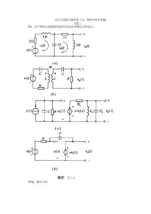
《信号与系统》第二版课后答案_(郑君里)_高等教育出版社
- 格式:pdf
- 大小:2.36 MB
- 文档页数:75
《信号与系统》复习参考练习题一、单项选择题:14、已知连续时间信号,)2(100)2(50sin )(--=t t t f 则信号t t f 410cos ·)(所占有的频带宽度为()A .400rad /sB 。
200 rad /sC 。
100 rad /sD 。
50 rad /sf如下图(a)所示,其反转右移的信号f1(t) 是()15、已知信号)(tf如下图所示,其表达式是()16、已知信号)(1tA、ε(t)+2ε(t-2)-ε(t-3)B、ε(t-1)+ε(t-2)-2ε(t-3)C、ε(t)+ε(t-2)-ε(t-3)D、ε(t-1)+ε(t-2)-ε(t-3)17、如图所示:f(t)为原始信号,f1(t)为变换信号,则f1(t)的表达式是()A、f(-t+1)B、f(t+1)C、f(-2t+1)D、f(-t/2+1)18、若系统的冲激响应为h(t),输入信号为f(t),系统的零状态响应是()19。
信号)2(4sin 3)2(4cos 2)(++-=t t t f ππ与冲激函数)2(-t δ之积为( )A 、2B 、2)2(-t δC 、3)2(-t δD 、5)2(-t δ,则该系统是()>-系统的系统函数.已知2]Re[,651)(LTI 202s s s s s H +++=A 、因果不稳定系统B 、非因果稳定系统C 、因果稳定系统D 、非因果不稳定系统21、线性时不变系统的冲激响应曲线如图所示,该系统微分方程的特征根是( )A 、常数B 、 实数C 、复数D 、实数+复数22、线性时不变系统零状态响应曲线如图所示,则系统的输入应当是( )A 、阶跃信号B 、正弦信号C 、冲激信号D 、斜升信号23. 积分⎰∞∞-dt t t f )()(δ的结果为( )A )0(fB )(t f C.)()(t t f δ D.)()0(t f δ24. 卷积)()()(t t f t δδ**的结果为( )A.)(t δB.)2(t δC. )(t fD.)2(t f25. 零输入响应是( )A.全部自由响应B.部分自由响应C.部分零状态响应D.全响应与强迫响应之差 2A 、1-eB 、3eC 、3-eD 、127.信号〔ε(t)-ε(t -2)〕的拉氏变换的收敛域为 ( )A.Re[s]>0B.Re[s]>2C.全S 平面D.不存在28.已知连续系统二阶微分方程的零输入响应)(t y zi 的形式为t t Be Ae 2--+,则其2个特征根为() A 。
3-1 解题过程:(1)三角形式的傅立叶级数(Fourier Series ,以下简称 FS )f ( t ) = a ++∞cos ( n ω t) + b sin ( n ω t ) a 0 ∑ n 1n 1 n =1式中ω1 =2π,n 为正整数,T 1 为信号周期T 11 t +T(a )直流分量a 0 = 0 ∫ 1 f ( t ) dtT1 t2 t +T(b )余弦分量的幅度a n = 0∫ 1f ( t ) cos ( n ω1t ) dtT1 t 02 t +T(c )正弦分量的幅度b n = 0 ∫ 1f ( t ) sin ( n ω1t ) dtT 1 t(2)指数形式的傅立叶级数+∞f ( t ) = ∑ F ( n ω1 )e jn ω1tn =其中复数频谱F n= F ( n ω1 ) = 1 ∫t 0 +T 1f ( t ) e − jn ω1t dt T 1 t 0F n =1( a n − jb n ) F − n = 1 ( a n + jb n ) 2 2由图 3-1 可知, f ( t ) 为奇函数,因而a 0 = a n = 04 Tb n = T ∫02= 2Eπ n4TE−2EEf (t ) sin ( n ω t ) dt =sin ( n ω t ) dt = cos ( n ω t = 1 − cos ( n π2T 1 ∫0 2 1 n t 1 n ) 1n = 2, 4,n = 1, 3,所以,三角形式的 FS 为2 E1 12π f ( t ) =sin ( ω1t ) +sin ( 3ω1t ) +sin ( 5ω1t ) +ω1 =π 3 5T指数形式的 FS 的系数为1n = 0, ±2, ±4,F n = − jb n jE=2 n = 0,−± 1, ±3,n π1所以,指数形式的 FS 为f ( t ) = − jE π ej ω1t+ πjE e − j ω1t − 3jE π e j 3ω1t + 3jEπ e − j 3ω1t +3-15 分析:半波余弦脉冲的表达式 f ( t ) =πτ E cos t u t+ τ 2求 f ( t ) 的傅立叶变换有如下两种方法。
信号与系统第二版课后答案第一章简介1.1 信号与系统的定义1.1.1 信号的定义信号是对某一现象或信息的描述,可以是物理量、采样值、传感器输出等。
根据信号的不同特性,可以将其分为连续信号和离散信号。
1.1.2 系统的定义系统是对信号加工与处理过程的描述。
系统可以是硬件电路、算法或计算机软件。
根据系统对信号的作用方式,可以将其分为线性系统和非线性系统。
1.2 信号的分类1.2.1 连续信号与离散信号连续信号是在时间上连续变化的信号,可以用数学函数进行描述。
离散信号则是在时间上呈现离散变化的信号,通常通过采样离散化得到。
1.2.2 有限信号与无限信号有限信号是在有限时间内存在的信号,其持续时间有限。
无限信号则是在无限时间内存在的信号,持续时间可以是无限的。
1.3 系统的分类1.3.1 线性系统与非线性系统线性系统满足线性叠加原理,即将输入信号与线性系统的响应相加所得到的输出信号仍然是系统的响应。
非线性系统则不满足线性叠加原理。
1.3.2 因果系统与非因果系统因果系统的输出只与当前和过去的输入有关,不受未来输入的影响。
非因果系统的输出则可能与未来的输入有关。
第二章离散信号与系统2.1 离散信号的表示与性质2.1.1 离散信号的表示离散信号可以通过序列来表示,其中序列是一组按照一定顺序排列的数字。
离散信号可以是有限序列或无限序列。
2.1.2 离散信号的性质离散信号的性质包括幅度、相位、频率、周期性等。
这些性质可以通过变换来描述和分析离散信号。
2.2 离散系统的表示与性质2.2.1 离散系统的表示离散系统可以通过差分方程来表示,其中差分方程描述了输入和输出之间的关系。
离散系统也可以通过单位脉冲响应来描述,单位脉冲响应是当输入为单位脉冲序列时系统的输出。
2.2.2 离散系统的性质离散系统的性质包括稳定性、因果性、线性性等。
这些性质对系统的行为和性能有重要影响。
2.3 离散系统的频域分析2.3.1 傅立叶变换傅立叶变换是一种将信号从时域转换到频域的方法,可以将信号表示为频率的函数。
1-4 分析过程:(1)例1-1的方法:()()()()23232f t f t f t f t →−→−→−− (2)方法二:()()()233323f t f t f t f t ⎡⎤⎛⎞→→−→−−⎜⎟⎢⎥⎝⎠⎣⎦(3)方法三:()()()()232f t f t f t f t →−→−+→−−⎡⎤⎣⎦ 解题过程:(1)方法一:方法二:(1)()−f at 左移0t :()()()000−+=−−≠−⎡⎤⎣⎦f a t t f at at f t at (2)()f at 右移0t :()()()000−=−≠−⎡⎤⎣⎦f a t t f at at f t at (3)()f at 左移0t a :()()000⎡⎤⎛⎞+=+≠−⎜⎟⎢⎥⎝⎠⎣⎦t f a t f at t f t at a (4)()f at 右移0t a :()()000⎡⎤⎛⎞−−=−+=−⎜⎟⎢⎥⎝⎠⎣⎦t f a t f at t f t at a 故(4)运算可以得到正确结果。
注:1-4、1-5题考察信号时域运算:1-4题说明采用不同的运算次序可以得到一致的结果;1-5题提醒所有的运算是针对自变量t 进行的。
如果先进行尺度变换或者反转变换,再进行移位变换,一定要注意移位量和移位的方向。
1-9 解题过程: (1)()()()2tf t eu t −=− (2)()()()232tt f t ee u t −−=+(3)()()()255ttf t e eu t −−=− (4)()()()()cos 1012tf t et u t u t π−=−−−⎡⎤⎣⎦1-12 解题过程:((((注:1-9、1-12题中的时域信号均为实因果信号,即()()()=f t f t u t 1-18 分析过程:任何信号均可分解为奇分量与偶分量之和的形式,即()()()()1e o f t f t f t =+其中,()e f t 为偶分量,()o f t 为奇分量,二者性质如下:()()()()()()23e e o o f t f t f t f t =−=−−()()13∼式联立得()()()12e f t f t f t =+−⎡⎤⎣⎦ ()()()12o f t f t f t =−−⎡⎤⎣⎦ 解题过程:(a-1) (a-2)(a-3)(a-4)f t为偶函数,故只有偶分量,为其本身(b) ()(c-1)(c-2)(c-3)(c-4)(d-1)(d-2)(d-3)(d-4)1-20 分析过程:本题为判断系统性质:线性、时不变性、因果性(1)线性(Linearity):基本含义为叠加性和均匀性即输入()1x t ,()2x t 得到的输出分别为()1y t ,()2y t ,()()11T x t y t =⎡⎤⎣⎦,()()22T x t y t =⎡⎤⎣⎦,则()()()()11221122T c x t c x t c y t c y t +=+⎡⎤⎣⎦(1c ,2c 为常数)。