动量及动量守恒定律全章典型习题精讲
- 格式:doc
- 大小:403.00 KB
- 文档页数:14
高中物理-动量守恒定律经典例题详解一 动量 冲量 动量定理1.篮球运动员通常伸出双手迎接传来的篮球.接球时,两手随球迅速收缩至胸前.这样做可以( )A .减小球对手的冲量B .减小球对手的冲击力C .减小球的动量变化量D .减小球的动能变化量答案B [解析] 由动量定理Ft =Δp 知,接球时两手随球迅速收缩至胸前,延长了手与球接触的时间,从而减小了球的动量变化率,减小了球对手的冲击力,选项B 正确.二 动量守恒定律2. 一弹丸在飞行到距离地面5 m 高时仅有水平速度v =2 m/s ,爆炸成为甲、乙两块水平飞出,甲、乙的质量比为3∶1,不计质量损失,重力加速度g 取10 m/s 2,则下列图中两块弹片飞行的轨迹可能正确的是A BC D答案B [解析] 弹丸在爆炸过程中,水平方向的动量守恒,有m 弹丸v 0=34m v 甲+14m v 乙,解得4v 0=3v 甲+v 乙,爆炸后两块弹片均做平抛运动,竖直方向有h =12gt 2,水平方向对甲、乙两弹片分别有x 甲=v 甲t ,x 乙=v 乙t ,代入各图中数据,可知B 正确.3.如图所示,竖直平面内的四分之一圆弧轨道下端与水平桌面相切,小滑块A 和B 分别静止在圆弧轨道的最高点和最低点.现将A 无初速释放,A 与B 碰撞后结合为一个整体,并沿桌面滑动.已知圆弧轨道光滑,半径R =0.2 m ;A 和B 的质量相等;A 和B 整体与桌面之间的动摩擦因数μ=0.2.重力加速度g 取10 m/s 2.求:(1) 碰撞前瞬间A 的速率v ;(2) 碰撞后瞬间A 和B 整体的速率v ′; (3) A 和B 整体在桌面上滑动的距离l .[答案] (1)2 m/s (2)1 m/s (3)0.25 m [解析] 设滑块的质量为m . (1)根据机械能守恒定律有mgR =12m v 2解得碰撞前瞬间A 的速率有v =2gR =2 m/s.(2)根据动量守恒定律有m v =2m v ′解得碰撞后瞬间A 和B 整体的速率v ′=12v =1 m/s.(3)根据动能定理有12(2m )v ′2=μ(2m )gl 解得A 和B 整体沿水平桌面滑动的距离l =v ′22μg=0.25 m . 4.质量为2 kg 的小车以2 m/s 的速度沿光滑的水平面向右运动,若将质量为0 .5 kg 的砂袋以3 m/s 的水平速度迎面扔上小车,则砂袋与小车一起运动的速度的大小和方向是( )A .1.0 m/s ,向右B .1.0 m/s ,向左C .2.2 m/s ,向右D .2.2 m/s ,向左答案D [解析] 忽略空气阻力和分离前后系统质量的变化,卫星和箭体整体分离前后动量守恒,则有(m 1+m 2)v 0=m 1v 1+m 2v 2,整理可得v 1=v 0+m 2m 1(v 0-v 2),故D 项正确. 5.冰壶运动深受观众喜爱,图X291甲为2014年2月第22届索契冬奥会上中国队员投掷冰壶的镜头.在某次投掷中,冰壶甲运动一段时间后与对方静止的冰壶乙发生正碰,如图乙.若两冰壶质量相等,则碰后两冰壶最终停止的位置,可能是图丙中的哪幅图( )图X291答案B [解析] 两个质量相等的冰壶发生正碰,碰撞前后都在同一直线上,选项A 错误;碰后冰壶A 在冰壶B 的左边,选项C 错误;碰撞过程中系统的动能可能减小,也可能不变,但不能增大,所以选项B 正确,选项D 错误.6.下图X292是“牛顿摆”装置,5个完全相同的小钢球用轻绳悬挂在水平支架上,5根轻绳互相平行,5个钢球彼此紧密排列,球心等高.用1、2、3、4、5分别标记5个小钢球.当把小球1向左拉起一定高度,如图甲所示,然后由静止释放,在极短时间内经过小球间的相互碰撞,可观察到球5向右摆起,且达到的最大高度与球1的释放高度相同,如图乙所示.关于此实验,下列说法中正确的是()图X292A.上述实验过程中,5个小球组成的系统机械能守恒,动量守恒B.上述实验过程中,5个小球组成的系统机械能不守恒,动量不守恒C.如果同时向左拉起小球1、2、3到相同高度(如图丙所示),同时由静止释放,经碰撞后,小球4、5一起向右摆起,且上升的最大高度高于小球1、2、3的释放高度D.如果同时向左拉起小球1、2、3到相同高度(如图丙所示),同时由静止释放,经碰撞后,小球3、4、5一起向右摆起,且上升的最大高度与小球1、2、3的释放高度相同答案D[解析] 5个小球组成的系统发生的是弹性正碰,系统的机械能守恒,系统在水平方向的动量守恒,总动量并不守恒,选项A、B错误;同时向左拉起小球1、2、3到相同的高度,同时由静止释放并与4、5碰撞后,由机械能守恒和水平方向的动量守恒知,小球3、4、5一起向右摆起,且上升的最大高度与小球1、2、3的释放高度相同,选项C错误,选项D正确.三动量综合问题7. 如图所示,水平地面上静止放置一辆小车A,质量m A=4 kg,上表面光滑,小车与地面间的摩擦力极小,可以忽略不计.可视为质点的物块B置于A的最右端,B的质量m B =2 kg.现对A施加一个水平向右的恒力F=10 N,A运动一段时间后,小车左端固定的挡板与B发生碰撞,碰撞时间极短,碰后A、B粘合在一起,共同在F的作用下继续运动,碰撞后经时间t=0.6 s,二者的速度达到v t=2 m/s.求:(1)A开始运动时加速度a的大小;(2)A、B碰撞后瞬间的共同速度v的大小;(3)A的上表面长度l.答案(1)2.5 m/s2(2)1 m/s(3)0.45 m[解析] (1)以A为研究对象,由牛顿第二定律有F=m A a①代入数据解得a=2.5 m/s2②(2)对A、B碰撞后共同运动t=0.6 s的过程,由动量定理得Ft=(m A+m B)v t-(m A+m B)v③代入数据解得v =1 m/s ④(3)设A 、B 发生碰撞前,A 的速度为v A ,对A 、B 发生碰撞的过程,由动量守恒定律有m A v A =(m A +m B )v ⑤A 从开始运动到与B 发生碰撞前,由动能定理有Fl =12m A v 2A ⑥ 由④⑤⑥式,代入数据解得l =0.45 m ⑦8.如图所示,质量分别为m A 、m B 的两个弹性小球A 、B 静止在地面上,B 球距地面的高度h =0.8 m ,A 球在B 球的正上方,先将B 球释放,经过一段时间后再将A 球释放,当A 球下落t =0.3 s 时,刚好与B 球在地面上方的P 点处相碰,碰撞时间极短,碰后瞬间A 球的速度恰为零,已知m B =3m A ,重力加速度大小g 取10 m/s 2,忽略空气阻力及碰撞中的动能损失.求:(1)B 球第一次到过地面时的速度; (2)P 点距离地面的高度.答案解:(ⅰ)设B 球第一次到达地面时的速度大小为v B ,由运动学公式有v B =2gh ①将h =0.8 m 代入上式,得v 1=4 m/s.②(ⅱ)设两球相碰前后,A 球的速度大小分别为v 1和v ′1(v ′1=0),B 球的速度分别为v 2和v ′2,由运动学规律可得v 1=gt ③由于碰撞时间极短,重力的作用可以忽略,两球相碰前后的动量守恒,总动能保持不变,规定向下的方向为正,有m A v 1+m B v 2=m B v ′2④12m A v 21+12m B v 22=12m v ′22⑤ 设B 球与地面相碰后速度大小为v ′B ,由运动学及碰撞的规律可得v ′B =v B ⑥设P 点距地面的高度为h ′,由运动学规律可得h ′=v ′2B -v 222g⑦联立②③④⑤⑥⑦式,并代入已知条件可得h ′=0.75 m .⑧9. 一中子与一质量数为A (A >1)的原子核发生弹性正碰.若碰前原子核静止,则碰撞前与碰撞后中子的速率之比为( )A.A +1A -1B.A -1A +1C.4A(A +1)2 D.(A +1)2(A -1)2答案A [解析] 本题考查完全弹性碰撞中的动量守恒、动能守恒.设碰撞前后中子的速率分别为v 1,v ′1,碰撞后原子核的速率为v 2,中子的质量为m 1,原子核的质量为m 2,则m 2=Am 1.根据完全弹性碰撞规律可得m 1v 1=m 2v 2+m 1v ′1,12m 1v 21=12m 2v 22+12m 1v ′21,解得碰后中子的速率v ′1=⎪⎪⎪⎪⎪⎪m 1-m 2m 1+m 2v 1=A -1A +1v 1,因此碰撞前后中子速率之比v 1v ′1=A +1A -1,A 正确.10.如图X296所示,竖直平面内的光滑水平轨道的左边与墙壁对接,右边与一个足够高的14光滑圆弧轨道平滑相连,木块A 、 B 静置于光滑水平轨道上,A 、B 的质量分别为1.5kg 和0.5 kg.现让A 以6 m/s 的速度水平向左运动,之后与墙壁碰撞,碰撞的时间为0.3 s ,碰后的速度大小变为4 m/s.当A 与B 碰撞后会立即粘在一起运动,g 取10 m/s 2,求:(1)在A 与墙壁碰撞的过程中,墙壁对A 的平均作用力的大小; (2)A 、B 滑上圆弧轨道的最大高度.图X296答案(1)50 N (2)0.45 m[解析] (1)设水平向右为正方向,当A 与墙壁碰撞时根据动量定理有 Ft =m A v ′1-m A ·(-v 1) 解得F =50 N.(2)设碰撞后A 、B 的共同速度为v ,根据动量守恒定律有 m A v ′1=(m A +m B )vA 、B 在光滑圆形轨道上滑动时,机械能守恒,由机械能守恒定律得 12(m A +m B )v 2=(m A +m B )gh 解得h =0.45 m.四 力学观点的综合应用11.如图的水平轨道中,AC 段的中点B 的正上方有一探测器,C 处有一竖直挡板,物体P 1沿轨道向右以速度v 1与静止在A 点的物体P 2碰撞,并接合成复合体P ,以此碰撞时刻为计时零点,探测器只在t 1=2 s 至t 2=4 s 内工作.已知P 1、P 2的质量都为m =1 kg ,P 与AC 间的动摩擦因数为μ=0.1,AB 段长L =4 m ,g 取10 m/s 2,P 1、P 2和P 均视为质点,P 与挡板的碰撞为弹性碰撞.(1)若v 1=6 m/s ,求P 1、P 2碰后瞬间的速度大小v 和碰撞损失的动能ΔE ;(2)若P 与挡板碰后,能在探测器的工作时间内通过B 点,求v 1的取值范围和P 向左经过A 点时的最大动能E .答案(1)3 m/s 9 J (2)10 m/s ≤v 1≤14 m/s 17 J [解析] (1)P 1、P 2碰撞过程动量守恒,有m v 1=2m v解得v =v 12=3 m/s碰撞过程中损失的动能为ΔE =12m v 21-12(2m )v 2解得ΔE =9 J.(2)由于P 与挡板的碰撞为弹性碰撞.故P 在AC 间等效为匀减速运动,设P 在AC 段加速度大小为a ,碰后经过B 点的速度为v 2 ,由牛顿第二定律和运动学规律,得μ(2m )g =2ma3L =v t -12at 2v 2=v -at解得v 1=2v =6L +μgt 2t v 2=6L -μgt 22t由于2 s ≤t ≤4 s 所以解得v 1的取值范围10 m/s ≤v 1≤14 m/sv 2的取值范围1 m/s ≤v 2≤5 m/s所以当v 2=5 m/s 时,P 向左经过A 点时有最大速度 v 3=v 22-2μgL则P 向左经过A 点时有最大动能E =12(2m )v 23=17 J. 12. 冰球运动员甲的质量为80.0 kg.当他以5.0 m/s 的速度向前运动时,与另一质量为100 kg 、速度为3.0 m/s 的迎面而来的运动员乙相撞.碰后甲恰好静止.假设碰撞时间极短,求:(1 )碰后乙的速度的大小; (2)碰撞中总机械能的损失. [答案] (1)1.0 m/s (2)1400 J[解析] (1)设运动员甲、乙的质量分别为m 、M ,碰前速度大小分别为v 、V ,碰后乙的速度大小为V ′.由动量守恒定律有m v -MV =MV ′①代入数据得V ′=1.0 m/s ②(2)设碰撞过程中总机械能的损失为ΔE ,应有12m v 2+12MV 2=12MV ′2+ΔE ③ 联立②③式,代入数据得ΔE =1400 J ④。
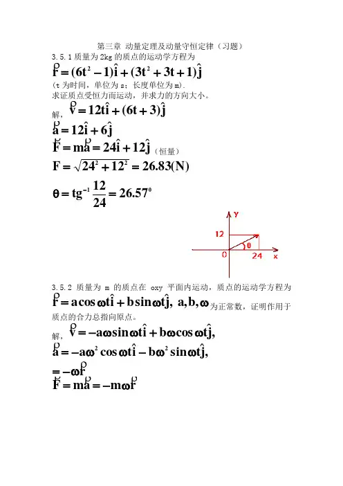
第三章 动量定理及动量守恒定律(习题)3.5.1质量为2kg 的质点的运动学方程为 j ˆ)1t 3t 3(i ˆ)1t 6(r 22+++-=(t 为时间,单位为s ;长度单位为m).求证质点受恒力而运动,并求力的方向大小。
解,j ˆ)3t 6(i ˆt 12v ++= j ˆ6i ˆ12a +=jˆ12i ˆ24a m F +==(恒量)12257.262412tg )N (83.261224F ==θ=+=-3.5.2质量为m 的质点在oxy 平面内运动,质点的运动学方程为ωω+ω=b,a, ,j ˆt sin b i ˆt cos a r为正常数,证明作用于质点的合力总指向原点。
解, ,j ˆt cos b i ˆt sin a v ωω+ωω-= r,j ˆt sin b i ˆt cos a a 22 ω-=ωω-ωω-= r m a m F ω-==3.5.3在脱粒机中往往装有振动鱼鳞筛,一方面由筛孔漏出谷粒,一方面逐出秸杆,筛面微微倾斜,是为了从较底的一边将秸杆逐出,因角度很小,可近似看作水平,筛面与谷粒发生相对运动才可能将谷粒筛出,若谷粒与筛面静摩擦系数为0.4,问筛沿水平方向的加速度至少多大才能使谷物和筛面发生相对运动。
解答,以谷筛为参照系,发生相对运动的条件是,g a ,mg f a m 000μ≥'μ=≥'a ' 最小值为)s /m (92.38.94.0g a 20=⨯=μ='以地面为参照系:解答,静摩擦力使谷粒产生最大加速度为,mg ma 0max μ= ,g a 0max μ=发生相对运动的条件是筛的加速度g a a0max μ=≥',a '最小值为)s /m (92.38.94.0g a20=⨯=μ='3.5.4桌面上叠放着两块木板,质量各为,m ,m 21如图所示。
2m 和桌面间的摩擦系数为2μ,1m 和2m 间的静摩擦系数为1μ。
高中物理动量守恒定律技巧( 很有用 ) 及练习题及解析一、高考物理精讲专题动量守恒定律1.如图所示,在水平地面上有两物块甲和乙,它们的质量分别为2m 、 m,甲与地面间无摩擦,乙与地面间的动摩擦因数恒定.现让甲以速度v0向着静止的乙运动并发生正碰,且碰撞时间极短,若甲在乙刚停下来时恰好与乙发生第二次碰撞,试求:(1)第一次碰撞过程中系统损失的动能(2)第一次碰撞过程中甲对乙的冲量【答案】(1) 1 mv02; (2)4mv0【解析】【详解】解: (1)设第一次碰撞刚结束时甲、乙的速度分别为v1、 v2,之后甲做匀速直线运动,乙以v2初速度做匀减速直线运动,在乙刚停下时甲追上乙碰撞,因此两物体在这段时间平均速v2度相等,有: v12而第一次碰撞中系统动量守恒有:2mv02mv1 mv2由以上两式可得: v1v0, v2v0 2所以第一次碰撞中的机械能损失为:E 1g2mgv021g2mgv121mv221mv02 2224(2)根据动量定理可得第一次碰撞过程中甲对乙的冲量:I mv20 mv02.如图:竖直面内固定的绝缘轨道abc R=3 m的光滑圆弧段bc与长l=1.5 m的粗,由半径糙水平段 ab 在 b 点相切而构成, O 点是圆弧段的圆心,Oc 与 Ob 的夹角θ=37°;过 f 点的竖直虚线左侧有方向竖直向上、场强大小E=10 N/C 的匀强电场, Ocb 的外侧有一长度足够长、宽度 d =1.6 m 的矩形区域efgh, ef 与 Oc 交于 c 点, ecf 与水平向右的方向所成的夹角为β(53°≤β≤147°),矩形区域内有方向水平向里的匀强磁场.质量m2=3× 10-3 kg、电荷量 q=3× l0-3 C 的带正电小物体Q 静止在圆弧轨道上 b 点,质量 m1=1.5× 10-3 kg 的不带电小物体 P 从轨道右端 a 以 v0=8 m/s 的水平速度向左运动,P、 Q 碰撞时间极短,碰后 P 以 1 m/s 的速度水平向右弹回.已知P 与 ab 间的动摩擦因数μ=0.5,A、B均可视为质点,Q 的电荷量始终不变,忽略空气阻力,sin37° =0.6, cos37° =0.8,重力加速度大小 g=10m/s 2.求:(1)碰后瞬间,圆弧轨道对物体Q 的弹力大小 F N;(2)当β=53°时,物体 Q 刚好不从 gh 边穿出磁场,求区域efgh 内所加磁场的磁感应强度大小 B1;(3)当区域 efgh 内所加磁场的磁感应强度为 B =2T 时,要让物体 Q 从 gh 边穿出磁场且在磁2场中运动的时间最长,求此最长时间t 及对应的 β 值.【答案】 (1) F N4.6 10 2 N (2) B 11.25T (3) t127 s , 1 900 和 2 1430360【解析】【详解】解: (1)设P 碰撞前后的速度分别为v和v 1 , Q 碰后的速度为 v21从 a 到 b ,对 P ,由动能定理得:1 2 12 - m 1gl2 m 1v 12m 1v解得: v 17m/s碰撞过程中,对P , Q 系统:由动量守恒定律:m vm v m v21 11 12 取向左为正方向,由题意 v 11m/s,解得: v 24m/sb 点:对 Q ,由牛顿第二定律得:F Nm 2 g m 2 v 2 2R解得 : F N4.6 10 2 N(2)设 Q 在 c 点的速度为 v c ,在 b 到 c 点,由机械能守恒定律:m 2 gR(1 cos) 1 m 2v c 21m 2v 2 22 2解得: v c 2m/s进入磁场后: Q 所受电场力 FqE 3 10 2 Nm 2 g , Q 在磁场做匀速率圆周运动m v 2由牛顿第二定律得:qv c B 12 cr1Q 刚好不从 gh 边穿出磁场,由几何关系: r 1 d1.6m解得: B 1 1.25T(3)当所加磁场 B 22T m 2v c1m, r 2 qB 2要让 Q 从 gh 边穿出磁场且在磁场中运动的时间最长,则 Q 在磁场中运动轨迹对应的圆心角最大,则当gh 边或 ef 边与圆轨迹相切,轨迹如图所示:d r2设最大圆心角为,由几何关系得:cos(180)r2解得:1272 m2运动周期: TqB2则 Q 在磁场中运动的最长时间:t T127 ?2 m2127 s360360 qB2360此时对应的角:190 和2 1433.如图所示,质量分别为m1和 m2的两个小球在光滑水平面上分别以速度v1、 v2同向运动,并发生对心碰撞,碰后 m2被右侧墙壁原速弹回,又与 m1碰撞,再一次碰撞后两球都静止.求第一次碰后 m1球速度的大小 .【答案】【解析】设两个小球第一次碰后m1和 m2速度的大小分别为和,由动量守恒定律得:( 4 分)两个小球再一次碰撞,(4 分)得:( 4 分)本题考查碰撞过程中动量守恒的应用,设小球碰撞后的速度,找到初末状态根据动量守恒的公式列式可得4.如图,质量分别为m1=1.0kg 和 m2=2.0kg 的弹性小球a、 b,用轻绳紧紧的把它们捆在一起,使它们发生微小的形变.该系统以速度v0=0.10m/s 沿光滑水平面向右做直线运动.某时刻轻绳突然自动断开,断开后两球仍沿原直线运动.经过时间t=5.0s 后,测得两球相距s=4.5m ,则刚分离时, a 球、 b 球的速度大小分别为_____________、 ______________;两球分开过程中释放的弹性势能为_____________ .【答案】①0.7m/s, -0.2m/s②0.27J【解析】试题分析:① 根据已知,由动量守恒定律得联立得② 由能量守恒得代入数据得考点:考查了动量守恒,能量守恒定律的应用【名师点睛】关键是对过程分析清楚,搞清楚过程中初始量与末时量,然后根据动量守恒定律与能量守恒定律分析解题5.如图,质量分别为、的两个小球A、B 静止在地面上方, B 球距地面的高度h=0.8m , A 球在 B 球的正上方.先将B球释放,经过一段时间后再将 A 球释放.当 A 球下落 t=0.3s 时,刚好与 B 球在地面上方的P 点处相碰,碰撞时间极短,碰后瞬间 A 球的速度恰为零.已知,重力加速度大小为,忽略空气阻力及碰撞中的动能损失.(i) B 球第一次到达地面时的速度;(i i )P 点距离地面的高度.【答案】 v B4m / s h p0.75m【解析】试题分析:( i) B 球总地面上方静止释放后只有重力做功,根据动能定理有m B gh1m B v B22可得 B 球第一次到达地面时的速度v B2gh4m / s(ii )A 球下落过程,根据自由落体运动可得 A 球的速度v A gt3m / s设 B 球的速度为v',则有碰撞过程动量守恒Bm A v A m B v B ' m B v B ''碰撞过程没有动能损失则有1212122m A v A2m B v B '2 m B v B ''解得 v B '1m / s , v B '' 2m / s小球 B 与地面碰撞后根据没有动能损失所以 B 离开地面上抛时速度v0 v B 4m / s所以 P 点的高度h p v02v B'22g0.75 m考点:动量守恒定律能量守恒6.光滑水平轨道上有三个木块A B C3m C m ,开始时、、,质量分别为 m A m 、m BB、 C 均静止, A 以初速度v0向右运动, A 与 B 相撞后分开, B 又与 C 发生碰撞并粘在一起,此后 A 与 B 间的距离保持不变.求 B 与 C 碰撞前 B 的速度大小.【答案】 v B 6 v0 5【解析】【分析】【详解】设 A 与 B 碰撞后, A 的速度为v A, B 与 C 碰撞前 B 的速度为V B, B 与 C 碰撞后粘在一起的速度为 v ,由动量守恒定律得:对 A、 B 木块:m A v0m A v A m B v B对 B、 C木块:m B v B m B m C v由 A 与 B 间的距离保持不变可知v A v联立代入数据得:v B 6v0.57.用放射源钋的α射线轰击铍时,能发射出一种穿透力极强的中性射线,这就是所谓铍“辐射”. 1932 年,查德威克用铍“辐射”分别照射(轰击)氢和氨(它们可视为处于静止状态).测得照射后沿铍“辐射”方向高速运动的氨核和氦核的质量之比为7: 0.查德威克假设铍“辐射”是由一种质量不为零的中性粒子构成的,从而通过上述实验在历史上首次发现了中子.假设铍“辐射”中的中性粒子与氢或氦发生弹性正碰,试在不考虑相对论效应的条件下计算构成铍“辐射”的中性粒子的质量.(质量用原子质量单位u 表示, 1u 等于 1 个12C 原子质量的十二分之一.取氢核和氦核的质量分别为 1.0u 和 14u.)【答案】 m= 1.2u【解析】设构成铍“副射”的中性粒子的质量和速度分别为m 和 v,氢核的质量为 m H.构成铍“辐射”的中性粒子与氢核发生弹性正碰,碰后两粒子的速度分别为v′和 v H′.由动量守恒与能量守恒定律得mv= mv′+ m H v H′①1mv2=1mv′2+12222 m H v H′②解得2mvv H′=m m H③同理,对于质量为m N的氮核,其碰后速度为2mvV′=m m N④N由③④ 式可得m=m N v N 'm H v H '⑤v H 'v N '根据题意可知v H′=7.0v N′ ⑥将上式与题给数据代入⑤ 式得m= 1.2u⑦8.一轻质弹簧一端连着静止的物体B,放在光滑的水平面上,静止的物体 A 被水平速度为v0的子弹射中并且嵌入其中,随后一起向右运动压缩弹簧,已知物体 A 的质量是物体 B 的质量的3,子弹的质量是物体 B 的质量的1,求:44(1)物体 A 被击中后的速度大小;(2)弹簧压缩到最短时 B 的速度大小。
【物理】高考必备物理动量守恒定律技巧全解及练习题(含答案)一、高考物理精讲专题动量守恒定律1.如图所示,小明站在静止在光滑水平面上的小车上用力向右推静止的木箱,木箱最终以速度v 向右匀速运动.已知木箱的质量为m ,人与车的总质量为2m ,木箱运动一段时间后与竖直墙壁发生无机械能损失的碰撞,反弹回来后被小明接住.求:(1)推出木箱后小明和小车一起运动的速度v 1的大小; (2)小明接住木箱后三者一起运动的速度v 2的大小. 【答案】①2v;②23v 【解析】试题分析:①取向左为正方向,由动量守恒定律有:0=2mv 1-mv 得12v v =②小明接木箱的过程中动量守恒,有mv+2mv 1=(m+2m )v 2 解得223v v =考点:动量守恒定律2.如图所示,质量为M=1kg 上表面为一段圆弧的大滑块放在水平面上,圆弧面的最底端刚好与水平面相切于水平面上的B 点,B 点左侧水平面粗糙、右侧水平面光滑,质量为m=0.5kg 的小物块放在水平而上的A 点,现给小物块一个向右的水平初速度v 0=4m/s ,小物块刚好能滑到圆弧面上最高点C 点,已知圆弧所对的圆心角为53°,A 、B 两点间的距离为L=1m ,小物块与水平面间的动摩擦因数为μ=0.2,重力加速度为g=10m/s 2.求: (1)圆弧所对圆的半径R ;(2)若AB 间水平面光滑,将大滑块固定,小物块仍以v 0=4m/s 的初速度向右运动,则小物块从C 点抛出后,经多长时间落地?【答案】(1)1m (2)4282t s += 【解析】 【分析】根据动能定理得小物块在B 点时的速度大小;物块从B 点滑到圆弧面上最高点C 点的过程,小物块与大滑块组成的系统水平方向动量守恒,根据动量守恒和系统机械能守恒求出圆弧所对圆的半径;,根据机械能守恒求出物块冲上圆弧面的速度,物块从C 抛出后,根据运动的合成与分解求落地时间; 【详解】解:(1)设小物块在B 点时的速度大小为1v ,根据动能定理得:22011122mgL mv mv μ=- 设小物块在B 点时的速度大小为2v ,物块从B 点滑到圆弧面上最高点C 点的过程,小物块与大滑块组成的系统水平方向动量守恒,根据动量守恒则有:12()mv m M v =+ 根据系统机械能守恒有:2201211()(cos53)22mv m M v mg R R =++- 联立解得:1R m =(2)若整个水平面光滑,物块以0v 的速度冲上圆弧面,根据机械能守恒有:2200311(cos53)22mv mv mg R R =+-解得:3/v s =物块从C 抛出后,在竖直方向的分速度为:3sin 53/y v v s =︒= 这时离体面的高度为:cos530.4h R R m =-︒=212y h v t gt -=-解得:25t s =3.运载火箭是人类进行太空探索的重要工具,一般采用多级发射的设计结构来提高其运载能力。
动量定理及动量守恒定律专题复习一、知识梳理1、深刻理解动量的概念(1)定义:物体的质量和速度的乘积叫做动量:p =mv(2)动量是描述物体运动状态的一个状态量,它与时刻相对应。
(3)动量是矢量,它的方向和速度的方向相同。
(4)动量的相对性:由于物体的速度与参考系的选取有关,所以物体的动量也与参考系选取有关,因而动量具有相对性。
题中没有特别说明的,一般取地面或相对地面静止的物体为参考系。
(5)动量的变化:0p p p t -=∆.由于动量为矢量,则求解动量的变化时,其运算遵循平行四边形定则。
A 、若初末动量在同一直线上,则在选定正方向的前提下,可化矢量运算为代数运算。
B 、若初末动量不在同一直线上,则运算遵循平行四边形定则。
(6)动量与动能的关系:k mE P 2=,注意动量是矢量,动能是标量,动量改变,动能不一定改变,但动能改变动量是一定要变的。
2、深刻理解冲量的概念(1)定义:力和力的作用时间的乘积叫做冲量:I =Ft(2)冲量是描述力的时间积累效应的物理量,是过程量,它与时间相对应。
(3)冲量是矢量,它的方向由力的方向决定(不能说和力的方向相同)。
如果力的方向在作用时间内保持不变,那么冲量的方向就和力的方向相同。
如果力的方向在不断变化,如绳子拉物体做圆周运动,则绳的拉力在时间t 内的冲量,就不能说是力的方向就是冲量的方向。
对于方向不断变化的力的冲量,其方向可以通过动量变化的方向间接得出。
(4)高中阶段只要求会用I=Ft 计算恒力的冲量。
对于变力的冲量,高中阶段只能利用动量定理通过物体的动量变化来求。
(5)要注意的是:冲量和功不同。
恒力在一段时间内可能不作功,但一定有冲量。
特别是力作用在静止的物体上也有冲量。
3、深刻理解动量定理(1).动量定理:物体所受合外力的冲量等于物体的动量变化。
既I =Δp(2)动量定理表明冲量是使物体动量发生变化的原因,冲量是物体动量变化的量度。
这里所说的冲量必须是物体所受的合外力的冲量(或者说是物体所受各外力冲量的矢量和)。
专题26 动量动量定理动量守恒定律1.理解动量、动量变化量、动量定理的概念.2.知道动量守恒的条件.1、动量、动量定理〔1〕动量①定义:运动物体的质量和速度的乘积叫做物体的动量,通常用p来表示。
②表达式:p=mv。
③单位:kg·m/s。
④标矢性:动量是矢量,其方向和速度方向一样。
〔2〕冲量①定义:力和力的作用时间的乘积叫做力的冲量。
②表达式:I=Ft。
单位:N·s。
③标矢性:冲量是矢量,它的方向由力的方向决定。
〔3〕动量定理项目动量定理内容物体在一个过程始末的动量变化量等于它在这个过程中所受力的冲量表达式p′-p=F合t或mv′-mv=F合t意义合外力的冲量是引起物体动量变化的原因标矢性矢量式(注意正方向的选取)2、动量守恒定律〔1〕内容:如果一个系统不受外力,或者所受外力的矢量和为0,这个系统的总动量保持不变。
〔2〕表达式:m1v1+m2v2=m1v1′+m2v2′或p=p′。
〔3〕适用条件①理想守恒:系统不受外力或所受外力的合力为零,如此系统动量守恒。
②近似守恒:系统受到的合力不为零,但当内力远大于外力时,系统的动量可近似看成守恒。
③分方向守恒:系统在某个方向上所受合力为零时,系统在该方向上动量守恒。
考点一 动量定理的理解与应用 1.应用动量定理时应注意(1)动量定理的研究对象是一个质点(或可视为一个物体的系统)。
(2)动量定理的表达式是矢量式,在一维情况下,各个矢量必须选同一个正方向。
2.动量定理的应用 (1)用动量定理解释现象①物体的动量变化一定,此时力的作用时间越短,力就越大;时间越长,力就越小。
②作用力一定,此时力的作用时间越长,动量变化越大;力的作用时间越短,动量变化越小。
(2)应用I =Δp 求变力的冲量。
(3)应用Δp =F ·Δt 求恒力作用下的曲线运动中物体动量的变化量。
★重点归纳★ 1、动量的性质①矢量性:方向与瞬时速度方向一样。
②瞬时性:动量是描述物体运动状态的量,是针对某一时刻而言的。
高中物理动量守恒定律解题技巧及经典题型及练习题(含答案)含解析一、高考物理精讲专题动量守恒定律1.如图甲所示,物块A、B的质量分别是m A=4.0kg和m B=3.0kg.用轻弹簧拴接,放在光滑的水平地面上,物块B右侧与竖直墙相接触.另有一物块C从t=0时以一定速度向右运动,在t=4s时与物块A相碰,并立即与A粘在一起不再分开,物块C的v-t图象如图乙所示.求:①物块C的质量?②B离开墙后的运动过程中弹簧具有的最大弹性势能E P?【答案】(1)2kg(2)9J【解析】试题分析:①由图知,C与A碰前速度为v1=9 m/s,碰后速度为v2=3 m/s,C与A碰撞过程动量守恒.m c v1=(m A+m C)v2即m c=2 kg②12 s时B离开墙壁,之后A、B、C及弹簧组成的系统动量和机械能守恒,且当A、C与B的速度相等时,弹簧弹性势能最大(m A+m C)v3=(m A+m B+m C)v4得E p=9 J考点:考查了动量守恒定律,机械能守恒定律的应用【名师点睛】分析清楚物体的运动过程、正确选择研究对象是正确解题的关键,应用动量守恒定律、能量守恒定律、动量定理即可正确解题.2.如图所示,质量M=1kg的半圆弧形绝缘凹槽放置在光滑的水平面上,凹槽部分嵌有cd 和ef两个光滑半圆形导轨,c与e端由导线连接,一质量m=lkg的导体棒自ce端的正上方h=2m处平行ce由静止下落,并恰好从ce端进入凹槽,整个装置处于范围足够大的竖直方向的匀强磁场中,导体棒在槽内运动过程中与导轨接触良好。
已知磁场的磁感应强度B=0.5T,导轨的间距与导体棒的长度均为L=0.5m,导轨的半径r=0.5m,导体棒的电阻R=1Ω,其余电阻均不计,重力加速度g=10m/s2,不计空气阻力。
(1)求导体棒刚进入凹槽时的速度大小;(2)求导体棒从开始下落到最终静止的过程中系统产生的热量;(3)若导体棒从开始下落到第一次通过导轨最低点的过程中产生的热量为16J ,求导体棒第一次通过最低点时回路中的电功率。
高中物理动量守恒定律解题技巧及经典题型及练习题(含答案)含解析一、高考物理精讲专题动量守恒定律1.在图所示足够长的光滑水平面上,用质量分别为3kg 和1kg 的甲、乙两滑块,将仅与甲拴接的轻弹簧压紧后处于静止状态.乙的右侧有一挡板P .现将两滑块由静止释放,当弹簧恢复原长时,甲的速度大小为2m/s ,此时乙尚未与P 相撞.①求弹簧恢复原长时乙的速度大小;②若乙与挡板P 碰撞反弹后,不能再与弹簧发生碰撞.求挡板P 对乙的冲量的最大值. 【答案】v 乙=6m/s. I =8N 【解析】 【详解】(1)当弹簧恢复原长时,设甲乙的速度分别为和,对两滑块及弹簧组成的系统,设向左的方向为正方向,由动量守恒定律可得:又知联立以上方程可得,方向向右。
(2)乙反弹后甲乙刚好不发生碰撞,则说明乙反弹的的速度最大为由动量定理可得,挡板对乙滑块冲量的最大值为:2.水平放置长为L=4.5m 的传送带顺时针转动,速度为v =3m/s ,质量为m 2=3kg 的小球被长为1l m =的轻质细线悬挂在O 点,球的左边缘恰于传送带右端B 对齐;质量为m 1=1kg 的物块自传送带上的左端A 点以初速度v 0=5m/s 的速度水平向右运动,运动至B 点与球m 2发生碰撞,在极短的时间内以碰撞前速率的12反弹,小球向右摆动一个小角度即被取走。
已知物块与传送带间的滑动摩擦因数为μ=0.1,取重力加速度210m/s g =。
求:(1)碰撞后瞬间,小球受到的拉力是多大?(2)物块在传送带上运动的整个过程中,与传送带间摩擦而产生的内能是多少? 【答案】(1)42N (2)13.5J 【解析】 【详解】解:设滑块m1与小球碰撞前一直做匀减速运动,根据动能定理:221111011=22m gL m v m v μ--解之可得:1=4m/s v 因为1v v <,说明假设合理滑块与小球碰撞,由动量守恒定律:21111221=+2m v m v m v - 解之得:2=2m/s v碰后,对小球,根据牛顿第二定律:2222m v F m g l-=小球受到的拉力:42N F =(2)设滑块与小球碰撞前的运动时间为1t ,则()01112L v v t =+ 解之得:11s t =在这过程中,传送带运行距离为:113S vt m == 滑块与传送带的相对路程为:11 1.5X L X m ∆=-=设滑块与小球碰撞后不能回到传送带左端,向左运动最大时间为2t 则根据动量定理:121112m gt m v μ⎛⎫-=-⋅ ⎪⎝⎭解之得:22s t =滑块向左运动最大位移:121122m x v t ⎛⎫=⋅⋅ ⎪⎝⎭=2m 因为m x L <,说明假设成立,即滑块最终从传送带的右端离开传送带 再考虑到滑块与小球碰后的速度112v <v , 说明滑块与小球碰后在传送带上的总时间为22t在滑块与传送带碰撞后的时间内,传送带与滑块间的相对路程22212X vt m ∆==因此,整个过程中,因摩擦而产生的内能是()112Q m g x x μ=∆+∆=13.5J3.在相互平行且足够长的两根水平光滑的硬杆上,穿着三个半径相同的刚性球A 、B 、C ,三球的质量分别为m A =1kg 、m B =2kg 、m C =6kg ,初状态BC 球之间连着一根轻质弹簧并处于静止,B 、C 连线与杆垂直并且弹簧刚好处于原长状态,A 球以v 0=9m/s 的速度向左运动,与同一杆上的B 球发生完全非弹性碰撞(碰撞时间极短),求:(1)A球与B球碰撞中损耗的机械能;(2)在以后的运动过程中弹簧的最大弹性势能;(3)在以后的运动过程中B球的最小速度.【答案】(1);(2);(3)零.【解析】试题分析:(1)A、B发生完全非弹性碰撞,根据动量守恒定律有:碰后A、B的共同速度损失的机械能(2)A、B、C系统所受合外力为零,动量守恒,机械能守恒,三者速度相同时,弹簧的弹性势能最大根据动量守恒定律有:三者共同速度最大弹性势能(3)三者第一次有共同速度时,弹簧处于伸长状态,A、B在前,C在后.此后C向左加速,A、B的加速度沿杆向右,直到弹簧恢复原长,故A、B继续向左减速,若能减速到零则再向右加速.弹簧第一次恢复原长时,取向左为正方向,根据动量守恒定律有:根据机械能守恒定律:此时A、B的速度,C的速度可知碰后A、B已由向左的共同速度减小到零后反向加速到向右的,故B 的最小速度为零.考点:动量守恒定律的应用,弹性碰撞和完全非弹性碰撞.【名师点睛】A、B发生弹性碰撞,碰撞的过程中动量守恒、机械能守恒,结合动量守恒定律和机械能守恒定律求出A 球与B 球碰撞中损耗的机械能.当B 、C 速度相等时,弹簧伸长量最大,弹性势能最大,结合B 、C 在水平方向上动量守恒、能量守恒求出最大的弹性势能.弹簧第一次恢复原长时,由系统的动量守恒和能量守恒结合解答4.如图所示,质量为M =2kg 的小车静止在光滑的水平地面上,其AB 部分为半径R =0.3m的光滑14圆孤,BC 部分水平粗糙,BC 长为L =0.6m 。
高考物理动量守恒定律试题经典及解析一、高考物理精讲专题动量守恒定律1.如图所示,一辆质量M=3 kg 的小车A 静止在光滑的水平面上,小车上有一质量m=l kg 的光滑小球B ,将一轻质弹簧压缩并锁定,此时弹簧的弹性势能为E p =6J ,小球与小车右壁距离为L=0.4m ,解除锁定,小球脱离弹簧后与小车右壁的油灰阻挡层碰撞并被粘住,求:①小球脱离弹簧时的速度大小;②在整个过程中,小车移动的距离。
【答案】(1)3m/s (2)0.1m 【解析】试题分析:(1)除锁定后弹簧的弹性势能转化为系统动能,根据动量守恒和能量守恒列出等式得 mv 1-Mv 2=022121122P E mv Mv =+ 代入数据解得:v 1=3m/s v 2=1m/s (2)根据动量守恒和各自位移关系得12x xm M t t=,x 1+x 2=L 代入数据联立解得:24Lx ==0.1m 考点:动量守恒定律;能量守恒定律.2.如图,光滑冰面上静止放置一表面光滑的斜面体,斜面体右侧一蹲在滑板上的小孩和其面前的冰块均静止于冰面上.某时刻小孩将冰块以相对冰面3 m/s 的速度向斜面体推出,冰块平滑地滑上斜面体,在斜面体上上升的最大高度为h="0.3" m (h 小于斜面体的高度).已知小孩与滑板的总质量为m 1="30" kg ,冰块的质量为m 2="10" kg ,小孩与滑板始终无相对运动.取重力加速度的大小g="10" m/s 2.(i )求斜面体的质量;(ii )通过计算判断,冰块与斜面体分离后能否追上小孩? 【答案】(i )20 kg (ii )不能 【解析】试题分析:①设斜面质量为M ,冰块和斜面的系统,水平方向动量守恒:222()m v m M v =+系统机械能守恒:22222211()22m gh m M v m v ++= 解得:20kg M =②人推冰块的过程:1122m v m v =,得11/v m s =(向右)冰块与斜面的系统:22223m v m v Mv '=+ 22222223111+222m v m v Mv ='解得:21/v m s =-'(向右) 因21=v v ',且冰块处于小孩的后方,则冰块不能追上小孩. 考点:动量守恒定律、机械能守恒定律.3.光滑水平轨道上有三个木块A 、B 、C ,质量分别为3A m m =、B C m m m ==,开始时B 、C 均静止,A 以初速度0v 向右运动,A 与B 相撞后分开,B 又与C 发生碰撞并粘在一起,此后A 与B 间的距离保持不变.求B 与C 碰撞前B 的速度大小.【答案】065B v v = 【解析】 【分析】 【详解】设A 与B 碰撞后,A 的速度为A v ,B 与C 碰撞前B 的速度为B V ,B 与C 碰撞后粘在一起的速度为v ,由动量守恒定律得: 对A 、B 木块:0A A A B B m v m v m v =+对B 、C 木块:()B B B C m v m m v =+由A 与B 间的距离保持不变可知A v v = 联立代入数据得:065B v v =.4.(1)恒星向外辐射的能量来自于其内部发生的各种热核反应,当温度达到108K 时,可以发生“氦燃烧”。
动量定理、动量守恒定律
一、基本知识
1、动量定理: 12mv mv t F -=合
(矢量式)
2、动量守恒定律: 221
12211v m v m v m v m '+'=+ 或 21p p ∆-=∆ (矢量式)
二、典型题型
例题1:水平速度为v 0、质量为m 的子弹击中并穿过放在光滑水平地面上质量为M 的木块,若木块对子弹的阻力恒定。
子弹、木块速度分别为v 1、v 2。
该过程中具有的物理关系式:
动量守恒定律:mv =1mv +2Mv 动能定理: 对子弹:202112121mv mv S f -=⋅- 对木块:22221Mv S f =
⋅ 对系统:)2121(21222120Mv mv mv E +-=∆损, 相损S f Q E ∆⋅==∆,21S S S -=∆相 例题2:在光滑水平地面上,质量为m 2的小球B 静止,质量为m 1的小球A 以速度v 0向着B 运动,二者发生弹性碰撞,碰后A 、B 的速度分别为v 1、v 2。
该过程中具有的物理关系式:
动量守恒:
221101v m v m v m += 动能守恒: 2222112012
12121v m v m v m += 02
1211v m m m m v +-= 021122v m m m v += A B
v。
第七章动量动量守恒考纲要求1、动量、冲量、动量定理Ⅱ2、动量守恒定律Ⅱ说明:动量定理和动量守恒定律的应用只限于一维的情况知识网络:单元切块:按照考纲的要求,本章内容可以分成两部分,即:动量、冲量、动量定理;动量守恒定律。
其中重点是动量定理和动量守恒定律的应用。
难点是对基本概念的理解和对动量守恒定律的应用。
§1 动量、冲量和动量定理知识目标一、动量1、动量:运动物体的质量和速度的乘积叫做动量.是矢量,方向与速度方向相同;动量的合成与分解,按平行四边形法则、三角形法则.是状态量;通常说物体的动量是指运动物体某一时刻的动量,计算物体此时的动量应取这一时刻的瞬时速度。
是相对量;物体的动量亦与参照物的选取有关,常情况下,指相对地面的动量。
单位是kg·m/s;2、动量和动能的区别和联系①动量的大小与速度大小成正比,动能的大小与速度的大小平方成正比。
即动量相同而质量不同的物体,其动能不同;动能相同而质量不同的物体其动量不同。
②动量是矢量,而动能是标量。
因此,物体的动量变化时,其动能不一定变化;而物体的动能变化时,其动量一定变化。
③因动量是矢量,故引起动量变化的原因也是矢量,即物体受到外力的冲量;动能是标量,引起动能变化的原因亦是标量,即外力对物体做功。
④动量和动能都与物体的质量和速度有关,两者从不同的角度描述了运动物体的特性,且二者大小间存在关系式:P2=2mE k3、动量的变化及其计算方法动量的变化是指物体末态的动量减去初态的动量,是矢量,对应于某一过程(或某一段时间),是一个非常重要的物理量,其计算方法:(1)ΔP=P t一P0,主要计算P0、P t在一条直线上的情况。
(2)利用动量定理ΔP=F·t,通常用来解决P0、P t;不在一条直线上或F为恒力的情况。
二、冲量1、冲量:力和力的作用时间的乘积叫做该力的冲量.是矢量,如果在力的作用时间内,力的方向不变,则力的方向就是冲量的方向;冲量的合成与分解,按平行四边形法则与三角形法则.冲量不仅由力的决定,还由力的作用时间决定。
高考物理动量守恒定律技巧和方法完整版及练习题及解析一、高考物理精讲专题动量守恒定律1.(16分)如图,水平桌面固定着光滑斜槽,光滑斜槽的末端和一水平木板平滑连接,设物块通过衔接处时速率没有改变。
质量m1=0.40kg的物块A从斜槽上端距水平木板高度h=0. 80m处下滑,并与放在水平木板左端的质量m2=0.20kg的物块B相碰,相碰后物块B滑行x=4.0m到木板的C点停止运动,物块A滑到木板的D点停止运动。
已知物块B与木板间的动摩擦因数=0.20,重力加速度g=10m/s2,求:(1) 物块A沿斜槽滑下与物块B碰撞前瞬间的速度大小;(2) 滑动摩擦力对物块B做的功;(3) 物块A与物块B碰撞过程中损失的机械能。
【答案】(1)v0=4.0m/s(2)W=-1.6J(3)E=0.80J【解析】试题分析:①设物块A滑到斜面底端与物块B碰撞前时的速度大小为v0,根据机械能守恒定律有m1gh=12m12v (1分)v02gh,解得:v0=4.0 m/s(1分)②设物块B受到的滑动摩擦力为f,摩擦力做功为W,则f=μm2g(1分)W=-μm2gx解得:W=-1.6 J(1分)③设物块A与物块B碰撞后的速度为v1,物块B受到碰撞后的速度为v,碰撞损失的机械能为E,根据动能定理有-μm2gx=0-12m2v2解得:v=4.0 m/s(1分)根据动量守恒定律m1v0=m1v1+m2v(1分)解得:v1=2.0 m/s(1分)能量守恒12m12v=12m121v+12m2v2+E(1分)解得:E=0.80 J(1分)考点:考查了机械能守恒,动量守恒定律2.如图所示,质量为M=2kg的小车静止在光滑的水平地面上,其AB部分为半径R=0.3m的光滑14圆孤,BC部分水平粗糙,BC长为L=0.6m。
一可看做质点的小物块从A点由静止释放,滑到C点刚好相对小车停止。
已知小物块质量m=1kg,取g=10m/s2。
求:(1)小物块与小车BC 部分间的动摩擦因数;(2)小物块从A 滑到C 的过程中,小车获得的最大速度。
动量及动量守恒定律全章典型习题精讲————————————————————————————————作者: ————————————————————————————————日期:动量及动量守恒定律全章典型习题精讲一.学法指导:动量这部分内容,本身并不复杂,主要有冲量和动量这两个概念,还有动量定理和动量守恒定律这两个重要规律.动量定理是对一个物体说的,它受到合外力的冲量等于该物体动量的增量.动量守恒定律是对相互作用的系统而言的,在系统不受外力作用的情况下,系统的总动量守本章的难点主要在于冲量和动量都是矢量,矢量的运算比起标量的运算来要困难得多.我们中学阶段目前只要求计算同一直线上的动量问题,对于同一直线上的动量,可以用正负号表示方向,从而把矢量运算转化为代数运算.这部分内容的另一个难点是涉及到相互作用的系统内物体的动量和机械能的综合问题,为此,我们在学习时要把动量这部分内容与机械能部分联系起来.下面三个方面的问题是我们学习中要重点理解和掌握的.1、4个重要的物理概念,即冲量、动量、功和动能,下面把它们归纳、整理、比较如下:(1)冲量和功,都是“力”的,要注意是哪个力的冲量,哪个力做的功.动量和动能,都是“物体”的,要注意是哪个物体的动量、哪个物体的动能.(2)冲量和功,都是“过程量”,与某一段过程相对应.要注意是哪个过程的冲量,是哪个过程中做的功.动量和动能,都是“状态量”,与某一时刻相对应.要注意是哪个时刻的动量或动能,过程量是不能与状态量划等号的,即决不能说某力的冲量等于某时刻的动量,或说某个功等于某时刻的动能.动量定理和动能定理都是“过程关系”,它们说的是在某段过程中,物体受到的合外力的冲量或做的功,等于物体动量或动能的增量,这里“增量”又叫“变化量”,是相应过程的“始”、“末”两个状态量的差值,表示的还是某一段过程的状态的变化此外,还有一点要注意,那就是这些物理量与参考系的关系.由于位移和速度都是与参考系有关的物理量,因此动量、功、动能都是与参考系有关的物理量,只有冲量与参考系无关.凡没有提到参考系的问题,都是以地面为参考系的.2、两个守恒定律是物理学中的重要物理规律,下面把有关两个守恒定律的问题整理列表如下:3.几点说明:(1).对于动量守恒定律,“系统”指的是相互作用的物体组成的系统,系统内的物体数量可以多于两个,但我们中学阶段多数情况下只物体组成的系统,在“实质”一栏中就是以两个物体组成的系统为例的.对于机械能守恒定律,我们课本上写的是“在只有重力做功的情形下,物体的动能和重力势能发生相互转化,但机械能的总量保持不变.”这里讨论的对象是“物体”.但我们实际遇到的问题,包括很多试题,都涉及到几个物体组成的系统,因此我们在表格里把机械能守恒定律列成两行,即对物体的机械能守恒和对系统的机械能守恒.在系统的机械能守恒问题中,系统内的物体要发生相互作用,有内力做功,但只要内力中没有滑动摩擦力等能使机械能向其他形式能量转化的力做功,系统的总机械能的总量就会保持不变,而内力做功的结果,是使机械能从系统内的一个物体转移到另一个物体.(2).系统在不受外力作用的情形下,总动量守恒,这与牛顿第三定律有密切的联系.牛顿第三定律指出相互作用的两物体间的作用力与反作用力总是大小相等、方向相反,而且它们的作用时间总是相等,因此这两物体受到的力的冲量大小相等、方向相反,又根据动量定理,两物体的动量的变化量大小相等、方向相反.在满足不受外力的条件时,该系统的总动量保持不变,这就是动量守恒.相互作用的两物体间的作用力与反作用力虽然总是大小相等、方向相反,但它们对两物体所做的功却不一定绝对值相等,这是因为两物体的位移不一定相等.以摩擦力为例说明问题:对于一对静摩擦力,由于两物体间没有相对运动.位移数值一定是相等的,从而这一对静摩擦力对两物体做的功的代数和一定为零,这种情况下,有机械能从一个物体向另一个物体转移,但机械能的总量仍保持不变.但对于一对滑动摩擦力,由于两物体间的有相对运动,从而二者的位移数值不相等,一对滑动摩擦力做功的代数一定为负值,这表示有机械能向内能的转化,即平时所说的“摩擦生热”,这样系统的机械能就不守恒了.二.例题分析【例1】一质量为100g的小球从0.80m高处自由下落到一厚软垫上.若从小球接触软垫到小球陷至最低点经历了0.2s,则这段时间内软垫对小球的冲量为________.(取,不计空气阻力).【分析与解】小球从高处自由下落到软垫陷至最低点经历了两个过程,从高处自由下落到接触软垫前一瞬间,是自由下落过程,接触软垫前一瞬间速度由:求出=接触软垫时受到软垫向上作用力N和重力G(=mg)作用,规定向下为正,由动量定理:故有:在重物与地面撞击问题中,是否考虑重力,取决于相互作用力与重力大小的比较,此题中N=0.3N,mg=0.1N,显然在同一数量级上,不可忽略.若二者不在同一数量级,相差极大,则可考虑忽略不计(实际上从同一高度下落,往往要看撞击时间是否极短,越短冲击力越大。
【例2】一粒钢珠从静止状态开始自由下落,然后陷入泥潭中.若把在空中下落的过程称为过程I,进入泥潭直到停住的过程称为过程II,则:A、过程I中钢珠动量的改变量等于重力的冲量B、过程II中阻力的冲量的大小等于过程I中重力冲量的大小C、过程II中钢珠克服阻力所做的功等于过程I与过程II中钢珠所减少的重力势能之和D、过程II中损失的机械能等于过程I中钢珠所增加的动能【分析与解】钢珠在过程I中只受重力,所以由动量定理可判断A正确.过程I中动量的增加量与过程II中的动量减少量大小相等,而过程II中的动量变化量应等于在这个过程中钢珠所受合力(阻力和重力)的冲量,所以B选项错误.由于全过程中,钢珠的动能变化量为零,所以重力在全过程中所做正功与阻力在过程II中所做负功大小相等,故C选项正确.过程II中损失的机械能应等于过程II中阻力所做的功,结合C选项的分析,可知D错误通过此题,应注意理解动量定理和动能定理两个定理的物理意义,理解物体运动的过程中,状态量(动量、动能)的变化与过程量(冲量、功)的对应关系,必要时画出过程草图,帮助思考.【例3】如图所示的装置中,木块B与水平桌面间的接触是光滑的,子弹A沿水平方向射入木块后留在木块内,将弹簧压缩到最短.现将子弹、木块和弹簧合在一起作为研究对象(系统),则此系统在从子弹开始射入木块到弹簧压缩至最短的整个过程中:A、动量守恒、机械能守恒B、动量不守恒、机械能不守恒C、动量守恒、机械能不守恒D、动量不守恒、机械能守恒【分析与解】若以子弹、木块和弹簧合在一起作为研究对象(系统),从子弹开始射入木块到弹簧压缩至最短时,弹簧固定端墙壁对弹簧有外力作用,因此动量不守恒.而在子弹射入木块时,存在剧烈摩擦作用,有一部分能量将转化为内能,机械能也不守恒.实际上,在子弹射入木块这一瞬间过程,取子弹与木块为系统则可认为动量守恒(此瞬间弹簧尚未形变).子弹射入木块后木块压缩弹簧过程中,机械能守恒,但动量不守恒.物理规律总是在一定条件得出的,因此在分析问题时,不但要弄清取谁作研究对象,还要弄清过程的阶段的选取,判断各阶段满足物理规律的条件.【例4】在质量为M的小车中挂有一单摆,摆球的质量为.小车(和单摆)以恒定的速度v沿光滑水平地面运动,与位于正对面的质量为m的静止木块发生碰撞,碰撞的时间极短.在此碰撞过程中,下列哪个或哪些说法是可能发生的A、小车、木块、摆球的速度都发生变化,分别为、、,满足:B、摆球的速度不变,小车和木块的速度变和,满足:C、摆球的速度不变,小车和木块的速度都变为v,满足D、小车和摆球的速度都变为,木块的速度变为,满足【分析与解】本题首先应注意理解系统与过程前后时刻的选取关系,由于碰撞过程是在极短时间内发生的,因摆球的摆线在碰撞之前是竖直的,可以不考虑在这个极短时间内摆球与小车在水平方向上的相互作用(这与例3中子弹射入木块瞬间可不考虑弹簧形变类似),而只需考虑小车与木块的相互作用力,因此选择小车与木块为系统动量守恒.其次,应注意理解碰撞可能出现的情况.即在本题中小车与木块碰撞可能出现结合在一起或分离两种情况.因而B、C两种情况均有可能,B、C正确.【例5】质量为M的小船以速度行驶,船上有两个质量均为m的小孩和b.分别静止站在船头和船尾.现小孩沿水平方向以速率(相对于静止水面)向前跃入水中,然后小孩b沿水平方向以同一速率(相对于静止水面)向后跃入水中.求小孩b跃出后小船的速度.【分析与解】在本问题中,研究对象即系统和过程有两种方法,第一种方法分为两个过程,是先取小孩和小船(及小孩b)为系统,因水平方向无外力,水平方向动量守恒.规定方向为正,并设小孩向前跃入水中后小船的速度为,有:再取小孩b和小船为系统,同样因水平方向无外力,水平方向动量守恒.并设小孩b向后跃入水中后小船的速度为有:两式联立,消去,有:解出:第二种方法是直接取小孩、小孩b和小船为系统,因水平方向始终无外力,水平方向动量守恒.规定方向为正,并设小孩向前跃入水中后小船的速度为,把小孩向前跃入水中至小孩b向后跃入水中选作过程的初态与末态,则可直接列出:解出解答则简捷得多.在实际问题中,应体会这种方法.【例6】向空中发射一物体,不计空气阻力.当此物体的速度恰好沿水平方向时,物体炸裂成、b两块,若质量较大的块的速度方向仍沿原来的方向,则:A、b的速度方向一定与原速度方向相反B、从炸裂到落地的这段时间里,飞行的水平距离一定比b的大C、、b一定同时到达水平地面D、在炸裂过程中,、b受到的爆炸力的冲量大小一定相等【分析与解】当物体速度方向为水平时,物体炸裂.其中较大质量的块仍沿原来方向飞行,因水平方向无外力,可知水平方向动量守恒,爆炸瞬间相互作用力方向也是水平的,对块,爆炸作用力方向沿原方向,故块速度将比原来速度大,动量增加.而b块受爆炸作用力方向应与原方向相反,b块动量将减少.因爆炸过程中两块间作用与反作用等值反向,故受到冲量大小是相等的,D正确.由于两块在同一高度水平飞行,无论初速大小,下落高度相同,由平抛规律,下落时间相同,故C也正确.题中未给出爆炸前后具体数据,对b块而言,虽然受到冲量方向与原速度方向相反,但有三种可能性,一是速度减少,仍沿原方向飞行;二是速度恰好变为零;三是沿反方向飞行,因此A不正确.因质量大于b,又两者爆炸时所受冲量大小相同,动量变化量大小也相同,可知b的速度变化量必大于,因此b的末速度有可能比还大(但沿反方向).所以B也不正确.本题要求对动量守恒的本质即相互作用过程有较深刻的理解.【例7】如图所示,甲、乙两小孩各坐一辆冰车在摩擦不计的冰面上相向运动,已知甲连同冰车的总质量M=30kg,乙连同冰车的总质量也是M=30kg,甲还推着一只质量m=15kg 的箱子.甲、乙滑行的速度大小均为2m/s,为了避免相撞,在某时刻甲将箱子沿冰面推给乙,箱子滑到乙处时被乙接住.试求:①甲至少用多大的速度(相对于地面)将箱子推出,才可避免和乙相撞?②甲在推出时对箱子做了多少功?【分析与解】甲推出箱子可使自己减速,而乙接住箱子,也可使其自己减速,甚至反向运动.若甲、乙刚好不相撞,条件应是在乙接住箱子后,甲、乙(包括箱子)的速度相同.根据动量守恒定律,我们先做定性分析:选甲、乙、箱子为系统,由于甲推出箱子前,系统的总动量的方向与甲的运动方向相同,所以在达到共同速度时,系统的总动量方向应不变,故判断共同速度的方向在甲的原运动方向上.设:甲推出箱子前的运动方向为正方向,甲、乙初速度大小为,甲、乙、箱子后来的共同速度为,根据动量守律:【分析与解】甲推出箱子可使自己减速,而乙接住箱子,也可使其自己减速,甚至反向运动.若甲、乙刚好不相撞,条件应是在乙接住箱子后,甲、乙(包括箱子)的速度相同.根据动量守恒定律,我们先做定性分析:选甲、乙、箱子为系统,由于甲推出箱子前,系统的总动量的方向与甲的运动方向相同,所以在达到共同速度时,系统的总动量方向应不变,故判断共同速度的方向在甲的原运动方向上.设:甲推出箱子前的运动方向为正方向,甲、乙初速度大小为,甲、乙、箱子后来的共同速度为,根据动量守律:,可求出=0.4m/s;再以甲与箱子为研究对象,甲推出箱子的过程中动量守恒,设箱子被推出后的速度为,可求出被推出后箱子的速度为.由动能定理,甲推出箱子的过程对箱子做功等于箱子动能的增加量J.在本题中,对甲、乙不相撞的条件的分析,是解决问题的关键.而在具体的求解过程中,如何选择研究对象和过程始末去运用动量守恒定律,可以有不同的方式,例如,先选甲和箱子为系统,再选箱子和乙为系统也可解出,但要麻烦一些,不妨试一试,作一比较.【例8】一个连同装备共有kg的宇宙行员,脱离宇宙飞船后,在离飞船L=45m处与飞船处于相对静止状态,他带着一个装有0.5kg氧气的贮氧筒,贮氧筒有个可以使氧气以v=50m/s的速度喷出的喷嘴.宇航员必须向着与返回飞船相反的方向释放氧气,才能回到飞船上去,同时又必须保留一部分氧气供他在飞向飞船的途中呼吸.飞行员呼吸的耗氧率为.如果他在开始返回的瞬间释放的氧气,他能安全回到飞船吗?如果宇航员想以最短的时间返回飞船,他开始最多能释放出多少氧气?这时他返回飞船所用时间是多少?【分析与解】本题立意在分析解决实际问题.宇航员放出氧气后,由于反冲使自己获得返回飞船的速度.设其反冲速度为,由动量守恒定律:因,故有宇航员返回飞船的时间在这900s内,宇航员需要呼吸氧气可以看出:所以,宇航员可以安全返回飞船.如果宇航员以最短的时间返回飞船,设时间为t,宇航员放出氧气的质量为Δm,则留下呼吸的氧气至少为m-Δm.根据动量守恒定律,宇航员获得的反冲速度:故有:而宇航员呼吸氧气应满足:两式联立,可得:代入数据解出Δm=0.45kg(另一解Δm=0.05kg舍去)求出【例9】质量为m的钢板与直立轻弹簧的上端连接,弹簧下端固定在地上.平衡时,弹簧的压缩量为,如图所示.—物块从钢板正上方距离为3的A处自由落下,打在钢板上并立刻与钢板一起向下运动,但不粘连.它们到达最低点后又向上运动.已知物块质量也为m时,它们恰能回到O点.若物块质量为2m,仍从A处自由落下,则物块与钢板回到O点时,还具有向上的速度.求物块向上运动到达的最高点与O点的距离.【分析与解】物块与钢板碰撞时的速度可由自由落体公式求出,为.由于碰撞时间极短,碰撞过程中可认为重力远小于物块与钢板之间的碰撞弹力大小,系统动量守恒,以表示碰后物块与钢板的共同速度,则有:因O点是弹簧的原长位置,所以物块碰后与弹簧向下运动压缩弹簧至最低点又弹起回到O点时,弹簧的弹性势能应恰为零,题目中说,这时物块与钢板的速度也恰为零.这个过程机械能守恒,设刚碰完时的弹性势能为,有:按照同样的思路,设质量是2m的物体与钢板碰撞后的共同速度是,由动量守恒定律:碰后压缩弹簧至最低点又回到O点时,若物块的速度为,则有:因题目中给定的是轻弹簧,所以弹簧回到O点时不再上升,而物块因有向上的速度,仍继续向上运动,也就是说,在O点物块与弹簧分离.物块还能上升的高度为:将以上关系式联立,可求出:本题是动量守恒与涉及弹簧的机械能守恒的综合问题,具有学科内综合解决问题特点.需要理解弹簧的弹性势能零点在弹簧的原长处,能正确分析表达涉及重力势能、弹性势能和动能的初末态机械能、以及正确判断出在极短时间内物块与弹簧碰撞过程可以运用动量守恒定律【例10】如图所示,—质量为M、长为l的长方形木板B放在光滑的水平地面上,在其右端放一质量为m的小木块A,m<M.现以地面为参照系给A和B以大小相等、方向相反的初速度(如图),使A开始向左运动、B开始向右运动,但最后A刚好没有滑离B板.以地面为参照系,(1)若已知A和B的初速度大小为,求它们最后的速度的大小和方向.(2)若初速度的大小未知,求小木块A向左运动到达的最远处(从地面上看)离出发点的距离.【分析与解】(1)A刚好没有滑离B板,表示当A滑到B板的最左端时,A、B具有相同的速度.设此速度为V,根据m<M,可知,判断出V的方向应与B板初速度同向,即向右.A和B的初速度的大小为,则由动量守恒可得:解得:方向向右(2)本题应着重理解物理过程的定性分析方法,在此基础上形成正确的物理图景.注意以下说理分析:A在B板的右端时初速度向左,而到达B板左端时的末速度向右,若以地面为参考,可见A在运动过程中必经历先向左受摩擦力作用而作减速运动,直到相对地面速度为零的阶段,而后经历因B板速度方向向右,A相对B板向左,故A所摩擦力方向向右,A向右作初速度为零的加速运动直到有共同速度为的阶段,如下图所示.在前一阶段,摩擦力阻碍A向左运动,在后一阶段,摩擦力为动力,使A向右加速.设为A开始运动到速度变为零过程中向左运动的过程,为A从速度为零增加到速度过程中向右运动的路程,L为A从开始运动到刚到达B的最左端的过程中B运动的路程.设A与B之间的滑动摩擦力为,则由功能关系可知:对于B:对于A:由几何关系由以上四式解得【例11】如图所示,一个带斜面的物体A静止在光滑的水平面上,它的质量为M=0.5kg.另一个质量为m=0.2kg的小物体B从高处自由下落,落到B的斜面上,下落高度为h=1.75m.与斜面碰撞后B的速度变为水平向右,碰撞过程中A、B组成的系统的机械能没有损失.(计算时取g=10 m/s2)(1)碰后A、B的速度各多大?(2)碰撞过程中A、B的动量变化量各多大?【分析与解】(1)当B落到A的斜面上时,B的速度方向竖直向下,而A的速度为0.由于水平面光滑,两物体相互作用过程中,水平方向不受外力作用,因此系统水平方向的动量守恒.由于碰前系统水平方向的动量为0,碰后总动量仍为0.设碰后两物体速度大小分别是和.列动量守恒的关系式:再根据碰撞过程中系统的机械能没有损失,得:.解上面2式,得=-2m/s,=5m/s,或=2m/s,=-5m/s.正负号代表二者的方向相反,由于我们事前没有规定正方向,因此两组解都可以认为正确.根据实际情况我们知道,碰后方向是向右,若以向右为正方向,则应取=-2m/s,=5m/s;若取向左为正方向,则应取=2m/s,=-5m/s.(2)我们规定向右为正方向,则碰撞过程中A的动量变化量是:,其中负号代表方向向左.由于B的初、末动量不在同一直线上,不能简单地用正负号表示方向,求动量变化需利用平行四边形定则,初动量大小为kg·m/s=1.2kg·m/s,方向竖直向下,末动量大小为=1kg·m/s,方向水平向右,动量变化量的大小为kg·m/s=1.5 kg·m/s,方向斜向右上,与水平方向夹角为.(本题中A、B两物体组成的系统在碰撞过程中,动量并不守恒,从上面的计算可以清楚看到这一点(二者的动量变化量并不是大小相等、方向相反),它们只是在水平方向上的动量分量守恒.其原因是除了A、B两物体间的相互作用以外,还受到重力及水平面的支持力,但由于重力及水平面的支持力都是沿竖直方向的,水平方向满足“不受外力”的条件,因此水平方向动量分量守恒.)【例12】带有斜面的木块P原静止在光滑的水平桌面上,另一个小木块Q从P的顶端由静止开始沿光滑的斜面下滑.当Q滑到P的底部时,P向右移动了一段距离,且具有水平向右的速度v,如图所示.下面的说法中正确的是:(A)P、Q组成的系统的动量守恒(B)P、Q组成的系统的机械能守恒(C)Q减少的重力势能等于P增加的动能(D)Q减少的机械能等于P增加的动能【分析与解】选项A是学生最容易错选的,其实在这个过程中,P、Q组成的系统只是在水平方向不受外力,水平方向的动量分量守恒,而在竖直方向上,由于地面对P的支持力在Q下滑过程中要大于P的重力,但小于P、Q的重力之和,竖直方向上不满足不受外力的条件,因此竖直方向上动量不守恒,总的动量也就不守恒.P、Q组成的系统在这个运动过程中,除了重力对Q做功以外,P对Q的支持力要做负功,而Q对P的压力要做正功,这两个力的大小相等而方向相反,两物体沿力的方向的位移相等(即图中的s),因此这两个力的功的代数和为0,这说明在两物体间只有机械能的转移(由Q向P转移),而没有能量的形式的转化,因此系统的总的机械能守恒.选项B正确.P、Q组成的系统的机械能守恒,意味着系统损失的重力势能等于系统增加的动能,但这过程中重力势能减少的只是P,而动能增加的则是P和Q,因此选项D正确而选项C错误.本题的正确答案是BD.(本题中地面及P的斜面都是光滑的,在系统相对运动的过程中,没有机械能向内能的转化,只有动能与重力势能间的转化,因此系统的机械能守恒.如果斜面是不光滑的,存在着滑动摩擦力,则本题的4个选项都不正确.但自然界的总能量仍是守恒的,D选项只要改为“P 减少的机械能等于Q增加的动能与生热的和”,则它是正确的.)【例13】甲、乙两个小球在水平光滑直轨道上向同方向运动,已知它们的动量分别是kg·m/s,kg·m/s.甲从后面追上乙并发生碰撞,碰后乙球的动量变为kg·m/s.则两球质量m1与m2间的关系可能是下面的哪几种?A、B、C、D、【分析与解】本题没有说明两球发生的碰撞的性质,但所有的碰撞都只能介于完全弹性碰撞与完全非弹性碰撞之间.我们分别讨论这两种极端的情况:设两球发生的是弹性碰撞,则碰撞过程动量守恒并且机械能守恒.由于物体动能与动量间满足关系式,因此.代入数据解出.如果是完全非弹性碰撞,则碰后二者速度大小相等,由于速度跟动量的关系式是.。