高等数学等价无穷小替换
- 格式:doc
- 大小:476.45 KB
- 文档页数:12
高等数学等价无穷小替换公式
高等数学中,等价无穷小是指两个无穷小在某一极限下的比值趋近于1。
等价无穷小替换公式是指在极限运算中,可以用一个等价无穷小代替另一个等价无穷小,而不改变极限的值。
以下是一些常见的高等数学等价无穷小替换公式:
1. 当x趋近于0时,sin(x)和x等价。
即:sin(x) ~ x。
2. 当x趋近于0时,tan(x)和x等价。
即:tan(x) ~ x。
3. 当x趋近于0时,1-cos(x)和x等价。
即:1-cos(x) ~ x。
4. 当x趋近于0时,e^x-1和x等价。
即:e^x-1 ~ x。
5. 当x趋近于0时,ln(1+x)和x等价。
即:ln(1+x) ~ x。
6. 当x趋近于0时,arcsin(x)和x等价。
即:arcsin(x) ~ x。
7. 当x趋近于0时,arctan(x)和x等价。
即:arctan(x) ~ x。
8. 当x趋近于0时,(1+x)^a-1和ax等价。
即:(1+x)^a-1 ~ ax。
9. 当x趋近于0时,(1+x)^n-1和nx等价。
即:(1+x)^n-1 ~ nx。
以上就是高等数学中常用的等价无穷小替换公式,掌握这些公式对于解题和理解极限概念都非常有帮助。
- 1 -。
高等数学等价替换公式当x→0时,sinx~xtanx~xarcsinx~xarctanx~x1-cosx~(1/2)*(x^2)~secx-1(a^x)-1~x*lna ((a^x-1)/x~lna)(e^x)-1~xln(1+x)~x(1+Bx)^a-1~aBx[(1+x)^1/n]-1~(1/n)*xloga(1+x)~x/lna(1+x)^a-1~ax(a≠0)值得注意的是,等价无穷小一般只能在乘除中替换,在加减中替换有时会出错(加减时可以整体代换,不能单独代换或分别代换)XXX工程项目部质量月活动总结根据公司《关于开展2011年质量月活动的通知》,积极响应以“建设质量强国共创美好生活”为主题的质量月活动,公用工程项目部组织开展了一系列“抓质量,促和谐”活动,在项目部领导的高度重视、精心组织、严格要求下,质量管理水平取得了显著的提高,现将活动有关情况总结如下:项目部领导十分重视本次质量月活动,9月2日,在公用工程项目部现场会议室召集项目部管理人员和施工队伍主要负责人召开了质量月活动动员大会,制定了本次质量月活动的目标、计划以及任务部署,并提出了四点要求:一是进一步提高员工的质量意识,时刻牢记施工人员和管理人员的质量责任;二是深化我们的质量安全文化,确立良好的工作方法,减少质量问题,尤其是低级错误、重复质量问题,防止重大质量事故的发生;三是通过“质量月”活动的有效开展,促进项目部“大干70天”生产目标的完成;四是借“质量月”活动开展的契机,有效地把活动主题贯穿于我们的施工生产之中,技术不断创新、管理不断完善、工程质量不断提高。
1、活动主题:恪守质量诚信,践行社会责任。
2、活动目标:大力实施质量兴企战略,全力打造“中化二建集团”品牌,为社会奉献“质量一流,用户满意”的优质产品。
这个问题很多人都搞不明白,很多自认为明白的人也不负责任地说一句“乘除可以,加减不行”,包括不少高校教师。
其实这种讲法是不对的!关键是要知道其中的道理,而不是记住结论。
1.做乘除法的时候一定可以替换,这个大家都知道。
如果f(x)~u(x),g(x)~v(x),那么lim f(x)/g(x) = lim u(x)/v(x)。
关键要记住道理lim f(x)/g(x) = lim f(x)/u(x) * u(x)/v(x) * v(x)/g(x)其中两项的极限是1,所以就顺利替换掉了。
2.加减法的时候也可以替换!但是注意保留余项。
f(x)~u(x)不能推出f(x)+g(x)~u(x)+g(x),这个是很多人说不能替换的原因,但是如果你这样看:f(x)~u(x)等价于f(x)=u(x)+o(f(x)),那么f(x)+g(x)=u(x)+g(x)+o(f(x)),注意这里是等号,所以一定是成立的!问题就出在u(x)+g(x)可能因为相消变成高阶的无穷小量,此时余项o(f(x))成为主导,所以不能忽略掉。
当u(x)+g(x)的阶没有提高时,o(f(x))仍然是可以忽略的。
比如你的例子,ln(1+x)+x是可以替换的,因为ln(1+x)+x=[x+o(x)]+x=2x+o(x),所以ln(1+x)+x和2x是等价无穷小量。
但是如果碰到ln(1+x)-x,那么ln(1+x)+x=[x+o(x)]-x=o(x),此时发生了相消,余项o(x)成为了主导项。
此时这个式子仍然是成立的!只不过用它来作为分子或分母的极限问题可能得到不定型而无法直接求出来而已。
碰到这种情况也不是说就不能替换,如果你换一个高阶近似:ln(1+x)=x-x^2/2+o(x^2)那么ln(1+x)-x=-x^2/2+o(x^2)这个和前面ln(1+x)-x=o(x)是相容的,但是是更有意义的结果,此时余项o(x^2)可以忽略。
也就是说用x-x^2/2作为ln(1+x)的等价无穷小量得到的结果更好。
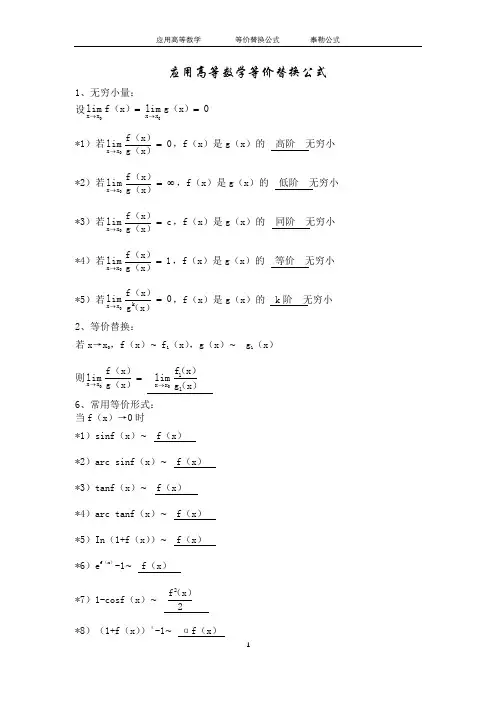
应用高等数学等价替换公式1、无穷小量:设0)x (g lim )x (f lim 0x x x x ==→→*1)若0)x (g )x (f limx x =→,f (x )是g (x )的 高阶 无穷小*2)若∞=→)x (g )x (f limx x ,f (x )是g (x )的 低阶 无穷小*3)若c )x (g )x (f limx x =→,f (x )是g (x )的 同阶 无穷小*4)若1)x (g )x (f limx x =→,f (x )是g (x )的 等价 无穷小*5)若0)x (g )x (f limkx x 0=→,f (x )是g (x )的 k 阶 无穷小 2、等价替换:若x →x 0,f (x )~ f 1(x ),g (x )~ g 1(x ) 则=→)x (g )x (f limx x )x (g )x (f lim 11x x 0→6、常用等价形式:当f (x )→0时*1)sinf (x )~ f (x ) *2)arc sinf (x )~ f (x ) *3)tanf (x )~ f (x ) *4)arc tanf (x )~ f (x ) *5)In (1+f (x ))~ f (x ) *6)ef (x )-1~ f (x )*7)1-cosf (x )~ 2)x (f 2*8)(1+f (x ))α-1~ αf (x )二、函数的连续: 1、间断点:*1)第一类间断点:f -(x 0)、f +(x 0)均 存在的 间断点 ⑴跳跃间断点: f -(x 0)≠f +(x 0) ⑵可去间断点: f -(x 0)=f +(x 0) *2)第二类间断点:f -(x 0)、f +(x 0)至少有一个 不存在的 间断点 ⑴无穷间断点: f -(x 0)、f +(x 0)中至少有一个为 ∞ ⑵振荡间断点: f -(x 0)、f +(x 0)中至少有一个 振荡不存在 三、导数:1、定义:)x (f '= x△)x (f -)x △x (f lim 000x △+→2、导数的常见形式: *1) 00x x 0x -x )x (f -)x (f lim)x (f 0→='*2) h )x (f -)h x (f lim)x (f 000h +='→*3) h)h x (f -)x (f lim)x (f 000h -='→3、切线方程:若曲线y=f (x )在点P (x 0,f (x 0)), 则 y-y 0=)x (f 0'(x-x 0) 注:*1)如果)x (f 0'=∞,则 x=x 0 *2)如果)x (f 0'=0,则 y=y 0 4、法线方程:若直线过点P (x 0,f (x 0)), 则 y-y 0=)x (f 10'-(x-x 0)5、基本公式:*1)=')C ( 0 *2)1-a a ax )x (=' *3)Ina a )a (x x ='*4)x x e )e (=' *5)xIna 1)x log (a ='*6)x 1 )Inx (='*7)cosx )sinx (=' *8)sinx - )cosx (=' *9)x sec )tanx (2=' *10)x csc - )cotx (2=' *11)tanx secx )secx (⋅=' *12)cotx cscx - )cscx (⋅=' *13)2x -11 )sinx arc (=' *14)2x -11-)cosx arc (='*15)2x 11)tanx arc (+=' *16)2x11- )cotx arc (+=' 6、四则运算:νμ和都有导数*1)νμνμ'±'='± )( *2)μμ'='c )c ( *3)νμνμνμ'+'='⋅ )( *4))0( )(2≠'-'='νννμνμνμ推论:*1)μμ'='c )c (*2)w w w w '+'+'='μννμνμμν )( *3)s w s w ws ws ws '+'+'+'='μνμννμνμμν )( 7、反函数求导法则:设y=f (x )与x=ϕ(y )(ϕ'(y )≠0)则)y (1)x (f ϕ'=' 或xy '= y x 1' 8、n 次导的常见公式:*1))n ()sinx (= )2nx (sin π+*2))2nx (cos )cosx ()n (π+=*3)()()n [In 1x ]+= n1-n )x 1(!)1-n ()1-(+ 9、参数方程求导:设函数)t (y ),t (x ),且b t a ()t (y )t (x ψϕψϕ==≤≤⎩⎨⎧==都可导,其中x=)t (ϕ'≠0,则函数的导数)t ()t ( dtdx dt dydx dy ϕψ''== 10、复合函数求导:若y=f (u ),u=ϕ(x ),且f (u )及ϕ(x )都可导,则复合函数y=f[ϕ(x )]的导数)x ()x (f dxdyϕ'⋅'= 11、隐函数求导:*1)方程F (x ,y )=0两边求导,解出y 或dx dy'*2)公式法:由F (x ,y )=0,则yx F F dx dy''-=*3)利用微分形式的不变性,方程两边求微分,然后解出dxdy注:y 是x 的函数 12、对数求导:将函数关系式两边取自然对数(成为隐函数形式),化简,然后两边两边求导,最后两边乘以y (x )注:适用于多个因式的乘、除、乘幂构成或幂指函数(y=u (x )v (x )) 13、高阶导数:*1)二阶导数:x △)x (f -)x △x (f lim)x (f 0x △'+'=''→ *2)三阶导数:x △)x (f -)x △x (f lim)x (f 0x △''+''='''→*4)n 阶导数:x△)x (f -)x △x (f lim)x (f)1-n ()1-n (0x △)1-n (+=→ 14、中值定理:*1)拉格朗日定理:若函数f (x )在闭区间[a ,b]上连续,在开区间(a ,b )内可导,则在(a ,b )内至少存在一点ξ,使得a-b )a (f -)b (f)(f ='ξ推论1:如果函数f (x )在区间(a ,b )内任意一点的导数)x (f '都等于零,你们函数f (x )在(a ,b )内是一个常数推论2:如果函数f (x )与g (x )在区间(a ,b )内每一点的导数)x (f '与)x (g '都相等,则这两个函数在区间(a ,b )内至多相差一个常数,即:f (x )= g (x )+C ,x ∈(a ,b )*2)罗尔定理:若函数f (x )在闭区间[a ,b]上连续,在开区间(a ,b )内可导,且f (a )=f (b ),则在(a ,b )内至少存在一点ξ,使得=')(f ξ 0 *3)柯西定理:若函数f (x )在闭区间[a ,b]上连续,在开区间(a ,b )内可导,且0)x (g ≠',则在(a ,b )内至少存在一点ξ,使得)a (g -)b (g )a (f -)b (f = )(g )(f ξξ''15、洛必达法则:*1)0型:设函数f (x )、g (x )满足: ⑴==→→)x (g lim )x (f lim 0x x x x 0⑵在点x 0的某去心邻域内)x (g )与x (f '' 都存在 ,且≠')x (g 0⑶)x (g )x (f lim 0x x ''→ 存在或为无穷 有:)x (g )x (f limx x →= )x (g )x (f lim0x x ''→*2)∞∞型: 设函数f (x )、g (x )满足: ⑴∞==→→ )x (g lim )x (f lim 0x x x x⑵在点x 0=的某去心邻域内)x (g )与x (f '' 都存在 ,且≠')x (g 0 ⑶)x (g )x (f limx x ''→ 存在或为无穷 有:)x (g )x (f limx x →= )x (g )x (f lim0x x ''→*3)其他未定型:⑴0·∞型:f (x )·g(x )转化成)x (f 1)x (g 或 )x (g 1)x (f ,一般将In 、arc 留在分子上⑵∞-∞型:通过通分、分子有理化、倒数代换或代数、三角恒等变形化为0型或∞∞型 ⑶0、0、1∞∞∞型:f (x )g (x )= e g (x )Inf (x ) = )x (g 1)x (Inf e16、函数单调性判定:设函数y=f (x )在开区间(a ,b )内可导*1)如果函数y=f (x )在(a ,b )内,0)x (f >',则函数y=f (x )在(a ,b )内单调递 增 ;*2)如果函数y=f (x )在(a ,b )内,0)x (f <',则函数y=f (x )在(a ,b )内单调递 减 ; 17、函数的极值:*1)如果函数y=f (x )在点x 0及其左右近旁有定义,且对于x 0近旁的任何一点x (x ≠x 0)的函数值f (x )均有:⑴f (x )<f (x 0),则f (x 0)称为函数y=f (x )的 极大值 ,点x 0称为函数y=f (x )的 极大值点⑵f (x )>f (x 0),则f (x 0)称为函数y=f (x )的 极小值 ,点x 0称为函数y=f (x )的 极小值点 *2)驻点:=')x (f 0 0 的点 *3)极值第一充分条件:设点x 0是f (x )可能的极值点(0)x (f 0='或)x (f 0'不存在)⑴当0 )x (f )时,x ,-x (x 00>'∈δ;0 )x (f )时,x ,x (x 00<'+∈δ,则x 0为极大值点⑵当0 )x (f )时,x ,-x (x 00<'∈δ;0 )x (f )时,x ,x (x 00>'+∈δ,则x 0为极小值点⑶当⋃∈)x ,-x (x 00δ)x ,x (00δ+,)x (f ' 同号 ,则x 0不是极值点 *4)极值的第二充分条件:设y=f (x )在点x 0处有一、二阶导数,且)x (f 0'= 0⑴如果)x (f 0'' > 0,则函数y=f (x )在点x 0处取得最小值f (x 0) ⑵如果)x (f 0'' < 0,则函数y=f (x )在点x 0处取得最大值f (x 0) 18、曲线凹凸性:*1)若对于x ∈(a ,b )时,0)x (f >'',则曲线在(a ,b )上为 凹 ,用符号“ ⋂ ” 表示*2)若对于x ∈(a ,b )时,0)x (f <'',则曲线在(a ,b )上为 凸 ,用符号“ ⋃ ” 表示 6、曲线拐点:设f (x )在x 0的某个邻域内二阶可导,且='')x (f 0 0 ,若x 0两侧)x (f 0'' 改变 符号,则 (x 0,f (x 0)) 为曲线的拐点 19、曲线的渐近线:*1)水平渐近线:如果函数y=f (x )的定义域是无穷区间,且b )x (f lim x =∞→,则y= b*2)垂直渐近线:如果函数y=f (x )在x=x 0处间断,且∞=→)x (f lim 0x x ,则x=x 0*3)斜渐近线:如果函数y=f (x )定义在无穷区间,且a x)x (f limx =∞→,b ax]-)x ([f lim x =∞→,则y= ax+b20、经济学与导数:*1)利润:L (Q )= R (Q )-C(Q) *2)边际利润:)Q (C -)Q (R Q)(L ''=' *3)函数弹性:)x (f )x (f xEx Ey '=*4)需求弹性(供给函数):)p (Q )Q(p p)p (0000'=η 注:⑴当|η| < 1时,为低弹性,此时需求变动幅度 小于 价格变动幅度。
那个问题很多人都弄不明白,很多自以为明白的人也不负责任地说一句“乘除能够,加减不行”,包括很多高校教师。
其实这种讲法是不对的!关键是要明白其中的道理,而不是记住结论。
1•做乘除法的时候必然能够替换,那个大伙儿都明白。
若是f(x)〜u(x), g(x)〜v(x),那么lim f(x)/g(x) = lim u(x)/v(x)o关键要记住道理lim f(x)/g(x) = lim f(x)/u(x) * u(x)/v(x) * v(x)/g(x)苴中两项的极限是1,因此就顺利替换掉了。
2.加减法的时候也能够替换!可是注意保留余项。
f(x)〜u(x)不能推岀f(x)+g(x)〜u(x)+g(x),那个是很多人说不能替换的缘故,可是若是你如此看:f(x)〜u(x)等价于f(x)=u(x)+o(f(x)),那么f(x)+g(x)=u(x)+g(x)+o(f(x)),注意那个地址是等号,因此必然是成立的!问题就出在u(x)+g(x)可能因为相消变成髙阶的无穷小量,现在余项o(f(x))成为主导,因此不能忽略掉。
当u(x)+g(x)的阶没有提高时,o(f(x))仍然是能够忽略的。
比如你的例子,ln(1+x)+x是能够替换的,因为ln(1 +x)+x=[x+o(x)]+x=2x+o(x),因此ln(1+x)+x和2x是等价无穷小量。
可是若是碰着ln(1+x)-x,那么ln(1 +x)+x=[x+o(x)]-x=o(x),现在发生了相消,余项o(x)成了主导项。
现在那个式子仍然是成立的!只只是用它来作为分子或分母的极限问题可能取得不定型而无法直接求出来罢了。
碰着这种情形也不是说就不能替换,若是你换一个高阶近似:ln(1 +x)=x-x A2/2+o(x A2)那么ln(1 +x)-x=-x A2/2+o(x A2)那个和前而ln(1+x)-x=o(x)是相容的,可是是更成心义的结果,现在余项0(x^2)能够忽略。
高等数学等价无穷小的几个常用公式在高等数学的学习中,等价无穷小是一个非常重要的概念,它在求极限等问题中有着广泛的应用。
等价无穷小的本质是在某个极限过程中,两个函数的比值趋近于 1。
下面我们来介绍几个常用的等价无穷小公式。
当$x \to 0$时,有以下几个常见的等价无穷小:1、$\sin x \sim x$这意味着当$x$趋近于 0 时,$\sin x$和$x$的比值趋近于 1。
我们可以通过泰勒展开来理解这个等价关系。
$\sin x$的泰勒展开式为$x \frac{x^3}{3!}+\frac{x^5}{5!}\cdots$,当$x$很小时,高次项可以忽略不计,所以$\sin x$近似等于$x$。
2、$\tan x \sim x$同理,$\tan x$在$x \to 0$时,也与$x$等价。
因为$\tan x =\frac{\sin x}{\cos x}$,而$\cos x \to 1$(当$x \to 0$),所以$\tan x$与$\sin x$在$x \to 0$时具有相似的性质。
3、$\ln(1 + x) \sim x$对于对数函数$\ln(1 + x)$,当$x \to 0$时,它与$x$等价。
我们可以通过对$\ln(1 + x)$进行泰勒展开来证明这一点。
4、$e^x 1 \sim x$指数函数$e^x$在$x \to 0$时,$e^x 1$与$x$等价。
因为$e^x$的泰勒展开式为$1 + x +\frac{x^2}{2!}+\frac{x^3}{3!}+\cdots$,所以$e^x 1$在$x$很小时近似等于$x$。
5、$1 \cos x \sim \frac{1}{2}x^2$当$x \to 0$时,$1 \cos x$与$\frac{1}{2}x^2$等价。
同样可以通过$\cos x$的泰勒展开式来理解。
这些等价无穷小公式在求极限时非常有用,能够大大简化计算。
例如,计算$\lim_{x \to 0} \frac{\sin x}{x}$,由于$\sin x \sim x$(当$x \to 0$),所以该极限的值为 1。
分式中等价无穷小代换规则
分式中等价无穷小代换规则是高等数学中的一个重要概念,在分析数学、微积分、常微分方程等领域都有广泛的应用。
换言之,在这些领域中,当分式分母的值非常小或趋于0时,等价无穷小代换规则可以帮助我们简化计算,得到更加精确的结果。
具体来说,等价无穷小代换规则的公式如下:
设$\lim_{x\to a}\frac{f(x)}{g(x)}=0$,则$f(x)$与$g(x)$是等价无穷小,并且有$\lim_{x\to a}\frac{f(x)}{g(x)}=1$。
这个规则可以解释为,当$f(x)$和$g(x)$的极限趋于0时,我们可以将$f(x)$与$g(x)$视为等价的;即$f(x)$在$x$趋近于$a$时与$g(x)$的表现近乎相同。
在实际计算过程中,我们可以将分式中的
$f(x)$替换为$g(x)$来简化计算,而不会对结果产生显著的影响。
要注意的是,该规则只适用于$x$趋近于$a$的情况。
在其他情况下,等价无穷小代换规则可能不适用,因此需要确定当$x$趋近于
$a$时函数的极限。
总的来说,等价无穷小代换规则是分析数学中非常重要的一个概念,可以方便准确地计算数学问题。
在实际应用中,需要灵活掌握这个规则的使用方法,并在合适情况下进行判断。
⾼等数学等价⽆穷⼩替换_极限的计算讲义⽆穷⼩极限的简单计算【教学⽬的】1、理解⽆穷⼩与⽆穷⼤的概念;2、掌握⽆穷⼩的性质与⽐较会⽤等价⽆穷⼩求极限;3、不同类型的未定式的不同解法。
【教学内容】1、⽆穷⼩与⽆穷⼤;2、⽆穷⼩的⽐较;3、⼏个常⽤的等价⽆穷⼩等价⽆穷⼩替换;4、求极限的⽅法。
【重点难点】重点就是掌握⽆穷⼩的性质与⽐较⽤等价⽆穷⼩求极限。
难点就是未定式的极限的求法。
【教学设计】⾸先介绍⽆穷⼩与⽆穷⼤的概念与性质(30分钟),在理解⽆穷⼩与⽆穷⼤的概念与性质的基础上,让学⽣重点掌握⽤等价⽆穷⼩求极限的⽅法(20分钟)。
最后归纳总结求极限的常⽤⽅法与技巧(25分钟),课堂练习(15分钟)。
【授课内容】⼀、⽆穷⼩与⽆穷⼤1、定义前⾯我们研究了∞→n 数列n x 的极限、∞→x (+∞→x 、+∞→x )函数()x f 的极限、0x x →(+→0x x 、-→0x x )函数()f x 的极限这七种趋近⽅式。
下⾯我们⽤→x *表⽰上述七种的某⼀种趋近⽅式,即*{}-+→→→-∞→+∞→∞→∞→∈00x x x x x x x x x n定义:当在给定的→x *下,()f x 以零为极限,则称()f x 就是→x *下的⽆穷⼩,即()0lim =→x f x *。
例如, ,0sin lim 0=→x x Θ .0sin 时的⽆穷⼩是当函数→∴x x,01lim=∞→x x Θ .1时的⽆穷⼩是当函数∞→∴x x,0)1(lim =-∞→nn n Θ .})1({时的⽆穷⼩是当数列∞→-∴n n n【注意】不能把⽆穷⼩与很⼩的数混淆;零就是可以作为⽆穷⼩的唯⼀的数,任何⾮零常量都不就是⽆穷⼩。
定义: 当在给定的→x *下,()x f ⽆限增⼤,则称()x f 就是→x *下的⽆穷⼤,即()∞=→x f x *lim 。
显然,∞→n 时,Λ、、、32n n n 都就是⽆穷⼤量, 【注意】不能把⽆穷⼤与很⼤的数混淆;⽆穷⼤就是极限不存在的情形之⼀。
极限等价无穷小替换是高等数学中的一个重要概念,它对于解决极限问题至关重要。
通过等价无穷小替换,我们可以将复杂的极限问题转化为更容易处理的形式,从而加快解题速度。
下面我将通过一些具体的题目,展示如何运用极限等价无穷小替换来解决问题。
题目:求极限lim(x→0) (1 + x - 1)(2 + x^2 - 1)(1 + x^3 - 1)...(1 + x^n - 1),其中n为正整数。
分析:本题是一个复杂的极限问题,涉及到多个乘积项,而且每一项都包含变量x的幂次。
为了简化计算,我们可以利用极限等价无穷小替换,将每一项中的x用泰勒级数展开式替换为无穷小量ε,再利用ε的无穷小性进行计算。
解:设x为自变量,ε为无穷小量。
将每一项中的x用泰勒级数展开式替换为ε,可得:原式= (1 + ε- 1)(2 + 2ε^2 - 1)(3 + 3ε^3 - 1)...(n + nε^n - 1)= (nε^(n-1) + ε^(n-2) -ε^n) / (ε^(n-1) -ε^2)= ε^(n-2) / (ε^(n-2) -ε^2)= ε^(-2) / (ε^(-2) -ε^0)= ε^(-2) / (ε^(-2) - 1)当x→0时,ε→0,因此原式= ε^(-2) / (ε^(-2) - 1) = 1。
结论:通过极限等价无穷小替换,可以将复杂的极限问题转化为易于处理的形式,从而加快解题速度。
在本题中,我们巧妙地利用了泰勒级数展开式,将每一项中的x替换为无穷小量ε,再利用ε的无穷小性进行计算。
最终得到了一个易于求值的极限结果。
总结:极限等价无穷小替换是高等数学中的一个重要技巧,它可以帮助我们简化复杂的极限问题,提高解题效率。
通过灵活运用这一技巧,我们可以更好地掌握高等数学的精髓,为今后的学习和工作打下坚实的基础。
ln根号等价无穷小替换在高等数学中,等价无穷小概念对于理解极限、微积分等知识点有着至关重要的作用。
而在ln函数中,根号部分也可以看作是一个等价无穷小。
本文将解释ln根号等价无穷小的原因,并给出替换方法,通过实例详细说明替换过程,最后总结ln根号等价无穷小替换的意义和实用性。
首先,我们来了解一下等价无穷小的概念。
等价无穷小指的是当两个函数在某一点的极限值相等时,这两个函数在这一点附近是等价的。
在数学分析中,我们可以利用等价无穷小的概念简化极限的求解。
接下来,我们解释为什么ln函数的根号部分可以看作等价无穷小。
根据对数函数的性质,ln(1+x)可以表示为x的等价无穷小。
当x趋近于0时,1+x也可以看作是x的等价无穷小。
因此,在ln函数中,根号部分可以看作是等价无穷小。
那么,如何进行ln根号等价无穷小的替换呢?我们可以将ln函数中的根号部分用x来表示,然后将原式子中的ln函数替换为x。
例如,对于原式子ln(1+x)^2,我们可以将其替换为2x。
接下来,我们通过一个实例来说明ln根号等价无穷小的替换过程。
假设我们要求解极限:lim(x->0) [ln(1+x) - ln(1+2x)] / x根据ln根号等价无穷小的替换,我们可以将原式子替换为:lim(x->0) [x - 2x] / x进一步简化得:lim(x->0) [-x] / x当x趋近于0时,原式子的极限值为0。
通过以上分析,我们可以看到,ln根号等价无穷小替换在求解极限问题时具有很大的实用价值。
它可以帮助我们简化极限的求解过程,更直观地理解极限的性质。
在实际应用中,掌握ln根号等价无穷小替换的方法,有助于提高求解极限的效率。
总之,ln根号等价无穷小替换是一种在高等数学中具有重要意义的技巧。
通过理解等价无穷小的概念,掌握替换方法,我们可以更加熟练地求解极限问题。
无穷小 极限的简单计算【教学目的】1、理解无穷小与无穷大的概念;2、掌握无穷小的性质与比较 会用等价无穷小求极限;3、不同类型的未定式的不同解法。
【教学容】1、无穷小与无穷大;2、无穷小的比较;3、几个常用的等价无穷小 等价无穷小替换;4、求极限的方法。
【重点难点】重点是掌握无穷小的性质与比较 用等价无穷小求极限。
难点是未定式的极限的求法。
【教学设计】首先介绍无穷小和无穷大的概念和性质(30分钟),在理解无穷小与无穷大的概念和性质的基础上,让学生重点掌握用等价无穷小求极限的方法(20分钟)。
最后归纳总结求极限的常用方法和技巧(25分钟),课堂练习(15分钟)。
【授课容】一、无穷小与无穷大1.定义前面我们研究了∞→n 数列n x 的极限、∞→x (+∞→x 、+∞→x )函数()x f 的极限、0x x →(+→0x x 、-→0x x )函数()f x 的极限这七种趋近方式。
下面我们用→x *表示上述七种的某一种趋近方式,即*{}-+→→→-∞→+∞→∞→∞→∈00x x x x x x x x x n定义:当在给定的→x *下,()f x 以零为极限,则称()f x 是→x *下的无穷小,即()0lim =→x f x *。
例如, ,0sin lim 0=→x x .0sin 时的无穷小是当函数→∴x x,01lim=∞→x x .1时的无穷小是当函数∞→∴x x,0)1(lim =-∞→n n n .})1({时的无穷小是当数列∞→-∴n nn 【注意】不能把无穷小与很小的数混淆;零是可以作为无穷小的唯一的数,任何非零常量都不是无穷小。
定义: 当在给定的→x *下,()x f 无限增大,则称()x f 是→x *下的无穷大,即()∞=→x f x *lim 。
显然,∞→n 时, 、、、32n n n 都是无穷大量, 【注意】不能把无穷大与很大的数混淆;无穷大是极限不存在的情形之一。
无穷小与无穷大是相对的,在不同的极限形式下,同一个函数可能是无穷小也可能是无穷大,如0lim =-∞→x x e , +∞=+∞→x x e lim ,所以x e 当-∞→x 时为无穷小,当+∞→x 时为无穷大。
2.无穷小与无穷大的关系:在自变量的同一变化过程中,如果()x f 为无穷大, 则()x f 1为无穷小;反之,如果()x f 为无穷小,且()0≠x f ,则()x f 1为无穷大。
小结:无穷大量、无穷小量的概念是反映变量的变化趋势,因此任何常量都不是无穷大量,任何非零常量都不是无穷小,谈及无穷大量、无穷小量之时,首先应给出自变量的变化趋势。
3.无穷小与函数极限的关系:定理 1 0lim ()()(),x x xf x A f x A x α其中)(x α是自变量在同一变化过程0x x →(或∞→x )中的无穷小.证:(必要性)设0lim (),xx f x A 令()(),x f x A α则有0lim ()0,xx x α).()(x A x f α+=∴(充分性)设()(),f x A x α其中()x α是当0xx 时的无穷小,则lim ()lim(())x x xx f x A x α )(lim 0x A x x α→+= .A =【意义】(1)将一般极限问题转化为特殊极限问题(无穷小); (2)0()(),().f x x f x A x α给出了函数在附近的近似表达式误差为3.无穷小的运算性质定理2 在同一过程中,有限个无穷小的代数和仍是无穷小. 【注意】无穷多个无穷小的代数和未必是无穷小.是无穷小,时例如n n 1,,∞→ .11不是无穷小之和为个但nn 定理3 有界函数与无穷小的乘积是无穷小. 如:01)1(lim =-∞→n nn ,01sin lim 0=→xx x ,0sin 1lim =∞→x x x 推论1 在同一过程中,有极限的变量与无穷小的乘积是无穷小. 推论2 常数与无穷小的乘积是无穷小. 推论3 有限个无穷小的乘积也是无穷小.二、无穷小的比较例如,2210,,,sin ,sin xx x x x x当时都是无穷小,观察各极限:xx x 3lim 20→,0=;32要快得多比x x x xx sin lim0→,1=;sin 大致相同与x x2201sinlimx x x x →x x 1sin lim 0→=.不存在不可比.极限不同, 反映了趋向于零的“快慢”程度不同.1.定义: 设,αβ是自变量在同一变化过程中的两个无穷小,且0.α(1)lim0,,();o ββαβαα如果就说是比高阶的无穷小记作;),0(lim)2(是同阶的无穷小与就说如果αβαβ≠=C C lim1,~;ββααβα特殊地如果则称与是等价的无穷小,记作(3)lim(0,0),.kC C kk ββαα如果就说是的阶的无穷小例1 .tan 4,0:3的四阶无穷小为时当证明x x x x →证:430tan 4lim x x x x →30)tan (lim 4x x x →=,4=.tan 4,03的四阶无穷小为时故当x x x x → 例2 .sin tan ,0的阶数关于求时当x x x x -→ 解30sin tan limx x x x -→ )cos 1tan (lim 20x x x x x -⋅=→,21=.sin tan 的三阶无穷小为x x x -∴2.常用等价无穷小:,0时当→x(1)x sin ~x ; (2)x arcsin ~x ; (3)x tan ~x ; (4)x arctan ~x ; (5))1ln(x +~x ; (6)1-x e ~x(7)x cos 1-~22x (8)1)1(-+μx ~x μ (9)1xa ~ln a x用等价无穷小可给出函数的近似表达式:,1lim=αβ ,0lim =-∴αβα),(αβαo =-即).(αβαo +=于是有 例如),(sin x o x x +=).(211cos 22x o x x +-= 3.等价无穷小替换定理:.lim lim ,lim~,~αβαβαβββαα''=''''则存在且设 证:αβlim)lim(αααβββ'⋅''⋅'=αααβββ'⋅''⋅'=lim lim lim .lim αβ''=例3 (1).cos 12tan lim 20xxx -→求; (2)1cos 1lim 20--→x e x x 解: (1).2~2tan ,21~cos 1,02x x x x x -→时当 故原极限202(2)lim 12x x x = 8 (2)原极限=2lim220x x x -→=21-例4 .2sin sin tan lim30xxx x -→求 错解: .~sin ,~tan ,0x x x x x 时当→30)2(limx xx x -=→原式=0正解: ,0时当→x ,2~2sin x x )cos 1(tan sin tan x x x x -=-,21~3x故原极限33012lim(2)x x x .161= 【注意】和、差形式一般不能进行等价无穷小替换,只有因子乘积形式才可以进行等价无穷小替换。
例5 .3sin 1cos 5tan lim0xx x x +-→求解: ),(5tan x o x x += ),(33sin x o x x +=).(21cos 122x o x x +=- 原式2215()()2lim3()xxo x x o x x o x xx o x x o x x x o x )(3)(21)(5lim20++++=→.35= 三、极限的简单计算1. 代入法:直接将0x x →的0x 代入所求极限的函数中去,若()0x f 存在,即为其极限,例如924231232lim 3451=++++-→x x x x x x ;若()0x f 不存在,我们也能知道属于哪种未定式,便于我们选择不同的方法。
例如,39lim 23--→x x x 就代不进去了,但我们看出了这是一个型未定式,我们可以用以下的方法来求解。
2. 分解因式,消去零因子法例如,()63lim 39lim323=+=--→→x x x x x 。
3. 分子(分母)有理化法 例如,()()()()()()355125125123535lim51235lim222222++++-+++++-+=-+-+→→x x x x xxx x x x424lim 22--=→x x x()()()2222lim2--+=→x x x x 2= 又如,()011lim1lim22=++=-++∞→+∞→xx x x x x4. 化无穷大为无穷小法例如,2222173373limlim142422xxxx x x x x x x ,实际上就是分子分母同时除以2x 这个无穷大量。
由此不难得出⎪⎪⎩⎪⎪⎨⎧<∞>==++++++--∞→mn m n m n ba b x b x b a x a x a n n n m m m x ,,,0lim 00110110又如,12111lim21lim=++=+++∞→+∞→xxx x x x ,(分子分母同除x )。
再如,1153152lim 5352lim -=+⎪⎭⎫ ⎝⎛-⎪⎭⎫ ⎝⎛=+-∞→∞→n nn n n nn n ,(分子分母同除n 5)。
5. 利用无穷小量性质、等价无穷小量替换求极限 例如,()0131arctan lim2=+++∞→x x x x x ,(无穷小量乘以有界量)。
又如,.3214lim21-+-→x x x x 求解:)32(lim 21-+→x x x ,0=商的法则不能用)14(lim 1-→x x 又,03≠=1432lim21--+∴→x x x x .03== 由无穷小与无穷大的关系,得.3214lim21∞=-+-→x x x x再如,等价无穷小量替换求极限的例子见本节例3—例5。
6. 利用两个重要极限求极限(例题参见§1.4例3—例5) 7. 分段函数、复合函数求极限例如,).(lim ,0,10,1)(02x f x x x x x f x →⎩⎨⎧≥+<-=求设解: 两个单侧极限为是函数的分段点,0=x)1(lim )(lim 0x x f x x -=--→→,1=)1(lim )(lim 20+=++→→x x f x x ,1=左右极限存在且相等, .1)(lim 0=→x f x 故【启发与讨论】 思考题1:110,sin xyx x当时是无界变量吗?是无穷大吗?解:),3,2,1,0(221)1(0 =+=k k x ππ取,22)(0ππ+=k x y .)(,0M x y k >充分大时当无界,),3,2,1,0(21)2(0 ==k k x π取,,δ<k x k 充分大时当 ππk k x y k 2sin 2)(=但 .0M <=不是无穷大.结论:无穷大是一种特殊的无界变量,但是无界变量未必是无穷大.思考题2:若0)(>x f ,且A x f x =+∞→)(lim ,问:能否保证有0>A 的结论?试举例说明.解:不能保证. 例xx f 1)(=,0>∀x 01)(>=xx f =+∞→)(lim x f x.01lim==+∞→A x x 思考题3:任何两个无穷小量都可以比较吗?解:不能.例如当+∞→x 时,1)(x x f =xx x g sin )(=都是无穷小量 但=+∞→)()(lim x f x g x x x sin lim +∞→不存在且不为无穷大,故当+∞→x 时)(x f 和)(x g 不能比较.【课堂练习】求下列函数的极限(1)xxe x x cos lim 0-→;解:原极限=1cos 1lim 1lim cos lim000=-+-=-→→→xxx e x x e x x x x x (2)求)1ln()cos 1(1cossin 3lim20x x x x x x +++→【分析】 “0”型,拆项。