图书馆管理系统业务流程图数据流程图ER图
- 格式:doc
- 大小:975.00 KB
- 文档页数:16
图书馆管理系统E-R图(总24页)本页仅作为文档封面,使用时可以删除This document is for reference only-rar21year.March要:图书管理系统是智能办公系统(IOA)的重要组成部分,因此,图书管理系统也以方便、快捷的优点正慢慢地进入人们的生活,将传统的图书管理方式彻底的解脱出来,提高效率,减轻工作人员以往繁忙的工作,减小出错的概率,使读者可以花更多的时间在选择书和看书上。
从而使人们有更多时间来获取信息、了解信息、掌握信息。
其开发主要包括后台数据库的建立和维护以及前端应用程序的开发两个方面。
采用SQL Server2005数据库作为后台数据库、Visual C#编程语言作为前台开发工具,通过对数据库技术进行了较深入的学习和应用,主要完成书目检索、读者管理、借阅管理、图书管理、用户维护、系统维护等系统功能。
系统运行结果证明,本文所设计的图书管理系统可以满足学生和教师借阅者、图书管理员两方面的需要,达到了设计要求。
关键词:图书管理;系统设计;信息;;SQLServer20051 引言随着计算机及网络技术的飞速发展,Internet/Intranet应用在全球范围内日益普及,当今社会正快速向信息化社会前进,信息系统的作用也越来越大。
图书馆在正常运营中总是面对大量的读者信息,书籍信息以及由两者相互作用产生的借书信息,还书信息。
因此图书管理信息化是发展的必然趋势。
用结构化系统分析与设计的方法,建立一套有效的图书信息管理系统,可以减轻工作,将工作科学化、规范化,提高了图书馆信息管理的工作质量因此根据图书馆目前实际的管理情况开发一套图书管理系统是十分必要的。
1.1 图书管理的现状一直以来人们使用传统的人工方式管理图书馆的日常工作,对于图书馆的借书和还书过程,想必大家都已很熟悉。
在计算机尚未在图书管理系统广泛使用之前,借书和还书过程主要依靠手工。
一个最典型的手工处理还书过程就是:读者将要借的书和借阅证交给工作人员,工作人员将每本书上附带的描述书的信息的卡片和读者的借阅证放在一个小格栏里,并在借阅证和每本书贴的借阅条上填写借阅信息。
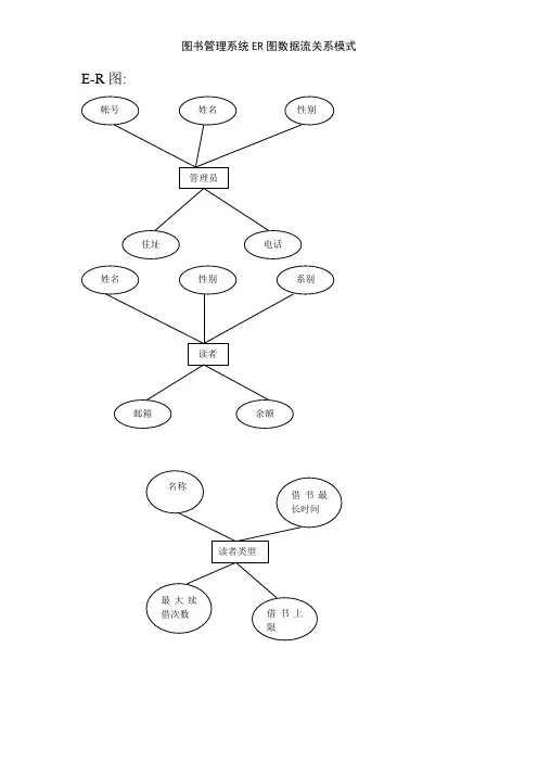
E-R图:
数据流图:
关系模式:
管理员(管理员账号,姓名,性别,电话,住址)
账号信息(账号,密码,账号类型)
读者(读者账号,读者类型,就是否可用,姓名,性别,系别,班级,邮箱,余额)
读者类型(读者类型,借书上限,借书最大时间,最大续借次数)
书籍(条形码,ISBN,书籍状态,书架编号,损坏程度)
某类书籍(ISBN,书名,作者,主题,出版社,页数,价格,书籍类型编号,出版日期,库存量,在馆数量)
书籍类型(书籍类型编号,书籍类型)
书架(书架编号,条形码,阅览室编号)
阅览室(阅览室编号,阅览室名称,阅览室位置)
读者借阅表(读者账号,条形码,借出日期,续借次数)
读者归还表(读者账号,条形码,借出日期,实际归还日期,续借次数)
数据库字段定义说明:(可根据这个编写数据项)。
图书管理er图关系流程下载温馨提示:该文档是我店铺精心编制而成,希望大家下载以后,能够帮助大家解决实际的问题。
文档下载后可定制随意修改,请根据实际需要进行相应的调整和使用,谢谢!并且,本店铺为大家提供各种各样类型的实用资料,如教育随笔、日记赏析、句子摘抄、古诗大全、经典美文、话题作文、工作总结、词语解析、文案摘录、其他资料等等,如想了解不同资料格式和写法,敬请关注!Download tips: This document is carefully compiled by theeditor. I hope that after you download them,they can help yousolve practical problems. The document can be customized andmodified after downloading,please adjust and use it according toactual needs, thank you!In addition, our shop provides you with various types ofpractical materials,such as educational essays, diaryappreciation,sentence excerpts,ancient poems,classic articles,topic composition,work summary,word parsing,copy excerpts,other materials and so on,want to know different data formats andwriting methods,please pay attention!图书管理实体关系流程图。
实体。
书籍。
作者。
出版社。
读者。
借阅记录。
学院商学院专业计算机科学与技术班级 1 学号20108170学生姓名刘小全刘磊龚轩明指导教师屈智成1 需求分析用户的需求具体体现在各种信息的提供、保存、更新和查询,这就要求数据库结构能充分满足各种信息的输入和输出。
收集基本数据,数据结构以及数据处理的流程,为后面的具体设计打下基础。
在仔细分析调查有关图书馆管理信息需求的基础上,我们主要考虑以下几个方面的需求:1) 用户需求:图书用户要求计算机系统和SQL Server所工作的范围;2) 应用资源:数据库应用的平台包括物理平台和图书等;3) 应用质量和可靠性要求:包括操作人员素质和系统的纠错能力等1.1 项目名称:图书馆信息管理系统1.2 项目背景和内容概要对图书馆管理信息系统进行详细地分析后,我们将系统分为以下几个模块:借阅管理模块、借书证信息管理模块、图书信息管理模块、系统管理模块。
其主要功能如下:●借阅管理模块主要功能如下:1).可以为读者办理,修改,注销借书证,输入读者借书证基本信息等,定制读者的借阅权限。
2).可以通过借书证查询图书信息、借出图书信息,借阅图书。
3).通过借书证还书,管理员可以通过对借阅信息的管理对到期还未还的书,通过查询读者的借书证信息查询读者联系方式发出催还通知。
●借书证信息管理模块主要功能如下:1).读者基本信息的输入,如:读者姓名、性别、单位等。
2).读者信息的修改、注销等功能。
3).添加新的读者及其信息等。
●图书信息管理模块主要功能如下:1).定制书籍的各种信息管理,如:书名、作者、出版信息等。
2).书籍信息的修改,新图书的入库管理和图书的注销等。
●系统管理模块主要功能如下:1).用户登录。
2).修改密码。
3).添加用户。
●系统备份和数据传输模块主要功能如下:1).备份数据库数据2).恢复数据库数据3).网络数据传输1.3 数据流图●数据流总体图示图1-1 数据流总体图●办理借书证图1-2 输借书证流图●借书证修改图1-3 借书证修改流图●借书证注销图1-4借书证注销流图●借书系统不能借书的原因图1-5借书系统流图●检索系统图1-7 还书系统流图图书档案管理系统图1-8 档案管理流图图书信息管理系统主要分为以下几个局部E-R 图: 1).借书证处理系统ER 图:图2-1 借书证处理系统ER 图图中各实体属性如下:读者档案:学号,读者姓名,性别,出生日期,借书证号,职业,单位,通讯地址,邮政编码,联系电话MM借书证:借书证号,姓名,性别,办证日期,借阅范围,最大借书量,照片,身份证号管理员:管理员编号,管理员姓名,登陆密码2).借书系统ER图:图2-2借书系统ER图图中各实体属性如下:读者:身份证号,读者姓名,借书证号借书证:借书证号,姓名,性别,办证日期(借阅范围,最大借书量,照片,身份证号) 库存信息:书号,图书编号借出信息:图书编号,借书证号,借书日期,归还日期3).索书系统ER图:图2-3索书系统ER图图中各实体属性如下:读者:读者姓名,借书证号图书档案:图书编号,书号,书名,作者,出版单位,出版日期,单价,藏书册书,类别,入库日期4).还书系统ER图:图2-4 还书系统ER图图中各实体属性如下:读者:学号,读者姓名,借书证号借书证:借书证号,姓名,性别,办证日期库存信息:书号,图书编号借出信息:图书编号,借书证号,借书日期,归还日期管理员:操作员编号,管理员姓名,登陆密码5).图书档案管理系统ER图:图中各实体属性如下:管理员:操作员编号,管理员姓名,登陆密码库存信息:书号,图书编号图书档案:图书编号,书号,书名,作者,出版单位,出版日期,单价,类别,入库日期入库清单:入库日期,图书编号,管理员编号,书名6). 整体E-R图图2-6 整体ER图图中各实体属性如下:读者档案:学号,读者姓名,性别,借书证号,单位借书证:借书证号,姓名,性别,办证日期管理员:操作员编号,管理员姓名,登陆密码库存信息:书号,图书编号借出信息:图书编号,借书证号,借书日期,归还日期图书档案:书号,书名,作者,出版单位,出版日期,单价,类别,藏书册书,图书编号入库日期【本文档内容可以自由复制内容或自由编辑修改内容期待你的好评和关注,我们将会做得更好】。
图书馆管理E R图数据流程数据字典数据库(总22页)--本页仅作为文档封面,使用时请直接删除即可----内页可以根据需求调整合适字体及大小--目录1需求分析 (1)1.1 调查用户需求 (1)1.2系统功能的设计和划分 (1)2 概念结构设计 (10)2.1概念结构 (10)3 逻辑结构设计 (14)4 数据库的物理设计 (18)4.1教室管理信息系统各实体及联系的数据字典 (18)4.2关系模型 (22)4.3关系模式存取方式选择 (23)4.4确定数据库的存储结构 (23)4.5评价物理结构 (23)5数据库实施和维护 (24)5.1数据库的试运行 (24)5.2书架表视图........................ 错误!未定义书签。
5.3借阅表视图 (26)5.4存储过程 (27)借阅操作 (27)还书操作 (27)5.5数据库的运行与维护 (28)参考文献 (28)心得体会 (29)1需求分析1.1 调查用户需求本系统的最终用户为在校学生,我们根据从学校方面取得的图表资料、文字资料以及其他细节方面的信息,根据我们日常生活中的经验,根据我们所做的其他询问和调查,得出用户的需求。
1.2系统功能的设计和划分根据图书管理系统的实际需求,可以将图书管理系统划分为系统设置、图书管理、读者管理、图书借还、系统查询具体功能的系统功能结构图如图1-1所示。
图1-1 系统功能结构图2 概念结构设计2.1概念结构2.1.1图书借阅系统完成用户的借书过程其数据流图如图2-1所示。
图2-1 借阅系统的数据流图2.2 还书系统完成图书的归还过程其数据流图如图2-3所示。
图2-2 归还系统的数据流图2.3 图书档案管理系统为用户提供图书档案信息其数据流图如图2-3所示。
图2-3 图书档案管理数据流图2.4 读者档案系统用于记录读者的详细信息其数据流图如图2-4所示。
图2-4 读者档案管理数据流图图书管理系统的流程是用户先输入自己的帐号密码及系统显示的验证码进入系统如有一项不符合则不能进入系统,成功登陆系统后系统根剧登陆的帐号信息从数据库中的数据进行对比判断是读者还是管理员,如果是读者则能进行信息查询,及修改自己的相关信息,查询到自己所需要的图书就能通过管理员进行借阅图书、归还图书也是通过管理员完成的。
1数据库设计
针对图书馆管理系统的需求,通过对图书馆管理工作过程的内容和数据流程分析,设计出如下的数据项
书库图书信息,包括数据项有:图书编号、书名、书号、类别、出版社、作者、ISBN、印张、字数、版次、印数、定价、开本、是否在库、是否损坏、是否遗失、入库时间、图书介绍
学生信息,包括数据项有:学生编号、学号、姓名、性别、系别、班级、级别、已借图书、照片
借书信息,包括数据项有:图书编号、学生编号、是否归还、书名、姓名、学号、书号、系别、班级、已借图书、出版社、作者、借阅日期、图书类别、是否续借
供货商信息,包括数据项有:供货商序号、供货商、城市、地址、电话、传真、邮政编码、EMAIL、联系人、首次合作时间
定单信息,包括数据项有:定单序号、书名、书号、类别、出版社、作者、ISBN、印张、字数、版次、印数、定价、开本、详细信息、供货商序号、供货商、联系人、城市、订购数量、订购价格、交付方式、交货日期、定单日期、是否验收、验收日期
过期图书信息,包括数据项有:图书编号、书名、书号、学生序号、学生姓名、系别、班级、过期时间
员工信息,包括数据项有:员工序号、姓名、密码、类别、性别、家庭住址、联系电话、职务、出生日期、照片
罚款信息,包括数据项有:流水号、罚款原因、罚款金额、日期。
图书馆管理系统E-R图(总24页)本页仅作为文档封面,使用时可以删除This document is for reference only-rar21year.March要:图书管理系统是智能办公系统(IOA)的重要组成部分,因此,图书管理系统也以方便、快捷的优点正慢慢地进入人们的生活,将传统的图书管理方式彻底的解脱出来,提高效率,减轻工作人员以往繁忙的工作,减小出错的概率,使读者可以花更多的时间在选择书和看书上。
从而使人们有更多时间来获取信息、了解信息、掌握信息。
其开发主要包括后台数据库的建立和维护以及前端应用程序的开发两个方面。
采用SQL Server2005数据库作为后台数据库、Visual C#编程语言作为前台开发工具,通过对数据库技术进行了较深入的学习和应用,主要完成书目检索、读者管理、借阅管理、图书管理、用户维护、系统维护等系统功能。
系统运行结果证明,本文所设计的图书管理系统可以满足学生和教师借阅者、图书管理员两方面的需要,达到了设计要求。
关键词:图书管理;系统设计;信息;;SQLServer20051 引言随着计算机及网络技术的飞速发展,Internet/Intranet应用在全球范围内日益普及,当今社会正快速向信息化社会前进,信息系统的作用也越来越大。
图书馆在正常运营中总是面对大量的读者信息,书籍信息以及由两者相互作用产生的借书信息,还书信息。
因此图书管理信息化是发展的必然趋势。
用结构化系统分析与设计的方法,建立一套有效的图书信息管理系统,可以减轻工作,将工作科学化、规范化,提高了图书馆信息管理的工作质量因此根据图书馆目前实际的管理情况开发一套图书管理系统是十分必要的。
1.1 图书管理的现状一直以来人们使用传统的人工方式管理图书馆的日常工作,对于图书馆的借书和还书过程,想必大家都已很熟悉。
在计算机尚未在图书管理系统广泛使用之前,借书和还书过程主要依靠手工。
一个最典型的手工处理还书过程就是:读者将要借的书和借阅证交给工作人员,工作人员将每本书上附带的描述书的信息的卡片和读者的借阅证放在一个小格栏里,并在借阅证和每本书贴的借阅条上填写借阅信息。
管理信息系统—系统分析设计第一部分:图书馆组织结构分析
组织结构功能业务简要分析:
馆长:主管图书馆全面事务。
书库维护员:负责购买新书淘汰旧书并负责更新书库图书信息的工作。
借书管理员:负责书籍的借阅及登记工作。
还书管理员:负责书籍的归还登记及由于还书不及时造成的罚款工作。
读者信息管理员:负责对读者信息日常管理工作。
第二部分:业务流程图:
第三部分:数据流程图:图书馆第0层数据流程图:
图书馆第1层数据流程图:
图书馆第2层数据流程图:。
图书管理ER图(以兰州大学为例):
实体:
图书档案:学号、学生姓名、性别、学生证号、院系、年级
学生证:学生证号、姓名、性别、办证日期
管理员:管理员编号、管理员姓名、登录密码
库存表:书号、图书编号
图书档案:书名、书号、作者、出版单位、出版日期、单价、类别、藏书数目、图书编号、入库日期
光碟租赁管理信息系统Er图:
实体:
店长:ID、密码、姓名、性别
操作员:姓名、性别、密码、ID、编号
会员:姓名、性别、编号、证件号、经办人、办理时间
散户:编号、出租时间、操作员
影碟:名称、编号、类型、购入价格、购入时间、数量
资金记录:收入、金额、操作员编号、影碟编号、交易时间、类型。
学院商学院专业计算机科学与技术班级 1 学号20108170学生姓名刘小全刘磊龚轩明指导教师屈智成1 需求分析用户的需求具体体现在各种信息的提供、保存、更新和查询,这就要求数据库结构能充分满足各种信息的输入和输出。
收集基本数据,数据结构以及数据处理的流程,为后面的具体设计打下基础。
在仔细分析调查有关图书馆管理信息需求的基础上,我们主要考虑以下几个方面的需求:1) 用户需求:图书用户要求计算机系统和SQL Server所工作的范围;2) 应用资源:数据库应用的平台包括物理平台和图书等;3) 应用质量和可靠性要求:包括操作人员素质和系统的纠错能力等1.1 项目名称:图书馆信息管理系统1.2 项目背景和内容概要对图书馆管理信息系统进行详细地分析后,我们将系统分为以下几个模块:借阅管理模块、借书证信息管理模块、图书信息管理模块、系统管理模块。
其主要功能如下:●借阅管理模块主要功能如下:1).可以为读者办理,修改,注销借书证,输入读者借书证基本信息等,定制读者的借阅权限。
2).可以通过借书证查询图书信息、借出图书信息,借阅图书。
3).通过借书证还书,管理员可以通过对借阅信息的管理对到期还未还的书,通过查询读者的借书证信息查询读者联系方式发出催还通知。
●借书证信息管理模块主要功能如下:1).读者基本信息的输入,如:读者姓名、性别、单位等。
2).读者信息的修改、注销等功能。
3).添加新的读者及其信息等。
●图书信息管理模块主要功能如下:1).定制书籍的各种信息管理,如:书名、作者、出版信息等。
2).书籍信息的修改,新图书的入库管理和图书的注销等。
●系统管理模块主要功能如下:1).用户登录。
2).修改密码。
3).添加用户。
●系统备份和数据传输模块主要功能如下:1).备份数据库数据2).恢复数据库数据3).网络数据传输1.3 数据流图●数据流总体图示图1-1 数据流总体图●办理借书证图1-2 输借书证流图●借书证修改图1-3 借书证修改流图●借书证注销图1-4借书证注销流图●借书系统不能借书的原因图1-5借书系统流图●检索系统图1-7 还书系统流图图书档案管理系统图1-8 档案管理流图图书信息管理系统主要分为以下几个局部E-R 图: 1).借书证处理系统ER 图:图2-1 借书证处理系统ER 图图中各实体属性如下:读者档案:学号,读者姓名,性别,出生日期,借书证号,职业,单位,通讯地址,邮政编码,联系电话MM借书证:借书证号,姓名,性别,办证日期,借阅范围,最大借书量,照片,身份证号管理员:管理员编号,管理员姓名,登陆密码2).借书系统ER图:图2-2借书系统ER图图中各实体属性如下:读者:身份证号,读者姓名,借书证号借书证:借书证号,姓名,性别,办证日期(借阅范围,最大借书量,照片,身份证号) 库存信息:书号,图书编号借出信息:图书编号,借书证号,借书日期,归还日期3).索书系统ER图:图2-3索书系统ER图图中各实体属性如下:读者:读者姓名,借书证号图书档案:图书编号,书号,书名,作者,出版单位,出版日期,单价,藏书册书,类别,入库日期4).还书系统ER图:图2-4 还书系统ER图图中各实体属性如下:读者:学号,读者姓名,借书证号借书证:借书证号,姓名,性别,办证日期库存信息:书号,图书编号借出信息:图书编号,借书证号,借书日期,归还日期管理员:操作员编号,管理员姓名,登陆密码5).图书档案管理系统ER图:图2-5 档案管理系统ER图图中各实体属性如下:管理员:操作员编号,管理员姓名,登陆密码库存信息:书号,图书编号图书档案:图书编号,书号,书名,作者,出版单位,出版日期,单价,类别,入库日期入库清单:入库日期,图书编号,管理员编号,书名6). 整体E-R图图2-6 整体ER图图中各实体属性如下:读者档案:学号,读者姓名,性别,借书证号,单位借书证:借书证号,姓名,性别,办证日期管理员:操作员编号,管理员姓名,登陆密码库存信息:书号,图书编号借出信息:图书编号,借书证号,借书日期,归还日期图书档案:书号,书名,作者,出版单位,出版日期,单价,类别,藏书册书,图书编号入库日期。
图书馆管理系统开发设计方案1需求分析1.1 目前图书馆管理系统存在问题1)检索速度慢、效率低因为图书馆的藏书种类多、数量多,将藏书准确地分门别类,快速检索,手工进行非常困难往往是终于查到了二伟的信息,馆中没有此书或已被别人借走。
图书馆的规模越大,这个问题越突出。
2)借书、还书工作量大借书、还书频率越大,说明图书馆的作用越大,然而随之而来的大量的借书、还书登记、实存图书的更新以及借出图书超期、遗失等的处理,其工作量之大,往往是人工操作所难以胜任的。
而且经常会出现这样那样的差错。
3)图书统计工作难、藏书更新不能及时完成。
图书馆的图书应根据科学技术的发展和教学工作的需要及时添加和更新,然而由于藏书数量及图书种类越来越多,加上自然损耗,人为破坏,使图书的统计工作难以及时完成,藏书的更新也就很难有针对性地进行,藏书的知识结构得不到良好地控制。
我校也是一所发展中的高校,近儿年的发展速度很快,图书馆的规模和藏书数量也不断的扩大,为了解决海量图书的管理问题,改变传统的管理方式也是迫在眉睫了。
1.2 系统目标本系统主要实现对图书馆的信息进行管理,图书馆的正常运营中总是面对大量的读者信息,图书信息以及两者相互作用产生的借书信息,因此要对读者资源,图书资源,借书信息进行管理。
本系统的开发就是在于提高图书管理的工作效率,加强图书馆的管理。
图书馆管理系统是图书馆管理工作中不可缺少的部分,它的内容对于图书馆的管理者和使用者来说都至关重要,所以图书管理系统应该能够为管理者或读者提供充足的信息和快捷的数据处理手段。
但一直以来人们使用传统人工的方式进行图书管理和借阅管理,这种管理方式存在着许多缺点,如:效率低、易忘记、保密性差,另外时间一长,将产生大量的文件和数据,这对于查找、更新和维护都带来了不少的困难。
随着科学技术的不断提高,计算机科学日渐成熟,其强大的功能已为人们深刻认识,它已进入人类社会的各个领域并发挥着越来越重要的作用。
图书馆管理系统开发设计方案12需求分析2.1 目前图书馆管理系统存在问题1)检索速度慢、效率低因为图书馆的藏书种类多、数量多,将藏书准确地分门别类,快速检索,手工进行非常困难往往是终于查到了二伟的信息,馆中没有此书或已被别人借走。
图书馆的规模越大,这个问题越突出。
2)借书、还书工作量大借书、还书频率越大,说明图书馆的作用越大,然而随之而来的大量的借书、还书登记、实存图书的更新以及借出图书超期、遗失等的处理,其工作量之大,往往是人工操作所难以胜任的。
而且经常会出现这样那样的差错。
3)图书统计工作难、藏书更新不能及时完成。
图书馆的图书应根据科学技术的发展和教学工作的需要及时添加和更新,然而由于藏书数量及图书种类越来越多,加上自然损耗,人为破坏,使图书的统计工作难以及时完成,藏书的更新也就很难有针对性地进行,藏书的知识结构得不到良好地控制。
我校也是一所发展中的高校,近儿年的发展速度很快,图书馆的规模和藏书数量也不断的扩大,为了解决海量图书的管理问题,改变传统的管理方式也是迫在眉睫了。
2.2 系统目标本系统主要实现对图书馆的信息进行管理,图书馆的正常运营中总是面对大量的读者信息,图书信息以及两者相互作用产生的借书信息,因此要对读者资源,图书资源,借书信息进行管理。
本系统的开发就是在于提高图书管理的工作效率,加强图书馆的管理。
图书馆管理系统是图书馆管理工作中不可缺少的部分,它的内容对于图书馆的管理者和使用者来说都至关重要,所以图书管理系统应该能够为管理者或读者提供充足的信息和快捷的数据处理手段。
但一直以来人们使用传统人工的方式进行图书管理和借阅管理,这种管理方式存在着许多缺点,如:效率低、易忘记、保密性差,另外时间一长,将产生大量的文件和数据,这对于查找、更新和维护都带来了不少的困难。
随着科学技术的不断提高,计算机科学日渐成熟,其强大的功能已为人们深刻认识,它已进入人类社会的各个领域并发挥着越来越重要的作用。
图书馆管理系统开发设计方案1需求分析1.1目前图书馆管理系统存在问题1)检索速度慢、效率低因为图书馆的藏书种类多、数量多,将藏书准确地分门别类,快速检索,手工进行非常困难往往是终于查到了二伟的信息,馆中没有此书或已被别人借走。
图书馆的规模越大,这个问题越突出。
2)借书、还书工作量大借书、还书频率越大,说明图书馆的作用越大,然而随之而来的大量的借书、还书登记、实存图书的更新以及借出图书超期、遗失等的处理,其工作量之大,往往是人工操作所难以胜任的。
而且经常会出现这样那样的差错。
3)图书统计工作难、藏书更新不能及时完成。
图书馆的图书应根据科学技术的发展和教学工作的需要及时添加和更新,然而由于藏书数量及图书种类越来越多,加上自然损耗,人为破坏,使图书的统计工作难以及时完成,藏书的更新也就很难有针对性地进行,藏书的知识结构得不到良好地控制。
我校也是一所发展中的高校,近儿年的发展速度很快,图书馆的规模和藏书数量也不断的扩大,为了解决海量图书的管理问题,改变传统的管理方式也是迫在眉睫了。
1.2系统目标本系统主要实现对图书馆的信息进行管理,图书馆的正常运营中总是面对大量的读者信息,图书信息以及两者相互作用产生的借书信息,因此要对读者资源,图书资源,借书信息进行管理。
本系统的开发就是在于提高图书管理的工作效率,加强图书馆的管理。
图书馆管理系统是图书馆管理工作中不可缺少的部分,它的内容对于图书馆的管理者和使用者来说都至关重要,所以图书管理系统应该能够为管理者或读者提供充足的信息和快捷的数据处理手段。
但一直以来人们使用传统人工的方式进行图书管理和借阅管理,这种管理方式存在着许多缺点,如:效率低、易忘记、保密性差,另外时间一长,将产生大量的文件和数据,这对于查找、更新和维护都带来了不少的困难。
随着科学技术的不断提高,计算机科学日渐成熟,其强大的功能已为人们深刻认识,它已进入人类社会的各个领域并发挥着越来越重要的作用。
作为计算机应用的一部分,使用计算机对图书信息进行管理,具有着手工管理所无法比拟的优点.例如:检索迅速、查找方便、易修改、可靠性高、存储量大、数据处理快捷、保密性好、寿命长、成本低、便于打印等。
长沙理工大学《程序设计实践》课程设计报告邹松林学院计通学院专业计算机科学与技术班级计算机03-05 学号27学生姓名邹松林指导教师卢曼莎课程成绩完成日期2006年9月20号图书馆管理系统数据库分析与设计学生姓名:邹松林指导老师:卢曼莎摘要:图书信息管理系统主要由读者信息管理模块,图书信息管理模块,借阅信息管理模块,系统信息管理模块等组成。
其中又各自分成读者注册,证件修改,用户注销,图书查询,操作记录等子模块。
在设计本系统过程中,我们第一步由自顶而下的需求分析概括设计出系统总模块的数据流图,再设计个子模块的相应数据流图,列出数据流信息及数据字典;第二步概念设计在需求分析基础上用E-R图表示出数据及相互间联系,采用先作子图,再合并成初步E-R图,进行修改和重构后得到基本E-R图;第三步逻辑设计,在SQL Server的设计环境下把图书馆管理系统E-R图转化为成逻辑数据模型表示的逻辑模式,同时实现数据模型的优化和数据模式的规范化;第四步进行物理设计设计数据的内模式,确定数据的存储结构,存取路径,存储空间分配等等,具体形式为表,视图,索引的建立。
关键字:数据库,SQL语言,MS SQL Server,图书管理1 需求分析用户的需求具体体现在各种信息的提供、保存、更新和查询,这就要求数据库结构能充分满足各种信息的输入和输出。
收集基本数据,数据结构以及数据处理的流程,为后面的具体设计打下基础。
在仔细分析调查有关图书馆管理信息需求的基础上,我们主要考虑以下几个方面的需求:1) 用户需求:图书用户要求计算机系统和SQL Server所工作的范围;2) 应用资源:数据库应用的平台包括物理平台和图书等;3) 应用质量和可靠性要求:包括操作人员素质和系统的纠错能力等1.1 项目名称:图书馆信息管理系统1.2 项目背景和内容概要对图书馆管理信息系统进行详细地分析后,我们将系统分为以下几个模块:借阅管理模块、借书证信息管理模块、图书信息管理模块、系统管理模块。
一、ER图如下:1. 实体集说明:“读者”实体集---来自“读者数据”存储文件“罚单”实体集---来自“罚单数据”存储文件“借阅信息”实体集---来自“借阅数据”存储文件“图书”实体集---来自“书籍数据”存储文件“管理员”实体集---来自“管理员”对象“采购员”实体集---来自“采购员”对象2. 联系类型说明:1____* ------ 表示“一对多”联系,多方可以是1个或多个1..1____0..1 ------ 表示“一对多”联系,但多方可已是0个或多个3. 实体集的属性说明:读者(读者号,读者姓名,性别,学院,读者类型,入学日期,电话,身份证号)图书(书号,书名,书籍状态,主编,作者,出版社,图书类型,出版日期,版本,价格)管理员(管理员号,姓名,性别,身份证号)采购员(采购员号,姓名,性别,身份证号)罚单(罚单号,读者号,读者姓名,{书号,书名,超期天数,处罚金额}+,罚单合计)借阅信息(借阅编号,读者号,读者姓名,学院,{书号,借阅书名,是否为续借}+)关系上的属性:读者登记(押金,登记日期)图书登记(登记日期)借阅登记(借阅日期| 归还日期)罚单生成(办理日期)采购(采购日期)二、ER图转化为关系模式:读者(读者号,读者姓名,性别,学院,读者类型,入学日期,电话,身份证号,押金,登记日期,办理人)图书(书号,书名,书籍状态,主编,作者,出版社,图书类型,出版日期,版本,价格,登记日期,采购日期,办理人,采购人)管理员(管理员号,姓名,性别,身份证号)采购员(采购员号,姓名,性别,身份证号)借阅信息(借阅编号,读者号,读者姓名,学院,借阅日期,归还日期,办理人)罚单(罚单号,读者号,读者姓名,罚单合计,办理日期,借阅编号)。
多值属性增加表属性。
借阅书籍(借阅编号,书号,是否为续借)罚单书项(罚单号,书号,书名,超期天数,处罚金额)。
(完整word版)图书管理系统ER图
用E-R图描述下述语义环境:
(1)一名读者可借阅多种书,一种书可由多名读者借阅;(2)一种书只在一个书库存放,一个书库可存放多种书;(3)一个书库有一个管理员,一个管理员只负责一个书库;其中:
读者包含下列属性:借书证号,姓名,年龄,职务,单位;图书包含下列属性:图书编号,书名,作者,价格;
书库包含下列属性:书库号,地点,面积,电话;
管理员包含下列属性:管理员号,姓名,性别,职务;
关于某读者借阅某本书要描述借阅日期;
在某书库存放某种书要描述存放数量。
关系模式:
关系1:读者(借书证号,姓名,年龄,职务,单位)
关系2:书(图书编号,书名,价格,作者,书库号)
关系3:书库(书库号,地点,面积,电话)
关系4:管理员(管理员号,姓名,性别,职务,书库号)关系5:借阅(借书证号,图书编号,借阅日期)。
图书馆管理系统开发设计方案1需求分析1.1目前图书馆管理系统存在问题1)检索速度慢、效率低因为图书馆的藏书种类多、数量多,将藏书准确地分门别类,快速检索,手工进行非常困难往往是终于查到了二伟的信息,馆中没有此书或已被别人借走。
图书馆的规模越大,这个问题越突出。
2)借书、还书工作量大借书、还书频率越大,说明图书馆的作用越大,然而随之而来的大量的借书、还书登记、实存图书的更新以及借出图书超期、遗失等的处理,其工作量之大,往往是人工操作所难以胜任的。
而且经常会出现这样那样的差错。
3)图书统计工作难、藏书更新不能及时完成。
图书馆的图书应根据科学技术的发展和教学工作的需要及时添加和更新,然而由于藏书数量及图书种类越来越多,加上自然损耗,人为破坏,使图书的统计工作难以及时完成,藏书的更新也就很难有针对性地进行,藏书的知识结构得不到良好地控制。
我校也是一所发展中的高校,近儿年的发展速度很快,图书馆的规模和藏书数量也不断的扩大,为了解决海量图书的管理问题,改变传统的管理方式也是迫在眉睫了。
1.2系统目标本系统主要实现对图书馆的信息进行管理,图书馆的正常运营中总是面对大量的读者信息,图书信息以及两者相互作用产生的借书信息,因此要对读者资源,图书资源,借书信息进行管理。
本系统的开发就是在于提高图书管理的工作效率,加强图书馆的管理。
图书馆管理系统是图书馆管理工作中不可缺少的部分,它的容对于图书馆的管理者和使用者来说都至关重要,所以图书管理系统应该能够为管理者或读者提供充足的信息和快捷的数据处理手段。
但一直以来人们使用传统人工的方式进行图书管理和借阅管理,这种管理方式存在着许多缺点,如:效率低、易忘记、性差,另外时间一长,将产生大量的文件和数据,这对于查找、更新和维护都带来了不少的困难。
随着科学技术的不断提高,计算机科学日渐成熟,其强大的功能已为人们深刻认识,它已进入人类社会的各个领域并发挥着越来越重要的作用。
作为计算机应用的一部分,使用计算机对图书信息进行管理,具有着手工管理所无法比拟的优点.例如:检索迅速、查找方便、易修改、可靠性高、存储量大、数据处理快捷、性好、寿命长、成本低、便于打印等。
这些优点能够极提高图书管理的效率,也是图书馆的科学化、正规化管理,与世界接轨的重要条件。
因此,开发这样一套管理软件成为很有必要的事情。
图书管理信息系统是典型的信息管理系统,其开发主要包括后台数据库的建立和维护以及前端应用程序的开发两个方面。
对于后台数据库的建立要求建立起数据一致性和完整性强.数据安全性好的库。
而对于前端应用程序则要求应用程序功能完备,易使用等特点。
1.3功能需求定义➢作为系统管理员:1. 能增删改查各个管理员的信息2. 能增删改查图书馆的书籍类型的信息。
3. 能增删改查图书馆的书籍的信息。
4. 能增删改查图书馆的读者的信息。
5. 能借阅图书、归还图书。
➢作为图书管理员:1. 能增删改查图书馆的书籍类型的信息。
2. 能增删改查图书馆的书籍的信息。
➢作为借阅管理员:1. 能增删改查图书馆的读者的信息。
2. 能借阅图书、归还图书。
本系统需要完成的功能主要有几部分:1.3.1图书基本情况1.书籍类别标准的制定,类别信息的输入,包括类别编号,类别名称,关键词,备注信息等。
2.书籍类别信息的查询,修改,包括类别编号,类别名称,关键词,备注信息等。
3.书籍信息的输入,包括书籍编号,书籍名称,书籍类别,作者名称,名称,出版日期,书籍页数,关键词,登记日期,备注信息等。
1.3.2实现借书功能1.借书信息的输入,包括借书信息编号,读书编号,读者,书籍编号,书籍名称,借书日期,备注信息等。
2.借书信息的查询,修改,包括借书信息编号,读者编号,读者,书籍编号,书籍名称,借书日期,备注信息等。
1.3.3实现还书功能1.还书信息的输入,包括还书信息编号,读者编号,读者,书籍编号,书籍名称,借书日期,还书日期,备注信息等。
2.还书信息的查询和修改,包括还书信息编号,读书编号,读者,书籍编号,书籍名称,借书日期,还书日期,备注信息等。
1.3.4图书查询可以对图书进行的精确查询并讲查询信息以列表的方式呈现给用户,方便用户查找信息。
2系统功能结构图3业务流程图3.1用户管理3.2书籍类型管理3.3书籍管理3.4读者管理3.5借阅管理3.5.1借阅3.5.2归还4绘制数据流图数据流程图可以清楚的表示各个模块之间的调用关系。
下面是数据流程图:顶层图:1层图:2层图:3层图:P2.6 借阅管理5ER图总体ER图:6数据字典一、数据元素1.tbBook中的字段:(1)名称:Bid别名:书籍编号类型:nvarchar(50)取值围:0-50取值含义:标识书籍的编号长度:50(2)名称:Bookname别名:书籍名类型:nvarchar(50)取值围:0-50取值含义:标识书籍的名称长度:50(3)名称:Typename别名:所属类型类型:nvarchar(50)取值围:0-50取值含义:标识书籍的类型长度:50(4)名称:Author别名:作者类型:nvarchar(50)取值围:0-50取值含义:标识书籍的作者长度:50(5)名称:Zt别名:当前复本量类型:nvarchar(50)取值围:0-50取值含义:标识书籍的当前复本量长度:502.tbBorrow中的字段:(1)名称:Jyid别名:借阅编号类型:nvarchar(50)取值围:0-50取值含义:标识借阅信息条目的编号长度:50(2)名称:Rid别名:读者编号类型:nvarchar(50)取值围:0-50取值含义:标识借阅信息条目的读者长度:50(3)名称:Bid别名:书籍编号类型:nvarchar(50)取值围:0-50取值含义:标识借阅信息条目的书籍长度:50(4)名称:Jsdate别名:借书日期类型:datetime取值围:0-8取值含义:标识借阅信息条目的借阅日期长度:8(5)名称:Hsdate别名:还书日期类型:datetime取值围:0-8取值含义:标识借阅信息条目的还书日期长度:83.tbBtype中的字段:(1)名称:Typeid别名:书籍类型编号类型:nvarchar(50)取值围:0-50取值含义:标识该书籍类型的编号长度:50(2)名称:Typename别名:书籍类型名称类型:nvarchar(50)取值围:0-50取值含义:标识该书籍类型的名称长度:50(3)名称:Jt别名:借阅天数类型:Int取值围:0-4取值含义:标识该书籍类型的可借阅天数长度:4(4)名称:Fj别名:罚金类型:money取值围:0-8取值含义:标识该书籍类型过期后每天的罚金数长度:84.tbReader中的字段:(1)名称:Rid别名:读者编号类型:nvarchar(50)取值围:0-50取值含义:标识该读者的编号长度:50(2)名称:Readername别名:读者类型:nvarchar(50)取值围:0-50取值含义:标识该读者的长度:50(3)名称:Phone别名:读者联系类型:nvarchar(50)取值围:0-50长度:50(4)名称:Maxjsl别名:最大借阅量类型:Int取值围:0-4取值含义:标识该读者可借书量的最大值长度:4(5)名称:Yjsl别名:当前借书量类型:Int取值围:0-4取值含义:标识该读者的当前借阅量长度:45.tbUser中的字段:(1)名称:Useid别名:用户编号类型:nvarchar(50)取值围:0-50取值含义:标识该读者的编号长度:50(2)名称:Name别名:用户名类型:nvarchar(50)取值围:0-50取值含义:标识该读者的编号长度:50(3)名称:Pass别名:用户密码类型:nvarchar(50)取值围:0-50取值含义:标识该读者的编号长度:50(4)名称:Qx别名:权限类型:nvarchar(50)取值围:0-50取值含义:标识该读者的编号长度:50(5)名称:Phone别名:用户联系类型:nvarchar(50)取值围:0-50长度:50二、数据结构1.名称:书籍说明:定义了书籍的有关信息结构:书籍编号,书籍名称,书籍类型,作者,当前复本量;2.名称:读者说明:定义了读者的有关信息结构:读者编号,读者,最大借阅量,当前借阅量3.名称:用户说明:定义管理员,即系统使用者的有关信息结构:用户编号,用户名,用户密码,权限三、数据流1.数据流符号:F1(1)名称:登录信息(2)来源:用户(3)去处:P2.1(4)组成:Name+Pass+Qx(5)流通量:(6)最大流通量:2.数据流符号:F2(1)名称:用户信息(2)来源:tbUser(3)去处:P2.2(4)组成:Userid+Name+Pass+Qx(5)流通量:(6)最大流通量:3.数据流符号:F3(1)名称:处理后用户信息(2)来源:P2.2(3)去处:Library(4)组成:Userid+Name+Pass+Qx(5)流通量:(6)最大流通量:4.数据流符号:F4(1)名称:书籍类型信息(2)来源:tbType(3)去处:P2.3(4)组成:Typeid+Typename+Jt+Fj(5)流通量:(6)最大流通量:5.数据流符号:F5(1)名称:处理后书籍类型信息(2)来源:P2.3(3)去处:Library(4)组成:Typeid+Typename+Jt+Fj(5)流通量:(6)最大流通量:6.数据流符号:F6(1)名称:书籍信息(2)来源:tbBook(3)去处:P2.4(4)组成:Bid+Bookname+Typename+Author+Zt(5)流通量:(6)最大流通量:7.数据流符号:F7(1)名称:处理后书籍信息(2)来源:P2.4(3)去处:Library(4)组成:Bid+Bookname+Typename+Author+Zt(5)流通量:(6)最大流通量:8.数据流符号:F8(1)名称:读者信息(2)来源:tbReader(3)去处:P2.5(4)组成:Rid+Readersname+Phone+Maxjsl+yjsl(5)流通量:(6)最大流通量:9.数据流符号:F9(1)名称:处理后读者信息(2)来源:P2.5(3)去处:Library(4)组成:Rid+Readersname+Phone+Maxjsl+yjsl(5)流通量:(6)最大流通量:10.数据流符号:F10(1)名称:借阅管理信息(2)来源:tbBorrow、tbBook、tbReader(3)去处:P2.6(4)组成:Jyid+Rid+Bid+Jsdate+Hsdate+Zt+Maxjsl+Yjsl(5)流通量:(6)最大流通量:11.数据流符号:F11(1)名称:处理后的借阅书籍信息(2)来源:P2.6(3)去处:Library(4)组成:Jyid+Rid+Bid+Jsdate+Hsdate+Zt+Maxjsl+Yjsl(5)流通量:(6)最大流通量:12.数据流符号:F12(1)名称:处理后归还书籍信息(2)来源:tbBorrow、tbBook、tbReader(3)去处:P2.7(4)组成:Jyid+Rid+Bid+Jsdate+Hsdate+Zt+Maxjsl+Yjsl(5)流通量:(6)最大流通量:13.数据流符号:F13(1)名称:借阅处理后的书籍信息(2)来源:tbBorrow、tbBook(3)去处:P2.6.1(4)组成:Jyid+Rid+Bid+Jsdate+Hsdate+Z(5)流通量:(6)最大流通量:14.数据流符号:F14(1)名称:借阅处理后的读者信息(2)来源:tbBorrow、tbReader(3)去处:P2.6.2(4)组成:Jyid+Rid+Bid+Jsdate+Hsdate+ Maxjsl+Yjsl(5)流通量:(6)最大流通量:四、数据存储**和表一样五、处理过程1数据处理符号:P1(1)名称:分类处理(2)说明:区是分系统管理员、书籍管理员、借阅管理员(3)输入:用户(4)输出:各个类型的处理模块(5)处理:根据用户输入的F1和tbUser中的比较,确认登陆,再根据权限判断下一步的流向2数据处理符号:P2.6.1(1)名称:处理书籍信息(2)说明:处理书籍借阅时对书籍的处理(3)输入:F6、F10(4)输出:F13(5)处理:将借阅书籍的当前复本量减13数据处理符号:P2.6.2(1)名称:处理读者信息(2)说明:处理书籍借阅时对读者的处理(3)输入:F8、F10(4)输出:F14(5)处理:将读者的当前借阅量减14数据处理符号:P2.6.3(1)名称:处理借阅信息(2)说明:处理书籍借阅时对借阅条目的处理(3)输入:F13、F14(4)输出:F11(5)处理:将F13、F4的数据流拼合起来,写入tbBorrow六、外部实体1外部实体:管理员(1)说明:分为系统管理员、书籍管理员、借阅管理员,是系统的使用者(2)输入数据流:管理员P0(3)输出数据流:2外部实体:Library(1)说明:是系统的数据库(2)输入数据流:(3)输出数据流:P0Library。