固定证券收益练习3答案
- 格式:doc
- 大小:90.00 KB
- 文档页数:4
《固定收益证券投资》course work 3注意:做此次作业前务必将第五、六章PPT好好再看一遍,好好消化,不然最后计算不会做。
1. 附息债券的总收益潜在来源包括()、()和()。
[5分]2. 影响债券价格的利率敏感性因素主要包括()、()和()。
[5分]3. 债券收益率变动幅度相同、变动方向不同,债券价格的利率敏感性是不对称的,且收益率()比收益率()对债券价格影响大。
[5分]4. 某券,按每半年付息,期限5年,面值1000元,票面利率5%,到期一次还本付息。
到期收益率4%,剩余期限2年时,基点价格值为( )。
[8分]5. 设:P=债券价格,△P =债券价格增量,D* =修正久期,△ y =到期收益率增量,那么,久期与债券价格波动的关系公式为( )。
[5分]6. 下面说法错误的是()。
[单选;5分]A.零息债券的久期等于它的到期期限B.浮动利率债券的久期就等于重新设定票面利率的期限C.基点价格值和价格变化的收益值呈反向关系D.一般而言,价格变化的收益值越大,债券价格利率敏感性越大,即利率风险越大7.某券,按半年付息,期限5年,面值1000元,票面利率5%,到期收益率4%,剩余期限2年时,久期为(要求表格法同简化计算公式两种)?修正久期为?[12分]8.一只附息国债,每年付息一次,到期收益率、全价、久期、剩余期限分别为3%,96.02元6.33年、3年。
问:⑴、一个基点价格值为多少元?[8分]⑵、到期收益率变化10个基点,国债价格变化多少?[5分]⑶、到期收益率变化100个基点,债券价格波动多少?[6分]9.面值1000美元,息票率和收益率均为8%的2年期欧洲美元债券,半年付息,求:(1)该债券久期D;修正久期。
[5分](2)当收益率从8%上升到8.01%时,该债券价格由原来的1000美元变为999.53785元;当收益率从8%下降为7.99%时,该债券价格由原来的1000美元变为1000.46243元,计算凸性C(近似凸性运用)[3分](3)试运用上两问中求出的修正久期与近似凸性,结合泰勒二级变式估计此债券收益率变动一个基点时其价格波动。
第1章固定收益证券概述1.固定收益证券与债券之间是什么关系?解答:债券是固定收益证券的一种,固定收益证券涵盖权益类证券和债券类产品,通俗的讲,只要一种金融产品的未来现金流可预期,我们就可以将其简单的归为固定收益产品。
2.举例说明,当一只附息债券进入最后一个票息周期后,会否演变成一个零息债券?解答:可视为类同于一个零息债券。
3.为什么说一个正常的附息债券可以分拆为若干个零息债券?并给出论证的理由。
解答:在不存在债券违约风险或违约风险可控的前提下,可以将附息债券不同时间点的票面利息视为零息债券。
4.为什么说国债收益率是一国重要的基础利率之一。
解答:一是国债的违约率较低;二是国债产品的流动性在债券类产品中最好;三是国债利率能在一定程度上反映国家货币政策的走向,是衡量一国金融市场资金成本的重要参照。
5.假如面值为100元的债券票面利息的计算公式为:1年期银行定期存款利率×2+50个基点-1年期国债利率,且利率上限为5%,利率下限为4%,利率每年重订一次。
如果以后5年,每年利率重订日的1年期银行存款利率和国债利率如表1.4所示,计算各期债券的票面利息额。
表1.4 1年期定期存款利率和国债利率解答:第1次重订日计算的债券的票面利率为:1.5%×2+0.5%-2.5%=1%,由于该票面利率低于设定的利率下限,所以票面利率按利率下限4%支付。
此时,该债券在1年期末的票面利息额为100×4%=4元第2次重订日计算的债券的票面利率为:2.8%×2+0.5%-3%=3.1%,由于该票面利率低于设定的利率下限,所以票面利率仍按利率下限4%支付。
此时,该债券在2年期末的票面利息额为100×4%=4元第3次重订日计算的债券的票面利率为:4.1%×2+0.5%-4.5%=4.2%,由于该票面利率介于设定的利率下限和利率上限之间,所以票面利率按4.7%支付。
此时,该债券在3年期末的票面利息额为100×4.2%=4.2元第4次重订日计算的债券的票面利率为:5.4%×2+0.5%-5.8%=5.5%,由于该票面利率高于设定的利率上限,所以票面利率按利率上限5%支付。
作业一1.三年后收到的$100,现在的价值是多少?假设三年期零息债券的利率是:a.复利20%,年计息b.复利100%,年计息c.复利0%,年计息d.复利20%,半年计息e.复利20%,季计息f.复利20%,连续计息2.以连续复利方式计息,下列利率各为多少?a.复利4%,年计息b.复利20%,年计息c.复利20%,季计息d.复利100%,年计息3.考虑下列问题:a.华尔街日报在交易日92年9月16日给出了票面利率为9 1/8’s在92年12月31日到期,92年9月17日结算的政府债券,其标价为买入价101:23,卖出价101:25。
这种债券相应买入和卖出的收益率是多少?b.在同一交易日,华尔街日报对同时在92年12月31日到期和在92年9月17日结算的T-bill报出的买入和卖出折现率分别是2.88%和2.86%(附录A“利率报价和惯例”中的例14中提到的T-bill),这里面是不是有套利机会?(“买入”和“卖出”是从交易者的角度出发,你是以“买入价”卖出,以“卖出价”买入)。
4.你在交易日92年9月16日以$10-26买入$2,000万票面价值为100的在2021年11月15日到期的STRIPs(零息债券),这种债券的到期收益率是多少?5.今天是交易日,1994年10月10日,星期一。
这三种债券的面值均为$100,每半年付息一次。
注意到上表中最后一列是到期收益,它反映了给定到期日,某种特定债券的标准惯例。
在计算日期时,不考虑闰年,同时也要忽略假期。
回答这个问题时非常重要的是要写清楚你的运算过程。
不能只是用计算器把价格计算出来。
本题要想得分,必须把计算中的所有步骤都写清楚。
a.计算美国财政部发行的国债的报价,假定此国债是按标准结算方式结算。
b.计算费城发行的城市债券的报价,假定此类债券标准结算期为三天。
c.计算联邦全国抵押协会发行的机构债券的报价,假定此类债券是按标准结算方式结算。
作业二1.考虑一固定付息债券,每年支付利息$1009.09,利息于时期1,2,…20支付。
证券从业资格证券投资基金(固定收益投资)模拟试卷3(题后含答案及解析)题型有:1. 单项选择题单项选择题本大题共70小题,每小题0.5分,共35分。
以下各小题所给出的四个选项中,只有一项最符合题目要求。
1.所有种类的债券都面临通胀风险,对通胀风险特别敏感的投资者可购买通货膨胀联结债券,其( )。
A.本金随通胀水平的高低进行变化,利息不随通胀水平的高低进行变化B.本金不随通胀水平的高低进行变化,利息随通胀水平的高低进行变化C.本金和利息都不随通胀水平的高低进行变化D.本金和利息都随通胀水平的高低进行变化正确答案:D解析:对通胀风险特别敏感的投资者可购买通货膨胀联结债券,其本金随通胀水平的高低进行变化,而利息的计算由于以本金为基准也随通胀水平变化,从而可以避免通胀风险。
知识模块:固定收益投资2.我国目前债券交易市场体系( )。
A.以柜台市场为主B.以交易所市场为主C.以银行间市场为主D.以场内交易市场为主正确答案:C解析:中国债券市场是从20世纪80年代开始逐步发展起来的,经历了以柜台市场为主、以交易所市场为主和以银行间市场为主三个发展阶段。
目前,我国债券市场形成了银行间债券市场、交易所市场和商业银行柜台市场三个基本子市场为主的统一分层的市场体系,其中,银行间债券市场无论是在交易量还是存量方面都占据市场主导地位。
知识模块:固定收益投资3.依据( )估值方法,任何资产的内在价值等于投资者对持有该资产预期的未来的现金流的现值。
A.贴现现金流B.自由现金流C.成本重置D.风险中性定价正确答案:A 涉及知识点:固定收益投资4.某半年付息一次的债券票面额为1000元,票面利率10%,必要收益率为12%,期限为5年,如果按复利计息、复利贴现,其内在价值为( )元。
A.926.40B.927.90C.993.47D.998.52正确答案:A解析:内在价值知识模块:固定收益投资5.以下关于当期收益率的说法,不正确的是( )。
《固定收益证券》课后习题参考答案陈蓉 郑振龙北京大学出版社Copyright © 2011 Chen, Rong & Zheng, Zhenlong第一章固定收益证券概述1.如何理解投资固定收益证券所面临的风险?虽然相比股票、期权等投资品,固定收益证券能够提供相对稳定的现金流回报,但投资固定收益证券同样面临一系列潜在风险,包括利率风险、再投资风险、信用风险、流动性风险、通货膨胀风险等。
(一)利率风险利率风险是固定收益证券最重要的风险之一,久期、凸性等指标都是描述利率变化百分比与固定收益证券价格变化百分比之间关系的,这意味着利率的变化能够对固定收益证券价格带来不确定性,这就是利率风险。
(二)再投资风险对于固定收益证券在存续期所收到的现金流,投资者面临着所收现金流的再投资问题,如果市场利率上升或者下降,投资者的收益必定会面临不确定性,这就是再投资风险。
(三)信用风险投资者面临的信用风险分为两类:一类是发行者丧失偿债能力导致的无法按期还本付息和发行者信用等级下降导致的固定收益投资品价格下降;另二类是固定收益衍生品交易对手不履约带来的风险。
(四)流动性风险固定收益证券面临着变现能力强弱的问题,即变现能力强,即投资品的流动性强;变现能力弱,即投资品的流动性弱。
(五)通货膨胀风险固定收益证券的收益率往往是指的名义收益率,所以在固定收益证券的存续期产生的现金流还面临着同期相对购买力变化的不确定性,即通货膨胀风险。
2.“国债是无风险债券。
”这种说法对吗?请以具体案例说明你的观点。
这句话是指国债没有信用风险,其基本含义是说国债到期能保证偿付。
但这并不意味着国债没有市场风险和流动性风险;同时,有时国债也可能有信用风险,例如欧债危机下的希腊国债。
3.如何理解回购交易的融资功能?为什么说回购交易为市场提供了卖空债券的手段?回购就是按约定价格卖出某一证券的同时,约定在未来特定时刻按约定价格将该证券买回。
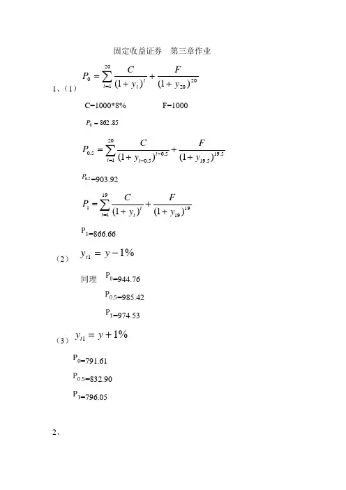
固定收益证券第三章作业1、(1)20202010)1()1(yFyCPttt+++=∑=C=1000*8% F=100085.862=P5.195.192015.05.05.0)1()1(yFyCPttt+++=∑=--5.0P=903.9219191911)1()1(yFyCPttt+++=∑==866.66(2)%11-=yyt同理=944.76=985.42=974.53(3)%1 1+=yyt=791.61=832.90=796.052、A: 1000=905 =0.905B: 1000=800 =0.8C: P= 100+1100=970.5证券价值高于证券价格说明证券价值被低估了因此存在套利机会应该买入债券C 卖空债券A和B3、由题意A、B、C的价格与现金流量情况如下表:0 1 2A 1100 100 1100B 96 100C 93 100由B、C求折现因子:96=100*得=0.9693=100*得=0.93由此给A定价:100*+1100*=100*0.96+1100*0.93=1119因此A被低估了,存在套利机会。
套利的办法就是购买A,卖空B、C的某种组合:100=100100=1100得=1=11一个可行的套利组合是购买1个A,卖空1个B,卖空11个C。
4、A、B、C的价格与现金流量情况如下表:0 1 2 3 4 5A 100 6 6 6 6 106B 94 3 3 3 3 103C 99 5 5 5 5 105为债券第t年的折现因子债券A债券B债券C令100=B 则上面三式可简化成6A+B=100 (1)3A+B=94 (2)5A+B=99 (3)解方程可知三个等式互相矛盾,即债券定价有不合理。
以A B 两债券为准,得债券C定价应为985、由A、B、C的价格及现金流量求折现因子:93=10092.85=5+105100.2=10+10+110得:=0.93=0.84=0.75由此给D定价:20+20+120=125.4因此D被低估了,存在套利机会。
第1章固定收益证券概述1.固定收益证券与债券之间是什么关系?解答:债券是固定收益证券的一种,固定收益证券涵盖权益类证券和债券类产品,通俗的讲,只要一种金融产品的未来现金流可预期,我们就可以将其简单的归为固定收益产品。
2.举例说明,当一只附息债券进入最后一个票息周期后,会否演变成一个零息债券?解答:可视为类同于一个零息债券。
3.为什么说一个正常的附息债券可以分拆为若干个零息债券?并给出论证的理由。
解答:在不存在债券违约风险或违约风险可控的前提下,可以将附息债券不同时间点的票面利息视为零息债券。
4.为什么说国债收益率是一国重要的基础利率之一。
解答:一是国债的违约率较低;二是国债产品的流动性在债券类产品中最好;三是国债利率能在一定程度上反映国家货币政策的走向,是衡量一国金融市场资金成本的重要参照。
5.假如面值为100元的债券票面利息的计算公式为:1年期银行定期存款利率×2+50个基点-1年期国债利率,且利率上限为5%,利率下限为4%,利率每年重订一次。
如果以后5年,每年利率重订日的1年期银行存款利率和国债利率如表1.4所示,计算各期债券的票面利息额。
表1.4 1年期定期存款利率和国债利率解答:第1次重订日计算的债券的票面利率为:1.5%×2+0.5%-2.5%=1%,由于该票面利率低于设定的利率下限,所以票面利率按利率下限4%支付。
此时,该债券在1年期末的票面利息额为100×4%=4元第2次重订日计算的债券的票面利率为:2.8%×2+0.5%-3%=3.1%,由于该票面利率低于设定的利率下限,所以票面利率仍按利率下限4%支付。
此时,该债券在2年期末的票面利息额为100×4%=4元第3次重订日计算的债券的票面利率为:4.1%×2+0.5%-4.5%=4.2%,由于该票面利率介于设定的利率下限和利率上限之间,所以票面利率按4.7%支付。
此时,该债券在3年期末的票面利息额为100×4.2%=4.2元第4次重订日计算的债券的票面利率为:5.4%×2+0.5%-5.8%=5.5%,由于该票面利率高于设定的利率上限,所以票面利率按利率上限5%支付。
固定收益证券作业及答案1.三年后收到的100元现在的价值是多少?分别考虑复利20%、复利100%、复利0%、复利20%(半年计息)、复利20%(季计息)和复利20%(连续计息)的情况。
2.以连续复利方式计息,分别计算复利4%、复利20%(年计息)、复利20%(季计息)和复利100%的利率。
3.考虑以下问题:a。
___在交易日92年9月16日给出了票面利率为91/8's在92年12月31日到期,92年9月17日结算的政府债券,其标价为买入价101:23,卖出价101:25.求该债券的买入和卖出的收益率。
b。
在同一交易日,___对同时在92年12月31日到期和在92年9月17日结算的T-bill报出的买入和卖出折现率分别是2.88%和2.86%。
是否存在套利机会?(“买入”和“卖出”是从交易者的角度出发,你是以“买入价”卖出,以“卖出价”买入)4.在交易日92年9月16日,以10-26的价格买入了一张面值为2000万美元、到期日为2021年11月15日的STRIPs (零息债券)。
求该债券的到期收益率。
5.今天是1994年10月10日,星期一,是交易日。
以下是三种债券的相关信息:发行机构票面利率到期日到期收益___ 10% 8.00% 星期二,1/31/95费城(市政) 9% 7.00% 星期一,12/2/95___(机构) 8.50% 8% 星期五,7/28/95这三种债券的面值均为100美元,每半年付息一次。
注意到上表中最后一列是到期收益,它反映了给定到期日、某种特定债券的标准惯例。
在计算日期时,不考虑闰年,同时也要忽略假期。
回答以下问题时,需要写清楚计算过程,不能只是用计算器计算价格。
a。
计算___发行的国债的报价,假定该国债按照标准结算方式结算。
b。
计算费城发行的城市债券的报价,假定该债券的标准结算期为三天。
c。
计算___发行的机构债券的报价,假定该债券按照标准结算方式结算。
本题需要根据给定的到期收益曲线来计算固定付息债券的全价,以及在曲线上下移动100个基点时的全价。
固定收益证券《固定收益证券》综合测试题(⼀)⼀、单项选择题1.固定收益产品所⾯临得最⼤风险就是(B )。
A、信⽤风险B、利率风险C、收益曲线风险D、流动性风险2.世界上最早买卖股票得市场出现在( A )A、荷兰B、英国C、印度D、⽇本3.下列哪种情况,零波动利差为零?( A )A、如果收益率曲线为平B、对零息债券来说C、对正在流通得财政债券来说D、对任何债券来说4.5年期,10%得票⾯利率,半年⽀付。
债券得价格就是1000元,每次付息就是( B )。
A、25元B、50元C、100元D、150元5.现值,⼜称( B ),就是指货币资⾦现值得价值。
A、利息B、本⾦C、本利与D、现⾦6.投资⼈不能迅速或以合理价格出售公司债券,所⾯临得风险为( B )。
A、购买⼒风险B、流动性风险C、违约风险D、期限性风险7.下列投资中,风险最⼩得就是(A )。
A、购买政府债券B、购买企业债券C、购买股票D、投资开发项⽬8.固定收益债券得名义收益率等于(A )加上通货膨胀率。
A、实际收益率B、到期收益率C、当期收益率D、票⾯收益率9.零息票得结构没有(B ),⽽且对通胀风险提供了最好得保护。
A、流动性风险B、再投资风险C、信⽤风险D、价格波动风险10.下列哪⼀项不就是房地产抵押市场上得主要参与者(D )A、最终投资者B、抵押贷款发起⼈C、抵押贷款服务商D、抵押贷款交易商11.如果采⽤指数化策略,以下哪⼀项不就是限制投资经理复制债券基准指数得能⼒得因素?( B)A、某种债券发⾏渠道得限制B、⽆法及时追踪基准指数数据C、成分指数中得某些债券缺乏流动性D、投资经理与指数提供商对债券价格得分歧12.利率期货合约最早出现于20世纪70年代初得(A )A、美国B、加拿⼤C、英国D、⽇本⼆、多项选择题1.⼴义得有价证券包括(ABC):A、商品证券B、货币证券C、资本证券D、上市证券2.债券得收益来源包括哪些?(ABCD)B、再投资收⼊C、资本利得D、资本损失3.到期收益率包含了债券收益得各个组成部分,它得假设条件就是(AB):A、投资者持有债券⾄到期⽇B、投资者以相同得到期收益率将利息收⼊进⾏再投资C、投资者投资债券不交税D、投资者投资债券要交税4.信⽤风险得形式包括(BCD):A、赎回风险B、违约风险C、信⽤利差风险D、降级风险5.为什么通胀指数化债券得发⾏期限⼀般⽐较长? (ABD)A、债券得期限越长,固定利率得风险越⼤B、期限长能体现通胀指数化债券得优势C、期限长能够增加投资者收益D、减少了发⾏短期债券带来得频繁再融资得需要6.通胀指数化债券得现⾦流结构包括(ABD)。
固定收益证券课后习题答案固定收益证券课后习题答案一、单选题1、【正确答案】 B 【答案解析】固定收益证券是指能够提供固定收益的证券,如债券和存款等。
2、【正确答案】 D 【答案解析】利率风险是指市场利率变动引起固定收益证券价格下降的风险。
3、【正确答案】 A 【答案解析】债券的久期是指债券的利率敏感性程度,用于衡量利率变动对债券价格的影响程度。
二、多选题1、【正确答案】 A、B、C、D 【答案解析】以上选项均为固定收益证券的特点。
2、【正确答案】 A、C 【答案解析】债券的利率风险包括市场风险和信用风险,而市场风险又包括价格风险和利率风险。
3、【正确答案】 A、B、C 【答案解析】债券的到期收益率是指投资者在债券到期前每年能获得的最低收益率,因此,只有在债券按年付息的情况下,债券的到期收益率才能反映投资者的真实收益率。
三、判断题1、【正确答案】错【答案解析】固定收益证券的价格变动与市场利率变动呈反方向变动,即市场利率上升,固定收益证券的价格下降;市场利率下降,固定收益证券的价格上涨。
2、【正确答案】对【答案解析】债券的久期越长,对利率变动的敏感性越强,当市场利率变动时,债券价格变动的幅度也越大。
3、【正确答案】对【答案解析】债券的到期收益率是指投资者在债券到期前每年能获得的最低收益率,因此,只有在债券按年付息的情况下,债券的到期收益率才能反映投资者的真实收益率。
固定收益类理财产品话术引入:在投资理财的领域里,固定收益类理财产品一直备受投资者青睐。
这类产品通常以低风险、稳定收益的特点著称,为投资者提供了一个安全、可靠的资产增值途径。
本文将详细介绍固定收益类理财产品的特点、市场分析、比较优势、投资策略、适用人群以及注意事项,帮助大家更好地了解这类理财产品的魅力。
产品概述:固定收益类理财产品是一种以利率和期限为主要特征的理财工具。
投资者通过购买固定收益类产品,在约定期限内,可以获得固定利率的收益。
这类产品通常包括国债、企业债券、银行定期存款等,风险较低,收益稳定。
第三次作业:《固定收益证券》Page 165-166:3,5,63、一个附息债券A,面值为1000元,期限2年,票面利率10%,1年支付1次利息。
该附息债券的价格为1100元。
有两个零息债券B和C,面值都是100元,B的期限为1年,价格为96元。
C的期限为2年,价格为93元。
请问附息债券的定价是否合理?如果不合理,请构建一个套利组合。
答:附息债券的现金流如下:据此,可以用B和C债券构建A债券的现金流即A=B+11C由B和C价格知,A=96+93*11=1119元>1100元所以,该附息债券的定价不合理,存在套利机会,可以构建D=B+11C,并卖空D,买入债券A。
5、有四种债券,每种都是无违约风险的政府债券。
下表第一栏给出了每种债券的当前价格。
同样你能在此价格下买空和买空债券。
剩余各栏给出了债券在第一年、第以上债券价格是否存在套利机会?如果存在,你该怎么利用这个机会。
答:【方法1】由题,根据债券B,得到一年期折现因子:d1=0.93根据债券C,得到两年期折现因子:5*0.93+105*d2=92.85;∴d2=0.84根据债券A,得到三年期折现因子:10*0.93+10*0.84+110*d3=100.20;∴d3=0.75根据上述信息定价债券D,则有P=20*0.93+20*0.84+120*0.75=125.4元,D定价偏低,存在套利机会,所以可以买入D,卖出由A,B,C构建的组合。
【方法2】如果试图用上述债券A,C,D构建一个债券B,则有10NA+5NC+20ND=10010NA+105NC+20ND=0110NA+120ND=0解得:NA= -12.6 NC=-1 ND=11.55易得,该组合价格为:-12.6*100.20+(-1)*92.85+11.55*121.20=44.49元则可以卖空债券B,买入如上由A、C、D构建的组合。
6、假定你管理着一个退休基金账户,所有的资产都是随时可以交易的,现在的总规模是11000万元。
固定收益证券试题及部分答案班级序号:学号:姓名:成绩:1)Explain why you agree or disagree with the following statement: “The price of a floater will always trade at its par value.”Answer:I disagree with the statement: “The price of a floater will always trade at its par value.”First, the coupon rate of a floating-rate security (or floater) is equal to a reference rate plus some spread or margin. For example, the coupon rate of a floater can reset at the rate on a three-month Treasury bill (the reference rate) plus 50 basis points (the spread). Next, the price of a floater depends on two factors: (1) the spread over the reference rate and (2) any restrictions that may be imposed on the resetting of the coupon rate. For example, a floater may have a maximum coupon rate called a cap or a minimum coupon rate called a floor. The price of a floater will trade close to its par value as long as (1) the spread above the reference rate that the market requires is unchanged and (2) neither the cap nor the floor is reached. However, if the market requires a larger (smaller) spread, the price of a floater will trade below (above) par. If the coupon rate is restricted from changing to the reference rate plus the spread because of the cap, then the price of a floater will trade below par.2)A portfolio manager is considering buying two bonds. Bond A matures in three years and has a coupon rate of 10% payable semiannually. Bond B, of the same credit quality, matures in 10 years and has a coupon rate of 12% payable semiannually. Both bonds are priced at par.(a) Suppose that the portfolio manager plans to hold the bond that is purchased for three years. Which would be the best bond for the portfolio manager to purchase?Answer:The shorter term bond will pay a lower coupon rate but it will likely cost less for a given market rate.Since the bonds are of equal risk in terms of creit quality (The maturity premium for the longer term bond should be greater),the question when comparing the two bond investments is:What investment will be expecte to give the highest cash flow per dollar invested?In other words,which investment will be expected to give the highest effective annual rate of return.In general,holding the longer term bond should compensate the investor in the form of a maturity premium and a higher expected return.However,as seen in the discussion below,the actual realized return for either investment is not known with certainty.To begin with,an investor who purchases a bond can expect to receive a dollar return from(i)the periodic coupon interest payments made be the issuer,(ii)ancapital gainwhen the bond matures,is called,or is sold;and (iii)interest income generated from reinvestment of the periodic cash flows.The last component of the potential dollar return is referred to as reinvestment income.For a standard bond(our situation)that makes only coupon payments and no periodic principal payments prior to the maturity date,the interim cash flows are simply the coupon payments.Consequently,for such bonds the reinvestment income is simply interest earned from reinvesting the coupon interest payments.For these bonds,the third component of the potential source of dollar return is referred to as the interest-on-interest components.If we are going to coupute a potential yield to make a decision,we should be aware of the fact that any measure of a bond’s potential yield should take into consideration each of the three components described above.The current yield considers only the coupon interest payments.No consideration is given to any capital gain or interest on interest.The yield to maturity takes into account coupon interest and any capitalgain.It also considers the interest-on-interest component.Additionally,implicit in the yield-to-maturity computation is the assumption that the coupon payments can be reinvested at the computed yield to maturity.The yield to maturity is a promised yield and will be realized only if the bond is held to maturity and the coupon interest payments are reinvested at the yield to maturity.If the bond is not held to maturity and the couponpayments are reinvested at the yield to maturity,then the actual yield realized by an investor can be greater than or less than the yield to maturity.Given the facts that(i)one bond,if bought,will not be held to maturity,and(ii)the coupon interest payments will be reinvested at an unknown rate,we cannot determine which bond might give the highest actual realized rate.Thus,we cannot compare them based upon this criterion.However,if the portfolio manager is risk inverse in sense that she or he doesn’t want to buy a longer term bond,which will likel have more variability in its return,then the manager might prefer the shorter term bond(bondA) of thres years.This bond also matures when the manager wants to cash in the bond.Thus,the manager would not have to worry about any potential capital loss in selling the longer term bond(bondB).The manager would know with certainty what the cash flows are.IfThese cash flows are spent when received,the manager would know exactly how much money could be spent at certain points in time.Finally,a manager can try to project the total return performance of a bond on the basis of the panned investment horizon and expectations concerning reinvestment rates and future market yields.This ermits the portfolio manager to evaluate thich of several potential bonds considered for acquisition will perform best over the planned investment horizon.As we just rgued,this cannot be done using the yield to maturity as a measure of relative .coming total returnto assess performance over some investment horizon is called horizon analysis.When a total return is calculated oven an investment horizon,it is referred to as a horizon return.The horizon analysis framwor enabled the portfolio manager to analyze the performance of a bond under different interest-rate scenarios for reinvestment rates and future market yields.Only by investigating multiple scenarios can the portfolio manager see how sensitive the bond’s performance will be to each scenario.This can help the manager choosebetween the two bond choices.(b) Suppose that the portfolio manager plans to hold the bond that is purchased for six years instead of three years. In this case, which would be the best bond for the portfolio manager to purchase?Answer:Similear to our discussion in part(a),we do not know which investment would give the highest actual relized return in six years when we consider reinvesting all cash flows.If the manager buys a three-year bond,then there would be the additional uncertainty of now knowing what three-year bond rates would be in three years.The purchase of the ten-year bond would be held longer than previously(six years compared to three years)and render coupon payments for a six-year period that are known.If these cash flows are spent when received,the manager will know exactly how much money could be spent at certain points in timeNot knowing which bond investment would give thehighest realized return,the portfolio manager would choose the bond that fits the firm’s goals in terms of maturity.3)Answer the below questions for bonds A and B.Bond A Bond BCoupon 8% 9%rYield to maturity 8% 8%Maturity (years) 2 5Par $100.00 $100.00Price $100.00 $104.055(a) Calculate the actual price of the bonds for a 100-basis-point increase ininterest rates.Answer:For Bond A, we get a bond quote of $100 for our initial price if we have an 8% coupon rate and an 8% yield. If we change the yield 100 basis point so the yield is 9%, then the value of the bond (P) is the present value of the coupon payments plus the present value of the par value. We have C = $40, y = 4.5%, n = 4, and M = $1,000. Inserting these numbers into our present value of coupon bond formula, we get:41111(1)(10.045)$40$143.5010.045nr P C r ????--???? ===????????????????The present value of the par or maturity value of $1,000 is:4$1,000$838.561(1)(1.045)n M r == Thus, the value of bond A with a yield of 9%, a coupon rate of 8%, and a maturity of 2 years is: P = $143.501 $838.561 = $982.062. Thus, we get a bond quote of $98.2062. We already know that bond B will give a bond value of $1,000 and a bond quote of $100 since a change of 100 basis points will make the yield and couponrate the same, For example, inserting Thus, the value of bond A with a yield of 9%, a coupon rate of 8%, and a maturity of 2 years is: P = $143.501 $838.561 = $982.062. Thus, we get a bond quote of $98.2062. We already know that bond B will give a bond value of $1,000 and a bond quote of $100 since a change of 100 basis points will make the yield and coupon rate the same, For example, inserting(b) Using duration, estimate the price of the bonds for a 100-basis-point increase in interest rates.Answer:To estimate the price of bond A, we begin by first computing the modified duration. We can use an alternative formula that does not require the extensive calculations required by the Macaulay procedure. The formula is:211(100/)1(1)(1)n n Cn C y y y y Modified Duration P ??-- ?? ??=Putting all applicable variables in terms of $100, we have C = $4, n = 4, y = 0.045, and P = $98.2062. Inserting these values, in the modified duration formula gives: 212451(100/)$414($100$4/0.045)11(1)(1)0.045(1.045)(1.045)98.2062n n C n C y y y y Modified Duration P ????--- - ???? ????===($1,975.308642[0.161439] $35.664491) / $98.2062 = ($318.89117 $35.664491) / $98.2062 = $354.555664 / $98.2062 = 3.6103185 or about 3.61. Converting to annual number by dividing by two gives a modified duration of 1.805159 (before the increase in 100 basis points it was 1.814948). We next solve for the change in price using the modified duration of 1.805159 and dy = 100 basis points = 0.01. We have: ()() 1.805159(0.01)0.0180515dP Modified Duration dy P=-=-=- We can now solve for the new price of bond A as shown below:(1)(10.0180515)$1,000$981.948dP P P=-= This is slightly less than the actual price of $982.062. The difference is $982.062 –$981.948 = $0.114. To estimate the price of bond B, we follow the same procedure just shown for bond A. Using the alternative formula for modified duration that does not require the extensive calculations required by the Macaulay procedure and noting that C = $45, n = 10, y = 0.045, and P = $100, we get:21210111(100/)$4.5110($100$4.5/0.045)11(1)(1)0.045(1.045)(1.045)$100n n C n C y y y y Modified Duration P ????--- - ???? ????== ($791.27182 $0) / $100 = 7.912718 or about 7.91 (before the increase in 100 basis points it was7.988834 or about 7.99). Converting to an annual number by dividing by two gives a modified duration of 3.956359 (before the increase in 100 basis points it was 3.994417). We will now estimate the price of bond B using the modified durationmeasure. With 100 basis points giving dy = 0.01 and an approximate duration of 3.956359, we have:()() 3.956359(0.01)0.0395635dP Modified Duration dy P=-=-=-Thus, the new price is(1 –0.0395635)$1,040.55 = (0.9604364)$1,040.55 = $999.382.This is slightly less than the actual price of $1,000. The difference is $1,000 –$999.382 = $0.618.(c) Using both duration and convexity measures, estimate the price of the bonds for a 100-basis-point increase in interest rates. Answer:For bond A, we use the duration and convexity measures as given below. First, we use the duration measure. We add 100 basis points and get a yield of 9%. We now have C = $40, y = 4.5%, n = 4, and M = $1,000. NOTE. In part (a) we computed the actual bondprice and got P = $982.062. Prior to that, the price sold at par (P = $1,000) since the coupon rate and yield were then equal. The actual change in price is: ($982.062 –$1,000) = $17.938 and the actual percentage change in price is: $17.938 / $1,000 = 0.017938%. We will now estimate the price by first approximating the dollar price change. With 100 basis points giving dy = 0.01 and a modified duration computed in part (b) of 1.805159, we have:()() 1.805159(0.01)0.01805159dP Modified Duration dy P=-=-=- This is slightly more negative than the actual percentage decrease in price of1.7938%. The difference is 1.7938% –( 1.805159%) = 1.7938% 1.805159% = 0.011359%. Using the 1.805159% just given by the duration measure, the new price for bond A is:(1)(10.01805159)$1,000$981.948dP P P=-= This is slightly less than the actual price of $982.062. The difference is $982.062 –$981.948 = $0.114. Next, we use the convexity measure to see if we can account for the difference of 0.011359%. We have: convexity measure(half years) =2232121212(1)(100/)11(1)(1)(1)n n n d P C Cn n n C y dy P y y y y y P ???? -??=-- ?????? ?????? For bond A, we add 100 basis points and get a yield of 9%. We now have C = $40, y = 4.5%, n = 4, and M = $1,000. NOTE. In part (a) we computed the actual bond price and got P = $982.062. Prior to that, the price sold at par (P = $1,000) since the coupon rate and yield were then equal. Expressing numbers in terms of a $100 bond quote, we have: C = $4, y = 0.045, n = 4, and P = $98.2062. Inserting these numbers into our convexity measure formula gives:convexity measure (half years) = 342562$412($4)44(5)(100$4/0.045)1116.93250.045(1.045)0.045(1.045)(1.045)$ 98.2062y ????-=??-- =???????????? 2216.9325() 4.2331252Convexity Measure inm period per year TheConvexity Measure in years m === Adding the duration measure and the convexity measure, we get 1.805159% 0.021166% = 1.783994%. Recall the actual change in price is: ($982.062 –$1,000) = $17.938 and the actual percentage change in price is: $17.938 / $1,000 = ?0.017938 or approximately 1.7938%. Using the 1.783994% resulting from both the duration and convexity measures, we can estimate the new price for bond A. We have:Pr (1)(10.01783994)$1,000(0.9819484)$1,000$982.160dP New ice P P= = -== Adding the duration measure and the convexity measure, we get 1.805159% 0.021166% = 1.783994%. Recall the actual change in price is: ($982.062 –$1,000) = $17.938 and the actual percentage change in price is: $17.938 / $1,000 = ?0.017938 or approximately 1.7938%. Using the 1.783994% resulting from both the duration and convexity measures, we can estimate the new price for bond A. We have:()() 3.056359(0.01)0.0395635dP Modified Duration dy P=-=-=- This is slightly more negative than the actual percentage decrease in price of -3.896978%. The difference is (-3.896978%)-(-3.95635%)=0.059382%Using the -3.95635%just given by the duration measure, the new price for Bond B is: (1)(10.0395635)$1,040.55$999.382dP P P=-=This is slightly less than the actual price of $1,000. This difference is $1,000-$999.382=$0.618We use the convexity measure to see if we can account for the difference of 00594%. We have:2232121212(1)(100/)1()1(1)(1)(1)n n n d P C Cn n n C y Convexity Measure half years dy P y y y y y P ???? -??==-- ?????? ?????? For Bond B, 100 basis points are added and get a yield of 9%. We now have C=$45, y=4.5%, n=10, and M=$1,000. Note in part (a), we computed the actual bond price and got P=$1,000 since the coupon rate and yield were then equal. Prior to that, the price sold at P=$1,040.55. Expressing numbers in terms of a $100 bond quote, we have C=$4.5, y-0.045, n=10 and P=$100. Inserting these numbers into our convexity measure formula gives:310211122($4.5)12($4.5)410(11)(100$4.5/0.045)1()1(0.045)(1.045)(0.045)(1.04 5)(1.045)$100Convexity Measure half years ????-??=-- ???????????? 7,781.03[0.01000]77.8103==The convexity measure (in years)=2277.810319.4525642convexitymeasureinm period per year m == Note. DollarConvexity Measure=Convexity Measure (years) times P=19.452564($100)=$1,945.2564.The percentage price change due to convexity is 21()2dP convexity measure dy P = Inserting in the values, we get 21(77.8103)(0.01)0.000974632dP P == Thus, we have 0.097463% increase in price when we adjust for convexity measure.Adding the duration measure and convexity measure, we get -3.9563659% 0.097263% equals -3.859096%. Recall the actual change in price is ($1,000-$1,040.55)=-$40.55 and the actual new price is(1)(10.03859096)$1,040.55(0.9614091)$1,040.55$1,000.394dP P P-=-== For Bond A. This is about the same as the actual price of $1,000. The difference is $1,000.394-$1,000=$0.394. Thus, using the convexity measure along with the duration measure has narrowed the estimated price from a difference of -$0.618 to $0.394.(d) Comment on the accuracy of your results in parts b and c, and state why one approximation is closer to the actual price than the other.Answer:For bond A, the actual price is $982.062. When we use the duration measure, we get a bond price of $981.948 that is $0.114 less than the actual price. When we use duration and convex measures together, we get a bond price of $982.160. This is slightly more than the actual price of $982.062. The difference is $982.160 –$982.062 = $0.098. Thus, using the convexity measure along with the duration measure has narrowed the estimated price from a difference of $0.114 to $0.0981. For bond B, the actual price is $1,000. When we use the duration measure, we get a bond price of $999.382 that is $0.618 less than the actual price. When we use duration and convex measures together, we get a bond price of $1,000.394. This is slightly more than the actual price of $1,000. The difference is $1,000.394 –$1,000 = $0.394. Thus, using the convexity measure along with the duration measure has narrowed the estimated price from a difference of ?$0.618 to $0.394As we see, using the duration and convexity measures together is more accurate. The reason is that adding the convexity measure to our estimate enables us to include the second derivative that corrects for the convexity of the price-yield relationship. Moredetails are offered below. Duration (modified or dollar) attempts to estimatea convex relationship with a straight line (the tangent line). We can specify a mathematical relationship that provides a better approximation to the price change of the bond if the required yield changes. We do this by using the first two terms of a Taylor series to approximate the price change as follows:2221()(1)2dP d P dP dy dy error dy dy = Dividing both sides of this equation by P to get the percentage price change gives us: 22211()(2)2dP dP d P error dy dy P dy P dy P =The first term on the right-hand side of equation (1) is equation for the dollar price change based on dollar duration and is our approximation of the price change based on duration. In equation (2), the first term on the right-hand side is the approximate percentage change in price based on modified duration. The second term in equations(1) and (2) includes the second derivative of the price function for computing the value of a bond. It is the second derivative that is used as a proxy measure to correct for the convexity of the price-yield relationship. Market participants refer to the second derivative of bond price function as the dollar convexity measure of the bond. The second derivative divided by price is a measure of the percentage change in the price of the bond due to convexity and is referred tosimply as the convexity measure.(e) Without working through calculations, indicate whether the duration of the two bonds would be higher or lower if the yield to maturity is 10% rather than 8%.Answer: Like term to maturity and coupon rate, the yield to maturity is a factor that influences price volatility. Ceteris paribus, the higher the yield level, the lower the price volatility. The same property holds for modified duration. Thus, a 10% yield to maturity will have both less volatility than an 8% yield to maturity and also a smaller duration. There is consistency between the properties of bond price volatility and the properties of modified duration. When all other factors are constant, a bond with a longer maturity will have greater price volatility. A property of modified duration is that when all other factors are constant, a bond with a longer maturity will have a greater modified duration. Also, all other factors being constant, a bond with a lower coupon rate will have greater bond price volatility. Also, generally, a bond with a lower coupon rate will have a greater modified duration. Thus, bonds with greater durations will greater price volatilities.4)Suppose a client observes the following two benchmark spreads for two bonds:Bond issue U rated A: 150 basis pointsBond issue V rated BBB: 135 basis pointsYour client is confused because he thought the lower-rated bond (bond V) should offer a higher benchmark spread than the higher-rated bond (bond U). Explain why the benchmark spread may be lower for bond U.5)The bid and ask yields for a Treasury bill were quoted by a dealer as 5.91% and 5.89%, respectively. Shouldn’t the bid yield be less than the ask yield, because the bid yield indicates how much the dealer is willing to pay and the ask yield is what the dealer is willing to sell the Treasury bill for?Answer:The higher bid means a lower price. So the dealer is willing to pay less than would be paid for the lower ask price. We illustrate this below. Given the yield on a bank discount basis (Yd), the price of a Treasury bill is found by first solving the formula for the dollar discount (D), as follows:()()360d t D Y F = The price is then Price = F-DFor the 100-day Treasury bill with a face value (F) of $100,000, if the yield on a bank discount basis (Yd) is quoted as 5.91%, D is equal to:100()()0.0591($100,000)()$1,641.67360360d t D Y F ===Therefore, price = $100,000 –$1,641.67 = $98,358.33. For the 100-day Treasury bill with a face value (F) of $100,000, if the yield on a bank discount basis (Yd) is quoted as 5.89%, D is equal to:100()()0.0589($100,000)()$1,636.11360360d t D Y F === Therefore, price is: P = F –D = $100,000 –$1,636.11 = $98,363.89.Thus, the higher bid quote of 5.91% (compared to lower ask quote 5.89%) gives a lower selling price of $98,358.33 (compared to $98,363.89). The 0.02% higher yield translates into a selling price that is $5.56 lower. In general, the quoted yield on a bank discount basis is not a meaningful measure of the return from holding a Treasury bill, for two reasons. First, the measure is based on a face-value investment rather than on the actual dollar amount invested. Second, the yield is annualized according to a 360-day rather than a 365-day year, making it difficult to compare Treasury bill yields with Treasury notes and bonds, which pay interest on a 365-day basis. The use of 360 days for a year is a money market convention for some money market instruments, however. Despite its shortcomings as a measure of return, this is the method that dealers have adopted to quote Treasury bills. Many dealer quote sheets, and some reporting services, provide two other yield measures that attempt tomake the quoted yield comparable to that for a coupon bond and other money market instruments.6)What is the difference between a cash-out refinancing and a rate-and-term refinancing?Answer:When a lender is evaluating an application from a borrower who is refinancing, the loan-to-value ratio (LTV) is dependent upon the requested amount of the new loan and the market value of the property as determined byan appraisal. When the loan amount requested exceeds the original loan amount, the transaction is referred to as a cash-out-refinancing. If instead, there is financing where the loan balance remains unchanged, the transaction is said to be a rate-and-term refinancing or no-cash refinancing. That is, the purpose of refinancing the loan is to either obtain a better note rate or change the term of the loan.7)Describe the cash flow of a mortgage pass-through security.Answer:The cash flow of a mortgage pass-through security depends on the cash flow of the underlying mortgage.The cash flow consists of monthly mortgage payments representing interest,the scheduled repayment of principal,and any prepayments. Payments are made to security holders each month.Neither theamount nor the timing,however,of the cash flow from the pool of mortgages is identical to that of the cash flow passed through to investors.The monthly cash flow for a pass-through is less than the monthly cash flow of the underlying mortgages by an amount equal to servicing and other fees.The other fees are those charged by the issuer or guarantor of the pass-through for guaranteeing the issue.The coupon rage on a pass-through,called the pass-through coupon rate,is less than the mortgage rage on the underlying pool of mortgage loans by an amount equal to the servicing and guaranteeing feesThe timing of the cash flow,like the amount of the cash flow,is also different.The monthly mortgage payment is due from each mortgagor on the first day of each month,but there is a delay in passing through the corresponding monthly cash flow to the securityholders.The length of the delay varies by the type of pass-through security. Because of prepayments,the cash flow of a pass-through is also not known with certainty.8)Explain the effect on the average lives of sequential-pay structures of including an accrual tranche in a CMO structure.。
《固定收益证券投资》course work 3 key
注意:
1. 答题完整性;
2. 小数点后保留位数;
3. 人手准备一本练习本上交,交纸张扣分;
4. 务必封面写上学号,老师豋分所用;
5. 做此次作业前务必将第六章PPT 好好再看一遍,好好消化,不然最后计算不会做。
1. 附息债券的总收益潜在来源包括( 利息 )、( 利息的利息 )和( 资本收益/资本利得(损失) )。
[5分]
2. 影响债券价格的利率敏感性因素主要包括(票面利率)、(到期时间)和(初始收益率)。
[5分]
3. 债券收益率变动幅度相同、变动方向不同,债券价格的利率敏感性是不对称的,且收益率(降低)比收益率( 上升)对债券价格影响大。
[5分]
4. 某券,按每半年付息,期限5年,面值1000元,票面利率5%,到期一次还本付息。
到期收益率4%,剩余期限2年时,基点价格值为( 0.193 )。
[8分] 解:现在的价格038.1019%)21(100025%)21(25%21(25%)21(254
320=++++++++=)P 选择上升一个基点,产生一个新的价格:
8448.1018%)
005.21(100025%)005.21(25%005.21(25%)005.21(25432'=++++++++=)P 所以基点价格值为1018.8448-1019.038=-0.1932
5. 设:P=债券价格,△P =债券价格增量,D* =修正久期,△ y =到期收益率增
量,那么,久期与债券价格波动的关系公式为( y **∆-=∆D p
P )。
[5分]
6. 下面说法错误的是(D )。
[单选;5分]
A.零息债券的久期等于它的到期期限
B.浮动利率债券的久期就等于重新设定票面利率的期限
C.基点价格值和价格变化的收益值呈反向关系
D.一般而言,价格变化的收益值越大,债券价格利率敏感性越大,即利率风险越大
7.某券,按半年付息,期限5年,面值1000元,票面利率5%,到期收益率4%,剩余期限2年时,久期为(要求表格法同简化计算公式两种)?修正久期为?[12分] 解:久期计算—— 1、 简化计算公式:
2、表格法:
t 到期收益率 现金流 现金流的现值 权重w t*w 1 2% 25 24.5098 0.02405 0.02405 2 2% 25 24.0292 0.02358 0.04716 3 2% 25 23.5581 0.02312 0.06936 4 2% 1025 946.9416 0.92925 3.717 总计 1019.0387 1 3.85757 那么修正久期半年为 3.858/(1+2%)=3.782(半年)
此处以半年为标准;
如果按年来的话久期为3.858/2=1.929(年);修正久期年为 1.929/(1+4%)=1.85(年)
8. 一只期限为3年的国债,票面年利率3% ,按年付息,面值100元,发行价格100元。
问:
⑴、一个基点价格值为多少元?[8分]
⑵、到期收益率变化10个基点,国债价格变化多少元?[5分]
⑶、国债价格上涨10角钱,到期收益率变化为多少个基点?(可不求答案)[8分]
解:
(1)现在的价格(元)1000=P
选择上升一个基点,产生一个新的价格:
972.99%)01.31(1003%01.31(3%)01.31(33
2'
=++++++=)P 所以基点价格值为99.972-100=-0.0284
(2)变化10个基点 即 0.0284*10=0.284(元)
858.3%2]1%)21%[(5.2%)2%5.2(4)%21(%2%21]1)1[()()y 1(y 14=+-+-++-+=+-+-++-+=y y c y c T y D T
(3)国债价格上涨10角,即变为101元,求到期收益率变化,则列式为
?y )1(10031(3)y 1(31013
2=⇒++++++=y y ) 则到期收益率变化为y-3%,变化(y-3%)/0.01%个基点。
课上讲过
9.一只附息国债,每年付息一次,到期收益率、全价、久期、剩余期限分别为3%,96.02元6.33年、3年。
问:
⑴、一个基点价格值为多少元?[8分]
⑵、到期收益率变化10个基点,国债价格变化多少?[5分] ⑶、到期收益率变化100个基点,债券价格波动多少?[6分]
讨论 这道题考查的是久期的本质含义,此处全价即现价。
答案就不多写了,你们了解下就好。
10.面值1000美元,息票率和收益率均为8%的2年期欧洲美元债券,半年付息,求:
(1)该债券久期D ;修正久期。
[5分]
(2)当收益率从8%上升到8.01%时,该债券价格由原来的1000美元变为999.53785元;当收益率从8%下降为7.99%时,该债券价格由原来的1000美元变为1000.46243元,计算凸性C (近似凸性运用)[3分]
(3)试运用上两问中求出的修正久期与近似凸性,结合泰勒二级变式估计此债券收益率变动一个基点时其价格波动。
[7分]
解 此题均已半年为标准 (1)
t 到期收益率 现金流 现金流的现值 权重w t*w 1 4% 40 38.4615 0.03846 0.03846 2 4% 40 36.9822 0.03698 0.07396 3 4% 40 35.5599 0.03556 0.10668 4 4% 1040 888.9964 0.88900 3.55600 总计 1000 1 3.7751 所以半年期久期为3.775(半年);修正久期为3.775/(1+4%)=3.630(半年)
(2)
P+是收益率增加后的债券价格,这里是999.53785。
P-是收益率下降后的债券价格,这里是1000.46243。
(2分) P0是目前收益率下的债券价格,这里是面值1000。
y ∆为0.01%,半年变为0.005%
(3)利用泰勒变式,结合上面计算出的修正久期与近似凸性,注意此处以半年为标准
结果说明,此只债券,当收益率上升一个基点时,相应的价格会大致向下波动百分之…;当收益率下降一个基点时,相应的价格会大致上升百分之…。
(半年)112
%005.0*10002000
-53785.99946243.1000y)(2近似凸性2200=+=∆-+=+-P P P P %018136.0-%)005.0(*112*2/1%005.0*630.3-)(2/1:
收益率上升一个基点时2
2=+=∆⋅⋅+∆-=∆*y C y D P P %018164.0%)005.0-(*112*2/1)%005.0-(*630.3-)(2/1:收益率下降一个基点时2
2
=+=∆⋅⋅+∆-=∆*y C y D P
P。