大学物理实验绪论课习题及其参考答案
- 格式:docx
- 大小:417.45 KB
- 文档页数:4
大学物理实验习题和答案(整理版)篇一:大学物理实验练习题答案1、何谓绝对误差,何谓相对误差?测量值与真值之间的差值为绝对误差。
绝对误差与真值之比为相对误差。
2、测量结果的完整表示有几部分?已知、A,试写出测量量A的测量结果。
测量结果的完整表示包括平均值和绝对误差两部分。
AA3、指出下列各数是几位有效数字。
(1)0.0001;(1位有效数字)(2)0.100;(3位有效数字)(3)1.00;(3位有效数字)(4)783.25000;(8位有效数字)(5)4.23;(3位有效数字)(6)0.0423;(3位有效数字)(7)375.0;(4位有效数字)(8)0.405.(3位有效数字)4、把下列各数取成三位有效数字。
(1)2.09522.10(2)0.752490.753(3)31.05331.1(4)5.31645.32(5)0.004014.01103(6)7.86567.875、改正下列错误,写出正确答案(1)m(437260300)kgm(437.30.3)103kg(2)l(21.2520.4)cml(21.30.4)cm(3)h(34.21043000)kmh(34.20.3)104km(4)a(1.2430.025)m/2a(1.240.03)m/2(5)v(5.43250.01)m/v(5.430.01)m/(6)G5342kg5342000gG5342kg5.342106g6、用有效数字的运算规则运算下列各式。
(1)453.25+786.3-437.237;(2)7.851038.011047.3102;(3)(6.0534.5)2.64/3.4;(4)co(37012)(5)lg3.43解:(1)453.25786.3437.237453.3786.3437.2802.4(2)7.851038.011047.31027.98.07.3109461.361094.6107;(3)(6.0534.5)2.64/3.4(6.14.5)2.6/3.41.2(4)co(37012)0.7965(5)lg3.430.5357、已知某13.24某2、ln某。
习 题(参考答案)2.指出下列测量值为几位有效数字,哪些数字是可疑数字,并计算相对不确定度。
(1) g =(9.794±0.003)m ·s 2-答:四位有效数字,最后一位“4”是可疑数字,%031.0%100794.9003.0≈⨯=gr U ; (2) e =(1.61210±0.00007)⨯1019- C答:六位有效数字,最后一位“0”是可疑数字,%0043.0%10061210.100007.0≈⨯=er U ;(3) m =(9.10091±0.00004) ⨯1031-kg答:六位有效数字,最后一位“1”是可疑数字,%00044.0%10010091.900004.0≈⨯=mr U ;(4) C =(2.9979245±0.0000003)810⨯m/s答:八位有效数字,最后一位“5”是可疑数字1.仪器误差为0.005mm 的螺旋测微计测量一根直径为D 的钢丝,直径的10次测量值如下表:试计算直径的平均值、不确定度(用D 表示)和相对不确定度(用Dr 表示),并用标准形式表示测量结果。
解: 平均值 mm D D i i 054.2101101==∑=标准偏差:mm D Di iD 0029.0110)(1012≈--=∑=σ算术平均误差: mm DDi iD 0024.010101≈-=∑=δ不确定度A 类分量mm U D A 0029.0==σ, 不确定度B 类分量mm U B 005.0=∆=仪∴ 不确定度mm U U UB A D006.0005.00029.02222≈+=+=相对不确定度%29.0%100054.2006.0%100≈⨯=⨯=D U U D Dr 钢丝的直径为:%29.0)006.0054.2(=±=Dr D mmD或 不确定度A 类分量mm U D A 0024.0==δ , 不确定度B 类分量mm U B 005.0=∆=仪∴ 不确定度mm U U UB A D006.0005.00024.02222≈+=+=相对不确定度%29.0%100054.2006.0%100≈⨯=⨯=D U U D Dr 钢丝的直径为: %29.0)006.0054.2(=±=Dr D mmD,%00001.0%1009979245.20000003.0≈⨯=Cr U 。
⼤学物理实验理论考试题及答案解析⼀、选择题(每题4分,打“ * ”者为必做,再另选做4题,并标出选做记号“ * ”,多做不给分,共40分)1* 某间接测量量的测量公式为4323y x N -=,直接测量量x 和y 的标准误差为x ?和y ?,则间接测量量N 的标准误差为?BN ?=4322(2)3339N x x y x x x ??-==?=??, 3334(3)2248y N y y y y x ??==-?=-??- ()()[]21232289y x N y x ?+?=?2*。
⽤螺旋测微计测量长度时,测量值=末读数—初读数(零读数),初读数是为了消除 ( A ) (A )系统误差(B )偶然误差(C )过失误差(D )其他误差3*在计算铜块的密度ρ和不确定度ρ?时,计算器上分别显⽰为“8.35256”和“ 0.06532”则结果表⽰为:( C )(A) ρ=(8.35256 ± 0.0653)(gcm – 3 ), (B) ρ=(8.352 ± 0.065)(gcm – 3 ), (C) ρ=(8.35 ± 0.07)(gcm – 3 ),(D) ρ=(8.35256 ± 0.06532)(gcm – 3 ) (E) ρ=(20.083510? ± 0.07)(gcm – 3 ), (F) ρ=(8.35 ± 0.06)(gcm – 3 ),4*以下哪⼀点不符合随机误差统计规律分布特点( C )(A )单峰性(B )对称性(C )⽆界性有界性(D )抵偿性 5* 某螺旋测微计的⽰值误差为mm 004.0±,选出下列测量结果中正确的答案:( B )A .⽤它进⾏多次测量,其偶然误差为mm 004.0;B .⽤它作单次测量,可⽤mm 004.0±估算其误差; B =?==?C. ⽤它测量时的相对误差为mm 004.0±。
大学物理实验习题和答案(整理版)第一部分:基本实验基础1.(直、圆)游标尺、千分尺得读数方法。
答:P462.物理天平1.感量与天平灵敏度关系。
天平感量或灵敏度与负载得关系。
答:感量得倒数称为天平得灵敏度。
负载越大,灵敏度越低。
2.物理天平在称衡中,为什么要把横梁放下后才可以增减砝码或移动游码。
答:保护天平得刀口。
3.检流计1.哪些用途?使用时得注意点?如何使检流计很快停止振荡?答:用途:用于判别电路中两点就是否相等或检查电路中有无微弱电流通过。
注意事项:要加限流保护电阻要保护检流计,随时准备松开按键。
很快停止振荡:短路检流计。
4.电表量程如何选取?量程与内阻大小关系?答:先估计待测量得大小,选稍大量程试测,再选用合适得量程。
电流表:量程越大,内阻越小。
电压表:内阻=量程×每伏欧姆数5.万用表不同欧姆档测同一只二极管正向电阻时,读测值差异得原因?答:不同欧姆档,内阻不同,输出电压随负载不同而不同。
二极管就是非线性器件,不同欧姆档测,加在二极管上电压不同,读测值有很大差异。
6.信号发生器功率输出与电压输出得区别?答:功率输出:能带负载,比如可以给扬声器加信号而发声音。
电压输出:实现电压输出,接上得负载电阻一般要大于50Ω。
比如不可以从此输出口给扬声器加信号,即带不动负载。
7.光学元件光学表面有灰尘,可否用手帕擦试?答:不可以8.箱式电桥倍率得选择方法。
答:尽量使读数得有效数字位数最大得原则选择合适得倍率。
9.逐差法什么就是逐差法,其优点?答:把测量数据分成两组,每组相应得数据分别相减,然后取差值得平均值。
优点:每个数据都起作用,体现多次测量得优点。
10.杨氏模量实验1.为何各长度量用不同得量具测?答:遵守误差均分原理。
2.测钢丝直径时,为何在钢丝上、中、下三部位得相互垂直得方向上各测一次直径,而不就是在同一部位采样数据?答:钢丝不可能处处均匀。
3.钢丝长度就是杨氏模量仪上下两个螺丝夹之间得长度还就是上端螺丝夹到挂砝码得砝码钩之间得长度?答:前者4.采用光放大办法测钢丝得微小伸长量时要测望远镜到标尺之间得距离L,请问,L就是指平面镜镜面到望远镜旁标尺得距离还就是指平面镜镜面到望远镜物镜之间得距离?答:前者5.必须预加砝码使钢丝拉直,您能用什么办法判断需预加几个砝码?答:用图示法。
大学物理实验绪论答案附解析1. 下面哪种说法正确?DA. 间接测量结果有效数字位数的多少由测量仪器的精度决定。
B. 间接测量结果有效数字位数的多少由计算器数码显示位数的多少决定。
C. 间接测量结果有效数字位数的多少由所用的单位决定。
D. 间接测量结果有效数字位数的多少由其不确定度决定。
2. 某物理量的测量结果为n=1.6532(0.0007),下面对该结果的解释哪种是正确的?CA. 表明该物理量的数值有两种可能,即n=1.6525 或n=1.6539 。
B. 表明该物理量的数值是(1.6525,1.6539)区间内的任何值。
C. 表明该物理量的真值有较大的概率位于(1.6525,1.6539)区间内。
D. 表明该物理量的真值不在(1.6525,1.6539)区间内。
3. 在相同的测量条件下,对同一物理量进行多次重复测量,并以各次测量值的算数平均值作为该物理量的测量结果,以下哪种说法是正确的?BA. 这样做可以减小系统误差。
B. 这样做可以减小随机误差。
C. 这样做可以得到该物理量的真值。
D. 这只是处理测量数据的一种方法,不能减小误差,与真值也没关系。
4. 以下关于系统误差的说法哪个是正确的?DA. 系统误差是没有规律的误差。
B. 系统误差就是指来源于测量仪器的误差。
C. 系统误差是正性误差。
D. 系统误差是可正可负的。
5. 用最小分度为0.2s 的计时器测量时间,一次测量的结果是56.4s,正确的表达式是哪一个?CA. 56.4(0.1)s C. 56.40(0.06)sB. 56.40(0.10)s D. 56.4(0.2)s6. 已知D HM24πρ= ,其中M = 276.180(0.020)g ,D = 3.662(0.005)cm,H = 12.180(0.010)cm,M、D、H 这三个测量量中哪一个量的测量对ρ的不确定度影响最大?AA. M 的测量对ρ的不确定度影响最大。
B. D 的测量对ρ的不确定度影响最大。
习 题1、下列各量是几位有效数字?(1)地球平均半径km R 22.6371= 6位(2)s T 0010.2= 5位(3)真空中的光速s m c /299792458= 9位(4)cm l 00058.0= 2位(5)地球到太阳的平均距离km s 810496.1⨯= 4位(6)J 23109.2⨯ 2位2、按有效数字运算法则计算下列各式(1)06546.06.547.255++ 261.1(2)218.311.855.90-- 51.2(3)0.145.12.91÷⨯ 1.3×102(4)100)23.10025.100(÷- 2×10-3(5)0.2001.22⨯⨯π 25.2(6))001.000.1)(0.3103()3.1630.18(00.50+--⨯ 1.003、按照误差理论和有效数字运算法则改正错误(1)mm h 5.026.25±= mm h 5.03.25±=→(2)015330'±'= θ 2.06.30±=→θ(3)nm 46.06.579±=λ nm 5.06.579±=→λ(4)2911/)1032.41067.1(m N Y ⨯±⨯=211/10)04.067.1(m N Y ⨯±=→(5)m cm 5500= m cm 00.5500=→(6)25.25.12= 2.25.12=→(7)mA A I 10010000.0== mA A I 000.10010000.0==→(8)06330.0是三位有效数字 位有效数字4→4、用一级千分尺测量一小球的直径,测得数据如下:000.10:)(mm d i ,998.9,003.10,002.10,997.9,001.10,998.9,999.9,004.10,997.9。
计算直径的算术平均值、标准误差、相对误差以及正确表达测量结果。
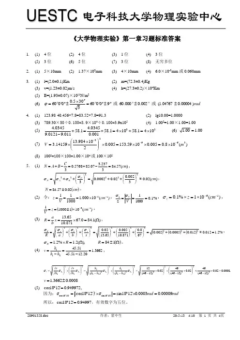
《大学物理实验》第一章习题标准答案1. (1) 4位 (2) 4位 (3) 1位 (4) 3位 (5) 3位(6) 5位(7) 3位(8) 无穷多位2. (1) 5×10mm(2) 1.37×103mm(3) 4×10mm(4) 6.0×10-3mm 或0.060mm3. (1) l=(2.0±0.1)Km(2) m=(72.3±0.4)Kg (3) v=(1.23±0.02)m/s(4) h=(27.3±0.2)×104Km(5) E=(1.93±0.07)×1011N/m 2(6) r a d)00004.004767.1( 002.0000.60 900603035.00060±±''±'''=''⨯±'''=或或 ϕ 4. (1) 123.98-40.456+7.8=83.52+7.8=91.3(2) lg10.00=1.0000(3) 789.30×50÷0.100=3.9×104÷0.100=3.9x105 (4) 1.002=1.00×1.00=1.00(5) 331041.581041.58001.00345.41.58011.90121.90345.4⨯=+⨯=+=+-(6) 00.100.1=(7) )(108.0005.01059.153005.0210984.1314159.336623m V ---⨯=⨯⨯=⨯⎪⎪⎭⎫ ⎝⎛⨯⨯=(8) 1002=100×100=1.00×104或100×1025. (1) )(57.843237.307.855768.03cm C B A N =-+=-+=,)(02.03002.002.00002.03222222cm C BA N ≈⎪⎭⎫⎝⎛++=⎪⎭⎫ ⎝⎛++=σσσσ, ()cm N 02.057.84±=。
《大学物理实验》第一册习题与思考题第一章 实验测量不确定度与数据处理习题1. 指出下列各项各项哪些属于系统误差,哪些属于偶然误差: a.米尺刻度不均匀 b.实验者的偏见c.刻度因温度改变而伸缩d.最小分度后一位的雇计 c.游标卡尺零点不为零 f.电表指针的磨擦 g.视差2. 下列数值改用有效数字的标准式来表示 (1) 光速=299792458±100米/秒(2) 热功当量=41830000±40000尔格/卡 (3) 比热=C 0.001730±0.0005卡/克度(4) 电子的电荷=4.8030⨯10-10静库。
准确到0.1% (5) 9876.52准确到0.2%3.请把下列各数值正确的有效数字表示于括号内: (1) 3.467±0.2 ( ) (2) 746.000±2 ( ) (3) 0.002654±0.0008 ( ) (4) 6523.587±0.3 ( )4.下列各式的算术运算都是正确的,就是没有考虑到有效数字的问题。
假设下列各数值的最后一位都是估计(可疑)的,请在括号内以有效数字表示其正确答案。
(1)(1.732)(1.74)=3.01368 ( ) (2)(10.22)(0.0832)(0.41)=0.34862464 ( ) (3)4.20419.30034.6038.60421.8=+-=y ( )(4) 628.7/7.8=80.6026 ( ) (5) (17.34-17.13)(14.28)=2.9988 ( )5.计算下式结果及其不确定度的表示式。
N=A+2B+C-5D设:A=38.206±0.001cm B=13.2487±0.0001cm C=161.25±0.01cm D=1.3242±0.0001cm6.一圆柱体的直径为(2.14±0.02)厘米,求其横截面积。
一、 选择题(每题4分,打“ * ”者为必做,再另选做4题,并标出选做记号“ * ”,多做不给分,共40分)1* 某间接测量量的测量公式为4323y x N -=,直接测量量x 和y 的标准误差为x ∆和y ∆,则间接测量量N 的标准误差为?BN ∆=;4322(2)3339N x x y x x x ∂∂-==⨯=∂∂, 3334(3)2248y N y y y y x ∂∂==-⨯=-∂∂- ()()[]21232289yxN y x ∆+∆=∆2*。
用螺旋测微计测量长度时,测量值=末读数—初读数(零读数),初读数是为了消除 ( A ) (A )系统误差 (B )偶然误差 (C )过失误差 (D )其他误差 3* 在计算铜块的密度ρ和不确定度ρ∆时,计算器上分别显示为“8.35256”和“ 0.06532” 则结果表示为:( C )(A) ρ=(8.35256 ± 0.0653) (gcm – 3),(B) ρ=(8.352 ± 0.065) (gcm – 3),(C) ρ=(8.35 ± 0.07) (gcm – 3),(D) ρ=(8.35256 ± 0.06532) (gcm – 3) (E) ρ=(20.083510⨯ ± 0.07) (gcm – 3),(F) ρ=(8.35 ± 0.06) (gcm– 3),4*以下哪一点不符合随机误差统计规律分布特点 ( C )(A ) 单峰性 (B ) 对称性 (C ) 无界性有界性 (D ) 抵偿性 5*某螺旋测微计的示值误差为mm 004.0±,选出下列测量结果中正确的答案:( B )A . 用它进行多次测量,其偶然误差为mm 004.0;B . 用它作单次测量,可用mm 004.0±估算其误差; B =∆==∆C. 用它测量时的相对误差为mm 004.0±。
《大学物理实验》第一章习题标准答案1. (1) 4位 (2) 4位 (3) 1位 (4) 3位 (5) 3位(6) 5位(7) 3位(8) 无穷多位2. (1) 5×10mm(2) 1.37×103mm(3) 4×10mm(4) 6.0×10-3mm 或0.060mm3. (1) l=(2.0±0.1)Km(2) m=(72.3±0.4)Kg (3) v=(1.23±0.02)m/s(4) h=(27.3±0.2)×104Km(5) E=(1.93±0.07)×1011N/m 2(6) r a d )00004.004767.1( 002.0000.60 900603035.00060±±''±'''=''⨯±'''=或或 ϕ4. (1) 123.98-40.456+7.8=83.52+7.8=91.3(2) lg10.00=1.0000 (3) 789.30×50÷0.100=3.9×104÷0.100=3.9x105(4) 1.002=1.00×1.00=1.00(5)331041.581041.58001.00345.41.58011.90121.90345.4⨯=+⨯=+=+-(6)00.100.1=(7) )(108.0005.01059.153005.0210984.1314159.336623m V ---⨯=⨯⨯=⨯⎪⎪⎭⎫ ⎝⎛⨯⨯=(8) 1002=100×100=1.00×104或100×1025. (1) )(57.843237.307.855768.03cm C B A N =-+=-+=,)(02.03002.002.00002.03222222cm C BA N ≈⎪⎭⎫⎝⎛++=⎪⎭⎫ ⎝⎛++=σσσσ, ()cm N 02.057.84±=。
物理实验绪论课作业一、选择题1、下列说法中正确的是A 、 随机误差的大小和正负无规律,所以它可以是任意值;B 、 只要观测的对象不变,同一个人用相同仪器测其随机误差是不变的;C 、 正态分布随机误差的抵偿性,是说随机误差的算术平均值随测量次数的增加而趋向于零;D 、 用算术平均误差估算随机误差最方便最合理。
2、下列测量方法中,消除系统误差的测量方法有:A 、 交换法 ;B 、 补偿法 ;C 、 模拟法 ;D 、 替代法 ;E 、 比较法 ;F 、 放大法 。
3、下列说法中正确的是。
A 、 误差是测量值与真值之差;B 、 偏差是测量值与算术平均值之差;C 、 通过一次测量即可求出标准偏差S x ,所以称之为单次测量的标准偏差;D 、 我们在实验中是用平均值的标准偏差来作为随机误差的估算值。
二、指出下列各数各是几位有效数字0.0001 1.0001 2.70³1025486.135 0.0300 三、将前四个数取三位有效数字;后四个数取四为有效数字。
0.086294 27.053 8.971³10-60.020000 3.1415 4.32749 4.32650 100.349 四、根据有效数字运算规则,计算下列各式。
98.754+1.3 ; 107.50-2.5 ; 1111³0.100 ; 0.003456³0.038 ; 237.5÷0.10 ; 15÷3.142 ; 76.00÷(40.00-2.0) ; 50.000³(18.30-16.3) ÷[(103-3.0)³(1.00+0.001)]; 1000.0³(5.6+4.412) ÷[(78.00-77.0)³10.000]; 100.00÷(25.00-5.0) 五、下列表达式有错误,请改正。
大学物理实验习题和答案(整理版):篇一:大学物理实验习题和答案(整理版)第一部分:基本实验基础游标尺、千分尺的读数方法。
答:P46 1.感量与天平灵敏度关系。
天平感量或灵敏度与负载的关系。
答:感量的倒数称为天平的灵敏度。
负载越大,灵敏度越低。
2.物理天平在称衡中,为什么要把横梁放下后才可以增减砝码或移动游码。
答:保护天平的刀口。
1.哪些用途?使用时的注意点?如何使检流计很快停止振荡?答:用途:用于判别电路中两点是否相等或检查电路中有无微弱电流通过。
注意事项:要加限流保护电阻要保护检流计,随时准备松开按键。
很快停止振荡:短路检流计。
量程如何选取?量程与内阻大小关系?答:先估计待测量的大小,选稍大量程试测,再选用合适的量程。
电流表:量程越大,内阻越小。
电压表:内阻不同欧姆档测同一只二极管正向电阻时,读测值差异的原因?答:不同欧姆档,内阻不同,输出电压随负载不同而不同。
二极管是非线性器件,不同欧姆档测,加在二极管上电压不同,读测值有很大差异。
功率输出与电压输出的区别?答:功率输出:能带负载,比如可以给扬声器加信号而发声音。
电压输出:实现电压输出,接上的负载电阻一般要大于7.光学元件光学表面有灰尘,可否用手帕擦试?答:不可以倍率的选择方法。
答:尽量使读数的有效数字位数最大的原则选择合适的倍率。
什么是逐差法,其优点?答:把测量数据分成两组,每组相应的数据分别相减,然后取差值的平均值。
优点:每个数据都起作用,体现多次测量的优点。
1.为何各长度量用不同的量具测?=量程×每伏欧姆数50Ω。
比如不可以从此输出口给扬声器加信号,即带不动负载。
答:遵守误差均分原理。
2.测钢丝直径时,为何在钢丝上、中、下三部位的相互垂直的方向上各测一次直径,而不是在同一部位采样数据?答:钢丝不可能处处均匀。
3.钢丝长度是杨氏模量仪上下两个螺丝夹之间的长度还是上端螺丝夹到挂砝码的砝码钩之间的长度?答:前者4.采用光放大办法测钢丝的微小伸长量时要测望远镜到标尺之间的距离L,请问,L是指平面镜镜面到望远镜旁标尺的距离还是指平面镜镜面到望远镜物镜之间的距离?答:前者5.必须预加砝码使钢丝拉直,你能用什么办法判断需预加几个砝码?答:用图示法。
大学物理实验习题和答案1.指出下列各测量量为几位有效数字:提示:非零之后所有的0都是有效数字(1)L=0.0001mm, 0.100mm, 1.0000mm答:1位,3位,5位(2)g=980.123cm.s-2 , 9.7944m.s-2答:6位,5位(3)m=5.6×10-1kg答:2位2. 改正下列错误,写出正确答案:提示:测量值尾数要与不确定度对齐(1)d=14.450±0.4 (cm) [改正:d=14.4±0.4 (cm)](2)p=31690±200 (kg)[改正:p=(3.17±0.02 )x104(kg)(3)s=2.785×102±0.4(cm2) [改正:s=278.5±0.4(cm2) ] (4)ν=420(1±0.3%) m/s [改正:ν=420±2(m/s)](5)h=27.3×104±2000(km)[改正:h=(2.73±0.02)×105 (km) ](6)l=3768km=3768000m=376800000cm[改正:l=3.768x108cm](7)R=12km±100m[改正:R=(12.0±0.1)k m](8)E=(1.93×1011±6.76×109)(N/m2)[改正:E=(1.93±0.07)×1011(N/m2)]3. 把下列各数按有效数字取舍规则取为四位有效数字:提示:四舍六入五凑偶(1)42.495 (2)64.465 (3)7.1308 (4)3.899501答:(1)42.50 (2)64.46 (3)7.131(4)3.9004. 用米尺测量某长度L,共测5次,读数均为14.6mm,试问这个测量有误差否?如果有,误差是哪种误差?误差值是多少?这个测量结果应如何表示?提示:答:有;是系统误差(或仪器误差);误差值是0.5mm;L=14.6±0.5mm.5.说明下述情况中产生的误差是系统误差还是随机误差,或者两者都存在。
《大学物理学》课后习题参考答案习题11-1. 已知质点位矢随时间变化函数形式为)ωtsin ωt(cos j i R r其中为常量.求:(1)质点轨道;(2)速度和速率。
解:1)由)ωtsin ωt(cos j i R r知t cos R x ωtsin R yω消去t 可得轨道方程222Ryx2)jr vt Rcos sin ωωt ωR ωdtd iRωt ωR ωt ωR ωv2122])cos ()sin [(1-2. 已知质点位矢随时间变化的函数形式为j ir )t 23(t 42,式中r 的单位为m ,t 的单位为s .求:(1)质点的轨道;(2)从0t到1t 秒的位移;(3)0t 和1t 秒两时刻的速度。
解:1)由j ir)t 23(t 42可知2t 4x t23y消去t 得轨道方程为:2)3y(x2)jir v 2t 8dtd jij i v r 24)dt2t 8(dt101Δ3)jv 2(0)jiv 28(1)1-3. 已知质点位矢随时间变化的函数形式为j ir t t 22,式中r 的单位为m ,t 的单位为s .求:(1)任一时刻的速度和加速度;(2)任一时刻的切向加速度和法向加速度。
解:1)ji r v2t 2dtd iv a2dtd 2)212212)1t(2]4)t 2[(v1tt 2dtdv a 2t22221nta aat 1-4. 一升降机以加速度a 上升,在上升过程中有一螺钉从天花板上松落,升降机的天花板与底板相距为d ,求螺钉从天花板落到底板上所需的时间。
解:以地面为参照系,坐标如图,升降机与螺丝的运动方程分别为20121att v y (1)图 1-420221gttv h y (2)21y y (3)解之2d tg a 1-5. 一质量为m 的小球在高度h 处以初速度0v 水平抛出,求:(1)小球的运动方程;(2)小球在落地之前的轨迹方程;(3)落地前瞬时小球的td dr ,td dv ,tv d d .解:(1)t v x 0式(1)2gt21hy 式(2)jir )gt 21-h (t v (t)20(2)联立式(1)、式(2)得22v 2gx hy (3)ji r gt -v td d 0而落地所用时间gh 2t所以j i r 2gh -v t d d 0jv g td d 2202y2x)gt (vvvv 211222222[()](2)g ghg t dv dtvgt vgh 1-6. 路灯距地面的高度为1h ,一身高为2h 的人在路灯下以匀速1v 沿直线行走。
(1)利用f=(D+d)(D-d)/4D 测量凸透镜焦距有什么优点?答这种方法可以避免透镜光心位置的不确定而带来的测量物距和像距的误差。
(2)为什么在本实验中利用1/u+1/v=1/f 测焦距时,测量u和v都用毫米刻度的米尺就可以满足要求?设透镜由于色差和非近轴光线引起的误差是1%。
答设物距为20cm,毫米刻度尺带来的最大误差为0.5mm,其相对误差为0.25%,故没必要用更高精度的仪器。
(3)如果测得多组u,v值,然后以u+v为纵轴,以uv为横轴,作出实验的曲线属于什么类型,如何利用曲线求出透镜的焦距f。
答直线;1/f为直线的斜率。
(4)试证:在位移法中,为什么物屏与像屏的间距D要略大于4f?由f=(D+d)(D-d)/4D →D2-4Df=d2→D(D-4f)=d2 因为d>0 and D>0 故D>4f1.避免测量u、ν的值时,难于找准透镜光心位置所造成的误差。
2.因为实验中,侧的值u、ν、f都相对较大,为十几厘米到几十厘米左右,而误差为1%,即一毫米到几毫米之间,所以可以满足要求。
3.曲线为曲线型曲线。
透镜的焦距为基斜率的倒数。
①当缝宽增加一倍时,衍射光样的光强和条纹宽度将会怎样变化?如缝宽减半,又怎样改变?答:a增大一倍时, 光强度↑;由a=Lλ/b ,b减小一半a减小一半时, 光强度↓;由a=Lλ/b ,b增大一倍。
②激光输出的光强如有变动,对单缝衍射图象和光强分布曲线有无影响?有何影响?答:由b=Lλ/a.无论光强如何变化,只要缝宽不变,L不变,则衍射图象的光强分布曲线不变(条纹间距b不变);整体光强度↑或者↓。
③用实验中所应用的方法是否可测量细丝直径?其原理和方法如何?答:可以,原理和方法与测单狭缝同。
④本实验中,λ=632。
8nm,缝宽约为5*10^-3㎝,屏距L为50㎝。
试验证:是否满足夫朗和费衍射条件?答:依题意:Lλ=(50*10^-2)*(632.8*10^-9)=3.164*10^-7a^2/8=(5*10^-5)^2/8=3.1*10^-10所以Lλ<<a^2/8即满足夫朗和费衍射条件。
大学物理实验绪论课习题及其参考答案
WTD standardization office【WTD 5AB- WTDK 08- WTD 2C】
习
题
1、下列各量是几位有效数字?
(1)地球平均半径km R 22.6371= 6位
(2)s T 0010.2= 5位
(3)真空中的光速s m c /299792458= 9位
(4)cm l 00058.0= 2位 (5)地球到太阳的平均距离km s 810496.1⨯= 4位
(6)J 23109.2⨯ 2位
2、按有效数字运算法则计算下列各式
(1)06546.06.547.255++
(2)218.311.855.90--
(3)0.145.12.91÷⨯ ×102
(4)100)23.10025.100(÷- 2×10-3
(5)0.2001.22⨯⨯π
(6))
001.000.1)(0.3103()3.1630.18(00.50+--⨯ 3、按照误差理论和有效数字运算法则改正错误
(1)mm h 5.026.25±= mm h 5.03.25±=→
(2)015330'±'= θ 2.06.30±=→θ
(3)nm 46.06.579±=λ nm 5.06.579±=→λ
(4)2911/)1032.41067.1(m N Y ⨯±⨯=211/10)04.067.1(m N Y ⨯±=→
(5)m cm 5500= m cm 00.5500=→
(6)25.25.12= 2.25.12=→
(7)mA A I 10010000.0== mA A I 000.10010000.0==→
(8)06330.0是三位有效数字 位有效数字4→
4、用一级千分尺测量一小球的直径,测得数据如下:
000.10:)(mm d i ,998.9,003.10,002.10,997.9,001.10,998.9,999.9,004.10,997.9。
计算直径的算术平均值、标准误差、相对误差以及正确表达测量结果。
解:)
(000.10)997.9004.10999.9998.9001.10997.9002.10003.10998.9000.10(10
110110
1
mm d d i i =+++++++++⋅=⋅=∑= 结果表示:)(004.0000.10mm d d d ±=±=σ
5、计算下列数据的算术平均值、绝对误差、相对误差以及正确表达测量结果。
356.2:)(m R i ,345.2,348.2,355.2,354.2,353.2。
解: )(352.2)353.2354.2355.2348.2345.2356.2(6
16161m R R i i =+++++⋅=⋅=∑= 结果表示:)(004.0352.2m R R R ±=∆±=
6、一个圆柱体,测得其直径为mm d 006.0987.10±=,高度为
cm h 005.0526.4±=,质量为g m 006.0106.149±=,计算该圆柱体的密度、标准误差、相对误差以及正确表达测量结果。
解:)/(748.34432cm g h
d m =⋅⋅=πρ 7、计算下列各式的绝对误差、相对误差以及正确表达测量结果。
(1)x R L L R 2
1=,cm L 05.000.251±=,cm L 05.000.752±=,Ω±=8.00.158x R 。
解:%77.00077.02211==∆+∆+∆=x x R R R L L L L E )(667.522
1Ω==x R L L R (2)C B A N 3
1-+=,其中mm A 005.0789.8±=,cm B 04.009.84±=,cm C 003.0256.3±=。
解:)(05.031cm C B A N =∆⋅+∆+∆=∆ )(88.833
1cm C B A N =-+= 8、改写成正确的误差传递公式
(1)h
d m 24πρ=,222h d m E E E E ++==ρσρρ。
(2)261
d V π=,d d V V
∆=∆π21。
d
d V V E V ∆⋅=∆=⇒2 (3)33121y x N -=,y x N ∆+∆=∆3。
22
1y y x N ⋅∆+∆=∆⇒ (4)θsin k N =(k 为常数),θθ∆+∆=∆tg k N 。
θθ∆⋅⋅=∆⇒cos k N。