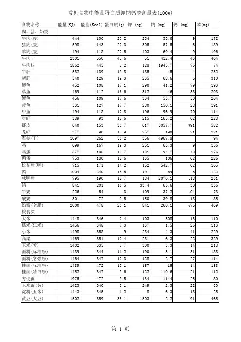
表6 常见食物蛋白质含量表
- 格式:doc
- 大小:35.50 KB
- 文档页数:2
常见食物营养成份表常用数据参考1.常见食物营养元素含量(1)食物钙、磷、蛋白质含量每100g食物食物名称钙(毫克)磷(毫克)蛋白质(克)食物名称钙(毫克)磷(毫克)蛋白质(克)粉丝(湿) 2 2 - 葱头41 41 1.1 标二粳 3 99 8.0 大葱46 34 1.3 盐 4 - - 土豆47 33 1.7 瘦肉 5 185 21.3 绿豆芽48 40 1.4 西红柿9 20 1.O 藕52 43 1.9 西葫芦10 21 0.9 扁豆53 46 1.9 富强粉12 103 9.5 松花鲤64 179 11.7 莴笋14 25 0.7 胡萝卜65 20 0.9 黄瓜16 33 0.9 豇豆65 55 2.1 柿子椒21 20 0.7 心里美77 25 0.5 红萝卜21 22 1.3 卞萝卜87 43 1.4 标准粉21 158 10.4 圆白菜117 29 1.6 冬瓜23 7 0.2 油菜148 58 1.2 菱白28 38 1.8 芹菜152 18 0.6 鸡蛋30 118 12.9 菠菜158 44 2.4 茄子32 19 0.8 北豆腐171 179 11.1 大白菜35 42 1.7 带鱼195 222 21.2 木耳(水发)38 12 2 榨菜250 56 2.3蒜苗39 40 1.9 海带(水发)241 29 1.1菜花41 57 2.1 牛奶135 55 3.0 (2)常见食物含钾量(每100g食部)藕粉35 柑桔169 韭菜121面条(煮)15 白萝卜98 菜花237淀粉(干)8 冬瓜49 香椿172西瓜87 柿子135 绿苋菜207紫葡萄59 扁豆194 干红枣514挂面(富)100 苦瓜343 油菜278鸡蛋142 豇豆149 雪里蕻281鸭蛋512 丝瓜171 荠菜262南瓜85 番茄189 竹笋300皮蛋137 玉米(黄)255 冬笋490豆腐(南)162 青葱186 百合(干)344稻米(梗) 78 土豆 308 香菜 272 菜干 883 苋菜(紫) 380 津冬菜 632 鸭梨 78 牛肉 210 榨菜 490 红薯 195 猪肉 197 冬菇 599 小麦粉 94 黄豆芽 141 紫菜 2083 葱头 160 肉鸡 264 干玉兰片 66 青菜 82 菠菜 262 蘑菇(鲜) 236 芝麻酱 507 藕 215 口蘑 3106 空心菜 243 杏 226 香菇 1228 蒜苗 167 荸荠 308 银耳 1254 绿豆芽 82 芹菜 161 木耳 875 橙子 172 黄花菜 1353 桂圆(干) 1348(3)常见食物的脂肪含量(每100g 食部)<5g 米,面,小米,薏米,红豆,绿豆,豆腐,荞麦,粉条,藕粉,各类蔬菜,鲜牛奶,酸奶,鸡蛋白,鸡胸脯肉,鸡胗,鱼,虾,海参,兔肉等5~10g 燕麦片,豆腐干,猪心,鸡,鹅,带鱼,鲳鱼 10~15g 鸡蛋,猪舌,鸽,肥瘦羊肉,烤鸡,松花蛋 15~20g 黄豆,油豆腐,油条,油饼,鸭,鸭蛋>20g炸面筋,干腐竹,全脂奶粉,鸡蛋黄,烤鸭,肥瘦猪肉,猪蹄,花生,瓜子,核桃,芝麻酱,巧克力等(4)常见食物胆固醇含量(每100g 食部)<100mg蒜肠、火腿肠、瘦牛肉、瘦羊肉、兔肉、牛奶、酸奶、脱脂奶粉、羊奶、鸭、黄鱼、带鱼、鱿鱼、鲳鱼、马哈鱼、青鱼、草鱼、黑鲢鱼、鲤鱼、鲫鱼、甲鱼、白虾、海蜇、海参、鸭油100~150mg 肥猪肉、猪舌、广式腊肠、牛舌、牛心、牛肚、牛大肠、羊舌、 羊心、羊肚、羊大肠、全脂奶粉、鸡、鸡血、鸽肉、梭鱼、白鲢、鳝鱼、对虾、羊油、鸡油。
常见食物营养成份表常用数据参考1 •常见食物营养元素含量(1)食物钙、磷、蛋白质含量每100g食物钙磷蛋白钙磷蛋白食物名称(毫(毫质食物名称(毫(毫质克)克)(克)克)克)(克)粉丝(湿)22-葱头4141 1.1标二粳3998.0大葱4634 1.3盐4--十豆4733 1.7瘦肉518521.3绿豆芽4840 1.4西红柿920 1.O藕5243 1.9西葫芦10210.9扁豆5346 1.9富强粉121039.5松花鲤6417911.7萬笋14250.7胡萝卜65200.9黄瓜16330.9豇豆6555 2.1柿子椒21200.7心里美77250.5红萝卜2122 1.3卞萝卜8743 1.4标准粉2115810.4圆白菜11729 1.6冬瓜2370.2油菜14858 1.2菱白2838 1.8芹菜152180.6鸡蛋3011812.9菠菜15844 2.4茄子32190.8北豆腐17117911.1大白菜3542 1.7带鱼19522221.2木耳(水发)38122榨菜25056 2.3蒜苗3940 1.9海带(水发)24129 1.1菜花4157 2.1牛奶13555 3.0(2 )常见食物含钾量(每100g食部)藕粉35柑桔169韭菜121面条(煮)15白萝卜98菜花237淀粉(干)8 冬瓜49香椿172西瓜87柿子135绿苋菜207紫葡萄59扁豆194干红枣514挂面(富)100苦瓜343油菜278鸡蛋142豇豆149雪里蕻281鸭蛋512丝瓜171荠菜262南瓜85番茄189竹笋300皮蛋137玉米(黄)255冬笋490豆腐(南)162青葱186百合(干)344稻米(梗)78 土豆308香菜272菜干883 苋菜(紫)380津冬菜632鸭梨78 牛肉210榨菜490红薯195 猪肉197冬菇599小麦粉94 黄豆芽141紫菜2083葱头160 肉鸡264干玉兰片66青菜82 菠菜262蘑菇(鲜)236芝麻酱507 藕215口蘑3106空心菜243 杏226香菇1228蒜苗167 荸荠308银耳1254绿豆芽82 芹菜161木耳875橙子172 黄花菜1353桂圆(干)13483)常见食物的脂肪含量(每100g 食部)米,面,小米,薏米,红豆,绿豆,豆腐,荞麦,粉条,<5g 藕粉,各类蔬菜,鲜牛奶,酸奶,鸡蛋白,鸡胸脯肉,鸡胗,鱼,虾,海参,兔肉等5〜10g燕麦片,豆腐干,猪心,鸡,鹅,带鱼,鲳鱼10〜15g鸡蛋,猪舌,鸽,肥瘦羊肉,烤鸡,松花蛋15〜20g黄豆,油豆腐,油条,油饼,鸭,鸭蛋>20g炸面筋,干腐竹,全脂奶粉,鸡蛋黄,烤鸭,肥瘦猪肉,>20g猪蹄,花生,瓜子,核桃,芝麻酱,巧克力等4)常见食物胆固醇含量(每100g 食部)蒜肠、火腿肠、瘦牛肉、瘦羊肉、兔肉、牛奶、酸奶、<100mg脱脂奶粉、羊奶、鸭、黄鱼、带鱼、鱿鱼、鲳鱼、马<100mg 哈鱼、青鱼、草鱼、黑鲢鱼、鲤鱼、鲫鱼、甲鱼、白虾、海蜇、海参、鸭油肥猪肉、猪舌、广式腊肠、牛舌、牛心、牛肚、牛大100〜150mg方、羊舌、羊心、羊肚、羊大肠、全脂奶粉、鸡、鸡血、鸽肉、梭鱼、白鲢、鳝鱼、对虾、羊油、鸡油猪脑、猪心、猪肝、猪肺、猪肾、猪肚、猪大肠、猪肉松、肥牛肉、牛脑、牛肝、牛肺、牛肾、牛肉松、>150mg 羊脑、羊肝、羊肺、羊肾、鸡肝鱼子、虾皮、蟹黄、蚶肉、黄油鸭肝、鸡蛋粉、蛋黄、松花蛋、鹌鹑蛋、凤尾鱼、鱼肉松、5)食物中嘌呤的含量(每100g 食部)奶类、蛋类、水果、蔬菜(下列量多者除外)、精制谷类、可可、咖啡、茶、果汁75〜150mg嘌呤食物牛肉、牛舌、猪肉、鸭、鹅、鸽、鲤鱼、干豆类、鸡肉、鸡肉汤中等量嘌呤食物(75mg)龙须菜、菜豆、蘑菇、菠菜、豌豆、麦片、海鱼类、鸡肉、羊肉150〜1000mg嘌呤食物牛羊内脏、沙丁鱼、鱼子、浓肉汤、肉精6)常见食物中水的含量生成微量嘌呤食物食物名称数量含水量(ml)牛奶1杯150 〜200米粥1两400〜440米饭1两120〜130面条(带汤)1两200〜250面条(不带汤)1两100馄饨1两350〜400饺子1两60〜80包子1两40〜50馒头1两20〜25烙饼1两25〜30鸡蛋羹1份150煮鸡蛋1个25〜30酱肉100g50桔子100g87豆浆100g92苹果100g85香蕉100g77梨100g89桃100g88葡萄100g88黄瓜100g96松花蛋100g677)食物中维生素B6 的含量食物名称mg/100g食物名称mg/100g 玉米400牛肉420燕麦210牛肝820大米(糙)620鸡肉683大米(精)110鸡肝720小麦(全)440猪肉(瘦)350黄豆820猪肝620绿豆470羊肉330香蕉120鸡蛋100橙40青鱼190椰菜150沙丁鱼670胡萝卜250鳟鱼340芹菜160鲭鱼540黄瓜40金枪鱼920蒜头960牛奶40蘑菇530母乳10西红柿60蚧4008)常见食物中锌含量食物名称 含量( mg/100g ) 食物名称含量( mg/100g ) 鲜扇贝11.69松子(生) 9.02羊肉(瘦) 10.42 西瓜子(炒) 6.76 牡蛎 9.39 香菇(干) 8.57 香肠 7.61 麸皮 5.98 酱牛肉 7.12 豆腐皮 3.81 猪肝 5.78 黄豆 3.34 卤煮鸡 4.42 豇豆 3.04 猪肉松 4.28 花生仁(炒) 2.82 鳟鱼 4.30 酸梨 2.70 海米 3.82 紫菜 2.47 鸡蛋黄 3.79 香椿 2.25 瘦牛肉 3.71 绿豆 2.18 鸡肝 3.46 小米 1.87 扒鸡 3.23 稻米 1.70 肥瘦羊肉 3.22 标准粉 1.64 鲈鱼 2.83 鲜枣 1.52 鲤鱼 2.08 玉米面(黄) 1.42 虾皮 1.93 富强粉 0.979)常见食物中叶酸与维生素 B 12 含量 食物名称 叶 mg/100g维 B mg/100g肝脏 300 100 牛乳 0.6-3.5 0.36-0.4 人乳 0.2-3.5 0.03-0.11 牡蛎 9.6 20.9 梭鱼 13.0 8.6 海蟹 13.8 5.6 黄豆 210.0 0 芥菜 167.0 0 花生 124.0 0 白菜 46.1 0 莴笋 88.8 0 菠菜 20.9 010 )含膳食纤维较高的常用食物 (每100g 食部中含量)食物名称 膳食纤维含量 (g ) 食物名称膳食纤维含量(g ) 大米 0.4胡萝卜(红) 1.1 小米 1.6白萝卜 1 燕麦片5.3玉兰片 11.3 玉米面 5.6 竹笋 1.8豆腐 0.4 大白菜 0.6 黄豆 15.5 菠菜1.7绿豆 6.4 菜花 1.2 豌豆 6 韭菜 1.4 扁豆2.1芹菜(茎) 1.2荷兰豆 1.4生菜0.7黄豆芽 1.4力蒜苔 1.8豇豆 2.3萬笋0.6柿子椒 1.4苋菜 2.2西红柿0.5小白菜 1.1茄子 1.3雪里红 1.6冬菇(干)32.3油菜 1.1金针菇 2.7圆白菜1鲜蘑 2.1冬瓜0.7黑木耳(干)29.9黄瓜0.5紫菜21.6南瓜0.8核桃9.5丝瓜0.6花生仁(生)5.5苦瓜 1.4栗子(鲜) 1.7西葫芦0.6葡萄干 2.9西瓜0.2桃 1.3菠萝 1.3荔枝0.5草莓 1.1甘申芒果 1.3橙0.6柠檬 1.3山楂 3.1苹果 1.2金桔 1.4葡萄0.4梨22 •食品交换份:慢性肾脏病食品交换份四大类(九小类)内容和营养价值组别类别每份重量热量蛋白质脂肪(克)碳水化合主要营养素(克)(千)(克)物(克)1.谷50180 4.0一40.0谷薯类501800.2-0.3一40.0碳水化合物组2.淀膳食纤维粉类3.蔬50090 5.0一17.0菜果菜类20090 1.0一21.0无机盐膳食组4.水纤维果类5.大25909.0 4.0一豆类16090 5.0 5.0 6.06.奶50909.0 6.0--肉蛋制品组6.奶蛋白质脂肪类7.肉蛋类油脂8.硬1590 4.07.0 2.0脂肪蛋白质组果类1090--10.0--9.油 脂类等值谷薯类交换表 每交换份谷薯类供蛋白质 食品 大米、小米、糯米、薏米 高粱米、玉米碴 面粉、米粉、玉米面 米饭 燕麦片、莜麦面 荞麦面、苦荞面 通心粉等值肉蛋类食品交换表 每交换份肉蛋类供蛋白质9克,脂肪 6 克,热量 90 千卡。
常见高蛋白食物列表(每100克食物含蛋白质)
常见食物蛋白质和脂肪含量表
食物名称 /蛋白质(g)/脂肪(g)
主食
米饭 /2.6/0.3 馒头
/71.1 面包/8.3/5.1
肉类
猪肉(瘦)/20.36.2 牛肉(瘦)/20.22.3 羊肉(瘦)/20.5/3.9 鸡腿/16/13 鸡翅
/17.4/11.8 鸡胸肉/19.4/5
蛋类
鸡蛋/12.8/10.1 鸡蛋白/11.6/0.1
牲畜的奶如牛奶、羊奶、马奶等;畜肉,如牛、羊、猪、狗肉等;
禽肉如鸡、鸭、鹅、鹌鹑、驼鸟等;
蛋类如鸡蛋、鸭蛋、鹌鹑蛋等及鱼、虾、蟹等;
大豆类黄豆、大青豆和黑豆等,其中以黄豆的营养价值最高,它是婴幼儿食品中优质的蛋白质来源;
干果类像芝麻、瓜子、核桃、杏仁、松子等干果类的蛋白质的含量均较高。
•。
常见食物蛋白质的含量表
以下是常见食物蛋白质的含量表,以100克食物重量计:肉类:
- 鸡蛋白:11克
- 鸡胸肉:31克
- 牛肉:26克
- 猪肉:26克
- 羊肉:25克
鱼类:
- 金枪鱼:30克
- 鲑鱼:25克
- 鳕鱼:18克
- 鲈鱼:18克
- 鲢鱼:17克
豆类:
- 黄豆:36克
- 绿豆:23克
- 豆腐:8克
- 红豆:7克
- 花生:25克
谷物:
- 燕麦:14克
- 大米:7克
- 小麦面粉(全麦):14克
- 玉米:9克
- 糙米:8克
乳制品:
- 牛奶:3克
- 常温酸奶:3克
- 希腊酸奶:10克
- 软质奶酪:18克
- 硬质奶酪:25克
以上数据仅供参考,实际蛋白质含量可能会因不同品牌和加工方式而有所差异。
建议在饮食中搭配多种来源的蛋白质,以保证充足的营养摄入。
常见食物热量及蛋白质含量表食物名称(50克)热量(千卡)蛋白质(克)蛋类:豆类:豆腐49 6.1大豆(黄豆)179.5 17.5腐竹 229.5 22.3豆腐脑 7.5 0.95素鸡 96 8.25绿豆 158 10.8红小豆 154.5 10.1豆沙 121.5 2.75红豆馅 120 2.4豌豆 156.5 10.15蚕豆 167.5 10.8蚕豆(烤)186 13.5食物名称(50克)热量(千卡)蛋白质(克)谷类:稻米173 3.7 米饭58 1.3 香大米173 6.35 高粱米175.5 5.2挂面173 5.15 花卷105.5 3.2 馒头110.5 3.5 烙饼127.5 3.75 油饼199.5 3.95 油条193 3.45 面条142 4.15 面条(富强粉切面) 142.5 4.65面条(富强粉煮) 54.5 1.35小米179 4.5 小米面178 3.6 大黄米174.5 6.8 玉米(鲜)53 2 玉米面170.5 4.05 玉米糁173.5 3.95食物名称(50克)热量(千卡)蛋白质(克)坚果、种子类:松子仁349 6.7 核桃(干)313.5 7.45 葵花子仁303 9.55 榛子(炒)297 15.25 花生仁(炒)290.5 11.95腰果 276 8.65榛子(干)271 10芝麻(黑)265.5 9.55 银杏(干)177.5 6.6 栗子(熟)106 2.4菌藻类:蘑菇(干)126 10.5 蘑菇(鲜蘑)10 1.35 黑木耳(干)102.5 6.05黑木耳(水发)10.5 0.75香菇9.5 1.1 银耳(干)100 5 榛蘑(干)78.5 4.75 榛蘑(水发)23 1.4海带(干)38.5 0.9海带(浸)7 0.55 紫菜(干)103.5 13.35蔬菜类:大葱15 0.85 大蒜(蒜头) 63 2.25韭菜13 1.2 蒜薹30.5 1 小葱12 0.8 洋葱(白皮) 165 2.75 洋葱(紫皮) 162 3.45洋葱(葱头) 19.5 0.55红萝卜 10 0.5 胡萝卜(黄) 21.5 0.7青萝卜30.5 0.15 水萝卜10 0.4 白萝卜10.5 0.45 白菜(脱水)143 3.1菜花143 3.25 大白菜8.5 0.75 卷心菜11 0.75 芹菜茎10 0.6 芹菜叶15.5 1.3酸白菜7 0.55 西兰花(绿菜花) 16.5 2.05小白菜7.5 0.75 油菜11.5 0.9西红柿9.5 0.45 奶柿子 6.5 0.3 黄瓜7.5 0.4 苦瓜9.5 0.5 辣椒(青尖) 11.5 0.7甜椒11 0.5南瓜11 0.35 茄子10.5 0.55 大豆角7.5 0.75 西葫芦9 0.4丝瓜10 0.5 地瓜27.5 0.45 芋头39.5 1.1 大薯52.5 1.05蚕豆52 4.4豆角15 1.25 油豆角11 1.2 黄豆芽22 2.25绿豆芽9 1.05 毛豆(青豆) 61.5 6.55豌豆52.5 3.7芸豆12.5 0.4蓟蓟菜19 2.25蕨菜19.5 0.8薯类及淀粉类:粉丝167.5 0.4 粉条 168.5 0.25 藕粉186 0.1 地瓜粉 168 1.35 土豆粉168.5 3.6 红薯49.5 0.55 土豆38 1水果类:4柑橘25.5 0.35 金橘27.5 0.5 芦柑21.5 0.3密橘21 0.4 柚20.5 0.4哈密瓜17 0.25香瓜13 0.2 西瓜12.5 0.3 旱久保桃23.5 0.45 久保桃20.5 0.3黄桃27 0.25 桃240.45金红桃13 0.35 金丝小枣147 0.6 枣(鲜) 61 0.55 枣(干)149 1.05酒枣72.5 0.8 蜜枣 160.5 0.65李子 18 0.35杏180.45杏干165 1.35樱桃23 0.55草莓15 0.5灯笼果22 0.45 巨峰葡萄25 0.2 马奶子葡萄20 0.25葡萄干 170.5 1.25 柿35.50.2柿饼125 0.9 中华猕猴桃28 0.4石榴31.5 0.7 无花果 29.5 0.75菠萝 20.5 0.25番桃 20.5 0.55荔枝 35 0.45芒果16 0.3香蕉45.5 0.7芭蕉54.5 0.6杨梅14 0.4桂圆35.5 0.6 桂圆肉156.5 2.3人参果40 0.3雪梨 36.5 0.45 京白梨27.5 0.1长把梨27 0.4 莱阳梨 24.5 0.15 苹果梨24 0.1香梨23 0.15 鸭梨21.5 0.1 红元帅苹果29.5 0.1 黄元帅苹果27.5 0.1 金元帅苹果25.5 0.1国光苹果27 0.15 红香蕉苹果24.5 0.2 黄香蕉苹果24.5 0.15 红富士苹果22.5 0.35海棠果36.5 0.15 大山楂47.5 0.25沙果33 0.2速食食品类:马铃薯片(油炸土豆片) 306 2曲奇饼273 3.25 方便面236 4.75 饼干216.5 4.5 苏打饼干204 4.2 蛋片195.5 4.05 麦片175.5 6.2面包156 4.15糖、蜜钱类:金糕88.5 0.1 金糕条(山楂条) 150 0.3 山楂果丹皮160 0.5苹果脯168.5 0.3 杏脯164.5 0.4桃脯155 0.7 海棠脯143 0.3 白砂糖200 0 冰糖198.5 0 红糖 194.5 0.35 麦芽糖165.5 0.1 蜂蜜160.5 0.2 巧克力 293 2.15 巧克力(酒芯) 200 0.65小吃类:江米条219.5 2.85 绿豆糕174.5 6.4 蛋糕173.5 4.3麻花262 4.15 桃酥240.5 3.55 月饼(豆沙) 202.5 4.1 月饼(五仁) 208 4月饼(枣泥) 212 3.55 板油酥饼179.5 3.8春卷231.5 3.05 豆腐脑(带卤) 23.5 1.3煎饼168 3.8 凉面83.5 2.4 热干面76 2.1年糕77 1.65油茶47 1.2 龙虾片169 0.3 粉皮30.5 0.1 凉粉18.5 0.1s 枸杞子128 6.95饮料类:冰激凌 63.5 1.2油脂类:豆油449.5 0 色拉油 449 0 香油 449 0。
常见食物热量及蛋白质含量表(全)食物名称(50克)热量(千卡)蛋白质(克)蛋类:鹌鹑蛋80 6.4鸡蛋(红皮)78 6.35鸡蛋白30 5.8鸡蛋黄164 7.6松花蛋(鸡蛋)89 7.4鸭蛋90 6.3松花蛋(鸭蛋)85.5 7.1鹅蛋98 5.55豆类:豆腐49 6.1大豆(黄豆)179.5 17.5腐竹229.5 22.3豆腐脑7.5 0.95素鸡96 8.25绿豆158 10.8红小豆154.5 10.1豆沙121.5 2.75红豆馅120 2.4豌豆156.5 10.15蚕豆167.5 10.8蚕豆(烤)186 13.5食物名称(50克)热量(千卡)蛋白质(克)谷类:稻米173 3.7米饭58 1.3香大米173 6.35高粱米175.5 5.2挂面173 5.15花卷105.5 3.2馒头110.5 3.5烙饼127.5 3.75油饼199.5 3.95油条193 3.45面条142 4.15面条(富强粉切面)142.5 4.65面条(富强粉煮)54.5 1.35小米179 4.5小米面178 3.6大黄米174.5 6.8玉米(鲜)53 2玉米面170.5 4.05玉米糁173.5 3.95酒类:啤酒16 0.2黄酒33 0.8红葡萄酒37 0.05低度汉酒(37度)108 0曲酒(55度)165 0二锅头(58度)175.5 0特制汉酒(59.9度)182 0食物名称(50克)热量(千卡)蛋白质(克)坚果、种子类:松子仁349 6.7核桃(干)313.5 7.45葵花子仁303 9.55榛子(炒)297 15.25花生仁(炒)290.5 11.95腰果276 8.65榛子(干)271 10芝麻(黑)265.5 9.55银杏(干)177.5 6.6栗子(熟)106 2.4菌藻类:蘑菇(干)126 10.5蘑菇(鲜蘑)10 1.35黑木耳(干)102.5 6.05黑木耳(水发)10.5 0.75香菇9.5 1.1 银耳(干)100 5榛蘑(干)78.5 4.75 榛蘑(水发)23 1.4 海带(干)38.5 0.9海带(浸)7 0.55紫菜(干)103.5 13.35禽肉类:鸡83.5 9.65乌骨鸡55.5 11.15肯德鸡(炸鸡)139.5 10.15烤鸡120 11.2扒鸡108.5 14.8鹌鹑55 23.0鸽100.5 42.05鸭120 7.75盐水鸭(熟)156.5 8.3北京烤鸭218 8.3鹅125.5 8.95烧鹅144.5 9.85乳类:全脂牛奶粉239 10.05全脂速溶奶粉233 9.95炼乳(甜,罐头)116 4酸奶36 1.25牛乳27 1.5鲜羊乳29.5 0.75人乳32.5 0.65蔬菜类:大葱15 0.85大蒜(蒜头)63 2.25韭菜13 1.2蒜薹30.5 1小葱12 0.8洋葱(白皮)165 2.75洋葱(紫皮)162 3.45洋葱(葱头)19.5 0.55红萝卜10 0.5胡萝卜(黄)21.5 0.7青萝卜30.5 0.15水萝卜10 0.4白萝卜10.5 0.45白菜(脱水)143 3.1菜花143 3.25大白菜8.5 0.75卷心菜11 0.75芹菜茎10 0.6芹菜叶15.5 1.3酸白菜7 0.55西兰花(绿菜花)16.5 2.05小白菜7.5 0.75油菜11.5 0.9冬瓜 5.5 0.2西红柿9.5 0.45奶柿子 6.5 0.3黄瓜7.5 0.4苦瓜9.5 0.5辣椒(青尖)11.5 0.7甜椒11 0.5南瓜11 0.35茄子10.5 0.55大豆角7.5 0.75西葫芦9 0.4丝瓜10 0.5地瓜27.5 0.45芋头39.5 1.1大薯52.5 1.05蚕豆52 4.4豆角15 1.25油豆角11 1.2黄豆芽22 2.25绿豆芽9 1.05毛豆(青豆)61.5 6.55豌豆52.5 3.7芸豆12.5 0.4蓟蓟菜19 2.25蕨菜19.5 0.8薯类及淀粉类:粉丝167.5 0.4粉条168.5 0.25藕粉186 0.1地瓜粉168 1.35土豆粉168.5 3.6红薯49.5 0.55土豆38 1水果类:橙23.5 0.4柑橘25.5 0.35金橘27.5 0.5芦柑21.5 0.3密橘21 0.4柚20.5 0.4哈密瓜17 0.25香瓜13 0.2西瓜12.5 0.3旱久保桃23.5 0.45久保桃20.5 0.3黄桃27 0.25桃24 0.45金红桃13 0.35金丝小枣147 0.6枣(鲜)61 0.55枣(干)149 1.05酒枣72.5 0.8蜜枣160.5 0.65李子18 0.35杏18 0.45杏干165 1.35樱桃23 0.55草莓15 0.5灯笼果22 0.45巨峰葡萄25 0.2马奶子葡萄20 0.25葡萄干170.5 1.25柿35.5 0.2柿饼125 0.9中华猕猴桃28 0.4石榴31.5 0.7无花果29.5 0.75菠萝20.5 0.25番桃20.5 0.55荔枝35 0.45芒果16 0.3香蕉45.5 0.7芭蕉54.5 0.6杨梅14 0.4桂圆35.5 0.6桂圆肉156.5 2.3人参果40 0.3雪梨36.5 0.45京白梨27.5 0.1长把梨27 0.4莱阳梨24.5 0.15苹果梨24 0.1香梨23 0.15鸭梨21.5 0.1红元帅苹果29.5 0.1黄元帅苹果27.5 0.1金元帅苹果25.5 0.1国光苹果27 0.15红香蕉苹果24.5 0.2黄香蕉苹果24.5 0.15红富士苹果22.5 0.35海棠果36.5 0.15大山楂47.5 0.25沙果33 0.2速食食品类:马铃薯片(油炸土豆片) 306 2曲奇饼273 3.25方便面236 4.75饼干216.5 4.5苏打饼干204 4.2蛋片195.5 4.05麦片175.5 6.2面包156 4.15糖、蜜钱类:金糕88.5 0.1金糕条(山楂条) 150 0.3山楂果丹皮160 0.5苹果脯168.5 0.3杏脯164.5 0.4桃脯155 0.7海棠脯143 0.3白砂糖200 0冰糖198.5 0红糖194.5 0.35麦芽糖165.5 0.1蜂蜜160.5 0.2巧克力293 2.15巧克力(酒芯) 200 0.65小吃类:江米条219.5 2.85绿豆糕174.5 6.4蛋糕173.5 4.3麻花262 4.15桃酥240.5 3.55月饼(豆沙) 202.5 4.1月饼(五仁) 208 4月饼(枣泥) 212 3.55板油酥饼179.5 3.8春卷231.5 3.05豆腐脑(带卤) 23.5 1.3煎饼168 3.8凉面83.5 2.4热干面76 2.1年糕77 1.65油茶47 1.2龙虾片169 0.3粉皮30.5 0.1凉粉18.5 0.1炒肝48 1.4畜肉类:牛肉62.5 9.95酱牛肉123 15.7牛肉干275 22.8牛蹄筋(泡发) 12.5 3羊肉101.5 9.5羊肉串(烤) 103 13羊肉串(炸) 108.5 9.15羊肉串(电烤) 117 13.2羊肉干294 14.1羊肚43.5 6.1猪肉197.5 6.6猪蹄筋78 17.65猪蹄(熟) 130 11.8叉烧肉139.5 11.9午餐肉114.5 4.7猪肉(清蒸) 99 9.2火腿肠106 7风干肠141.5 6.2茶肠164.5 4.5香肠254 12.05腊肠292 11狗肉58 8.4兔肉51 9.85药食两用食品类:蚕蛹115 10.75甲鱼(鳖) 59 8.9田鸡(青蛙) 46.5 10.25蛇42.5 7.55枸杞子128 6.95饮料类:冰激凌63.5 1.2油脂类:豆油449.5 0色拉油449 0香油449 0海鲜类:河蚌27 5.45扇贝(鲜) 30 5.55田螺30 5.5牡蛎(海蛎子) 36.5 2.65鲍鱼(干) 161 27.05(此文档部分内容来源于网络,如有侵权请告知删除,文档可自行编辑修改内容,供参考,感谢您的配合和支持)。
高蛋白和低蛋白的食物蛋白质是一切生命活动的基础。
高蛋白食物分为动物性和植物性来源两种,动物性来源如各种海产品、蓄肉类等,植物性高蛋白食物有大豆及其制品,这些常称为优质蛋白。
其他食物也含有较高蛋白质,如坚果类食物的蛋白质含量在15%~30%;谷类蛋白质含量为6%~10%.鸡蛋蛋白也是优质蛋白,其含量在13.3%左右。
除了纯油、纯淀粉食物外,前500种蛋白质的食物几乎都是水果、蔬菜及制品类.一般水果和瓜果类蔬菜蛋白质含量一般在0.2~1.3g/100g之间;叶菜和根类蔬菜多在1。
3~2g/100g之间;鲜蘑菇、液态奶在2.5~3。
0g/100g之间。
成人蛋白质摄入量每天应在70g左右。
表1—3 高蛋白食物含量表(以100g可食部计)食物名称含量g 食物名称含量g骆驼掌 72.8 油炸豆花 33.4墨鱼干 65。
3 香杏片口蘑(干) 33。
4鱿鱼 60。
0 南瓜子仁 33。
2豆腐丝 57.7 西瓜子(炒) 32.7扇贝(干) 55。
6 蛋黄粉 31。
6奶酪(干) 55.1 奶酪 31。
5鲍鱼(干) 54.1 酱牛肉 31.4脱脂奶豆腐 53。
7 虾皮 30.7海参(干) 50。
2 鲮鱼(罐头) 30。
7贻贝(干) 47。
8 榛子(炒) 30。
5干酵母 47.6 驴鞭 29。
7奶豆腐(鲜) 46。
2 扒鸡 29.6鱼片干 46.1 羊肉(手抓) 27.3咖喱牛肉干 45.9 马牙大豆 27.2牛肉干 45。
6 驴肉(煮) 27。
0腐竹 44.6 蚕豆 27。
0豆腐皮 44。
6 羊肚菌(干) 26。
9虾米(海米) 43.7 油面筋 26.9鸡蛋粉 43.4 鸭掌 26.9豆粕 42.4 紫菜(干) 26.7味精 40。
1 开花豆 26。
7口蘑 38。
7 蝎子 26。
2肉松 38.6 羊肉串(烤) 26.0丁香鱼(干) 37。
5 白笋(干) 26.0小麦胚粉 36。
4 柿叶茶 25。
8南瓜子(炒) 36.0 奶酪(干) 25。
高蛋白和低蛋白的食物
蛋白质是一切生命活动的基础。
高蛋白食物分为动物性和植物性来源两种,动物性来源如各种海产品、蓄肉类等,植物性高蛋白食物有大豆及其制品,这些常称为优质蛋白。
其他食物也含有较高蛋白质,如坚果类食物的蛋白质含量在15%~30%;谷类蛋白质含量为6%~10%。
鸡蛋蛋白也是优质蛋白,其含量在13.3%左右。
除了纯油、纯淀粉食物外,前500种蛋白质的食物几乎都是水果、蔬菜及制品类。
一般水果和瓜果类蔬菜蛋白质含量一般在0.2~1.3g/100g之间;叶菜和根类蔬菜多在1.3~2g/100g之间;鲜蘑菇、液态奶在2.5~3.0g/100g之间。
成人蛋白质摄入量每天应在70g左右。
表1-3 高蛋白食物含量表(以100g可食部计)
食物名称含量g 食物名称含量g
骆驼掌 72.8 油炸豆花 33.4
墨鱼干 65.3 香杏片口蘑(干) 33.4
鱿鱼 60.0 南瓜子仁 33.2
豆腐丝 57.7 西瓜子(炒) 32.7
扇贝(干) 55.6 蛋黄粉 31.6
奶酪(干) 55.1 奶酪 31.5
鲍鱼(干) 54.1 酱牛肉 31.4
脱脂奶豆腐 53.7 虾皮 30.7
海参(干) 50.2 鲮鱼(罐头) 30.7
贻贝(干) 47.8 榛子(炒) 30.5
干酵母 47.6 驴鞭 29.7
奶豆腐(鲜) 46.2 扒鸡 29.6
鱼片干 46.1 羊肉(手抓) 27.3
咖喱牛肉干 45.9 马牙大豆 27.2
牛肉干 45.6 驴肉(煮) 27.0
腐竹 44.6 蚕豆 27.0
豆腐皮 44.6 羊肚菌(干) 26.9
虾米(海米) 43.7 油面筋 26.9
鸡蛋粉 43.4 鸭掌 26.9
豆粕 42.4 紫菜(干) 26.7
味精 40.1 开花豆 26.7
口蘑 38.7 蝎子 26.2
肉松 38.6 羊肉串(烤) 26.0
丁香鱼(干) 37.5 白笋(干) 26.0
小麦胚粉 36.4 柿叶茶 25.8
南瓜子(炒) 36.0 奶酪(干) 25.7
黑豆 36.0 杏仁(炒) 25.7
猪蹄筋 35.3 骆驼筋 25.6 牛蹄筋(熟) 35.2 酱山羊肉 25.4
黄豆 35.0 蚕豆(去皮) 25.4
青豆 34.5 扁豆 25.3
羊蹄筋(生) 34.3 福建肉松 25.1 酱驴肉 33.7 花生仁(生) 24.8
表1-4 低蛋白食物含量表(以100g可食部计)
食物名称含量g 食物名称含量g 果汁、茶水 0.1 荔枝 0.8 葡萄酒 0.1 枇杷 0.8 糖 0.1 猕猴桃 0.8 白醋 0.1 黄瓜 0.8 藕粉 0.2 心里美萝卜 0.8 各种苹果 0.2 芸豆 0.8 各种梨 0.2~0.3 沙棘 0.8 粉皮 0.3 芹菜 0.8 金糕 0.2 西葫芦 0.8 凉粉 0.2 水萝卜 0.8 什锦籽果 0.3 地瓜 0.9 桃 0.3 蜜桃 0.9
葡萄 0.4 番茄 0.9
啤酒 0.4 杏 0.9
木瓜 0.4 红、胡萝卜 1.0
香蕉苹果 0.4 草莓 1.0
柿 0.4 苦瓜 1.0
白令瓜 0.4 甜菜根 1.0 豌豆 0.4 丝瓜 1.0
冬瓜 0.4 甜椒 1.0
蜂蜜 0.4 樱桃 1.1
苹果酱、桃酱 0.4 鲜枣 1.1
淀粉 0.5 茄子 1.1
粉条 0.5 玉米笋 1.1
黄桃 0.5 菊苣 1.2
菠萝 0.5 茭白 1.2
西瓜、菜瓜 0.5~0.6 辣椒、小萝卜 1.3
芒果、杨桃 0.5~0.6 芦笋、窝笋叶 1.4
久保桃 0.5~0.6 甘薯(白心) 1.4
西红柿、柑桔 0.6~0.7 酸枣、无花果 1.5
富士苹果、李子 0.7 蛇瓜、白菜 1.5
葫芦 0.7 水发木耳 1.5
南瓜 0.7 藕、山药 1.9。