2C +sin B sin C =34. 又sin B +sin C =1, 解得sin B =sin C =12.∵0°<B <60°,0°<C <60°,故B =C , ∴△ABC 是等腰的钝角三角形.同类题二 题面:已知△ABC 的三个内角A ,B ,C 所对的边分别为a ,b ,c ,向量m =(4,-1),n =⎝ ⎛⎭⎪⎫cos 2A 2,cos 2A ,且m ·n =72.(1)求角A 的大小;(2)若b +c =2a =23,试判断△ABC 的形状. 答案:(1)A =π3.(2)△ABC 为等边三角形. 详解:(1)∵m =(4,-1),n =⎝ ⎛⎭⎪⎫cos 2A 2,cos 2A ,∴m ·n =4cos 2A2-cos 2A =4·1+cos A 2-(2cos 2A -1)=-2cos 2A +2cos A +3. 又∵m ·n =72,∴-2cos 2A +2cos A +3=72, 解得cos A =12. ∵0<A <π,∴A =π3.(2)在△ABC 中,a 2=b 2+c 2-2bc cos A ,且a =3, ∴(3)2=b 2+c 2-2bc ·12=b 2+c 2-bc .①又∵b +c =23,∴b =23-c ,代入①式整理得c 2-23c +3=0,解得c =3,∴b = 3,于是a =b =c = 3,即△ABC 为等边三角形.题二题面:oo 4cos50tan 40- = ( )A B .2+ C D .1-答案:C同类题一题面:sin 47°-sin 17°cos 30°cos 17°=( )A .-32 B .-12 C.12 D.32.答案:C.详解:原式=sin 30°+17° -sin17°cos 30°cos 17°=sin 30°cos 17°+cos 30°sin 17°-sin 17°cos 30°cos 17°=sin 30°cos 17°cos 17°=sin 30°=12.同类题二题面: 计算:cos 10°+3sin 10°1-cos 80°=________.答案: 2.详解:cos 10°+3sin 10°1-cos 80° =2 s in 30°cos 10°+cos 30°sin 10° 2sin 240°=2sin 40°2sin 40°= 2.题一题面:方程x 2-2a sin(cos x )+a 2=0仅有一个解,求a 的值.答案:0或2sin1同类题一题面:若sin θ,cos θ是方程4x 2+2mx +m =0的两根,则m 的值为()A .1+ 5B .1- 5C .1±5D .-1- 5答案:B.详解: 由题意知:sin θ+cos θ=-m 2,sin θcos θ=m 4,又(sin θ+cos θ)2=1+2sin θcos θ,∴m 24=1+m 2,解得:m =1±5,又Δ=4m 2-16m ≥0,∴m ≤0或m ≥4,∴m =1- 5.同类题二题面:已知sin θ、cos θ是关于x 的方程x 2-ax +a =0的两根,则a =________. 答案:1- 2详解:由题意知,原方程判别式Δ≥0,即(-a )2-4a ≥0,∴a ≥4或a ≤0.∵⎩⎨⎧sin θ+cos θ=a ,sin θcos θ=a ,又(sin θ+cos θ)2=1+2sin θcos θ,∴a 2-2a -1=0,∴a =1-2或a =1+2(舍去).。
答案解析部分一、单选题1.【答案】C【解析】【解答】如图:在Rt△OCB中,设∠COB=α,则OB=2cosα,BC=2sinα,在Rt△OAD中,DAOA=tan45°=1,所以OA=DA=2sinα,∴AB=OB−OA=2cosα−2sinα,设矩形A BCD的面积为S,则S=AB⋅BC=(2cosα−2sinα)⋅2sinα=4(12sin2α−sin2α)=2(sin2α+cos2α)−2=2√2sin(2α+π4)−2,由于0<α<π4,所以当α=π8时,S最大=2√2−2,故答案为:C【分析】如图先用所给的角将矩形的面积表示出来,建立三角函数模型,再根据所建立的模型,利用三角函数的性质求最值。
2.【答案】D【解析】【解答】由f(x)=sinωx+√3cosωx=2sin(ωx+π3),由x=−5π6和x=π6为两条相邻的对称轴,所以周期T2=π6−(−5π6)=π,所以T=2πω=2π,解得ω=1.故答案为:D.【分析】直接由对称轴得半周期为π,再利用周期公式求解即可。
3.【答案】D【解析】【解答】y=sinx−√3cosx=2sin(x−π3),将函数的图像沿x轴向右平移m(m>0)个单位长度,可得y=2sin(x−m−π3),此函数图像关于y轴对称,则−m−π3=kπ+π2(k∈Z),解得m=−kπ−5π6(k∈Z),因为m>0,则当k=−1时,m取得最小值π6,故答案为:D。
【分析】利用辅助角公式化简函数为正弦型函数,再利用图象的平移变换结合图象的对称性,从而推出函数图像关于y轴对称,再利用函数图象的对称性,从而求出m=−kπ−5π6(k∈Z),因为m>0,则当k=−1时,从而求出m的最小值。
4.【答案】D【解析】【解答】解:由辅助角公式得:f(x)=√a2+b2sin(2x+φ),由f(x)≤f(π6)恒成立,得2×π6+φ=2kπ+π2(k∈Z),所以φ=2kπ+π6(k∈Z),取φ=π6,从而f(x)=√a2+b2sin(2x+π6),由f(11π12)=0得①正确,由2kπ−π2≤2x+π6≤2kπ+π2(k∈Z)得kπ−π3≤x≤kπ+π6(k∈Z),所以函数的单调递增区间为[kπ−π3,kπ+π6](k∈Z),②不正确,根据正弦函数的奇偶性易得③显然正确,由2x+π6=kπ+π2(k∈Z),得对称轴为x=kπ2+π6(k∈Z),④正确,故答案为:D.【分析】利用辅助角公式化简函数为正弦型函数,再由f(x)≤f(π6)恒成立,得出φ的值,从而求出正弦型函数的解析式,再利用换元法将正弦型函数转化为正弦函数,再利用正弦函数的图像求出正弦型函数的对称点和对称轴,并判断出正弦型函数的单调性,从而求出对应的单调递增区间,再利用奇函数和偶函数的定义判断出正弦型函数的奇偶性,从而找出说法正确的序号。
《三角恒等变换》测试题 一、选择题:(每题5分,共12小题)1.已知3sin()cos cos()sin 5αββαββ+-+=,且α在第二象限,则tan 2α=( )A.1-33或B.3C.13D.13-3或 2.已知3(,),sin ,25παπα∈=则tan()4πα+等于 ( )A.17 B.7 C.17- D.7- 3、函数22()cos ()sin ()11212f x x x ππ=-++-是( )A.周期为2π的奇函数B.周期为2π的偶函数C.周期为π的奇函数D.周期为π的偶函数4.函数()cos 22sin f x x x =+的最小值和最大值分别为( ) A. -3,1B. -2,2C. -3,32D. -2,325、已知,41)4tan(,52)tan(=-=+πββα则)4tan(πα+的值等于( ) A.1813 B.223 C.2213 D.183 6、已知,31cos cos ,21sin sin =+=+βαβα则)cos(βα-值等于( )A.127- B.1817- C. 7259- D.72109-7、2cos 12cos 1--+等于( )A.)1sin 1(cos 2-B.)1sin 1(cos 2-C.2cos1D.)1sin 1(cos 2+ 8、已知,21cos sin 1cos sin 1=-+++θθθθ则cos θ的值等于( )A.53 B.53-C.55-D.54 9、若),24(16960cos sin ππ<<=⋅A A A 则A tan 的值等于( ) A.43 B.34 C.125 D.51210、已知βαβα,,3tan ,2tan ==为锐角,则βα+值是( )A.4π B.43π C.32π D.65π11、设α,β,γ∈0,2π⎛⎫⎪⎝⎭,且sin sin sin βγα+=,cos cos cos αγβ+=,则βα-等于( )A.3π-B.6πC.3π或3π-D.3π 12、设0cos50cos127cos 40cos37a =+,()002sin 56cos562b =-,20201tan 391tan 39c -=+,()0201cos802cos 5012d =-+,则a ,b ,c ,d 的大小关系为( ) A.a b d c >>> B.b a d c >>> C.a c b d >>> D.c a b d >>> 二、填空题:(每题5分,共20分) 13、函数sin()cos 6y x x π=-的最小值________。
三角恒等变换单元检测一、选择题1.cos 2π8 -12 的值为A.1B. 12C.22D.242.tan π8-8tan1等于A.-2B.-1C.2D.03.若sin θ2 =35 ,cos θ2 =-45 ,则θ在A.第一象限B.第二象限C.第三象限D.第四象限4.cos 25π12 +cos 2π12 +cos 5π12 cos π12 的值等于A.62B. 32C. 54D.1+345.已知π<α<3π2 ,且sin(3π2 +α)=45 ,则tan α2等于A.3B.2C.-2D.-36.下面式子中不正确的是A.cos(-π12 )=cos π4 cos π3 +64B.cos 7π12 =cos π4 ·cos π3 -22sin π3C.sin(π4 +π3 )=sin π4 ·cos π3 +32cos π4D.cos π12 =cos π3 -cos π47.如果tan α2 =13 ,那么cos α的值是A. 35B. 45C.-35D.-458.化简cos (π4 +x )-sin (π4+x )cos (π4 +x )+sin (π4 +x )的值是A.tan x2B.tan2xC.-tan xD.cot x9.设5π<θ<6π,cos θ2 =a ,则sin θ4 等于A.-1+a2B.-1-a2C.-1+a2D.-1-a210.在△ABC 中,若sin B sin C =cos 2A2 ,则此三角形为A.等边三角形B.等腰三角形C.直角三角形D.等腰直角三角形二、填空题11.已知sin α=13 ,2π<α<3π,那么sin α2 +cos α2 =_____.12.tan19°+tan26°+tan19°tan26°=_____. 13.cos 5π8 cos π8=_____.14.已知π<θ<3π2 ,cos θ=-45 ,则cos θ2=_____.15.若cos(α+β)=45 ,cos(α-β)=-45 ,且π2 <α-β<π,3π2 <α+β<2π,则cos2α=_____,cos2β=_____.三、解答题16.设函数 f(x)=sin(πx 4-π6)-2cos2πx8+1,(1)求f(x)的最小正周期;(2)当[]1,1-∈x 时,求函数的值域.17.已知sin α+sin β=1,cos α+cos β=0,求cos2α+cos2β的值.18.已知sin 22α+sin2αcos α-cos2α=1,α∈(0,π2 ),求sin α、tan α.19.已知sin(x -3π4 )cos(x -π4 )=-14 ,求cos4x 的值.20.求证cos3α=4cos 3α-3cos α21.已知角A 、B 、C 为△ABC 的三个内角,OM →=(sinB +cosB ,cosC), ON →=(sinC ,sinB -cosB),OM →·ON →=-15.(1)求tan2A 的值;(2)求2cos2A2-3sinA -12sin A +π4的值.三角恒等变换单元练习题答案一、选择题二、填空题 11 -233 12 1 13 -24 14 -1010 15 -725-1三、解答题16.(1) f (x )=sin πx 4cos π6-cos πx 4sin π6-cos π4x=32sin π4x -32cos π4x =3sin(π4x -π3), 故 f (x )的最小正周期为T =2ππ4=8.(2)函数的值域为⎥⎦⎤⎢⎣⎡--4623,317.已知sin α+sin β=1,cos α+cos β=0,求cos2α+cos2β的值.1 18.已知sin 22α+sin2αcos α-cos2α=1,α∈(0,π2),求sin α、tan α.解:∵sin 22α+sin2αcos α-cos2α=1 ∴4sin 2αcos 2α+2sin αcos 2α-2cos 2α=0即:cos 2α(2sin 2α+sin α-1)=0⇒cos 2α(sin α+1)(2sin α-1)=0 又α∈(0,π2 ),∴cos 2α>0,sin α+1>0.故sin α=12 ,α=π6 ,tan α=33.19.已知sin(x -3π4 )cos(x -π4 )=-14,求cos4x 的值.解析:由sin(x -3π4 )cos(x -π4 )=-14⇒12 [sin(2x -π)+sin(-π2 )]=-14 ⇒sin2x =-12 ⇒cos4x =1-2sin 22x =12 .20.求证cos3α=4cos 3α-3cos α证明:左边=cos(2α+α)=cos2αcos α-sin2αsin α =(2cos 2α-1)cos α-2sin 2αcos α =2cos 3α-cos α-2sin 2αcos α=2cos 3α-cos α-2(1-cos 2α)cos α =4cos 3α-3cos α=右边.21.(1)∵OM →·ON →=(sin B +cos B )sin C +cos C (sin B -cos B )=sin(B +C )-cos(B +C )=-15,∴sin A +cos A =-15,①两边平方并整理得:2sin A cos A =-2425,∵-2425<0,∴A ∈(π2,π),∴sin A -cos A =1-2sin A cos A =75.②联立①②得:sin A =35,cos A =-45,∴tan A =-34,∴tan2A =2tan A 1-tan 2A=-321-916=-247. (2)∵tan A =-34,∴2cos 2A2-3sin A -12sin (A +π4)=cos A -3sin A cos A +sin A =1-3tan A1+tan A=1-3×(-34)1+(-34)=13.。
三角恒等变换综合检测卷一.填空题1、设⎪⎭⎫ ⎝⎛+=⎪⎭⎫ ⎝⎛∈4sin ,53sin ,2,0πααπα则若=_____________. 2、()()()x x x x +-++-000036sin 54cos 36cos )54sin(=____________.3、函数x x y 44sin cos -=的最小正周期是_____________.4、log 2sin15°+log 2cos15°= .5、函数xx y cos sin 21++=的最大值是______________. 6、在△ABC 中,B A B A cos cos sin sin <,则△ABC 是_________三角形.7、若θθθ2cos ,212cos 2sin 则=+=________________. 8、tan22.50-01tan 22.5= .9、若sin cos cos 2αααα+=为第二象限角,= _____ . 10、已知,(,)4αβ3π∈π,3sin()5αβ+=-,12sin()413βπ-=,则α2sin ___ . 11、函数y=Asin(ωx+φ)(A>0,ω>0,ππ223<Φ<)的最小值是-3,周期为3π,且它们的图象经过点(0,23-),则这个函数的解析式是____________________________.12、已知()βαβαβαtan tan ,51cos ,31)cos(则=-=+=_________________. 13、函数)cos (sin sin 2x x x y +=的单调递减区间是__________________.14、函数()()0055cos 210sin 2+++=x x y 的最小值为______________.二.解答题15、已知:向量()()x f x x ⋅==-=)(2cos ,2sin 1,3,函数.(1)若x x x f ,求且π<<=00)(的值;(2)求函数)(x f 取得最大值时,向量与的夹角.16、如下图,已知OPQ 是半径为1,圆心角为3π的扇形,C 是扇形弧上的动点,ABCD 是内接与扇形的平行四边形.记α=∠COP ,求当角α取何值时,平行四边形ABCD 的面积最大?并求出这个最大面积.17、已知函数R x x x x x x f ∈++=,cos 3cos sin 2sin )(22,求:(1)函数)(x f 的最大值及取得最大值时自变量x 的取值集合;(2)该函数图象可由x y sin =图象经过怎样的平移和伸缩变换得到? (3)若不等式2)(<-m x f 恒成立,求实数m 的取值范围.。
.1 / 9三角恒等变换 测试卷:___________班级:___________成绩:___________一、选择题1.函数2sin ()y x x R =∈的最小正周期为A. 2πB. πC. 2πD. 4π2.已知1sin 3α=,则cos2α=〔 A .79B .79-CD.3.0cos80cos130sin100sin130-等于〔AB .12C .12-D.-4.已知()sin ,510ααβαβ=-=-均为锐角, 则cos 2β=〔 A.2-B .1-C .0D .1 5A .1 D6.cos104sin80sin10︒︒-︒等于〔A..3 7.函数)42(sin 32πω+=x y 的最小正周期为π,则ω为 〔A.2B.4C.2±D.4±8.已知tan()25πα+=,4tan()35πβ-=-,则tan()αβ-=〔 A .1B .57-C .57D .1-9.已知α,()0,βπ∈,且()1tan 2αβ-=,1tan 7β=-,则2αβ-的值是〔 A .4π-B .4πC .34π-D .34π10.若41)3sin(=-απ,则)23cos(απ+等于 〔A .87-B .41-C .41D .8711.已知sin()cos 2y x x π=+-,则y 的最小值和最大值分别为〔 〔A 9,28-〔B-2,98〔C 3,24-〔D-2,3412.函数2cos 2sin y x x =+,R ∈x 的值域是< >A .]1,0[B .]1,21[ C .]2,1[- D .]2,0[选择题答案:1-5______________________6-10____________________11-12__________ 二、填空题13.求值 ︒︒︒︒80cos 60cos 40cos 20cos =_________14.________10sin 130sin 2140cos 000=+15.tan20o +tan40o o tan40o的值是.16.20XX 在召开的国际数学家大会,会标是我国以古代数学家爽的弦图为基础设计的.弦图是由四个全等直角三角形与一个小正方形拼成的一个大正方形〔如图.如果小正方形的面积为1,大正方形的面积为25,直角三角形中较小的锐角为θ,那么cos2θ的值等于. 三、解答题17.已知函数()1sin cos f x x x =+.〔1求函数()f x 的最小正周期和单调递减区间; 〔2若tan 2x =,求()f x 的值.18.已知tan 2x =,19.已知.〔Ⅰ求tanα的值; 〔Ⅱ求的值.20.已知向量()2cos ,1,sin ,1,m 3m n x α⎛⎫=--= ⎪ ⎪⎝⎭与n 为共线向量,且,02πα⎡⎤∈-⎢⎥⎣⎦. 〔1求sin cos αα+的值; 〔2求sin 2sin cos ααα-的值.21.已知函数()cos (sin )f x x x x =,x ∈R . 〔1求()f x 的最小正周期和单调递增区间;〔2设0α>,若函数()()g x f x α=+为奇函数,求α的最小值. 22.如图,一块半径为1,圆心角为3π的扇形木板OPQ ,现要用其截出一块面积最大的矩形木板,下面提供了两种截出方案,试比较两种方案截出的最大矩形面积哪个最大?请说明理由..1 / 9参考答案1.B [解析]试题分析:∵211sin cos 222y x x ==-,∴该函数的最小正周期为22ππ=,故选B 考点:本题考查了二倍角公式及最小正周期点评:熟练运用二倍角公式及三角函数的最小正周期公式是解决此类问题的关键,属基础题 2.A [解析]试题分析:227cos 212sin 199αα=-=-=. 考点:同角三角函数关系,二倍角公式.[易错点晴]应熟悉公式的逆用和变形应用,公式的正用是常见的,但逆用和变形应用则往往容易被忽视,公式的逆用和变形应用更能开拓思路,培养从正向思维向逆向思维转化的能力,只有熟悉了公式的逆用和变形应用后,才能真正掌握公式的应用.三角函数式的化简要遵循"三看"原则:〔1一看"角",通过看角之间的差别与联系,把角进行合理的拆分,从而正确使用公式;〔2二看"函数名称",看函数名称之间的差异,从而确定使用的公式;〔3三看"结构特征",分析结构特征,找到变形的方向. 3.D [解析] 试题分析:因080sin 100sin =,故0000000cos80cos130sin100sin130cos(80130)cos 210-=+==,故应选D. 考点:两角和的余弦公式及运用. 4.C [解析] 试题分析:易得cos ,cos()cos cos[()]5105105ααββααβ--=-=⇒=--=-⨯2cos 22(10β=⇒=-=. 考点:三角恒等变换. 5.D [解析] 试题分析:44222222cos sin cos sin cos sin cos sin cos 888888884πππππππππ⎛⎫⎛⎫-=-+=-==⎪⎪⎝⎭⎝⎭ 考点:二倍角公式6.B [解析]试题分析:原式cos104cos10sin10︒=︒-︒2sin 20cos10sin10︒-︒=︒()2sin 3010cos10sin10︒-︒-︒=︒=. 考点:三角恒等变换. 7.C [解析]试题分析:()2333sin 1sin 1cos 24222y x x x ωππωω⎡⎤⎛⎫⎛⎫=+=-+=-⎪ ⎪⎢⎥⎝⎭⎝⎭⎣⎦,所以2ππω=,解得2ω=±,故选C.考点:1.二倍角公式;2.三角函数的周期 8.D [解析] 试题分析:()()()()234tan tan tan 155123ππαβαβπαβ--⎡⎤⎛⎫⎛⎫+--=-+=-==-⎡⎤ ⎪ ⎪⎢⎥⎣⎦+⨯-⎝⎭⎝⎭⎣⎦选D考点:正切差角公式9.C [解析]试题分析:根据1tan 7β=-,可知5(,)6πβπ∈,所以(,)6παβπ-∈-,结合()1tan 2αβ-=,从而求得52(,)63παβ-∈--,根据和角公式,可知11127tan 13114α-==+,所以有(0,)6πα∈,从而有52(,)62ππαβ-∈--,从而得到只有34π-符合题意,故选C . 考点:已知函数值求角.10.A. [解析]试题分析:∵41)3sin(=-απ,∴87)3(sin 21)]3(2cos[2=--=-απαπ,即87)]232cos(=-απ,∴87)]232(cos[)23cos(-=--=+αππαπ. 考点:1.二倍角公式;2.诱导公式.11.A [解析] 试题分析:.3 / 9()22219sin()cos 2sin 12sin 2sin sin 12sin 48y x x x x x x x π⎛⎫=+-=---=--=-- ⎪⎝⎭,因为1sin 1x -≤≤,所以1sin 4x =,min 98y =-,当sin 1x =-时,max 2y =.故A 正确. 考点:1诱导公式、二倍角公式;2二次函数求最值.12.A [解析]试题分析:因为2222cos 2sin 12sin sin 1sin y x x x x x =+=-+=- ,sin [1,1],x ∈-所以[0,1].y ∈考点:三角函数性质,二倍角余弦公式 13.116[解析] 试题分析:1sin 20cos 20cos 40cos8012cos 20cos 40cos60cos80cos 20cos 40cos802sin 20︒︒︒︒︒︒︒︒︒︒==考点:三角函数二倍角公式 14.21-[解析] 试题分析:原式等于()()21120cos 10130cos 10sin 130sin 10cos 130cos 10sin 130sin 210130cos 00000000000-==-=+=++故填:21-考点:两角和与差的三角函数 15 [解析] 试题分析:tan 20tan 40tan(2040)31tan 20tan 40++==-,即tan 20tan 4033tan 20tan 40+=-,代入可得tan 20tan 403tan 20tan 4033tan 20tan 403tan 20tan 403++=-+=.考点:两角和的正切函数. 16.725[解析]试题分析:由题意得,大正方形的边长为5,小正方形的边长为 1,∴1=5cosα-5sinα,∴cosα-sinα=15.由于α为锐角,cos 2α+sin 2α=1,∴cosα=45,sinα=35, ∴2327cos 22cos 112525θθ=-=-=考点:本题考查三角函数的应用点评:用三角函数来表示正方形的边长,列方程求解 17.〔1π=T ,减区间)](43,k 4[Z k k ∈++ππππ;〔257)(f =x . [解析]试题分析:〔1由三角函数的图象求单调减区间;〔2构造齐二次分式,弦化切.试题解析:)(1已知函数即1()1sin 22f x x =+,ππ==∴22T 令)(2232k 22Z k k x ∈+<<+ππππ,则)(43k 4Z k k x ∈+<<+ππππ,即函数()f x 的单调递减区间是)](43,k 4[Z k k ∈++ππππ;)(2由已知1tan 1tan tan cos sin cos cos sin sin 222222+++=+++=x x x x x x x x x y , ∴当2tan =x 时,571212222=+++=y . 考点:三角函数的图象和性质,三角求值. 18.12[解析]试题分析:利用诱导公式,倍角公式将所求式子化简,借助于同角间三角函数关系式转化为tan x 求解 试题解析:原式21tan 1sin cos sin sin 2)1sin 2(cos cos sin sin 1cos cos sin 2222===++=-+++=x x x xx x x x x x x x x 考点:三角函数公式及化简 19.〔Ⅰ13〔Ⅱ35[解析]试题分析:〔Ⅰ将已知条件按两角和的正切公式展开可求得tanα的值;〔Ⅱ将所求关系式整理为正余弦的其次分式,进而可转化为tan α表示,进而可求其值 试题解析:〔Ⅰ因为=,所以; 〔Ⅱ ===.考点:三角函数求值20.〔;〔2712..5 / 9[解析]试题分析:〔1由于两个向量共线,故()cos 11sin 03αα⎛-⨯--⨯= ⎝⎭,化简得sin cos 3αα+=;〔2对sin cos 3αα+=两边平方,求得7sin 29α=-,进而求得4sin cos 3αα-=-,所以sin 27sin cos 12ααα=-.试题解析:〔1∵m 与n 为共线向量,∴()cos 11sin 03αα⎛-⨯--⨯= ⎝⎭,即sin cos 3αα+=; 〔2∵()221sin 2sin cos 9ααα+=+=, ∴7sin 29α=-, ∴()216sin cos 1sin 29ααα-=-=, 又∵,02a π⎡⎤∈-⎢⎥⎣⎦,∴sin cos 0αα-<, ∴4sin cos 3αα-=-, ∴sin 27sin cos 12ααα=-. 考点:三角恒等变换,齐次方程.21.〔1最小正周期π=T ,单调递增区间为Z k k k ∈+-],12,125[ππππ;〔2α的最小值为3π. [解析]试题分析:〔1利用三角函数的诱导公式将)(x f 化简为)(x f )32sin(π+=x ,即可解得到)(x f 的最小正周期,及单调递增区间;〔2根据〔1得到函数)(x g 的解析式,因为)(x g 是奇函数,得到Z k k ∈-=,62ππα,从而求解α的最小值. 试题解析:〔1解:)1cos 2(23cos sin 23)cos 3(sin cos )(2-+=-+=x x x x x x x f)32sin(2cos 232sin 21π+=+=x x x ,所以函数)(x f 的最小正周期ππ==22T . 由Z k k x k ∈+≤+≤-,223222πππππ, 得12125ππππ+≤≤-k x k , 所以函数)(x f 的单调递增区间为Z k k k ∈+-],12,125[ππππ. 〔注:或者写成单调递增区间为Z k k k ∈+-),12,125(ππππ.〔2解:由题意,得)322sin()()(παα++=+=x x f x g , 因为函数)(x g 为奇函数,且R x ∈,所以0)0(=g ,即0)32sin(=+πα, 所以Z k k ∈=+,32ππα,解得Z k k ∈-=,62ππα,验证知其符合题意. 又因为0>α, 所以α的最小值为3π.考点:三角函数的图象和性质. 22.方案一求得的最大矩形面积最大63. [解析]试题分析:引入α=∠BOP ,用正弦定理求边长,用二倍角公式,辅助角公式化简,求函数的最值.试题解析:方案一的解答见教材141页例4,下面给出方案二的解答: 设α=∠BOP ,)6,0(πα∈,απαsin 26sinsin ==AB ,)6sin(2απ-=AD ,3)62cos(2--=πα,因为)6,0(πα∈, 所以)6,6(62πππα-∈-,当062=-πα即12πα=时,ABCD S 有最大值32-。
必修四 三角恒等变换单元检测一、选择题(本大题共10小题,每小题5分,共50分.在每小题给出的四个选项中,只有一项是符合题目要求的)1.已知sin α=35且α∈⎝⎛⎭⎫π2,π,那么sin 2αcos 2α的值等于( ). A .-34 B .34 C .-32 D .322.函数f (x )=sin 2x -cos 2x 的最小正周期是( ).A .π2B .πC .2πD .4π3.已知cos 78°约等于0.20,那么sin 66°约等于( ).A .0.92B .0.85C .0.88D .0.954.若cos θ=-35,且180°<θ<270°,则tan θ2的值为( ).A .2B .-2C .±2D .±125.函数f (x )=3sin 2x -cos 2x 的图象可以由函数g (x )=4sin x cos x 的图象________得到.( ).A .向右移动π12个单位B .向左移动π12个单位C .向右移动π6个单位D .向左移动π6个单位6.在△ABC 中,已知tan A +B2=sin C ,则△ABC 的形状为( ).A .正三角形B .等腰三角形C .直角三角形D .等腰直角三角形 7.已知cos(α-β)=35,sin β=-513,且α∈⎝⎛⎭⎫0,π2,β∈⎝⎛⎭⎫-π2,0,则sin α=( ). A .3365 B .6365 C .-3365 D .-63658.当函数y =sin ⎝⎛⎭⎫π3+x cos ⎝⎛⎭⎫π3-x 取得最大值时,tan x 的值为( ).A .1B .±1C . 3D .-19.已知tan α、tan β是方程x 2+33x +4=0的两个根,且-π2<α<π2,-π2<β<π2,则角α+β的大小为( ).A .π6B .-2π3C .π6或-5π6D .-π3或2π310.已知A ,B ,C 是△ABC 的三个内角,设f (B )=4sin B ·cos 2⎝⎛⎭⎫π4-B 2+cos 2B ,若f (B )-m <2恒成立,则实数m 的取值范围是( ).A .m <1B .m >-3C .m <3D .m >1二、填空题(本大题共5小题,每小题5分,共25分.请把正确的答案填在题中的横线上) 11.已知cos α=35,且α∈3,22ππ⎛⎫⎪⎝⎭,则cos(3πα- )=____ 12.若(tan α-1)(tan β-1)=2,则α+β=________. 13.已知a =sin 14°+cos 14°,b =sin 16°+cos 16°,c =62,则a ,b ,c 从大到小的关系是________. 14.给定两个长度为1的平面向量OA →和OB →,它们的夹角为120°.如图,点C 在以O 为圆心的圆弧AB 上变动,若OC →=xOA →+yOB →,其中x ,y ∈R ,则x +y 的最大值是________. 15.关于函数f (x )=cos ⎝⎛⎭⎫2x -π3+cos ⎝⎛⎭⎫2x +π6,有下列说法: ①y =f (x )的最大值为2;②y =f (x )是以π为最小正周期的周期函数; ③y =f (x )在区间⎝⎛⎭⎫π24,13π24上单调递减;④将函数y =2cos 2x 的图象向左平移π24个单位后,将与已知函数的图象重合.其中正确说法的序号是________.(注:把你认为正确的说法的序号都填上) 三、解答题(本大题共6小题,共75分.解答应写出文字说明、证明过程或演算步骤) 16.(本小题满分12分)已知cos ⎝⎛⎭⎫π4+x =35,求sin 2x -2sin 2x 1-tan x 的值.17.(本小题满分12分)求值:cos 40°++3sin 70°1+sin 50°.18.(本小题满分12分)已知锐角α,β满足tan(α-β)=sin 2β,求证:2tan 2β=tan α+tan β.19.(本小题满分13分)已知A ,B ,C 为△ABC 的三个内角,且A <B <C ,sin B =45,cos(2A +C )=-45,求cos 2A的值.20.(本小题满分13分)已知tan α=-13,cos β=55,α,β∈(0,π).(1)求tan(α+β)的值;(2)求函数f (x )=2sin(x -α)+cos(x +β)的最大值.21.(本小题满分13分)设函数f (x )=a ·b ,其中向量a =(2cos x,1),b =(cos x ,3sin 2x +m ).(1)求函数f (x )的最小正周期和在[0,π]上的单调递增区间. (2)当x ∈⎣⎡⎦⎤0,π6时,-4<f (x )<4恒成立,求实数m 的取值范围.必修四三角恒等变换参考答案 CBABA CAABD 11.10343- 12.k π-π4,k ∈Z 13.b >c >a 14.2 15.①②③16.解 sin 2x -2sin 2x 1-tan x =cos x ·2sin x cos x -sin xcos x -sin x =sin 2x=-cos ⎝⎛⎭⎫2x +π2=-2cos 2⎝⎛⎭⎫x +π4+1=-2×925+1=725. 17.解cos 40°++3sin 70°1+sin 50°=cos 40°+sin 50°⎝⎛⎭⎫1+3sin 10°cos 10°cos 20°1+cos 40°=cos 40°+cos 40°·+cos 10°2cos 220°=cos 40°+12cos 220°= 2.18.证明 ∵tan(α-β)=sin 2β, tan(α-β)=tan α-tan β1+tan αtan β,sin 2β=2sin βcos β=2sin βcos βsin 2β+cos 2β=2tan β1+tan 2β, ∴tan α-tan β1+tan αtan β=2tan β1+tan 2β,整理得:tan α=3tan β+tan 3β1-tan 2β.∴tan α+tan β=3tan β+tan 3β+tan β-tan 3β1-tan 2β=2×2tan β1-tan 2β=2tan 2β. 19.解 ∵A <B <C ,A +B +C =π,∴0<B <π2,A +C >π2,0<2A +C <π.∵sin B =45,∴cos B =35.∴sin(A +C )=sin(π-B )=45,cos(A +C )=-35.∵cos(2A +C )=-45,∴sin(2A +C )=35.∴sin A =sin[(2A +C )-(A +C )]=35×⎝⎛⎭⎫-35-⎝⎛⎭⎫-45×45=725. ∴cos 2A =1-2sin 2A =527625.20.解 (1)由cos β=55,β∈(0,π),得sin β=255,即tan β=2. ∴tan(α+β)=tan α+tan β1-tan αtan β=-13+21+23=1.(2)∵tan α=-13,α∈(0,π),∴sin α=110,cos α=-310.∴f (x )=-355sin x -55cos x +55cos x -255sin x =-5sin x .∴f (x )的最大值为 5.21.解 (1)f (x )=2cos 2x +3sin 2x +m =2sin ⎝⎛⎭⎫2x +π6+m +1. ∴函数f (x )的最小正周期T =π,在[0,π]上的单调递增区间为⎣⎡⎦⎤0,π6,⎣⎡⎦⎤2π3,π. (2)∵当x ∈⎣⎡⎦⎤0,π6时,f (x )单调递增,∴当x =π6时,f (x )的最大值等于m +3.当x =0时,f (x )的最小值等于m +2.由题设知⎩⎪⎨⎪⎧m +3<4m +2>-4,解得-6<m <1。
三角恒等变换综合(讲义)精讲精练1. 若5π7π22α≤≤等于( ) A .2cos2α-B .2cos2αC .2sin2α-D .2sin2α2.) A .sin 2B .cos 2-C.D23. 已知2sin sin 3x y -=-,2cos cos 3x y -=,且x ,y 为锐角,则tan()x y -的值是( )A.5 B.5-C.5± D.28±4. 设ππ(0)(0)22αβ∈∈,,,,且1sin tan cos βαβ+=,则( ) A .π32αβ-= B .π22αβ-=C .π32αβ+=D .π2+2αβ=5. 若sin cos 1sin cos 2αααα+=-,则tan 2α=( ) A .34-B .34C .43-D .436. 已知1tan 3θ=,则21cos sin 22θθ+=( )A .65-B .45-C .45D .657. 已知tan 2θ=,则22sin sin cos 2cos θθθθ+-=( )A .43-B .54C .34- D .458. 已知111cos sin αα-=,则sin 2α=( )A 1B .1C .2D .2-9. 已知α为第二象限角,sin cos 3αα+=,则c o s 2α=( )A .B .-C .D .10. 若cos 2sin αα+=tan α=( )A.12B.2 C.12-D.-211.已知1cos sin21cos sinx xx x-+=-++,则sin x=()A.45B.45-C.35-D.12.化简:(1)222cos1ππ2tan()sin()44ααα-=-+_________;(2)23(4cos122)sin12︒-︒-⋅︒=_________;(3)2sin20cos10sin10︒-︒=︒_______.13.求值:(1)设sin 2α=-sin α,π(π)2α∈,,则tan 2α的值为_____;(2)已知tan α=11cos()14αβ+=-,π02α<<,π02β<<,则cos β的值为_________;(3)已知tan()4αβ+=,tan()2αβ-=,则sin 4α的值为_________.【参考答案】1.C 2.C 3.B 4.B 5.B 6.D 7.D 8.C 9.A 10.B 11.B12.(1)1;(2)-;(3)13.(1)(2)12;(3)8485-恒等变换综合(随堂测试)1.若cos 2sin()4αα=π-,则cos sin αα+的值为( )A.-B .12-C .12D.2. 若π(π)2α∈,,1sin cos 2αα+=,则tan α=______.3. 已知sin sin 1αβ+=,cos cos 0αβ+=,则cos()αβ-的值为___________.【参考答案】1.C2.3.1 2 -三角恒等变换综合(习题)巩固练习1.已知1sin cos 5θθ+=,且π3π24θ≤≤,则cos 2θ=( ) A .725B .725-C .2425-D .1252.已知θ为第二象限角,225sin sin 240θθ+-=,则cos2θ的值为( )A .53-B .53±C .22D .54±3.已知θ是第三象限的角,且445sin cos 9θθ+=,那么sin2θ的值为( )A.B.C .23 D .23-4.已知111cos sin αα-=,则sin 2α的值为( ) A1B .12-C.2 D.2-5.已知sin cos αα-=,(0π)α∈,,则tan α=( )A .-1B .2-C .2D .16.设(2cos sin )(sin cos 3)0x x αα-++=,则x x x tan 12sin cos 22++的值为( )A .85B .58C .25D .527.若1tan 4tan θθ+=,则sin2θ=( )A .15B .14C .13D .128.设α为第四象限的角,若sin 313sin 5αα=,则tan2α=_________.9.已知sin 2cos 0θθ+=,则θθθ2cos 12sin 2cos +-的值为_________.10.若3sin cos 0θθ-=,则21cos sin 22θθ+的值是_________.11.已知1sin sin 4αβ+=,1cos cos 3αβ+=,则tan()αβ+的值为__________.12.已知1sin cos 3αα+=,则cos 4α=_____________.13.已知函数2()(1cos2)sin f x x x =+(x ∈R ),则()f x 是( )A .最小正周期为π的奇函数B .最小正周期为π的偶函数C .最小正周期为2π的奇函数D .最小正周期为2π的偶函数14.当0<x <2π时,函数21cos 28sin ()sin 2x x f x x ++=的最小值为( ) A .2B. C .4D.15.函数2474sin cos 4cos 4cos y x x x x =-+-的最大值为______.16. 已知函数211π()sin 2sin cos cos sin()222f x x x ϕϕϕ=+-+(0<φ<π),其图象过点π1()62,.(1)求φ的值;(2)将函数()y f x =的图象上各点的横坐标缩短到原来的12,纵坐标不变,得到函数y =g (x )的图象,求函数g (x )在π[0]4,上的最大值和最小值.【参考答案】1.B 2.B 3.A 4.C 5.A 6.C 7.D8.34-11 9.1610.6511.24712.4781-13.D14.C15.1016.(1)3π;(2)最大值:12,最小值:14-。
三角恒等变换检测题(含详解)一 选择题1.sin34sin 26cos34cos26︒︒-︒︒= ( ) A .12 B .12- C.2 D.2-2.若1tan()47πα+=,则tan α=( )(A )34 (B )43 (C )34- (D )43-3.22cos sin 88ππ-等于( )A .0B .22C .1D .-224.已知,,则的值为( ) A.B.C.D.5.在△ABC 中,内角A ,B ,C 的对边分别为a ,b ,c.若sin Acos C +sin Ccos A =12,且a >b ,则∠B 等于 ( ) A.56π B.23π C.3π D.6π 6.若cos 22sin()4απα=--,则cos α+sin α的值为( ) A.2-B .12-C .12 D.27.已知tan (α﹣β)=,且α,β∈(0,π),则2α﹣β=( )A .B .C .D .8.若αβ、均为锐角,且2sin sin()ααβ=+,则αβ与的大小关系为 ( ) A . αβ> B. αβ< C. αβ≤ D. 不确定9.在ABC ∆中,内角A B C ,,所对的边分别是,,a b c ,已知85,2b c C B ==,则c o s C =( )A.725 B .725- C .725± D.242510.在ABC ∆中,1tan tan 3A B =,当tan C 取得最大值时三角形的形状是 ( ) A.等腰三角形 B.直角三角形 C.等腰直角三角形 D.等边三角形二、填空题11.若1sin()cos()2x x ππ+++=,则=x 2sin . 12.已知2sin 3cos 0θθ+=,则tan2θ=________.13.已知2)4tan(=+πα,则ααααcos 2sin cos 2sin -+的值是 .14.若34παβ+=,则(1tan )(1tan )αβ--= __________ .15.观察以下各式:222222223sin 30cos 60sin 30cos 60,43sin 20cos 50sin 20cos50,43sin 15cos 45sin15cos 45,43sin 5cos 35sin 5cos35.4︒+︒+︒︒=︒+︒+︒︒=︒+︒+︒︒=︒+︒+︒︒= 分析以上各式的共同特点,则具有一般规律的等式为 ________________ .16.已知函数)2||,0,0(,)sin(πϕωϕω<>>++=A K x A y 的值域为]5,1[,其图象过点),23,0(-两条相邻对称轴之间的距离为,3π则此函数解析式为17.已知()⎪⎪⎭⎫ ⎝⎛+βαα2sin sin ,1A ,()⎪⎪⎭⎫ ⎝⎛--1,22sin sin βααB ,且0=⋅,0sin ≠β 0cos sin =-βαk ,则k = .三、解答题18.已知函数f(x)cos 12x π⎛⎫-⎪⎝⎭,x ∈R. (1)求f 6π⎛⎫-⎪⎝⎭的值; (2)若cos θ=35,θ∈3,22ππ⎛⎫ ⎪⎝⎭,求f 23πθ⎛⎫+ ⎪⎝⎭.19.已知tan α=11cos()14αβ+=-, 且︒<<︒900α,︒<<︒900β, 求β的值.20.已知向量33(cos,sin ),(cos ,sin )2222x x a x x b ==-,且[0,]2x π∈,求:(1)a b ⋅及||a b +;(2)若()2||f x a b a b λ=⋅-+的最小值为32-,求实数λ的值.21.已知1)4(cos 2)sin (cos 3)(222++--=πx x x x f 的定义域为[2,0π].(1)求)(x f 的最小值.(2)ABC ∆中,45=A ,23=b ,边a 的长为6,求角B 大小及ABC ∆的面积.22 (1)求函数)(x f 的最大值,并写出)(x f 取最大值时x 的取值集合; (2)已知ABC ∆中,角C B A ,,的对边分别为.,,c b a 若求实数a 的最小值.参考答案1.B 【解析】试题分析:sin34sin 26cos34cos26︒︒-︒︒=1cos(3426)cos602-??-?-. 考点:两角和差的公式. 2.(C ) 【解析】试题分析:由1tan()47πα+=所以tan 113,tan 1tan 74ααα+=∴=--.故选(C ). 考点:1.角的和差公式.2.解方程的思想.3.B 【解析】 试题分析:22cossin 88ππ-=cos 42π=,故选D . 考点:二倍角公式.4.A【解析】因为,所以,所以,即.又,所以,即.又,故应选A.5.D 【解析】试题分析:1sin cos sin cos sin()sin()sin 2A C C A A CB B π+=+=-==,因为a b >,所以B 为锐角,即6B π=。
注:尊敬的各位读者,本文是笔者教育资料系列文章的一篇,由于时间关系,如有相关问题,望各位雅正。
希望本文能对有需要的朋友有所帮助。
如果您需要其它类型的教育资料,可以关注笔者知识店铺。
由于部分内容来源网络,如有部分内容侵权请联系笔者。
第 三 章 《 三 角 恒 等 变 换 》自 我 检 测 题(45分钟)一、选择题:本大题共6小题;每小题6分,共36分.在每小题给出的四个选项中,只有一项是符合题目要求的.⒈cos555的值是 ( )A.4B.4-C. 4D.4⒉化简22cos sin 44ππαα⎛⎫⎛⎫--- ⎪ ⎪⎝⎭⎝⎭得到 ( ) A.sin 2αB.sin 2α-C.cos 2αD.cos 2α- ⒊已知4cos 5α=-,3sin 5α=,那么角2α的终边所在的象限为 ( ) A.第一象限 B.第二象限 C.第三象限 D.第四象限⒋对于等式sin 3sin 2sin x x x =+,下列说法正确的是 ( )A.对于任意x ∈R ,等式都成立B. 对于任意x ∈R ,等式都不成立C.存在无穷多个x ∈R 使等式成立D.等式只对有限多个x ∈R 成立 ⒌已知1tan 2α=,2tan()5αβ-=-,那么tan(2)βα-的值为 ( ) A.34- B.112- C.98- D.98 ⒍函数6cos 2cos sin 2sin 55y x x ππ=-的递增区间为 ( ) A.3[,]105k k ππππ++(k ∈Z ) B.37[,]2020k k ππππ-+(k ∈Z ) C.3[2,2]105k k ππππ++(k ∈Z ) D.2[,]510k k ππππ-+(k ∈Z ) 二、填空题:本大题共4小题,每小题6分,共24分.把答案填在题中横线上.⒎化简:sin(30)sin(30)cos ααα++-= . ⒏等腰三角形一个底角的余弦为23,那么这个三角形顶角的正弦值为 . ⒐已知1cos 29α=-,那么22tan sin αα⋅的值为 . ⒑已知13sin 5cos 9αβ+=,13cos 5sin 15αβ+=,那么sin()αβ+的值为 .三、解答题:本大题共2小题,每小题20分,共40分.解答应写出文字说明,证明过程及演算步骤.⒒设cos 5α=-,1tan 3β=,32ππα<<,02πβ<<,求αβ-的值. ⒓已知442()2sin 2cos cos 23f x x x x =++-.⑴求函数()f x 的最小正周期;⑵求函数()f x 在闭区间3[,]1616ππ上的最小值并求当()f x 取最小值时,x的取值.参考答案一、选择题:B A D C B D二、填空题:⒎1 ⒐2536 ⒑5665 三、解答题: ⒒54π⒓⑴2π⑵当316x π=时,()f x 的最小值为注:尊敬的各位读者,本文是笔者教育资料系列文章的一篇,由于时间关系,如有相关问题,望各位雅正。
专题五《三角恒等变换》综合检测题含答案
一、选择题,本大题共10小题,每小题4分,满分40分,在每小题给出的四个选项中,只有一项是符合题目要求的.
1. sin105cos105的值为 ( )
A.14 B.-1
4
2. 函数21()cos 2
f x x =-
的周期为 ( )
A.
4π B.2
π
C.2π D.π 3. 已知2tan()5αβ+=
,1
tan()44
πβ-=,则tan()4πα+等于 ( ) A.1
6 B.
1322 C.322 D.1318
4. 化简1cos 2tan cot
22
ααα+-,其结果是 ( )
A.1
sin 22α- B.1sin 22
α C.2sin α- D.2sin 2α
5. ( )
A.2sin 44cos 4
B.2sin 44cos 4
C.2sin 4
D.4cos 42sin 4-----
6. sin
12
12
π
π
的值为
( )
.0..2A B C D -7. 已知α为第三象限角,24
sin 25α=-
,则tan 2
α= ( ) 4A.
3
4B.3
-
3C.4
3D.4
-
8. 若()()11
sin ,sin 23
αβαβ+=-=,则tan tan αβ为 ( )
A.5 B .1- C.6 1
D.6
9. 已知锐角αβ、
满足sin αβ==
αβ+等于 ( )
3A.
4
π 3B.4
4
ππ或 C.4
π ()3D.24
k k π
π+∈Z
10. 下列函数f (x )与g (x )中,不能表示同一函数的是 ( )
A.()sin 2f x x = ()2sin cos g x x x = B.()cos 2f x x = 22()cos sin g x x x =- C.2()2cos 1f x x =- 2()12sin g x x =- D.()tan 2f x x = 22tan ()1tan x
g x x
=
-
二、填空题, 本大题共4小题,每小题3分,满分12分,把正确的答案写在题中横线上.
11. 已知cos α=
35,且α∈3,22ππ⎛⎫
⎪⎝⎭
,则cos(3πα- )=____. 12. 已知1sin cos 2
θθ-=,则33sin cos θθ-=____.
13. tan 20tan 403tan 20tan 40++的值是 . 14. ABC 中,3sin 5A =,5
cos 13
B =,则cos
C = .
三、解答题, 本大题共4小题,每小题12分,共48分,解答应写出必要的文字说明、
证明过程和演算步骤.
15. 求函数2()2cos 3sin f x x x =+在,22ππ⎡⎤
-⎢⎥⎣⎦
上的最值.
16. 已知α,β为锐角,1
tan 7
α=,sin 10β=,求2αβ+.
17. 已知2tan 3tan A B =,求证:sin 2tan()5cos 2B
A B B
-=-.
18. 已知函数2()5sin cos f x x x x =-(其中x ∈R ),求: (1)函数()f x 的最小正周期; (2)函数()f x 的单调区间;
(3)函数()f x 图象的对称轴和对称中心.
专题五《三角恒等变换》综合检测参考答案
一、选择题
二、填空题
1116 14. 16
65
三、解答题 15. y max =
25
8
, y min =-3 16. 4π 17. 略
18. (1)π (2)增区间:5,12
12k k π
πππ⎡⎤-
+
⎢⎥⎣
⎦
,减区间:511,1212k k ππππ⎡
⎤++⎢⎥⎣⎦,其中k ∈Z (3)对称轴方程:5,212k x ππ=+ 对称中心:,026k ππ⎛⎫
+ ⎪⎝⎭
,其中k ∈Z。