北师大八级下《第五章分式与分式方程》综合测试题含答案
- 格式:docx
- 大小:68.05 KB
- 文档页数:5
2022-2023学年北师大版数学八年级下册第五章分式与分式方程综合测试一、单选题(共8题;共32分)1.(4分)下列等式一定成立的是( )A.=﹣B.=C.=D.=2.(4分)下列从左到右的恒等变形中,变形依据与其它三项不同的是( )A.B.2(x﹣y)=2x﹣2yC.D.a(b﹣1)=ab﹣a3.(4分)若式子有意义,则的取值范围为( )A.B.C.且D.且4.(4分)下列运算正确的是( )A.(a﹣2b)2=a2﹣4b2B.(﹣x2y)2÷(2x2y)=x2yC.÷ ×()2=﹣mD.5.(4分)关于x的方程=2+有增根,则k的值是( )A.3B.2C.-2D.﹣36.(4分)已知三个数满足,,,则的值是( )A.B.C.D.7.(4分)如果关于x的分式方程=1+ 有正整数解,且关于y的一元一次不等式组的解集为y≤a,则所有满足条件的整数a的和为( )A.8B.7C.3D.28.(4分)已知实数x、y、z满足,则的值( )A.-1B.0C.1D.2二、填空题(共4题;共16分)9.(4分)函数表达式y= 自变量x取值范围是 .10.(4分)一种商品原来的销售利润率是47%.现在由于进价提高了5%,而售价没变,所以该商品的销售利润率变成了 (注:销售利润率=(售价—进价)÷进价)11.(4分)观察下列等式:,,将以上三个等式两边分别相加得:= + += =猜想并得出:=根据以上推理,求出分式方程的解是 .12.(4分)已知实数a,b,c满足,则 .三、解答题(共8题;共52分)13.(5分)先化简,再求值:,其中.14.(8分)解下列分式方程:(1)(4分);(2)(4分).15.(5分)解分式方程1- 晨晨的解答如下:解:去分母,得2x+2-x-3=6x化简得x= ,经检验x= 是原方程的解。
所以原方程的解是x= 。
晨晨的解答正确吗?如果不正确,写出正确的解答。
北师大版八年级数学下册第五章《分式与分式方程》测试卷(含答案)一、选择题(共10小题,3*10=30)1. 在式子1a ,2xy π,3ab 2c 4,56+x ,x 7+y 8,9x +10y ,x 2x 中,分式的个数是( ) A .5 B .4 C .3 D .22. 下列式子:①x 3y 2·y 4x 2;②b -a ·2a 2bc ;③8xy÷4x y ;④x +y x 2-xy ÷1x -y,计算结果是分式的是( ) A .①② B .③④C .①③D .②④3. 已知2x x 2-2x =2x -2,则x 的取值范围是( ) A .x >0 B .x≠0且x≠2C .x <0D .x≠24. 若3-2x x -1÷( )=1x -1,则( )中式子为( ) A .-3 B .3-2xC .2x -3 D.13-2x5. 若将分式a +b 4a 2中的a 与b 的值都扩大为原来的2倍,则这个分式的值将( ) A .扩大为原来的2倍 B .分式的值不变C .缩小为原来的12D .缩小为原来的146. 分式3x -2(x -1)2,2x -3(1-x )3,4x -1的最简公分母是( ) A .(x -1)2 B .(x -1)3C .x -1D .(x -1)2(1-x)37. 将分式方程1x =2x -2去分母后得到的整式方程,正确的是( ) A .x -2=2x B .x 2-2x =2xC.x -2=x D .x =2x -48. 分式方程1x -1-2x +1=4x 2-1的解是( ) A .x =0 B .x =-1 C .x =±1 D .无解9. 解关于x 的方程x x -1-k x 2-1=x x +1不会产生增根,则k 的值( ) A .为2 B .为1 C .不为±2 D .无法确定10. 新能源汽车环保节能,越来越受到消费者的喜爱.各种品牌相继投放市场.一汽贸公司经销某品牌新能源汽车.去年销售总额为5000万元,今年1~5月份,每辆车的销售价格比去年降低1万元.销售数量与去年一整年的相同.销售总额比去年一整年的少20%,今年1~5月份每辆车的销售价格是多少万元?设今年1~5月份每辆车的销售价格为x 万元.根据题意,列方程正确的是( ) A.5000x +1=5000(1-20%)x B.5000x +1=5000(1+20%)x C.5000x -1=5000(1-20%)x D.5000x -1=5000(1+20%)x 二.填空题(共8小题,3*8=24)11. 计算:xy 2xy=__ __. 12. 当a =12时,代数式2a 2-2a -1-2的值为________. 13. 小松鼠为过冬储存m 天的坚果a 千克,要使储存的坚果能多吃n 天,则小松鼠每天应节约坚果_____________千克.14. 化简:x 2+4x +4x 2-4-x x -2=___________. 15. 若a 2+5ab -b 2=0,则b a -a b的值为___________. 16. 某单位全体员工在植树节义务植树240棵.原计划每小时植树m 棵,实际每小时植树的棵数比原计划每小时植树的棵数多10棵,那么实际比原计划提前了____________小时完成任务.(用含m 的代数式表示)17. 若关于x 的方程x -1x -5=m 10-2x无解,则m =________. 18. 已知关于x 的分式方程x -3x -2=2-m 2-x会产生增根,则m =____________. 三.解答题(7小题,共66分)19.(8分) 计算:(1)3a 2b·512ab 2÷(-5a 4b);(2)b a 2-b 2÷(a a -b -1);20.(8分) 先化简,再求值:(a -2ab -b 2a )÷a 2-b 2a,其中a =1+2,b =1- 2.21.(8分) 在数学课上,老师对同学们说:“你们任意说出一个x 的值(x≠-1,1,-2),我立刻就知道式子(1+1x +1)÷x +2x 2-1的结果.”请你说出其中的道理.22.(10分) 老师在黑板上书写了一个代数式的正确演算结果,随后用手掌捂住了一部分,形式如下: ⎝ ⎛⎭⎪⎫-x 2-1x 2-2x +1÷x x +1=x +1x -1. (1)求所捂部分化简后的结果;(2)原代数式的值能等于-1吗?为什么?23.(10分) 化简x 2-4x +4x 2-2x÷(x -4x ),然后从-5<x<5的范围内选取一个合适的整数作为x 的值代入求值.24.(10分) 已知:2+23=22×23,3+38=32×38,4+415=42×415…若10+a b =102×a b(a ,b 均为正整数). (1)探究a ,b 的值;(2)求分式a 2+4ab +4b 2a 2+2ab的值.25.(12分) 为配合“一带一路”国家倡议,某铁路货运集装箱物流园区正式启动了2期扩建工程.一项地基基础加固处理工程由A 、B 两个工程公司承担建设,已知A 工程公司单独建设完成此项工程需要180天,A 工程公司单独施工45天后,B 工程公司参与合作,两工程公司又共同施工54天后完成了此项工程.(1)求B 工程公司单独建设完成此项工程需要多少天?(2)由于受工程建设工期的限制,物流园区管委会决定将此项工程划分成两部分,要求两工程公司同时开工,A 工程公司建设其中一部分用了m 天完成,B 工程公司建设另一部分用了n 天完成,其中m ,n 均为正整数,且m <46,n <92,求A 、B 两个工程公司各施工建设了多少天?参考答案1-5BDBBC 6-10BADCA11.y 12.1 13.an m (m +n ) 14.2x -2 15.5 16.2400m 2+10m17. -8 18.-1 19.解:(1)原式=-1(2)原式=1a +b20.解:原式=a -b a +b . 当a =1+2,b =1-2时,原式=222= 2. 21.解:∵原式=x +1+1x +1÷x +2(x +1)(x -1)=x +2x +1·(x +1)(x -1)x +2=x -1,∴只要学生说出x 的值,老师就可以说出答案22.解:(1)设所捂部分为A ,则A =x +1x -1·x x +1+x 2-1x 2-2x +1=x x -1+x +1x -1=x +x +1x -1=2x +1x -1. (2)若原代数式的值为-1,则x +1x -1=-1,即x +1=-x +1,解得x =0,当x =0时,除式x x +1=0,∴原代数式的值不能等于-1.23.解:原式=1x +2,∵-5<x<5且x 为整数,∴若使分式有意义,x =-1或x =1. 当x =1时,原式=13;当x =-1时,原式=1 24.解:(1)a =10,b =102-1=99(2)a 2+4ab +4b 2a 2+2ab =a +2b a ,将a ,b 的值代入得原式=104525. 解:(1)设B 工程公司单独完成需要x 天,根据题意得45×1180+54(1180+1x)=1,解得x =120,经检验,x =120是分式方程的解,且符合题意,答:B 工程公司单独完成需要120天 (2)根据题意得m ×1180+n ×1120=1,整理得n =120-23m ,∵m <46,n <92,∴120-23m <92,解得42<m <46,∵m 为正整数,∴m =43,44,45,又∵120-23m 为正整数,∴m =45,n =90.答:A ,B 两个工程公司分别施工建设了45天和90天。
北师大版八年级下册数学第五章分式与分式方程含答案一、单选题(共15题,共计45分)1、将分式中的x,y的值同时扩大10倍,则分式的值()A.扩大100倍B.扩大10倍C.不变D.缩小为原来的2、使分式有意义的x的值为()A.x≠1B.x≠2C.x≠1且x≠2D.x≠1或x≠23、函数y= 中,自变量x的取值范围是()A.x>-3B.x≠0C.x>-3且x≠0D.x≠﹣34、下列运算,正确的是()A. B. C. D.5、下列分式中不管x取何值,一定有意义的是()A. B. C. D.6、如果把分式中的x,y都扩大3倍,那么分式的值( )A.扩大3倍B.缩小3倍C.扩大2倍D.不变7、下列分式化简正确的是()A. B. = C. = D.8、若分式中的x和y都扩大2倍,则分式的值().A.扩大2倍B.缩小2倍C.缩小4倍D.不变9、下列各式中不成立的是()A. B. C.D.10、分式有意义的条件是()A.x≠﹣1B.x≠0C.x≠1D.x为任意实数11、下列式子① ;② ;③ ;④ 中,分式的个数有()A.1B.2C.3D.412、化简的结果()A.x﹣yB.y﹣xC.x+yD.﹣x﹣y13、要使式子有意义,的取值范围是( )A. B. C. 或 D. 且14、将中的a、b都扩大4倍,则分式的值()A.不变B.扩大4倍C.扩大8倍D.扩大16倍15、若分式无意义,则x的值为()A.0B.1C.-1D.2二、填空题(共10题,共计30分)16、分式方程+ =1的解为________.17、已知关于x的分式=0无解,则a=________.18、计算:________.19、若解分式方程有增根,则k=________.20、已知关于x的方程无解,则________.21、计算:=________22、当x=________时,分式的值为0.23、关于x的方程=3的根为x=1,则a=________.24、若关于x的方程有增根,则a的值为________.25、若关于的分式方程有增根,则的值为________.三、解答题(共5题,共计25分)26、先化简,再求值:,其中x= +1。
【新北师大版八年级数学(下)单元测试卷】第五章《分式与分式方程》班级:___________ 姓名:___________ 得分:___________一.选择题:(每小题3分共36分)1.在2a b -,x x 1+,5πx +,a b a b+-中,是分式的有( ) A .1个 B .2个 C .3个 D .4个2.每千克m 元的糖果x 千克与每千克n 元的糖果y 千克混合成杂拌糖,这样混合后的杂拌糖果每千克的价格为( )A .y x m y nx ++元B .y x ny m x ++元C .y x n m ++元D .12x y m n ⎛⎫+ ⎪⎝⎭元 3.当x =2时,下列分式中,值为零的是( ) A .2322+--x x x B .942--x x C .21-x D .12++x x 4.下列分式是最简分式的是( )A .11m m --B .3xy y xy -C .22x y x y-+ D .6132m m - 5.若34y x =,则x y x+的值为( ) A .1 B .47 C .54 D .74 6.计算⎪⎭⎫ ⎝⎛-÷-x x x x 11所得的正确结论是( ) A.11x - B.1 C. 11x + D.-1 7.a ÷b ×b 1÷c ×c 1÷d ×d1等于( ) A .a B .222dc b a C .d a D .ab 2c 2d 2 8.计算22193m m m --+的结果为: ( ) A .13m + B .-13m - C .-13m + D .13m - 9.分式121x x +-的分子分母都加1,所得的分式22x x +的值比121x x +-( ) A .减小了 B .不变 C .增大了 D .不能确定10.若241()w 1a 42a+⋅=--,则w=( ) A.a 2(a 2)+≠- B.a 2(a 2)-+≠ C.a 2(a 2)-≠ D.a 2(a 2)--≠-11.关于x 的方式方程232x m x +=-的解是正数,则m 可能是( ) A .﹣4 B .﹣5 C .﹣6 D .﹣712.如果关于x 的方程2435x a x b ++=的解不是负值,那么a 与b 的关系是( ) A . a >35b B . b≥35a C .5a≥3b D .5a=3b 二、填空题:(每小题3分共12分)13.化简:23410abb a = . 14.已知31=+a a ,则221a a +的值是 。
北师大版八年级数学下册第五章分式与分式方程综合测试考试时间:90分钟;命题人:数学教研组考生注意:1、本卷分第I 卷(选择题)和第Ⅱ卷(非选择题)两部分,满分100分,考试时间90分钟2、答卷前,考生务必用0.5毫米黑色签字笔将自己的姓名、班级填写在试卷规定位置上3、答案必须写在试卷各个题目指定区域内相应的位置,如需改动,先划掉原来的答案,然后再写上新的答案;不准使用涂改液、胶带纸、修正带,不按以上要求作答的答案无效。
第I 卷(选择题 30分)一、单选题(10小题,每小题3分,共计30分)1、在3m n ,3x y +,1x ,3a b +中,分式的个数是( ) A .1 B .2 C .3 D .42、中国高铁目前是世界高铁的领跑者,无论里程和速度都是世界最高的.郑州、北京两地相距约700km ,乘高铁列车从郑州到北京比乘特快列车少用3.6h ,已知高铁列车的平均行驶速度是特快列车的2.8倍,设特快列车的平均行驶速度为km/h x ,则下面所列方程中正确( )A .700700 3.62.8x x-= B .700700 3.62.8x x -= C .700 2.8700 3.6x x ⨯-= D .7007003.62.8x x =- 3、分式2a b ab+中a 和b 都扩大10倍,那么分式值( ) A .不变B .扩大10倍C .缩小10倍D .缩小100倍 4、分式12x x --有意义,则x 满足的条件是( ) A .1x ≠ B .2x ≠ C .2x = D .2x >5、关于x 的方程312a x x -=-的解为整数.且关于x 的不等式组312(2)413x x x a +≤-⎧⎪-⎨≤⎪⎩的解集为5x ≤-.则满足条件的所有整数a 值之和为( )A .5B .3C .4D .0 6、已知a +b =5,ab =3,则11b a a b +++=( )A .2B .83 C .4 D .3497、下列各式中,正确的是( )A .()222422a a a a +-=--B .22b b a a +=+C .122b a b a =++D .a b a b c c-++=- 8、分式a a b--可变形为( ) A .a a b -- B .+a a b C .a a b -- D .+a a b- 9、下列是最简分式的是( )A .26m nB .633mn m n +C .22m nD .2m n mn10、化简222x x y y x x y-÷--,正确结果是( ) A .21y x y -- B .x y - C .x y + D .22x y -第Ⅱ卷(非选择题 70分)二、填空题(5小题,每小题4分,共计20分)1、甲、乙两人去市场采购相同价格的同一种商品,甲用2400元购买的商品数量比乙用3000元购买的商品数量少10件,若甲第二次再去采购该商品时,单价比上次少了20元/件,甲购买商品的总价与上次相同,则甲两次购买这种商品的平均单价是 _____元/件,乙第一次购买这种商品的单价是_____元/件.2、关于x 的分式方程7311+=--m x x 无解,则m 的值为 _____. 3、将数0.000067用科学记数法表示为______.4、当______时,分式2121x x +-无意义. 5、若分式23x -有意义,则x 的取值范围是______. 三、解答题(5小题,每小题10分,共计50分)1、(1)计算:2432x y y x ⋅ (2)计算:322224ab a b c cd-÷(3)计算:(4)因式分解:22396x y xy y -+2、计算:(1(2)2111a a a +--. 3、计算:(1)3622x x x +++; (2)224b ab a -⎛⎫÷ ⎪⎝⎭. 4、计算:2223312111a a a a a a a a --+÷--+--. 5、根据材料完成问题:在含有两个字母的式子中,任意交换两个字母的位置,式子的值始终保持不变,像这样的式子我们称之为对称式,如:11a b+,22a b +,请解决下列问题: ①22a b - ;②22a b ③22a b 这3个式子中只有1个属于对称式: (请填序号); (2)已知2()()--=++x a x b x mx n①若1m =,2n =-,求对称式22a b +的值;②若3m =-,1n =,当22a k b k a b--+>0时,求k 的取值范围.-参考答案-一、单选题1、C【分析】根据分式的定义逐个分析判断即可.【详解】 解:在3m n ,3x y +,1x ,3a b +中,分式有3m n ,1x ,3a b +共3个,3x y +是整式. 故选:C .【点睛】本题考查了分式的判断,掌握分式的定义是解题的关键.一般地,如果A 、B (B 不等于零)表示两个整式,且B 中含有字母,那么式子A B就叫做分式,其中A 称为分子,B 称为分母. 2、A【分析】设特快列车的平均行驶速度为km/h x ,则高铁列车的平均行驶速度是2.8km/h x ,根据“郑州、北京两地相距约700km ,乘高铁列车从郑州到北京比乘特快列车少用3.6h ”,即可求解.【详解】解:设特快列车的平均行驶速度为km/h x ,则高铁列车的平均行驶速度是2.8km/h x ,根据题意得: 700700 3.62.8x x -=.【点睛】本题主要考查了分式方程的应用,明确题意,准确得到等量关系是解题的关键.3、C【分析】根据题意分别用10a和10b去代换原分式中的a和b,进而利用分式的基本性质化简即可.【详解】解:分别用10a和10b去代换原分式中的a和b,得102101010a ba b+⨯⋅=1210a bab+⋅,故分式的值缩小10倍.故选:C.【点睛】本题考查分式的基本性质,解题的关键是抓住分子、分母变化的倍数,解此类题首先把字母变化后的值代入式子中,然后约分,再与原式比较,最终得出结论.4、B【分析】根据分式有意义的条件,分母不为0,即可求解.【详解】解:∵分式12xx--有意义,∴20x-≠2x∴≠故选B本题考查了分式有意义的条件,掌握分式有意义的条件即分母不为0是解题的关键.5、B【分析】(1)先解分式方程得62x a =+,由于解是整数,故可推出a 的值,解不等式,由于解集为5x ≤-,即可确定a 的可能值,相加即可得出答案.【详解】 解分式方程得:62x a =+, ∵x 为整数,2x ≠且0x ≠,∴a 可为8-,5-,4-,-3,1-,0,4,312(2)413x x x a +≤-⎧⎪⎨-≤⎪⎩①②, 由①得:5x ≤-,由②得:43x a ≤+,∵解集为5x ≤-,∴435a +≥-,解得:2a ≥-,∴整数a 可为1-,0,4,∴1043-++=.故选:B .【点睛】本题考查解分式方程和一元一次不等式组,掌握求解的步骤是解题的关键.6、B【分析】根据异分母的加减进行计算,进而根据完全平方公式的变形,再将已知式子的值整体代入求解即可【详解】 解: a +b =5,ab =3,∴原式=(1)(1)(1)(1)b b a a a b +++++=221a b a b ab a b ++++++=2()2351a b ab a b +-++++=25235351-⨯+++=83.故选B【点睛】本题考查了分式的化简求值,整体代入是解题的关键.7、A【分析】根据分式的基本性质,辨析判断即可.【详解】 ∵()222(2)(2)42(2)(2)2a a a a a a a a ++--==----, ∴A 正确;∵分式基本性质中,没有加法,∴B 不正确; ∵1222b b b a a b a b b b b÷==+÷+÷+, ∴C 不正确; ∵()a b a b a b c c c-+---==-,∴D 不正确;故选A .【点睛】本题考查了分式的基本性质,熟练掌握分式的基本性质是解题的关键.8、C【分析】根据分式的基本性质进行分析判断.【详解】 解:==+a a a a b a b a b-----, 故C 的变形符合题意,A 、B 和D 的变形不符合题意,故答案为:C .【点睛】本题考查分式的基本性质,理解分式的基本性质(分式的分子,分母同时乘以或除以同一个不为零的数或式子,分式仍然成立)是解题关键.9、C【详解】解:A 、263m m n n=,不是最简分式,此项不符题意; B 、6233mn mn m n m n=++,不是最简分式,此项不符题意; C 、22m n是最简分式,此项符合题意; D 、2m n m mn=,不是最简分式,此项不符题意; 故选:C .本题考查了最简分式,熟记最简分式的定义(分子与分母没有公因式的分式,叫做最简分式)是解题关键.10、C【分析】根据分式混合运算法则进行化简即可.【详解】解:2 22x x y yx x y-÷--=222x x yx y x y ⋅---=22 x y x y x y---=()() x y x yx y+--=x y+,故选:C.【点睛】本题考查分式的混合运算、平方差公式,熟练掌握分式混合运算法则是解答的关键.二、填空题1、4860【分析】设甲第一次购买这种商品的价格为x元,然后根据甲用2400元购买的商品数量比乙用3000元购买的商品数量少10件列出方程求出甲第一次购买这种商品的价格60元/件,即可得到乙第一次购买商品的价格和甲第一次购买商品的数量以及甲第二次购买商品的价格和数量,由此即可得到答案.解:设甲第一次购买这种商品的价格为x元,由题意得:2400300010x x=-,解得60x=,经检验60x=是原方程的解,∴甲第一次购买这种商品的价格60元/件,∴乙第一次购买这种商品的单价是60元/件,甲第一次购买商品的数量为24004060=件,∵甲第二次再去采购该商品时,单价比上次少了20元/件,∴甲第二次再去采购该商品时的价格为60-20=40元/件,∴甲第二次购买的商品数量为24006040=件,∴甲两次购买这种商品的平均单价是24002400484060+=+元/件,故答案为:48;60.【点睛】本题主要考查了分式方程的应用,解题的关键在于能够根据题意列出方程求解.2、7【分析】根据分式的性质去分母,再把增根x=1代入即可求出m的值.【详解】解7311+=--m x x∴7+3(x-1)=m∵关于x的分式方程7311+=--mx x无解,∴x=1是方程的增根,∴把增根x=1代入得m=7.故答案为:7.【点睛】此题主要考查分式方程的解法,解题的关键是根据分式方程无解得到关于m的方程.3、6.7×10﹣5【分析】绝对值小于1的正数也可以利用科学记数法表示,一般形式为a×10﹣n,与较大数的科学记数法不同的是其所使用的是负整数指数幂,指数n由原数左边起第一个不为零的数字前面的0的个数所决定.【详解】解:0.000067=6.7×10﹣5.故答案为:6.7×10﹣5.【点睛】本题考查用科学记数法表示较小的数,一般形式为a×10﹣n,其中1≤|a|<10,n为由原数左边起第一个不为零的数字前面的0的个数所决定.4、12 x=【分析】分式无意义的条件是分母等于0,根据分母等于0,列出方程,求出x的值即可.【详解】分式2121xx+-无意义.210x∴-=,12x ∴=, 故答案为:12x =. 【点睛】本题主要是考查了分式无意义的条件,掌握“分式的分母为0,分式无意义”是解决本题的关键. 5、3x ≠【分析】利用分式有意义的条件:分母不能为0,即可求出答案.【详解】 解:分式23x -有意义,故有30x -≠, 3x ∴≠,故答案为:3x ≠.【点睛】本题主要是考查了分式有意义的条件,熟练掌握分式有意义的条件,是解决该题的关键.三、解答题1、(1)23x(2)2bd ac -(3)6+4)y (3y −y )(3y −y ) 【分析】(1)应用分式的运算法则计算即可.(2)同(1)应用分式的运算法则计算即可.(3)根据二次根式的混合运算法则计算即可.(4)运用提取公因式和完全平方公式即可因式分解.【详解】(1)242323x y y x x⋅= (2)3223222242242ab a b ab cd bd c cd c a b ac-÷=⨯=--(3)6+(4)9y 2y −6yy 2+y 3=y (9y 2−6yy +y 2)=y (3y −y )2=y (3y −y )(3y −y )【点睛】本题考查了分式的运算、二次根式的混合运算和因式分解,做分式混合运算时,要注意运算顺序,乘除法是同级运算,要严格按照由左到右的顺序进行运算,切不可打乱这个运算顺序;二次根式的混合运算依旧遵循整式运算的运算法则,但结果应为最简二次根式形式;因式分解的基本思路是:一个多项式如有公因式首先提取公因式,然后再用公式法进行因式分解.2、(1)(2)1a +【分析】(1)根据二次根式的运算法则即可求解;(2)根据分式的运算法则即可求解.【详解】解:(1)原式==(2)原式2111a a a =--- 211a a -=- (1)(1)1a a a +-=- 1a =+.【点睛】此题主要考查二次根式与分式的运算,解题的关键是熟知其运算法则.3、(1)3;(2)34a【分析】(1)根据同分母分式加法法则计算即可;(2)根据分式的乘方和除法法则计算即可.【详解】解:(1)原式362x x +=+, ()3+2+2x x =,3=.(2)原式2224b ab a =÷, 2224a ab b =⋅, 34a =.【点睛】本题考查了分式的运算,解题关键是熟练掌握分式运算法则,准确计算.4、a +1【分析】根据分式的除法法则和减法,先计算除法、后计算减法即可.【详解】 解:2223312111a a a a a a a a --+÷--+--=()()()()2311131 1a a a a aa aa-+-+⨯----=(1)111 a a aa a++---=211 aa--=a+1.【点睛】本题考查了分式的混合运算,把分式因式分解化为最简再计算是解题关键.5、(1)②;(2)①5;②k1<.【分析】(1)根据对称式的定义进行判断;(2)①根据已知m=a+b,n=ab,整体代入即可求解;②将对称式化简后整理后,解不等式即可求解;【详解】解:(1)①a2-b2≠b2-a2;②a2b2=b2a2;③当a≠0时,由定义知属于对称式的是②,故答案为:②;(2)∵(x-a)(x-b)=x2-(a+b)x+ab=x2+mx+n,∴m=-(a+b),n=ab,∴a2+b2=(a+b)2-2ab=m2-2n,①当m=1,n=-2时,a2+b2=12-2⨯(-2)=5;②∵2222()()a kb k a b kb ab ka ab a b k a ba b ab ab---+-+-+ +==>,当m=-3,n=1时,a+b=3,ab=1,∴3131k⨯->,解得:k1<.【点睛】本题考查了分式的化简求值,完全平方公式,解一元一次不等式,新定义等知识,解决本题的关键是理解阅读材料,掌握分式计算法则及完全平方公式.。
第五章 分式与分式方程 综合素质评价一、选择题(每题3分,共30分)1.【教材P 109习题T 1改编】下列式子是分式的是( )A.a -b 2B.5+y πC.x +3x D .1+x2.【2022·衡阳期中】使分式5x +2有意义的x 的取值范围为( )A .x ≠-2B .x ≠2C .x ≠0D .x ≠±23.若|x |-1x -1的值为0,则x 的值为( )A .1B .0C .±1D .-14.下列各分式中,是最简分式的是( )A.x 2+y 2x +yB.x 2-y 2x +y C.x 2+x xy D.xyy 25.下列各式中,正确的是( )A .--3x 5y =3x -5yB .-a +b c =-a +b cC .-a -b c =a -b cD .-a b -a =aa -b6.【教材P 127议一议变式】解分式方程2x -1-2xx -1=1,该方程的解为() A .x =1 B .x =3 C .x =12 D .无解7.【2022·太原一模】化简⎝ ⎛⎭⎪⎫x 2-4x 2+4x +4+2x +2÷x2x +4的结果为( )A .2B .2x -8xC .-6D .-88.若关于x 的分式方程axx -2=4x -2+1有解,则a 的取值范围为( )A .a ≠1B .a ≠2C .a ≠-1且a ≠-2D .a ≠1且a ≠29.【2022·崆峒区校级三模】2022年北京冬奥会有3个赛区,分别是北京赛区、延庆赛区、张家口赛区,3个赛区之间均有高速铁路和高速公路相通,北京赛区清河高铁站与张家口赛区太子城高铁站之间的高速铁路里程为166 km ,高速公路里程为178 km ,已知从清河高铁站到太子城高铁站乘“复兴号”列车比乘汽车少用2 h ,“复兴号”列车的平均速度是汽车平均速度的3倍,求“复兴号”列车和汽车的平均速度.设汽车的平均速度是x km/h ,则可列方程为( ) A.166x -1783x =2 B.166x +2=1783xC.178x -1663x =2D.178x +2=1663x 10.【2022·萍乡期末】已知关于x 的不等式组⎩⎨⎧2x -3a <2,x -2b >3的解集为-1<x <2,则代数式⎝ ⎛⎭⎪⎫a -b 2a ·a a -b的值是( ) A .23 B .-2 C .-83 D .-43二、填空题(每题3分,共24分)11.x 6ab 2与y 9a 2bc 的最简公分母是________.12.【2022·苏州期中】当x =________时,分式x -1x -3的值为0. 13.用换元法解方程x x 2-1+3(x 2-1)x =4,若设x x 2-1=y ,那么所得到的关于y 的整式方程为____________.14.【2022·黄冈期末】已知a ,b 两数在数轴上的位置如图所示,则化简⎪⎪⎪⎪⎪⎪b 2-a +a 2+b -2ab a -b 的结果是________.15.【教材P 132复习题T 5(3)改编】已知2x -3(x -1)(x +2)=A x -1+B x +2,则A =________,B =________.16.对于非零的两个实数a ,b ,规定a *b =3b -2a ,若5*(3x -1)=2,则x 的值为________.17.【2022·连云港期末】若分式方程3a x +3=6x +3+4有增根,则a =________. 18.一个容器装有1升水,按照如下方法把水倒出:第1次倒出12升水,第2次倒出的水量是12升的13,第3次倒出的水量是13升的14,第4次倒出的水量是14升的15……第n 次倒出的水量是1n 升的1n +1.按照这种倒水的方法,n 次倒出的水量共为________升.三、解答题(19~21题每题10分,其余每题12分,共66分)19.计算:(1)2a a 2-9-1a -3; (2)(a -2-4a -2)÷a -4a 2-4.20.先化简,再求值:(1)x 2-4x +4x ÷⎝ ⎛⎭⎪⎫2x -1,其中x =2-2;(2)【2022·盘锦】x -3x 2-1÷x -3x 2+2x +1-⎝ ⎛⎭⎪⎫1x -1+1,其中x =|-2|+1.21.解分式方程:(1)【2022·宿迁】2x x -2=1+1x -2; (2)x +1x -1+4x 2-1=1.22.若整数a 使关于x 的不等式组⎩⎪⎨⎪⎧x -12≤11+x 3,4x -a >x +1有且只有45个整数解,且使关于y 的方程2y +a +2y +1+601+y=1的解为非正数,求整数a 的值.23.【新定义题】定义:若两个分式的和为n (n 为正整数),则称这两个分式互为“n阶分式”.例如,分式3x +1与3x 1+x互为“3阶分式”. (1)分式10x 3+2x与__________互为“5阶分式”; (2)设正数x ,y 互为倒数,求证:分式2x x +y 2与2y y +x 2互为“2阶分式”; (3)若分式a a +4b 2与2b a 2+2b互为“1阶分式”(其中a ,b 为正数),求ab 的值.24.【教学建模】【2022·呼和浩特】今年我市某公司分两次采购了一批土豆.第一次花费30万元,第二次花费50万元.已知第一次采购时每吨土豆的价格比去年的平均价格上涨了200元,第二次采购时每吨土豆的价格比去年的平均价格下降了200元,第二次的采购数量是第一次采购数量的2倍.(1)问去年每吨土豆的平均价格是多少元?(2)该公司可将土豆加工成薯片或淀粉,因设备原因,两种产品不能同时加工.若单独加工成薯片,每天可加工5吨土豆,每吨土豆获利700元;若单独加工成淀粉,每天可加工8吨土豆,每吨土豆获利400元.由于出口需要,所有采购的土豆必须全部加工完且用时不超过60天,其中加工成薯片的土豆数量不少于加工成淀粉的土豆数量的23,为获得最大利润,应将多少吨土豆加工成薯片?最大利润是多少?答案一、1.C 2.A 3.D 4.A 5.D 6.D7.A 8.D 9.C10.D 点拨:解不等式组⎩⎨⎧2x -3a <2,x -2b >3,解得⎩⎪⎨⎪⎧x <3a +22,x >3+2b .∵不等式组的解集为-1<x <2,∴⎩⎪⎨⎪⎧3a +22=2,3+2b =-1,解得⎩⎪⎨⎪⎧a =23,b =-2. ∴⎝ ⎛⎭⎪⎫a -b 2a ·a a -b =⎝ ⎛⎭⎪⎫a 2-b 2a ·a a -b=a +b =23-2=-43.二、11.18a 2b 2c 12.1 13.y 2-4y +3=014.b -a +1 15.-13;73 16.34 17.218.n n +1点拨:由题意得12+12×13+13×14+14×15+…+1n ×1n +1=12+12-13+13-14+14-15+…+1n -1n +1=1-1n +1=n n +1. 三、19.解:(1)原式=2a (a +3)(a -3)-a +3(a +3)(a -3)=a -3(a +3)(a -3)=1a +3; (2)原式=[(a -2)2a -2-4a -2]·(a +2)(a -2)a -4=a 2-4a +4-4a -2·(a +2)(a -2)a -4=a (a -4)a -2·(a +2)(a -2)a -4=a (a +2)=a 2+2a .20.解:(1)原式=(x -2)2x ÷2-x x =(2-x )2x ·x 2-x=2-x . 当x =2-2时,2-x =2-(2-2)= 2.(2)解:x -3x 2-1÷x -3x 2+2x +1-⎝ ⎛⎭⎪⎫1x -1+1 =x -3(x +1)(x -1)×(x +1)2x -3-⎝ ⎛⎭⎪⎫1x -1+x -1x -1 =x +1x -1-x x -1=1x -1. ∵x =|-2|+1=2+1, ∴原式=12+1-1=12=22. 21.解:(1)解:2x x -2=1+1x -2, 去分母,得2x =x -2+1,解得x =-1.经检验,x =-1是原方程的解.则原方程的解是x =-1.(2)方程两边都乘(x +1)(x -1),得(x +1)2+4=(x +1)(x -1),解得x =-3. 检验:当x =-3时,(x +1)(x -1)≠0,所以原分式方程的解为x =-3.22.解:解不等式组,得a +13<x ≤25,∵不等式组有且只有45个整数解,∴-20≤a +13<-19,解得-61≤a <-58,解关于y 的方程得y =-a -61,∵关于y 的方程2y +a +2y +1+601+y=1的解为y =-a -61,y ≤0,∴-a -61≤0,解得a ≥-61,∵y +1≠0,∴y ≠-1,∴a ≠-60.故整数a 的值为-61或-59.23.(1)153+2x(2)证明:由题意得xy =1,则y =1x .把y =1x 代入2x x +y 2+2y y +x 2, 得2x x +1x 2+2x 1x +x 2=2x 3x 3+1+2x 3+1=2.∴2x x +y 2与2y y +x 2互为“2阶分式”. (3)解:∵a a +4b 2与2b a 2+2b互为“1阶分式”, ∴a a +4b 2+2b a 2+2b=1. ∵a a +4b 2+2b a 2+2b =a 3+2ab (a +4b 2)(a 2+2b )+2ab +8b 3(a +4b 2)(a 2+2b ), ∴a 3+2ab +2ab +8b 3a 3+2ab +4a 2b 2+8b 3=1, 则2ab =4a 2b 2.又∵a ,b 为正数,∴ab =12.24.解:(1)设去年每吨土豆的平均价格是x 元,则今年第一次采购时每吨土豆的价格为(x +200)元,第二次采购时每吨土豆的价格为(x -200)元.由题意得300 000x +200×2=500 000x -200, 解得x = 2 200.经检验,x =2 200是原分式方程的解,且符合题意.答:去年每吨土豆的平均价格是2 200元.(2)由(1)得,今年采购的土豆数量为300 0002 200+200×3=375(吨). 设应将m 吨土豆加工成薯片,则应将(375-m )吨土豆加工成淀粉,由题意得⎩⎪⎨⎪⎧m ≥23(375-m ),m 5+375-m 8≤60,解得150≤m ≤175.设总利润为y 元,则y =700m +400(375-m )=300m +150 000.∵300>0,∴y 随m 的增大而增大,∴当m =175时,y 的值最大,y max =300×175+150 000=202 500.答:为获得最大利润,应将175吨土豆加工成薯片,最大利润是202 500元.。
第五章 分式与分式方程一、选择题(本大题共8小题,每小题3分,共24分)1.有下列各式:12(1-x ),4x π-3,x2-y22,1+a b ,5x2y ,其中分式共有( )A .2个B .3个C .4个D .5个2.下列各式中,正确的是( ) A.a +b ab =1+b b B.x +y x -y =x2-y2(x -y )2 C.x -3x2-9=1x -3 D.-x +y 2=-x +y 23.在分式15b2c -5a ,5(x -y )2y -x ,a2+b23(a +b ),4a2-b22a -b ,a -2b 2b -a 中,最简分式有( )A .1个B .2个C .3个D .4个4.解分式方程x 3+x -22+x =1时,去分母后可得到( )A .x (2+x )-2(3+x )=1B .x (2+x )-2=2+xC .x (2+x )-2(3+x )=(2+x )(3+x )D .x -2(3+x )=3+x5.化简⎝⎛⎭⎫x -2x -1x ÷⎝⎛⎭⎫1-1x 的结果是( ) A.1x B .x -1 C.x -1x D.xx -1 6.如果解关于x 的分式方程mx -2-2x2-x =1时出现增根,那么m 的值为( ) A .-2 B .2 C .4 D .-47.某工厂生产一种零件,计划在20天内完成.若每天多生产4个,则15天完成且还多生产10个.设原计划每天生产x 个,根据题意可列分式方程为( )A.20x +10x +4=15B.20x -10x +4=15C.20x +10x -4=15D.20x -10x -4=158.若关于x 的方程a x -1+1=x +ax +1的解为负数,且关于x 的不等式组⎩⎨⎧-12(x -a )>0,x -1≥2x +13无解,则所有满足条件的整数a 的值之和是( )A .5B .7C .9D .10二、填空题(本大题共6小题,每小题4分,共24分)9.若分式1x -5在实数范围内有意义,则x 的取值范围是________.10.计算:x2x +1-1x +1=________.11.化简:m2-4mn +4n2m2-4n2=________.12.某学校为了增强学生体质,准备购买一批体育器材,已知A 类器材比B 类器材的单价低10元,用150元购买A 类器材与用300元购买B 类器材的数量相同,则B 类器材的单价为________元/件.13.若关于x 的方程x +m m (x -1)=-45的解为x =-15,则m =________.14.若关于x 的分式方程2x +mx -3=3的解为正数,则m 的取值范围是________.三、解答题(本大题共6小题,共52分) 15.(10分)解下列方程: (1) xx -3-2=-33-x;(2)x x +3+2x2+3x =1.16.(6分)化简:9-a2a2+6a +9÷a2-3a a +3+1a .17.(8分)先化简,再求值:⎝⎛⎭⎫1+1a ·a2a2-1,其中a =3.18.(9分)已知关于x 的方程2xx -2+m x -2=3. (1)当m 取何值时,此方程的解为x =3? (2)当m 取何值时,此方程会产生增根?(3)当此方程的解是正数时,求m的取值范围.19.(9分)某校组织学生去9 km外的郊区游玩,一部分学生骑自行车先走,半小时后,其他学生乘公共汽车出发,结果他们同时到达.已知公共汽车的速度是自行车速度的3倍,求自行车的速度和公共汽车的速度分别是多少.20.(10分)某班到毕业时共节余班费1800元,班委会决定拿出不少于270元但不超过300元的资金为母校购买纪念品,其余经费用于在毕业晚会上给50名同学每人购买一件文化衫或一本相册作为留念.已知每件文化衫的价格比每本相册贵9元,用175元购买文化衫和用130元购买相册的数量相等.(1)求每件文化衫和每本相册的价格分别为多少元;(2)有哪几种购买文化衫和相册的方案?1.[解析] A12(1-x),4x π-3,x2-y22的分母中均不含有字母,因此不是分式,是整式;1+a b,5x2y的分母中含有字母,因此是分式.故选A .2.[答案] B3.[解析] A 15b2c -5a =3b2c -a ;5(x -y )2y -x =5(y -x);4a2-b22a -b =(2a +b )(2a -b )2a -b=2a +b ;a -2b2b -a=-1.所以只有一个最简分式.故选A .4.[解析] C 在方程x 3+x -22+x=1的两边同乘最简公分母(3+x)(2+x),得x(2+x)-2(3+x)=(2+x)(3+x).故选C .5.[解析] B ⎝⎛⎭⎫x -2x -1x ÷⎝⎛⎭⎫1-1x =x2-2x +1x ÷x -1x =(x -1)2x ·x x -1=x -1.故选B . 6.[答案] D 7.[答案] A8.[解析] C a x -1+1=x +ax +1,方程两边同乘(x -1)(x +1),得a(x +1)+(x -1)(x +1)=(x -1)(x +a), 整理得x =1-2a , 由题意得1-2a <0,解得a >12.解不等式组⎩⎨⎧-12(x -a )>0,x -1≥2x +13,得4≤x <a.∵不等式组无解,∴a ≤4, 则12<a ≤4. ∵1-2a ≠±1, ∴a ≠0,a ≠1,∴所有满足条件的整数a 的值之和为2+3+4=9. 故选C .9.[答案] x ≠5 10.[答案] x -111.[答案] m -2nm +2n[解析] 原式=(m -2n )2(m +2n )(m -2n )=m -2nm +2n.12.[答案] 20[解析] 设B 类器材的单价为x 元/件,则A 类器材的单价是(x -10)元/件,由题意得150x -10=300x, 解得x =20.经检验,x =20是原方程的解. 即B 类器材的单价为20元/件. 故答案为:20. 13.[答案] 5[解析] 把x =-15代入方程即可求得m 的值.14.[答案] m >-9且m ≠-6[解析] 去分母,得2x +m =3x -9,解得x =m +9.由分式方程的解为正数,得到m +9>0,且m +9≠3,解得m >-9且m ≠-6.15.解:(1)方程两边同乘(x -3),得x -2(x -3)=3. 去括号,得x -2x +6=3. 移项、合并同类项,得x =3. 检验:当x =3时,x -3=0, ∴原分式方程无解.(2)方程两边同乘x(x +3),得 x 2+2=x 2+3x ,移项、合并同类项,得3x =2,解得x =23.经检验,x =23是原方程的解.16.[解析] 先算乘除,再算加减.解:原式=-(a +3)(a -3)(a +3)2·a +3a (a -3)+1a=-1a +1a=0. 17.解:原式=a +1a ·a2(a -1)(a +1)=aa -1.当a =3时,原式=32.18.解:(1)把x =3代入方程2x x -2+mx -2=3,得m =-3.(2)方程的增根为x =2,原方程去分母得2x +m =3x -6,将x =2代入,得m =-4.(3)原方程去分母得2x +m =3x -6,解得x =m +6.因为方程的解是正数,所以m +6>0,解得m >-6.因为x ≠2,所以m ≠-4.综上,m 的取值范围是m>-6且m ≠-4.19.[解析] 设自行车的速度为x km /h ,则公共汽车的速度为3xkm /h ,根据时间=路程÷速度结合乘公共汽车比骑自行车少用12h ,即可得出关于x 的分式方程,解之经检验即可得出结论.解:设自行车的速度为x km /h ,则公共汽车的速度为3x km /h .根据题意,得9x -93x =12,解得x =12.经检验,x =12是原分式方程的解, ∴3x =36.答:自行车的速度是12 km /h ,公共汽车的速度是36 km /h .20.解:(1)设每件文化衫的价格为x 元,则每本相册的价格为(x -9)元,由题意得175x=130x -9, 解得x =35.经检验,x =35是原分式方程的解, 则x -9=35-9=26(元).答:每件文化衫的价格为35元,每本相册的价格为26元.(2)设购买文化衫m 件,则购买相册(50-m)件.由题意得1800-300≤35m +26(50-m)≤1800-270,解得2229≤m ≤2559.共有3种购买方案:①购买文化衫23件,购买相册27件;②购买文化衫24件,购买相册26件;③购买文化衫25件,购买相册25件.。
第五章 分式与分式方程一、单选题1.在1x ,25ab ,30.7xy y -+,m n m +,5b c a -+,23x π中,分式有( ) A .2个;B .3个;C .4个;D .5个; 2.在分式2x x +中x 的取值范围是( ) A .x≠﹣2B .x >﹣2C .x <﹣2D .x≠0 3.若分式25x x -+的值为0,则x 的值是( ) A .2 B .0 C .-2 D .-54.下列各等式中,正确的是( )A .11a a+= B .11a a b b +=+ C .a b a b a b a b --+=-- D .11ab b a ab b a ++=-- 5.下列分式中是最简分式的是( )A .3ab a ab -B .22x y x y -+C .5134m m -D .11t t-- 6.若221a M a b a b ⎛⎫-÷ ⎪-+⎝⎭的化简结果是1a b -+,那么分式M 为( ) A .a a b + B .b b a - C .a a b - D .b a b-+ 7.下列各题中,所求的最简公分母,错误的是( )A .13x 与26a x最简公分母是26xB .2313a b 与2313a b c最简公分母是233a b c C .1m n +与1m n -最简公分母是22m n - D .()1a x y -与()1b y x -最简公分母是()()ab x y y x -- 8.计算211a a a a ---的结果是 A .1a a + B .1a a +- C .1a a - D .1a a-- 9.解分式方程221111-=-+-x x x x 时,去分母正确的是( ) A .(1)121-=--x x xB .(1)1(21)-=--x x xC .2(1)121-=---x x x xD .2(1)1(21)-=---x x x x10.现有甲,乙两种机器人都被用来搬运某体育馆室内装潢材料甲型机器人比乙型机器人每小时少搬运30千克,甲型机器人搬运600千克所用的时间与乙型机器人搬运800千克所用的时间相同,两种机器人每小时分别搬运多少千克?设甲型机器人每小时搬运x 千克,根据题意,可列方程为( )A .600x =80030x +B .600x =80030x -C .60030x +=800xD .60030x -=800x二、填空题11.若分式221x x -+的值为零,则x 的值等于_____.12.2234xy z ·(-28z y )的值为_______ 13.若3a b +=,1ab =,则11a b +的值是__________. 14.甲、乙两组学生去距学校4.5千米的敬老院开展慰问活动,甲组学生步行出发半小时后,乙组学生骑自行车开始出发,两组学生同时到达敬老院.已知步行速度是骑自行车速度的13,设步行速度为x 千米/时,则根据题意可以列出方程_____.三、解答题15.已知当2x =-时,分式x b x a-+无意义:当4x =时,分式的值为零.求a b +的值. 16.计算: (1)(﹣2a c )346c abg . (2)222245b a a b a a--÷. (3)22229226x y x y x xy y x y-+⋅++-.17.先化简,再求值:222()111a a a a a ++÷+--,其中a -1. 18.解分式方程(1)11222x x x-=--- (2)()()31112x x x x -=--+ 19.某商店第一次用3000元购进某款书包,很快卖完,第二次又用2400元购进该款书包,但这次每个书包的进价是第一次进价的1.2倍,数量比第一次少了20个.(1)求第一次每个书包的进价是多少元?(2)若第二次进货后按80元/个的价格销售,恰好销售完一半时,根据市场情况,商店决定对剩余的书包按同一标准一次性打折销售,但要求这次的利润不少于480元,问最低可打几折?答案1.B 2.A 3.A 4.D 5.B 6.B 7.D 8.B 9.D 10.A 11.2 12.-6xy 13.314.4.5 4.5132 x x-=15.616.(1)﹣243a cb;(2)﹣52aa b+;(3)32()x yx y++.17.31 a+18.(1)x43=;(2)无解.19.(1)第一次每个书包的进价是50元(2)最低可打8折。
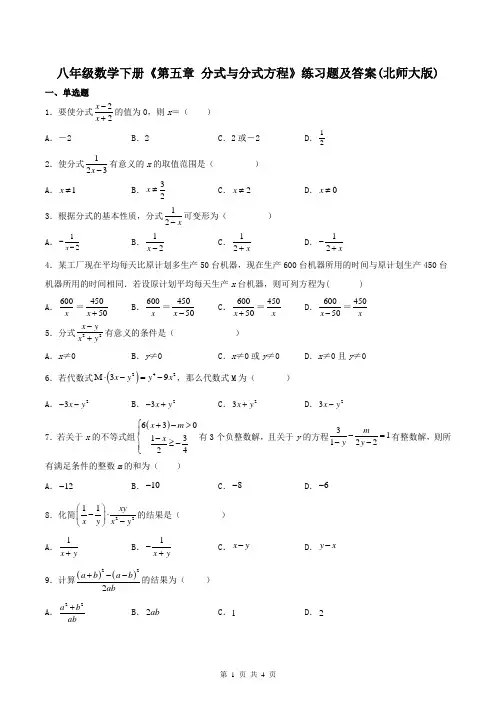
第 1 页 共 4 页八年级数学下册《第五章 分式与分式方程》练习题及答案(北师大版)一、单选题 1.要使分式22x x -+的值为0,则x =( ) A .-2B .2C .2或-2D .12 2.使分式123x -有意义的x 的取值范围是( ) A .1x ≠ B .32x ≠ C .2x ≠ D .0x ≠3.根据分式的基本性质,分式12x -可变形为( ) A .12x -- B .12x - C .12x + D .12x-+ 4.某工厂现在平均每天比原计划多生产50台机器,现在生产600台机器所用的时间与原计划生产450台机器所用的时间相同.若设原计划平均每天生产x 台机器,则可列方程为( )A .600x =45050x + B .600x =45050x - C .60050x +=450x D .60050x -=450x 5.分式22x y x y -+有意义的条件是( ) A .x ≠0B .y ≠0C .x ≠0或y ≠0D .x ≠0且y ≠0 6.若代数式()242M 39x yy x ⋅-=-,那么代数式M 为( ) A .23x y -- B .23x y -+C .23x y +D .23x y - 7.若关于x 的不等式组()6301324x m x ⎧+->⎪⎨-≥-⎪⎩有3个负整数解,且关于y 的方程31122m y y -=--有整数解,则所有满足条件的整数m 的和为( )A .12-B .10-C .8-D .6-8.化简2211xy x y x y⎛⎫-⋅ ⎪-⎝⎭的结果是( ) A .1x y+ B .1x y -+ C .x y - D .y x - 9.计算()()222a b a b ab+--的结果为( ) A .22a b ab + B .2ab C .1 D .2二、填空题三、解答题第2页共4页第 3 页 共 4 页21.先化简,再求值:22223113a a a a a --⎛⎫+÷ ⎪--⎝⎭其中a 为1-,0,1,2,3中的一个合适的数字.22.列方程或方程组解应用题:九年级(1)班的学生周末乘汽车到游览区游览,游览区到学校120千米,一部分学生乘慢车先行,出发1小时后,另一部分学生乘快车前往,结果他们同时到达,已知快车速度是慢车速度的1.5倍,求慢车的速度.23.计算:(1)()101173π-⎛⎫-+-- ⎪⎝⎭; (2)()32246a a a --⋅;(3)()()2232351a ab ab -⋅-+; (4)()()()2133m m m --+-.24.在新冠肺炎防疫工作中,某公司购买了A 、B 两种不同型号的口罩,已知A 型口罩的单价比B 型口罩的单价多1.2元,且用7000元购买A 型口罩的数量与用4200元购买B 型口罩的数量相同.(1)A 、B 两种型号口罩的单价各是多少元?(2)根据疫情发展情况,该公司需要增加购买一些口罩,增加购买B 型口罩数量是A 型口罩数量的2倍,若总费用不超过3960元,则增加购买A 型口罩的数量最多是多少个?第4页共4页。
北师大版数学八年级下册第五章测试卷一、单选题1.下列式子中,不属于分式的是A .2-73x x + B .2-5a a C .2--2πx x D .222xy x y + 2.要使分式-2(1)(-3)x x x +没有意义,则x 的值为 A .2 B .-1或3 C .-1 D .33.下列各式从左到右变形正确的是A .1-2-2122x y x y x yx y =++ B .0.220.22a b a b a b a b ++=++C .-1-1--x x x y x y += D .--a b a b a b a b +=+ 4.关于x 的分式方程230x x a +=-解为4x =,则常数a 的值为( ) A .1a = B .2a = C .4a = D .10a = 5.下列分式中,计算正确的是A .2()23()3b c a b c a +=+++B .221a b a b a b+=++ C .22(-)()a b a b +=-1 D .22-12---x y xy x y y x = 6.若分式2-1x 与1互为相反数,则x 的值为 A .-2B .1C .-1D .2 7.化简22122-2--1-1-x x x x x x +⎛⎫÷⎪⎝⎭的结果是 A .--2x x B .1x C .1-1x x + D .-11x x +8.施工队要铺设1000米的管道,因在中考期间需停工2天,每天要比原计划多施工30米才能按时完成任务.设原计划每天施工x 米,所列方程正确的是( )A .1000100030x x -+=2 B .1000100030x x -+=2 C .1000100030x x --=2 D .1000100030x x --=2二、填空题9.分式x 2−9x+3的值为0,那么x 的值为_____.10.计算22111m m m ---的结果是_____. 11.方程-3x x -2=4-3x 的解为_______. 12.观察下列分式:-212,x x ,-3448,x x ,-516x ,…,根据你的发现,它的第8项是_____________. 13.已知x 2-2=0,则代数式222(-1)-11x x x x ++=_____.三、解答题14.化简:(1)8x 2y 3·233--42x x y y ⎛⎫⎛⎫÷ ⎪ ⎪⎝⎭⎝⎭; (2) 211-1-1x x x ⎛⎫÷ ⎪+⎝⎭.15.先化简:221-21-11a a a a a a ⎛⎫++÷ ⎪++⎝⎭,再从-1,0,1中选取一个数并代入求值.16.解分式方程: (1)23x x x ++=1; (2)224-1-1x x =.17.某青春党支部在精准扶贫活动中,给结对帮扶的贫困家庭赠送甲、乙两种树苗让其栽种.已知乙种树苗的价格比甲种树苗贵10元,用480元购买乙种树苗的棵数恰好与用360元购买甲种树苗的棵数相同.(1)求甲、乙两种树苗每棵的价格各是多少元?(2)在实际帮扶中,他们决定再次购买甲、乙两种树苗共50棵,此时,甲种树苗的售价比第一次购买时降低了10%,乙种树苗的售价不变,如果再次购买两种树苗的总费用不超过1500元,那么他们最多可购买多少棵乙种树苗?18.某商场在一楼与二楼之间装有一部自动扶梯,以均匀的速度向上行驶,一男孩与一女孩同时从自动扶梯上走到二楼(扶梯本身也在行驶).如果二人都做匀速运动,且男孩每分钟走动的级数是女孩的两倍.又已知男孩走了27级到达顶部,女孩走了18级到达顶部(二人每步都只跨1级).求扶梯有多少级?参考答案1.C【解析】【分析】根据分式的定义分析即可.【详解】A、B、D中的分母都含有字母,是分式;C中的分母含有圆周率π,π是常数,故C不是分式.故选C.【点睛】本题主要考查分式的定义,判断分式的依据是看分母中是否含有字母,如果含有字母则是分式,如果不含有字母则不是分式.注意π不是字母,是常数,所以分母中含π的代数式不是分式,是整式.2.B【解析】【分析】根据当分母等于零时分式无意义求解即可.【详解】由题意得(x+1)(x-3)=0,解之得x=-1或x=3.故选B.【点睛】本题考查了分式有无意义的条件,当分母等于零时,分式无意义;当分母不等于零时,分式有意义.3.A【解析】A 原式=222222x y x y x y x y --=++,正确;B 原式=210102a b a b++,错误;C 原式=1x x y ---,错误;D 显然错误.故选A4.D【解析】【分析】根据分式方程的解的定义把x=4代入原分式方程得到关于a 的一次方程,解得a 的值即可.【详解】解:把x=4代入方程230x x a+=-,得 23044a+=-, 解得a=10.经检验,a=10是原方程的解故选D .点睛:此题考查了分式方程的解,分式方程注意分母不能为0.5.D【解析】【分析】根据约分的定义逐项分析即可,根据分式的基本性质把分子、分母中除1以外的公因式约去,叫做分式的约分.【详解】A 、()()23b c a b c +++不能约分,故本选项错误; B 、()()()()2222a b a b b a a b --==--1,故本选项错误; C 、22a b a b ++不能约分,故本选项错误; D 、2222122x y y x xy x y xy x y y x--==---++-,故本选项正确; 故选D .【点睛】本题考查了分式的约分,熟练掌握分式的基本性质是解答本题的关键,本题也考查了因式分解.6.C【解析】【分析】根据互为相反数相加得零列式求解即可.【详解】由题意得2-1x+1=0,解之得x=-1.经检验x=-1是原方程的根.故选C.【点睛】本题考查了相反数的应用及分式方程的解法,其基本思路是把方程的两边都乘以各分母的最简公分母,化为整式方程求解,求出x的值后不要忘记检验.7.A【解析】【分析】先把括号内的分式的分子分母分解因式,再把除法运算转化为乘法运算,利用乘法的分配律计算后,再进行分式的加减运算即可.【详解】(11x-﹣2221xx+-)÷22xx x--=12(1)(1)1(1)(1)2x x xx x x x⎡⎤+--⋅⎢⎥-+--⎣⎦=1(1)2(1)(1) 12(1)(1)2 x x x x xx x x x x-+-⋅-⋅--+--=222x x x x --- =2x x -- 故选A.【点睛】本题考查了分式的混合运算,利用乘法分配律可以使运算变得简单.8.A【解析】分析:设原计划每天施工x 米,则实际每天施工(x+30)米,根据:原计划所用时间﹣实际所用时间=2,列出方程即可.详解:设原计划每天施工x 米,则实际每天施工(x+30)米, 根据题意,可列方程:1000100030x x -+=2, 故选A .点睛:本题考查了由实际问题抽象出分式方程,关键是读懂题意,找出合适的等量关系,列出方程.9.3【解析】【分析】分式的值为0的条件是:(1)分子为0;(2)分母不为0.两个条件需同时具备,缺一不可.据此可以解答本题.【详解】解:由题意可得:x 2﹣9=0且x +3≠0,解得x =3.故答案为:3.【点睛】此题主要考查了分式值为零的条件,关键是掌握分式值为零的条件是分子等于零且分母不等于零.注意:分母不为零这个条件不能少.10.11m - 【解析】【分析】根据分式的加减法法则进行计算即可得答案.【详解】原式=22111m m m +-- =()()111m m m ++- =11m -, 故答案为11m -. 【点睛】本题考查分式的加减运算,熟练掌握分式加减的运算法则是解题的关键,本题属于基础题.11.x=2【解析】【分析】把方程两边都乘以x -3,化为整式方程求解,求出未知数的值要验根.【详解】-3x x -2=4-3x , 两边都乘以x -3,得x -2(x -3)=4,解之得x =2.经检验x =2是分式方程的解.故答案为:x =2.【点睛】本题考查了分式方程的解法,其基本思路是把方程的两边都乘以各分母的最简公分母,化为整式方程求解,求出x 的值后不要忘记检验.12.8128x 【解析】【分析】根据所给代数式探索出分子、分母及符号变与不变的规律,根据规律求解即可.∵第1项()01112-1x x-=⨯, 第2项()122222-1x x=⨯, 第3项()233342--1x x=⨯, 第4项()344482-1x x=⨯, …∴第n 项()12-1n nn x -⨯, ∴第8项()78882128-1=x x ⨯, 故答案为:8128x . 【点睛】 本题考查了规律型---数字类规律与探究,要求学生通过观察,分析、归纳发现其中的规律,并应用发现的规律解决问题.此题注意分别观察各部分的符号规律.13.1【解析】【分析】先把所给代数式化简,然后把x 2=2代入进一步化简即可.【详解】222(-1)-11x x x x ++=22(-1)111x x x x x ++-+()() =2-111x x x x +++ =2-11x x x ++,∴x 2=2,∴原式=2-11x x x ++ =2-11x x ++ =+11x x + =1.故答案为1【点睛】本题考查了分式的计算和化简.解决这类题目关键是把握好通分与约分,分式加减的本质是通分,乘除的本质是约分.14.(1)12 x y.(2)x-1. 【解析】【分析】(1)先把除法转化为乘法,然后约分化简即可;(2)先把括号内通分,并把除法转化为乘法,然后把分子、分母分解因式约分化简即可.【详解】解:(1)原式=8x 2y 3·3232-?-4x y x y ⎛⎫⎛⎫ ⎪ ⎪⎝⎭⎝⎭=12x y; (2)原式=1-1(1)(-1)·1x x x x x+++ =(1)(-1)·1x x x x x ++ =x-1.【点睛】本题考查了分式的混合运算:分式的混合运算,要注意运算顺序,式与数有相同的混合运算顺序;先乘方,再乘除,然后加减,有括号的先算括号里面的;最后结果分子、分母要进行约分,注意运算的结果要化成最简分式或整式.15.1【解析】【分析】先把括号内通分,并把除法转化为乘法,然后把分子、分母分解因式约分化简,再从-1,0,1中选取一个使分式有意义的数代入计算即可.【详解】解:原式=22221---21-(-1)1·111(-1)a a a a a a a a a a a +++÷=+++=-1-1a , 其中a ≠1且a ≠-1,∴a 只能取0.当a=0时,原式=1.【点睛】本题考查了分式的化简求值及分式有意义的条件,分式的混合运算,要注意运算顺序,式与数有相同的混合运算顺序;先乘方,再乘除,然后加减,有括号的先算括号里面的;最后结果分子、分母要进行约分,注意所取数字要使分式有意义.16.(1) x=6;(2)无解【解析】【分析】(1)把方程两边都乘以x (x +3),化为整式方程求解,求出未知数的值要验根; (2)把方程两边都乘以(x +1)(x -1),化为整式方程求解,求出未知数的值要验根.【详解】 (1)23x x x ++=1, 两边都乘以x (x +3),得2(x +3)+x 2= x (x +3),解之得x=6,经检验x=6是原方程的解; (2)224-1-1x x =,两边都乘以(x+1)(x-1),得2(x+1)=4,解之得x=1,检验:当x=1时,(x+1)(x-1)=0,∴x=1是分式方程的增根,原方程无解.【点睛】本题考查了分式方程的解法,其基本思路是把方程的两边都乘以各分母的最简公分母,化为整式方程求解,求出x的值后不要忘记检验.17.(1)甲种树苗每棵的价格是30元,乙种树苗每棵的价格是40元;(2)他们最多可购买11棵乙种树苗.【解析】【分析】(1)可设甲种树苗每棵的价格是x元,则乙种树苗每棵的价格是(x+10)元,根据等量关系:用480元购买乙种树苗的棵数恰好与用360元购买甲种树苗的棵数相同,列出方程求解即可;(2)可设他们可购买y棵乙种树苗,根据不等关系:再次购买两种树苗的总费用不超过1500元,列出不等式求解即可.【详解】(1)设甲种树苗每棵的价格是x元,则乙种树苗每棵的价格是(x+10)元,依题意有480x+10=360x,解得:x=30,经检验,x=30是原方程的解,x+10=30+10=40,答:甲种树苗每棵的价格是30元,乙种树苗每棵的价格是40元;(2)设他们可购买y棵乙种树苗,依题意有30×(1﹣10%)(50﹣y)+40y≤1500,解得y≤11713,∵y为整数,∴y最大为11,答:他们最多可购买11棵乙种树苗.【点睛】本题考查了分式方程的应用,一元一次不等式的应用,弄清题意,找准等量关系与不等关系列出方程或不等式是解决问题的关键.18.扶梯有54级.【解析】【分析】如果设女孩上梯速度为x级/分,男孩速度为2x级/分钟,自动扶梯的速度为y级/分,扶梯有S级.题中有两个等量关系,男孩走27级的时间等于扶梯走(S-27)级的时间;女孩走18级的时间等于扶梯走(S-18)级的时间,据此列出方程组,求出S的值即可.【详解】解:设女孩速度为x级/分钟,电梯速度为y级/分钟,扶梯为s级,则男孩速度为2x级/分钟,由题意,得27-27, 218-18,sx ysx y ⎧=⎪⎪⎨⎪=⎪⎩解得s=54.答:扶梯有54级.【点睛】本题考查应用类问题,分式方程在行程问题中的应用,分析题意,找到合适的等量关系是解决问题的关键.本题属于竞赛题型,有一定难度.难点在于自动扶梯在上升,具有一定的速度,同时甲、乙也在上楼梯,变化量较多.解题时要善于抓住不变量,只有不变量才是列方程的依据.另外,本题求解时设的未知数x、y,只设不求,这种方法在解复杂的应用题时常用来帮助分析数量关系,便于解题.。
北师大版八年级数学下册 第五章 分式及分式方程 综合测试题一、选择题1.在1x ,12,22x x +,3xy π,3x y +,11x+中,分式的个数有…………………………( ) A .1个; B .2个; C .3个; D .4个;2. 若x ,y 的值均扩大为原来的3倍,则下列分式的值保持不变的是………………( )A .2x x y +-;B .22y x ;C .3223y x ;D .()222y x y -; 3. 若分式211x x -+的值为0,则x 的值为………………………………( ) A .0; B .1; C .-1; D .±1;4. 下列分式是最简分式的………………………………………………………………( )A .223a a b ;B .23a a a -;C .22a b a b++;D .222a ab a b --; 5.下列计算中错误的是……………………………………………………………( )A .0.220.77a b a b a b a b ++=--;B .3223x y x x y y =;C .1a b b a -=--;D .123c c c+=; 6. 解分式方程22311x x x++=--时,去分母后变形为……………………………………( ) A .()()2231x x +-=-; B .()2231x x -+=-;C .()()2231x x -+=-;D .()()2231x x -+=-; 7. 若关于x 的分式方程121m x -=-的解为非负数,则m 的取值范围是…………………( ) A .m >-1; B .m ≥1; C .m >-1且m ≠1; D .m ≥-1且m ≠1; 8. 若关于x 的分是方程2233x m x x++=--有增根,则m 的值是…………………………( ) A .m=-1; B .m=0;C .m=3;D .m=0或m=3; 9. 已知1112a b -=,则ab a b -的值是………………………………………………………( ) A . 12; B .12-; C .2 ; D .-2;10.某工厂新引进一批电子产品,甲工人比乙工人每小时多搬运30件电子产品,已知甲工人搬运300件电子产品所用的时间与乙工人搬运200件电子产品所用的时间相同.若设乙工人每小时搬运x 件电子产品,可列方程为…………………………………( )A .30020030x x =+;B .30020030x x =-;C .30020030x x =+;D .30020030x x =-;二、填空题11. 代数式11x -有意义时,x 应满足的条件为 .12.化简:2269x x +-= . 13. 1xy ,34y x ,16xyz 的最简公分母是 .14.当m = 时,解分式方程533x mx x -=--会出现增根.15. 如果实数x ,y 满足方程组30233x y x y +=⎧⎨+=⎩,那么代数式12xyx y x y⎛⎫+÷ ⎪++⎝⎭的值为. 16.对于非零的两个实数a 、b ,规定11a b b a ⊕=-,若2⊕(2x -1)=1,则x 的值为 .17.若13m m +=,则221m m += .18. 若关于x 的方程2134416m m x x x ++=-+-无解,则m 的值为 .三、解答题:19.计算:(1)223224a b a c bc ⎛⎫÷- ⎪-⎝⎭; (2)22211x x x x --+; (3)24512111a a a a a a -⎛⎫⎛⎫+-÷- ⎪ ⎪---⎝⎭⎝⎭20. 解方程:(1)11322yy y -+=--; (2)2222341x x x x x +=-+-;21. 先化简,再求值:(2018.安顺)2282442x x x x x ⎛⎫÷-- ⎪-+-⎝⎭,其中2x =;22. 已知关于x 的分式方程233x k x x -=--有一个正数解,求k 的取值范围.23. 当k 为何值时,分式方程()6311x k x x x x +=---有解?24. 已知234221x A B x x x x +=----+,其中A ,B 为常数,求4A-B 的值.25. 若数a 使关于x 的不等式组()()111132231x x x a x ⎧-≤-⎪⎨⎪-≤-⎩有且仅有三个整数解,且使关于y 的分式方程312122y a y y++=--有整数解,试求满足条件的所有a 的值26. 班级组织同学乘大巴车前往“研学旅行”基地开展爱国教育活动,基地离学校有90公里,队伍8:00从学校出发.苏老师因有事情,8:30从学校自驾小车以大巴1.5倍的速度追赶,追上大巴后继续前行,结果比队伍提前15分钟到达基地.问:(1)大巴与小车的平均速度各是多少?(2)苏老师追上大巴的地点到基地的路程有多远?参考答案1.D2.D3.B4.C5.A6.D7.D8.A9.D 10.C11. X=112. yz x 12313. 3-x 2 14. 215. 116. 65 17. 7 18. -1,5或31 19. (1)c 2b 2 (2)1-x x (3)-2a a 2 20. (1)y=2 (2)x=1 (3)x=421. 2-x 2,x=-2时,原式=21- 22. m <6,且m≠323. k≠5,且k≠-324. 1325. a=-8或a=-426. 30公里。
八年级数学下册《第五章 分式与分式方程》单元测试卷-附答案(北师大版)一、选择题1. 要使分式1x−1有意义,则x 的取值范围是( ) A. x >1B. x ≠1C. x <1D. x ≠−12. 把分式2x 22x+y 中的x 和y 都扩大2倍,分式的值( ) A. 不变B. 扩大2倍C. 缩小2倍D. 扩大4倍3. 计算(1+1x)÷x2+2x+1x的结果是( )A. x +1B. 1x+1C. xx+1D.x+1x4. 关于x 的方程1x−2+a−22−x =1的解是正数,则a 的取值范围是( ) A. a >5B. a <5C. a >5且a ≠7D. a <5且a ≠35. 若a −1a =5,则a 2+1a 2的结果是( ) A. 23B. 25C. 27D. 296. 若a +b +c =0,则a(1b +1c )+b(1c +1a )+c(1a +1b )的值为( ) A. 1B. −1C. 3D. −37. 已知xyx+y =13,yzy+z =15,zxz+x =16,则xyzxy+yz+zx =( ) A. 14B. 12C. 17D. 198. 已知a,b 为实数,且ab =1,设M =aa+1+bb+1 , N =1a+1+1b+1,则M, N 的大小关系是( ) A. M >NB. M =NC. M <ND. 不确定9. 随着5G 网络技术的发展,市场对5G 产品的需求越来越大,为满足市场需求,某大型5G 产品生产厂家更新技术后,加快了生产速度,现在平均每天比更新技术前多生产30万件产品,现在生产500万件产品所需时间与更新技术前生产400万件产品所需时间相同.设更新技术前每天生产x 万件产品,依题意得( )A. 400x−30=500xB.400x=500x+30 C.400x=500x−30D. 400x+30=500x10. 已知a ≠−1,b ≠−1设M =aa+1+bb+1,N =1a+1+1b+1,结论Ⅰ:当ab =1时,M =N ;结论Ⅱ:当a +b =0时,M ⋅N ≤0对于结论Ⅰ和Ⅱ,下列判断正确的是( )A. Ⅰ和Ⅱ都对B. Ⅰ和Ⅱ都不对C. Ⅰ不对Ⅱ对D. Ⅰ对Ⅱ不对二、填空题11. 若式子x−1x+1在实数范围内有意义,则x 的取值范围是 . 12. 计算:x+5x−5x = ______ .13. 已知1x −1y =2,则−x+xy+y2x+7xy−2y = ______ . 14. 若ab =12,则分式3a+b b = ______ .15. 已知x =1是方程xx−1+kx−1=xx+1的一个增根,则k =______16. 计算:a 2a−b +2ab−b2b−a= ______ .17. 已知关于x 的分式方程x+kx+1−kx−1=1的解为负数,则k 的取值范围是 . 18. 若8x+9(x+3)(x−2)=Ax+3+Bx−2,且A 、B 都是常数,则A =____,B =_____.19. 甲做180个零件与乙做240个零件所用的时间相等,如果两个人每小时共做140个零件,那么甲、乙两个人每小时各做多少个零件?若设甲每小时做x 个零件,所列方程为_____________________.20. 有一个分式,两位同学分别说出了它的一些特点,甲:分式的值不可能为0;乙:分式有意义时的取值范围是m ≠1;请你写出满足上述全部特点的一个分式: . 三、解答题21. 先化简,再求值(1−3x+1)÷x 2−4x+4x 2−1,其中x 的值从−1、0、1、2中选取.22. 已知关于x 的分式方程x 4−x =kxx−4+3 无解,求k 的值.23. 计算:(1)3x+2x−1−5x−1; (2)m 2m 2−4÷mm+2. 24. 麦收时节,为确保小麦颗粒归仓,某农场安排A ,B 两种型号的收割机进行小麦收割作业.已知一台A 型收割机比一台B 型收割机平均每天多收割2公顷小麦,一台A 型收割机收割15公顷小麦所用时间与一台B 型收割机收割9公顷小麦所用时间相同.(1)一台A 型收割机和一台B 型收割机平均每天各收割小麦多少公顷?(2)该农场安排两种型号的收割机共12台同时进行小麦收割作业,为确保每天完成不少于50公顷的小麦收割任务,至少要安排多少台A 型收割机?25. 先化简(a 2−1a−3−a −1)÷a+1a 2−6a+9,然后从−1,0,1,3中选一个合适的数作为a 的值代入求值.26. 金师傅近期准备换车,看中了价格相同的两款国产车.燃油车油箱容积:40升 油价:9元/升 续航里程:a 千米 每千米行驶费用:40×9a元 新能源车电池电量:60千瓦时 电价:0.6元/千瓦时 续航里程:a 千米 每千米行驶费用:_____元(1)(2)若燃油车的每千米行驶费用比新能源车多0.54元. ①分别求出这两款车的每千米行驶费用.②若燃油车和新能源车每年的其它费用分别为4800元和7500元.问:每年行驶里程为多少千米时,买新能源车的年费用更低?(年费用=年行驶费用+年其它费用27. 深化理解:阅读下列材料,并解答问题:材料:将分式x 2−x+3x+1拆分成一个整式与一个分式(分子为整数)的和的形式.解:由分母x +1,可设x 2−x +3=(x +1)(x +a)+b ;则x 2−x +3=(x +1)(x +a)+b =x 2+ax +x +a +b =x 2+(a +1)x +a +b . ∵对于任意x 上述等式成立 (2) ∴{a +1=−1a +b =3解得:{a =−2b =5. ∴x 2−x+3x+1=(x+1)(x−2)+5x+1=x −2+5x+1.这样,分式x 2−x+3x+1就拆分成一个整式x −2与一个分式5x+1的和的形式.(1)将分式x2+6x−3x−1拆分成一个整式与一个分式(分子为整数)的和的形式为______;(2)已知整数x使分式2x2+5x−20x−3的值为整数,则满足条件的整数x的值.参考答案1、B2、B3、B4、D5、C6、D7、C8、B9、B10、A11、x≠−112、113、114、5215、−116、a−b17、k>12且k≠118、3519、180x =240140−x20、1m−1(答案不唯一)21、解:原式=(x+1x+1−3x+1)⋅(x+1)(x−1)(x−2)2=x−2x+1⋅(x+1)(x−1)(x−2)2=x−1x−2由题意得:x≠±1和2当x=0时,原式=0−10−2=12.22、解:分式方程两边同乘(x−4),得−x=kx+3(x−4)∴x=12 k+4∵原分式方程无解∴x−4=0,即方程有增根x=4∴12k+4=4解得:k=−1又∵在12k+4中,当k+4=0即k=−4时没有意义∴原分式方程无解时,k的值为−4或−1.23、解:(1)3x+2x−1−5x−1=3x+2−5x−1=3x−3x−1=3(x−1)x−1 =3(2)m2m2−4÷mm+2=m2(m+2)(m−2)⋅m+2m=mm−2.24、解:(1)设一台B型收割机平均每天收割小麦x公顷,则一台A型收割机平均每天收割小麦(x+2)公顷依题意得:15x+2=9x解得:x=3经检验,x=3是原方程的解,且符合题意∴x+2=3+2=5.答:一台A型收割机平均每天收割小麦5公顷,一台B型收割机平均每天收割小麦3公顷.(2)设安排m台A型收割机,则安排(12−m)台B型收割机依题意得:5m+3(12−m)≥50解得:m≥7.答:至少要安排7台A型收割机.25、解:原式=[a2−1a−3−(a+1)]÷a+1(a−3)2=a2−1−(a+1)(a−3)a−3⋅(a−3)2a+1=(a+1)(a−1−a+3)a−3⋅(a−3)2a+1=2(a+1)a−3⋅(a−3)2a+1=2(a−3)=2a−6∵a=−1或a=3时,原式无意义∴a只能取1或0当a=1时,原式=2−6=−4.(当a=0时,原式=−6) 26、解:(1)由表格可得新能源车的每千米行驶费用为:60×0.6a =36a(元)即新能源车的每千米行驶费用为36a元(2)①∵燃油车的每千米行驶费用比新能源车多0.54元∴40×9a−36a=0.54解得a=600经检验,a=600是原分式方程的解∴40×9600=0.6,36600=0.06答:燃油车的每千米行驶费用为0.6元,新能源车的每千米行驶费用为0.06元②设每年行驶里程为x km由题意得:0.6x+4800>0.06x+7500解得x>5000答:当每年行驶里程大于5000km时,买新能源车的年费用更低.27、x+7+4x−1。
5,m+nm,b-c,ab21.在6x+2无意义,则x的取值范围是(2a+5b中的a,b都扩大4倍,则分式的值(B.x2+2x+1C.2ax9-m2的结果是(A.m6.已知1y=3,则代数式2x+3xy-2y的值是(7.化简 1-2⎫÷1⎝x+1⎭x2-1的结果是()第五章分式与分式方程一、单选题5+a中,分式有()A.1个B.2个C.3个D.4个2.要使分式x2-4)A.x=-2B.x=2C.x≠-2D.x≠±23.将ab)A.不变B.扩大4倍C.扩大8倍4.下列四个分式中,是最简分式的是()D.扩大16倍A.a2+b2a+b x+13ay D.a2-b2a-b5.化简m2-3m)m mm-3B.3-m C.-m+3D.m m+3x-1x-xy-y)A.-3.5B.-5.5C.4.5⎛⎪D.0.75A.60013.已知3x-4(x-1)(x-2)x-1x-211A.(x+1)2B.(x-1)2C.(x+1)2D.(x﹣1)28.武侯区某学校计划选购甲,乙两种图书为“初中数学分享学习课堂之生讲生学”初赛的奖品.已知甲图书的单价是乙图书单价的1.5倍,用600元单独购买甲种图书比单独购买乙种图书少10本,设乙种图书的价为x元,依据题意列方程正确的是()600600600600600600600-=10B.-=10C.-=1.5D.-=1.5 x 1.5x 1.5x x x+10x x x+109.分式方程A.x=-22xx-3=1的解为()B.x=-3C.x=2D.x=310.关于x的分式方程2x-ax+1=1的解为正数,则字母a的取值范围为()A.a≥﹣1B.a>﹣1C.a≤﹣1D.a<﹣1二、填空题x2-111.当x=________时,分式的值为0x+112.纳米技术是21世纪的新兴技术,1米等于10亿纳米,已知某花粉的直径是3500纳米,那么此种花粉的直径是______米.A B=+,则实数A=_____.14.关于x的方程三、解答题x-1k=2+有增根,则k的值是__________.x-3x-3=1-;=-;=-L (1)计算1+++⋅⋅⋅⋅⋅⋅+(1)2(x-2)15.已知x=﹣4时,分式16.计算:x-b a+b无意义,x=2时,此分式的值为零,求分式的值.2x+a a-3b(1)4a2b÷(-a b)•(-)2b8a(2)2aba2-b2a b+-a-b a+b17.先观察下列等式,然后用你发现的规律解答下列问题.111111111⨯222⨯3233⨯434111+++⋅⋅⋅⋅⋅⋅+1⨯22⨯33⨯42018⨯20191111(2)探究(用含n的式子表示)1⨯22⨯33⨯4n⨯(n+1)(3)计算1111+++⋅⋅⋅⋅⋅⋅+.1⨯33⨯55⨯7(2n-1)⨯(2n+1)18.解分式方程2+1=x-11-x(2)x+132=-4x2-12x+12x-119.某商店用1000元人民币购进某种水果销售,过了一周时间,又用2400元人民币购进这种水果,所购数量是第一次购进数量的2倍,但每千克的价格比第一次购进的价格贵了2元.(1)该商店第一次购进这种水果多少千克?(2)假设该商店两次购进的这种水果按相同的标价销售,最后剩下的20千克按标价的五折优惠销售.若两次购进的这种水果全部售完,利润不低于950元,则每千克这种水果的标价至少是多少元?答案1.B2.A3.B4.A5.C6.D7.D8.A9.B10.B11.1 12.3.5⨯10-6.313.114.215.516.(1) b ;(2) a + ba - b17.(1) 2018n n;(2) ;(3)2019 n + 1 2n + 118.(1)无解;(2)x=6.19.(1)该商店第一次购进水果 100 千克;(2)每千克这种水果的标价至少是 15 元。
北师大版数学八年级下册第五章测试卷一、单选题1.在代数式ab a ,23a b ,-0.5xy +23y ,b ca c +-,12x x ---,1π中,是分式的有( ).A .1个B .2个C .3个D .4个2.下列各式从左到右变形正确的是A .1-2-2122x y x y x y x y =++ B .0.220.22a b a b a b a b ++=++C .-1-1--x x x y x y += D .--a b a ba b a b+=+ 3.计算11x x y--的结果是( ). A .()yx x y --B .2()x yx x y +-C .2()x yx x y --D .()yx x y -4.计算2623993m mm m m ⋅÷+--的结果为( ). A .21(3)m +B .21(3)m -+C .21(3)m -D .219m -+5.下列分式方程有解的是( ).A .210x x+=B .123x -=0 C .2111x x x x +=-- D .11x -=1 6.按下列程序计算,当a =-2时,最后输出的答案是().A .132- B .52-C .-1D .12-7.已知a ,b 为实数,且ab =1,设M =11a b a b +++,N =1111a b +++,则M ,N 的大小关系是( ). A .M >NB .M =NC .M <ND .无法确定8.某工程限期完成,甲队独做正好按期完成,乙队独做则要延期3天完成.现两队先合做2天,再由乙队独做,也正好按期完成.如果设规定的期限为x 天,那么根据题意可列出方程:①223x x ++=1;②1122()133x x x x -++=++;③213xx x +=+;④233x x =+.其中正确的个数为( ). A .1 B .2C .3D .4二、填空题9.当x______时,分式22x x -+有意义;当x_______时,分式22x x -+的值为零. 10.若关于x 的分式方程1133ax x -=++在实数范围内无解,则实数a =________.11.已知114a b+=,则3227a ab ba b ab -++-=______.12.某商店销售一种衬衫,四月份的营业额为5 000元,为扩大销售,五月份将每件衬衫按原价的8折销售,销售量比四月份增加了40件,营业额比四月份增加了600元,求四月份每件衬衫的售价.解决这个问题时,若设四月份的每件衬衫的售价为x 元,由题意可列方程为_______.三、解答题13.先化简22144(1)11x x x x -+-÷--,然后从-2≤x ≤2的范围内选取一个合适的整数作为x 的值代入求值.14.(1)解方程:23311x x x +---=0;(2)解方程:11322xx x-=---.15.我们把分子为1的分数叫做单位分数,如12,13,14,….任何一个单位分数都可以拆分成两个不同的单位分数的和,如12=13+16,13=14+112,14=15+120,….(1)根据对上述式子的观察,你会发现1115=+□○.请写出□,○所表示的数.(2)进一步思考,单位分数1n(n是不小于2的正整数)=11+△☆,请写出△,☆所表示的代数式,并加以验证.16.甲、乙两同学玩“托球赛跑”游戏,商定:用球拍托着乒乓球从起跑线l起跑,绕过点P 跑回到起跑线l(如图所示),途中乒乓球掉下时须捡起并回到掉球处继续赛跑,用时少者胜.结果:甲同学由于心急,掉了球,浪费了6秒钟,乙同学则顺利跑完.事后,乙同学说:“我俩所用的全部时间的和为50秒,捡球过程不算在内时,甲的速度是我的1.2倍.”根据图文信息,请问哪位同学获胜?参考答案1.C 【解析】 【分析】判断分式的依据是看分母中是否含有字母,如果含有字母则是分式,如果不含有字母则不是分式. 【详解】2a b 3,-0.5xy +2y 3,1π的分母中均不含有字母,因此它们是整式,而不是分式,ab a ,b ca c+-,1x 2x ---的分母中含有字母,因此是分式.故选C . 【点睛】本题考查的是分式的定义,在解答此题时要注意分式是形式定义,只要是分母中含有未知数的式子即为分式,要注意圆周率π是常数字母. 2.A 【解析】A 原式=222222x yx y x y x y --=++,正确;B 原式=210102a ba b ++,错误;C 原式=1x x y ---,错误;D 显然错误.故选A 3.A111.()()()()x y x x y x x x y x x y x x y x x y x x y ----=-==------故选A 4.B 【解析】 【分析】首先把分式的分子或分母能分解因式的分解因式,再把除法变为乘法,然后约分后相乘即可. 【详解】原式=()m 3m 3+•()()63m 3m -+•m 32m -=-()21m 3+,故选:B . 【点睛】此题主要考查了分式的乘除法,分式乘除法的运算,归根到底是乘法的运算,当分子和分母是多项式时,一般应先进行因式分解,再约分. 5.D 【解析】 【分析】分别按照解分式方程的步骤去分母,解整式方程可判断方程的解的情况. 【详解】A 、方程两边都乘以x 得:x 2+1=0,此整式方程无解,故原分式方程无解;B 、方程两边都乘以2x-3得:1=0,不成立,故方程无解;C 、方程两边都乘以x-1得:2x=x+1,解得x=1,而x=1时分母x-1=0,故原分式方程无解;D 、方程两边都乘以x-1得:x-1=1,解得x=2,当x=2时,分母x-1=1≠0,x=2是原分式方程的解; 故选:D . 【点睛】本题主要考查解分式方程,解分式方程的基本思想是“转化思想”,把分式方程转化为整式方程求解.解分式方程一定注意要验根. 6.D 【解析】根据题意列出关于m 的代数式,将a=-2代入计算即可求出值. 【详解】由题可知(a 3-a )÷a 2+1=a-1a +1, 当a=-2时,原式=-2-12-+1=12-. 故选:D . 【点睛】此题考查了代数式求值,根据题意列出正确的关系式是解本题的关键. 7.B 【解析】M -N =1a a ++1b b +-(11a ++11b +) =1a a ++1b b +-11a +-11b + =11a a -++11b b -+ =111111a b b a a b -++-+++()()()()=1111ab a b ab b a a b +--++--++()()=2211ab a b -++()()∵ab =1, ∴M -N =0, ∴M =N . 故选B.点睛:本题主要借助作差法将两个数比较大小问题转化为分式化简求值问题. 8.C 【解析】根据规定日期为x 天,则甲队完成任务需要x 天,乙队完成任务需要(x+3)天. 记该工程总量为“1”,根据题意,得:甲、乙的工作效率分别为1x 、13x +. 根据“甲乙合做的工作量+乙做的工作量=1”,由此可列方程:1122133x x x x -⎛⎫+⨯+= ⎪++⎝⎭.根据“甲的工作量+乙做的工作量=1”,可列方程:213xx x+=+.再根据题意得“乙2天做的工作量=甲3天做的工作量”,可列方程:233 x x=+.综上可知②③④方程均符合题意.故选C.点睛:此题考查了由实际问题抽象出分式方程,关键步骤在于找相等关系.当题中没有一些必须的量时,为了简便,应设其为1.本题要掌握好工作效率,工作总量和工作时间的等量关系.9.≠-2 =2【解析】【分析】分式有意义:分母不为零;分式的值为零时,分子为零,且分母不为零.【详解】当分母x+2≠0,即x≠-2时,分式x2x2-+有意义;当分子x-2=0,即x=2时,分式x2x2-+的值为零.故答案分别是:≠2;=2.【点睛】本题考查了分式有意义的条件和分式的值为零的条件.若分式的值为零,需同时具备两个条件:(1)分子为0;(2)分母不为0.这两个条件缺一不可.10.1【解析】【分析】按照一般步骤解方程,用含a的代数式表示x,既然无解,所以x应该是能令最简公分母为0的值,代入即可解答a.【详解】原方程化为整式方程得:1-x-3=a,整理得x=-2-a,因为无解,所以x+3=0,即x=-3,所以a=-2+3=1. 故答案为:1 【点睛】分式方程无解的可能为:整式方程本身无解,但当整式方程的未知数的系数为一常数时,不存在整式方程无解;分式方程产生增根. 11.1 【解析】∵11a b +=4, ∴4b a ab+=,∴a+b=4ab, ∴-322-7a ab b a b ab ++=()32()7a b ab a b ab +-+-=4387ab ab ab ab --=ab ab=1 故答案为:1. 12.5?0006005?00080%x x+-=40 【解析】设四月份的每件衬衫的售价为x 元, 则五月份的每件衬衫的售价为80%x 元, 五月份的营业额为(5000+600)元,依据“销售量比四月份增加了40件”可得5000600500080%x x+-=40.故答案为:5000600500080%x x+-=40点睛: 解题关键是要读懂题目的意思,根据题目给出的条件,找出合适的等量关系,列出方程. 13.12x x +-,当x =0时,原式=12-(或:当x =-2时,原式=14). 【解析】 【分析】先根据分式混合运算的法则把原式进行化简,再选取合适的x 的值代入进行计算即可. 【详解】 解:原式=21x x --×()()2x 1x 1(2)x +--=12x x +-.x满足﹣2≤x≤2且为整数,若使分式有意义,x只能取0,﹣2.当x=0时,原式=﹣12(或:当x=﹣2时,原式=14).【点睛】本题考查分式的化简求值,化简的过程中要注意运算顺序和分式的化简.化简的最后结果分子、分母要进行约分,注意运算的结果要化成最简分式或整式.14.(1)x=0;(2)原方程无解.【解析】【分析】(1)分式方程去分母转化为整式方程,求出整式方程的解得到x的值,经检验即可得到分式方程的解;(2分式方程去分母转化为整式方程,求出整式方程的解得到x的值,经检验即可得到分式方程的解.【详解】(1)方程两边都乘(x+1)(x-1),得3(x+1)-(x+3)=0,3x+3-x-3=0,2x=0,x=0,检验:将x=0代入原方程,得左边=0=右边.所以x=0是原方程的解;(2)方程两边同乘(x-2),得1=-(1-x)-3(x-2),解这个方程,得x=2,检验:当x=2时,分母x-2=0,所以x=2是增根,原方程无解.【点睛】此题考查了解分式方程,解分式方程的基本思想是“转化思想”,把分式方程转化为整式方程求解.解分式方程一定注意要验根.15.(1) 6,30;(2)n+1,n(n+1)【解析】试题分析:(1)通过观察直接写出口,○所表示的数分别为:6 ,30 ;(2)通过前面几个式子找出规律,再对找出的规律验证即可. 试题解析: (1) 6 ,30 ;(2)n =2时, 111236=+=112123++⨯; n =3时,11133134=++⨯; n =4时,11144145=++⨯; ……1n =11n ++11n n +(). 所以□,△所表示的式子n +1, n (n +1). 验证:()()1111111n n n n n n n++==+++. 点睛:掌握分式的加法运算.16.乙同学获胜. 【解析】 【分析】应算出甲乙两人所用时间.等量关系为:(甲同学跑所用时间+6)+乙同学所用时间=50. 【详解】设乙同学的速度为x 米/秒,则甲同学的速度为1.2x 米/秒, 根据题意,得606061.2x x ⎛⎫++⎪⎝⎭=50,解得x =2.5, 经检验,x =2.5是原方程的解,且符合题意, 所以甲同学所用的时间为601.2x+6=26(秒), 乙同学所用的时间为60x=24(秒), 因为26>24, 所以乙同学获胜. 【点睛】本题考查分式方程的应用,分析题意,找到关键描述语,找到合适的等量关系是解决问题的关键.此题涉及的公式是:路程=速度×时间.第11 页。
第五章综合测试一、选择题(共10小题)1.在,中分式的个数有( )113312xy a x x ymπ++,,,,A .2个B .3个C .4个D .5个2.若分式有意义,则满足的条件是( )211a a --a A .的实数B .为任意实数1a ≠a C .或的实数D .1a ≠1-1a =-3.分式的值是零,则的值为( )52x x +-x A .2B .5C .D .2-5-4.把分式约分得( )3bab b+A .B .C .D .3b +3a +13b +13a +5.计算的结果为( )2111x x x -+--A .1B .C .D .11x -121x x -6.若,且,则的值为( )3y x =-+x y ≠22x y x y y x+--A .3B .C .D .3-1313-7.若关于的分式方程有增根,则的值为( )x 2133x m x x++=--m A .3B .0C .D .1-3-8.若分式的值是正整数,则可取的整数有( )62m -mA .4个B .5个C .6个D .10个9.用换元法解方程,设,那么换元后,方程可化为整式方程正确的是( )2231712x x x x -+=-21x y x =-A .B .C .D .1732y y +=22720y y -+=23710y y -+=26720y y -+=10.甲、乙两位同学做中国结,已知甲每小时比乙少做6个,甲做30个所用的时间与乙做45个所用的时间相等,求甲每小时做中国结的个数.如果设甲每小时做个,那么可列方程为( )x A .B .C .D .30456x x =+30456x x =-30456x x=-30456x x=+二、填空题(共6小题)11.化简:________.2520xyx y=12.当________时,分式的值为0.x =293x x--13.对分式进行通分时,最简公分母是________.2111248x y xy,,14.代数式有意义,则的取值范围是________.()021xx x -÷-x 15.当时,代数式的值是________.3a =22121222a a a a a a ⎫⎛-+-÷⎪ ---⎝⎭16.定义一种法则“”如下:,例如:,若,则的值是________.⊕11a b a ab =-⊕1122=⊕133p =⊕p 三、解答题(共8小题)17.解分式方程:(1);1122xx x-=--(2).2313162x x -=--18.先化简,再求值:,其中.259123x x x -⎫⎛-÷⎪++⎝⎭1x =19.关于的分式方程的解为正数,求的取值范围.x 533x m x x-=--m 20.已知.2223m a b n a ab ==+,(1)当,分别求的值.32a b =-=-,m n ,(2)若,求的值.1218m n ==,123a b+21.先化简,再求值:,再从不等式组中选取一个你认为合适的整22221121x x x x x x +⎫⎛+÷ ⎪+--+⎝⎭3723x -<<数作为的值代入求值.x 22.某玩具店用2 000元购进一批玩具,面市后,供不应求,于是店主又购进同样的玩具,所购的数量是第一批数量的3倍,但每件进价贵了4元,结果购进第二批玩具共用了6 300元.若两批玩具的售价都是每件120元,且两批玩具全部售完.(1)第一次购进了多少件玩具?(2)求该玩具店销售这两批玩具共盈利多少元?23.盛夏来临之际,服装加工厂甲、乙两个车间共同加工一款亚麻休闲装,且每人每天加工的件数相同,甲车间比乙车间少10人,甲车间每天加工服装400件,乙车间每天加工服装600件.(1)求甲、乙两车间各有多少人;(2)甲车间更新了设备,平均每人每天加工的件数比原来多了10件,乙车间的加工效率不变,在两个车间总人数不变的情况下,加工厂计划从乙车间调出一部分人到甲车间,使每天两个车间加工的总数不少于1300件,求至少要从乙车间调出多少人到甲车间?120024.某县积极响应国家优先发展教育事业的重大部署,对通往某偏远学校的一段全长为米的道路进行25%了改造,铺设柏油路面,铺设400米后,为了尽快完成道路改造,后来每天的工作效率比原计划提高,结果共用13天完成道路改造任务.(1)求原计划每天铺设路面多少米?(2)若承包商原来每天支付工人工资为1 500元,提高工作效率后每天支付给工人的工资为2 000元,完成整个工程后承包商共支付工人工资多少元?第五章综合测试答案解析一、1.B解:是分式,共有3个,131a x x ym++,,故选:B .2.A解:分式有意义,∵211a a --,10a -≠∴解得.1a ≠故选:A .3.D解:由题意得:,且,50x +=20x -≠解得:,5x =-故选:D .4.D解:;()1333b b ab b b a a ==+++故选:D .5.A 解:,21211111x x x x x --++==---故选:A .6.A解:由,得到,3y x =-+3x y +=则原式,()()22223x y x y x y x y x y x y x y x y x y+--=-===+=----故选:A .7.C解:方程两边都乘,()3x -得,()23x m x -+=-原方程有增根,∵最简公分母,∴30x -=解得,3x =当时,,3x =1m =-故选:C .8.A 解:分式的值是正整数,∵62m -、2、3、6,21m -=∴则、4、5、8这四个数,3m =故选:A .9.B解:,2231712x x x x -+=-设,21xy x =-则原方程化为,172y y +=即,22720y y -+=故选:B .10.A解:设甲每小时做个,乙每小时做个,x ()6x +根据甲做30个所用时间与乙做45个所用时间相等,得,30456x x =+故选:A .二、11.14x解:原式.51544xy xy x x== 故答案为.14x12.3-解:由题意得:,且,290x -=30x -≠解得:,3x =-故答案为.3-13.28xy 解:最简公分母是,28xy故答案为.28xy 14.201x x x ≠≠≠,,解:由题意得,,20010x x x -≠≠-≠,,解得,,201x x x ≠≠≠,,故答案为.201x x x ≠≠≠,,15.2解:原式,()()()()22211112122211a a a a a a a a a a a -+---+=÷==----- 当时,原式,3a =31231+==-故2.16.2解:根据题中的新定义化简得:,11133p p -=去分母得:,31p -=解得:,2p =经检验是分式方程的解,2p =则的值为2.p 故2.三、17.解:(1)方程整理得:,1122x x x -=--去分母得:,11x =-解得:,2x =经检验为增根,原分式方程无解;2x =(2)方程整理得:,()23131231x x -=--去分母得:,()42313x --=解得:,12x =经检验是分式方程的解.12x =18.解:原式,()()3325223312312x x x x x x x x x x +-+⎫⎛=-÷ ⎪+++⎝⎭-=+-=+ 当时,原式.1x =11123==+19.解:方程两边都乘以,得:,3x -5x m -=-解得,5x m =-分式方程的解为正数,∵且,50m -∴>53m -≠解得且.5m <2m ≠20.解:(1),222332m a b n a ab a b ==+=-=-∵,,,,()()()2329218m =-⨯-=⨯-=-∴,()()()2233322918181836n =⨯-+⨯-⨯-=⨯+=+=即的值是,的值是18;m 18-n (2),22121823m n m a b n a ab ====+∵,,,,22121823a b a ab ==+∴,,3618323ab a b a a==+∴,.181232136332b a a a b aba++===∴21.解:原式,()()()()()()()()()()()()()222211211111222111311311x x x x x x x x x x x x x x x x x x x x x ⎡⎤--+=+⎢⎥+-+-⎣⎦--++=+--=+--=+ ,10100x x x +≠-≠≠∵,,和0,1x ≠±∴选,∴2x =当时,原式.2x =31121⨯==+22.解:(1)设第一次购进了件玩具,则第二购进了件玩具,x 3x 根据题意得:,6300200043x x-=解得:,25x =经检验,是原分式方程的解.25x =答:第一次购进了25件玩具.(2).()()25253120200063003700+⨯⨯--=元答:该玩具店销售这两批玩具共盈利3 700元.23.解:(1)设甲车间有人,乙车间有人,由题意得,x ()10x +40060010x x =+解得:,20x =经检验:是原分式方程的解,且符合题意,20x =则,1030x +=答:甲车间有20人,乙车间有30人;(2)设要从乙车间调出人到甲车间,由题意得,y ()()40060020103013002030y y ⎛⎫+++- ⎪⎝⎭≥解得.10y ≥答:至少要从乙车间调出10人到甲车间.24.解:(1)设原计划每天铺设路面米,则提高工作效率后每天铺设路面米,x ()125%x +依题意,得:,()400120040013125%x x-+=+解得:,80x =经检验,是原方程的解,且符合题意.80x =答:原计划每天铺设路面80米.(2)(元.4004001500200013235008080⎛⎫⨯+⨯-= ⎪⎝⎭)答:完成整个工程后承包商共支付工人工资23 500元.。
第五章 分式与分式方程 达标测试卷 一、选择题:本大题共10小题,每小题3分,共30分.在每小题给出的四个选项中,只有一项是符合题目要求的. 1.下列代数式,是分式的是( ) A.3x 2π B.m +n m C.ab 25 D.52.【2022·天津】计算a +1a +2+1a +2的结果是( ) A .1 B .2a +2 C .a +2 D .a a +23.【2022·佛山禅城区期末】如果分式|m +4|m -4的值为0,那么m 的值为( ) A .不存在 B .±4 C .4 D .-44.运用分式的性质,下列计算正确的是( )A.-x +y 2=-x +y 2B.x -3x 2-9=1x -3C.x 2-2xy +y 2x -y =x -yD.xy x 2-xy =x x -y5.若将分式3m m +n 与4n 2(m -n )通分,则分式3m m +n的分子应变为( ) A .6m 2-6mn B .6m -6n C .2(m -n ) D .2(m -n )(m +n )6.若关于x 的分式方程3x +ax x +1=2-3x +1有增根x =-1,则2a -3的值为( ) A .2 B .3 C .4 D .67.【2022·德阳】关于x 的方程2x +a x -1=1的解是正数,则a 的取值范围是( ) A .a >-1 B .a >-1且a ≠0 C .a <-1 D .a <-1且a ≠-28.已知x 2-4x -3÷是一道分式化简题,其中一部分被墨水污染了,若只知道该题化简的结果为整式,则被墨水覆盖的部分不可能是( )A .x -3B .x -2C .x +3D .x +29.师徒两人做工艺品,已知徒弟每天比师傅少做6个,徒弟做48个所用的时间与师傅做72个所用的时间相同,则师傅每天做( )A .12个B .18个C .20个D .24个10.若关于x 的不等式组⎩⎪⎨⎪⎧x -3(x -2)>-2,a +x 2<x 有解,关于y 的分式方程ay -14-y +3y -4=-2有整数解,则符合条件的所有整数a 的和为( )A .0B .1C .2D .5二、填空题:本大题共5小题,每小题3分,共15分.11.分式m m 2-n 2和n 3m +3n的最简公分母为__________. 12.用换元法解分式方程x +1x -2x x +1=1时,如果设x x +1=y ,那么原方程可以化为关于y 的整式方程是________.13.【2022·成都】已知2a 2-7=2a ,则代数式⎝⎛⎭⎪⎫a -2a -1a ÷a -1a 2的值为________. 14.【2022·江西】甲、乙两人在社区进行核酸采样,甲每小时比乙每小时多采样10人,甲采样160人所用时间与乙采样140人所用时间相等,甲、乙两人每小时分别采样多少人?设甲每小时采样x 人,则可列分式方程为________________.15.对于两个非零的实数a ,b ,规定a *b =3b -2a ,若5*(3x -1)=2,则x 的值为________.三、解答题(一):本大题共3小题,每小题8分,共24分.16.计算:(1)x 2x -3÷34x 2-9·12x +3; (2)⎝ ⎛⎭⎪⎫a -1+2a +1÷(a 2+1).17.解分式方程:(1)1-x x -2=12-x -2; (2)4x 2-9-x 3-x=1.18.已知x (x -1)-(x 2-y )=-6,求x 2+y 22-xy 的值.四、解答题(二):本大题共3小题,每小题9分,共27分.19.先化简,再求值:⎝ ⎛⎭⎪⎫x +2x -2+4x 2-4x +4÷x x -2,其中-1<x ≤2且x 为整数.请你选一个合适的x 值代入求值.20.【原创题】北京首条全封闭马拉松路线是冬奥公园的一大亮点,这条“特色最鲜明、体验最丰富、服务最专业”的42公里滨河马拉松路线,充分融合“永定河”“西山”“首钢工业”“冬奥”元素,构建畅通无阻的慢行绿道,具备“智慧跑”“滨水跑”“公园跑”“堤上跑”等多功能特色。
第五章 分式与分式方程综合测试题(时间:满分: 120 分 )(班级:姓名:得分:)一、 选择题 (每小题 3 分,共 30 分)1. 下列各式:1(1 –x ), 4x , x 2y 2, 5x 2,其中分式有()532xA .1 个B .2个C .3 个D .4 个2.计算a - 5 的结果是()a5 a5A . 1B .- 1C . 0D . a - 53.若分式 x 2的值为0,则 x 的值为()x 1A .- 1B . 0C . 2D .- 1或 24 .分式方程2 -3 =0 的解为()x 1 x1A . x=3B . x= -5C . x=5D .无解5.下列等式中成立的是()A . 123B .2 =1+ = a b2a bba baC . ab =aD .aaab 2 a ba=-bbb a6. A ,B 两地相距 48 千米,一艘轮船从 A 地顺流航行至 B 地,又立即从 B 地逆流返回 A 地,共用去 9 小时 .已知水流速度为 4 千米 /时,若设该轮船在静水中的速度为x 千米 /时,则可列方程()A .48+ 48=9B .48 48=9x x44+4x4xC .48+4=9D . 96 + 964 =9xx 4x7.计算a 112 的结果是()a22 a 1a1A .1B .1C .1 D .1a 1a 1a 21a 218.若 x= -1, y=2 ,则2 x-1的值为( )264y 28 yxxA .-1B .1C .1D .1171716159.关于 x 的分式方程 3+6 -x k)x x =0 有解,则 k 满足(xx 1 1A . k ≠- 3B . k ≠5C . k ≠- 3 且 k ≠- 5D .k ≠-3 且 k ≠510.如图,一个瓶身为圆柱体的玻璃瓶内装有高 a 厘米的墨水,将瓶盖盖好后倒置,墨水水面高为h 厘米,则瓶内墨水的体积约占玻璃瓶容积的()a b h hA .B .C .D .a ba ba ba h二、填空题 (每小题 4 分,共 32 分)1 1.若分式x 21有意义,则 x 的取值范围为.x 1b , a4 428m2,其中最简分式有12.下列分式:b,a2b2 ,m2aab a a b64 m13a - 4 =.a2.计算: a22 a3x 23xy 23x14.根据变化完成式子的变形:= .xyy15.若关于 x 的方程x1 =m 无解,则 m= .x 510 2x16.甲、乙两名学生练习计算机打字,甲打一篇 1000 字的文章与乙打一篇间相同.已知甲每分钟比乙每分钟多打 5 个字,则乙每分钟打17.若1a b ,对任意自然数 n 都成立,则 a= (2n1)(2n 1)2n 1 2n118.当 y=x+1时,1 1xy 的值是.y x x 22 xy y 23三、解答题 (共 58 分)19.(每小题 6 分,共 12 分)计算:(1)2- 2 8 ; ( 2) m24m 4 ÷ m 2 + 2 .x 2 x 4m 21m 1 m 120.(每小题 6 分,共 12 分)解下列方程:(1)1+3 = 2 ; (2)3-2x = 7 . xx 2 2x x 22 3x 1 6 x 2个.900 字的文章所用的时个字., b=.21.( 10 分)为了提高产品的附加值,某公司计划将研发生产的1200 件新产品进行精加工后再投放市场. 现有甲、乙两个工厂都具备加工能力, 公司派出相关人员分别到这两个工厂了解情况,获得如下信息:信息一:甲工厂单 独加工完成这批产品比乙工厂单独加工完成这批产品多用 10 天;信息二:乙工厂每天加工的数量是甲工厂每天加工数量的1.5 倍.根据以上信息,求甲、乙两个工厂每天分别能加工多少件新产品.22.( 12 分)小明解方程 1 - x 2 =1 的过程如下:x x 解:方程两边乘 x ,得 1-( x - 2) =1.①去括号,得 1- x - 2=1.②移项,得- x=1 - 1+2.③合并同类项,得- x=2.④解得 x= - 2.⑤所以,原分式方程的解为x= -2.⑥请指出他解答过程中的错误,并写出正确的解答过程.2x 23.( 12 分)已知 A=x 2x1 -.x 21x1(1)化简 A ;x 1 0,A 的值.(2)当 x 满足不等式组且 x 为整数时,求x < ,3 0附加题 ( 15 分,不计入总分)24.甲、乙两商场自行定价销售某一商品. (1)甲商场将该商品提价 15% 后的售价为 1.15 元,则该商品在甲商场的原价为 (2)乙商场将该商品提价 20% 后,用 6 元钱购买该商品的件数比没提价前少买乙商场的原价为多少?元;1 件,求该商品在( 3)甲、乙两商场把该商品均按原价进行了两次价格调整.甲商场:第一次提价的百分率是a ,第二次提价的百分率是 b ;乙商场:两次提价的百分率都是a b .( a > 0, b > 0 , a ≠b)2请问两次提价后,甲、乙两商场哪个商场的价格较高?请说明理由.参考答案一、 1.A2. A3. C 4.C 5.C 6.A7. A 8. D 9. D 10. A二、 11. x ≠- 112. 213.a 214. y15.- 816.45a17.1-118.- 32 2三、 19. 解:( 1) 2- 8= 2 x 2-8=2 x22 .x 2 x 2=x 2x 2x 24x 2 x 2 x 2 x 2m24m 4m 222m 1 2 m 2 2(2) ÷ =m 22+m 1 m 1? + = + =m 1m 1 m 1m 2 m 1 m 1 m 1m 2 m 1 2 m 1m 2 m 4 .m 1 m 1=1 m 1m20. 解:( 1)方程两边乘 x ( x -2),得 x - 2+3x= - 2. 解得 x=0.检验:当 x=0 时, x (x - 2) =0,因此 x=0 不是原分式方程的解 .所以,原分式方程无解 .(2)方程两边乘 2( 3x - 1),得 3( 3x -1)- 4x=7.解得 x=2.检验:当 x=2 时, 2(3x - 1)≠ 0.所以,原分式方程的解为x=2.21.解:设甲工厂每天能加工x 件新产品, 则乙工厂每天能加工 1.5x 件新产品, 根据题意, 得1200x-1200=10.1.5x 解得 x=40.经检验, x=40 是原方程的解,且符合题意 .1.5x=1.5 40=60×.答:甲工厂每天能加工 4 0 件新产品,乙工厂每天能加工 60 件新产品 .22. 解:小明的解法有三处错误,步骤 ①去分母有误; 步骤 ② 去括号有误;步骤 ⑥少检验 .正确解法为:方程两边乘 x ,得 1-( x -2) =x.去括号,得 1- x+2= x.移项,得- x - x=- 1-2.合并同类项,得- 2x=- 3.解得 x= 3.2经检验, x= 3是原分式方程的解 .2 所以,原分式方程的解为 x= 3.222xx 1x =x 1- x123. 解:( 1) A= x22x 1-=- = .x 1x 1x 1 x 1x 1 x 1x 1 x 1x 1 0,(2) ∵< ,x3 0∴1≤x < 3.∵x 为整数,∴ x=1 或 x=2,又当 x=1 或 x=- 1 时, A 无意义,∴当 x=2 时, A=1=1.2124.解:( 1)1(2)设该商品在乙商场的原价为x 元,根据题意,得6 -6=1.x 1.2x解得 x=1.经检验, x=1 是原方程的解,且符合实际.答:该商品在乙商场的原价为1 元.(3)由于原价均为 1 元,则甲商场两次提价后的价格为( 1+a )( 1+b )=1+a+b+ab .乙商场两次提价后的价格为:( 1+ab)2=1+a+b+(ab )2 .22∵( a b 2 a b 2>0.22故两次提价后乙商场价格较高.。